A Novel Method to Limit the Adverse Effect of Fine Serpentine on the Flotation of Pyrite
Abstract
:1. Introduction
2. Materials and Methods
2.1. Samples and Reagents
2.2. Flotation
2.3. Particle Size Measurements
2.4. Rheology Measurements
2.5. Adsorption Measurements
3. Results and Discussions
3.1. Flotation
3.2. Particle Size Measurements
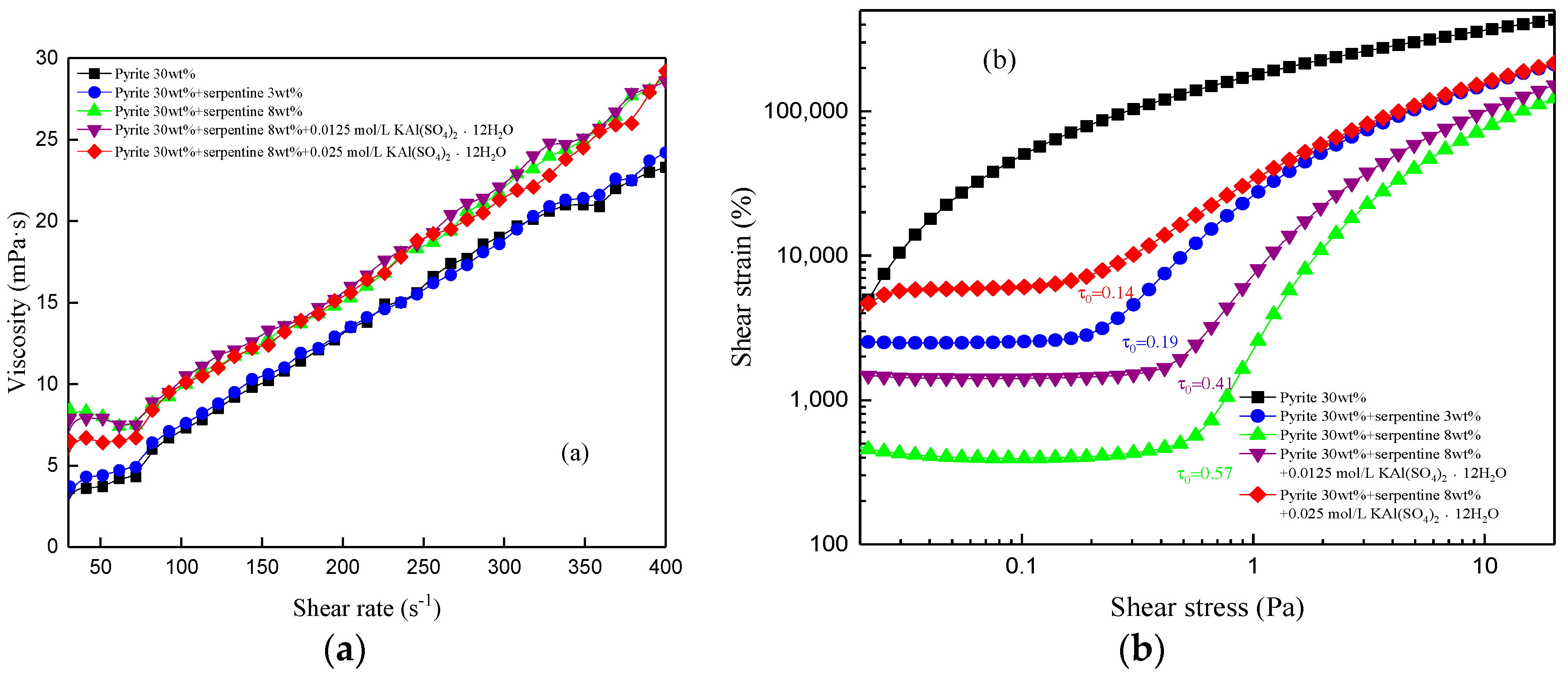
3.3. Rheological Measurements
3.4. Adsorption Measurements
4. Mechanism Analysis
5. Conclusions
Author Contributions
Funding
Conflicts of Interest
References
- Basile, A.; Hughes, J.; McFarlane, A.J.; Bhargava, S.K. Development of a model for serpentine quantification in nickel laterite minerals by infrared spectroscopy. Miner. Eng. 2010, 23, 407–412. [Google Scholar] [CrossRef]
- Pietrobon, M.C.; Grano, S.R.; Sobieraj, S.; Ralston, J. Recovery mechanisms for pentlandite and MgO-bearing gangue minerals in nickel ores from Western Australia. Miner. Eng. 1997, 10, 775–786. [Google Scholar] [CrossRef]
- Edwards, G.R.; Kipkie, W.B.; Agar, G.E. The effect of slime coatings of the serpentine minerals, chrysotile and lizadite, on pentlandite flotation. Int. J. Miner. Process. 1980, 7, 33–42. [Google Scholar] [CrossRef]
- Liu, C.; Ai, G.; Song, S. The effect of amino trimethylene phosphonic acid on the flotation separation of pentlandite fromlizardite. Powder Technol. 2018, 336, 527–532. [Google Scholar] [CrossRef]
- Yang, S.; Xie, B.; Lu, Y.; Li, C. Role of magnesium-bearing silicates in the flotation of pyrite in the presence of serpentine slimes. Powder Technol. 2018, 332, 1–7. [Google Scholar] [CrossRef]
- Zhou, X.; Feng, B. The effect of polyether on the separation of pentlandite and serpentine. J. Mater. Res. Technol. 2015, 4, 429–433. [Google Scholar] [CrossRef]
- Feng, B.; Lu, Y.; Feng, Q.; Li, H. Solution chemistry of sodium silicate and implications for pyrite flotation. Ind. Eng. Chem. Res. 2012, 51, 12089–12094. [Google Scholar] [CrossRef]
- Lu, Y.P.; Zhang, M.Q.; Feng, Q.M.; Long, T.; Ou, L.M.; Zhang, G.F. Effect of sodium hexametaphosphate on separation of serpentine from pyrite. Trans. Nonferrous Met. Soc. China 2011, 21, 208–213. (In English) [Google Scholar] [CrossRef]
- Bremmell, K.E.; Fornasiero, D.; Ralston, J. Pentlandite-lizardite interactions and implications for their separation by flotation. Colloids Surf. A Physicochem. Eng. Asp. 2005, 252, 207–212. [Google Scholar] [CrossRef]
- Zhang, C.; Liu, C.; Feng, Q.; Chen, Y. Utilization of N-carboxymethyl chitosan as selective depressants for serpentine on the flotation of pyrite. Int. J. Miner. Process. 2017, 163, 45–47. [Google Scholar] [CrossRef]
- Feng, B.; Feng, Q.; Lu, Y.; Lv, P. The effect of conditioning methods and chain length of xanthate on the flotation of a nickel ore. Miner. Eng. 2012, 39, 48–50. [Google Scholar] [CrossRef]
