Abstract
The problem of spent fluid catalytic cracking (SFCC) catalyst resource utilization, draws more and more attention to system analysis. SFCC was leached in an oxalic solution for comprehensive utilization. The results showed that for a D50 ≤ 17.34 μm, the catalyst leached for 240 min at 95 °C in the presence of a 2 mol/L oxalic acid solution, and the extent of leaching of V, Ni, Fe, and Al was 73.4%, 32.4%, 48.2%, and 36.8%, respectively. Studies on the occurrence state of the main ions (V, Ni, Fe, and Al) in the leaching solution were presented. Additionally, the separation of the main ions from such a solution by the “solvent extraction-stripping-hydrothermal precipitation-comprehensive recovery of valuable metal” process was studied. The immobilization rates of vanadium and nickel in geopolymers can be obtained using the toxicity characteristic leaching procedure (TCLP) test, and the geopolymers prepared by SFCC leaching residues can be considered a non-hazardous material. A process diagram of the comprehensive utilization of SFCC catalysts is presented.
1. Introduction
In view of the worldwide depletion of natural resources and ongoing environmental pollution, increased recycling is necessary, specifically for the recycling of semi-manufactured products, secondary materials, by-products, and wastes, including detrimental wastes [1,2,3]. Most industrial wastes are now regarded as recyclable substances and valuable sources of raw materials. A typical fluid catalytic cracking (FCC) catalyst consists of a mixture of an inert matrix (kaolin), an active matrix (alumina), a binder (silica or silica-alumina), and a rare earth-exchanged Y-zeolite. The FCC catalysts that are generally used are high-silica faujasites with X-type, Y-type, and ZSM-5 zeolites [4]. In the FCC process, a large part of the feedstock is converted into coke, and a small amount of alumina (Al), iron (Fe), vanadium (V), nickel (Ni), etc., impurities in crude oil will gradually deposit on the catalysts [1]. In terms of metal poisoning, V and Ni are the main poisons. V is the most dangerous because it destroys the structure of the zeolite and catalyzes dehydrogenation reactions [5]. The cumulative amount of spent fluid catalytic cracking (SFCC) catalysts in the world is approximately 840,000 tons [6]. SFCCs are managed through the following approaches: (1) chemical or microbial treatment for the recovery of valuable metals for different applications, (2) regeneration and reuse and (3) landfilling [7]. Dealing with deactivated industrial catalysts has become a serious problem and has not been fully solved yet.
An appropriate leaching method must be selected for the extraction of valuable metals and reused for the leaching residues without introducing any impurity. V and Ni are widely used in industrial fields, and the content (V 0.44% and Ni 0.53%) in SFCC catalysts is much richer than most primary ores, such as V titanomagnetite and stone coal. At the same time, the SFCC catalyst is composed of approximately 90 wt.% silica and alumina. Its use in mortars and cement pastes has been successfully proven by researchers [8].
The recycling of used SFCC catalysts for the selective extraction of metals (such as Al, Fe, V, and Ni) is beneficial. The SFCC catalyst can be regarded as a secondary ore. Therefore, an economically viable solution to the problem of pollution from spent catalysts should include the use of SFCC catalysts for other purposes instead of disposing of them in a landfill. Hydrometallurgy has been used for many years, and it has the advantages of low-cost requirements and decreased air pollution [9]. Oxalic acids are considered to be weak acids and are effective in leaching metals from spent vanadium-containing catalysts [10]. The oxalate process has great potential and can replace many existing metal-recovery processes that use inorganic acids, such as sulfuric acid, hydrochloric acid, and nitric acid [11]. Several studies have been carried out on varying leaching conditions for vanadium recovery from the SFCC catalyst [12,13]. However, there is a general paucity of empirical research focusing on the related elements Ni, Fe, Al. In addition, there are few studies on the occurrence state and extraction of metal elements in the oxalic acid leaching solution, the residual metal content in the leaching residue, and the toxicity characteristic leaching procedure (TCLP) test.
In the present study, oxalic acid was selected because it can be used as a complexing reagent to selectively extract V, Ni, Fe, and Al from SFCC catalysts. The effects of particle size, leaching time, leaching temperature, and the oxalic acid concentration on the recovery ratio of V, Ni, Fe, and Al compounds from the SFCC catalysts were investigated. The dissolution behavior of metals from SFCC catalysts was illustrated. Furthermore, the comprehensive utilization of the selected leaching of metals was studied.
2. Materials and Methods
2.1. Materials
The fresh and SFCC catalysts applied in this study were petrochemical catalysts obtained from a refinery (Hubei, China). The fresh catalyst is based on silica-alumina and is widely used in FCC units in petroleum refining. An analysis of the metals was performed using ICP-OES after the samples were subjected to acid digestion. The chemical composition analyses result of the material is presented in Table 1. As seen in Table 1, the FCC catalyst has the highest aluminum content, followed by silicon. Almost no vanadium and nickel were found in the fresh catalyst, however, they were found in the SFCC catalysts. At the same time, the Fe content varies greatly. During the regeneration process, the metals deposited on the surface of the catalyst are converted into the corresponding oxide, destroying the structure of the zeolite and catalyzing the dehydrogenation reaction. The oxalic acid (C2H2O4) had a 99% purity (Xilong Chemical Co., Ltd., Shantou, China). All the chemicals were analytical-grade reagents and were used without further purification. All the aqueous solutions were prepared using double-distilled and ion-exchanged water.
