Zircon U-Pb Age, Geochemical Characteristics and Geological Significance of Diabase in the Yanlinsi Gold Deposit, Northeastern Hunan Province
Abstract
1. Introduction

2. Regional Geology and Ore Deposit Geological Features
3. Materials and Methods
3.1. Materials
3.2. Methods
4. Results
4.1. Zircon U-Pb Age of Diabase
4.2. U-Pb Age of Hydrothermal Zircon Grains in Quartz Veins
4.3. Whole-Rock Geochemistry
5. Discussion
5.1. Age of Diagenesis
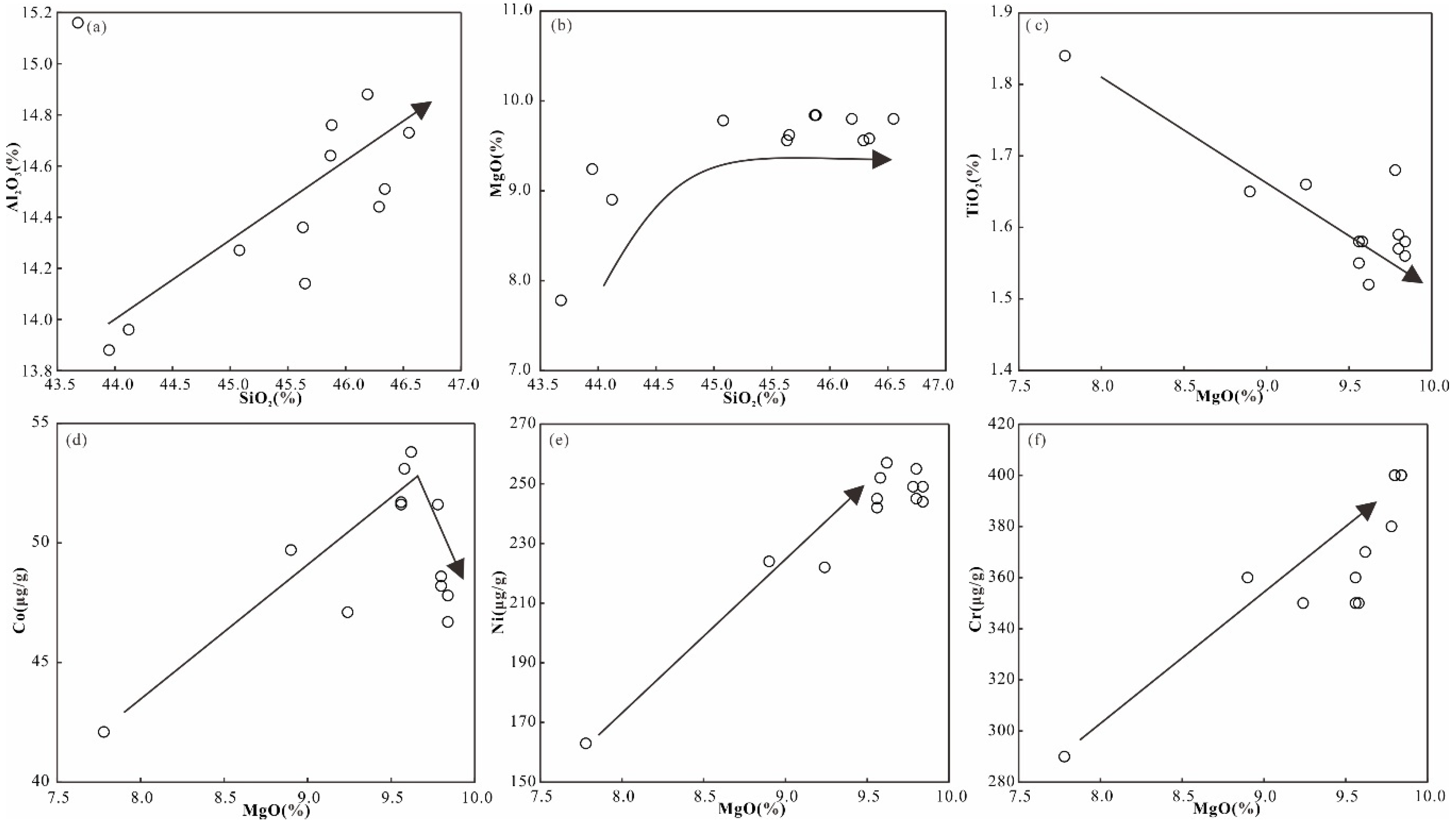
5.2. Crustal Contamination and Fractional Crystallization
5.3. Nature of the Source Region
5.4. Tectonic Setting
5.5. Geological Significance
6. Conclusions
Author Contributions
Funding
Data Availability Statement
Acknowledgments
Conflicts of Interest
References
- Li, S.G.; Sun, W.D.; Zhang, G.W.; Chen, J.Y.; Yang, Y.C. Chronology and Geochemistry of Metamorphic Volcanic Rocks in the Heigouxia Area of the Mianlue Tectonic Belt, Southern Qinling: Evidence for the Paleozoic Ocean Basin and Its Closure Time. Sci. China (Earth Sci.) 1996, 3, 223–230, (In Chinese with English abstract). [Google Scholar]
- Faure, M.; Shu, L.S.; Wang, B.; Charvet, J.; Choulet, F.; Monie, P. Intracontinental subduction: A possible mechanism for the Early Paleozoic Orogen of SE China. Terra Nova 2009, 21, 360–368. [Google Scholar] [CrossRef]
- Charvet, J.; Shu, L.Y.; Faure, M.; Choulet, F.; Wang, B.; Lu, H.Y.; Breton, N.L. Structural development of the Lower Paleozoic belt of South China: Genesis of an intracontinental orogen. J. Asian Earth Sci. 2010, 39, 309–330. [Google Scholar] [CrossRef]
- Wang, Y.J.; Zhang, F.F.; Fan, W.M.; Zhang, G.W.; Chen, S.Y.; Cawood, P.A.; Zhang, A.M. Tectonic setting of the South China Block in the early Paleozoic: Resolving intracontinental and ocean closure models from detrital zircon U-Pb geochronology. Tectonics 2010, 29, 6020–6035. [Google Scholar] [CrossRef]
- Zhang, G.W.; Guo, A.L.; Wang, Y.J.; Li, S.Z.; Dong, Y.P.; Liu, S.F.; He, D.F.; Cheng, S.Y.; Lu, R.K.; Yao, A.P. Tectonics of South China continent and its implications. Sci. China Earth Sci. 2013, 56, 1804–1828. [Google Scholar] [CrossRef]
- Wang, X.L.; Zhou, J.C.; Griffin, W.; Zhao, G.C.; Yu, J.H.; Qiu, J.S.; Zhang, Y.J.; Xing, G.F. Geochemical zonation across a Neoproterozoic orogenic belt: Isotopic evidence from granitoids and metasedimentary rocks of the Jiangnan orogen, China. Precambrian Res. 2014, 242, 154–171. [Google Scholar] [CrossRef]
- Li, L.M.; Lin, S.F.; Xing, G.F.; Davis, D.W.; Jiang, Y.; Davis, W.; Zhang, Y.J. Ca. 830 Ma back-arc type volcanic rocks in the eastern part of the Jiangnan orogen: Implications for the Neoproterozoic tectonic evolution of South China Block. Precambrian Res. 2016, 275, 209–224. [Google Scholar] [CrossRef]
- Wei, H.T.; Shao, Y.J.; Wang, C.; Liu, Q.Q.; Liu, Z.F.; Xiao, K.Y. Petrogenetic Mechanism of the Rock Mass in the Jinji Gold Deposit, Northeastern Hunan. Acta Geosci. Sin. 2020, 41, 253–266, (In Chinese with English abstract). [Google Scholar]
- Li, J.H.; Dong, S.W.; Cawood, P.A.; Thybo, H.; Cliftf, P.D.; Johnston, S.T.; Zhao, G.C.; Zhang, Y.Q. Cretaceous long-distance lithospheric extension and surface response in South China. Earth-Sci. Rev. 2023, 243, 104496. [Google Scholar] [CrossRef]
- Li, W.X.; Li, X.H.; Li, Z.X.; Lou, F.S. Obduction type granites within the NE Jiangxi Ophiolite: Implications for the final amalgamation between the Yangtze and Cathaysia blocks. Gondwana Res. 2008, 13, 288–301. [Google Scholar] [CrossRef]
- Han, F.B.; Chang, L.; Cai, M.H.; Liu, S.Y.; Zhang, S.Q.; Chen, Y.; Peng, Z.A.; Xu, M. Mineralization Age of Gold De-posits in Northeastern Hunan: A Study. Miner. Depos. Geol. 2010, 29, 563–571, (In Chinese with English abstract). [Google Scholar]
- Xu, D.R.; Deng, T.; Chi, G.X.; Wang, Z.L.; Zou, F.H.; Zhang, J.L.; Zou, S.H. Gold mineralization in the Jiangnan Oro-genic Belt of South China: Geological, geochemical and geochronological characteristics, ore deposit-type and geo-dynamic setting. Ore Geol. Rev. 2017, 88, 565–618. [Google Scholar] [CrossRef]
- Shu, L.S.; Yao, J.L.; Wang, B.; Faure, M.; Charvet, J.; Chen, Y. Neoproterozoic plate tectonic process and Phanerozoic geodynamic evolution of the South China Block. Earth-Sci. Rev. 2021, 216, 103596. [Google Scholar] [CrossRef]
- Madayipu, N.; Li, H.; Elatikpo, S.M.; Förster, M.W.; Zhou, H.X.; Zheng, H.; Wu, Q.H. Magmatic-hydrothermal evolution of long-lived Nb-Ta-(Sn) mineralization in lianyunshan, NE Hunan, South China. Bulletin 2023, 135, 2691–2709. [Google Scholar] [CrossRef]
- Madayipu, N.; Li, H.; Elatikpo, S.M.; Ghaderi, M.; Heritier, R.s.N.n.; Hu, X.J.; Zheng, H.; Wu, Q.H. Tracing fluid exsolution and hydrothermal alteration signature of the Mufushan Nb–Ta–(Li–Be–Cs) deposit, South China: An ap-atite perspective. J. Geol. Soc. 2024, 181. [Google Scholar] [CrossRef]
