Abstract
To separate one base metal mineral from another by flotation, it is indispensable to identify chemical reagents that specifically interact with the surface metal sites of one mineral or a group of minerals. This work studies the interactions of chelating collectors which offer the best potential for collecting abilities and mineral specificity with a typical refractory oxide mineral (malachite). Zeta potential, adsorption and Fourier transform infrared (FTIR) measurements are applied to differentiate the interactions of salicylaldoxime and salicyl hydroxamate on the malachite surface. Salicylaldoxime and salicyl hydroxamate are of molecular structures that resemble each other, but with different bond distances in the ligand atoms which result in their unusual adsorption behavior and collecting ability. Thus, the flotation of malachite behaves differently with the two chelating collectors. This study might provide useful clues for designing novel collectors in base metal oxide flotations.
1. Introduction
With the depletion of easy-to-process sulfide copper ores, refractory copper oxides have been increasingly studied to process all over the world. Leaching-solvent extraction-electrowinning (L-SX-EW) and froth flotation are the two methods to beneficiate these ores, of which froth flotation is more economic. Particularly for mixed copper sulfide and oxide ores (e.g., Minto Mine in Yukon, Canada) that are not amenable to L-SX-EW, the development of complementary chemical agents to float the oxides becomes the primary option [1]. However, oxide copper ores (e.g., malachite) respond poorly to traditional sulfide copper (e.g., thiol) collectors in flotation because of their more hydrophilic oxide surfaces [2]. In practices, controlled potential sulfidization, prior to the addition of thiol collectors, has been applied to overcome this problem [3,4], but it is problematic in controlling accuracy, especially for the mixture of sulfide and oxide copper ores, because a slight excess of sulfidizing agents in the pulp depresses the flotation but an insufficient amount produces poor recoveries [5]. Therefore, chelating reagents with superior collecting abilities and strong metal and mineral specificity to float copper oxides independently have been extensively explored. Chelating collector molecules contain a reactive functional group with ligand atoms such as S, N and O in positions capable of bonding the same metal atom through two or more different ligand atoms to form a heterocyclic ring in which the metal atom is one of the members. They are classified into S-S, S-N, N-N, N-O and O-O types based on their bidentate ligands [6]. Although the study of chelating collectors dates back to 1940s and one type of S-S chelating collector, namely xanthate, has found great success in sulfide flotation [7], in oxide flotations, most of the chelating reagents have only been synthesized and tested for their collecting power in laboratory without commercial applications.
Hydroxamate, which is an O-O type chelating reagent, is the most intensively studied reagent in the development of novel collectors in oxide flotation. In the early stage, potassium octyl hydroxamate was found to chemically adsorb on the malachite surface, so as to be an effective collector for malachite flotation between pH 6 and 10 [8]. While complete flotation of chrysocolla was obtained with potassium octyl hydroxamate as the collector at pH 6 at room temperature, and the flotation response was enhanced with increased temperature when low additions of hydroxamate were involved [9]. Furthermore, hydroxamate was used for the removal of colored titaniferous impurities from kaolin clay in flotation industries [10]. In recent years, advanced surface characterization techniques have been employed to study the interaction of hydroxamate on oxide minerals. For example, X-ray photoelectron spectroscopy (XPS) investigation of the copper oxide minerals cuprite and malachite, and the gangue mineral quartz, showed formation of a copper hydroxamate-like species on cuprite and malachite but no hydroxamate derived species was found on the quartz. Raman spectroscopy confirmed the existence of a copper n-octanohydroxamate layer on the surface of treated malachite [11]. Density functional theory (DFT) computation indicated that the dianion of cyclohexyl hydroxamic acid (CHA) or benzoylhydroxamic acid (BHA) exhibited stronger chemical reactivity than their anions and neutral molecules, and that the replacement of the phenyl group by the cyclohexyl group in the BHA molecule significantly impacted the electron donating ability of hydroxamate collectors [12]. Through studying the surface chemistry features of bastnaesite with respect to