The 3D Visibility of Rust: Micro Computed Tomography Investigations of a Roman Iron Nail from Aguntum
Abstract
1. Introduction
2. Materials and Methods
2.1. Petrography
2.2. µ-XRF
2.3. Electron Probe Microanalysis
2.4. Micro-Raman Spectroscopy
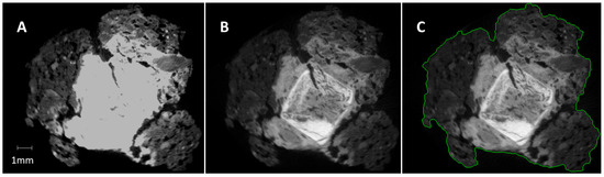
2.5. µCT Imaging and Postprocessing
3. Results
3.1. BSE Micro-Petrography
- Zone I (iron core): This zone represents the remaining intact iron of the original nail, showing signs of incipient corrosion in various areas within the panoramic image. Elemental distribution maps reveal occasional isolated occurrences of sulphur (S) within cavities. However, further examination of these “sulphur islands” is challenging, and they could not be definitively assigned to any known sulphur phases.
- Zone II (areas with chlorine and finely dispersed sulphur): The highest concentrations of Cl were observed adjacent to the iron core. Phase identification through EDS [28] revealed the presence of β-Fe2(OH)3Cl, which is considered the precursor phase of akaganéite [3,8,12,15]. However, akaganéite itself was not detected in any of the sample areas.
- Zone III (mixture of goethite, lepidocrocite, and iron carbonates): This zone is characterized by the presence of iron carbonate phases, in addition to iron oxide goethite. Using EDS [28], we identified several carbonate phases, including siderite (FeCO3) and chukanovite (Fe2CO3OH2), along with a mixture of these two phases. EPMA measurements also suggested the presence of a possible third phase, which is hypothesized to be green rust [32]. Further analysis of BSE images has revealed that the carbonate phases are predominantly located within smaller cracks. This zone, located in the lower part of the BSE image, predominantly replaces the alternating sequence of magnetite and goethite, occupying a significant area. The original phase sequence reappears only in the lower right corner of the panorama.
- Zone IV (alternating sequence of magnetite and goethite): This zone displays the characteristic alternating sequence of magnetite and goethite. A transition can be observed in the rim areas, where mixing with isolated soil components is evident. According to [28], this zone corresponds to area I with marginal changes toward area II. In the lighter-colored areas, a mixture of magnetite and maghemite is also present.
3.2. µ-XRF Data Evaluation
3.3. EPMA Data Evaluation
- Iron oxides, hydroxides, and carbonates without significant Cl contents;
- Cl contents between 1 and 5 wt.% (akaganéite);
- Cl contents > 10% by weight (β-Fe2(OH)3Cl).
3.4. Raman Data Evaluation
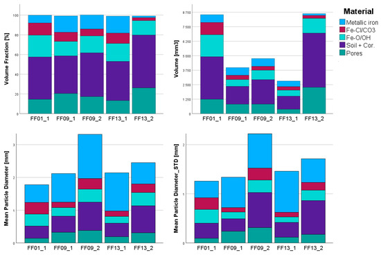
3.5. µCT Data Evaluation
- Relict iron: This zone consists of remnants of the original nail, which appear as skeletal remains. It is evident that most of the iron in this region has already undergone transformation into other corrosion phases due to ongoing corrosion processes. This area corresponds to the ‘metallic substrate’ identified by [37].
- High-density corrosion products: This area is distinguished by the presence of high-density corrosion phases on the surface of the former nail, which, in some cases, extend beyond it. Due to the elevated density in this region, it is classified as the “dense product layer (DPL).”
- Low-density corrosion products: Within this zone, corrosion products with significantly lower densities are present, often mixed with soil. This area corresponds to the “transformed medium” defined in earlier classifications.
- Adherent soil material: This zone, characterized by the lowest densities, consists primarily of soil particles and fragments. It is evident that certain soil materials exhibit distinguishable characteristics from the adjacent corrosion phases. It is important to note that both the low-density corrosion products and the adherent soil material are classified as part of the “transformed medium”.