Table 1.
Chemical compositions of the fresh and SFCC catalyst.
2.2. Experimental Procedure
The SFCC catalyst used in this study was dried in a furnace with a constant weight of 100 °C for 24 h. Then, the SFCC catalyst samples were ground in a vibratory mill (SPEX 8000M, Bode, China) and separated into appropriately sized fractions by grinding for 0 min, 5 min, and 10 min; the granularities corresponding to D50 were 51.08 μm, 17.34 μm, and 11.42 μm, respectively. The mill is made of zirconia. Due to the short milling time, the amount of impurities introduced is almost negligible. In addition, since the material is zirconia, the incoming impurities will not affect the leaching of vanadium, nickel, aluminum, and iron. Chemical leaching tests were conducted with oxalic acid; the leaching test was carried out in a 250 mL Erlenmeyer flask, and all experiments were performed in duplicate. The weighed SFCC catalyst samples were stirred and leached in a series of various solutions. After the desired time, the solutions were separated by vacuum filtration. Samples were gathered, filtered, and then analyzed for metals using inductively coupled plasma-optical emission spectrometry (ICP-OES).
2.3. Characterization
The elemental composition of the fresh and SFCC catalysts were analyzed through ICP-OES (Optima 5300DV, Perkin Elmer, Waltham, MA, USA) after the digestion of a 0.1 g sample with 10 mL of an HF and HNO3 (1:1) mixture in a Teflon vessel using a hot plate. Before the tests, the catalysts were ground in a vibratory mill and separated into appropriately sized fractions according to the grinding time. The distribution of the particle size was assessed using a Coulter LS 230 particle size analyzer.
The specific surface areas of the spent oxalic acid leaching catalysts were measured using the Brunauer–Emmett–Teller (BET) (Nova 3000 Version 6.07, Quantachrome Corporation, Boynton Beach, FL, USA) method at a liquid nitrogen temperature.
Morphology of the catalysts was observed using a Jeol JSM-5600 LV scanning electron microscope (JEOL JSM-5600LV, JEOL, Tokyo, Japan) equipped with a Bruker QUANTAX200-30 energy dispersive spectrometer (EDS, BRUKER, Billerica, MA, USA). Before the measurement, the samples were spread on a metallic screw and covered in platinum. The image analysis was performed at an accelerating voltage of 15–30 kV and under a high vacuum.
The XRD patterns of the samples were obtained on a PAN analysis X’pert PRO, with a Cu-Kα X-ray source, and the diffractometer radiation was generated at 40 kV and 40 mA.
To confirm the valence of V, Ni, Fe, and Al in the spent FCC catalysts, X-ray photoelectron spectroscopy was carried out using an electronic spectrometer (model AXIS ULTRADLD) equipped with monochromatic Al K radiation (1486.6 eV) and at an operating voltage of 150 W. The energy was corrected by a reference to the combined energy of the indefinite C 1s line at 284.8 eV. A pH meter (PHS-3C, LabTech Instrument Co., Ltd., Dongguan, China) was used to measure the pH of the leaching solution.
3. Results
3.1. Analysis of Catalyst Samples
3.1.1. Catalyst Composition
The semi-quantitative SEM-EDS (Figure 1) results show that the surfaces of the catalyst microspheres are relatively smooth. Additionally, there are no clear spots observed on the surface of deposited metals, and this indicates the good distribution of the contaminants in the bulk of the catalysts. As seen from the analysis, the SFCC catalyst contained recyclable metals.
Figure 1.
SEM images and EDS spectra of the (a) fresh and (b) SFCC catalysts.
3.1.2. Physical and Chemical Properties of Sample Catalyst
Figure 2 shows the XRD patterns of the fresh and SFCC catalysts from a petroleum refinery in Hubei, China. The XRD patterns of the fresh and SFCC catalysts were analyzed to observe the phase transition of the FCC catalyst matrix. According to the patterns, the main crystal phase of fresh catalyst is zeolite. Some typical zeolite-Y peaks have much weaker reflections for the peaks at 6.3°, 10.3°, 12.1°, 15.9°, and 23.9°. This is consistent with the standard zeolite-Y phase (HighScore Plus card number, 01-073-2313). The hkl (111), (220), (311), (331), and (533) Miller indices indicate that the framework of the zeolite crystal was severely damaged. With a decrease in the size of the cell and with an increase in the Si/Al ratio, the peak positions in the XRD pattern shift slightly to a higher angle. However, no peaks of the V, Ni, and Fe compounds were observed in the XRD patterns. As seen in Figure 1, the contents of V, Ni, and Fe in the SFCC catalyst are below the detection limit of XRD. However, the effects of the V deposition on FCC catalysts are widely known [14], including a reduction in the surface area, destruction of the zeolite crystal structure, and extraction of the aluminum framework, causing decreased activity. A decrease in the surface area of the catalyst with an increase in the vanadium content means that the active sites available for catalytic reaction decrease and the catalyst activity decreases. The specific surface areas of the fresh catalyst and the SFCC catalyst were 58.91 and 34.86 m2/g, respectively, and this reveals that the spent catalyst sample was deactivated.
Figure 2.
XRD patterns of fresh and SFCC catalysts.