- Chen, G.; Grano, S.; Sobieraj, S.; Ralston, J. Effect of High Intensity Conditioning on the flotation of a nickel ore, Part 2: Mechanisms. Miner. Eng. 1999, 12, 1359–1373. [Google Scholar] [CrossRef]
- Yu, Y.; Ma, L.; Cao, M.; Liu, Q. Slime coatings in froth flotation: A review. Miner. Eng. 2017, 114, 26–36. [Google Scholar] [CrossRef]
- Feng, B.; Lu, Y.; Luo, X. The effect of quartz on the flotation of pyrite depressed by serpentine. J. Mater. Res. Technol. 2015, 4, 8–13. [Google Scholar] [CrossRef]
- Ødegaard, H.; Fettig, J.; Ratnaweera, H. Coagulation with prepolymerized metal salts. Chem. Water Wastewater Treat. 1990, 304, 189–220. [Google Scholar] [CrossRef]
- Udoma, E.J.; Umoh, M.S.; Udosen, E.O. Recto-vaginal fistula following coitus: An aftermath of vaginal douching with aluminium potassium sulphate dodecahydrate (potassium alum). Int. J. Gynecol. Obstet. 1999, 66, 299–300. [Google Scholar] [CrossRef]
- Nogaro, G.; Burgin, A.J.; Schoepfer, V.A.; Konkler, M.J.; Bowman, K.L.; Hammerschmidt, C.R. Aluminum sulfate (alum) application interactions with coupled metal and nutrient cycling in a hypereutrophic lake ecosystem. Environ. Pollut. 2013, 176, 267–274. [Google Scholar] [CrossRef]
- Hu, C.; Liu, H.; Qu, J.; Wang, D.; Ru, J. Coagulation behavior of aluminum salts in eutrophic water: Significance of Al13species and pH control. Environ. Sci. Technol. 2006, 40, 325–331. [Google Scholar] [CrossRef]
- Bicak, O.; Ekmekci, Z.; Bradshaw, D.J.; Harris, P.J. Adsorption of guar gum and CMC on pyrite. Miner. Eng. 2007, 20, 996–1002. [Google Scholar] [CrossRef]
- Feng, B.; Feng, Q.; Lu, Y. Dispersion mechanism of CMC on flotation system of serpentine and pyrite. J. Cent. South Univ. (Science and Technology) 2013, 44, 2644–2649. (In Chinese) [Google Scholar]
- Chen, Y.; Shi, Q.; Feng, Q.; Lu, Y.; Zhang, W. The Effect of Conditioning on the Flotation of Pyrrhotite in the Presence of Chlorite. Minerals 2017, 7, 125. [Google Scholar] [CrossRef]
- Chen, W.; Feng, Q.; Zhang, G.; Li, L.; Jin, S. Effect of energy input on flocculation process and flotation performance of fine scheelite using sodium oleate. Miner. Eng. 2017, 112, 27–35. [Google Scholar] [CrossRef]
- Fornasiero, D.; Ralston, J. Iron hydroxide complexes and their influence on the interaction between ethyl xanthate and pyrite. J. Colloid Interface Sci. 1992, 151, 225–235. [Google Scholar] [CrossRef]
- LI, Z.; HAN, Y.; LI, Y.; Gao, P. Effect of serpentine and sodium hexametaphosphate on ascharite flotation. Trans. Nonferrous Met. Soc. China 2017, 27, 1841–1848. (In English) [Google Scholar] [CrossRef]