octyl hydroxamate adsorption, sum-frequency vibrational spectroscopy (SFVS) spectra indicate that a well-ordered monolayer was formed at a hydroxamate concentration of about 1 × 10−4 mol/L [13]. Meanwhile, some studies reported the chelating behavior of salicylaldoxime on oxide minerals, which is an O-N type chelating reagent. For example, salicylaldoxime was utilized for copper flotation from the synthetic mixtures malachite–quartz, of which a good copper recovery (92%) and a great copper percent (46%) demonstrated a good selectivity of the reagent [14]. Jain et al. [15] performed DFT computations to study the interactions of salicylaldoxime (SALO) and its derivatives possessing appropriate alkyl group substitution in the main chain (CM-SALO) or side chain (CS-SALO) with copper, zinc and lead divalent ions. They found that the relative order of selectivity, as per the computed interaction energies, was Cu > Zn > Pb. In addition, the derivatives of hydroxamate and salicylaldoxime have been synthesized and applied in oxide flotations. Xu et al. [16] prepared 2-ethyl-2-hexenoic hydroxamic acid (EHHA) for the adsorption and flotation of ilmenite. They found that EHHA exhibited superior flotation performance compared to isooctyl hydroximic acid (IOHA) and octyl hydroxamic acid (OHA), and floated out 84.03% ilmenite at pH 8.0 with 250 mg/L dosage. Liu et al. [17] reported the adsorption of 3-hexyl-4-amino-1,2,4-triazole-5-thione (HATT) on the malachite surface via its anionic amino-triazole-thione group, thus inducing the malachite surface to be hydrophobic in flotation.
However, these studies were carried out on a case to case basis and the adsorption mechanism of the various chelating ligands is still elusive. Considering the important roles that chelating reagents play in developing oxide collectors, we attempt to first compare the adsorption of phenol O-O and N-O chelating collectors at the malachite/water interface and the corresponding flotation behavior of malachite. It aimed to find out the difference of chelating reactions on the malachite surface when their polar heads are different, so as to offer information for the design of novel collectors, and to provide a solid understanding of the commercial application of chelating collectors in the near further.
2. Experimental
2.1. Materials
The malachite sample obtained from Lupe mine, Mexico, was crushed, hand-sorted and dry-ground in a mechanical agate mortar and pestle. Then, the sample was dry screened to collect the −75 + 38 µm and −25 μm fractions, of which the coarser fraction was used in flotation tests. The finer fraction was further dry-ground and utilized in adsorption experiments, zeta potential and Fourier transform infrared (FTIR) measurements, of which 50% of the cumulative undersize is 8 μm, as measured by a SALD-1100 laser diffraction analyzer (Shimadzu, Tokyo, Japan). The malachite sample showed one X-ray diffraction (XRD) pattern (Figure 1) of high purity in malachite (Cu2CO3(OH)2) with minor amounts of pseudomalachite (Cu5(PO4)2(OH)4). The sample assayed 54.27% Cu and 0.46% P, indicating 90.01% malachite and 4.29% pseudomalachite. Salicylaldoxime and salicylhydroxamic acid (ACS reagent grade) purchased from Energy Chemistry and Aladdin Industrial in China respectively, were used as chelating collectors for malachite. Their molecular structures were modelled by Materials Studio (MS) 8.0 and presented in Figure 2. The distances between bonds were calculated through their mid points using MS software. Hydrochloric acid (HCl) and sodium hydroxide (NaOH) of ACS reagent grade purchased from Sigma-Aldrich (St. Louis, MO, USA) were used to adjust pH. Methyl isobutyl carbinol (MIBC) obtained from Aladdin Industrial, Shanghai, China was utilized as frother in the flotation tests. The water used in all experiments was distilled water.
Figure 1.
XRD pattern of the malachite sample.

Figure 2.
Molecular structures of the (a) salicylaldoxime and (b) salicylhydroxamic acid.
2.2. Methods
The small-scale flotation tests were conducted by using a mechanical flotation machine with a plexiglass 100 mL cell of 2000 rmp/min agitation speed. In each flotation, 3 g malachite (−75 + 38 µm) was mixed with 80 mL of water and the pH was adjusted to a desired value. This is followed by the addition of salicylaldoxime or salicylhydroxamic acid and MIBC sequentially with the conditioning time of 3 and 1 min, respectively. Then, the flotation was conducted for 5 min. The concentrate (floated) and tailing (unfloated) products were separately collected, dried and weighed, and the recovery was calculated based on the dry weights of the products. The flotation at each pH was repeated at least three times and the average recovery was used.