- Madayipu, N.; Li, H.; Algeo, T.J.; Elatikpo, S.M.; Zheng, H.; Liu, B.; Zhu, D.P.; Li, N.; Vincent, V.I. Fluorapatite finger-prints on magmatic-hydrothermal fluid evolution of the Lianyunshan Nb-Ta-Sn deposit, NE Hunan (South China). Chem. Geol. 2025, 678, 122669. [Google Scholar] [CrossRef]
- Wang, X.L.; Zhou, J.C.; Qiu, J.S.; Gao, J.F. Geochemistry of the Meso-to Neoproterozoic basic–acid rocks from Hunan Province, South China: Implications for the evolution of the western Jiangnan orogen. Precambrian Res. 2004, 135, 79–103. [Google Scholar] [CrossRef]
- Xu, D.R.; Chen, G.H.; Xia, B.; Li, P.C.; He, Z.L. The Caledonian adakite-like granodiorites in Banshanpu area, eastern Hunan Province, South China: Petrogenesis and geological significance. Geol. J. China Univ. 2006, 12, 507. [Google Scholar]
- Guan, Y.L.; Yuan, C.; Sun, M.; Wilde, S.; Long, X.P.; Huang, X.L.; Wang, Q. I-type granitoids in the eastern Yangtze Block: Implications for the Early Paleozoic intracontinental orogeny in South China. Lithos 2014, 206, 34–51. [Google Scholar] [CrossRef]
- Wang, J.Q.; Shu, L.S.; Santosh, M. Petrogenesis and tectonic evolution of Lianyunshan complex, South China: Isights on Neoproterozoic and late Mesozoic tectonic evolution of the central Jiangnan Orogen. Gondwana Res. 2016, 39, 114–130. [Google Scholar] [CrossRef]
- Ji, W.B.; Chen, Y.; Chen, K.; Wei, W.; Faure, M.; Lin, W. Multiple emplacement and exhumation history of the Late Mesozoic Dayunshan-Mufushan Batholith in Southeast China and its tectonic significance: 2. Magnetic fabrics and gravity survey. J. Geophys. Res. Solid Earth 2018, 123, 711–731. [Google Scholar] [CrossRef]
- Yang, L.Z.; Wu, X.B.; Hu, B.; Li, J.; Wang, X.K. Petrological Geochemistry, Zircon U-Pb Geochronology, and Hf Isotopic Composition of the Wangxian Granodiorite Porphyry in Eastern Hunan. J. Cent. South Univ. (Nat. Sci. Ed.) 2018, 49, 2280–2291, (In Chinese with English abstract). [Google Scholar]
- Kong, H.; Wu, J.H.; Li, H.; Chen, S.F.; Liu, B.; Wang, G. Early Paleozoic tectonic evolution of the South China Block: Constraints from geochemistry and geochronology of granitoids in Hunan Province. Lithos 2021, 380, 105891. [Google Scholar] [CrossRef]
- Ou, Q.; Liu, J.Y.; Zi, F.; Carvalho, B.B.; Long, X.P.; Lai, J.Q.; Wang, K.; Jiang, Z.Q.; Liu, Y.Z.; Li, Z.L.; et al. Late Mesozoic Wangxiang Composite Granitic Pluton, South China Block: Implications to Magma Emplacement and Evolution from Geochemical Proxies. J. Earth Sci. 2025, 36, 485–507. [Google Scholar] [CrossRef]
- Jia, D.C.; Hu, R.Z.; Xie, G.Q. Petrological Geochemistry and Tectonic Significance of Mesozoic Mafic Dikes in Northeastern Hunan. Geotecton. Metallog. 2002, 2, 179–184, (In Chinese with English abstract). [Google Scholar]
- Jia, D.C.; Hu, R.Z.; Lu, Y.; Xie, G.Q.; Qiu, X.L. Discovery of Sodium Lamprophyres in Northeastern Hunan and Their Geological Significance. Prog. Nat. Sci. 2003, 13, 54–58, (In Chinese with English abstract). [Google Scholar]
- Zhou, C.; Sun, J.; Tan, S.M.; Lu, W.; Xiao, R.; Xiong, Y.Q.; Zhang, X.Q. Geochronology, Geochemistry, and Geological Significance of Diabase Dikes in the Tuanshanbei Gold Deposit, Northeastern Hunan. Bull. Mineral. Petrol. Geochem. 2023, 42, 180–197, (In Chinese with English abstract). [Google Scholar]
- Liu, L.M.; Peng, S.L.; Yang, Q.Z. Source and location mechanism for lode gold deposits hosted in metamorphic rocks in northeastern Hunan, China. J. Cent. South Univ. Technol. 2001, 8, 108–113. [Google Scholar] [CrossRef]
- Huang, C.; Fan, G.M.; Jiang, G.L.; Luo, L.; Xu, Z.L. Structural Ore-Controlling Characteristics and ESR Dating of Gold Mineralization in the Yanlinsi Gold Deposit, Northeastern Hunan. Geotecton. Metallog. 2012, 36, 76–84, (In Chinese with English abstract). [Google Scholar]
- Liu, Q.Q.; Shao, Y.J.; Chen, M.; Algeo, T.J.; Li, H.; Dick, J.M.; Wang, C.; Wang, W.S.; Li, Z.Q.; Liu, Z.F. Insights into the genesis of orogenic gold deposits from the Zhengchong gold field, Northeastern Hunan Province, China. Ore Geol. Rev. 2019, 105, 337–355. [Google Scholar] [CrossRef]
- Lu, W.; Sun, J.; Zhou, C.; Guo, A.M.; Peng, W. Sources of Ore-Forming Materials and Types of Ore-Forming Fluids in the Yanlinsi Gold Deposit, Northeastern Hunan. Acta Geosci. Sin. 2020, 41, 384–394, (In Chinese with English abstract). [Google Scholar]
- Sun, S.C.; Zhang, L.; Li, R.H.; Wen, T.; Xu, H.; Wang, J.Y.; Li, Z.Q.; Zhang, F.; Zhang, X.J.; Guo, H. Process and Mechanism of Gold Mineralization at the Zhengchong Gold Deposit, Jiangnan Orogenic Belt: Evidence from the Arsenopyrite and Chlorite Mineral Thermometers. Minerals 2019, 9, 133. [Google Scholar] [CrossRef]
- Zhu, M.; Chen, M.; Zhang, X.; Liu, Q.; Wu, S. Analysis of geological characterstics and ore-controlling factors of gold deposits in Liuyang-Liling Guanzhuang district of Hunan Province. Miner. Resour. Geol. 2019, 33, 7. [Google Scholar]
