Next Article in Journal
The Arkansas Alkaline Province, Southeastern USA: A Synthesis of New and Existing Chemical and Petrologic Data and Petrogenetic Considerations
Previous Article in Journal
Forensic Investigation of the Seepage-Induced Flow Failure at La Luciana Tailings Storage Facility (1960 Spain)
Previous Article in Special Issue
Effect of Frother Type on Surface Properties and Flotation Performance of Galena: A Comparative Study of EH, PPG250, and MIBC
 
 
Font Type:
Arial Georgia Verdana
Font Size:
Aa Aa Aa
Line Spacing:
Column Width:
Background:
Article

A Surface Chemistry Investigation into Depressants for Minerals Associated with Pyrochlore

Department of Mining and Materials Engineering, McGill University, 3610 rue University, Montréal, QC H3A 0C5, Canada
*
Author to whom correspondence should be addressed.
Minerals 2025, 15(11), 1132; https://doi.org/10.3390/min15111132 (registering DOI)
Submission received: 29 August 2025 / Revised: 7 October 2025 / Accepted: 14 October 2025 / Published: 29 October 2025
(This article belongs to the Special Issue Surface Chemistry and Reagents in Flotation)

Abstract

Niobium (Nb), a transition element, has been applied mainly as steel additive, among other cutting-edge applications. Nb is mainly produced from pyrochlore-containing ores, dominated by mines at Araxá, Catalão (both from Brazil), and Niobec (Saguenay Region, QC, Canada). At these plants, flotation is employed as the main beneficiation method that all plants apply direct pyrochlore flotation; Catalão and Niobec apply additional reverse flotation prior to pyrochlore flotation. During flotation, depressants are added to improve selectivity, which highlights their importance to Nb mineral flotation. However, most of the available studies related to Nb mineral flotation focus on collectors; the knowledge on depressants is limited. In the present work, various depressants, including sodium silicate, oxalic acid, F100, starch, carboxymethyl cellulose (CMC), and chitosan, are compared for pyrochlore flotation at pH 7 in the presence of sodium oleate and dodecylamine (DDA) collectors. The results are compared with common gangue minerals, including dolomite, calcite, and hematite. It was observed that the performance of depressants is related to the collector applied, which was justified by the mineral surface charge after depressant adsorption and the charge of the collector. Among the tested combinations, 5 kg/t F100 + 2 kg/t DDA and 5 kg/t CMC + 2 kg/t DDA showed potential selectivity toward pyrochlore and hematite, whereas both carbonate minerals could be successfully depressed. Zeta potential measurement and X-ray photoelectron spectroscopy were applied to understand the interaction between depressants and the model minerals.

1. Introduction

Nb is a transition element whose major (approximately 90%) consumption is in the steel industry, where it is added in the form of ferroniobium to produce high strength low alloys and stainless steels [1,2,3,4]. It also finds applications in other cutting-edge fields, including electronics [5], superalloys [5,6], catalysts, and medical tools [1,7]. Due to there being no effective substitutes, its potential supply risk, as well as its importance to defense, energy, and high-tech industries, Nb is considered a strategic element [2,8].
The global Nb reserves are mainly found in Brazil and Canada, which are also major suppliers of Nb products [4,9,10]. Brazil is currently the largest Nb producer due to mining of the Araxá and Catalão complexes; collectively, they supply more than 90% of the global Nb production [4]. Niobec, located in Canada, is the only active Nb producer in North America, which supplies approximately 7% of the global Nb market [4]. For more details about the production of Nb, interested readers are suggested to consult Gibson et al. (2015) [11].
Flotation is currently employed as the main beneficiation method to recover Nb minerals (mainly pyrochlore) at these mines. During flotation, collectors, depressants, and activators are typically required to achieve desired selectivity. During direct pyrochlore flotation, at Araxá, amine collectors and sodium fluorosilicate (Na2SiF6, pyrochlore activator) are added under acidic conditions (pH 2.5–3.5) [12,13,14,15]; at Niobec, secondary amines are used as collectors [16,17,18,19,20] in addition to sodium silicate (SS) and tapioca starch as gangue depressants [17,18,19,20]. Prior to the pyrochlore flotation at Niobec, a carbonate reverse flotation stage is applied, where tall oil fatty acid collector was used during early plant operation, oxalic acid (OA) and hydrofluoric acid (HF, replaced by H2SiF6 in the late 1970s) were used to depress pyrochlore [21]. Subsequently, emulsified fatty acid was applied as collector at natural pH (ca. 8) [16,17,18,19,20,22], with SS and starch applied as pyrochlore depressants [16,17,18,19]; the latter is also applied to depress pyrochlore during the downstream sulfide reverse flotation stage [16,21]. Similarly to Niobec, reverse flotation is applied at Catalão to remove silicates before pyrochlore flotation, where etheramine and starch are added as silicate collector and pyrochlore depressant, respectively [23].
Limitations are associated with these depressants. For fluorosilicates, the dosage has to be carefully controlled: at a low dosage, they function as an effective gangue depressant and Nb activator [24,25,26]; at an elevated dosage (e.g., higher than 600 g/t [27] to 1 kg/t [24]), they could depress Nb minerals [21,24,26,27,28]. Similarly, for SS, a small addition could improve the flotation of Nb mineral; a high dosage could result in Nb mineral depression [29]. Likewise, starch is capable of depressing both gangue and Nb minerals: when organic diphosphonic acids were used as collectors, starch could successfully depress Na-feldspar and hardly affect niobotantalite [30]; other studies found that it could depress fersmite [31] and ilmenorutile [32] significantly. Its depression effect on Nb minerals was also confirmed in ore studies that during silicate flotation using amine collector, starch was applied to depress pyrochlore [23].
As noted, depressants play an important role in Nb mineral flotation; therefore, choosing a selective reagent scheme is essential. However, it appears that the available studies related to Nb flotation reagents focus more on collectors; knowledge related to depressants, and more importantly, their interaction mechanisms with Nb minerals, is limited. Due to this reason, the present work aims to expand the knowledge on depressants applied in Nb mineral flotation. Depressants under different categories were chosen for comparison: SS (a depressant for both pyrochlore [21,33,34,35] and associated gangue [36,37]), OA (a gangue depressant in Nb mineral flotation [38]), F100 (a commercial lignosulphonate-based carbonate depressant), starch (a common depressant for Fe oxides and a possible depressant for other gangue and Nb minerals as introduced above), carboxymethyl cellulose (CMC, a gangue depressant applied in Nb mineral flotation [39] and appears to be more selective than starch [40]), and chitosan (a novel depressant for Nb mineral flotation). Four model minerals were chosen for investigation: pyrochlore (representative Nb mineral), hematite (representative Fe oxide mineral), dolomite and calcite (common carbonate gangue associated with Nb minerals). Microflotation tests were conducted using sodium oleate (NaOL, representative of fatty acids) and dodecylamine (DDA, representative of amines) as collectors at pH 7, with and without the depressants mentioned previously. Surface chemistry studies, including zeta potential measurements and X-ray photoelectron spectroscopy (XPS), were conducted to understand the interaction mechanism between minerals and reagents.

