Modeling Multi-Dimensional Public Opinion Process Based on Complex Network Dynamics Model in the Context of Derived Topics
Abstract
:1. Introduction
2. Literature Review
3. Model Construction
3.1. Initial Public Opinion Propagation Model
3.2. The Formation Process of Derived Subtopics
3.2.1. The Degree of Variation P
3.2.2. The Formation of Subtopics
3.3. The Propagation Process of Derived Subtopics
3.3.1. The Propagation Parameter of Derived Subtopics
- (1)
- For all real numbers s, t satisfies 0 ≤ s ≤ t, Bt−Bs and Fs are independent;
- (2)
- When 0 ≤ s ≤ t, Bt − Bs obeys the normal distribution N(0, t − s), the normal distribution satisfies the mean value of 0 and the variance is t − s.
3.3.2. The Propagation Model of Derived Subtopics
3.4. The Formation of Multi-Dimensional Derived Public Opinion
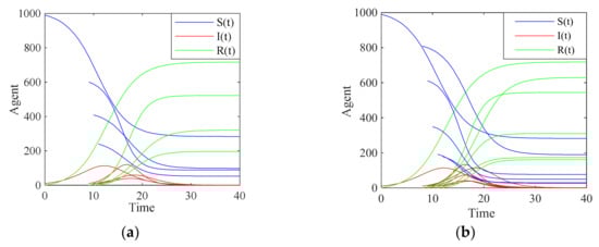
4. Simulation Experiments
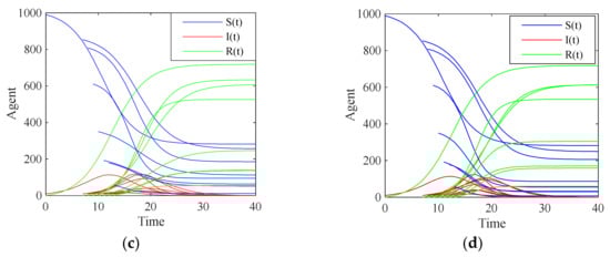
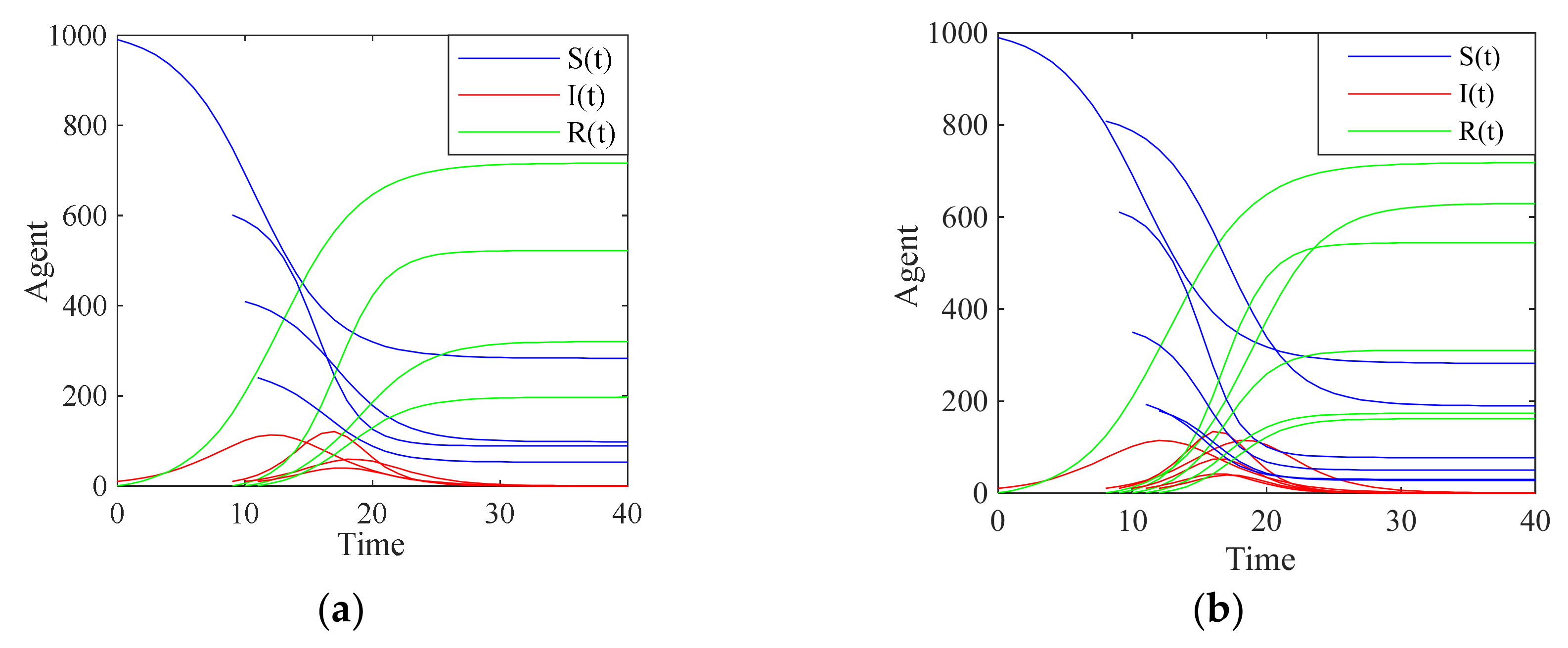
4.1. The Impact of Information Alienation on the Formation of Multi-Dimensional Public Opinion
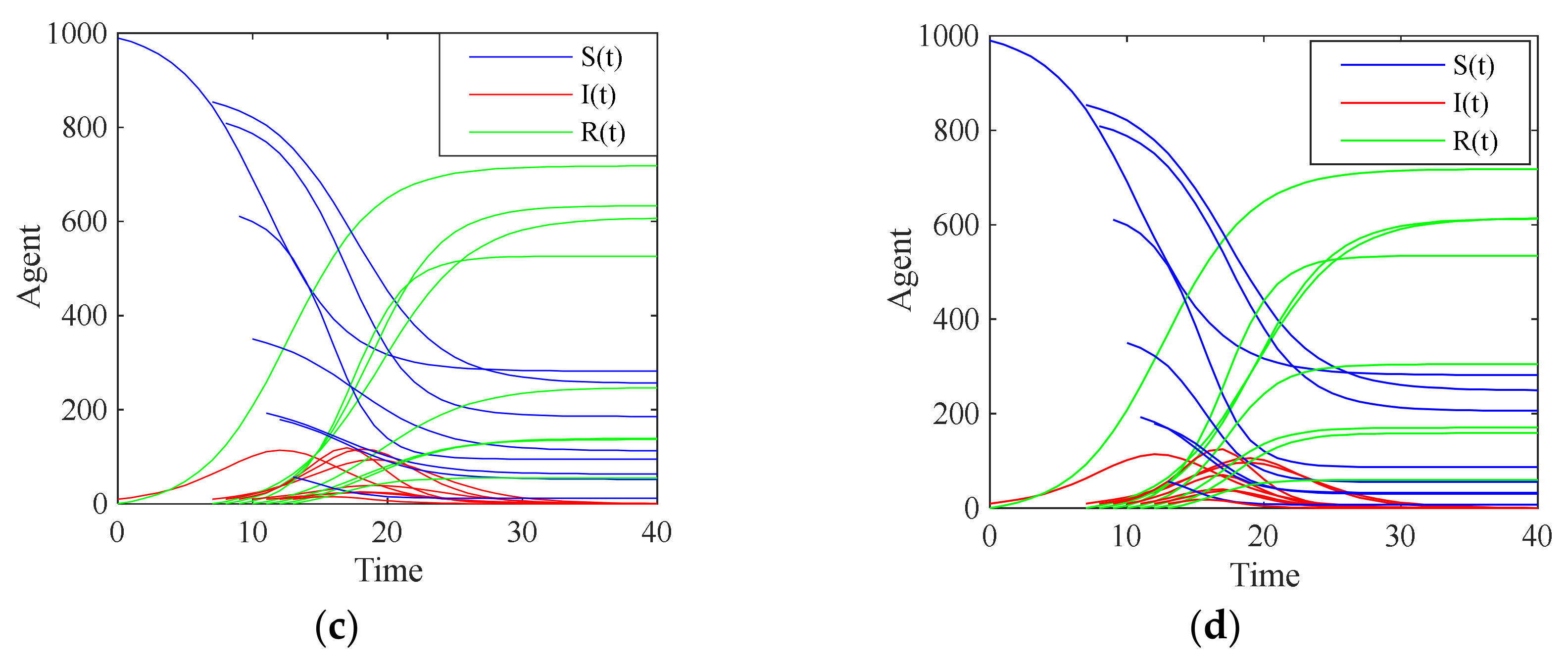
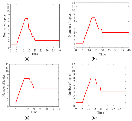
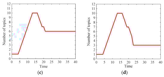
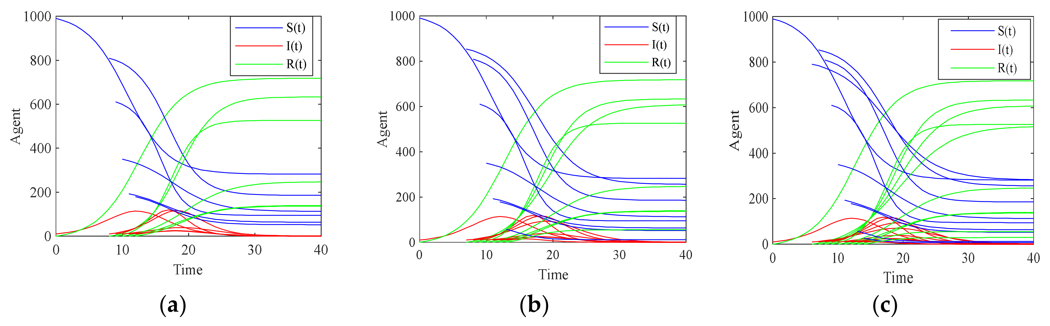
