Stability of Ferronickel and Lead Slags in Rainwater and Seawater Environments
Abstract
1. Introduction
1.1. Production and Toxicity of Ferronickel and Lead Slags
1.2. Hazard Assessment of Ferronickel and Lead Slags
2. Materials and Methods
2.1. Slag Sites and History
2.1.1. Ferronickel Slag
2.1.2. Primary Lead Slags
2.2. Materials and Sampling
2.3. Analytical Techniques
2.4. Leaching Methodology
2.5. Thermodynamic Study
3. Results and Discussion
3.1. Physicochemical Characterization of Ferronickel and Lead Slags
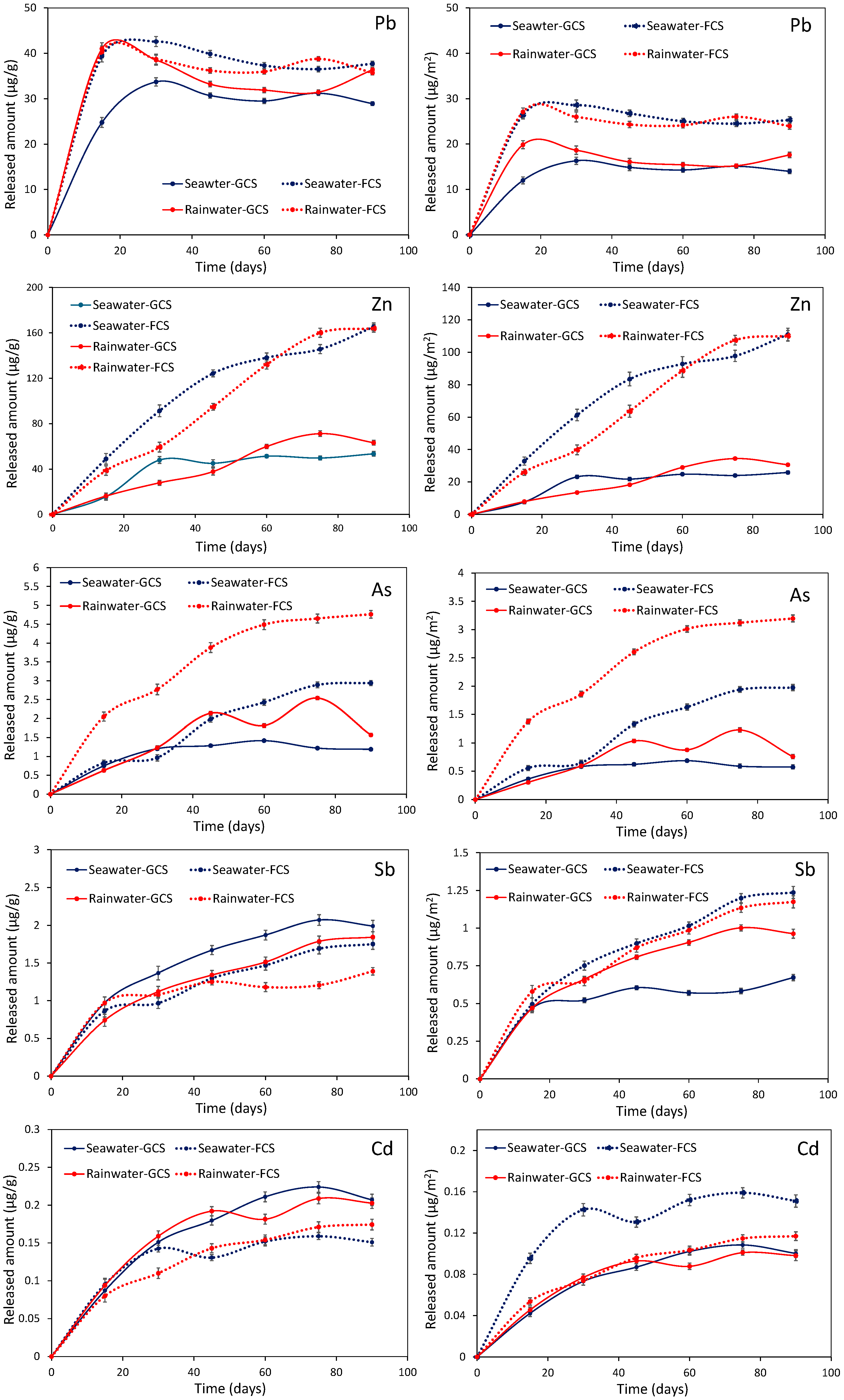
3.2. Leaching Behavior of Slags
3.3. Investigation of Pollutant Speciation and Thermodynamic Stability in Water Media
- Case 1 examines the thermodynamic behavior of pollutants from FNS;
- Case 2 examines the thermodynamic behavior of pollutants from GCS and FCS.