The XPS spectra in Figure 3 show the elemental composition on the surface of the SFCC catalyst. Figure 3a shows the V2p spectra of the SFCC catalyst. The Gaussian–Lorentzian fit to the V2p peak shows two peaks at 518.69 eV, 517.56 eV, and 516.48 eV, with surface area ratios of 30.14%, 45.02%, and 24.84%, respectively.
Figure 3.
XPS spectra of SFCC catalysts: (a) V2p, (b) Ni2p, (c) Fe, and (d) Al.
Under various conditions when using SFCC catalysts, vanadium may exist in different oxidation states (+5, +4 or +3), which depend on the reaction unit environment or the regeneration mode. Which oxidation state of vanadium is dominant depends largely on the catalyst distribution in the regenerator and on the mode of operation (partial or full combustion). According to previous studies, it is apparent that the poisonous effects of vanadium depend on its oxidation state: V3+ is harmless, V4+ is less harmful, and V5+ has an obvious destructive effect on zeolites [15]. Vanadium is first deposited on the surface of the FCC catalyst and then migrates to the inside of the particles. Therefore, vanadium is consistently distributed throughout the catalyst particles, and this can be ascribed to its mobility.
The Ni2p XPS spectra are shown in Figure 3b. The binding energies’ peaks are 856.26 and 853.08 eV, with content ratios of 56.36% and 43.64%. The Ni compounds correspond to NiAl2O4, NiSiO3, NiO, and Ni0, respectively. In the FCC process, the nickel contained in the feedstock is deposited on the FCC catalyst, and this causes several problems with respect to the yield rate of the desired products. For example, nickel, in the form of NiO, can form metallic nickel in the reductive environment of the cracking stage. Ni0 can catalyze dehydrogenation reactions, and this leads to a large amount of hydrogen and coke production at the expense of the desired products. However, nickel as NiO can react with the Al2O3 and SiO2 components in the catalyst and form stable NiAl2O4 and NiSiO3 species [5,16,17].
Although the Ni2p signal has a complex shape because it has a variety of satellite signals, the Ni2p signal is frequently used to study this element. In samples with a low nickel concentration, the theoretical orbital-spin coupling constraints for the Ni2p components cannot be successfully applied to both the NiAl2O4 and NiSiO3 species. This is similar to the results reported in Amayaa’s research [18].
According to XPS databases and scientific reports, the chemical forms of Fe and Al in the SFCC catalyst can be detected. Figure 3c shows that the 2p spectrum of Fe had three peaks: 710.81 and 713.52 eV, which are characteristics of Fe2+ and Fe3+, respectively. Moreover, the binding energies of Fe3+ show its existence in Fe2O3, and Fe2+ is in Fe2SiO4 [19]. In addition, the position of Al is located at 73.46 and 74.34 eV (Figure 3d), thereby, evidencing the presence of high-silica faujasite and Al2O3 [20].
3.2. Leaching Test
The effects of the particle size, leaching time, leaching temperature, and oxalic acid concentrations on the leaching efficiency of V, Ni, Fe, and Al from SFCC catalysts, were studied.
3.2.1. Effects of Particle Size
The velocity curve for the effects of the particle size of SFCC catalysts on leaching efficiencies of V, Ni, Fe, and Al are shown in Figure 4. It was clear that the efficiency of the V, Ni, Fe, and Al recovery in the solution after leaching significantly increased with a decreasing catalyst particle size. When D50 = 17.34 μm, the leaching efficiencies of V, Ni, Fe, and Al were 73.4%, 32.4%, 48.2%, and 36.8%, respectively. A further reduction in the SFCC catalyst particle size did not significantly increase the leaching degree and remained virtually unchanged. During the leaching process, internal diffusion is the main control step in acidic conditions [21]. With a decrease in particle size, the contact area between the SFCC catalyst particles and the oxalic acid solution increased. The inhibition of internal diffusion was weaker, and the metal leaching reaction was correspondingly accelerated. When the particle size reached a certain level and the metal oxides on the surface or in the pore size of the SFCC catalyst were completely reacted, the metal leaching rate tended to be stable. Although a further reduction in the particle size had a slight effect on the leaching efficiency of metals, the process consumes a high amount of energy. Thus, the SFCC catalyst particle size of D50 being ≤17.34 μm was sufficient.
Figure 4.
Effects of particle size on leaching efficiency of metals (CC2H2O4 = 2 mol/L; T = 95 °C; t = 240 min).
3.2.2. Effects of Leaching Time
The effects of the leaching time on the extraction of SFCC catalysts are shown in Figure 5. As seen in Figure 5, the leaching efficiency of Ni and Al increased rapidly during the first 120 min and increased slowly after that. However, the leaching efficiency of Fe increased dramatically during the first 180 min and achieved equilibrium when the leaching time was extended to 240 min. In addition, there was a sharp increase in the leaching efficiency of V when the leaching time extended from 0.5 to 240 min, however, there was no significant increase in the leaching efficiency, and remained virtually unchanged. This case may be mainly ascribed to the existence of metals that were difficult to be dissolved in the oxalic acid solution. Since oxalic acid is a weak acid, the conversion of metal oxide into complexes has a complex and time-dependent character. To ensure that the equilibrium was reached for each test, the optimum leaching time of 240 min was used in the subsequent leaching experiments.
Figure 5.
Effects of leaching time on leaching efficiency of metals (CC2H2O4 = 2 mol/L; T = 95 °C; D50 ≤ 17.34 μm).
