Improvement of the WENO-NIP Scheme for Hyperbolic Conservation Laws
Abstract
1. Introduction
2. Brief Description of the WENO Schemes
2.1. Finite Volume Methodology
2.2. Classical WENO-JS and WENO-Z Reconstructions
2.3. The WENO-NIP Reconstruction
3. Analysis of the WENO-NIP Scheme
4. The Improved WENO-NIP Scheme
4.1. The Improved Nonlinear Weights
4.2. The ADR Analysis
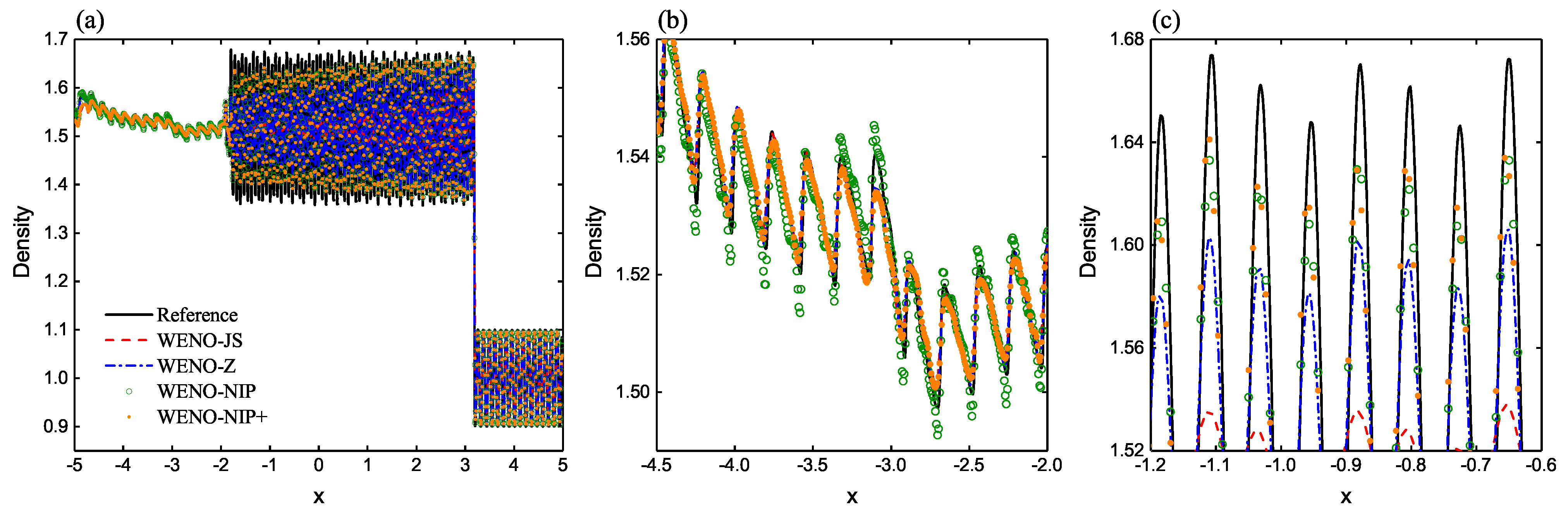
4.3. Long-Run Simulations of the 1D Linear Advection Equation
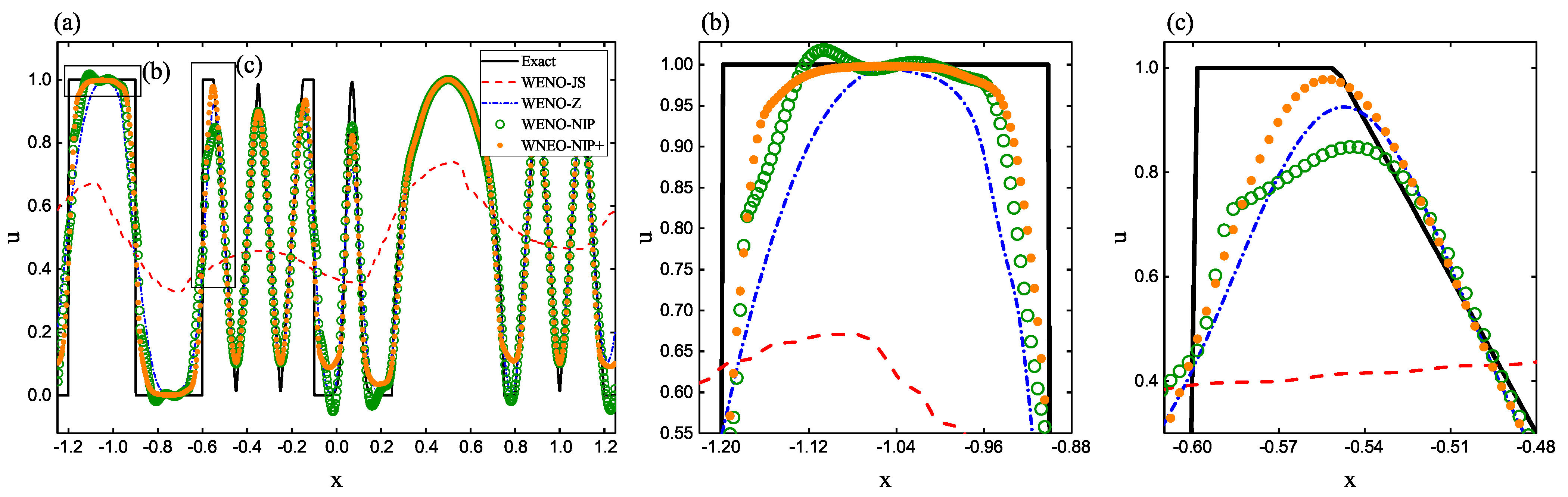
4.3.1. The Gaussian-Square-Triangle-Ellipse Linear Test
4.3.2. The Modified Linear Test
4.3.3. Comparison with the CWENO Schemes
5. Numerical Results
5.1. Accuracy Test
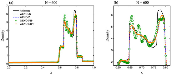
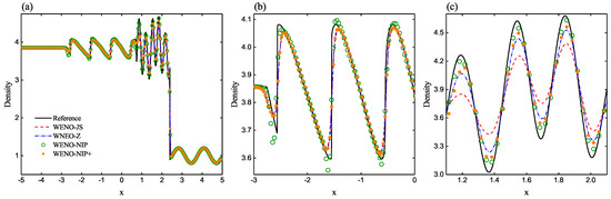
5.2. 1D Euler Equations
5.3. 2D Euler Equations
6. Conclusions
Author Contributions
Funding
Data Availability Statement
Conflicts of Interest
References
- Liu, X.D.; Osher, S.; Chan, T. Weighted essentially non-oscillatory schemes. J. Comput. Phys. 1994, 115, 200–212. [Google Scholar] [CrossRef]
- Jiang, G.S.; Shu, C.W. Efficient implementation of weighted ENO schemes. J. Comput. Phys. 1996, 126, 202–228. [Google Scholar] [CrossRef]
- Shu, C.W. Advanced Numerical Approximation of Nonlinear Hyperbolic Equations; Lecture Notes in Mathematics; Springer: Berlin, Germany, 1998; pp. 325–432. [Google Scholar]
- Li, R.; Zhong, W. A new mapped WENO scheme using order-preserving mapping. Commun. Comput. Phys. 2022, 31, 548–592. [Google Scholar]
- Feng, H.; Hu, F.; Wang, R. A new mapped weighted essentially non-oscillatory scheme. J. Sci. Comput. 2012, 51, 449–473. [Google Scholar]
- Li, Q.; Liu, P.; Zhang, H. Piecewise Polynomial Mapping Method and Corresponding WENO Scheme with Improved Resolution. Commun. Comput. Phys. 2015, 18, 1417–1444. [Google Scholar] [CrossRef]
- Li, R.; Zhong, W. A modified adaptive improved mapped WENO method. Commun. Comput. Phys. 2021, 30, 1545–1588. [Google Scholar]
- Li, R.; Zhong, W. An efficient mapped WENO scheme using approximate constant mapping. Numer. Math. Theor. Meth. Appl. 2022, 15, 1–41. [Google Scholar]
- Yuan, M. A new weighted essentially non-oscillatory WENO-NIP scheme for hyperbolic conservation laws. Comput. Fluids 2020, 197, 104168. [Google Scholar] [CrossRef]