4. Discussion
5. Conclusions
Author Contributions
Funding
Data Availability Statement
Acknowledgments
Conflicts of Interest
Abbreviations
| µCT | Micro-Computed Tomography |
| CT | Computed Tomography |
| nano-CT | Nano-Computed Tomography |
| EPMA | Electron Probe Microanalyzer |
| µ-XRF | Micro X-Ray Fluorescence |
| PXRD | Powder X-Ray Diffraction |
| EDS | Energy Dispersive Spectroscopy |
| WDS | Wavelength Dispersive Spectroscopy |
| MPD | Mean Particle Diameter |
| MPD_STD | Mean Particle Diameter Standard deviation |
| BSE | Back-Scattered Electron |
| Fe-Cl/CO3 | Fe-Cl-bearing phases + Fe-carbonates |
| Fe-O/OH | Iron Oxides/Hydroxides |
| Soil + Cor. | Soil with Corrosion Products |
| DPL | Dense Product Layer |
References
- Selwyn, L. Overview of archaeological iron: The corrosion problem, key factors affecting treatment, and gaps in current knowledge. In Proceedings of the International Conference on Metals Conservation, Canberra, Australia, 4–8 October 2004; pp. 294–306. [Google Scholar]
- Jacot-Guillarmod, M.; Schmidt-Ott, K.; Mannes, D.; Kaestner, A.; Lehmann, E.; Gervais, C. Multi-modal tomography to assess dechlorination treatments of iron-based archaeological artifacts. Herit. Sci. 2019, 7, 29. [Google Scholar] [CrossRef]
- Rémazeilles, C.; Refait, P. Formation, fast oxidation and thermodynamic data of Fe(II) hydroxychlorides. Corros. Sci. 2008, 50, 856–864. [Google Scholar] [CrossRef]
- Watkinson, D.; Lewis, M. Conservation of Iron. In Metal 2004 Proceedings; Ashton, J., Hallam, D., Eds.; National Museum of Australia: Canberra, Australia, 2004; pp. 88–92. [Google Scholar]
- Turgoose, S. The Corrosion of Archaeological Iron during Burial and Treatment. Stud. Conserv. 1985, 30, 13–18. [Google Scholar] [CrossRef]
- Greiff, S.; Bach, D. Eisenkorrosion Und Natriumsulfitentsalzung: Theorie Und Praxis. In Arbeitsblätter Für Restauratoren, Gruppe 1, Eisen (Heft 2); Verl. d. Röm.-German. Zentralmuseums: Mainz, Germany, 2000; pp. 319–339. [Google Scholar]
- Mazzola, C.; Albert, P.; Muskalla, W.; Wittkörper, M. Das KUR-Projekt: Massenfunde in Archäologischen Sammlungen; Archäologische Staatsammlung München, Römisch-Germanisches Museum Mainz: Mainz, Germany, 2009; p. 82. [Google Scholar] [CrossRef]
- Schmutzler, B. Rettung vor dem Rost: Die Weiterentwicklung der Eisenentsalzung nach der Alkali-Sulfit-Methode zur Erhaltung großer Fundmengen. In Internationale Archäologie Naturwissenschaft und Technologie, 1st ed.; VML Vlg Marie Leidorf: Rahden, Germany, 2012; ISBN 978-3-89646-407-1. [Google Scholar]
- North, N.A.; MacLeod, I.D. Corrosion of Metals. In Conservation of Marine Archaeological Objects; Pearson, C., Ed.; Butterworth-Heinemann: London, UK, 1987; pp. 207–252. [Google Scholar]
- Selwyn, L.S.; Sirois, P.I.; Argyropoulos, V. The corrosion of excavated archaeological iron with details on weeping and akaganeite. Stud. Conserv. 1999, 44, 217–232. [Google Scholar] [CrossRef]
- Refait, P.; Abdelmoula, M.; Génin, J.M.R. Mechanisms of Formation and Structure of Green Rust One in Aqueous Corrosion of Iron in the Presence of Chloride Ions. Corros. Sci. 1998, 40, 1547–1560. [Google Scholar] [CrossRef]