3.2.3. Effects of Oxalic Acid Concentration
The relationship between the oxalic acid concentration and the leaching efficiency of SFCC catalysts is shown in Figure 6. The leaching efficiency of V was as high as 43.1% when the oxalic acid concentration was at a low level of 0.5 mol/L, and the leaching efficiencies of Fe, Al, and Ni were 21.5%, 18.3%, 12.5%, respectively. The pH of the leachate was 1.32, and the major form of the oxalic acid species was HC2O4− and H2C2O4 [22]. The results show that V leaching is more likely to occur than that of the metal oxide under low acidic conditions. When the oxalic acid concentration was increased from 0.5 to 2 mol/L, the pH decreased from 1.32 to 0.31, and the main substance changed to H2C2O4. It can be clearly seen that the leaching efficiency of metal oxide increased with the increasing H2C2O4 concentration and eventually stabilized, even when the H2C2O4 concentration was further increased after reaching 2 mol/L. The reason for this is that oxalic acid is a weak acid, and the concentration of oxalate is directly proportional to the concentration of oxalic acid. Therefore, the effect of the complex formation becomes obvious at high acid concentrations. However, when the concentration was higher than 2.0 mol/L, the leaching rate did not increase with an increase in oxalic acid, and the increase in the leaching rate could be ignored. A concentration of 2.0 mol/L oxalic acid was the optimum condition to obtain relatively high metal oxide leaching efficiencies.
Figure 6.
Effects of oxalic acid concentration on leaching efficiencies of metals (t = 240 min; T = 95 °C; D50 ≤ 17.34 μm).
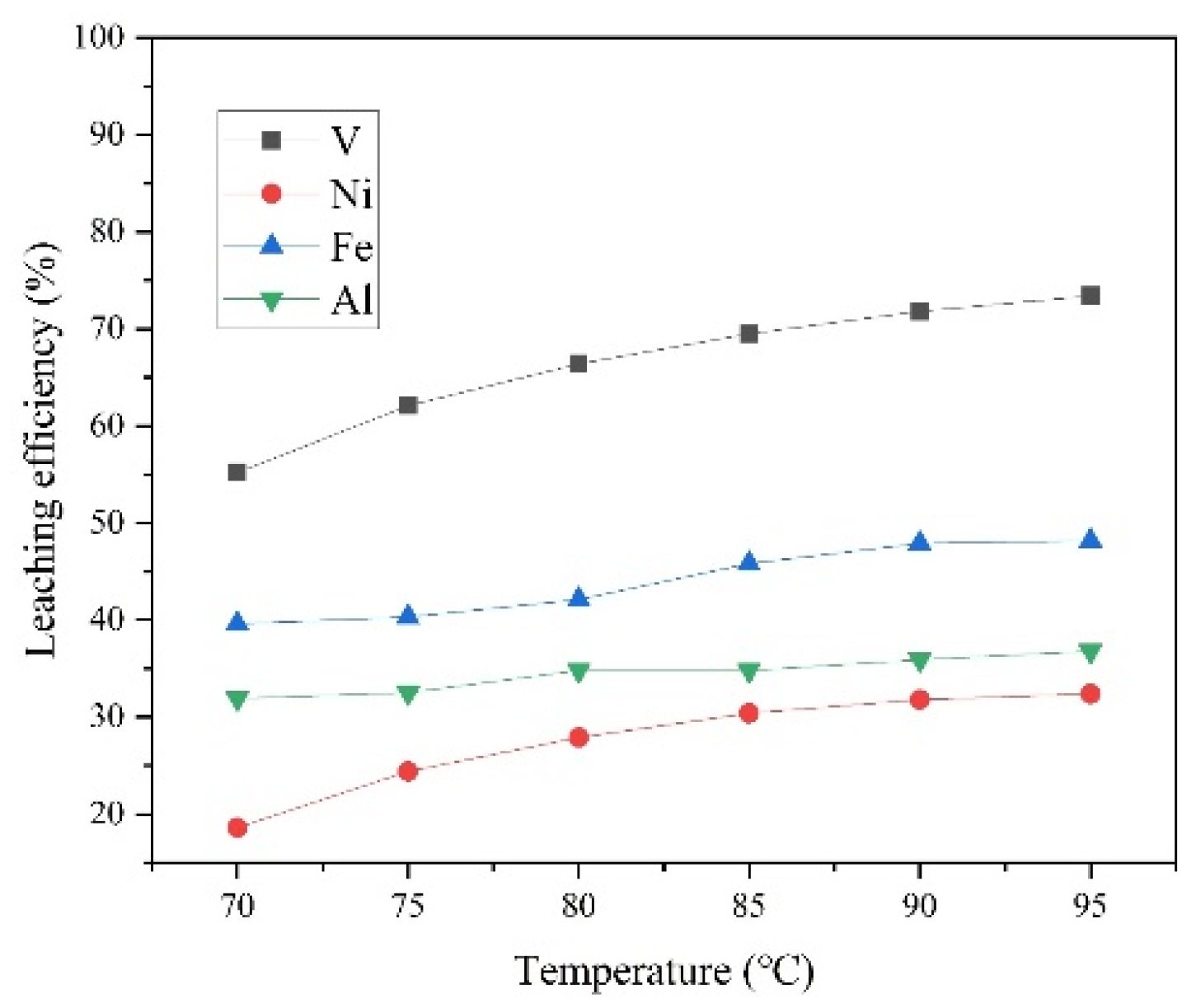
3.2.4. Effects of Leaching Temperature
Figure 7 presents the results of experimental studies designed to determine the leaching efficiencies of compounds from the spent catalyst at different leaching temperatures. It can be seen in Figure 7 that the leaching efficiencies of V and Ni increased with an increase in the leaching temperature. The highest leaching recoveries of V (73.4%) and Ni (32.4%) were achieved at a temperature of 95 °C, and this confirmed the endothermic nature of the reaction. As seen, the temperature had very little impact on the leaching efficiencies of Fe and Al in the range of 70–95 °C. This finding indicates that great changes in temperature affect the reaction equilibrium of leaching V and Ni via the oxalic acid from SFCC catalysts; whether the dissolution rate of the metal is faster or slower in the initial stage indicates that the mass transfer through the product layer is important for leaching kinetics. However, this illustrates that this phenomenon requires more investigation in the field of kinetics for the leaching process, and will be the topic of our next research manuscript. In addition, oxalic acid easily volatilized and thermally decomposed when the solution temperature was higher than 95 °C [9,20]. Therefore, the optimized leaching temperature was regarded to be 95 °C.