4. Conclusions
- (a)
- Ni(OH)2 and 2PbO·PbSO4 were the major secondary species formed from the leaching of FNS and GCS/FCS, respectively. Therefore, Ni and Pb can be mobilized via the partial dissolution of these phases.
- (b)
- The potential mobilization of Cr from FNS and As from GCS/FCS under anoxic conditions appeared negligible due to the formation of the insoluble in water secondary species Cr(OH)3·3H2O and Pb3(AsO4)2. These findings are consistent with the limited leachability of Cr and As observed in the kinetic leaching curves.
Author Contributions
Funding
Data Availability Statement
Conflicts of Interest
Abbreviations
| FNS | Ferronickel slag |
| GCS | Greek company slag |
| FCS | French company slag |
References
- Wang, G.C. Nonferrous metal extraction and nonferrous slags. In The Utilization of Slag in Civil Infrastructure Construction, 1st ed.; Woodhead Publishing: Duxford, UK, 2016; pp. 35–61. [Google Scholar]
- Worldsteel. Available online: https://worldsteel.org/wp-content/uploads/Fact-sheet-Steel-industry-co-products.pdf (accessed on 3 August 2025).
- Nguyen, Q.D.; Castel, A.; Kim, T.; Khan, M.S.H. Performance of fly ash concrete with ferronickel slag fine aggregate against alkali-silica reaction and chloride diffusion. Cem. Concr. Res. 2021, 139, 106265. [Google Scholar] [CrossRef]
- Pan, D.; Li, L.; Tian, X.; Wu, Y.; Cheng, N.; Yu, H. A review on lead slag generation, characteristics, and utilization. Resour. Conserv. Recycl. 2019, 146, 140–155. [Google Scholar] [CrossRef]
- Piatak, N.M. Environmental Characteristics and Utilization Potential of Metallurgical Slag. In Environmental Geochemistry, 2nd ed.; DeVivo, B., Belkin, H., Lima, A., Eds.; Elsevier: Amsterdam, The Netherlands, 2018; pp. 487–519. [Google Scholar]
- Piatak, N.M.; Ettler, V. Metallurgical Slags: Environmental Geochemistry and Resource Potential; Series: Chemistry in the Environment; Royal Society of Chemistry Publisher: Cambridge, UK, 2021; p. 306. [Google Scholar]
- Fu, P.; Yang, H.; Zhang, G.; Fu, P.; Li, Z. In-Situ Immobilization of Cd-Contaminated Soils Using Ferronickel Slag as Potential Soil Amendment. Bull. Environ. Contam. Toxicol. 2019, 103, 756–762. [Google Scholar] [CrossRef]
- Prasetyo, A.B.; Khaerul, A.; Mayangsari, W.; Febriana, E.; Maksum, A.; Andinie, J.; Firdiyono, F.; Soedarsono, J.W. Magnesium extraction of ferronickel slag processed by alkali fusion and hydrochloric acid leaching. J. Min. Metall. Sect. B Metall. 2021, 57, 225–233. [Google Scholar] [CrossRef]
- Đorđević, T.; Tasev, G.; Aicher, C.; Potysz, A.; Nagl, P.; Lengauer, C.L.; Pędziwiatr, A.; Serafimovski, T.; Boev, I.; Boev, B. Mineralogy and environmental stability of metallurgical slags from the Euronickel smelter, Vozarci, North Macedonia. Appl. Geochem. 2024, 170, 106068. [Google Scholar] [CrossRef]
- Nowińska, K.; Kokowska-Pawłowska, M. Mineralogy of zinc and lead metallurgical slags in terms of their impact on the environment: A review. Minerals 2024, 14, 852. [Google Scholar] [CrossRef]
- Seignez, N.; Gauthier, A.; Bulteel, D.; Buatier, M.; Recourt, P.; Damidot, D.; Potdevin, J.L. Effect of Pb-rich and Fe-rich entities during alteration of a partially vitrified metallurgical waste. J. Hazard. Mater. 2007, 149, 418–431. [Google Scholar] [CrossRef]