- Refait, P.; Génin, J.M.R. The Mechanisms of Oxidation of Ferrous Hydroxychloride β-Fe2(OH)3Cl in Aqueous Solution: The Formation of Akaganeite vs. Goethite. Corros. Sci. 1997, 39, 539–553. [Google Scholar] [CrossRef]
- Ståhl, K.; Andersen, H.J.; Elding-Pontén, E.; Hallberg, L. On the Akaganéite Crystal Structure, Phase Transformations and Possible Role in Post-Excavational Corrosion of Iron Artifacts. Corros. Sci. 2003, 45, 2563–2575. [Google Scholar] [CrossRef]
- Pourbaix, M.; Staehle, R.W. Lectures on Electrochemical Corrosion; Springer: Boston, MA, USA, 1973. [Google Scholar]
- Kergourlay, F.; Réguer, S.; Neff, D.; Foy, E.; Picca, F.E.; Saheb, M.; Hustache, S.; Mirambet, F.; Dillmann, P. Stabilization treatment of cultural heritage artefacts: In situ monitoring of marine iron objects dechlorinated in alkali solution. Corros. Sci. 2018, 132, 21–34. [Google Scholar] [CrossRef]
- Réguer, S.; Neff, D.; Bellot-Gurlet, L.; Dillmann, P. Deterioration of iron archaeological artefacts: Micro-Raman investigation on Cl-containing corrosion products. J. Raman Spectrosc. 2007, 38, 389–397. [Google Scholar] [CrossRef]
- Scott, D.A. Metallography and Microstructure of Ancient and Historic Metals; Getty Publication, Conservation Institute: Marina del Rey, CA, USA, 1991. [Google Scholar]
- Vogl, T.J.; Reith, W.; Rummeny, E.J. Diagnostische und Interventionelle Radiologie; Springer e-books; Springer: Berlin/Heidelberg, Germany, 2011; ISBN 978-3-540-87668-7. [Google Scholar]
- Bernardini, F.; Tuniz, C.; Zanini, F. X-ray computed microtomography for paleoanthropology, archaeology, and cultural heritage. In Nanotechnologies and Nanomaterials for Diagnostic, Conservation and Restoration of Cultural Heritage; Elsevier: Amsterdam, The Netherlands, 2019; pp. 25–45. [Google Scholar]
- Tuniz, C.; Zanini, F. Microcomputerized tomography (MicroCT) in archaeology. In Encyclopedia of Global Archaeology; Springer: Cham, Switzerland, 2018; pp. 1–7. [Google Scholar]
- Franchetti, G.; Viel, G.; Fais, P.; Fichera, G.; Cecchin, D.; Cecchetto, G.; Giraudo, C. Forensic applications of micro-computed tomography: A systematic review. Clin. Transl. Imaging 2022, 10, 597–610. [Google Scholar] [CrossRef]
- Barron, A. Applications of microct imaging to archaeobotanical research. J. Archaeol. Method Theory 2024, 31, 557–592. [Google Scholar] [CrossRef]
- Bozzini, B.; Alemán, B.; Amati, M.; Boniardi, M.; Caramia, V.; Giovannelli, G.; Gregoratti, L.; Abyaneh, M.K. Novel insight into bronze disease gained by synchrotron-based photoelectron spectro-microscopy, in support of electrochemical treatment strategies. Stud. Conserv. 2017, 62, 465–473. [Google Scholar] [CrossRef]
- Lipkin, S.; Karjalainen, V.-P.; Puolakka, H.-L.; Finnilä, M.A.J. Advantages and limitations of micro-computed tomography and computed tomography imaging of archaeological textiles and coffins. Herit. Sci. 2023, 1, 231. [Google Scholar] [CrossRef]
- Stelzner, J.; Ebinger-Rist, N.; Peek, C.; Schillinger, B. The application of 3D computed tomography with X-rays and neutrons to visualize archaeological objects in blocks of soil. Stud. Conserv. 2010, 55, 95–106. [Google Scholar] [CrossRef]