2. Materials and Methods

2.1. Materials and Reagents

Model minerals of dolomite (Coloured Aggregates Inc., Aurora, ON, Canada), calcite (Ward’s Science, Rochester, NY, USA), and hematite (Ward’s Science, USA) were ground to −106 µm using a Pulverisette 6 planetary monomill (Fritsch, Idar-Oberstein, Germany) with agate balls. The pulverized minerals were then wet screened at 38 µm to produce a −106 + 38 µm fraction for microflotation. For dolomite and calcite, their purity was satisfactory, and they were used as received. Hematite contained a small fraction of quartz, which was rejected using a wet high intensity magnetic separator (WHIMS) at a 0.5 T magnetic field. Due to the difficulty of purchasing pyrochlore with a satisfactory high grade, a plant concentrate was provided by Niobec (Canada) and used in the present work. This pyrochlore concentrate, however, still contained a small amount of iron oxides and light gangue, including silicates and carbonates. To purify this concentrate, it was first sieved into narrow size ranges (−106 + 75, −75 + 53, and −53 + 38 µm) and passed over a Mozley shaking table to reject the light gangue minerals; the heavy fraction was then passed through WHIMS at 0.5 T to reject iron oxides. The WHIMS nonmagnetic fraction was dried in a lab oven at 93 °C before being calcined in a muffle furnace at 300 °C for 2 h to remove possible residual organic species. The calcinated materials were then blended into −106 + 38 µm for microflotation. For surface chemistry studies, the prepared model minerals in the −106 + 38 µm size range were ground in deionized water to −10 µm using a Pulverisette 6 planetary monomill (Fritsch, Germany). The obtained slurry was dried in a lab oven at 93 °C and collected for later use.
The specific surface areas of the model minerals were determined by the nitrogen Brunauer–Emmett–Teller (N2-BET) technique using a TriStar 3000 surface area and porosity analyzer (Micromeritics, Norcross, GA, USA). The particle size of model minerals was determined using a Microtrac Series 5000 Sync Particle Size & Shape Analysis system (Microtrac Inc., USA). The BET and PSA results are shown in Table A1. The purity of model minerals was examined by X-ray fluorescence (XRF), X-ray diffraction (XRD), and scanning electron microscope (SEM) techniques. XRF analysis was conducted at Techni-Lab S.G.B. Abitibi Inc. (Sainte-Germaine-Boulé, QC, Canada) using the fusion method. XRD was conducted using a Bruker (USA) D8 Discovery X-ray diffractometer equipped with a Co Kα source (λ = 0.179 nm). The resultant patterns were processed by DIFFRAC.EVA software (version 6.1, Bruker, Billerica, MA, USA) and compared with the PDF-4+ (ICDD, 2022) database to identify the main minerals present. SEM analysis was conducted using an SU3500 SEM system (Hitachi, Japan) equipped with an 80 mm2 X-MaxN Silicon Drift energy dispersive spectrometer (EDS) detector (Oxford Instruments, High Wycombe, UK). All tests were performed using a 20 kV accelerating voltage under an environment of 80 Pa. During operation, the deadtime was maintained close to 15%, and count rates were maintained above approximately 6000 cps. The collected data were analyzed using AZtec software (version 3.0, Oxford Instruments, UK) to identify elements present in the samples. The XRF results and XRD spectra are shown in Table A2 and Figure A1, respectively, whereas the false-colored BSE-EDS images are shown in Figure A2, Figure A3, Figure A4 and Figure A5. It can be observed that the elemental contents of model minerals are close to the expected values, which could be supported by SEM observation; in addition, their XRD spectra match well with the references. It should be noted that in hematite, a small amount of quartz is still present (as observed from XRD (Figure A1c), XRF (Table A2), and SEM (Figure A4)), possibly due to incomplete liberation between hematite and quartz in coarse (−106 + 38 µm) grains.
All reagents in this work were used as received without further purification. DDA, which is insoluble in water, was first dissolved in acetic acid at a 1:4 (DDA:acetic acid) molar ratio and then diluted to desired concentrations. Deionized water (with a resistance of 18.3 MΩ∙m) produced by a reverse osmosis system (Durpro, Candiac, QC, Canada) was used throughout the research. Information about reagents applied in the present work is detailed in Table A3.

2.2. Microflotation

Microflotation tests were conducted in a modified Hallimond microflotation cell. For each test, 1 g of model mineral (−106 + 38 µm) was conditioned for 1 min in 20 mL of collector solution at the desired dosage. The pH was maintained at 7 using diluted hydrochloric acid (HCl) and sodium hydroxide (NaOH) at 1, 0.1, and 0.01 mol/L. In case depressant presents, the mineral was first conditioned with depressant at the desired dosage for 1 min, followed by another minute of conditioning with collector. A stirring bar was used to keep particles suspended throughout the test. After conditioning, the suspension was transferred into the microflotation cell, which was then filled to 160 mL with pH-adjusted water. The air was then turned on and regulated at 40 mL/min during the test. After floating for 1 min, the floated particles were collected into a beaker as concentrate, whereas those left in the cell were collected as tailing. The concentrates and tailings were filtered and dried separately to calculate the recovery ( R e c o v e r y ) using Equation (1):
R e c o v e r y = m c o n c m c o n c + m t a i l × 100 %
where m c o n c and m t a i l represent the mass of concentrate and tailing, respectively. Three repeats were conducted at each condition to ensure consistent results were obtained, based on which 95% confidence intervals (C.I.) were calculated and displayed with the flotation results as error bars.
It should be highlighted that due to the already existing frothing effect for both NaOL and DDA, no frother was added during microflotation tests in this work.

2.3. Zeta Potential Measurement

Zeta potential measurement was conducted using a NanoBrook ZetaPlus electrophoretic analyzer (Brookhaven Instruments, Nashua, NH, USA). Model minerals in the −10 µm size range were suspended in 200 mL of 10−3 mol/L KCl solution at a mineral/solution ratio of 0.04 wt%. The suspension was dispersed using an ultrasonicater (Hielscher UP400S, Teltow, Germany) for 30 s. A magnetic stirring bar was used to keep particles suspended throughout the test. The pH range investigated was from 3 to 10 due to equipment limitation. Prior to taking measurements, the suspension was allowed to condition for 30 min, and for a minimum of 5 min at each different pH level, which was adjusted using diluted HCl and NaOH. Fresh samples were prepared for measurements in the acidic and basic directions to avoid the hysteresis effect. For cases with reagent, the reagent was added at the beginning of the conditioning stage. The concentration (in kg/t) of reagent was determined by increasing the NaOL dosage until an appreciable shift in the pyrochlore zeta potential was observed. This concentration was kept constant for other reagents and other minerals, which is shown in Table A4. At least three repeats (10 measurements in each repeat) were conducted at each condition to ensure consistent results were obtained; to make visualization easier, the obtained data were fitted by a third order polynomial, on which the calculated 95% C.I. are presented as error bars.

2.4. X-Ray Photoelectron Spectroscopy

To prepare samples for XPS analysis, 1 g of model mineral (−10 µm) was added into 40 mL of pH-adjusted water and sonicated for 30 s to prepare it into suspension. A stirring bar was added to keep particles suspended, and pH was adjusted to the desired level using diluted HCl and NaOH. In case reagents were present, an amount of reagent solution corresponding to 100 kg/t (the same as zeta potential measurement) was added at the beginning of the condition stage. The suspension was then conditioned for 10 min, and the pH was maintained at the desired level using diluted HCl and NaOH. After conditioning, the suspension was transferred into a centrifuge tube and centrifuged at 4000 rpm for 10 min to separate the solid from the solution. The solid was then rinsed using water at the same pH 3 times to wash off residual reagents. The washed solid was then filtered and air-dried for 2 days before being kept in a vacuum oven (vacuum level equivalent to 70 cm Hg) at room temperature for 8 h. The prepared samples were stored in a desiccator before XPS analysis.
XPS analysis was performed using a Thermo Scientific Nexsa G2 spectrometer (Waltham, MA, USA) equipped with an Al Kα X-ray source (1489.6 eV). The spot size was 400 µm with 50.0 eV pass energy and 0.1 eV energy step size. A flood gun with low energy electrons was applied during data acquisition to avoid surface charging. The collected spectra were processed using Avantage software (Thermo Fisher Scientific, Waltham, MA, USA), and the binding energies (BE) were calibrated with respect to that of C1s for hydrocarbon (284.8 eV).

3. Results

3.1. Microflotation

3.1.1. Minerals with Collectors

Microflotation results of model minerals with collectors only at pH 7 are shown in Figure 1. For both NaOL and DDA, the recoveries of minerals followed a similar trend in that they gradually increased with respect to the collector dosage; relatively high recoveries (between 70 and 80%) could be achieved with 2 kg/t of collector for all four minerals. As the collector’s dosage further increased to 5 kg/t, their recoveries did not increase significantly. The high recoveries and similar recovery trends of all minerals confirm that both collectors are strong but with poor selectivity, which highlights the importance of depressants when these collectors are used in Nb mineral flotation.