- Wang, P.W.; Zhang, L. Structural role of lead in lead silicate glasses derived from XPS spectra. J. Non-Cryst. Sol. 1996, 194, 129–134. [Google Scholar] [CrossRef]
- Calas, G.; Cormier, L.; Galoisy, L.; Jollivet, P. Structure–property relationships in multicomponent oxide glasses. Comptes Rendus Chim. 2002, 5, 831–843. [Google Scholar] [CrossRef]
- Kierczak, J.; Néel, C.; Puziewicz, J.; Bril, H. The mineralogy and weathering of slag produced by the smelting of the lateritic Ni ores, Szklary, Southwestern Poland. Can. Mineral. 2009, 47, 557–572. [Google Scholar] [CrossRef]
- Tyszka, R.; Pietranik, A.; Kierczak, J.; Zieliński, G.; Darling, J. Cadmium distribution in Pb-Zn slags from Upper Silesia, Poland: Implications for cadmium mobility from slag phases to the environment. J. Geochem. Explor. 2018, 186, 215–224. [Google Scholar] [CrossRef]
- De Andrade Lima, L.R.P.; Bernardez, L.A. Characterization of the lead smelter slag in Santo Amaro, Bahia, Brazil. J. Hazard. Mater. 2011, 189, 692–699. [Google Scholar] [CrossRef]
- Barcos-Arias, M.; Vazquez, M.J.; Maldonado, V.M.; Alarcon, A.; Peña-Cabriales, J.J. Chemical characterization and local dispersion of slag generated by a lead recovery plant in Central Mexico. Afr. J. Biotechnol. 2014, 13, 1973–1978. [Google Scholar] [CrossRef]
- Saikia, N.; Borah, R.R.; Konwar, K.; Vandecastelee, C. pH dependent leachings of some trace metals and metalloid species from lead smelter slag and their fate in natural geochemical environment. Groundw. Sustain. Dev. 2018, 7, 348–358. [Google Scholar] [CrossRef]
- Warchulski, R.; Mendecki, M.; Gawęda, A.; Sołtysiak, M.; Gadowski, M. Rainwater-induced migration of potentially toxic elements from a Zn–Pb slag dump in Ruda Śląska in light of mineralogical, geochemical and geophysical investigations. Appl. Geochem. 2019, 109, 104396. [Google Scholar] [CrossRef]
- Yin, N.H. Weathering of Metallurgical Slags: A Comprehensive Study on the Importance of Chemical and Biological Contributions. Ph.D. Thesis, Université Paris-Est, Paris, France, 2014. [Google Scholar]
- De Andrade Lima, L.R.P.; Bernardez, L.A. Evaluation of the chemical stability of a landfilled primary lead smelting slag. Environ. Earth Sci. 2013, 68, 1033–1040. [Google Scholar] [CrossRef]
- Baharuddin, I.I.; Imran, A.M.; Maulana, A.; Hamzah, A. Leaching time correlation with heavy metals (Fe, Cr, Ni, Mn) distribution in ferronickel slag leaching test. Int. J. Adv. Res. Eng. Technol. 2020, 11, 505–511. [Google Scholar]
- Susanto, I.; Irawan, R.R.; Hamdani, D. Nickel slag waste utilization for road pavement material as strategy to reduce environmental pollution. E3S Web Conf. 2020, 202, 05003. [Google Scholar] [CrossRef]
- Tangahu, B.V.; Warmadewanthi, I.D.A.A.; Saptarini, D.; Pudjiastuti, L.; Tardan, M.A.M.; Luqman, A. Ferronickel slag performance from reclamation area in Pomalaa, Southeast Sulawesi, Indonesia. Adv. Chem. Eng. Sci. 2015, 5, 408–412. [Google Scholar] [CrossRef]
- Demotica, J.S.; Amparado, R.; Malaluan, R.M.; Demayo, C. Characterization and leaching assessment of ferronickel slag from a smelting plant in Iligan city, Philippines. Int. J. Environ. Sci. Dev. 2012, 3, 470–474. [Google Scholar] [CrossRef]