Figure 7.
Effects of leaching temperature on leaching efficiency of V and Ni (t = 240 min; T = 95 °C; D50 ≤ 17.34 μm).
4. Discussion
4.1. Oxalic-Acid-Based SFCC Leachate
The oxalic acid leaching solution obtained under the optimal experimental conditions contained V, Ni, Fe, and Al, resulting in a complex, highly acidic and multi-miscellaneous vanadium-containing solution. The following research will focus on the occurrence states of the main ions (V, Ni, Fe, and Al) in the SFCC catalyst leaching solution under the oxalic acid system. The results of this study provide important guidance for the future purification and separation of vanadium.
Oxalic acid is one of the most widely used organic acids in the extraction of metals from SFCC catalysts because of its high acid strength and complexing ability. The oxalate concentration was measured following the standard method (ISO 6353-1-1982) [23]. The occurrence states of pure oxalic acid, vanadium, and nickel in the oxalic acid leaching solution are shown in Figure 8. As seen in Figure 8a, pure oxalic acid mainly exists in three forms: H2C2O4, HC2O4−, and C2O42−. Under strongly acidic conditions, oxalic acid is dominated by the H2C2O4 molecules supplemented by HC2O4− ions. However, oxalic acid forms different soluble complexes depending on the type of metal [1]. Whether or not oxalic acid compounds are soluble in water depends on the interaction between the metal and the ligand, and all oxalate complexes are water-soluble.
Figure 8.
(a) Occurrence states of pure oxalic acid leaching solution, (b) V occupancy states in the oxalic acid leaching solution, (c) Ni occupancy states in the oxalic acid leaching solution, (d) Fe occupancy states in the oxalic acid leaching solution, (e) Al occupancy states in the oxalic acid leaching solution.
Figure 8b presents the results of the experimental studies designed to determine the effect of the pH on the degree of leaching by compounds from the spent catalyst with an oxalic acid solution. When a pH ≤ 0, the leaching of compounds is VOC2O4, when a pH > 0, the major leaching of compounds is VO(C2O4)22−. In the acid leaching solution of the oxalic acid system, vanadium is usually present as both V(+4) and V(+5), whereas, in the oxalic acid system, vanadium can form various complexes with oxalate. V(+5) has a large charge/radius ratio, and it undergoes hydrolysis in water. Thus, there is no simple V(+5) ion in water. In a strongly acidic solution, the vanadium oxy ion ([VO2]+) [20] is present. V2O5 is an amphoteric oxide and can be dissolved in nonreducing acids to produce a light yellow solution containing [VO2]+ [24], HC2O4−, C2O42−, and VO2+ in the solution reacts with each other and eventually generates VOC2O4. V(+3) reacts with oxalic acid and oxygen to produce VOC2O4 [11,21,25]. The results show that the occurrence state of vanadium in the actual acid leaching solution is mainly present in the form of V(+4).
The effect of the pH on the leaching compounds of Ni by oxalic acid is shown in Figure 8c. Ni2+ decreases by increasing the pH (−1.5–0.5) and then remains nearly constant in the experiments. The fractional conversion of the NiC2O4 compounds increases up to a maximum valve (−1.5–0.31) at the beginning of the dissolution reaction and, thereafter, decreases to the value of almost 0 in the experiments carried out at high a pH (0.31–6). Researchers have demonstrated a mechanism of using oxalic acid to recover nickel from spent catalysts [26]. Nickel tends to form oxalate compounds and oxalate complexes at the same time. Nickel leaching depends on the pH and oxalate concentration, but it is limited by the low solubility of NiC2O4 compounds. The complex formation of oxalate with other metals (such as V and Al) also affects the solubility of nickel oxalate because available oxalate ions are consumed. As a result of the reaction characteristics of NiAl2O4, there is no obvious evidence that NiAl2O4 is involved in the oxalic acid dissolution reaction [27].
Figure 8d shows the relationship between the compounds of Fe and the pH in the leaching process. Figure 8d indicates that, with an increasing solution pH, the yield of Fe2+ is decreased. The yield of FeC2O4 (aq) and Fe(C2O4)+ increases to the highest, then decreases with a further increase in the pH. In addition, it can be also seen that the yield of Fe(C2O4)22− was 92.4% at a pH = 4, and with the increasing pH, it was almost kept unchanged. Due to the reducing properties of oxalic acid, Fe3+ will be reduced to Fe2+ by oxalate. Forming the stable oxalate complex Fe(C2O4)22− by oxalic acid under a strongly acidic environment also provides a soluble species.
