Truncated Fractional-Order Total Variation for Image Denoising under Cauchy Noise
Abstract
:1. Introduction
2. Preliminary
Truncated Fractional-Order Total Variation
3. Proposed Method
4. Numerical Experiments
4.1. Parameter Discussion
4.2. Image Denoising
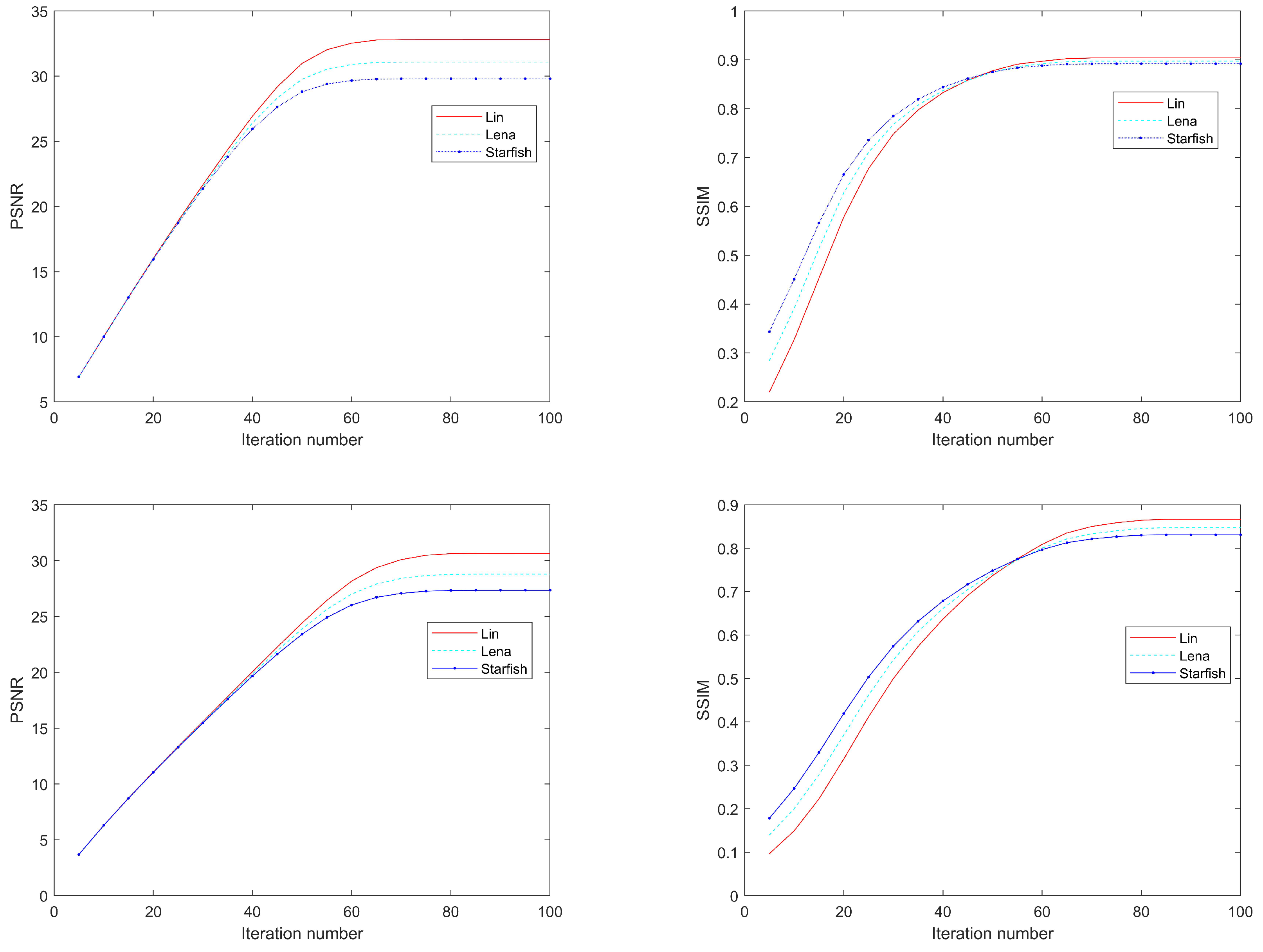
4.3. Convergence Analysis
5. Conclusions
Author Contributions
Funding
Institutional Review Board Statement
Informed Consent Statement
Data Availability Statement
Acknowledgments
Conflicts of Interest
References
- Idan, M.; Speyer, J.L. Cauchy estimation for linear scalar systems. IEEE Trans. Autom. Control 2010, 55, 1329–1342. [Google Scholar] [CrossRef]
- Kuruoglu, E.E.; Fitzgerald, W.J.; Rayner, P.J. Near optimal detection of signals in impulsive noise modeled with a symmetric alpha-stable distribution. IEEE Commun. Lett. 1998, 2, 282–284. [Google Scholar] [CrossRef]
- Peng, Y.; Chen, J.; Xu, X.; Pu, F. Sar images statistical modeling and classification based on the mixture of alpha-stable distributions. Remote Sens. 2013, 5, 2145–2163. [Google Scholar] [CrossRef] [Green Version]
- John, P.N. Numerical calculation of stable densities and distribution functions. Commun. Stat. Stoch. Model. 1997, 13, 759–774. [Google Scholar]
- Achim, A.; Kuruolu, E.E. Image denoising using bivariate α-stable distributions in the complex wavelet domain. IEEE Signal Process. Lett. 2005, 12, 17–20. [Google Scholar] [CrossRef]
- Wan, T.; Canagarajah, N.; Achim, A. Segmentation of noisy colour images using Cauchy distribution in the complex wavelet domain. IET Image Process. 2011, 5, 159–170. [Google Scholar] [CrossRef]
- Sciacchitano, F.; Dong, Y.; Zeng, T. Variational approach for restoring blurred images with cauchy noise. SIAM J. Imaging Sci. 2015, 8, 1894–1922. [Google Scholar] [CrossRef] [Green Version]
- Mei, J.; Dong, Y.; Huang, T.; Yin, W. Cauchy noise removal by nonconvex admm with convergence guarantees. J. Sci. Comput. 2018, 74, 743–766. [Google Scholar] [CrossRef] [Green Version]
- Liu, P.F.; Xiao, L. Efficient multiplicative noise removal method using isotropic second order total variation. Comput. Math. Appl. 2015, 70, 2029–2048. [Google Scholar] [CrossRef]
- Chen, Y.; Huang, T.Z.; Zhao, X.L.; Deng, L.J. Speckle noise removal in ultrasound images by first- and second-order total variation. Numer. Algorithms 2018, 78, 513–533. [Google Scholar]