Zeta potential was measured with a ZETASIZER NANO ZS90 apparatus (Malvern Instruments, Malvern, UK) equipped with a rectangular quartz electrophoresis cell and 50-mV laser at a scattering angle of 90°. The zeta potential was determined by dynamic light scattering and computed from mobility through the Smoluchowski equation [18]. In the measurements, 0.05 g of −8 μm malachite was agitated in 100 mL (1 × 10−4 mol/L) KCl solutions, and the pH was adjusted by NaOH or HCl solutions. If needed, a given dosage of salicylaldoxime and salicylhydroxamic acid was added into the suspension and conditioned for 5 min. Then, the suspension was transferred into the cell and the average zeta potentials of the suspended particles were recorded.
The adsorption of salicylaldoxime or salicyl hydroxamate on the malachite surface was measured through a batch depletion method at 22 °C. An AquaMate 8000 UV-vis spectrophotometer from Thermo Scientific (Waltham, MA, USA) with a cell of 1 cm optical path was used to determine the concentrations of salicylaldoxime and salicyl hydroxamate, which showed peaks at 303 and 295 nm, respectively. A series of salicylaldoxime or salicylhydroxamic acid aqueous solutions with known concentrations were first characterized and recorded for their absorbance intensities that correlate to the concentrations. For example, the absorbance intensity and reagents’ concentrations for clean water were zero. Then, the solutions after adsorption were characterized. The concentrations of salicylaldoxime or salicyl hydroxamate were obtained through comparing their absorbance intensities with a previous solution of known concentrations. In the adsorption process, 1 g malachite was mixed with 100 mL water, and the pH was adjusted to the required values. Then, the collector was added and conditioned for 5 min. After that, the solid was filtered by membrane and washed. The filtered solutions were measured for their collector concentrations. The amount of collector absorbed on the mineral surface was calculated by subtracting the residual concentration in the filtered solution from the initial collector concentration.
The Fourier transform infrared (FTIR) spectra obtained from a Nicolet 6700 spectrophotometer from Thermo Scientific were used to identify the formed bonds of salicylaldoxime or salicyl hydroxamate collector on the malachite surface. An amount of 1 g malachite (−8 μm) was conditioned in 100 mL 1 × 10−3 mol/L salicylaldoxime or salicylhydroxamic acid collector solution for 5 min. The pH of this solution was adjusted to 7. Then, the malachite particles were centrifuged, washed twice with distilled water and dried at room temperature. The dried samples were molded with potassium bromide (KBr) for the FTIR measurements.
3. Results and Discussion
Figure 3 presents the effect of salicyl hydroxamate and salicylaldoxime on the zeta potential of malachite as a function of pH. As with most oxide minerals, the malachite has a positive surface charge at low pHs and a negative surface charge at high pHs. It shows the point of zero charge (PZC) of malachite at pH 8.2, which is in good accordance with the PZC (pH 7.9) reported by Lenormand et al. [8]. With the addition of salicyl hydroxamate and salicylaldoxime, zeta potentials of malachite reverse from positive to negative at low pHs and become more negative at high pHs, indicating the chemical adsorption of these chelating reagents on its surface. However, this modification reduces at a pH higher than 10. At pH 11, the zeta potentials of malachite without and with addition of salicyl hydroxamate and salicylaldoxime are close, indicating a weak adsorption. It might be due to the fact that at a pH higher than 10, the predominant hydroxyl species weaken the interaction of chelating reagents on the malachite surface. It is interesting that the salicyl hydroxamate modifies the malachite surface more negatively than the salicylaldoxime does in the pH range of 5–10.
Figure 3.
Effect of salicyl hydroxamate and salicylaldoxime on the zeta potential of malachite as a function of pH.