- Hobson, A.J.; Stewart, D.I.; Bray, A.W.; Mortimer, R.J.; Mayes, W.M.; Rogerson, M.; Burke, I.T. Mechanism of vanadium leaching during surface weathering of basic oxygen furnace steel slag blocks: A microfocus X-ray absorption spectroscopy and electron microscopy study. Environ. Sci. Technol. 2017, 51, 7823–7830. [Google Scholar] [CrossRef]
- Han, L.; Chen, B.; Liu, T.; Choi, Y. Leaching characteristics of iron and manganese from steel slag with repetitive replenishment of leachate. KSCE J. Civ. Eng. 2019, 23, 3297–3304. [Google Scholar] [CrossRef]
- Sakurai, Y.; Hisaka, Y.; Tsukihashi, F. Nutrient supply to seawater from steelmaking slag: The coupled effect of gluconic acid usage and slag carbonation. Metall. Mater. Trans. B 2020, 51, 1039–1047. [Google Scholar] [CrossRef]
- Foekema, E.M.; Tamis, J.E.; Blanco, A.; van der Weide, B.; Sonneveld, C.; Kleissen, F.; van den Heuvel-Greve, M.J. Leaching of metals from steel slag and their ecological effects on a marine ecosystem: Validating field data with mesocosm observations. Environ. Toxicol. Chem. 2021, 40, 2499–2509. [Google Scholar] [CrossRef]
- Riley, A.L.; Cameron, J.; Burke, I.T.; Onnis, P.; MacDonald, J.M.; Gandy, C.J.; Crane, R.A.; Byrne, P.; Comber, S.; Jarvis, A.P.; et al. Environmental behaviour of iron and steel slags in coastal settings. Environ. Sci. Pollut. Res. 2024, 31, 42428–42444. [Google Scholar] [CrossRef] [PubMed]
- Seignez, N.; Gauthier, A.; Bulteel, D.; Damidot, D.; Potdevina, J.-L. Leaching of lead metallurgical slags and pollutant mobility far from equilibrium conditions. Appl. Geochem. 2008, 23, 3699–3711. [Google Scholar] [CrossRef]
- Jin, Z.; Liu, T.; Yang, Y.; Jackson, D. Leaching of cadmium, chromium, copper, lead, and zinc from two slag dumps with different environmental exposure periods under dynamic acidic condition. Ecotoxicol. Environ. Saf. 2014, 104, 43–50. [Google Scholar] [CrossRef]
- Ettler, V.; Johan, Z. 12 years of leaching of contaminants from Pb smelter slags: Geochemical/mineralogical controls and slag recycling potential. Appl. Geochem. 2014, 40, 97–103. [Google Scholar] [CrossRef]
- Sakaroglou, M.; Anastassakis, G.N. Nickel recovery from electric arc furnace slag by magnetic separation. J. Min. Metall. 2017, 53, 3–15. [Google Scholar] [CrossRef]
- Gaitanos, G.; Zevgolis, E.; Kontos, G. Utilization of Slags from (the Greek) Ferronickel Industry. 1999. Available online: https://www.researchgate.net/publication/320979826_E_Diacheirise_ton_Metallourgikon_Skorion_ste_GMM_AE_LARKO_Utilization_of_Slags_from_the_Greek_Ferronickel_Industry (accessed on 6 August 2025). (In Greek).
- Kontopoulos, A.; Komnitsas, K.; Xenidis, A.; Papassiopi, N. Environmental characterisation of the sulphidic tailings in Lavrion. Miner. Eng. 1995, 8, 1209–1219. [Google Scholar] [CrossRef]
- EN 12457-2; Characterization of Waste–Leaching–Compliance Test for Leaching of Granular Waste Material and Sludge—Part 2: One Stage Batch Test at a Liquid to Solid Ratio of 10 L/kg with Article Size Below 4 mm (Without or With Size Reduction). European Committee for Standardization (CEN): Brussels, Belgium, 2002.