The results of the qualitative analysis of the pH effect on the yield of Al are presented in Figure 8e. The results show that aluminum can form four complexes of AlHC2O42+, AlC2O4+, Al(C2O4)2−, and Al(C2O4)33− in oxalic acid solutions of different pHs. When the pH ranges from 0 to 1.5, Al(C2O4)2− is dominant, and when the pH is greater than 1.5, Al(C2O4)33− exists in a stable form. Because high-silica faujasite and Al2O3 are inert toward acids, the leaching efficiency of Al was not high in oxalic acid. However, in the case of the supports from the high-silica faujasite and Al2O3, the oxalic acid will react with the high-silica faujasite and Al2O3 to form Al(C2O4)33−.
From the above summary, it can be seen that V, Ni, Al, and Fe with organic-ligand oxalate can form various complexes. In our teamwork, the separation and recovery of V, Fe, and Al from an oxalic acid-based SFCC catalyst leachate by solvent extraction with Aliquat 336, was investigated [28,29]. The V, Fe, and Al extraction percentages were 98.60%, 99.64%, and 80.42%, respectively. However, due to the particularity of Ni, the extraction percentage of Ni was extremely low during the separation and recovery process of the oxalic acid-based solution using Aliquat 336. In fact, in view of the particularity of NiC2O4, we have been trying to use ammonia-dissolving to obtain a nickel–ammonium oxalate complex solution, and finally, to obtain NiC2O4·2H2O. In addition, explaining this observation requires more investigation in the field of the leaching process and will be the subject of our next research manuscript. The oxalic acid leaching solution of vanadium-bearing realized the asynchronous comprehensive recovery of vanadium, iron, and aluminum by adopting the principle process of “solvent extraction—stripping—hydrothermal precipitation—comprehensive recovery of valuable metal”. V2O5 products, with a purity of 98.5% and a total recovery of 94.87% of vanadium, were prepared by hydrothermal precipitation after the pretreatment of the vanadium-rich solution, obtained by acid leaching solution extraction and back extraction [30].
4.2. Preparation of Geopolymer from Leaching Residue
The ICP analysis of the leaching residue (Table 2) showed that the Al and Si contents were 14.60% and 23.76%, respectively. The leaching slag with high Al and Si contents can be used for polymers [30,31], and the production of polymers maximizes the use of solid waste.
Table 2.
Chemical composition of leaching residue obtained using optimum conditions.
Table 3 compares the toxicity characteristic leaching procedure (TCLP) test results for the SFCC catalyst and the leaching residue obtained using the TCLP regulatory level established by the U.S. Environmental Protection Agency (U.S. EPA, 1998a), and the recommended acceptance criteria for disposal, established by the National Hazardous Waste List, China (National Hazardous Waste List, 251-017050, 2019). The data in Table 3 show that the V and Ni concentrations of the catalyst residue after oxalic acid leaching are far below the prescribed limits; thus, the catalyst residue after oxalic acid leaching can be safely disposed of or used in the preparation of geopolymers.
Table 3.
TCLP test results for the spent FCC catalyst and leaching residue.
Our studies have investigated the immobilization rates of vanadium and nickel in geopolymers prepared with SFCC catalysts leaching residue [32]. Nickel, in the leaching residue, is partly dissolved and adsorbed by the negatively charged tetrahedral aluminum in the geopolymer. The vanadium content in the leaching residue is lower than 1861.4 mg/kg, the vanadium content in the leachate is lower than 2 mg/L and the geopolymer can be considered a non-hazardous material.
On the basis of the above results, a conceptual process flowchart for the comprehensive utilization of the SFCC catalyst is presented in Figure 9. However, the flowchart is a conceptual process organization and is based on the manuscript findings but without any pilot or industrial application thus far.
Figure 9.
Process diagram of the comprehensive utilization of SFCC catalysts.
This paper takes the SFCC catalyst as the research object, to examine the technical problems existing in the comprehensive utilization of SFCC catalysts. We studied the leaching, purification, and enrichment processes and the mechanism of vanadium under the oxalic acid system, putting forward a multi-component asynchronous extraction process that reveals the recovery and separation mechanism of the valuable components, thus, realizing the comprehensive utilization of SFCC catalysts.
5. Conclusions
The factors that affect the selective leaching of metals in the oxalic acid catalytic cracking catalyst were investigated. The optimum reaction conditions were as follows: particle size of D50 ≤ 17.34 μm, a reaction time of 240 min, an oxalic acid concentration of 2.0 mol/L, and a temperature of 95 °C. The leaching efficiencies of V, Ni, Fe, and Al were 73.4%, 32.4%, 48.2%, and 36.8%, respectively. V, Fe, and Al were selectively separated and recovered from the oxalic acid leachate of the SFCC catalyst by solvent extraction with Aliquat 336. The V, Fe, and Al extraction percentages were 98.60%, 99.64%, and 80.42%, respectively. At the same time, the extraction percentage of Ni was extremely low. Leaching residues with a high silica-alumina content can be recovered as carriers and used to synthesize geopolymers. The geopolymers, prepared by using the SFCC leaching residues, can be considered a non-hazardous material. Based on the results of the present study, a process diagram of the comprehensive utilization of SFCC catalysts is proposed.