- Tarmizi, A.; Raveendran, P. Hybrid non-convex second-order total variation with applications to non-blind image deblurring. Signal Image Video Process. 2020, 14, 115–123. [Google Scholar]
- Liu, X.W. Augmented Lagrangian method for total generalized variation based Poissonian image restoration. Comput. Math. Appl. 2016, 71, 1694–1705. [Google Scholar] [CrossRef]
- Gao, Y.; Liu, F.; Xiaoping, Y. Total generalized variation restoration with non-quadratic fidelity. Multidimens. Syst. Signal Process. 2018, 29, 1459–1484. [Google Scholar] [CrossRef]
- Shao, W.Z.; Wang, F.; Huang, L.L. Adapting total generalized variation for blind image restoration. Multidimens. Syst. Signal Process. 2019, 30, 857–883. [Google Scholar] [CrossRef]
- Jiang, L.; Yin, H. Total generalized variation and wavelet transform for impulsive image restoration. Signal Image Video Process. 2021. [Google Scholar] [CrossRef]
- Liang, J.W.; Zhang, X.Q. Retinex by Higher Order Total Variation L1 Decomposition. J. Math. Imaging Vis. 2015, 52, 345–355. [Google Scholar] [CrossRef]
- Liu, P. Hybrid higher-order total variation model for multiplicative noise removal. IET Image Process. 2020, 14, 862–873. [Google Scholar] [CrossRef]
- Sun, Y.; Lei, L.; Guan, D.; Li, X.; Kuang, G. SAR Image Speckle Reduction Based on Nonconvex Hybrid Total Variation Model. IEEE Trans. Geosci. Remote Sens. 2021, 59, 1231–1249. [Google Scholar] [CrossRef]
- Chowdhury, M.R.; Qin, J.; Lou, Y. Non-blind and Blind Deconvolution Under Poisson Noise Using Fractional-Order Total Variation. J. Math. Imaging Vis. 2020, 62, 1238–1255. [Google Scholar] [CrossRef]
- Chen, G.; Li, G.; Liu, Y.; Zhang, X.; Zhang, L. SAR Image Despeckling Based on Combination of Fractional-Order Total Variation and Nonlocal Low Rank Regularization. IEEE Trans. Geosci. Remote Sens. 2020, 58, 2056–2070. [Google Scholar] [CrossRef]
- Yang, X.; Zhang, J.; Liu, Y.; Zheng, X.; Liu, K. Super-resolution image reconstruction using fractional-order total variation and adaptive regularization parameters. Vis. Comput. 2019, 35, 1755–1768. [Google Scholar] [CrossRef]
- Chan, R.H.; Liang, H. Truncated fractional-order total variation model for image restoration. J. Oper. Res. Soc. China 2019, 7, 561–578. [Google Scholar] [CrossRef]
- Liang, H.; Zhang, J. Dual algorithm for truncated fractional variation based image denoising. Int. J. Comput. Math. 2019, 97, 1–13. [Google Scholar] [CrossRef]