- Eur-lex.europa.eu. Directive (EU) 2020/2184 of the European Parliament and of the Council of 16 December 2020 on the Quality of Water Intended for Human Consumption. Available online: https://eur-lex.europa.eu/legal-content/EN/TXT/?uri=celex%3A32020L2184 (accessed on 6 August 2025).
- Eur-lex.europa.eu. Directive (EU) 2003/40/EC. Available online: https://eur-lex.europa.eu/eli/dir/2003/40/oj/eng (accessed on 6 August 2025).
- WHO. Zinc in Drinking-Water. Available online: https://cdn.who.int/media/docs/default-source/wash-documents/wash-chemicals/zinc.pdf?sfvrsn=9529d066_4#:~:text=The%20daily%20requirement%20for%20adult,has%20an%20undesirable%20astringent%20taste.&text=1.,Weinheim%2C%20Verlag%20Chemie%2C%201989 (accessed on 6 August 2025).
- Van Hullebusch, E.D.; Yin, N.H.; Seignez, N.; Labanowski, J.; Gauthier, A.; Lens, P.N.L.; Avril, C.; Sivry, Y. Bio-alteration of metallurgical wastes by Pseudomonas aeruginosa in a semi flow-through reactor. J. Environ. Manag. 2015, 147, 297–305. [Google Scholar] [CrossRef]
- Hsieh, Y.; Huang, C. The dissolution of PbS(s) in dilute aqueous solutions. J. Colloid Interface Sci. 1989, 131, 537–549. [Google Scholar] [CrossRef]
- Yoon, I.-H.; Bang, S.; Chang, J.-S.; Gyu Kim, M.; Kim, K.-W. Effects of pH and dissolved oxygen on Cr(VI) removal in Fe(0)/H2O systems. J. Hazard. Mater. 2011, 186, 855–862. [Google Scholar] [CrossRef]
- Chou, P.-I.; Ng, D.-Q.; Li, I.-C.; Lin, Y.-P. Effects of dissolved oxygen, pH, salinity and humic acid on the release of metal ions from PbS, CuS and ZnS during a simulated storm event. Sci. Total Environ. 2018, 624, 1401–1410. [Google Scholar] [CrossRef] [PubMed]
- Biele, J.; Grott, M.; Zolensky, M.E.; Benisek, A.; Dachs, E. The specific heat of astro-materials: Review of theoretical concepts, materials, and techniques. Int. J. Thermophys. 2022, 43, 144. [Google Scholar] [CrossRef] [PubMed]
- DeBusk Gee, K.; Schimoler, D.; Charron, B.T.; Woodward, M.D.; Hunt, W.F. A comparison of methods to address anaerobic conditions in rainwater harvesting systems. Water 2021, 13, 3419. [Google Scholar] [CrossRef]
- Vargel, C. Chapter D.3—Seawater. In Corrosion of Aluminium; Elsevier Publisher: Amsterdam, The Netherlands, 2004. [Google Scholar]
- Sricharoenvech, P.; Siebecker, M.G.; Tappero, R.; Landrot, G.; Fischel, M.H.H.; Sparks, D.L. Chromium speciation and mobility in contaminated coastal urban soils affected by water salinity and redox conditions. J. Hazard. Mater. 2024, 462, 132661. [Google Scholar] [CrossRef] [PubMed]













| Type of Slag | Material | Leaching Procedure | Released Pollutants Concentrations (mg/L) | Reference |
|---|---|---|---|---|