A batch of salicyl hydroxamate and salicylaldoxime depletion has been studied to explore their chemical adsorption on the malachite surface. At a pH lower than pH 6, cupric ions are highly dissolved from malachite, thus the precipitation of cupric salicyl hydroxamate or salicylaldoxime species are predominant reactions for the depletion of the chelating reagents [8]. Then, at a pH higher than pH 6, chelating reactions (adsorption) on the malachite surface are mainly responsible for the salicyl hydroxamate or salicylaldoxime depletion. Figure 4 gives their depletion densities in malachite slurry as a function of pH. The depletion of salicyl hydroxamate and salicylaldoxime at pH 3 are as high as 5 × 10−5 mol per gram of malachite minerals, suggesting that both reagents are highly reactive with cupric ions in slurry or malachite surface. Increasing pH from 3 to 9, the depletion of salicylaldoxime decreases slightly but keeps a high amount, while the depletion of salicyl hydroxamate drops dramatically to the lower magnitude of 5 × 10−6 mol/g. Then, the depletion decreases continually as the Ph is increased; and at pH 11, depletions of both salicyl hydroxamate and salicylaldoxime are around zero, which corresponds well with the zeta potential results in Figure 3. At pH 3 to 9, the higher precipitation and/or adsorption degree of salicylaldoxime on the malachite surface than that of salicyl hydroxamate might be attributed to the different stability constants of these chelating reagents with Cu2+ complexes. The stability constants of Cu-salicylaldoxime and Cu-salicyl hydroxamate are 12 and 9.05 [19,20], respectively, indicating that it is easier for salicylaldoxime to react with Cu2+ complexes in the form of cupric precipitates or adsorption on the malachite surface.
Figure 4.
The depletion of salicyl hydroxamate and salicylaldoxime in malachite slurry as a function of pH.
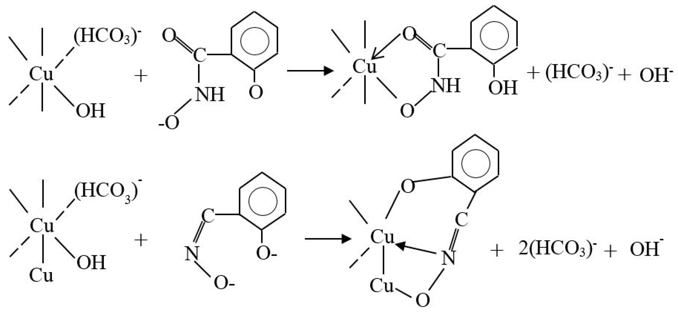
It is notable from previous discussions that salicyl hydroxamate has a lower adsorption density on the malachite surface (Figure 4), but modifies the malachite surface to be more negative than salicylaldoxime (Figure 3). This phenomenon might be due to the distinct chelating reactions of salicylaldoxime and salicyl hydroxamate on the malachite surface because of their different molecular structures. Based on the criteria that chelating reagents must possess at least two donor atoms carrying a long pair of electrons [6], the donor atoms in salicylaldoxime are O (=N–OH, oxime), N (–N=, tertiary acyclic) and O (–OH, phenolic), while the donor atoms in salicyl hydroxamate are O, O (both in hydroxamate) and O (–OH, phenolic). As noted in Figure 2, the bond distances between the ligands in the two reagents are different: the bond distances to the carbonyl O in salicyl hydroxamate are around 0.75 Å longer than those to the tertiary acyclic N in salicylaldoxime, while the third bond distance is of identical 3.89 Å. Based on the other criteria of the chelating reactions—that they must form a ring structure sterically including the metal atom [6]—salicyl hydroxamate might form the ring structure with only two ligands because of the long bond distances, which leads to one O atom carrying a negative charge on the malachite surface after the adsorption. However, it is possible for salicylaldoxime to form the ring structure with three ligands because of the relatively short bond distances. Thus, compared with salicylaldoxime, salicyl hydroxamate modifies the malachite surface more negatively by a lower amount of adsorbed molecules. Figure 5 schematically presents the chelating reactions of salicyl hydroxamate and salicylaldoxime on the malachite surface, in which CuOH+ and HCO3− are defined as the adsorption sites on the malachite surface, as analyzed elsewhere [8].
Figure 5.
Schematic illustration of the adsorption of salicyl hydroxamate and salicylaldoxime on the malachite surface.