- Bernabale, M.; Cognigni, F.; Nigro, L.; Rossi, M.; de Caro, T.; De Vito, C. A comprehensive strategy for exploring corrosion in iron-based artefacts through advanced Multiscale X-ray Microscopy. Sci. Rep. 2022, 12, 6125. [Google Scholar] [CrossRef]
- Auer, M. Municipium Claudium Aguntum. In Roman Urban Landscape; Groh, S., Strobel, K., Belak, M., Horvat, J., Eds.; ZRC SAZU, Založba ZRC: Ljubljana, Slovenija, 2024; ISBN 978-961-05-0828-1. [Google Scholar]
- Töchterle, U.; Wagner, S.; Heck, P.; Tropper, P.; Degenhart, G. Der Erhaltungszustand von Archäologischen Eisenfunden Nach Der Bergung. In Archäometrie und Denkmalpflege 20; Virtuelle Jahrestagung 17.–19. März 2021; Greiff, S., Ed.; Metalla, Sonderheft; Deutsches Bergbau-Museum Bochum: Bochum, Germany, 2021; pp. 130–132. [Google Scholar]
- Bernabale, M.; Cognigni, F.; Mancini, C.; Proietti, A.; Mura, F.; Montanari, D.; Nigro, L.; Rossi, M.; De Vito, C. 3D fractures analysis and conservation assessment of wrought iron javelin through advanced non-invasive techniques. Sci. Rep. 2023, 13, 10142. [Google Scholar] [CrossRef]
- Cornard, P.H.; Degenhart, G.; Tropper, P.; Moernaut, J.; Strasser, M. Application of micro-CT to Resolve Textural Properties and Assess Primary Sedimentary Structures of Deep-marine Sandstones. Depos. Rec. 2024, 10, 559–580. [Google Scholar] [CrossRef]
- Hildebrand, T.; Rüegsegger, P. A New Method for the Model-independent Assessment of Thickness in Three-dimensional Images. J. Microsc. 1997, 185, 67–75. [Google Scholar] [CrossRef]
- Saheb, M.; Neff, D.; Bellot-Gurlet, L.; Dillmann, P. Raman study of a deuterated iron hydroxycarbonate to assess long-term corrosion mechanisms in anoxic soils. J. Raman Spectrosc. 2011, 42, 1100–1108. [Google Scholar] [CrossRef]
- Rémazeilles, C.; Neff, D.; Kergourlay, F.; Foy, E.; Conforto, E.; Guilminot, E.; Reguer, S.; Refait, P.; Dillmann, P. Mechanisms of Long-Term Anaerobic Corrosion of Iron Archaeological Artefacts in Seawater. Corros. Sci. 2009, 51, 2932–2941. [Google Scholar] [CrossRef]
- Cornell, R.M.; Schwertmann, U. The Iron Oxides: Structure, Properties, Reactions, Occurences and Uses, 1st ed.; John Wiley & Sons: Hoboken, NJ, USA, 2003; ISBN 978-3-527-30274-1. [Google Scholar]
- Colomban, P.; Cherifi, S.; Despert, G. Raman identification of corrosion products on automotive galvanized steel sheets. J. Raman Spectrosc. 2008, 39, 881–886. [Google Scholar] [CrossRef]
- Bellot-Gurlet, L.; Neff, D.; Réguer, S.; Monnier, J.; Saheb, M.; Dillmann, P. Raman studies of corrosion layers formed on archaeological irons in various media. J. Nano Res. 2009, 8, 147–156. [Google Scholar] [CrossRef]
- Xiong, H.; Liao, Y.; Zhou, L.; Xu, Y.; Wang, S. Biosynthesis of nanocrystal akaganéite from FeCl2 solution oxidized by Acidithiobacillus ferrooxidans cells. Environ. Sci. Technol. 2008, 42, 4165–4169. [Google Scholar] [CrossRef] [PubMed]