- James, R.O.; Healy, T.W. Adsorption of hydrolyzable metal ions at the oxide-water interface. II. Charge reversal of SiO2 and TiO2 colloids by adsorbed Co(II), La(III), and Th(IV) as model systems. J. Colloid Interface Sci. 1972, 40, 53–64. [Google Scholar] [CrossRef]
- Yin, W.; Sun, C. Review on Research Status on Flotation Principles of Silicate Minerals. Conserv. Util. Miner. Resour. 2001, 3, 17–22. [Google Scholar]
- Feng, B.; Feng, Q.; Lu, Y. The effect of lizardite surface characteristics on pyrite flotation. Appl. Surf. Sci. 2012, 259, 153–158. [Google Scholar] [CrossRef]
- Somasundaran, P.; Dianzuo, W. Solution Chemistry: Minerals and Reagents; Elsevier: Amsterdam, The Netherlands, 2006. [Google Scholar]
- Sun, H.J.; Zhang, W.Z. Study on flocculating effects of three kinds of flocculants. J. Shenyang Univ. Chem. Technol. 2005, 19, 314–317. (In Chinese) [Google Scholar]
- Zhang, M.; Peng, Y. Effect of clay minerals on pulp rheology and the flotation of copper and gold minerals. Miner. Eng. 2015, 70, 8–13. [Google Scholar] [CrossRef]
- Zhang, G.; Gao, Y.; Chen, W.; Liu, D. The Role of Water Glass in the Flotation Separation of Fine Fluorite from Fine Quartz. Minerals 2017, 7, 157. [Google Scholar] [CrossRef]
- Prestidge, C.A. Rheological investigations of galena particle interactions. Colloids Surf. A Physicochem. Eng. Asp. 1997, 126, 75–83. [Google Scholar] [CrossRef]
- Ancey, C.; Jorrot, H. Yield stress for particle suspensions within a clay dispersion. J. Rheol. 2001, 45, 297–319. [Google Scholar] [CrossRef]
- Gao, Y.; Zhang, G.; Wang, M.; Liu, D. The Critical Role of Pulp Density on Flotation Separation of Nickel-Copper Sulfide from Fine Serpentine. Minerals 2018, 8, 317. [Google Scholar] [CrossRef]









© 2018 by the authors. Licensee MDPI, Basel, Switzerland. This article is an open access article distributed under the terms and conditions of the Creative Commons Attribution (CC BY) license (http://creativecommons.org/licenses/by/4.0/).
Share and Cite
Liu, D.; Zhang, G.; Chen, Y.; Chen, W.; Gao, Y. A Novel Method to Limit the Adverse Effect of Fine Serpentine on the Flotation of Pyrite. Minerals 2018, 8, 582. https://doi.org/10.3390/min8120582
Liu D, Zhang G, Chen Y, Chen W, Gao Y. A Novel Method to Limit the Adverse Effect of Fine Serpentine on the Flotation of Pyrite. Minerals. 2018; 8(12):582. https://doi.org/10.3390/min8120582
Chicago/Turabian StyleLiu, Dezhi, Guofan Zhang, Yanfei Chen, Wei Chen, and Yawen Gao. 2018. "A Novel Method to Limit the Adverse Effect of Fine Serpentine on the Flotation of Pyrite" Minerals 8, no. 12: 582. https://doi.org/10.3390/min8120582
APA StyleLiu, D., Zhang, G., Chen, Y., Chen, W., & Gao, Y. (2018). A Novel Method to Limit the Adverse Effect of Fine Serpentine on the Flotation of Pyrite. Minerals, 8(12), 582. https://doi.org/10.3390/min8120582