- Frieden, B. A new restoring algorithm for the preferential enhancement of edge gradients. J. Opt. Soc. Am. 1976, 66, 116–123. [Google Scholar] [CrossRef]
- Wang, Z.; Bovik, A.; Sheikh, H.; Simoncelli, E. Image quality assessment: From error visibility to structural similarity. IEEE Trans. Image Process. 2004, 13, 600–612. [Google Scholar] [CrossRef] [PubMed] [Green Version]






| Order | Image | Lin | Lena | Starfish | Monarch | Parrots | Pallon | |
|---|---|---|---|---|---|---|---|---|
| 0.02 | PSNR (dB) | 32.6540 | 30.8777 | 29.5223 | 30.0423 | 33.6052 | 31.2158 | |
| SSIM | 0.8979 | 0.8904 | 0.8851 | 0.9148 | 0.8949 | 0.8952 | ||
| PSNR (dB) | 32.8101 | 31.0835 | 29.7979 | 30.1435 | 33.6994 | 31.4119 | ||
| SSIM | 0.9039 | 0.8977 | 0.8920 | 0.9216 | 0.8997 | 0.9011 | ||
| PSNR (dB) | 32.7393 | 31.0464 | 29.7474 | 30.0382 | 33.6463 | 31.3735 | ||
| SSIM | 0.9053 | 0.8998 | 0.8919 | 0.9232 | 0.9011 | 0.9026 | ||
| PSNR (dB) | 32.5558 | 30.8884 | 29.5741 | 29.8435 | 33.5011 | 31.2102 | ||
| SSIM | 0.9039 | 0.8976 | 0.8889 | 0.9225 | 0.9005 | 0.9015 | ||
| PSNR (dB) | 31.2377 | 29.8783 | 28.7559 | 28.9616 | 31.9868 | 30.1515 | ||
| SSIM | 0.8902 | 0.8833 | 0.8758 | 0.9125 | 0.8874 | 0.8876 | ||
| PSNR (dB) | 30.0010 | 28.8982 | 27.9622 | 28.1182 | 30.5678 | 29.1301 | ||
| SSIM | 0.8784 | 0.8706 | 0.8657 | 0.9019 | 0.8745 | 0.8752 | ||
| 0.04 | PSNR (dB) | 30.5904 | 28.6729 | 27.1310 | 27.6771 | 29.0138 | 31.6858 | |
| SSIM | 0.8654 | 0.8428 | 0.8238 | 0.8756 | 0.8622 | 0.8697 | ||
| PSNR (dB) | 30.6629 | 28.7953 | 27.3793 | 27.8112 | 29.1444 | 31.7235 | ||
| SSIM | 0.8667 | 0.8482 | 0.8326 | 0.8800 | 0.8644 | 0.8697 | ||
| PSNR(dB) | 30.0983 | 28.4428 | 27.1130 | 27.2980 | 28.7271 | 31.0574 | ||
| SSIM | 0.8521 | 0.8376 | 0.8249 | 0.8709 | 0.8508 | 0.8548 | ||
| PSNR (dB) | 27.4326 | 26.4269 | 25.5197 | 25.5712 | 26.6072 | 27.9338 | ||
| SSIM | 0.8064 | 0.7998 | 0.7939 | 0.8381 | 0.8088 | 0.8097 | ||
| PSNR (dB) | 23.4457 | 22.9880 | 22.5588 | 22.5492 | 23.0828 | 23.6297 | ||
| SSIM | 0.7358 | 0.7383 | 0.7411 | 0.7840 | 0.7439 | 0.7368 | ||
| PSNR(dB) | 21.6235 | 21.3118 | 21.0121 | 20.9940 | 21.3740 | 21.7438 | ||
| SSIM | 0.7036 | 0.7095 | 0.7147 | 0.7293 | 0.7566 | 0.7143 |
| Algorithm | Median [24] | Mei’s Method [8] | Our Method | |||
|---|---|---|---|---|---|---|
| Image | PSNR (dB) | SSIM | PSNR (dB) | SSIM | PSNR (dB) | SSIM |