| Primary lead | Granulometry −4 mm, containing various Ca-silicate phases, Antwerp, Belgium | Various pH between 2.5 and 14 | As < 1 at all pH range Pb ≤ 500 at pH = 2.5 Cd negligible at all pH range | [18] |
| Various types of Pb-Zn slags including glassy, crystalline and weathered, granulometry −1 cm, Poland | (SPLP: USEPA 1312, pH = 3.93) Simulating acid rain | Higher element release in case of pyroxene containing crystalline slag As = 1.7 Cd = 0.037 | [19] | |
| Granulometry −100 mm +2, specific surface area of 0.08–0.09 m2 g−1, mainly glass phase, France | CEN/TS 14997 (2006) modified pH = 4–10 | Pb = 82.8 stabilized after 75 days Zn = 163 after 50 days | [20] | |
| Granulometry −2 mm, mainly glassy, Brazil | TCLP and SPLP pH range 1–12.5 TCLP pH adjusted with HCl | Pbmax = 105 Znmax = 105 pH = 1 negligible for pH > 4 | [21] | |
| Granulometry −9.5 mm, high crystallinity, Brazil | TCLP (acetic acid) and SPLP (sulfuric and nitric acids) pH = 5 | Pb = 0.85 (TCLP) Pb = 4.8 (SPLP) As = 0.75 (TCLP) | [16] | |
| Granulometry 0.8 mm, Mexico | TCLP (acetic acid) and SPLP (sulfuric and nitric acids) pH around 5 | Pb = 4 (TCLP) Pb = 8 (SPLP) | [17] | |
| Ferronickel | Fine granulated Indonesia | TCLP (USEPA Method 1311) Acidic | Cr(VI) < 0.031 Pb = 0.03 Zn = 0.098 | [22] |
| Variable granulometry (+0.075 mm −37.5 mm), Indonesia | TCLP (USEPA) No specific further data | Ni = 7.47 As < 0.07 Pb = 0.06 | [23] | |
| No available data, Indonesia | TCLP (USEPA Method 1311) Acidic | Cr = 0.64 Pb = 0.0222 | [24] | |
| Granulometry +0.15 mm −2.5 cm, Philippines | TCLP (USEPA 1311, pH = 2.88–4.93) and SPLP (USEPA 1312, pH = 2.5–7) | Pbmax = 1.46 Nimax = 20.3 | [25] | |
| Granulometry very fine (+ 30–35 μm), North Macedonia | TCLP (USEPA Method 1311) pH = 2.9–4.9 | Cr = 7–14 Ni = 500–600 | [9] |
| Particle size range (mm) | <0.25 | >0.25<0.50 | >0.50<0.75 | >0.75<1.0 | >1.0<2.0 | >2.0<5.0 |
| Mass fraction (%) | 4.20 | 7.55 | 17.70 | 24.90 | 31.10 | 14.55 |
| Sample | BET-Specific Surface Area (m2/g) | Total Pore Volume (cm3/g) | Pore Diameter (nm) |
|---|---|---|---|
| FNS | 0.36 | 1.03 | - |
| GCS | 2.07 | 2.57 | 6.8 |
| FCS | 1.49 | 2.04 | 3.1 |
| Sample | GCS | FCS | FNS | |||
|---|---|---|---|---|---|---|
| Element | wt.% | Error± | wt.% | Error± | wt.% | Error± |
| SiO2 | 32.08 | 0.05 | 29.55 | 0.05 | 36.35 | 0.06 |
| Fe2O3 | 28.48 | 0.04 | 37 | 0.05 | 36.98 | 0.05 |
| CaO | 18.55 | 0.04 | 14.32 | 0.04 | 9.75 | 0.03 |
| Al2O3 | 5.42 | 0.03 | 2.59 | 0.018 | 5.6 | 0.03 |
| ZnO | 3.9 | 0.009 | 4.13 | 0.01 | <0.03 | 0.004 |
| MgO | 3.32 | 0.05 | 0.8 | 0.029 | 6.93 | 0.07 |
| K2O | 1.22 | 0.01 | 0.59 | 0.01 | 0.52 | 0.01 |
| MnO | 1.06 | 0.008 | 2.76 | 0.013 | 0.35 | 0.006 |