- Neff, D.; Vega, E.; Dillmann, P.; Descostes, M.; Bellot-Gurlet, L.; Béranger, G. Contribution of Iron Archaeological Artefacts to the Estimation of Average Corrosion Rates and the Long-Term Corrosion Mechanisms of Low-Carbon Steel Buried in Soil. In Corrosion of Metallic Heritage Artefacts; Elsevier: Amsterdam, The Netherlands, 2007; pp. 41–76. ISBN 978-1-84569-239-1. [Google Scholar]
- Selwyn, L.S. Corrosion of Metal Artifacts in Buried Environments. In ASM Handbook Volume 13C. Corrosion: Environments and Industries; ASM: Almere, The Netherlands, 2006; pp. 306–322. ISBN 978-0-87170-709-3. [Google Scholar]
- Réguer, S.; Dillmann, P.; Mirambet, F. Buried Iron Archaeological Artefacts: Corrosion Mechanisms Related to the Presence of Cl-Containing Phases. Corros. Sci. 2007, 49, 2726–2744. [Google Scholar] [CrossRef]
- Pingitore, N.E.; Lytle, F.W.; Rowe, M.W. Structural Characterization of Corrosion Product Layers on Archaeological Iron Artifacts. J. Cult. Herit. 2015, 16, 372–376. [Google Scholar] [CrossRef]
- Turgoose, S. Post-excavation changes in iron antiquities. Stud. Conserv. 1982, 27, 97–101. [Google Scholar] [CrossRef]
- Watkinson, D. Chloride extraction from archaeological iron: Comparative treatment efficiencies. Stud. Conserv. 1996, 41 (Suppl. 1), 208–212. [Google Scholar] [CrossRef]
- Scott, A.C.; Woods, R.A.; Harris, J.F. Accelerated corrosion test methods for evaluating external corrosion resistance of vacuum brazed aluminum heat exchangers. SAE Trans. 1991, 100, 578–586. [Google Scholar] [CrossRef]
- Neff, D.; Dillmann, P.; Bellot-Gurlet, L.; Beranger, G. Corrosion of Iron Archaeological Artefacts in Soil: Characterization of the Corrosion System. Corros. Sci. 2005, 47, 515–535. [Google Scholar] [CrossRef]
- North, N.A.; Pearson, C. Washing Methods for Chloride Removal from Marine Iron. Stud. Conserv. 1978, 23, 174–186. [Google Scholar] [CrossRef]














| Sample ID | Packaging Type |
|---|---|
| FF01_1 | Araldite 2020 + Vacuum-sealed |
| FF09_1 | Araldite 2020 + Vacuum-sealed |
| FF09_2 | Vacuum sealed while retaining in situ soil moisture |
| FF13_1 | Araldite 2020 + Vacuum-sealed |
| FF13_2 | Zip-bag (non-sealed, low barrier) |
| Threshold | Attribution |
|---|---|
| 1000–920 | Metallic iron |
| 919–580 | Fe-Cl-bearing phases + Fe-carbonates |
| 579–395 | Iron oxides/hydroxides |
| 380–160 | Soil with corrosion products |
| 159–0 | Pores |
| Mineral | Green Rust | Siderite | Chukanovite | Goethite | Akaganéite | β-Phase | Magnetite |
|---|---|---|---|---|---|---|---|
| SiO2 | 0.04 | 0.08 | 0.12 | 0.16 | 0.61 | 0.02 | 0.12 |
| TiO2 | n.d. | 0.01 | n.d. | n.d. | n.d. | n.d. | n.d. |
| Al2O3 | n.d. | n.d. | 0.01 | n.d. | 0.01 | n.d. | n.d. |
| FeO | 54.89 | 59.23 | 70.79 | 80.41 | 75.92 | 64.62 | 92.54 |
| MnO | 0.02 | <0.01 | n.d. | <0.01 | n.d. | 0.01 | 0.01 |
| MgO | n.d. | n.d. | <0.01 | 0.06 | n.d. | 0.01 | 0.25 |
| CaO | <0.01 | 0.01 | 0.03 | 0.06 | 0.04 | n.d. | n.d. |
| Na2O | 0.01 | 0.05 | n.d. | 0.01 | n.d. | n.d. | 0.04 |
| K2O | 0.01 | 0.03 | n.d. | n.d. | n.d. | n.d. | 0.03 |
| Cr2O3 | 0.01 | n.d. | n.d. | n.d. | 0.02 | n.d. | n.d. |
| SO3 | 0.24 | 4.45 | 2.42 | 0.67 | 1.08 | 0.06 | n.d. |
| Cl | n.d. | n.d. | n.d. | n.d. | 1.01 | 14.28 | n.d. |
| Total | 55.22 | 64.21 | 73.46 | 81.83 | 78.69 | 79.00 | 92.98 |