| Lin | 31.2381 | 0.8563 | 31.4169 | 0.8679 | 32.8101 | 0.9039 |
| Lena | 29.6954 | 0.8640 | 30.3413 | 0.8826 | 31.0835 | 0.8977 |
| Starfish | 26.2701 | 0.8630 | 29.2600 | 0.8788 | 29.7979 | 0.8920 |
| Monarch | 29.4393 | 0.8925 | 29.7134 | 0.9043 | 30.1435 | 0.9216 |
| Parrot | 29.7421 | 0.8597 | 30.6362 | 0.8766 | 31.4119 | 0.9011 |
| Pallon | 31.9994 | 0.8539 | 32.8719 | 0.8785 | 33.6994 | 0.8997 |
| Boats | 29.0469 | 0.8376 | 30.1942 | 0.8773 | 30.5385 | 0.8818 |
| Elaine | 32.1007 | 0.8852 | 32.2804 | 0.8988 | 33.2166 | 0.9078 |
| Algorithm | Median [24] | Mei’s Method [8] | Our Method | |||
|---|---|---|---|---|---|---|
| Image | PSNR (dB) | SSIM | PSNR (dB) | SSIM | PSNR (dB) | SSIM |
| Lin | 28.4978 | 0.7064 | 29.3442 | 0.8326 | 30.6629 | 0.8667 |
| Lena | 27.3856 | 0.7540 | 28.0523 | 0.8312 | 28.7953 | 0.8482 |
| Starfish | 26.3759 | 0.7809 | 26.4340 | 0.7926 | 27.3793 | 0.8326 |
| Monarch | 26.2771 | 0.7977 | 27.2914 | 0.8636 | 27.8112 | 0.8800 |
| Parrot | 27.3956 | 0.7293 | 28.4972 | 0.8444 | 29.1444 | 0.8644 |
| Pallon | 28.9130 | 0.7064 | 31.5087 | 0.8668 | 31.7235 | 0.8697 |
| Boats | 26.8995 | 0.7392 | 27.5676 | 0.8008 | 28.2589 | 0.8244 |
| Elaine | 28.8692 | 0.7772 | 29.7711 | 0.8490 | 30.8427 | 0.8679 |
Publisher’s Note: MDPI stays neutral with regard to jurisdictional claims in published maps and institutional affiliations. |
© 2022 by the authors. Licensee MDPI, Basel, Switzerland. This article is an open access article distributed under the terms and conditions of the Creative Commons Attribution (CC BY) license (https://creativecommons.org/licenses/by/4.0/).
Share and Cite
Zhu, J.; Wei, J.; Lv, H.; Hao, B. Truncated Fractional-Order Total Variation for Image Denoising under Cauchy Noise. Axioms 2022, 11, 101. https://doi.org/10.3390/axioms11030101
Zhu J, Wei J, Lv H, Hao B. Truncated Fractional-Order Total Variation for Image Denoising under Cauchy Noise. Axioms. 2022; 11(3):101. https://doi.org/10.3390/axioms11030101
Chicago/Turabian StyleZhu, Jianguang, Juan Wei, Haijun Lv, and Binbin Hao. 2022. "Truncated Fractional-Order Total Variation for Image Denoising under Cauchy Noise" Axioms 11, no. 3: 101. https://doi.org/10.3390/axioms11030101
APA StyleZhu, J., Wei, J., Lv, H., & Hao, B. (2022). Truncated Fractional-Order Total Variation for Image Denoising under Cauchy Noise. Axioms, 11(3), 101. https://doi.org/10.3390/axioms11030101