4.1.1. The Impact of Information Alienation on the Amount of Derived Subtopics and Propagation Process
4.1.2. The Impact of Information Alienation on the Degree of Multi-Dimensional Public Opinion
4.2. The Impact of Environmental Forces on the Formation of Multi-Dimensional Public Opinion
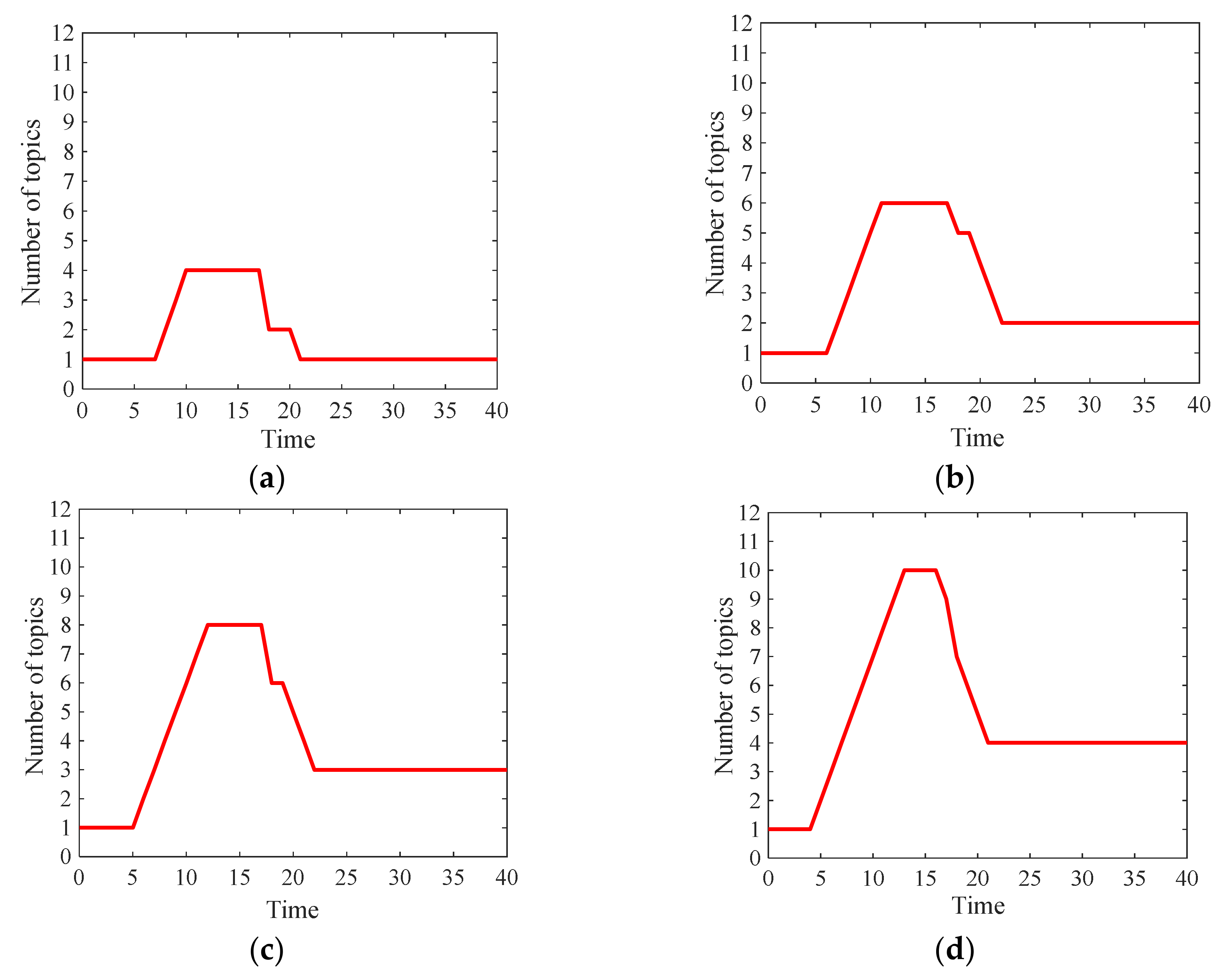
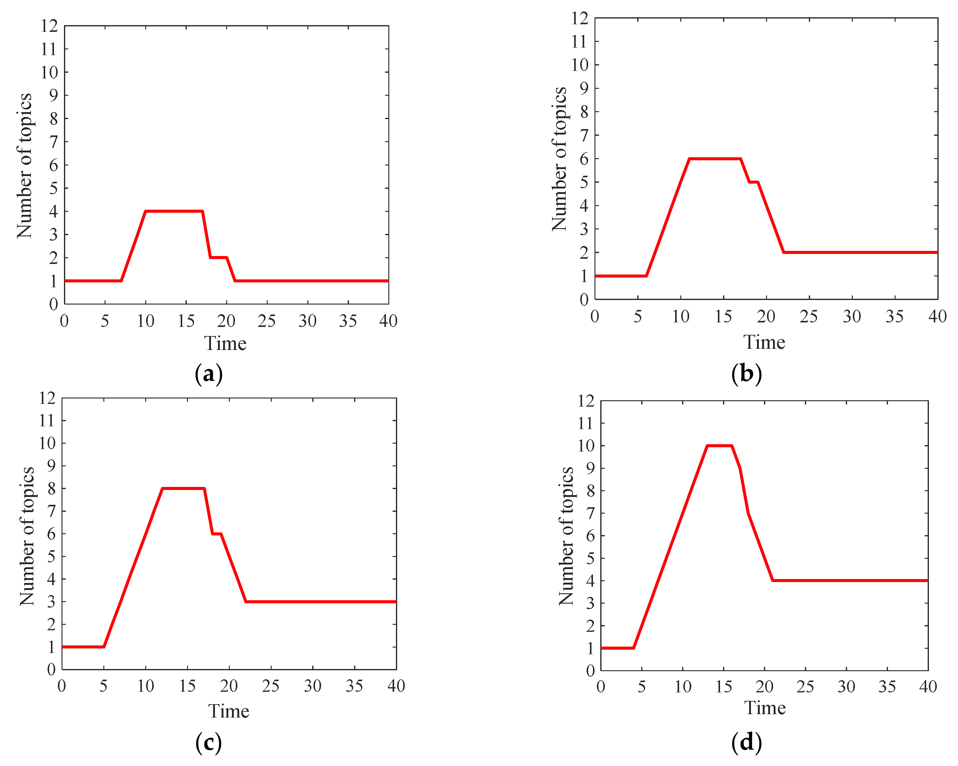
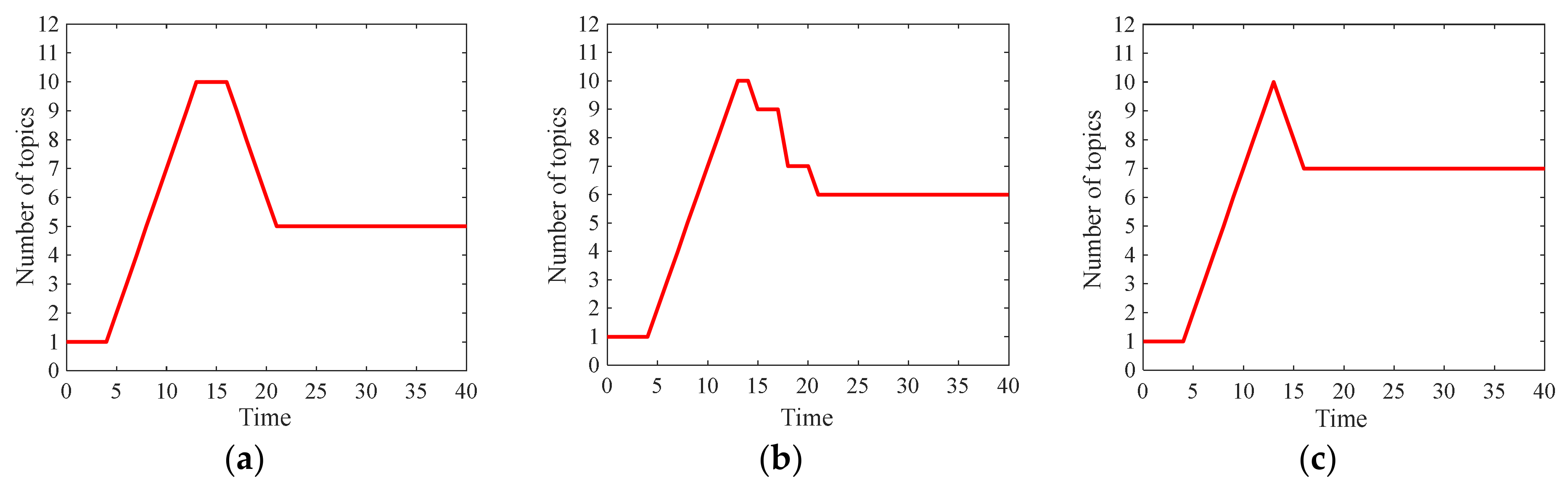
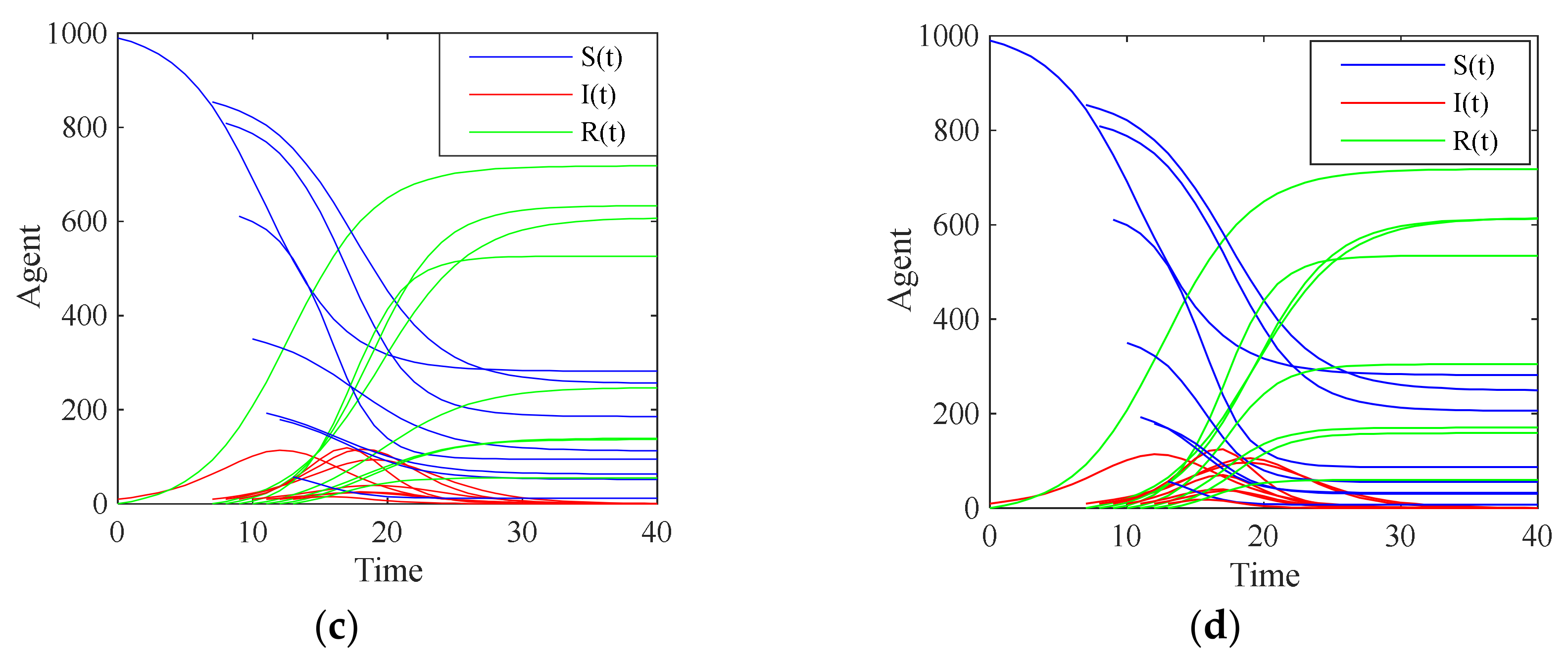
4.2.1. The Impact of Environmental Forces on the Number of Derived Subtopics and the Propagation Process