3.1.2. Minerals with Depressants

The performance of depressants was evaluated in the presence of either NaOL or DDA at 2 kg/t, a dosage above which the recoveries of minerals did not increase significantly (as seen in Figure 1). The results are shown in Figure 2 (with NaOL as collector) and Figure 3 (with DDA as collector), respectively.
When NaOL is used as collector, dolomite, as shown in Figure 2a, could be successfully depressed by all tested depressants except OA, and the recoveries follow a similar trend in that they gradually decrease with respect to the depressant dosage. To achieve complete depression (approximately 20% or less), the dosage required was 0.25 kg/t for CMC, 1 kg/t for SS and starch, 2 kg/t for F100 and chitosan. For calcite, it could be depressed by the tested depressants except OA and chitosan. To achieve complete depression, the dosage required was 0.5 kg/t for CMC, 2 kg/t for SS, and 5 kg/t for F100. For starch, at the highest dosage (5 kg/t), the recovery of calcite reduced to approximately 30%. It is interesting to observe the limited depression of chitosan on calcite compared to dolomite; this should be related to the surface composition difference and the interaction mechanism between chitosan and these carbonate minerals. This difference in depression performance might limit the application of chitosan as a carbonate depressant in direct pyrochlore flotation, since dolomite and calcite responded differently under the same condition. For hematite, it could only be depressed significantly by starch and chitosan: when 5 kg/t of chitosan was added, its recovery reduced to approximately 35%; similar depression was achieved with starch. In comparison, SS, OA, F100, and CMC could barely depress hematite such that even at the highest tested dosage (5 kg/t), the recovery of hematite remained at approximately 70–80%. For pyrochlore, it could be depressed by the tested depressants except OA. At 5 kg/t, SS, F100, and chitosan reduced the recovery of pyrochlore to a similar level (approximately 30%). CMC and starch resulted in more severe depression such that the recovery of pyrochlore reduced to approximately 15% at the same dosage (5 kg/t). This strong depression effect is not surprising since starch has been applied to depress pyrochlore during carbonate reverse flotation at Niobec [17,20,22,35].
Microflotation results of model minerals in the presence of depressants and 2 kg/t of DDA as collector are shown in Figure 3. During the test, it was noticed that chitosan acts more effectively (i.e., the recovery of minerals already reduced to minimum with 250 g/t chitosan) than when NaOL was used as collector. Due to this reason, chitosan was evaluated at 25, 50, 100, 150, and 200 g/t in addition to the higher dosages.
For dolomite, SS and OA showed limited depression in that with 0.25 kg/t, the recovery of dolomite reduced to approximately 50%, and did not reduce significantly as the depressant dosages increased. Conversely, F100 and CMC followed a similar trend in that the recovery of dolomite kept reducing with respect to their dosages; at 5 kg/t, the recovery of dolomite decreased to approximately 20%. Starch appears to be more effective such that the recovery of dolomite reduced to a similar level (25%) with just 1 kg/t of starch, which could be further reduced to less than 10% with 2 kg/t of starch. Chitosan appears to be the most effective depressant: at 50 g/t, the recovery of dolomite was already reduced to about 15% and remained nearly unchanged as more chitosan was added. For calcite, OA appears to be ineffective in that its recovery remained almost unchanged when OA was added. When 1 kg/t of SS was added, the recovery of calcite reduced to less than 50% and remained almost unchanged as more SS was added. When F100 and CMC were added, the recovery of calcite reduced with respect to the dosage of depressant such that at 5 kg/t, the recovery of calcite reduced to below 30%. Chitosan and starch appear to be the most effective depressants: with a 2 kg/t dosage, chitosan reduced the recovery of calcite to <20%, starch reduced the recovery of calcite to <10%. For hematite, its recovery was not affected significantly by OA, F100, and CMC, so that even with 5 kg/t of these depressants, the recovery of hematite remained above 80%. In the presence of SS, a slight decrease (15%) in the recovery of hematite was observed at the highest tested dosage (5 kg/t). In comparison, starch and chitosan appear to be much more effective: with 2 kg/t of starch, the recovery of hematite reduced to less than 20%; the recovery of hematite dropped to a similar level with just 50 g/t of chitosan.
For pyrochlore, SS, OA, CMC, and F100 did not affect its recovery significantly: even at a depressant concentration of 5 kg/t, the recovery of pyrochlore remained above 80%. Different depressing effects of OA on pyrochlore have been observed in the literature: in [41], the inhibition effect of OA on pyrochlore was observed, but in [42], its depressing effect on pyrochlore was not evident. This difference might be attributed to the pyrochlore composition, more specifically, the content of Ca, since the inhibition mechanism of OA was proposed as forming calcium oxalate precipitation on mineral surface [41]. Another possible reason is the dosage of OA applied. Pyrochlore could be depressed when OA was used as a pH modifier under acidic conditions (pH 4 and 2) [41]; considering OA is a weak acid, the dosage (in kg/t) applied to achieve an acidic condition might be higher than those tested in this work. Among the tested depressants, only starch and chitosan resulted in appreciable depression on pyrochlore: with 5 kg/t of starch, the recovery of pyrochlore reduced to approximately 25%. Chitosan was more effective in that at 150 g/t, the recovery of pyrochlore was already reduced to <10% and remained almost unchanged as more chitosan was added.
Overall, it could be observed that the performance of depressants is related to the collector applied. Using chitosan as an example, when NaOL was applied as collector, a relatively high dosage (2–5 kg/t) of chitosan was required to completely depress dolomite, hematite, and pyrochlore, whereas calcite could not be depressed; when DDA was used as collector, the dosage of chitosan required to depress the model minerals was much lower: 100 g/t for dolomite, 1 kg/t for calcite, 100 g/t for hematite and pyrochlore. When SS was used as depressant, the recovery of dolomite did not reduce significantly when DDA was used as collector, but the same depressant could reduce its recovery to <20% with NaOL as collector. This should be attributed to the interaction between the adsorbed depressant and the collector added after. One plausible explanation in this case is that the adsorbed anionic SS species (possibly SiO(OH)3, as suggested by [43]) hinders the adsorption of NaOL significantly but does not significantly affect DDA. Surface chemistry study is therefore required to better understand the mechanism.
It is interesting to notice the different performance between dolomite and calcite under the same conditions: when chitosan was used with NaOL, dolomite was significantly depressed, whereas calcite was nearly not affected. This difference should be related to the mineral composition (i.e., the presence of Mg) and how the depressant interacts with the mineral. Both minerals are carbonate gangue minerals; different responses under the same condition will report them in different streams, which could lower the concentrate grade and complicate the overall flowsheet.
It should be highlighted that according to microflotation, selective flotation might be possible with 5 kg/t of either CMC or F100 and 2 kg/t of DDA as collector. Under these conditions, the recoveries of pyrochlore and hematite remained high, whereas both carbonates were significantly depressed. This enables direct pyrochlore flotation, possibly followed by magnetic separation to separate pyrochlore from hematite.