- Wang, C.; Shao, Y.J.; Zhang, X.; Lai, C.; Liu, Z.F.; Li, H.; Ge, H.; Liu, Q.Q. Metallogenesis of the Hengjiangchong gold deposit in Jiangnan orogen, South China. Ore Geol. Rev. 2020, 118, 103350. [Google Scholar] [CrossRef]
- Zhang, Y.C.; Shao, Y.J.; Liu, Q.Q.; Zhang, X.; Zhan, Y.D.; Wang, C.; Wu, H.H.; Sun, J. Pyrite textures, trace element and sulfur isotopes of Yanlinsi slate-hosted deposit in the Jiangnan Orogen, South China: Implications for gold mineralization processes. Ore Geol. Rev. 2022, 148, 105029. [Google Scholar] [CrossRef]
- Zhang, Y.C.; Shao, Y.J.; Liu, Q.Q.; Zhang, X.; Wang, R.Y.; Yuan, Z.K.; Wang, C.; Sun, J. Multistage mineralization of the Liling goldfield (NE Hunan) in the Jiangnan Orogen: Constraints from hydrothermal rutile U–Pb dating and sericite Rb–Sr dating. Ore Geol. Rev. 2023, 159, 105568. [Google Scholar] [CrossRef]
- Wang, C.; Shao, Y.J.; Goldfarb, R.; Tan, S.M.; Sun, J.; Zhou, C.; Zheng, H.; Liu, Q.Q.; Xiong, Y.Q. Superimposed gold mineralization events in the Tuanshanbei orogenic gold deposit, central Jiangnan orogen, South China. Econ. Geol. 2024, 119, 113–137. [Google Scholar] [CrossRef]
- Peng, B.; Liu, X. Preliminary Study on Tectono-Geochemistry of Gold Mineralization in the Qingcaopo Ductile Shear Zone, Eastern Hunan. Geol. Geochem. 1997, 3, 1–6, (In Chinese with English abstract). [Google Scholar]
- Wang, C.; Shao, Y.J.; Chen, X.L.; Zhang, X.; Li, H.; Wei, H.T.; Liu, Q.Q. Genesis of the Jinji gold deposit in the Jiangnan Orogen, South China: Constraints from geology, chlorite geochemistry, age and HOS-Pb isotopes. Ore Geol. Rev. 2023, 155, 105352. [Google Scholar] [CrossRef]
- Zhan, Y.D.; Shao, Y.J.; Liu, Q.Q.; Zhang, X.; Chen, M.H.; Lu, Y.L.; Zhang, Y.; Tan, H.J. Hydrothermal rutile U-Pb dating of gold mineralization in the Jiangnan Orogen: A case study of the Hengjiangchong gold deposit in northeastern Hunan. Ore Geol. Rev. 2022, 149, 105115. [Google Scholar] [CrossRef]
- Liu, D.R.; Wu, Y.Z. Discussion on the Genesis of the Yanlinsi Gold Deposit in Liling City. Geol. Hunan 1993, 4, 247–251, (In Chinese with English abstract). [Google Scholar]
- Hou, D.Z.; Lin, S.; Liu, L.; Huan, C.; Qiu, H.; Tu, B.B. Metal Source and Fluid Evolution in Xiaojiashan Gold Deposit in Northeastern Hunan, China: Implications of Rare Earth Elements, Fluid Inclusions, and Pyrite S Isotopic Compositions. Minerals 2023, 13, 121. [Google Scholar] [CrossRef]
- Sun, W.D.; Yang, X.Y.; Fan, W.M.; Wu, F.Y. Mesozoic large scale magmatism and mineralization in South China: Preface. Lithos 2012, 150, 1–5. [Google Scholar] [CrossRef]
- Liu, Y.J.; Ji, J.F.; Cui, W.D.; Sun, C.Y. Distribution characteristics of gold and other trace elements in the Proterozoic Lengjiaxi Group, northeastern Hunan Province. Chin. J. Geochem. 1992, 11, 13–22. [Google Scholar] [CrossRef]
- Wang, C.Y.; Liao, J.; Zhu, Z.H.; Chen, B.; Peng, N.L.; Gao, X. Pyrite Texture, Geochemical and Isotopic Signatures of Huangjindong Gold Deposit: Implication for Ore-Forming Process. Geol. J. 2025, 1–23. [Google Scholar] [CrossRef]
- Madayipu, N.; Li, H.; Algeo, T.J.; Elatikpo, S.M.; Heritier, R.s.N.n.; Zhou, H.X.; Zheng, H.; Wu, Q.H. Long-lived Nb-Ta mineralization in Mufushan, NE Hunan, South China: Geological, geochemical, and geochronological constraints. Geosci. Front. 2023, 14, 101491. [Google Scholar] [CrossRef]
- Madayipu, N.; Li, H.; Algeo, T.J.; Elatikpo, S.M.; Zheng, H.; Wu, Q.H.; Chen, Y.L.; Sun, W.B. Chemical and boron isotopic compositions of tourmalines from the Lianyunshan Nb-Ta pegmatite in northeastern Hunan, China: Insights into fluid and metallogenic sources. Ore Geol. Rev. 2023, 152, 105263. [Google Scholar] [CrossRef]
- Madayipu, N.; Li, H.; Ghaderi, M.; Tamehe, L.S.; Zhou, H.X.; Wu, Q.H.; Zheng, H.; Chen, Y.L.; Kang, F. Contrasting Nb-Ta mineralization between the Mufushan and Lianyunshan granites, South China: Evidence from whole-rock and zircon geochemistry and geochronology. Ore Geol. Rev. 2023, 158, 105487. [Google Scholar] [CrossRef]
- Liu, Y.S.; Gao, S.; Hu, Z.C.; Gao, C.G.; Zong, K.Q.; Wang, D.B. Continental and oceanic crust recycling-induced melt–peridotite interactions in the Trans-North China Orogen: U–Pb dating, Hf isotopes and trace elements in zircons from mantle xenoliths. J. Petrol. 2010, 51, 537–571. [Google Scholar] [CrossRef]
- Liu, Y.; Hu, Z.; Gao, S.; Günther, D.; Xu, J.; Gao, C.; Chen, H. In situ analysis of major and trace elements of anhydrous minerals by LA-ICP-MS without applying an internal standard. Chem. Geol. 2008, 257, 34–43. [Google Scholar] [CrossRef]
- GB/T 14506.31–2019; Methods for Chemical Analysis of Silicate Rocks—Part 31: Determination of 12 Components Including Silicon Dioxide Etc.—Lithium Metaborate Fusion-Inductively Coupled Plasma Atomic Emission Spectrometry. Standards Press of China: Beijing, China, 2019.
- GB/T 14506.30–2010; Methods for Chemical Analysis of Silicate Rocks—Part 30: Determination of 44 Elements. Standards Press of China: Beijing, China, 2010.