4.2.2. The Impact of Environmental Forces on the Dimensions of Multi-Dimensional Public Opinion
4.2.3. Analysis of the Combination of Factors Influencing the Number of Derived Subtopics
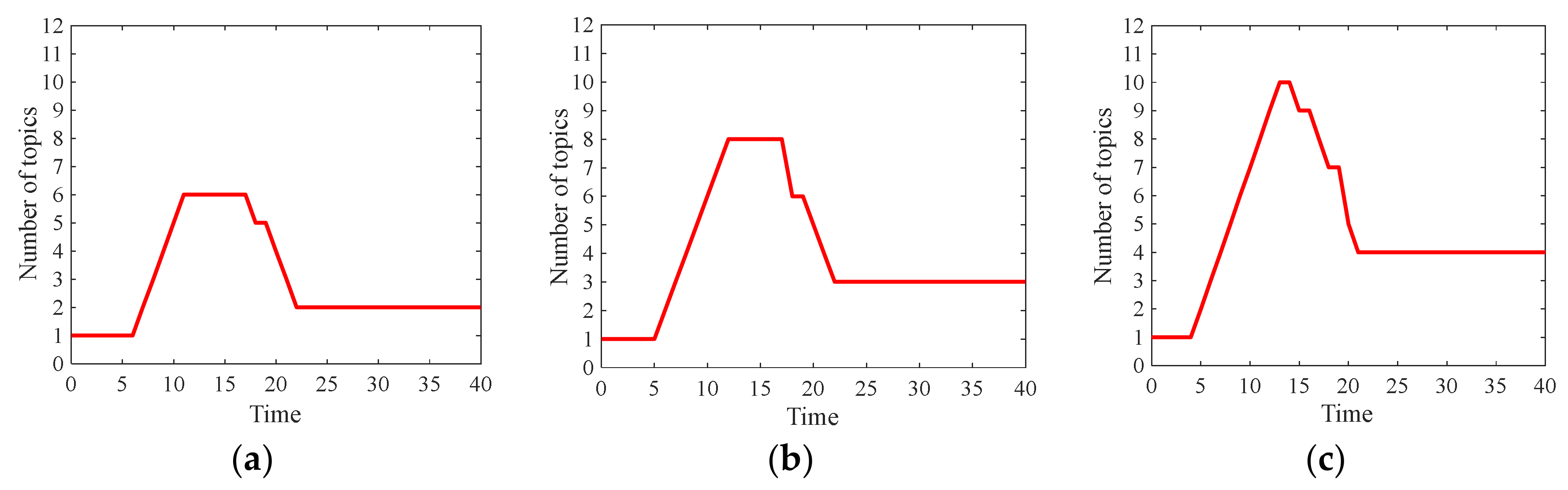
4.3. The Impact of Topic Correlation on the Formation Process of Multi-Dimensional Public Opinion
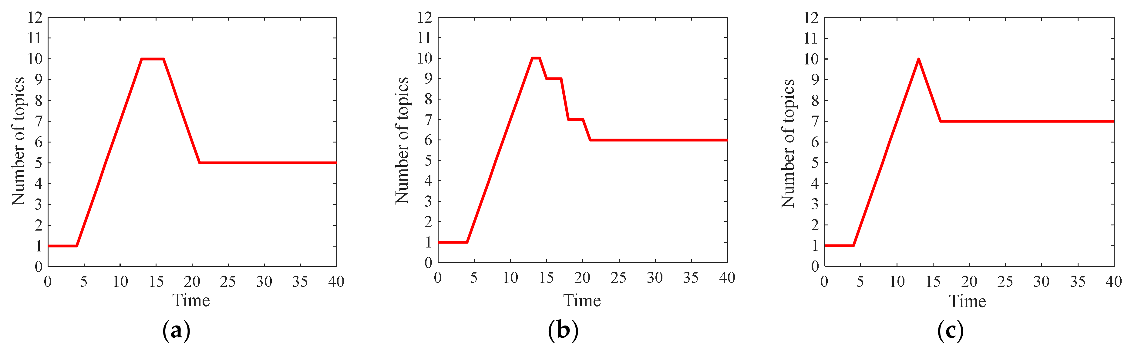
4.4. The Impact of the Amount of Information Contained in Subtopics on the Formation Process of Multi-Dimensional Public Opinion
4.5. Combination Analysis of Various Factors Affecting the Multi-Dimensional Public Opinion
4.6. The Influence of Network Topology on the Formation Process of Public Opinion Dimensions
5. Empirical Analysis
6. Conclusions
- (1)
- When the degree of information alienation reaches a certain threshold, derived subtopics will be generated. In addition, when the degree of information alienation is high, the earliest derived subtopics may not necessarily form derived public opinion but later derived subtopics may also be generated. Derived public opinion is formed, and the degree of information alienation has a greater impact on the number of derived subtopics but has small impact on the dimensions of the final state of public opinion.