3.2. Zeta Potential Measurement

3.2.1. Minerals with Collectors

The zeta potential of model minerals with and without NaOL and DDA is shown in Figure 4. For dolomite (Figure 4a), within the tested pH range (3–10), the zeta potential of dolomite remained positive, and its IEP is expected to occur at ~pH 10.5 by extrapolation. This is in agreement with [44], who found IEP for dolomite in a very alkaline range. It should be noted that a wide range of IEP has been reported in the literature related to dolomite, ranging from <2 [45] to 11.2 [44]. This variation in IEP could be attributed to the nature and purity of the minerals [46,47], sample preparation [46], particle size [46], minor surface modifications [48], different Ca/Mg contents on the mineral surface [44,47], different mineral solubility [47], as well as the presence of CO2 in the solution [48]. After the addition of NaOL, the zeta potential of dolomite shifted to the negative direction remarkably, which is in agreement with [47,49,50,51,52]. This shift suggests strong adsorption of the negatively charged oleate groups onto the dolomite surface. DDA, a cationic collector, however, did not result in significant shifts in the zeta potential of dolomite. This is surprising since DDA likely interacts with dolomite due to the high recovery observed during microflotation (Figure 1b). One possible explanation is that the cationic DDA species adsorb on the positively charged dolomite surface through a chemisorption mechanism (since the surface would naturally repel species carrying similar charges); the zeta potential of dolomite did not show significant shifts after reagent adsorption due to the similar charges carried by amine groups and the dolomite surface. This could explain the high recovery achieved when DDA was used as collector; the exact adsorption mechanism of DDA on dolomite, however, remains to be further confirmed using other techniques.
The zeta potential of calcite obtained in this work follows an unusual ascending trend: it remains negative between pH 3 and 7.5, and becomes slightly positive at pH > 7.5 (as shown in Figure 4b). Similarly to dolomite, a wide range of IEP of calcite has been reported in the literature, ranging from 5.4 [44] to 10.6 [53]. During the test, it was observed that the pH of the suspension was unstable at pH < 7; acid must be constantly added to maintain the pH at the desired value. As pH further decreased, the suspension became more transparent, which was likely due to dissolution of the mineral. However, stable readings could still be obtained, which actually might be measuring the insoluble impurities. According to XRF, a small amount of SiO2 (0.09%, as shown in Table A2) was present in the sample, possibly in the form of silica. Its presence might explain the negative zeta potential in the acidic range. The trend of zeta potential appears to be related to the ion species and concentration in the solution. Ascending zeta potential of calcite was also observed in [54], who found that by increasing the salinity of the solution, the trend of zeta potential could change from descending to constant or even ascending. A similar trend was also observed in other research on pyrochlore in that the zeta potential curve became a “U” shape in the presence of Ca2+ and Mg2+ [35]. In addition, the suspension of carbonate minerals could be affected by CO2 in the atmosphere [55], which possibly also affects the value and the shape of the zeta potential curve. In the presence of NaOL, similar to dolomite, the zeta potential of calcite observed a significant downward shift, which was also observed in [48,56,57,58]. This shift suggests the adsorption of NaOL onto the calcite surface, and the adsorption mechanism is likely chemisorption (also suggested by [48]), since the negatively charged calcite surface would naturally repel anionic oleate groups. In the presence of DDA, a notable upward shift was observed at pH 3–8, where the zeta potential of calcite was originally negative; a similar positive shift was also observed in [59,60]. This might suggest the adsorption of DDA, but the adsorption mechanism could not be determined by zeta potential measurements alone. The proposed adsorption mechanisms in the literature include electrostatic attraction and hydrogen bonding between RNH3+ and CO32- sites [59] and physisorption [61].
For hematite, as shown in Figure 4c, its zeta potential remained negative across the investigated pH range. By extrapolation, its IEP is around pH 2.5, which is in agreement with values reported in [62,63,64]. Similarly to dolomite and calcite, a large variation in the IEP of hematite has been reported, ranging from 2 [63] to 8.5 [65]. A widely accepted reason for the low IEP of natural hematite is the presence of minor impurities (such as silica) [66,67]. As stated previously in Section 2.1, the hematite sample used in this work is a natural sample containing a small amount of silica impurities (as shown in Figure A1c and Table A2), which might explain the low IEP obtained. Another possible reason is the presence of CO2, which could shift the entire zeta potential curve of hematite [67]. In the presence of NaOL, the zeta potential of hematite observed a significant downward shift across the tested pH range, which was also observed in [63,65,68,69,70,71,72,73]. This significant shift suggests the adsorption of NaOL on hematite, and the adsorption mechanism is likely chemisorption (as proposed by [65,70]) since the negatively charged hematite surface would naturally repel anionic oleate species. In the presence of DDA, the zeta potential of hematite shifted upward, which is in agreement with [74] and suggests adsorption of the cationic amine collector on hematite. The adsorption mechanism, however, could not be determined by zeta potential measurements alone, as the negatively charged hematite surface could naturally attract cationic amine groups.
For pyrochlore, its zeta potential remained negative across the investigated pH range; by extrapolation, its IEP should be around pH 2.5 (as shown in Figure 4d). In the literature, compared to the gangue minerals mentioned above, a relatively narrow IEP ranging from 2.8 [75] to greater than 5 [41] has been reported. The variation in the IEP values might be attributed to the origin of the minerals, difference in surface composition, zeta potential measurement technique, background electrolyte, and concentration. Similarly to the gangue minerals, in the presence of NaOL, the zeta potential of pyrochlore shifted downward significantly, which was also observed in [76], suggesting the adsorption of NaOL on pyrochlore. The adsorption mechanism is likely chemisorption due to the same sign of charge between oleate groups and the pyrochlore surface. In the presence of DDA, the zeta potential of pyrochlore observed a notable shift to the positive direction across the entire tested pH range, which is in agreement with [42]. This suggests the adsorption of DDA; however, the adsorption mechanism could not be confirmed by zeta potential measurements alone due to the same reason stated previously.