- Rubatto, D. Zircon trace element geochemistry: Partitioning with garnet and the link between U–Pb ages and metamorphism. Chem. Geol. 2002, 184, 123–138. [Google Scholar] [CrossRef]
- Hoskin, P.W. Trace-element composition of hydrothermal zircon and the alteration of Hadean zircon from the Jack Hills, Australia. Geochim. Et Cosmochim. Acta 2005, 69, 637–648. [Google Scholar] [CrossRef]
- Jiang, W.C.; Li, H.; Turner, S.; Zhu, D.P.; Wang, C. Timing and origin of multi-stage magmatism and related W–Mo–Pb–Zn–Fe–Cu mineralization in the Huangshaping deposit, South China: An integrated zircon study. Chem. Geol. 2020, 552, 119782. [Google Scholar] [CrossRef]
- Li, H.; Hu, X.J.; Elatikpo, S.M.; Wu, J.H.; Jiang, W.C.; Sun, W.B.; Madayipu, N. Zircon as a pathfinder for ore exploration. J. Geochem. Explor. 2023, 249, 107216. [Google Scholar] [CrossRef]
- Winchester, J.A.; Floyd, P.A. Geochemical discrimination of different magma series and their differentiation products using immobile elements. Chem. Geol. 1977, 20, 325–343. [Google Scholar] [CrossRef]
- Peccerillo, A.; Taylor, S. Geochemistry of Eocene calc-alkaline volcanic rocks from the Kastamonu area, northern Turkey. Contrib. Mineral. Petrol. 1976, 58, 63–81. [Google Scholar] [CrossRef]
- Sun, S.-S.; McDonough, W.F. Chemical and isotopic systematics of oceanic basalts: Implications for mantle composition and processes. Geol. Soc. Lond. Spec. Publ. 1989, 42, 313–345. [Google Scholar] [CrossRef]
- Zhang, F.F.; Wang, Y.J.; Zhang, A.M.; Fan, W.M.; Zhang, Y.Z.; Zi, J.W. Geochronological and geochemical constraints on the petrogenesis of Middle Paleozoic (Kwangsian) massive granites in the eastern South China Block. Lithos 2012, 150, 188–208. [Google Scholar] [CrossRef]
- Martin, H.; Smithies, R.; Rapp, R.; Moyen, J.-F.; Champion, D. An overview of adakite, tonalite–trondhjemite–granodiorite (TTG), and sanukitoid: Relationships and some implications for crustal evolution. Lithos 2005, 79, 1–24. [Google Scholar] [CrossRef]
- Patiño Douce, A.E. What do experiments tell us about the relative contributions of crust and mantle to the origin of granitic magmas? Geol. Soc. Lond. Spec. Publ. 1999, 168, 55–75. [Google Scholar] [CrossRef]
- Rudnick, R.; Gao, S. Composition of the continental crust. Treat. Geochem. 2003, 3, 1–64. [Google Scholar]
- Ling, H.F.; Shen, W.Z.; Deng, P.; Jiang, S.Y.; Jiang, Y.H.; Ye, H.M.; Pu, W.; Tan, Z.Z. Geochemical characteristics and genesis of the Luxi-Xianrenzhang diabase dikes in Xiazhuang Uranium Orefield, Northern Guangdong Province. Acta Geol. Sin.-Engl. Ed. 2005, 79, 497–506. [Google Scholar]
- Hu, Z.; Zeng, L.; Förster, M.W.; Zhao, L.; Gao, L.; Li, H.; Yang, Y.; Li, S. Recycling of subducted continental crust: Geochemical evidence from syn-exhumation Triassic alkaline mafic rocks of the southern Liaodong Peninsula. Lithos 2021, 400, 106353. [Google Scholar] [CrossRef]
- Koua, K.A.D.; Sun, H.S.; Li, Z.K.; Li, H.; Li, J.W.; Yang, H.; Yuan, Z.Z. Geochemistry of sulfide in mafic enclaves from Gushan granite: Implications for the role of contemporaneous mafic magma in the genesis of the large-scale Jiaodong gold province, eastern China. Bulletin 2024, 136, 1916–1932. [Google Scholar] [CrossRef]
- Lemdjou, Y.B.; De Pesquidoux, I.; Li, H.; Whattam, S.A.; Tamehe, L.S.; Elatikpo, S.M.; Madayipu, N. Cambrian mafic magmatism in the Kékem area, NW edge of the Adamawa-Yadé domain, Central African Fold Belt: Implications for Western Gondwana dynamics. Precambrian Res. 2022, 380, 106840. [Google Scholar] [CrossRef]
- Wu, J.H.; Li, H.; Xi, X.S.; Kong, H.; Wu, Q.H.; Peng, N.L.; Wu, X.M.; Cao, J.Y.; Gabo-Ratio, J.A.S. Geochemistry and geochronology of the mafic dikes in the Taipusi area, northern margin of North China Craton: Implications for Silurian tectonic evolution of the Central Asian Orogen. J. Earth Syst. Sci. 2017, 126, 64. [Google Scholar] [CrossRef]
- Green, T.H. Significance of Nb/Ta as an indicator of geochemical processes in the crust-mantle system. Chem. Geol. 1995, 120, 347–359. [Google Scholar] [CrossRef]
- Kalfoun, F.; Ionov, D.; Merlet, C. HFSE residence and Nb/Ta ratios in metasomatised, rutile-bearing mantle peridotites. Earth Planet. Sci. Lett. 2002, 199, 49–65. [Google Scholar] [CrossRef]
- Weaver, B.L. The origin of ocean island basalt end-member compositions: Trace element and isotopic constraints. Earth Planet. Sci. Lett. 1991, 104, 381–397. [Google Scholar] [CrossRef]
- Hofmann, A.W. Chemical differentiation of the Earth: The relationship between mantle, continental crust, and oceanic crust. Earth Planet. Sci. Lett. 1988, 90, 297–314. [Google Scholar] [CrossRef]
- Green, D.H. Genesis of Archean peridotitic magmas and constraints on Archean geothermal gradients and tectonics. Geology 1975, 3, 15–18. [Google Scholar] [CrossRef]
- Wilson, M. Igneous Petrogenesis; Unwin Hyman: London, UK; Springer: Berlin/Heidelberg, Germany, 1989; pp. 1–466. [Google Scholar]
- Frey, F.A.; Green, D.H.; Roy, S.D. Integrated models of basalt petrogenesis: A study of quartz tholeiites to olivine melilitites from southeastern Australia utilizing geochemical and experimental petrological data. J. Petrol. 1978, 19, 463–513. [Google Scholar] [CrossRef]
- Ma, X.; Chen, B.; Chen, J.F.; Niu, X.L. Zircon SHRIMP U-Pb age, geochemical, Sr-Nd isotopic, and in-situ Hf isotopic data of the Late Carboniferous-Early Permian plutons in the northern margin of the North China Craton. Sci. China Earth Sci. 2013, 56, 126–144. [Google Scholar] [CrossRef]
- Qin, Y.; Liu, C.Y.; Huang, L.; Liang, C.; Yang, L.H.; Peng, H.; Zhang, W.F.; Wang, Z.; Zhang, S.H.; Liu, W.S. The petrogenesis of Cenozoic basalts from Daihai, western North China Craton: Constraints from 40Ar-39Ar chronology, major and trace elements, and Sr-Nd-Pb-Hf isotopes. J. Asian Earth Sci. 2024, 272, 106251. [Google Scholar] [CrossRef]