- (2)
- Environmental forces and the amount of information contained in subtopics are the key factors that affect the formation of multi-dimensional public opinion. Among them, environmental forces have a greater impact on the early subtopics, and the amount of information contained in subtopics is key to forming derived public opinion.
- (3)
- Subtopics that are highly related to the initial public opinion topic are more likely to form derived public opinions. When all subtopics are highly correlated with the initial public opinion, the subtopic with the highest degree of correlation may not necessarily form a derived public opinion, but subtopics generated in the early stage are more likely to form a derived public opinion.
- (4)
- The network topology does not have much impact on the number of subtopics, but it has a greater impact on the number of individuals participating in the discussion of the subtopics, and the dimensions of multidimensional public opinion formed by the network topology with a high aggregation coefficient and short average path length are greater.
- (1)
- This paper does not consider the influence of external information intervention in the study of the formation process of multi-dimensional public opinion and subsequent intervention mechanisms which can be introduced to study the influence of external information on initial public opinion and derived public opinion.
- (2)
- The paper considers the situation of static nodes without considering the increase or withdrawal of Internet users’ nodes [38]. In reality, individuals participating in discussion of derived subtopics often increase and decrease. Therefore, the multi-dimensional public opinion evolution mechanism under the dynamic network can be considered in the follow-up research.
- (3)
- In this paper, the dynamic equations for complex networks only considers the node average degree of uniform networks and cannot reflect the connections between each node and its neighbor. Therefore, more complex dynamic equations should be considered to simulate the infection process of each node in future.
Author Contributions
Funding
Institutional Review Board Statement
Informed Consent Statement
Data Availability Statement
Conflicts of Interest
References
- An, L.; Dai, Y.; Zhou, Y. Research on the formation and evolution of public opinion derived from public safety events-based on topic and time series analysis. Public Secur. Stud. 2020, 12, 18–35. [Google Scholar]
- Chen, T.; Rong, J.; Yang, J.; Cong, G.; Li, G. Combining Public Opinion Dissemination with Polarization Process Considering Individual Heterogeneity. Healthcare 2021, 9, 176. [Google Scholar] [CrossRef]
- Lan, Y.; Dong, X.; Zeng, R.; Qi, Z. Research on effects model of derived of network public opinion from the perspective of information alienation. J. Intell. 2015, 34, 139–143. [Google Scholar]
- Zhang, Y.; Feng, Y. Two-layer coupled network model for topic derivation in public opinion propagation. China Commun. 2020, 17, 176–187. [Google Scholar] [CrossRef]
- Korobeinikov, A. Global properties of SIR and SEIR epidemic models with multiple parallel infectious stages. Bull. Math. Biol. 2009, 71, 75. [Google Scholar] [CrossRef] [PubMed]
- Arenas, A.; Cota, W.; Gomez-Gardenes, J.; Gomez, S.; Steinegger, B. A mathematical model for the spatiotemporal epidemic spreading of COVID19. MedRxiv 2020, 10, 1101. [Google Scholar]
- Estrada, E. COVID-19 and SARS-CoV-2. Modeling the present, looking at the future. Phys. Rep. 2020, 869, 1–51. [Google Scholar] [CrossRef]
- Yang, L.; Li, Z.; Giua, A. Containment of rumor spread in complex social networks. Inf. Sci. 2020, 506, 113–130. [Google Scholar] [CrossRef]
- Zanette, D.H. Dynamics of rumor propagation on small-world networks. Phys. Rev. E 2002, 65, 041908. [Google Scholar] [CrossRef] [Green Version]
- Moreno, Y.; Nekovee, M.; Pacheco, A.F. Dynamics of rumor spreading in complex networks. Phys. Rev. E 2004, 69, 066130. [Google Scholar] [CrossRef] [Green Version]
- Zhou, J.; Liu, Z.; Li, B. Influence of network structure on rumor propagation. Phys. Lett. A 2007, 368, 458–463. [Google Scholar] [CrossRef]
- Tan, Y.; Lin, Q.; Luan, Y.; Chen, T.; Qiao, Y.; Luan, Y. Campus Network Public Opinion Monitoring System Based on Reptile Technology. IOP Conf. Ser. Earth Environ. Sci. 2019, 252, 21. [Google Scholar] [CrossRef] [Green Version]