- Henrick, A.K.; Aslam, T.D.; Powers, J.M. Mapped weighted essentially non-oscillatory schemes: Achieving optimal order near critical points. J. Comput. Phys. 2005, 207, 542–567. [Google Scholar] [CrossRef]
- Borges, R.; Carmona, M.; Costa, B.; Don, W.S. An improved weighted essentially non-oscillatory scheme for hyperbolic conservation laws. J. Comput. Phys. 2008, 227, 3191–3211. [Google Scholar]
- Feng, H.; Huang, C.; Wang, R. An improved mapped weighted essentially non-oscillatory scheme. Appl. Math. Comput. 2014, 232, 453–468. [Google Scholar] [CrossRef]
- Kossaczka, T.; Ehrhardt, M.; Gunther, M. A neural network enhanced weighted essentially non-oscillatory method for nonlinear degenerate parabolic equations. Phys. Fluids 2022, 34, 026604. [Google Scholar] [CrossRef]
- Diaz-Adame, R.; Jerez, S.; Carrillo, H. Fast and Optimal WENO Schemes for Degenerate Parabolic Conservation Laws. J. Sci. Comput. 2022, 90, 22. [Google Scholar] [CrossRef]
- Lin, J.; Xu, Y.; Xue, H.; Zhong, X. High Order Finite Difference WENO Methods with Unequal-Sized Sub-Stencils for the Degasperis-Procesi Type Equations. Commun. Comput. Phys. 2022, 31, 913–946. [Google Scholar] [CrossRef]
- Zhou, X.; Zhong, C.; Li, Z.; Li, F. Preconditioned Jacobian-free NewtoneKrylov fully implicit high order WENO schemes and flux limiter methods for two-phase flow models. Nucl. Eng. Technol. 2022, 54, 49–60. [Google Scholar] [CrossRef]
- Dumbser, M.; Kaser, M. Arbitrary high order non-oscillatory finite volume schemes on unstructured meshes for linear hyperbolic systems. J. Comput. Phys. 2007, 221, 693–723. [Google Scholar] [CrossRef]
- Zhong, X.; Shu, C.W. A simple weighted essentially nonoscillatory limiter for Runge–Kutta discontinuous Galerkin methods. J. Comput. Phys. 2013, 232, 397–415. [Google Scholar] [CrossRef]
- Pedro, J.C.; Banda, M.K.; Sibanda, P. On one-dimensional arbitrary high-order WENO schemes for systems of hyperbolic conservation laws. Comp. Appl. Math. 2014, 33, 363–384. [Google Scholar] [CrossRef]
- Zhu, J.; Zhong, X.; Shu, C.W.; Qiu, J. Runge-Kutta Discontinuous Galerkin Method with a Simple and Compact Hermite WENO Limiter on Unstructured Meshes. Commun. Comput. Phys. 2017, 21, 623–649. [Google Scholar] [CrossRef]