- Chen, W.D.; Zhang, W.L.; Wang, R.C.; Chu, Z.Y.; Xiao, R.; Zhang, D.; Che, X.D. A study on the Dushiling tungsten-copper deposit in the Miao’ershan-Yuechengling area, Northern Guangxi, China: Implications for variations in the mineralization of multi-aged composite granite plutons. Sci. China Earth Sci. 2016, 59, 2121–2141. [Google Scholar] [CrossRef]
- Sun, L.Y.; Li, X.L.; Yang, D.; Dong, J.; Yu, X.L.; Li, H.; Qian, Y.; Wang, C.; Sun, F.Y. Petrogenesis and Sc mineralization potential of the early Silurian Halaguole Alaskan-type complex in the East Kunlun orogenic belt. Ore Geol. Rev. 2024, 175, 106354. [Google Scholar] [CrossRef]
- Jochum, K.P.; McDonough, W.F.; Palme, H.; Spettel, B. Compositional constraints on the continental lithospheric mantle from trace elements in spinel peridotite xenoliths. Nature 1989, 340, 548–550. [Google Scholar] [CrossRef]
- McDonough, W.F.; Sun, S.S. The composition of the Earth. Chem. Geol. 1995, 120, 223–253. [Google Scholar] [CrossRef]
- Hart, S.; Hauri, E.; Oschmann, L.; Whitehead, J. Mantle plumes and entrainment: Isotopic evidence. Science 1992, 256, 517–520. [Google Scholar] [CrossRef]
- Pearce, J.A.; Peate, D.W. Tectonic implications of the composition of volcanic arc magmas. Annu. Rev. Earth Planet. Sci. 1995, 23, 251–286. [Google Scholar] [CrossRef]
- Staudigel, H.; Hart, S.R. Alteration of basaltic glass: Mechanisms and significance for the oceanic crust-seawater budget. Geochim. Cosmochim. Acta 1983, 47, 337–350. [Google Scholar] [CrossRef]
- Zhang, J.W.; Dai, C.G.; Huang, Z.L.; Luo, T.Y.; Qian, Z.K.; Zhang, Y. Age and petrogenesis of Anisian magnesian alkali basalts and their genetic association with the Kafang stratiform Cu deposit in the Gejiu supergiant tin-polymetallic district, SW China. Ore Geol. Rev. 2015, 69, 403–416. [Google Scholar] [CrossRef]
- Deniel, C. Geochemical and isotopic (Sr, Nd, Pb) evidence for plume-lithosphee interactions in the genesis of Grande Comore magmas (Indian Ocean). Oceanogr. Lit. Rev. 1998, 9, 1559–1560. [Google Scholar] [CrossRef]
- Aldanmaz, E.; Pearce, J.A.; Thirlwall, M.; Mitchell, J. Petrogenetic evolution of late Cenozoic, post-collision volcanism in western Anatolia, Turkey. J. Volcanol. Geotherm. Res. 2000, 102, 67–95. [Google Scholar] [CrossRef]
- Meschede, M. A method of discriminating between different types of mid-ocean ridge basalts and continental tholeiites with the Nb-Zr-Y diagram. Chem. Geol. 1986, 56, 207–218. [Google Scholar] [CrossRef]
- Pearce, J.A.; Norry, M.J. Petrogenetic implications of Ti, Zr, Y, and Nb variations in volcanic rocks. Contrib. Mineral. Petrol. 1979, 69, 33–47. [Google Scholar] [CrossRef]
- Pearce, J.A.; Cann, J.R. Tectonic setting of basic volcanic rocks determined using trace element analyses. Earth Planet. Sci. Lett. 1973, 19, 290–300. [Google Scholar] [CrossRef]
- Wang, Y.L.; Zhang, C.J.; Xiu, S.Z. Discrimination of Tectonic Settings for Basalt Formation Using Th/Hf-Ta/Hf Diagrams. Acta Petrol. Sin. 2001, 3, 413–421, (In Chinese with English abstract). [Google Scholar]
- Zhou, X.M.; Li, W.X. Origin of Late Mesozoic igneous rocks in Southeastern China: Implications for lithosphere subduction and underplating of mafic magmas. Tectonophysics 2000, 326, 287–296. [Google Scholar] [CrossRef]
- Shu, L.S.; Faure, M.; Wang, B.; Zhou, X.M.; Song, B. Late Palaeozoic–Early Mesozoic geological features of South China: Response to the Indosinian collision events in Southeast Asia. Comptes Rendus Géoscience 2008, 340, 151–165. [Google Scholar] [CrossRef]
- Wang, Y.J.; Fan, W.M.; Zhang, G.W.; Zhang, Y.H. Phanerozoic tectonics of the South China Block: Key observations and controversies. Gondwana Res. 2013, 23, 1273–1305. [Google Scholar] [CrossRef]
- Zhou, X.M.; Sun, T.; Shen, W.Z.; Shu, L.S.; Niu, Y.L. Petrogenesis of Mesozoic granitoids and volcanic rocks in South China: A response to tectonic evolution. Epis. J. Int. Geosci. 2006, 29, 26–33. [Google Scholar] [CrossRef] [PubMed]
- Wang, Y.J.; Fan, W.M.; Sun, M.; Liang, X.Q.; Zhang, Y.H.; Peng, T.P. Geochronological, geochemical and geothermal constraints on petrogenesis of the Indosinian peraluminous granites in the South China Block: A case study in the Hunan Province. Lithos 2007, 96, 475–502. [Google Scholar] [CrossRef]
- Liu, J.X.; Wang, S.; Wang, X.L.; Du, D.H.; Xing, G.F.; Fu, J.M.; Chen, X.; Sun, Z.M. Refining the spatio-temporal distributions of Mesozoic granitoids and volcanic rocks in SE China. J. Asian Earth Sci. 2020, 201, 104503. [Google Scholar] [CrossRef]
- Yu, Y.S.; Dai, P.Y.; Zhou, Y.; Xie, F. Petrogenesis and geodynamic implications of the late Triassic bojites in Yajiangqiao area, Hunan Province, South China. Isl. Arc 2020, 29, e12370. [Google Scholar] [CrossRef]
- Yao, Y.; Chen, J.; Lu, J.J.; Zhang, R.Q. Geochronology, Hf Isotopic, and Geochemical Characteristics of the Xitian A-Type Granites in Eastern Hunan and Their Geological Significance. Miner. Depos. Geol. 2013, 32, 467–488, (In Chinese with English abstract). [Google Scholar]
- Fu, S.L.; Hu, R.Z.; Bi, X.W.; Chen, Y.W.; Yang, J.H.; Huang, Y. Origin of Triassic granites in central Hunan Province, South China: Constraints from zircon U–Pb ages and Hf and O isotopes. Int. Geol. Rev. 2015, 57, 97–111. [Google Scholar] [CrossRef]
- Ding, X.; Chen, P.R.; Chen, W.F.; Huang, H.Y.; Zhou, X.M. Single zircon LA-ICPMS U-Pb dating of Weishan granite (Hunan, South China) and its petrogenetic significance. Sci. China Ser. D Earth Sci. 2006, 49, 816–827. [Google Scholar] [CrossRef]