| PbO | 0.94 | 0.003 | 0.93 | 0.004 | - | - |
| Na2O | 0.48 | 0.028 | 0.17 | 0.01 | 0.13 | 0.001 |
| BaO | 0.46 | 0.009 | 0.12 | 0.005 | <0.01 | 0.005 |
| CuO | 0.37 | 0.001 | 0.46 | 0.004 | - | - |
| TiO2 | 0.22 | 0.004 | 0.12 | 0.003 | 0.38 | 0.004 |
| As2O3 | 0.08 | 0.003 | 0.1 | 0.004 | - | - |
| NiO | - | - | - | - | 0.16 | 0.0003 |
| ZrO2 | 0.07 | 0.0001 | 0.07 | 0.0001 | 0.01 | 0.001 |
| V2O5 | - | - | - | - | 0.03 | 0.001 |
| CoO | 0.04 | 0.007 | 0.05 | 0.008 | 0.02 | 0.005 |
| SrO | 0.03 | 0.0003 | 0.03 | 0.0003 | <0.01 | 0.004 |
| Cr2O3 | 0.02 | 0.0022 | 0.001 | 2.27 | 0.01 | |
| P2O5 | 0.28 | 0.004 | 0.28 | 0.04 | 0.03 | 0.001 |
| SO3 | 1.81 | 0.007 | 4.94 | 0.012 | 0.18 | 0.001 |
| Cl | 0.17 | 0.004 | 0.02 | 0.0005 | 0.12 | 0.0006 |
| Other elements | 0.06 | - | 0.05 | - | 0.19 | - |
| LOI | 0.94 | 0.92 | - | |||
| Element | Ni | Co | As | Cd | Sb | Bi | Hg | Se | Ba | Zr | Mo | Cu | Pb | Zn | Ag | Au | Nb | Ga | V | Cs |
|---|---|---|---|---|---|---|---|---|---|---|---|---|---|---|---|---|---|---|---|---|
| Concentration (ppm) | 1289 | 142 | 4.5 | <0.1 | <0.1 | <0.1 | <0.1 | <0.5 | 67 | 74 | 0.1 | 14.1 | 1.9 | 44 | <0.1 | <0.5 | 5.3 | 7.2 | 226 | 1.4 |
| Error ± | 55 | 6.8 | 0.09 | 5 × 10−3 | 5 × 10−3 | 5 × 10−3 | 5 × 10−3 | 0.02 | 1.9 | 2.1 | 0.1 | 0.65 | 0.06 | 1.6 | 5 × 10−3 | 0.02 | 0.08 | 0.12 | 8.9 | 0.05 |
| Elements | Y | La | Ce | Pr | Nd | Sm | Eu | Gd | Tb | Dy | Ho | Er | Tm | Yb | Lu | Sc | Sr | Rb | Th | U |
| Concentration (ppm) | 19.1 | 17.7 | 27.1 | 3.58 | 13.6 | 2.76 | 0.67 | 2.98 | 0.45 | 2.79 | 0.58 | 1.75 | 0.24 | 1.6 | 0.23 | 42 | 88.8 | 19.5 | 3.8 | 1.6 |
| Error ± | 0.65 | 0.6 | 0.85 | 0.07 | 0.5 | 0.03 | 0.03 | 0.03 | 0.01 | 0.03 | 0.03 | 0.01 | 0.01 | 0.05 | 0.01 | 1.6 | 3.5 | 0.7 | 0.04 | 0.05 |
| Aqueous Media | Cl− | SO4− | Na+ | NH4+ | K+ | Mg+2 | Ca+2 | PO4−3 | NO3− | HCO3− | F− | pH | EC (μScm−1) |
|---|---|---|---|---|---|---|---|---|---|---|---|---|---|
| Rainwater (mg·L−1) | 4.4 | 17.2 | 6.03 | 0.2 | 3.18 | 1.6 | 30 | 0.48 | 52 | - | 0.07 | 7.05 | 54.6 |
| Error (±) | 0.3 | 1.2 | 0.3 | 2 × 10−3 | 0.16 | 0.08 | 4 × 10−3 | 3.1 | 1 × 10−3 | 0.1 | 2.7 | ||
| Seawater (mg·L−1) | 22,114 | 3415 | 12,519 | - | - | 1457 | 446 | - | - | 163 | 7.89 | 52,150 | |
| Error (±) | 880 | 270 | 500 | 72.8 | 22.3 | 10.8 | 0.1 | 2500 |
| Be | Al | V | Cr | Mn | Fe | Co | Ni | Cu | Zn | As | Se | Mo | Cd | Sb | Ba | Hg | Pb | |
|---|---|---|---|---|---|---|---|---|---|---|---|---|---|---|---|---|---|---|
| FNS (μg·L−1) | <LOQ | 105.19 | <LOQ | 0.27 | <LOQ | 21.99 | 1.2 | 25.65 | 4.05 | 96.88 | 0.32 | 0.09 | 0.39 | 0.09 | 0.29 | 5.27 | <LOQ | 2.06 |