The proposed adsorption mechanism can be verified from the FTIR spectra of the malachite surface before and after salicylaldoxime or salicyl hydroxamate adsorption. As can be seen in Figure 6, after salicylaldoxime treatment, the N-Cu and O-Cu stretch vibrations are found at 1193 and 1152 cm−1 in the intermediate FTIR spectrum, and 310 and 485 cm−1 in the far FTIR spectrum, respectively [21], representing the chemical adsorption of salicylaldoxime on the malachite surface. In contrast, no new peak appears on the FTIR spectra of malachite after salicyl hydroxamate treatment, indicating that the adsorption density of salicyl hydroxamate on malachite is too low for FTIR to identify, which is in accordance with the adsorption behavior.
Figure 6.
Intermediate (a) and far (b) Fourier transform infrared (FTIR) spectra of malachite, malachite with salicylaldoxime and salicyl hydroxamate.
Figure 7 shows the flotation of malachite as a function of salicylaldoxime and salicyl hydroxamate concentrations at pH 9. By using salicylaldoxime as the collector, the malachite recovery increases to 97% as the salicylaldoxime is increased to 3 mmol/L. Then, the malachite recovery remains constant as the salicylaldoxime concentration is continually increased. In the case of salicyl hydroxamate collector, the malachite recovery increases slightly to 20% as the collector concentration is increased to 2 mmol/L, and then remains constant. It corresponds well with the adsorption phenomena that (i) both salicylaldoxime and salicyl hydroxamate are chemically adsorbed on the malachite surface; (ii) the adsorption density of salicylaldoxime is much higher than that of salicyl hydroxamate. Thus, compared with salicyl hydroxamate, salicylaldoxime possesses stronger collecting ability and the flotation of malachite reaches the maximum recovery at a higher collector concentration.
Figure 7.
Flotation of malachite as a function of salicylaldoxime and salicyl hydroxamate concentrations.
The flotation of malachite using salicylaldoxime and salicylhydroxamic collectors as a function of pH is given in Figure 8. The malachite recovery is less than 20% when using a salicyl hydroxamate collector in the pH range 3–11, in which the maximum recovery of 19% is obtained at pH 9. In contrast, the malachite recovery is around 80% at pH 7–9 with salicylaldoxime as the collector. These results are in good agreement with the precipitation and adsorption of salicylaldoxime and salicyl hydroxamate in aqueous malachite slurries. At a pH lower than 6, the precipitation of cupric salicylaldoxime and salicyl hydroxamate species are predominant reactions of the depletion of collectors, leading to a low adsorption amount and poor flotation performance. At pH 7–9, the recoveries of malachite reach the maximum with both collectors because of the chelating (adsorption) reactions, and because salicylaldoxime possesses a stronger collecting ability than salicyl hydroxamate due to its higher adsorption density. Then, at a pH higher than pH 9 (e.g., pH 11), due to the competition between chelating collectors and hydroxyls on the malachite surface, a low adsorption density takes place, leading to a low malachite recovery. Thus, the proper pH range for malachite flotation with chelating collectors is pH 7–9, which is consistent with malachite flotation by using an octyl hydroxamate collector [8].
Figure 8.
Effect of pH on the flotation of malachite with salicylaldoxime and salicyl hydroxamate collectors.
In addition, octyl hydroxamate has been reported as an effective collector for oxide (malachite) flotations [22,23], but in our results, salicyl hydroxamate shows a weak collecting ability on malachite. This might be due to the fact that (i) the longer alkyl chain in octyl hydroxamate can render the oxide surfaces hydrophobic more effectively than the benzene ring in salicyl hydroxamate; (ii) the leaving O− after salicyl hydroxamate adsorption not only modifies the malachite surface more negatively, but also renders it hydrophilic. These results might provide clues for designing a novel collector of oxide flotations in both the carbon chains and the polar heads.
4. Conclusions
- Salicylaldoxime and salicyl hydroxamate resemble phenol chelating reagents, but salicylaldoxime induces a much higher adsorption density on the malachite surface than salicyl hydroxamate at a pH less than pH 9 because it has a higher stability constant with cupric ions. Thus, in malachite flotation at pH 7–9, the recovery rates are around 80% and 20% when using salicylaldoxime and salicyl hydroxamate as collectors respectively.