Author Contributions
D.Z.: investigation, data curation, visualization, and writing—original draft; Y.Z.: conceptualization and methodology; T.L.: validation; J.H.: project administration; Z.C.: supervision; R.Z.: resources. All authors have read and agreed to the published version of the manuscript.
Funding
This study was supported by the National Key R&D Program of China (Nos. 2018YFC1900602), the Project of the National Natural Science Foundation of China (51774216), and the Outstanding Young and Middle-aged Science and Technology Innovation Team Project of Hubei Province (T201802). The authors cordially thank the anonymous reviewers and the editor for their constructive comments on this manuscript.
Acknowledgments
We extend our thanks to the State Environmental Protection Key Laboratory of Mineral Metallurgical Resources Utilization and Pollution Control, Wuhan 430081, China; the Collaborative Innovation Center of Strategic Vanadium Resources Utilization, Wuhan 430081, China; the Hubei Provincial Engineering Technology Research Center of High Efficient Cleaning Utilization for Shale Vanadium Resource, Wuhan 430081, China.
Conflicts of Interest
The authors declare no conflict of interest.
References
- Verma, A.; Kore, R.; Corbin, D.R.; Shiflett, M.B. Metal Recovery Using Oxalate Chemistry: A Technical Review. Ind. Eng. Chem. Res. 2019, 58, 15381–15393. [Google Scholar] [CrossRef]
- Pathak, A.; Vinoba, M.; Kothari, R. Emerging role of organic acids in leaching of valuable metals from refinery-spent hydroprocessing catalysts, and potential techno-economic challenges: A review. Crit. Rev. Environ. Sci. Technol. 2020, 51, 1–43. [Google Scholar] [CrossRef]
- Wang, J.-Z.; Du, H.; Olayiwola, A.; Liu, B.; Gao, F.; Jia, M.-L.; Wang, M.-H.; Gao, M.-L.; Wang, X.-D.; Wang, S.-N. Recent advances in the recovery of transition metals from spent hydrodesulfurization catalysts. Tungsten 2021, 3, 305–328. [Google Scholar] [CrossRef]
- Akcil, A.; Vegliò, F.; Ferella, F.; Okudan, M.D.; Tuncuk, A. A review of metal recovery from spent petroleum catalysts and ash. Waste Manag. 2015, 45, 420–433. [Google Scholar] [CrossRef]
- Etim, U.; Bai, P.; Liu, X.; Subhan, F.; Ullah, R.; Yan, Z. Vanadium and nickel deposition on FCC catalyst: Influence of residual catalyst acidity on catalytic products. Microporous Mesoporous Mater. 2018, 273, 276–285. [Google Scholar] [CrossRef]
- Ferella, F. A review on management and recycling of spent selective catalytic reduction catalysts. J. Clean. Prod. 2019, 246, 118990. [Google Scholar] [CrossRef]
- Lin, Y.-H.; Yang, M.-H. Chemical catalysed recycling of polypropylene over a spent FCC catalyst and various commercial cracking catalysts using TGA. Thermochim. Acta 2008, 470, 52–59. [Google Scholar] [CrossRef]
- Alonso-Fariñas, B.; Rodríguez-Galán, M.; Arenas, C.; Torralvo, F.A.; Leiva, C. Sustainable management of spent fluid catalytic cracking catalyst from a circular economy approach. Waste Manag. 2020, 110, 10–19. [Google Scholar] [CrossRef]
- Erust, C.; Akcil, A.; Bedelova, Z.; Anarbekov, K.; Baikonurova, A.; Tuncuk, A. Recovery of vanadium from spent catalysts of sulfuric acid plant by using inorganic and organic acids: Laboratory and semi-pilot tests. Waste Manag. 2016, 49, 455–461. [Google Scholar] [CrossRef]
- Pospiech, B.; Warzecha, M. Application of oxalic acid as an efficient leaching agent of aluminum from industrial waste. Physicochem. Probl. Miner. Process. 2020, 56, 264–270. [Google Scholar]
- Mazurek, K. Recovery of vanadium, potassium and iron from a spent vanadium catalyst by oxalic acid solution leaching, precipitation and ion exchange processes. Hydrometallurgy 2013, 134–135, 26–31. [Google Scholar] [CrossRef]
- Le, M.N.; Lee, M.S. Selective dissolution of vanadium(V) from spent petroleum catalysts by oxalic acid solution. J. Min. Met. Sect. B Met. 2020, 56, 127–133. [Google Scholar] [CrossRef] [Green Version]
- Muddanna, M.H.; Baral, S.S. A comparative study of the extraction of metals from the spent fluid catalytic cracking catalyst using chemical leaching and bioleaching by Aspergillus niger. J. Environ. Chem. Eng. 2019, 7, 103335. [Google Scholar] [CrossRef]
- Etim, U.J.; Wu, P.; Bai, P.; Xing, W.; Ullah, R.; Subhan, F.; Yan, Z. Location and Surface Species of Fluid Catalytic Cracking Catalyst Contaminants: Implications for Alleviating Catalyst Deactivation. Energy Fuels 2016, 30, 10371–10382. [Google Scholar] [CrossRef]