- Harten, A.; Engquist, B.; Osher, S.; Chakravarthy, S.R. Uniformly high order accurate essentially non-oscillatory schemes III. J. Comput. Phys. 1987, 71, 231–303. [Google Scholar] [CrossRef]
- Harten, A.; Osher, S. Uniformly high order accurate essentially non-oscillatory schemes I. SIAM J. Numer. Anal. 1987, 24, 279–309. [Google Scholar] [CrossRef]
- Harten, A.; Osher, S.; Engquist, B.; Chakravarthy, S.R. Some results on uniformly high order accurate essentially non-oscillatory schemes. Appl. Numer. Math. 1986, 2, 347–377. [Google Scholar] [CrossRef]
- Harten, A. ENO schemes with subcell resolution. J. Comput. Phys. 1989, 83, 148–184. [Google Scholar] [CrossRef]
- Li, R.; Zhong, W. Towards building the OP-Mapped WENO schemes: A general methodology. Math. Comput. Appl. 2021, 26, 67. [Google Scholar] [CrossRef]
- Wang, R.; Feng, H.; Huang, C. A New Mapped Weighted Essentially Non-oscillatory Method Using Rational Function. J. Sci. Comput. 2016, 67, 540–580. [Google Scholar] [CrossRef]
- Hong, Z.; Ye, Z.; Meng, X. A mapping-function-free WENO-M scheme with low computational cost. J. Comput. Phys. 2020, 405, 109145. [Google Scholar] [CrossRef]
- Shu, C.W.; Osher, S. Efficient implementation of essentially non-oscillatory shock-capturing schemes. J. Comput. Phys. 1988, 77, 439–471. [Google Scholar] [CrossRef]
- Gottlieb, S.; Shu, C.W.; Tadmor, E. Strong stability-preserving high-order time discretization methods. SIAM Rev. 2001, 43, 89–112. [Google Scholar] [CrossRef]
- Gottlieb, S.; Shu, C.W. Total variation diminishing Runge-Kutta schemes. Math. Comput. 1998, 67, 73–85. [Google Scholar] [CrossRef]
- Titarev, V.A.; Toro, E.F. ADER: Arbitrary high order Godunov approach. J. Sci. Comput. 2002, 17, 609–618. [Google Scholar] [CrossRef]
- Titarev, V.A.; Toro, E.F. High order ADER schemes for the scalar advection-reaction-diffusion equations. CFD J. 2003, 12, 1–6. [Google Scholar]
- Titarev, V.A.; Toro, E.F. ADER schemes for three-dimensional non-linear hyperbolic systems. J. Comput. Phys. 2005, 204, 715–736. [Google Scholar] [CrossRef]
- Balsara, D.; Rumpf, T.; Dumbser, M.; Munz, C.D. Efficient, high accuracy ADER-WENO schemes for hydrodynamics and divergence-free magnetohydrodynamics. J. Comput. Phys. 2009, 228, 2480–2516. [Google Scholar] [CrossRef]