- Min, M.Z.; Luo, X.Z.; Li, X.G.; Yang, Z.; Zhai, L.Y. Geochemical constraints on the petrogenesis of the Middle Miaoershan granitoids, South China. Geochem. J. 2003, 37, 603–625. [Google Scholar] [CrossRef]
- Zhao, K.D.; Jiang, S.Y.; Sun, T.; Chen, W.F.; Ling, H.F.; Chen, P.R. Zircon U–Pb dating, trace element and Sr–Nd–Hf isotope geochemistry of Paleozoic granites in the Miao’ershan—Yuechengling batholith, South China: Implication for petrogenesis and tectonic–magmatic evolution. J. Asian Earth Sci. 2013, 74, 244–264. [Google Scholar] [CrossRef]
- Zhu, Y.T.; Li, X.F.; Xiao, R.; Yu, Y.; Wang, C.Z. Multistage magmatic-hydrothermal activity and W-Cu mineralization at Jiepai, Guangxi Zhuang autonomous region, South China: Constraints from geochronology and Nd-Sr-Hf-O isotopes. Ore Geol. Rev. 2020, 121, 103492. [Google Scholar] [CrossRef]
- Liu, Y.; Li, Y.D.; Xiao, Q.H.; Geng, S.F.; Wang, T.; Chen, B.H. New Evidence for the Formation Age of Alkaline Basalts in the Ningyuan Area, Southern Hunan: Zircon LA-ICP-MS U-Pb Dating. Geol. Bull. China 2010, 29, 833–841, (In Chinese with English abstract). [Google Scholar]
- Dai, B.Z.; Jiang, S.Y.; Jiang, Y.H.; Zhao, K.D.; Liu, D.Y. Geochronology, geochemistry and Hf–Sr–Nd isotopic compositions of Huziyan mafic xenoliths, southern Hunan Province, South China: Petrogenesis and implications for lower crust evolution. Lithos 2008, 102, 65–87. [Google Scholar] [CrossRef]
- Jiang, Y.H.; Jiang, S.Y.; Dai, B.Z.; Liao, S.Y.; Zhao, K.D.; Ling, H.F. Middle to late Jurassic felsic and mafic magmatism in southern Hunan province, southeast China: Implications for a continental arc to rifting. Lithos 2009, 107, 185–204. [Google Scholar] [CrossRef]
- Jin, X.B.; Wang, L.; Xiang, H.; Liu, Z.P.; Duan, G.L.; Li, Z.Y. Genesis of Indosinian Diabases in the Taojiang Area, Hunan: Constraints from Geochemistry, Chronology, and Sr-Nd-Pb Isotopes. Geol. Bull. China 2017, 36, 750–760, (In Chinese with English abstract). [Google Scholar]
- Wang, Z.L.; Zhang, X.; Liu, Q.Q.; Shao, Y.J.; Wu, S.C.; Pan, Z.; Chen, M.; Zhang, Y.C.; Wu, H.H. Genesis of the Lishupo gold deposit in the Jiangnan orogen, NE Hunan (South China): Biotite Ar-Ar, zircon U-Pb ages and H-O-S-Pb isotopic constraints. Ore Geol. Rev. 2022, 145, 104890. [Google Scholar] [CrossRef]














| Number | Content (×10−6) | Th/U | Isotope Ratio | Age (Ma) | |||||||||||||||
|---|---|---|---|---|---|---|---|---|---|---|---|---|---|---|---|---|---|---|---|
| Th | U | 207Pb/206Pb | 1σ | 207Pb/235U | 1σ | 206Pb/238U | 1σ | 208Pb/232Th | 1σ | 207Pb/206Pb | 1σ | 207Pb/235U | 1σ | 206Pb/238U | 1σ | 208Pb/232Th | 1σ | ||
| 115CM3-1-1 | 48 | 243 | 0.20 | 0.1520 | 0.0021 | 8.8929 | 0.1656 | 0.4233 | 0.0060 | 0.1274 | 0.0065 | 2368.8 | 23.0 | 2327.1 | 17.0 | 2275.2 | 27.0 | 2424.3 | 117.4 |
| 115CM3-1-2 | 70 | 115 | 0.61 | 0.1012 | 0.0016 | 3.6921 | 0.0588 | 0.2643 | 0.0031 | 0.0804 | 0.0039 | 1646.6 | 29.5 | 1569.7 | 12.7 | 1511.8 | 15.7 | 1563.9 | 72.2 |
| 115CM3-1-4 | 823 | 3217 | 0.26 | 0.0516 | 0.0007 | 0.2463 | 0.0036 | 0.0346 | 0.0005 | 0.0118 | 0.0005 | 333.4 | 29.6 | 223.6 | 2.9 | 219.2 | 3.0 | 236.4 | 10.4 |
| 115CM3-1-5 | 1001 | 3781 | 0.26 | 0.0521 | 0.0010 | 0.2457 | 0.0086 | 0.0350 | 0.0022 | 0.0115 | 0.0006 | 300.1 | 44.4 | 223.1 | 7.0 | 221.5 | 14.0 | 231.6 | 12.5 |
| 115CM3-1-6 | 396 | 1017 | 0.39 | 0.0505 | 0.0010 | 0.2401 | 0.0044 | 0.0345 | 0.0004 | 0.0108 | 0.0005 | 216.7 | 44.4 | 218.5 | 3.6 | 218.7 | 2.6 | 216.8 | 10.1 |
| 115CM3-1-7 | 279 | 1037 | 0.27 | 0.1334 | 0.0798 | 0.2645 | 0.0126 | 0.0346 | 0.0013 | 0.0139 | 0.0030 | 2142.9 | 1288.9 | 238.3 | 10.1 | 219.0 | 8.3 | 278.9 | 59.6 |
| 115CM3-1-8 | 467 | 599 | 0.78 | 0.0525 | 0.0012 | 0.2537 | 0.0059 | 0.0350 | 0.0005 | 0.0100 | 0.0005 | 309.3 | 53.7 | 229.6 | 4.8 | 222.0 | 2.9 | 201.3 | 10.8 |
| 115CM3-1-9 | 271 | 522 | 0.52 | 0.0489 | 0.0013 | 0.2327 | 0.0056 | 0.0346 | 0.0005 | 0.0110 | 0.0006 | 142.7 | 65.7 | 212.5 | 4.6 | 219.3 | 3.4 | 222.0 | 12.9 |
| 115CM3-1-10 | 988 | 2743 | 0.36 | 0.0513 | 0.0008 | 0.2440 | 0.0034 | 0.0345 | 0.0004 | 0.0124 | 0.0006 | 257.5 | 39.8 | 221.7 | 2.8 | 218.4 | 2.3 | 249.7 | 12.1 |
| 115CM3-1-11 | 194 | 447 | 0.44 | 0.0531 | 0.0015 | 0.2535 | 0.0059 | 0.0347 | 0.0004 | 0.0113 | 0.0006 | 344.5 | 30.6 | 229.4 | 4.8 | 219.9 | 2.3 | 227.1 | 12.1 |
| 115CM3-1-12 | 698 | 1919 | 0.36 | 0.0504 | 0.0008 | 0.2377 | 0.0039 | 0.0342 | 0.0005 | 0.0108 | 0.0005 | 213.0 | 41.7 | 216.5 | 3.2 | 217.0 | 2.9 | 218.0 | 10.4 |
| 115CM3-1-13 | 595 | 3095 | 0.19 | 0.0510 | 0.0008 | 0.2448 | 0.0059 | 0.0348 | 0.0007 | 0.0120 | 0.0006 | 239.0 | 32.4 | 222.3 | 4.8 | 220.5 | 4.5 | 241.3 | 12.1 |
| 115CM3-1-14 | 1563 | 3420 | 0.46 | 0.0507 | 0.0011 | 0.2429 | 0.0077 | 0.0359 | 0.0026 | 0.0108 | 0.0006 | 227.8 | 50.0 | 220.8 | 6.3 | 227.3 | 16.5 | 216.2 | 11.1 |
| 115CM3-1-15 | 489 | 1576 | 0.31 | 0.0516 | 0.0012 | 0.2473 | 0.0052 | 0.0348 | 0.0007 | 0.0105 | 0.0006 | 333.4 | 51.8 | 224.4 | 4.2 | 220.8 | 4.4 | 211.1 | 13.0 |
| 115CM3-1-16 | 562 | 762 | 0.74 | 0.0558 | 0.0011 | 0.2653 | 0.0057 | 0.0345 | 0.0004 | 0.0108 | 0.0007 | 442.6 | 44.4 | 238.9 | 4.5 | 218.5 | 2.5 | 216.3 | 13.2 |
| 115CM3-1-17 | 207 | 553 | 0.37 | 0.0517 | 0.0016 | 0.2384 | 0.0069 | 0.0336 | 0.0005 | 0.0107 | 0.0008 | 333.4 | 70.4 | 217.1 | 5.7 | 212.7 | 3.3 | 214.5 | 15.8 |
| 115CM3-1-19 | 217 | 1472 | 0.15 | 0.0558 | 0.0015 | 0.2667 | 0.0071 | 0.0346 | 0.0004 | 0.0119 | 0.0007 | 442.6 | 59.3 | 240.1 | 5.7 | 219.5 | 2.3 | 238.3 | 13.3 |
| 115CM3-1-21 | 341 | 494 | 0.69 | 0.0519 | 0.0016 | 0.2493 | 0.0077 | 0.0349 | 0.0005 | 0.0107 | 0.0006 | 279.7 | 72.2 | 226.0 | 6.3 | 220.9 | 2.9 | 216.1 | 11.1 |
| 115CM3-1-22 | 100 | 242 | 0.41 | 0.0519 | 0.0025 | 0.2469 | 0.0112 | 0.0346 | 0.0005 | 0.0105 | 0.0006 | 279.7 | 112.9 | 224.0 | 9.1 | 219.3 | 3.3 | 210.8 | 12.8 |