- Bai, P.; Etim, U.J.; Yan, Z.; Mintova, S.; Zhang, Z.; Zhong, Z.; Gao, X. Fluid catalytic cracking technology: Current status and recent discoveries on catalyst contamination. Catal. Rev. 2018, 61, 333–405. [Google Scholar] [CrossRef]
- Etim, U.J.; Xu, B.; Bai, P.; Ullah, R.; Subhan, F.; Yan, Z. Role of nickel on vanadium poisoned FCC catalyst: A study of physiochemical properties. J. Energy Chem. 2016, 25, 667–676. [Google Scholar] [CrossRef]
- Zhou, Q.; Qi, Y.; Liu, Q.; Ren, F.; Chen, Z.; Zhu, Y.; Etschmann, B.; Zhang, L. A detailed speciation of iron on FCC catalysts based on an integrated use of advanced characterisation methods and thermodynamic equilibrium simulation. Appl. Catal. A Gen. 2020, 599, 117597. [Google Scholar] [CrossRef]
- Amaya, Á.A.; González, C.A.; Martínez, O.F. The behavior of the surface Si/(Si+Al) ratio in the FCC catalyst deactivation. J. Electron. Spectrosc. Relat. Phenom. 2020, 239, 146932. [Google Scholar] [CrossRef]
- Tavakoli, M.; Dreisinger, D. The kinetics of oxidative leaching of vanadium trioxide. Hydrometallurgy 2014, 147–148, 83–89. [Google Scholar] [CrossRef]
- Wu, W.; Wang, C.; Bao, W.; Li, H. Selective reduction leaching of vanadium and iron by oxalic acid from spent V2O5-WO3/TiO2 catalyst. Hydrometallurgy 2018, 179, 52–59. [Google Scholar] [CrossRef]
- Hu, P.; Zhang, Y.; Liu, T.; Huang, J.; Yuan, Y.; Xue, N. Source separation of vanadium over iron from roasted vanadium-bearing shale during acid leaching via ferric fluoride surface coating. J. Clean. Prod. 2018, 181, 399–407. [Google Scholar] [CrossRef]
- Marafi, M.; Stanislaus, A. Studies on rejuvenation of spent residue hydroprocessing catalysts by leaching of metal foulants. J. Mol. Catal. A Chem. 2003, 202, 117–125. [Google Scholar] [CrossRef]
- ISO 6353/1-1982; Regents for Chemical Analysis—Part 1: General Test Methods. International Organization for Standardization: Geneva, Switzerland, 1982.
- Alsheeha, H.; Marafi, M.; Raghavan, V.; Rana, M.S. Recycling and Recovery Routes for Spent Hydroprocessing Catalyst Waste. Ind. Eng. Chem. Res. 2013, 52, 12794–12801. [Google Scholar] [CrossRef]
- Szymczycha-Madeja, A. Kinetics of Mo, Ni, V and Al leaching from a spent hydrodesulphurization catalyst in a solution containing oxalic acid and hydrogen peroxide. J. Hazard Mater. 2011, 186, 2157–2161. [Google Scholar] [CrossRef]
- Rasoulnia, P.; Mousavi, S.M. V and Ni recovery from a vanadium-rich power plant residual ash using acid producing fungi: Aspergillus niger and Penicillium simplicissimum. RSC Adv. 2016, 6, 9139–9151. [Google Scholar] [CrossRef]
- Liu, Z.; Huang, J.; Zhang, Y.; Liu, T.; Hu, P.; Liu, H.; Zheng, Q. Separation and recovery of vanadium and iron from oxalic-acid-based shale leachate by coextraction and stepwise stripping. Sep. Purif. Technol. 2020, 244, 58–69. [Google Scholar] [CrossRef]
- Liu, Z.; Huang, J.; Zhang, Y.; Liu, T.; Hu, P.; Liu, H.; Luo, D. Separation and recovery of vanadium and aluminum from oxalic acid leachate of shale by solvent extraction with Aliquat 336. Sep. Purif. Technol. 2020, 249, 116867. [Google Scholar] [CrossRef]
- Liu, Z.; Huang, J.; Zhang, Y.; Liu, T.; Hu, P.; Liu, H.; Zheng, Q. Separation and recovery of iron impurities from a complex oxalic acid solution containing vanadium by K3Fe(C2O4)3·3H2O crystallization. Sep. Purif. Technol. 2019, 232, 115970. [Google Scholar] [CrossRef]
- Wei, B.; Zhang, Y.; Bao, S. Preparation of geopolymers from vanadium tailings by mechanical activation. Constr. Build. Mater. 2017, 145, 236–242. [Google Scholar] [CrossRef]
- Meng, R.; Liu, T.; Zhang, Y.; Huang, J.; Yuan, Y.; Hu, P. Synchronous activation of Si and Al in vanadium-bearing shale leaching residue via sodium carbonate additive. Constr. Build. Mater. 2018, 170, 20–25. [Google Scholar] [CrossRef]
- Zhang, R.; Zhang, Y.; Liu, T.; Wan, Q.; Zheng, D. Immobilization of vanadium and nickel in spent fluid catalytic cracking (SFCC) catalysts-based geopolymer. J. Clean. Prod. 2021, 332, 130112. [Google Scholar] [CrossRef]
Publisher’s Note: MDPI stays neutral with regard to jurisdictional claims in published maps and institutional affiliations. |
© 2022 by the authors. Licensee MDPI, Basel, Switzerland. This article is an open access article distributed under the terms and conditions of the Creative Commons Attribution (CC BY) license (https://creativecommons.org/licenses/by/4.0/).