- Dumbser, M.; Zanotti, O.; Hidalgo, A.; Balsara, D.S. ADER-WENO finite volume schemes with space-time adaptive mesh refinement. J. Comput. Phys. 2013, 248, 257–286. [Google Scholar] [CrossRef]
- Boscheri, W.; Balsara, D.S.; Dumbser, M. Lagrangian ADER-WENO finite volume schemes on unstructured triangular meshes based on genuinely multidimensional HLL Riemann solvers. J. Comput. Phys. 2014, 267, 112–138. [Google Scholar] [CrossRef][Green Version]
- Dumbser, M.; Hidalgo, A.; Zanotti, O. High order space-time adaptive ADER-WENO finite volume schemes for non-conservative hyperbolic systems. Comput. Meth. Appl. Mech. Eng. 2014, 268, 359–387. [Google Scholar] [CrossRef]
- Dumbser, M. Arbitrary-Lagrangian-Eulerian ADER-WENO finite volume schemes with time-accurate local time stepping for hyperbolic conservation laws. Comput. Meth. Appl. Mech. Eng. 2014, 280, 57–83. [Google Scholar] [CrossRef]
- Avesani, D.; Dumbser, M.; Vacondio, R.; Righetti, M. An alternative SPH formulation: ADER-WENO-SPH. Comput. Meth. Appl. Mech. Eng. 2021, 382, 113871. [Google Scholar] [CrossRef]
- Pirozzoli, S. On the spectral properties of shock-capturing schemes. J. Comput. Phys. 2006, 219, 489–497. [Google Scholar] [CrossRef]
- Yamaleev, N.K.; Carpenter, M.H. A systematic methodology for constructing high-order energy stable WENO schemes. J. Comput. Phys. 2009, 228, 4248–4272. [Google Scholar] [CrossRef]
- Fu, L.; Hu, X.Y.; Adams, N.A. A family of high-order targeted ENO schemes for compressible-fluid simulations. J. Comput. Phys. 2016, 305, 333–359. [Google Scholar] [CrossRef]
- Jung, C.Y.; Nguyen, T.B. A new adaptive weighted essentially non-oscillatory WENO-θ scheme for hyperbolic conservation laws. J. Comput. Appl. Math. 2018, 328, 314–339. [Google Scholar] [CrossRef]
- Christov, I.; Popov, B. New non-oscillatory central schemes on unstructured triangulations for hyperbolic systems of conservation laws. J. Comput. Phys. 2008, 227, 5736–5757. [Google Scholar] [CrossRef]
- Sod, G.A. A survey of several finite difference methods for systems of nonlinear hyperbolic conservation laws. J. Comput. Phys. 1978, 27, 1–31. [Google Scholar] [CrossRef]
- Lax, P.D. Weak solutions of nonlinear hyperbolic equations and their numerical computation. Commun. Pure Appl. Math. 1954, 7, 159–193. [Google Scholar] [CrossRef]