| 115CM3-1-24 | 437 | 1166 | 0.37 | 0.0963 | 0.0020 | 2.5499 | 0.1426 | 0.1883 | 0.0089 | 0.0581 | 0.0043 | 1553.7 | 38.3 | 1286.4 | 40.8 | 1112.1 | 48.2 | 1141.6 | 82.4 |
| 115CM3-1-26 | 1014 | 1322 | 0.77 | 0.0531 | 0.0010 | 0.2536 | 0.0048 | 0.0346 | 0.0005 | 0.0104 | 0.0005 | 331.5 | 36.1 | 229.5 | 3.9 | 219.2 | 2.8 | 209.2 | 10.1 |
| 115CM3-1-27 | 489 | 670 | 0.73 | 0.0942 | 0.0045 | 2.4685 | 0.2146 | 0.1793 | 0.0079 | 0.0463 | 0.0025 | 1522.2 | 289.8 | 1262.8 | 62.9 | 1062.9 | 43.1 | 914.7 | 48.1 |
| 115CM3-1-29 | 464 | 1075 | 0.43 | 0.0539 | 0.0010 | 0.2580 | 0.0053 | 0.0346 | 0.0004 | 0.0106 | 0.0005 | 368.6 | 42.6 | 233.0 | 4.3 | 219.5 | 2.7 | 212.7 | 10.7 |
| 115CM3-1-31 | 512 | 1075 | 0.48 | 0.0554 | 0.0016 | 0.2546 | 0.0068 | 0.0333 | 0.0004 | 0.0096 | 0.0006 | 431.5 | 64.8 | 230.3 | 5.5 | 211.4 | 2.3 | 193.0 | 11.8 |
| YLS-CM1-4-02 | 530 | 667 | 0.79 | 0.0688 | 0.002 | 1.1931 | 0.0453 | 0.1235 | 0.0016 | 0.0378 | 0.0010 | 891.7 | 70.4 | 797.4 | 21.0 | 750.8 | 9.4 | 749.1 | 19.1 |
| YLS-CM1-4-03 | 895 | 2789 | 0.32 | 0.0515 | 0.001 | 0.3381 | 0.0090 | 0.0470 | 0.0005 | 0.0136 | 0.0004 | 264.9 | 58.3 | 295.7 | 6.9 | 296.0 | 3.0 | 272.1 | 7.1 |
| YLS-CM1-4-4 | 316 | 1101 | 0.29 | 0.0576 | 0.0019 | 0.5377 | 0.0177 | 0.0671 | 0.0008 | 0.0201 | 0.0006 | 516.7 | 72.2 | 436.9 | 11.7 | 418.7 | 4.8 | 401.3 | 12.5 |
| YLS-CM1-4-05 | 460 | 456 | 1.01 | 0.0710 | 0.003 | 1.4064 | 0.0538 | 0.1426 | 0.0020 | 0.0468 | 0.0012 | 966.7 | 77.5 | 891.6 | 22.7 | 859.1 | 11.1 | 924.5 | 23.3 |
| YLS-CM1-4-7 | 1116 | 1979 | 0.56 | 0.0588 | 0.0019 | 0.5570 | 0.0172 | 0.0679 | 0.0007 | 0.0220 | 0.0006 | 566.7 | 70.4 | 449.6 | 11.2 | 423.7 | 4.3 | 439.5 | 11.3 |
| YLS-CM1-4-08 | 3209 | 23348 | 0.14 | 0.0522 | 0.001 | 0.2341 | 0.0050 | 0.0320 | 0.0003 | 0.0106 | 0.0003 | 294.5 | 45.4 | 213.6 | 4.1 | 203.1 | 1.6 | 213.8 | 5.4 |
| YLS-CM1-4-09 | 242 | 349 | 0.70 | 0.1169 | 0.003 | 5.5237 | 0.1409 | 0.3377 | 0.0036 | 0.0938 | 0.0021 | 1909.6 | 44.9 | 1904.3 | 22.0 | 1875.6 | 17.2 | 1812.5 | 39.5 |
| YLS-CM1-4-10 | 884 | 1706 | 0.52 | 0.0499 | 0.002 | 0.3280 | 0.0109 | 0.0473 | 0.0006 | 0.0149 | 0.0004 | 190.8 | 77.8 | 288.0 | 8.3 | 297.7 | 3.6 | 299.4 | 7.7 |
| YLS-CM1-4-11 | 754 | 1513 | 0.50 | 0.0537 | 0.0017 | 0.5242 | 0.0172 | 0.0699 | 0.0009 | 0.0216 | 0.0006 | 366.7 | 72.2 | 428.0 | 11.5 | 435.7 | 5.3 | 432.7 | 11.5 |
| YLS-CM1-4-13 | 29 | 67 | 0.43 | 0.1271 | 0.006 | 4.7259 | 0.2176 | 0.2732 | 0.0063 | 0.1124 | 0.0046 | 2058.3 | 78.7 | 1771.8 | 38.6 | 1556.8 | 31.8 | 2152.9 | 83.0 |
| YLS-CM1-4-14 | 213 | 351 | 0.61 | 0.1372 | 0.003 | 7.8591 | 0.1880 | 0.4103 | 0.0046 | 0.1188 | 0.0029 | 2191.7 | 41.1 | 2215.0 | 21.6 | 2216.1 | 20.8 | 2269.0 | 52.9 |
| YLS-CM1-4-15 | 836 | 1240 | 0.67 | 0.0592 | 0.0018 | 0.5321 | 0.0152 | 0.0648 | 0.0007 | 0.0204 | 0.0005 | 576.0 | 66.7 | 433.2 | 10.1 | 404.6 | 4.1 | 407.3 | 9.4 |
| YLS-CM1-4-16 | 812 | 686 | 1.18 | 0.0567 | 0.0028 | 0.4956 | 0.0234 | 0.0635 | 0.0008 | 0.0194 | 0.0005 | 479.7 | 109.2 | 408.7 | 15.9 | 397.1 | 4.7 | 388.6 | 9.1 |
| YLS-CM1-4-17 | 832 | 1148 | 0.72 | 0.0567 | 0.0020 | 0.5526 | 0.0185 | 0.0704 | 0.0008 | 0.0211 | 0.0005 | 479.7 | 77.8 | 446.7 | 12.1 | 438.4 | 4.6 | 422.0 | 10.0 |
| YLS-CM1-4-19 | 1460 | 2550 | 0.57 | 0.0549 | 0.002 | 0.3431 | 0.0115 | 0.0453 | 0.0005 | 0.0143 | 0.0004 | 409.3 | 86.1 | 299.5 | 8.7 | 285.8 | 2.9 | 287.7 | 7.1 |
| YLS-CM1-4-21 | 573 | 1272 | 0.45 | 0.0698 | 0.0026 | 0.6374 | 0.0213 | 0.0666 | 0.0008 | 0.0282 | 0.0009 | 924.1 | 70.2 | 500.7 | 13.2 | 415.5 | 4.6 | 562.3 | 18.0 |
| YLS-CM1-4-22 | 1513 | 1834 | 0.82 | 0.0540 | 0.0016 | 0.5097 | 0.0158 | 0.0678 | 0.0008 | 0.0208 | 0.0005 | 372.3 | 68.5 | 418.2 | 10.6 | 423.0 | 4.7 | 416.0 | 10.0 |
| YLS-CM1-4-25 | 794 | 5675 | 0.14 | 0.0657 | 0.002 | 1.2208 | 0.0295 | 0.1334 | 0.0013 | 0.0412 | 0.0010 | 794.4 | 55.7 | 810.1 | 13.5 | 807.0 | 7.5 | 815.8 | 18.7 |
| YLS-CM1-4-26 | 523 | 1579 | 0.33 | 0.0794 | 0.003 | 1.3558 | 0.0428 | 0.1227 | 0.0010 | 0.0451 | 0.0013 | 1183.3 | 69.4 | 870.1 | 18.5 | 745.9 | 6.0 | 892.1 | 24.5 |
| YLS-CM1-4-27 | 959 | 1046 | 0.92 | 0.0598 | 0.0020 | 0.5815 | 0.0185 | 0.0701 | 0.0007 | 0.0217 | 0.0005 | 596.0 | 70.4 | 465.4 | 11.9 | 436.9 | 4.1 | 434.4 | 10.2 |
| YLS-CM1-4-29 | 600 | 1272 | 0.47 | 0.0589 | 0.0020 | 0.5593 | 0.0198 | 0.0682 | 0.0008 | 0.0216 | 0.0006 | 561.1 | 74.1 | 451.1 | 12.9 | 425.0 | 5.0 | 432.6 | 11.3 |
| Sample # | 115CM3-1-1 | 115CM3-1-2 | 115CM3-1-3 | 115CM3-1-4 | ZK002-2A | ZK002-2B | ZK002-2C | ZK002-2D | ZK701-1 | ZK701-2 | ZK701-3 | ZK701-4 |
|---|---|---|---|---|---|---|---|---|---|---|---|---|
| SiO2 | 45.88 | 45.87 | 46.55 | 46.19 | 43.68 | 43.95 | 45.08 | 44.12 | 45.65 | 45.63 | 46.29 | 46.34 |
| TiO2 | 1.58 | 1.56 | 1.57 | 1.59 | 1.84 | 1.66 | 1.68 | 1.65 | 1.52 | 1.55 | 1.58 | 1.58 |
| Al2O3 | 14.76 | 14.64 | 14.73 | 14.88 | 15.16 | 13.88 | 14.27 | 13.96 | 14.14 | 14.36 | 14.44 | 14.51 |
| Fe2O3T | 11.36 | 11.27 | 11.26 | 11.45 | 9.78 | 10.26 | 10.39 | 9.86 | 10.79 | 11.05 | 11.22 | 11.20 |
| MnO | 0.14 | 0.14 | 0.17 | 0.14 | 0.13 | 0.14 | 0.14 | 0.15 | 0.14 | 0.14 | 0.15 | 0.15 |
| MgO | 9.84 | 9.84 | 9.80 | 9.80 | 7.78 | 9.24 | 9.78 | 8.90 | 9.62 | 9.56 | 9.56 | 9.58 |
| CaO | 7.00 | 7.42 | 7.27 | 6.48 | 6.97 | 7.82 | 7.21 | 7.91 | 7.68 | 7.56 | 7.41 | 7.35 |
| Na2O | 2.24 | 2.23 | 2.32 | 2.24 | 2.27 | 2.24 | 2.30 | 2.22 | 2.42 | 2.48 | 2.66 | 2.54 |
| K2O | 1.70 | 1.74 | 1.83 | 1.74 | 1.15 | 1.43 | 1.65 | 1.61 | 1.35 | 1.42 | 1.42 | 1.42 |
| P2O5 | 0.30 | 0.30 | 0.30 | 0.30 | 0.39 | 0.35 | 0.35 | 0.35 | 0.29 | 0.29 | 0.30 | 0.30 |
| LOI | 5.03 | 4.92 | 4.54 | 5.47 | 9.85 | 8.63 | 7.05 | 8.51 | 5.44 | 5.61 | 5.28 | 4.87 |