3.2.2. Minerals with Depressants

Zeta potential of dolomite with different depressants is shown in Figure 5a. In the presence of SS, the zeta potential of dolomite shifted slightly (~10 mV) to the negative direction, which was also observed in [43]. This shift could be attributed to the adsorption of negatively charged species such as SiO(OH)3, as suggested by the DFT study [43]. In addition, Si(OH)4 might also interact with dolomite through a weaker interaction mechanism (i.e., hydrogen bonding with O atoms on dolomite) than SiO(OH)3, which interacts through covalent bonding [43]. In the presence of OA, a notable shift in the negative direction was observed. Its adsorption mechanism could not be confirmed by zeta potential alone, since the negatively charged oxalate species could be naturally attracted by the positively charged dolomite surface. One plausible adsorption mechanism is through interactions with Ca sites, which has been confirmed by other studies [41,77].
F100 is a lignosulphonate-based polymer [78], which has been applied as dispersant for clay [78,79] and a depressant for dolomite [80]. A schematic presentation of the structure of lignosulphonate is shown in Figure 6. In the presence of F100, a substantial shift in the negative direction could be observed (as shown in Figure 5a), which was also observed in previous work [80]. This suggests the absorption of anionic lignosulphonate species; however, the adsorption mechanism remains to be further investigated. In previous research, chemisorption has been proposed as the adsorption mechanism of lignosulfonate on dolomite [80].
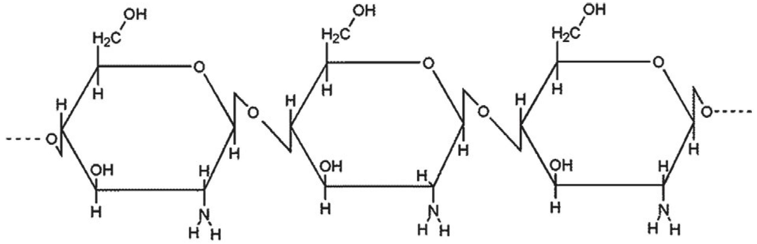
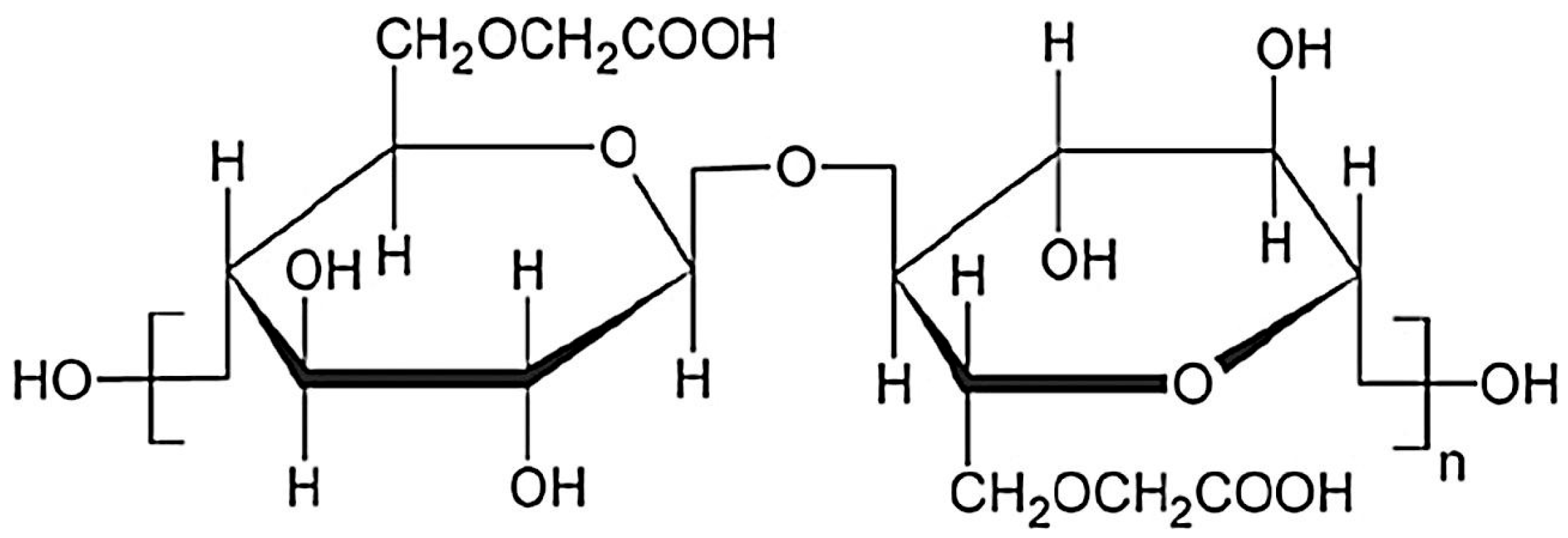
In the presence of starch, as shown in Figure 5a, a slight shift to the negative direction was observed on the zeta potential of dolomite, which is in agreement with [51]. Similarly, when CMC was added, significant shifts to the negative direction could be observed (as shown in Figure 5a), which was also observed in [80]. Starch, including amylose and amylopectin types (structures shown in Figure 7), contains hydroxyl groups (―OH) in their molecules [82]. CMC has a similar structure as starch in that it is composed of long chains with hydrophilic hydroxyl and carboxylic groups (as seen in Figure 8). In solution, these groups could undergo hydrolysis and become negatively charged, making the surface they adsorb on negatively charged. However, the adsorption mechanism of starch and CMC on dolomite cannot be confirmed by zeta potential alone due to the same reason stated for OA. Previous studies on dolomite suggested the adsorption mechanism is physisorption for starch [51] and chemisorption for CMC [80].
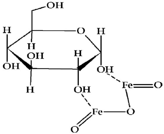
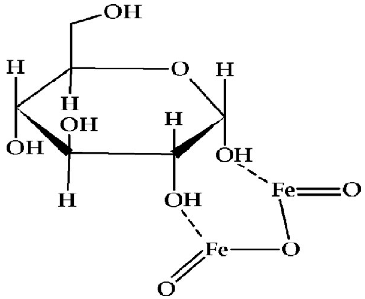
Chitosan, the main component of crustacean shells, is a natural polyaminosaccharide produced by deacetylating chitin [84]. A schematic presentation of its structure is shown in Figure 9, from which it can be observed that it contains carboxylic acid (―COOH), amine (―NH3), and hydroxyl (―OH) functional groups. As shown in Figure 5a, in the presence of chitosan, the zeta potential of dolomite showed slight shifts in the positive direction at pH 3–6, and a slight negative shift at pH > 6. The IEP of dolomite shifted correspondingly from approximately 10.5 to 8. This might suggest the adsorption of chitosan and the adsorption mechanism on dolomite might be related to the pH. The adsorption of chitosan on dolomite and the corresponding mechanism remain to be investigated further; previous work on fluorite proposed chitosan chemisorption on Ca sites [85], suggesting its potential affinity to Ca sites.
Zeta potential of calcite in the presence of depressants is shown in Figure 5b. In the presence of SS, the zeta potential of calcite observed a shift to the negative direction at pH > 6, which is in agreement with [43,86] and might be attributed to the adsorption of SiO(OH)3 [43]. Nevertheless, the shift was not obvious at pH < 6, where the zeta potential of calcite was negative. The negative charges on calcite surface in this range might repel SiO(OH)3 and inhibit its adsorption, resulting in no shift in zeta potential. It is also plausible that as both calcite and SiO(OH)3 carry similar charges, the zeta potential of calcite might remain unchanged after possible adsorption of SiO(OH)3. In the presence of OA, a shift in the positive direction was observed at pH < 9. This might be due to interactions between OA and Ca2+ dissolved from the calcite surface, which has been suggested by Chehreh Chelgani and Hart (2018) [77]. Such an interaction forms calcium oxalate with a neutral charge, which could re-deposit onto the calcite surface and result in positive shifts in zeta potential. This process might be less pronounced as pH increases due to less dissolution under alkaline conditions. Another plausible adsorption mechanism is through direct formation of calcium oxalate between OA and Ca on calcite surface [41]. In the presence of F100, the zeta potential of calcite shifted to the negative direction, suggesting the depressant interacted with calcite under the entire tested pH range. This is similar to the trend observed on dolomite, likely due to adsorption of negatively charged lignosulphonate species on calcite surfaces. The exact adsorption mechanism remains to be confirmed by other techniques; one possible mechanism is through interacting with Ca2+ [87]. Unlike the case of dolomite, after the addition of starch, the zeta potential of calcite only shifted slightly in the positive direction under acidic conditions (pH < 7) and to the negative direction under alkaline conditions. The resultant zeta potential curve remained at a nearly constant value (approximately −10 mV) across the tested pH range. This is partially in agreement with previous works where the zeta potential of calcite shifted to more negative after adding starch [60,88]. The difference between calcite and dolomite could be due to more dissolution of calcite or different adsorption reactions on the two minerals. When CMC was added, a significant shift to the negative direction was observed (as shown in Figure 5b); this might suggest its adsorption on calcite, and a similar trend was observed previously by [57]. In solution, the hydroxyl and carboxylic groups of the CMC molecule (as shown in Figure 8) could undergo hydrolysis and become negatively charged; after adsorption on calcite, the mineral surface therefore becomes negatively charged. The adsorption mechanism is likely chemisorption at pH < 7, where calcite is negatively charged. However, the exact adsorption mechanism remains to be confirmed by other techniques. When chitosan was added, the zeta potential of calcite shifted to the positive direction remarkably under acidic conditions (pH < 7) and shifted slightly to the negative direction at pH > 7.
The zeta potentials of hematite with depressants are shown in Figure 5c. In the presence of SS, the zeta potential of hematite shifted to more negative values at pH > 5, and remained almost unchanged at pH 3–5. The negative shifts might be attributed to the adsorption of negatively charged SiO(OH)3, as discussed previously with dolomite and calcite, and the adsorption mechanism is likely due to chemisorption since a negatively charged hematite surface would repel anionic SS species. With the addition of OA, shifts to the negative direction could be observed across the entire pH range, a similar trend has been observed in previous work [89]. Interestingly, it appears that the adsorption of OA was more intensive in the acidic range as a larger shift could be observed. This might be due to the dissolution of hematite, the correlation between which and OA uptake has been observed by [89]. The adsorption mechanism of OA on hematite is likely chemisorption, since the negatively charged hematite surface would naturally repel anionic oxalic species. With F100, the zeta potential of hematite shifted notably to the negative direction, suggesting the adsorption of negatively charged lignosulphonate species; a similar trend has been observed in previous studies [90,91]. Its adsorption mechanism should be chemisorption, since a negatively charged hematite surface would naturally repel lignosulphonate which carries similar charges. However, electrostatic interaction has been proposed by [91], which might arise from the positive hematite zeta potential (IEP at pH 9) in their study. In the presence of starch, the zeta potential of hematite shifted slightly to the negative direction across the entire tested pH range, possibly suggesting the adsorption of reagent. This is in partial agreement with [92], where the addition of starch resulted in a negative shift at pH < IEP, and increased the zeta potential significantly at pH > IEP, likely due to the adsorption of less negatively charged starch [92]. In another study, the zeta potential of hematite became less negative after the addition of starch and became close to that of colloidal starch [93]. In addition, the shift trend was found to be related to the type of starch [94]. The adsorption of starch on hematite has been proposed as OH―OH interaction [94]. Based on the trend observed in the present work, the adsorption mechanism is likely chemisorption, since the negatively charged hematite would naturally repel anionic species. In the presence of CMC, a substantial downward shift could be observed, similar to that reported in a previous study [95]. The negative shift should be due to the adsorption of the negatively charged species, as addressed previously for dolomite and calcite. Similarly to starch, the adsorption mechanism of CMC on hematite is likely chemisorption, since physisorption of such anionic species would be naturally inhibited by the negatively charged hematite surface. With the addition of chitosan, the zeta potential of hematite shifted remarkably in the positive direction such that its IEP shifted from 2.5 to 8. This shift should be due to the adsorption of chitosan; however, the adsorption mechanism could not be confirmed by zeta potential alone due to similar reasons explained above.
For pyrochlore, as seen in Figure 5d, its zeta potential did not significantly shift across the tested pH range in the presence of SS. This could imply that there is no adsorption; however, it is also plausible that adsorption took place, but due to the similar charges carried by the mineral and SS species, shifts in zeta potential could not be observed. Since SS has been applied as a pyrochlore depressant (as reviewed in the Introduction), it is expected that SS interacts with pyrochlore; the adsorption and mechanism therefore must be confirmed by other techniques such as XPS. The shift in zeta potential of pyrochlore with OA varied under different pH ranges: at pH > 6, a positive shift was observed; at pH < 6, its zeta potential shifted to the negative direction. This might be attributed to the adsorption of negatively charged oxalate groups, possibly on the Ca sites by forming calcium oxalate [41]. With the presence of F100, shifts to the negative direction could be observed at pH < 9. This could be attributed to the adsorption of negatively charged lignosulphonate species, and the adsorption mechanism is likely due to chemisorption, since a negatively charged pyrochlore surface would naturally repel negatively charged depressant molecules and inhibit physisorption. In the presence of starch, the zeta potential of pyrochlore did not observe significant shifts across the tested pH range; similar to the case of pyrochlore with SS, this could imply no adsorption; it is also possible that similar charges carried by the mineral and starch molecules would allow the zeta potential to remain almost identical after adsorption takes place. Since starch has been applied as a pyrochlore depressant (as reviewed in the Introduction), it is expected that starch could interact with pyrochlore; the interactions should be further investigated by other surface chemistry techniques. In the presence of CMC, shifts to the negative direction could be observed at pH < 9. This could be attributed to the adsorption of depressants, and the adsorption mechanism is likely due to chemisorption, since a negatively charged pyrochlore surface would naturally repel negatively charged depressant species and inhibit physisorption. Similarly to dolomite, calcite, and hematite, a substantial shift to the positive direction was observed over the entire pH range when chitosan was added, and as a result, the IEP of pyrochlore shifted from 2.5 to 8. The adsorption mechanism could not be confirmed by zeta potential alone due to similar reasons explained above.