- Shu, C.W.; Osher, S. Efficient implementation of essentially non-oscillatory shock-capturing schemes II. J. Comput. Phys. 1989, 83, 32–78. [Google Scholar] [CrossRef]
- Titarev, V.A.; Toro, E.F. Finite-volume WENO schemes for three-dimensional conservation laws. J. Comput. Phys. 2004, 201, 238–260. [Google Scholar] [CrossRef]
- Toro, E.F.; Titarev, V.A. TVD Fluxes for the High-Order ADER Schemes. J. Sci. Comput. 2005, 24, 285–309. [Google Scholar] [CrossRef]
- Titarev, V.A.; Toro, E.F. WENO schemes based on upwind and centred TVD fluxes. Comput. Fluids 2005, 34, 705–720. [Google Scholar] [CrossRef]
- Woodward, P.; Colella, P. The numerical simulation of two-dimensional fluid flow with strong shocks. J. Comput. Phys. 1984, 54, 115–173. [Google Scholar] [CrossRef]
- Schulz-Rinne, C.W.; Collins, J.P.; Glaz, H.M. Numerical solution of the Riemann problem for two-dimensional gas dynamics. SIAM J. Sci. Comput. 1993, 14, 1394–1414. [Google Scholar] [CrossRef]
- Schulz-Rinne, C.W. Classification of the Riemann problem for two-dimensional gas dynamics. SIAM J. Math. Anal. 1993, 24, 76–88. [Google Scholar] [CrossRef]
- Lax, P.D.; Liu, X.D. Solution of two-dimensional Riemann problems of gas dynamics by positive schemes. SIAM J. Sci. Comput. 1998, 19, 319–340. [Google Scholar] [CrossRef]
- Chatterjee, A. Shock wave deformation in shock-vortex interactions. Shock Waves 1999, 9, 95–105. [Google Scholar] [CrossRef]
- Ren, Y.X.; Liu, M.; Zhang, H. A characteristic-wise hybrid compact-WENO scheme for solving hyperbolic conservation laws. J. Comput. Phys. 2003, 192, 365–386. [Google Scholar] [CrossRef]
- Zhang, S.; Shu, C.W. A new smoothness indicator for the WENO schemes and its effect on the convergence to steady state solutions. J. Sci. Comput. 2007, 31, 273–305. [Google Scholar] [CrossRef]

























| WENO-JS | WENO-Z | |||||||
| Error | Order | Error | Order | Error | Order | Error | Order | |
| 32 × 32 | 9.14867 | - | 1.30212 | - | 1.37189 | - | 1.93670 | - |
| 64 × 64 | 2.89801 | 4.9804 | 4.60009 | 4.8231 | 4.30223 | 4.9949 | 6.08057 | 4.9933 |
| 128 × 128 | 9.01604 | 5.0064 | 1.47194 | 4.9659 | 1.34593 | 4.9984 | 1.90308 | 4.9978 |
| 256 × 256 | 2.80641 | 5.0057 | 4.55154 | 5.0152 | 4.21019 | 4.9986 | 5.95384 | 4.9984 |
| WENO-NIP | WENO-NIP+ | |||||||