| Total | 99.83 | 99.93 | 100.34 | 100.28 | 99.00 | 99.60 | 99.90 | 99.24 | 99.04 | 99.65 | 100.31 | 99.84 |
| Mg# | 66.9 | 67.0 | 67.0 | 66.6 | 65.0 | 67.7 | 68.7 | 67.8 | 67.5 | 66.8 | 66.5 | 66.6 |
| Na2O + K2O | 3.94 | 3.97 | 4.15 | 3.98 | 3.42 | 3.67 | 3.95 | 3.83 | 3.77 | 3.90 | 4.08 | 3.96 |
| Rb | 54.6 | 56.0 | 60.4 | 52.2 | 38.8 | 42.4 | 50.5 | 50.4 | 45.5 | 44.7 | 47.5 | 43.0 |
| Ba | 641 | 627 | 635 | 647 | 525 | 679 | 740 | 710 | 540 | 550 | 568 | 640 |
| Th | 4.53 | 4.66 | 4.51 | 4.59 | 5.46 | 4.88 | 4.91 | 5.27 | 4.42 | 4.52 | 4.37 | 4.55 |
| U | 0.78 | 0.76 | 0.78 | 0.80 | 1.09 | 0.89 | 0.94 | 0.93 | 0.73 | 0.76 | 0.76 | 0.76 |
| Nb | 32.8 | 32.1 | 33.1 | 33.1 | 40.6 | 36.6 | 37.9 | 36.0 | 30.4 | 30.4 | 29.8 | 29.1 |
| Ta | 1.75 | 1.75 | 1.78 | 1.78 | 2.5 | 2.2 | 2.2 | 2.1 | 1.7 | 1.6 | 1.7 | 1.7 |
| La | 31.0 | 31.2 | 31.2 | 30.8 | 41.0 | 37.5 | 37.8 | 36.3 | 32.0 | 31.4 | 31.8 | 28.9 |
| Ce | 56.3 | 56.4 | 57.5 | 55.4 | 76.6 | 71.7 | 72.6 | 76.2 | 61.4 | 61.2 | 61.6 | 61.6 |
| Pr | 6.31 | 6.39 | 6.54 | 6.21 | 8.00 | 7.33 | 7.52 | 7.79 | 6.38 | 6.30 | 6.31 | 6.27 |
| Sr | 505 | 501 | 491 | 517 | 475 | 607 | 594 | 617 | 493 | 499 | 470 | 497 |
| Nd | 22.8 | 23.2 | 23.8 | 22.5 | 27.8 | 25.1 | 25.6 | 27.2 | 22.4 | 21.7 | 21.6 | 23.0 |
| Sm | 4.13 | 4.20 | 4.27 | 3.97 | 4.60 | 4.18 | 4.14 | 4.31 | 3.74 | 3.77 | 3.74 | 3.79 |
| Zr | 140 | 137 | 140 | 140 | 174 | 153 | 151 | 154 | 135 | 137 | 142 | 137 |
| Hf | 3.3 | 3.4 | 3.3 | 3.4 | 3.8 | 3.3 | 3.6 | 3.4 | 3.1 | 3.0 | 3.1 | 3.1 |
| Eu | 1.34 | 1.34 | 1.37 | 1.30 | 1.52 | 1.34 | 1.42 | 1.51 | 1.25 | 1.27 | 1.27 | 1.32 |
| Gd | 3.88 | 3.91 | 4.01 | 3.70 | 4.55 | 3.93 | 3.98 | 4.01 | 3.64 | 3.78 | 3.83 | 3.76 |
| Tb | 0.65 | 0.64 | 0.62 | 0.58 | 0.65 | 0.57 | 0.60 | 0.63 | 0.61 | 0.60 | 0.58 | 0.62 |
| Dy | 3.83 | 3.84 | 3.62 | 3.46 | 3.90 | 3.63 | 3.46 | 3.71 | 3.62 | 3.48 | 3.55 | 3.70 |
| Y | 18.9 | 18.9 | 19.7 | 18.3 | 22.0 | 19.8 | 19.3 | 20.1 | 19.9 | 19.6 | 19.8 | 19.3 |
| Ho | 0.76 | 0.75 | 0.76 | 0.74 | 0.80 | 0.72 | 0.70 | 0.78 | 0.72 | 0.72 | 0.73 | 0.74 |
| Er | 1.99 | 1.98 | 2.04 | 1.96 | 2.29 | 2.04 | 2.10 | 1.98 | 2.04 | 1.95 | 2.08 | 2.02 |
| Tm | 0.29 | 0.29 | 0.30 | 0.29 | 0.31 | 0.28 | 0.27 | 0.29 | 0.29 | 0.27 | 0.28 | 0.29 |
| Yb | 1.92 | 1.85 | 1.93 | 1.88 | 2.00 | 1.83 | 1.83 | 1.81 | 1.82 | 1.78 | 1.92 | 1.85 |
| Lu | 0.30 | 0.29 | 0.31 | 0.30 | 0.31 | 0.26 | 0.28 | 0.27 | 0.28 | 0.28 | 0.28 | 0.28 |
| Co | 46.7 | 47.8 | 48.2 | 48.6 | 42.1 | 47.1 | 51.6 | 49.7 | 53.8 | 51.6 | 51.7 | 53.1 |
| Cr | 400 | 400 | 400 | 400 | 290 | 350 | 380 | 360 | 370 | 350 | 360 | 350 |
| Ni | 244 | 249 | 255 | 245 | 163.0 | 222 | 249 | 224 | 257 | 242 | 245 | 252 |
| Rb/Sr | 0.11 | 0.11 | 0.12 | 0.10 | 0.08 | 0.07 | 0.09 | 0.08 | 0.09 | 0.09 | 0.10 | 0.09 |
| Ba/Rb | 11.74 | 11.20 | 10.51 | 12.39 | 13.53 | 16.01 | 14.65 | 14.09 | 11.87 | 12.30 | 11.96 | 14.88 |
| Nb/Ta | 18.74 | 18.34 | 18.60 | 18.60 | 16.24 | 16.64 | 17.23 | 17.14 | 17.88 | 19.00 | 17.53 | 17.12 |
| Zr/Hf | 42.42 | 40.29 | 42.42 | 41.18 | 45.79 | 46.36 | 41.94 | 45.29 | 43.55 | 45.67 | 45.81 | 44.19 |
| Dy/Yb | 1.99 | 2.08 | 1.88 | 1.84 | 1.95 | 1.98 | 1.89 | 2.05 | 1.99 | 1.96 | 1.85 | 2.00 |
| ΣREEs | 135.50 | 136.28 | 138.27 | 133.09 | 174.33 | 160.41 | 162.3 | 166.79 | 140.19 | 138.5 | 139.57 | 138.14 |
| LREEs | 121.88 | 122.73 | 124.68 | 120.18 | 159.52 | 147.15 | 149.08 | 153.31 | 127.17 | 125.64 | 126.32 | 124.88 |
| HREEs | 13.62 | 13.55 | 13.59 | 12.91 | 14.81 | 13.26 | 13.22 | 13.48 | 13.02 | 12.86 | 13.25 | 13.26 |
| LREEs/HREEs | 8.95 | 9.06 | 9.17 | 9.31 | 10.77 | 11.10 | 11.28 | 11.37 | 9.77 | 9.77 | 9.53 | 9.42 |
| (La/Yb)N | 11.58 | 12.10 | 11.60 | 11.75 | 14.70 | 14.70 | 14.82 | 14.39 | 12.61 | 12.65 | 11.88 | 11.21 |
| δEu | 1.02 | 1.01 | 1.01 | 1.04 | 1.02 | 1.01 | 1.07 | 1.11 | 1.04 | 1.03 | 1.03 | 1.07 |
| δCe | 0.99 | 0.98 | 0.99 | 0.98 | 1.04 | 1.06 | 1.06 | 1.11 | 1.05 | 1.07 | 1.07 | 1.12 |
Disclaimer/Publisher’s Note: The statements, opinions and data contained in all publications are solely those of the individual author(s) and contributor(s) and not of MDPI and/or the editor(s). MDPI and/or the editor(s) disclaim responsibility for any injury to people or property resulting from any ideas, methods, instructions or products referred to in the content. |
© 2025 by the authors. Licensee MDPI, Basel, Switzerland. This article is an open access article distributed under the terms and conditions of the Creative Commons Attribution (CC BY) license (https://creativecommons.org/licenses/by/4.0/).
Share and Cite
Zhou, C.; Sun, J.; Xiao, R.; Lu, W.; Meng, Z.; Tan, S.; Peng, W.; Tu, E. Zircon U-Pb Age, Geochemical Characteristics and Geological Significance of Diabase in the Yanlinsi Gold Deposit, Northeastern Hunan Province. Minerals 2025, 15, 1190. https://doi.org/10.3390/min15111190
Zhou C, Sun J, Xiao R, Lu W, Meng Z, Tan S, Peng W, Tu E. Zircon U-Pb Age, Geochemical Characteristics and Geological Significance of Diabase in the Yanlinsi Gold Deposit, Northeastern Hunan Province. Minerals. 2025; 15(11):1190. https://doi.org/10.3390/min15111190
Chicago/Turabian StyleZhou, Chao, Ji Sun, Rong Xiao, Wen Lu, Zhengyong Meng, Shimin Tan, Wei Peng, and Enbo Tu. 2025. "Zircon U-Pb Age, Geochemical Characteristics and Geological Significance of Diabase in the Yanlinsi Gold Deposit, Northeastern Hunan Province" Minerals 15, no. 11: 1190. https://doi.org/10.3390/min15111190
APA StyleZhou, C., Sun, J., Xiao, R., Lu, W., Meng, Z., Tan, S., Peng, W., & Tu, E. (2025). Zircon U-Pb Age, Geochemical Characteristics and Geological Significance of Diabase in the Yanlinsi Gold Deposit, Northeastern Hunan Province. Minerals, 15(11), 1190. https://doi.org/10.3390/min15111190