3.3. XPS

As stated previously, in addition to zeta potential, other surface chemistry techniques are required to confirm the adsorption and the corresponding adsorption mechanism of depressants on minerals. Due to this reason, XPS was applied in the present work. From XPS, changes in the surface atomic concentrations could be directly observed if adsorption of reagents takes place; shifts in the binding energy (BE) of elements provide insights on adsorption mechanisms.

3.3.1. Dolomite with Depressants

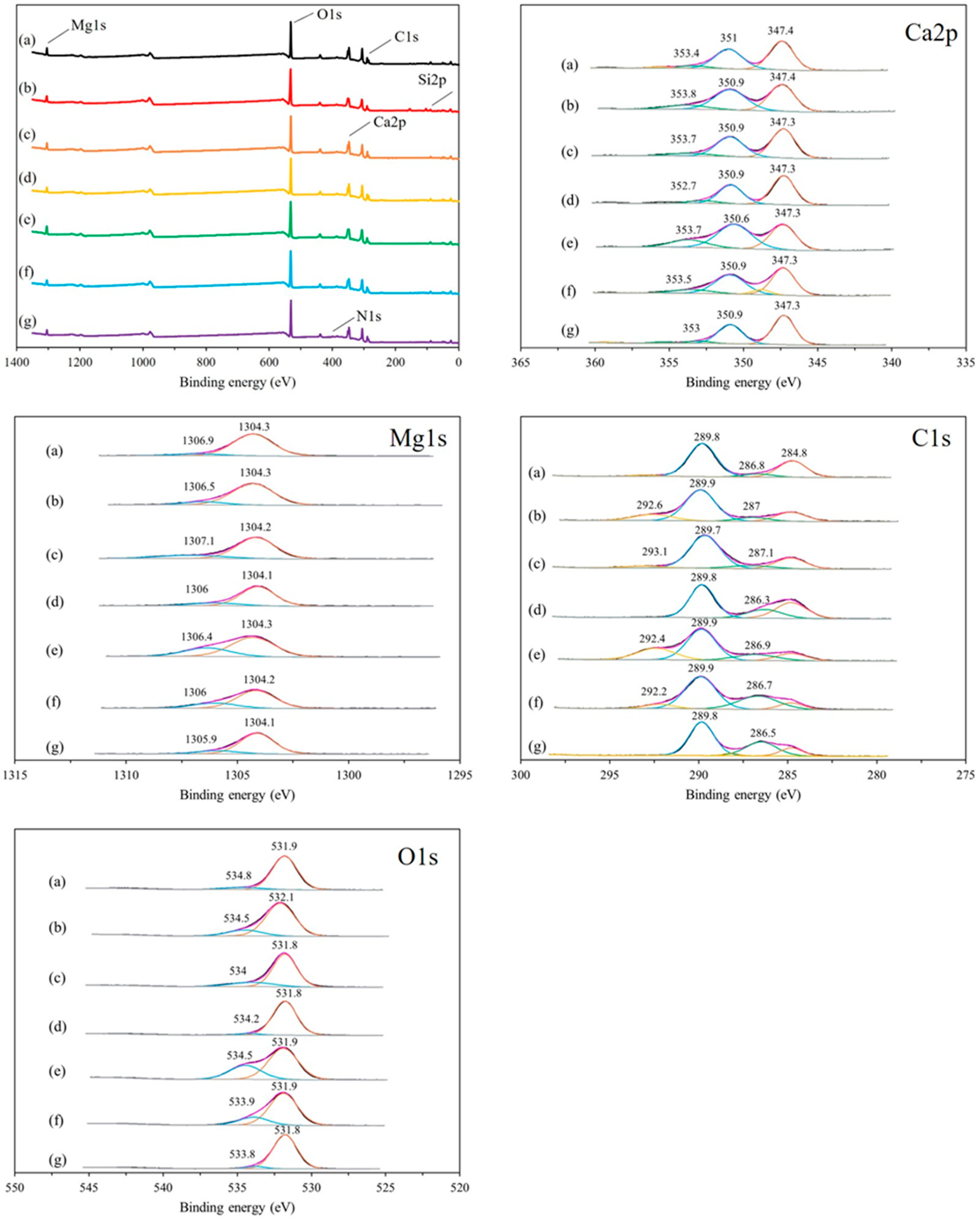
The atomic compositions of dolomite conditioned with depressants are compared with blank (dolomite conditioned in water at the same pH) in Table 1. Their survey and high-resolution spectra are compared in Figure 10.
As shown in Figure 10, the Ca2p peaks at 347.4 and 351 eV on blank dolomite are attributed to Ca2p3/2 and Ca2p1/2 of Ca in dolomite lattice [50,96,97,98,99,100]. Minor peaks at 353.4 and 355.7 eV might be due to Auger electron and satellite loss [101], which are usually not discussed in XPS spectra analysis in the literature. Therefore, they will be omitted from discussion for the rest of this paper. The Mg1s peak at 1304.3 eV on blank dolomite is attributed to the lattice Mg [50,96,97,101,102], whereas the minor peak at 1306.9 eV is likely due to satellite loss. The C1s peak at 284.8 eV corresponds to hydrocarbon, which was used to calibrate the position of other peaks; the peak at 289.8 eV corresponds to CO32− in dolomite lattice [49,80,98,101,103], and the one at 286.8 eV might be attributed to C―O from surface contamination [51,98,101,103]. In the O1s spectrum of blank dolomite, the peak at 531.9 eV is attributed to CO32− [80,96,98,99], whereas the peak at 534.8 eV might be due to minor impurities.
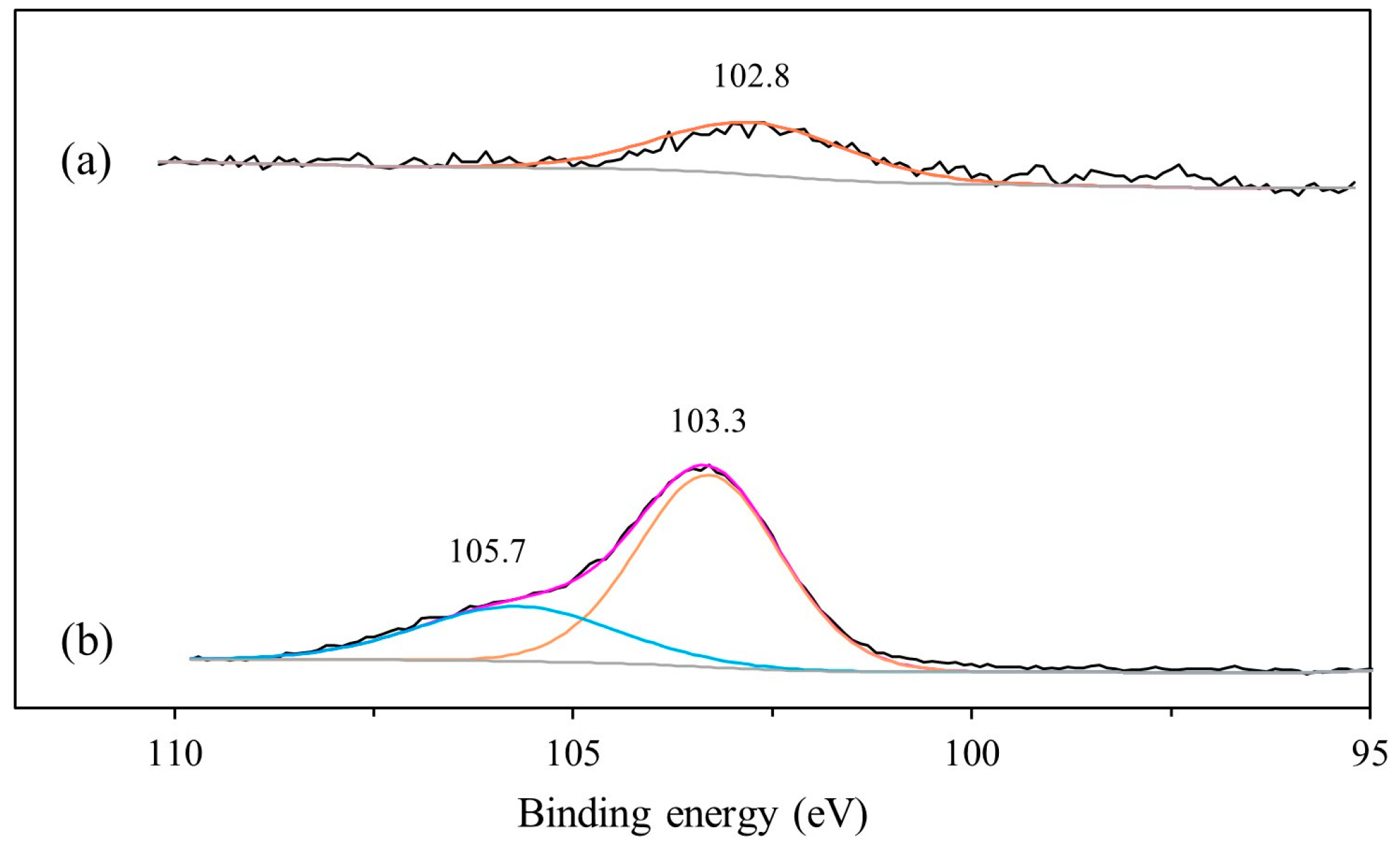
After conditioning with SS, as shown in Table 1, the content of Si on dolomite surface increased significantly from 0.9% to 6.7%, and the content of O increased from 46.2% to 50.6%; meanwhile, the contents of Mg, Ca, and C decreased slightly. In addition, Si2p peaks at 103.3 and 105.7 eV could be observed after SS treatment (Figure 11), suggesting the adsorption of SS species. This is in agreement with zeta potential measurement, where a shift to the negative direction was observed with SS (Figure 5a). This might explain the limited depression effect observed when DDA was used as collector (as shown in Figure 3a), since after adsorption, the negatively charged mineral surface might still naturally attract cationic amine species, whereas when NaOL was used as collector (Figure 2a), the negative surface charge would repel anionic oleate species and inhibit their adsorption on dolomite. It should be noted that a weak Si2p peak was observed at 102.8 eV on dolomite before SS treatment (as shown in Figure 11), which might be attributed to silicate impurities present in the model dolomite sample. As seen in Figure 10, the BE of Ca2p and Mg1s peaks did not shift significantly after SS treatment, suggesting their chemical environment did not change after treatment. A slight shift (+0.2 eV) was observed on the O1s peak corresponding to CO32−, suggesting its chemical environment was slightly altered after SS treatment. This might suggest the adsorption mechanism of SS (possibly in the form of silica gel Si(OH)4 at pH 7 [104]) on dolomite is through weak interactions such as hydrogen bonding [43] and electrostatic interaction [86]. The solubility of this gel in water is likely low, which explains the presence of Si on dolomite after washing.
After conditioning with OA, the surface composition of dolomite did not change significantly (as shown in Table 1). The binding energies of Mg1s, Ca2p, C1s, and O1s peaks only shifted insignificantly by 0.1 eV (as shown in Figure 10), which is close to the detection limit of the instrument, suggesting their chemical environment did not change significantly after treatment. These might suggest OA did not adsorb onto the dolomite surface under the tested conditions, which could explain the limited depression effect during microflotation using OA regardless of the collector used (as shown in Figure 2a and Figure 3a).