- The large bond distances of ligands in salicyl hydroxamate make its chelating reaction on the malachite surface form a ring structure by two donor atoms with one extra donor oxygen (O−) carrying a negative charge. However, in the case of salicylaldoxime, the interactions of N- and O-ligands are detected by FTIR measurements. Therefore, compared with salicylaldoxime, salicyl hydroxamate modifies the malachite surface more negatively by a lower adsorption amount.
- Salicyl hydroxamate possesses many similarities with two strong malachite collectors, namely salicylaldoxime and octyl hydroxamate, but its collecting ability is very low. This might provide useful clues for the future design of novel collectors in oxide flotations.
Acknowledgments
The financial supports for this work from the Natural Science Foundation of Hubei Province of China under the grant No. 2016CFA013, the Wuhan Science and Technology Bureau of China under the project No. 2016070204020156 and the Consejo Nacional de Ciencia y Tecnología (CONACyT) of Mexico under the grant No. 270186 are gratefully acknowledged. Zhili Li would like to thank the CONACyT for offering him the scholarship No. 717627 during his PhD studying.
Author Contributions
Feng Rao and Shaoxian Song conceived and designed the experiments; Zhili Li performed the experiments; Feng Rao and Shaoxian Song analyzed the data; Shaoxian Song contributed reagents/materials/analysis tools; Feng Rao wrote the paper.
Conflicts of Interest
The authors declare no conflict of interest.
References
- Lee, K.; Archibald, D.; Mclean, J.; Reuter, M.A. Flotation of mixed copper oxide and sulphide minerals with xanthate and hydroxamate collectors. Miner. Eng. 2009, 22, 395–401. [Google Scholar] [CrossRef]
- Miller, J.D.; Abdel Khalek, N.; Basilio, C.; El-Shall, H.; Fa, K.; Forssberg, K.S.E.; Fuerstenau, M.C.; Mathur, S.; Nalaskowski, J.; Rao, K.H.; et al. Flotation Chemistry and Technology of Nonsulfide Minerals. In Froth Flotation: A Century of Innovation; Fuerstenau, M.C., Jameson, G., Yoon, R.H., Eds.; SME Inc.: Littleton, CO, USA, 2007; pp. 465–553. [Google Scholar]
- Castro, S.; Goldfarb, J.; Laskowski, J. Sulphidizing reactions in the flotation of oxidized copper minerals, I. Chemical factors in the sulphidization of copper oxide. Int. J. Miner. Process. 1974, 1, 141–149. [Google Scholar] [CrossRef]
- Zhou, R.; Chander, S. Kinetics of sulfidization of malachite in hydrosulfide and tetrasulfide solutions. Int. J. Miner. Process. 1993, 37, 257–272. [Google Scholar] [CrossRef]
- Barbaro, M.; Urbina, R.H.; Cozza, C.; Fuerstenau, D.W.; Marabini, A. Flotation of oxidized minerals of copper using a new synthetic chelating reagent as collector. Int. J. Miner. Process. 1997, 50, 275–287. [Google Scholar] [CrossRef]
- Fuerstenau, D.W.; Herrera-Urbina, R.; Mcglashan, D.W. Studies on the applicability of chelating agents as universal collectors for copper minerals. Int. J. Miner. Process. 2000, 58, 15–33. [Google Scholar] [CrossRef]
- Gutzeit, G. Chelate-forming organic compounds as flotation reagents. Trans. Am. Inst. Min. Eng. 1946, 169, 272–286. [Google Scholar]
- Lenormand, J.; Salman, T.; Yoon, R.H. Hydroxamate flotation of malachite. Can. Metall. Q. 1979, 18, 125–129. [Google Scholar] [CrossRef]
- Peterson, H.D.; Fuerstenau, M.C.; Rickard, R.S.; Miller, J.D. Chrysocolla flotation by the formation of insoluble surface chelates. Trans. Am. Inst. Min. Eng. 1965, 232, 388–392. [Google Scholar]