- You, C.; Zhu, D.; Sun, Y.; Ye, A. Social-Network-Oriented Public Opinion Monitoring Platform Based on ElasticSearch. Comput. Mater. Contin. 2019, 61, 1271–1283. [Google Scholar] [CrossRef]
- Chen, T.; Yin, X.; Peng, L.; Rong, J.; Yang, J.; Cong, G. Monitoring and Recognizing Enterprise Public Opinion from High-Risk Users Based on User Portrait and Random Forest Algorithm. Axioms 2021, 10, 106. [Google Scholar] [CrossRef]
- Wang, C.; Wang, G.; Luo, X.; Li, H. Modeling rumor propagation and mitigation across multiple social networks. Phys. A Stat. Mech. Its Appl. 2019, 535, 122240. [Google Scholar] [CrossRef]
- Askarizadeh, M.; TorkLadani, B.; Manshaei, M.H. An evolutionary game model for analysis of rumor propagation and control in social networks. Phys. A Stat. Mech. Its Appl. 2019, 523, 21–39. [Google Scholar] [CrossRef]
- Zhang, S. Multi-Dimensional Analysis of causes of network-derived public opinion from the perspective of spreading factors. J. Beijing Adm. Inst. 2019, 4, 56–63. [Google Scholar]
- Duncan, J.; Peter, S. Influentials, networks, and public opinion formation. J. Consum. Res. 2007, 34, 441–458. [Google Scholar]
- Li, H. Research on evolution law and countermeasure of the derived network public opinion based on information alienation theory-taking internet rumors governance for example. J. Mod. Inf. 2015, 35, 4–8. [Google Scholar]
- Snyder, J.; Cai, W.; D’Souza, R. Degree-targeted cascades in modular, degree-heterogeneous networks. Phys. Soc. 2020, 1, 09316. [Google Scholar]
- Wang, L.; Dai, J. Research on the quantitative analytical method of network public opinion derived chain. Inf. Sci. 2016, 34, 59–63. [Google Scholar]
- Chen, T.; Li, Q.; Fu, P.; Yang, J.; Xu, C.; Cong, G.; Li, G. Public opinion polarization by individual revenue from the social preference theory. Int. J. Environ. Res. Public Health 2020, 17, 946. [Google Scholar] [CrossRef] [Green Version]
- Li, J.; Xiao, R. Agent-based modelling approach for multidimensional opinion polarization in collective behaviour. J. Artif. Soc. Soc. Simul. 2017, 20, 14. [Google Scholar] [CrossRef]
- Parsegov, S.E.; Proskurnikov, A.V.; Tempo, R.; Friedkin, N.E. Novel multidimensional models of opinion dynamics in social networks. IEEE Trans. Autom. Control 2016, 62, 2270–2285. [Google Scholar] [CrossRef] [Green Version]
- Sun, Y.; Chai, R. An Early-Warning Model for Online Learners Based on User Portrait. Ingénierie Des Systèmesd’ Inf. 2020, 25, 535–541. [Google Scholar] [CrossRef]
- Wang, G.; Chi, Y.; Liu, Y.; Wang, Y. Studies on a multidimensional public opinion network model and its topic detection algorithm. Inf. Process. Manag. 2019, 56, 584–608. [Google Scholar] [CrossRef]
- Wang, Y.; Wang, J. SIR rumor spreading model considering the effect of difference in nodes’ identification capabilities. Int. J. Mod. Phys. C 2017, 28, 15. [Google Scholar] [CrossRef]
- Lu, Y. Study on the Spread of Complex Network Virus Based on Human Behavior. Ph.D. Thesis, Nanjing University of Posts and Telecommunications, Nanjing, China, 2015. [Google Scholar]
- Liu, D.; Wang, W.; Li, H. Evolutionary mechanism and information supervision of public opinions in internet emergency. Procedia Comput. Sci. 2013, 17, 973–980. [Google Scholar] [CrossRef] [Green Version]
- Wang, H.; Lan, Y.; Pan, Y. Research on the causes of internet derived public opinion from the perspective of information alienation dynamics. Mod. Intell. 2013, 33, 59–63. [Google Scholar] [CrossRef]
- Guo, Y. Analysis of Variation and Evolution of Network Public Opinion Based on Cellular Automata. Ph.D. Thesis, Beijing Jiaotong University, Beijing, China, 2016. [Google Scholar]
- Liu, C. Random Process; Huazhong University of Science and Technology Press: Wuhan, China, 2008. [Google Scholar]
- Chen, T.; Peng, L.; Yin, X.; Jing, B.; Yang, J.; Cong, G.; Li, G. A Policy Category Analysis Model for Tourism Promotion in China During the COVID-19 Pandemic Based on Data Mining and Binary Regression. Risk Manag. Healthc. Policy 2020, 13, 3211–3233. [Google Scholar] [CrossRef]
- Chen, T.; Peng, L.; Yang, J.; Cong, G. Analysis of User Needs on Downloading Behavior of English Vocabulary APPs Based on Data Mining for Online Comments. Mathematics 2021, 9, 1341. [Google Scholar] [CrossRef]
- Adnerson, R.M.; May, R.M. Infectious diseases of humans: Dynamics and control. Science 1991, 254, 591–592. [Google Scholar]