As shown in Table 1, after conditioning with F100, the C content on dolomite surface increased slightly from 26.6% to 28.2%, and correspondingly, the rest of the elements decreased slightly, possibly indicating the adsorption of depressant. In the high-resolution spectra (Figure 10), the intensified C1s peak at 286.3 eV might be attributed to lignosulfonate molecule. The Mg1s peak at 1304.3 eV shifted slightly to 1304.1 eV, whereas the Ca2p peaks only shifted by 0.1 eV (close to the detection limit of the instrument), suggesting F100 might preferably adsorb on Mg sites. This is in agreement with the negative shift observed in zeta potential measurements (Figure 5) and might explain the reduced dolomite recovery, as shown in Figure 2a and Figure 3a.
After the addition of starch, as shown in Table 1, the surface elemental composition of dolomite only changed slightly (approximately 1–2%, close to the detection limit of the instrument). In the high-resolution spectra, Ca2p peaks at 347.4 and 351 eV shifted to 347.2 and 350.6 eV, respectively, whereas the Mg1s peak at 1304.3 eV did not shift significantly. This suggests starch might adsorb onto dolomite through chemisorption, possibly on Ca sites. In addition, the new C1s peak at 292.4 eV and O1s peak at 534.5 eV suggest new C and O species presented on dolomite after treatment, possibly from starch molecules. It should be noted that the Ca2p peak at 353.7 eV and Mg1s peak at 1306.4 eV intensified, possibly due to hydrolyzation of Ca and Mg atoms on dolomite surface. Overall, according to XPS, starch likely adsorbed onto dolomite through chemisorption; this is in agreement with zeta potential measurement (Figure 5a), where a shift in the negative direction was observed. However, this is contradictory to previous work [51], where physisorption mechanisms such as hydrogen bonding and electrostatic interaction were proposed for starch on dolomite. The adsorption of starch explains the reduced recovery observed during microflotation (Figure 2a and Figure 3a).
Similarly to the case of starch, the surface elemental composition of dolomite did not change significantly after the addition of CMC (as shown in Table 1). Compared to starch, the presence of CMC only created shifts of 0.1 eV in the BE of Ca2p and Mg1s peaks, which is close to the detection limit of the instrument. Similarly to the case of starch, new C1s peaks at 286.7 eV and new O1s peaks at 533.9 eV might be attributed to the adsorbed CMC molecules. This suggests the adsorption of CMC and might explain the shift in zeta potential (Figure 5a) and the reduced recovery in microflotation when CMC was added (Figure 2a and Figure 3a). Its adsorption mechanism appears to be physisorption due to the insignificant shifts in the BE of Ca2p and Mg1s peaks; this is contradictory to previous work [105] where chemisorption was proposed for CMC to adsorb on dolomite through interacting with Ca and Mg. The adsorption of CMC on dolomite remains to be further investigated using other surface chemistry techniques.
After conditioning with chitosan, as shown in Table 1, the contents of O, and C increased slightly, and the content of N increased from non-detectable to 0.2%, suggesting chitosan adsorbed onto dolomite. This could be supported by the presence of the N1s peak at 399.7 eV (as shown in Figure 12), which should be attributed to ―NH2 groups [84,106]. The binding energies of Ca2p peaks observed insignificant shifts (0.1 eV) after chitosan treatment, whereas the Mg1s peak observed a larger shift from 1304.3 to 1304.1 eV, suggesting Mg might be the active site for chitosan adsorption, likely following the chemisorption mechanism that has been proposed previously [84]. The adsorption of chitosan is in agreement with the change in zeta potential (Figure 5), and could explain the reduced dolomite recovery during microflotation (as shown in Figure 2a and Figure 3a).