| Sample | Material | Volume [mm3] | VF [%] | MPD [mm] | MPD_STD [mm] |
|---|---|---|---|---|---|
| FF01_1 | Metallic iron | 669.8662 | 7.84 | 0.5433 | 0.339 |
| FF01_1 | Fe-Cl/CO3 | 1066.8816 | 12.49 | 0.3505 | 0.233 |
| FF01_1 | Fe-O/OH | 1972.0042 | 23.08 | 0.3638 | 0.282 |
| FF01_1 | Soil + Cor. | 3667.2561 | 42.93 | 0.3743 | 0.308 |
| FF01_1 | Pores | 1245.6582 | 14.58 | 0.1469 | 0.095 |
| FF09_1 | Metallic iron | 664.603 | 16.590 | 0.872 | 0.620 |
| FF09_1 | Fe-Cl/CO3 | 376.353 | 9.390 | 0.169 | 0.089 |
| FF09_1 | Fe-O/OH | 583.731 | 14.570 | 0.263 | 0.136 |
| FF09_1 | Soil + Cor. | 1530.967 | 38.210 | 0.485 | 0.252 |
| FF09_1 | Pores | 819.369 | 20.450 | 0.331 | 0.241 |
| FF09_2 | Metallic iron | 678.612 | 14.290 | 1.348 | 0.802 |
| FF09_2 | Fe-Cl/CO3 | 330.859 | 6.970 | 0.320 | 0.241 |
| FF09_2 | Fe-O/OH | 815.690 | 17.180 | 0.395 | 0.253 |
| FF09_2 | Soil + Cor. | 2108.480 | 44.410 | 0.863 | 0.714 |
| FF09_2 | Pores | 821.101 | 17.290 | 0.385 | 0.314 |
| FF13_1 | Metallic iron | 489.271 | 17.200 | 1.168 | 0.834 |
| FF13_1 | Fe-Cl/CO3 | 301.738 | 10.600 | 0.167 | 0.098 |
| FF13_1 | Fe-O/OH | 519.421 | 18.260 | 0.201 | 0.107 |
| FF13_1 | Soil + Cor. | 1128.575 | 39.660 | 0.416 | 0.305 |
| FF13_1 | Pores | 378.004 | 13.290 | 0.192 | 0.116 |
| FF13_2 | Metallic iron | 154.530 | 1.780 | 0.650 | 0.477 |
| FF13_2 | Fe-Cl/CO3 | 259.138 | 2.980 | 0.262 | 0.160 |
| FF13_2 | Fe-O/OH | 1275.393 | 14.660 | 0.405 | 0.213 |
| FF13_2 | Soil + Cor. | 4670.793 | 53.670 | 0.829 | 0.684 |
| FF13_2 | Pores | 2270.780 | 26.090 | 0.309 | 0.177 |
Disclaimer/Publisher’s Note: The statements, opinions and data contained in all publications are solely those of the individual author(s) and contributor(s) and not of MDPI and/or the editor(s). MDPI and/or the editor(s) disclaim responsibility for any injury to people or property resulting from any ideas, methods, instructions or products referred to in the content. |
© 2025 by the authors. Licensee MDPI, Basel, Switzerland. This article is an open access article distributed under the terms and conditions of the Creative Commons Attribution (CC BY) license (https://creativecommons.org/licenses/by/4.0/).
Share and Cite
Degenhart, G.; Wagner, S.; Tropper, P.; Töchterle, U.; Auer, M. The 3D Visibility of Rust: Micro Computed Tomography Investigations of a Roman Iron Nail from Aguntum. Minerals 2025, 15, 939. https://doi.org/10.3390/min15090939
Degenhart G, Wagner S, Tropper P, Töchterle U, Auer M. The 3D Visibility of Rust: Micro Computed Tomography Investigations of a Roman Iron Nail from Aguntum. Minerals. 2025; 15(9):939. https://doi.org/10.3390/min15090939
Chicago/Turabian StyleDegenhart, Gerald, Simon Wagner, Peter Tropper, Ulrike Töchterle, and Martin Auer. 2025. "The 3D Visibility of Rust: Micro Computed Tomography Investigations of a Roman Iron Nail from Aguntum" Minerals 15, no. 9: 939. https://doi.org/10.3390/min15090939
APA StyleDegenhart, G., Wagner, S., Tropper, P., Töchterle, U., & Auer, M. (2025). The 3D Visibility of Rust: Micro Computed Tomography Investigations of a Roman Iron Nail from Aguntum. Minerals, 15(9), 939. https://doi.org/10.3390/min15090939