| Error | Order | Error | Order | Error | Order | Error | Order | |
| 32 × 32 | 1.36590 | - | 1.91790 | - | 1.36590 | - | 1.91790 | - |
| 64 × 64 | 4.30186 | 4.9887 | 6.07712 | 4.9800 | 4.30186 | 4.9887 | 6.07712 | 4.9800 |
| 128 × 128 | 1.34592 | 4.9983 | 1.90302 | 4.9970 | 1.34592 | 4.9983 | 1.90302 | 4.9970 |
| 256 × 256 | 4.21019 | 4.9986 | 5.95383 | 4.9983 | 4.21019 | 4.9986 | 5.95383 | 4.9983 |
| WENO-JS | WENO-Z | |||||||
| Error | Order | Error | Order | Error | Order | Error | Order | |
| 32 × 32 | 2.03062 | - | 4.04906 | - | 6.86957 | - | 1.34742 | - |
| 64 × 64 | 1.01926 | 4.3163 | 2.20372 | 4.1996 | 2.30572 | 4.8969 | 4.54011 | 4.8913 |
| 128 × 128 | 5.18485 | 4.2971 | 1.87594 | 3.5543 | 7.28369 | 4.9844 | 1.41758 | 5.0012 |
| 256 × 256 | 3.34442 | 3.9545 | 1.79724 | 3.3838 | 2.28079 | 4.9971 | 4.44483 | 4.9952 |
| WENO-NIP | WENO-NIP+ | |||||||
| Error | Order | Error | Order | Error | Order | Error | Order | |
| 32 × 32 | 7.11568 | - | 1.36979 | - | 7.11568 | - | 1.36979 | - |
| 64 × 64 | 2.31851 | 4.9397 | 4.50977 | 4.9248 | 2.31851 | 4.9397 | 4.50977 | 4.9248 |
| 128 × 128 | 7.28894 | 4.9913 | 1.41780 | 4.9913 | 7.28894 | 4.9913 | 1.41780 | 4.9913 |
| 256 × 256 | 2.28100 | 4.9980 | 4.44482 | 4.9954 | 2.28100 | 4.9980 | 4.44482 | 4.9954 |
Publisher’s Note: MDPI stays neutral with regard to jurisdictional claims in published maps and institutional affiliations. |
© 2022 by the authors. Licensee MDPI, Basel, Switzerland. This article is an open access article distributed under the terms and conditions of the Creative Commons Attribution (CC BY) license (https://creativecommons.org/licenses/by/4.0/).
Share and Cite
Li, R.; Zhong, W. Improvement of the WENO-NIP Scheme for Hyperbolic Conservation Laws. Axioms 2022, 11, 190. https://doi.org/10.3390/axioms11050190
Li R, Zhong W. Improvement of the WENO-NIP Scheme for Hyperbolic Conservation Laws. Axioms. 2022; 11(5):190. https://doi.org/10.3390/axioms11050190
Chicago/Turabian StyleLi, Ruo, and Wei Zhong. 2022. "Improvement of the WENO-NIP Scheme for Hyperbolic Conservation Laws" Axioms 11, no. 5: 190. https://doi.org/10.3390/axioms11050190
APA StyleLi, R., & Zhong, W. (2022). Improvement of the WENO-NIP Scheme for Hyperbolic Conservation Laws. Axioms, 11(5), 190. https://doi.org/10.3390/axioms11050190