| Error (±) | 4.2 | 0.005 | 0.4 | 0.04 | 0.8 | 0.3 | 4.9 | 6 × 10−3 | 6 × 10−3 | 0.03 | 6 × 10−3 | 0.5 | 0.08 | |||||
| GCS (μg·L−1) | 6 × 10−4 | 109.92 | <LOQ | 0.2 | 41.29 | 72.67 | 1.9 | 9.26 | 4.66 | 585.97 | 1.61 | 0.17 | 0.42 | 1.14 | 11.38 | 123.49 | <LOQ | 76.22 |
| Error (±) | 6 × 10−6 | 4.4 | 0.004 | 2.6 | 1.5 | 0.06 | 0.3 | 0.3 | 29.2 | 0.03 | 0.01 | 0.03 | 0.08 | 12.2 | 2.9 | |||
| FCS (μg·L−1) | 8 × 10−4 | 393.63 | <LOQ | 0.34 | 88.07 | 188.08 | 0.33 | 3.47 | 5.83 | 646.33 | 0.23 | 0.19 | 0.59 | 1.07 | 3.12 | 91.13 | <LOQ | 142.2 |
| Error (±) | 8 × 10−6 | 8.4 | 0.007 | 5.3 | 3.7 | 0.001 | 0.1 | 0.4 | 32.3 | 5 × 10−3 | 0.01 | 0.04 | 0.08 | 9.1 | 5.7 |
| Phase | Concentration of Pollutant-Bearing Phase in Material (wt.%) | Amount of Pollutant-Bearing Phase in the Solution g/L (Considering 10 g of slag/L) | Chemical Composition of Seawater and Rainwater | |
|---|---|---|---|---|
| Case 1 | FeCr2O4 (Cr-spinel) | 10 | 1 | Full-component composition as presented in Table 6 |
| Metallic Nickel (Nim) | 1 | 0.1 | ||
| Case 2 | Metallic lead (Pbm) | 0.5 | 0.05 | |
| PbS | 0.5 | 0.05 | ||
| Pb3(AsO4)2 | 0.5 | 0.05 |
Disclaimer/Publisher’s Note: The statements, opinions and data contained in all publications are solely those of the individual author(s) and contributor(s) and not of MDPI and/or the editor(s). MDPI and/or the editor(s) disclaim responsibility for any injury to people or property resulting from any ideas, methods, instructions or products referred to in the content. |
© 2025 by the authors. Licensee MDPI, Basel, Switzerland. This article is an open access article distributed under the terms and conditions of the Creative Commons Attribution (CC BY) license (https://creativecommons.org/licenses/by/4.0/).
Share and Cite
Samouhos, M.; Gkika, A.; Kostakis, M.G.; Siandri, E.; Romanos, G.; Godelitsas, A. Stability of Ferronickel and Lead Slags in Rainwater and Seawater Environments. Minerals 2025, 15, 1030. https://doi.org/10.3390/min15101030
Samouhos M, Gkika A, Kostakis MG, Siandri E, Romanos G, Godelitsas A. Stability of Ferronickel and Lead Slags in Rainwater and Seawater Environments. Minerals. 2025; 15(10):1030. https://doi.org/10.3390/min15101030
Chicago/Turabian StyleSamouhos, Michail, Anastasia Gkika, Marios G. Kostakis, Eirini Siandri, George Romanos, and Athanasios Godelitsas. 2025. "Stability of Ferronickel and Lead Slags in Rainwater and Seawater Environments" Minerals 15, no. 10: 1030. https://doi.org/10.3390/min15101030
APA StyleSamouhos, M., Gkika, A., Kostakis, M. G., Siandri, E., Romanos, G., & Godelitsas, A. (2025). Stability of Ferronickel and Lead Slags in Rainwater and Seawater Environments. Minerals, 15(10), 1030. https://doi.org/10.3390/min15101030