- Yoon, R.H.; Hilderbrand, T.M. Purification of Kaolin Clay by Froth Flotation Using Hydroxamate Collectors. U.S. Patent 4629556 A, 16 December 1986. [Google Scholar]
- Hope, G.A.; Woods, R.; Parker, G.K.; Buckley, A.N.; Mclean, J. A vibrational spectroscopy and XPS investigation of the interaction of hydroxamate reagents on copper oxide minerals. Miner. Eng. 2010, 23, 952–959. [Google Scholar] [CrossRef]
- Zhao, G.; Zhong, H.; Qiu, X.; Wang, S.; Gao, Y.; Dai, Z.; Huang, J.; Liu, G. The DFT study of cyclohexyl hydroxamic acid as a collector in scheelite flotation. Miner. Eng. 2013, 49, 54–60. [Google Scholar] [CrossRef]
- Zhang, X.; Du, H.; Wang, X.; Miller, J.D. Surface chemistry aspects of bastnaesite flotation with octyl hydroxamate. Int. J. Miner. Process. 2014, 133, 29–38. [Google Scholar] [CrossRef]
- Oprea, G.; Mihali, C.; Danciu, V.; Podariu, M. The study of 8-hydroxyquinoline and salicylaldoxime action at the malachite flotation. J. Min. Metall. A Min. 2004, 40, 49–63. [Google Scholar]
- Jain, V.; Rai, B. Density functional theory computations for design of salicylaldoxime derivatives as selective reagents in solvent extraction of copper. Trans. Indian Inst. Met. 2016, 69, 135–141. [Google Scholar] [CrossRef]
- Xu, H.; Zhong, H.; Tang, Q.; Wang, S.; Zhao, G.; Liu, G. A novel collector 2-ethyl-2-hexenoic hydroxamic acid: Flotationperformance and adsorption mechanism to ilmenite. Appl. Surf. Sci. 2015, 353, 882–889. [Google Scholar] [CrossRef]
- Liu, G.; Huang, Y.; Qu, X.; Xiao, J.; Yang, X.; Xu, Z. Understanding the hydrophobic mechanism of 3-hexyl-4-amino-1,2,4-triazole-5-thione to malachite by ToF-SIMS, XPS, FTIR, contactangle, zeta potential and micro-flotation. Colloids Surf. A Physicochem. Eng. Asp. 2016, 503, 34–42. [Google Scholar] [CrossRef]
- Hiemenz, P.; Rajagopalan, R. Principle of Colloid and Surface Chemistry, 3rd ed.; Marcel Dekker: New York, NY, USA, 1997; pp. 499–533. [Google Scholar]
- Sillen, L.G.; Martell, A.E.; Bjerrum, J. Stability Constants of Metal-Ion Complexes; Chemical Society: London, UK, 1971; pp. 153–161. [Google Scholar]
- O’Brien, E.C.; Farkas, E.; Gil, M.J.; Fitzgerald, D.; Castineras, A.; Nolan, K.B. Metal complexes of salicylhydroxamic acid (H2Sha), anthranilic hydroxamic acid and benzohydroxamic acid. Crystal and molecular structure of [Cu(phen)2(Cl)]Cl·H2Sha, a model for a peroxidase-inhibitor complex. J. Inorg. Biochem. 2000, 79, 47–51. [Google Scholar] [CrossRef]
- Ramesh, V.; Umasundari, P.; Das, K.K. Study of bonding characteristics of some new metal complexes of salicylaldoxime (SALO) and its derivatives by far infrared and UV spectroscopy. Spectrochim. Acta Part A Mol. Biomol. Spectrosc. 1998, 54, 285–297. [Google Scholar] [CrossRef]
- Natarajan, R.; Fuerstenau, D.W. Adsorption and flotation behavior of manganese dioxide in the presence of octyl hydroxamate. Int. J. Miner. Process. 1983, 11, 139–153. [Google Scholar] [CrossRef]
- Sreenivas, T.; Manohar, C. Adsorption of Octyl Hydroxamic acid/salt on cassiterite. Min. Proc. Extr. Metall. Rev. 2000, 20, 503–519. [Google Scholar] [CrossRef]
© 2017 by the authors. Licensee MDPI, Basel, Switzerland. This article is an open access article distributed under the terms and conditions of the Creative Commons Attribution (CC BY) license ( http://creativecommons.org/licenses/by/4.0/).