- Wallinga, J.; Lipsitch, M. How generation intervals shape the relationship between growth rates and reproductive numbers. Proc. Biol. Sci. 2007, 274, 599–604. [Google Scholar] [CrossRef] [PubMed] [Green Version]
- Goh, K.I.; Kahng, B.; Kim, D. Universal behavior of load distribution in scale-free networks. Phys. Rev. Lett. 2001, 87, 278701. [Google Scholar] [CrossRef] [Green Version]
- Chen, T.; Rong, J.; Peng, L.; Yang, J.; Cong, G.; Fang, J. Analysis of Social Effects on Employment Promotion Policies for College Graduates Based on Data Mining for Online Use Review in China during the COVID-19 Pandemic. Healthcare 2021, 9, 846. [Google Scholar] [CrossRef] [PubMed]




































| Parameters | Description |
|---|---|
| α | Infection rate |
| β | Immunity rate |
| ρ | Information alienation rate |
| δ | Environmental forces |
| θi | The topic correlation between the ith derived subtopic and the initial public opinion |
| σi | The amount of information contained in the ith derived subtopic |
| PU | The parameter of highly variable degree threshold |
| g0 | The attention threshold |
| Variable | Description |
|---|---|
| S(t) | The numberof susceptible individuals in the network at time t |
| I(t) | The number of infective individuals in the network at time t |
| R(t) | The number of recovered individuals in the network at time t |
| P | The degree of variation of initial public opinion |
| gi | Individual i’s attention to subtopics |
| R0 | Basic reproduction number |
| Network Name | Average Path Length | Aggregation Coefficient | Average |
|---|---|---|---|
| WS small world network | 5.3719 | 0.0088 | 4 |
| BA network | 4.0282 | 0.034 | 3.964 |
| Fully connected network | 1 | 1 | 999 |
| Release Time | Topic | Reading Volume | Discussion Volume | Topic Number |
|---|---|---|---|---|
| 11.09 | #One new local confirmed case of COVID-19 in Shanghai # | 240 m | 6607 | 0 |
| 11.10 | #Shanghai Epidemic Prevention and Control Work Conference# | 300 m | 18,000 | 1 |
| 11.21 | #One Community in Pudong New Area Was Upgraded to Medium Risk Degree# | 23.868 m | 594 | 2 |
| 11.21 | #One Community in Pudong New Area Will Be Upgraded to Medium Risk Degree Tomorrow# | 130 m | 3452 | 3 |
| 11.21 | #4015 people in Shanghai Pudong Hospital have been quarantined# | 450 m | 17,000 | 4 |
| 11.21 | #83 people that once contacted with infected person were tracked# | 100 m | 6383 | 5 |
| 11.21 | #1 new COVID-19 case confirmed among15,416 people in Shanghai# | 32.914 m | 1319 | 6 |
| 11.23 | #2 new local confirmed cases of COVID-19 in Shanghai# | 710 m | 28,000 | 7 |
| 11.23 | #One COVID-19 patient once exposed toan aviation container# | 310 m | 8109 | 8 |
| 11.29 | #Shanghai Songjiang # | 12.469 m | 3106 | 9 |
| 11.29 | #No COVID-19 in Shanghai Songjiang # | 6.118 m | 431 | 10 |
| 1129 | #Reasults of 6 local confirmed case of COVID-19 in Shanghai# | 190 m | 3670 | 11 |
Publisher’s Note: MDPI stays neutral with regard to jurisdictional claims in published maps and institutional affiliations. |
© 2021 by the authors. Licensee MDPI, Basel, Switzerland. This article is an open access article distributed under the terms and conditions of the Creative Commons Attribution (CC BY) license (https://creativecommons.org/licenses/by/4.0/).
Share and Cite
Chen, T.; Yin, X.; Yang, J.; Cong, G.; Li, G. Modeling Multi-Dimensional Public Opinion Process Based on Complex Network Dynamics Model in the Context of Derived Topics. Axioms 2021, 10, 270. https://doi.org/10.3390/axioms10040270
Chen T, Yin X, Yang J, Cong G, Li G. Modeling Multi-Dimensional Public Opinion Process Based on Complex Network Dynamics Model in the Context of Derived Topics. Axioms. 2021; 10(4):270. https://doi.org/10.3390/axioms10040270
Chicago/Turabian StyleChen, Tinggui, Xiaohua Yin, Jianjun Yang, Guodong Cong, and Guoping Li. 2021. "Modeling Multi-Dimensional Public Opinion Process Based on Complex Network Dynamics Model in the Context of Derived Topics" Axioms 10, no. 4: 270. https://doi.org/10.3390/axioms10040270
APA StyleChen, T., Yin, X., Yang, J., Cong, G., & Li, G. (2021). Modeling Multi-Dimensional Public Opinion Process Based on Complex Network Dynamics Model in the Context of Derived Topics. Axioms, 10(4), 270. https://doi.org/10.3390/axioms10040270