3.3.2. Calcite with Depressants

The atomic composition of calcite conditioned with different depressants is compared with a blank (calcite conditioned in water at the same pH) in Table 2. Their survey and high-resolution spectra are compared in Figure 13.
For calcite conditioned in water, the Ca2p spectrum consists of Ca2p1/2 and Ca2p3/2 doublets at 350.6 eV and 347.1 eV, respectively, which is in good agreement with the values reported in the literature [56,57,58,107,108,109,110,111,112,113]. The minor peaks at around 355.1 and 358.8 eV correspond to satellite loss [107], which holds insignificant roles in spectra analysis and therefore will be excluded in the following analysis. In the C1s spectrum, the peak at 284.8 eV is attributed to hydrocarbons, whereas the peak at 289.6 eV is attributed to CO32− in calcite [56,107,109,110,113,114]. The minor peak at 286.8 eV might be attributed to carbon oxides [109,114]. For the O1s spectrum, the peak at 531.5 eV is attributed to C―O present in calcite [57,107,108,111,112,113], whereas the peak at 533.6 eV might be assigned to Ca―O [111].
As shown in Table 2, after conditioning with SS, the Si content increased significantly from 0.1% to 6.8%, suggesting the adsorption of SS species. This is supported by the presence of Si2p peaks at 103.5 and 105.6 eV after treatment (as shown in Figure 14). In addition, the intense O1s peak at 533.8 eV might be attributed to adsorbed SS species. This is in agreement with zeta potential measurements (Figure 5b), which showed a shift to a more negative value with SS at pH 7. It should be mentioned that a Si2p peak at 103 eV was observed on the blank calcite (as shown in Figure 14), which might be attributed to silicate impurities present in the model calcite sample. For the adsorption mechanism, the BE of Ca2p peaks did not shift significantly after SS treatment, suggesting its chemical environments did not change. It is plausible that SS adsorbs on calcite following a weak interaction mechanism similar to dolomite, where Si(OH)4 interacts with calcite by hydrogen bonding with O atoms [43]. Electrostatic interaction is also possible between SS and the oppositely charged mineral surface [86]. This is contradictory to [111,115] who proposed a chemisorption mechanism. The adsorbed SS inhibits the adsorption of NaOL, resulting in declined recovery (as observed in Figure 2b), which is in agreement with [104]. This depression was less effective when using DDA (as shown in Figure 3b), possibly because the negative calcite surface after SS treatment could naturally attract cationic amine species.
After conditioning with OA, as shown in Table 2, the surface composition of calcite changed slightly such that its C content increased from 27.2% to 30.4%, whereas the Ca content decreased from 14.7% to 12.4%, which might suggest the adsorption of OA on calcite. In the high-resolution spectra, Ca2p peaks did not shift significantly, suggesting its chemical environment did not change after OA treatment. In contrast, the C1s peak corresponding to CO32− observed a significant shift from 289.6 to 289 eV, and correspondingly, the O1s peak corresponding to CO32- at 531.5 eV shifted to 531.7 eV after OA treatment. This suggests that OA interacted with CO32- on the calcite surface. This is contradictory to previous works that suggested that OA interacted with Ca sites [41,113]. However, this might explain the limited depression achieved when OA was applied during microflotation using NaOL (Figure 2b): Ca, possibly the adsorption sites for NaOL [56,86], remained unaffected by OA, and therefore the adsorption of NaOL was not affected. However, this could not explain the limited depression effect when DDA was used as collector (Figure 3b), since it was proposed that DDA adsorbs on calcite through electrostatic attraction and hydrogen bonding between RNH3+ and CO32− [59].
As shown in Table 2, after conditioning with F100, the C content on calcite increased slightly from 27.2% to 30.7%, whereas the contents of O and Ca decreased slightly, possibly due to adsorption of the depressant. In the high-resolution XPS spectra (Figure 13), Ca2p peaks shifted from 347.1 to 346.9 eV and from 350.6 to 350.4 eV, suggesting the chemical environment of Ca changed after F100 treatment. Similar interactions between Ca and lignosulphonate have been observed in other published research [87]. In addition, the C1s peak corresponding to CO32− shifted from 289.6 eV to 289.4 eV, suggesting CO32− sites were also involved in the adsorption of F100. This suggests the adsorption of F100 is likely chemisorption, which explains the reduced recovery in calcite flotation when F100 was added as depressant (as shown in Figure 2b and Figure 3b).
After conditioning with starch, no significant changes in the atomic concentrations could be observed (as shown in Table 2). In the higher-resolution spectra, the major peaks of Ca2p observed shifts of 0.2 eV after conditioning with starch, which was also observed in [88,112,116]. Similar shifts could also be observed in C1s and O1s peaks corresponding to CO32− (at 289.6 and 531.5 eV, respectively), suggesting starch interacted with both Ca and CO32− sites. This suggests the adsorption of starch on calcite and could explain the decreased calcite recovery when starch was added as depressant (as shown in Figure 2b and Figure 3b). It should be highlighted that different interaction mechanisms between starch and calcite have been reported: interacting with Ca and O by forming Ca―O and hydrogen bonds [116,117], chemisorbing on Ca [88,112,118], (dextrin) chemisorbing on ―OH and Ca [110], as well as interacting with O [88].
As shown in Table 2, the atomic composition of the calcite surface observed small changes after conditioning with CMC: C content increased slightly from 27.2% to 29.1%, and the contents of both Ca and O decreased slightly. In the high-resolution XPS spectra, Ca2p peaks shifted from 347.1 to 346.7 eV and from 350.6 to 350.2 eV, respectively, suggesting the chemical environment of Ca has been altered after CMC treatment. Similar shifts in Ca2p peaks have also been observed in other work [57]. In addition, the C1s and O1s peaks corresponding to CO32− shifted significantly from 289.6 eV to 289.3 eV and from 531.5 eV to 531.1 eV, respectively. This suggests that CMC interacted with both Ca and CO32− sites, likely through a chemisorption mechanism. This is in agreement with the conclusion drawn from zeta potential measurements (Figure 5b) and explains the reduced calcite recovery when CMC was added as depressant, as seen in Figure 2b and Figure 3b.
After conditioning with chitosan, as shown in Table 2, the N content on calcite increased from non-detectable to 1.2%. This could be supported by the appearance of the N1s peak at 399.7 eV after conditioning (as shown in Figure 15), which might be attributed to ―N=CH― [119], N―C=O [106], or ―NH2 groups [84,106,120] from chitosan. As shown in Figure 13, Ca2p peaks shifted slightly from 347.1 to 346.9 eV and from 350.6 to 350.4 eV. Meanwhile, only small shifts (0.1 eV) were observed on C1s and O1s peaks, which are close to the detection limit of the instrument. These shifts in the BE suggest Ca might be the adsorption site for chitosan, which is in agreement with previous work [120]. The adsorption of chitosan could explain the reduced calcite recovery when DDA was used as collector (Figure 3b) but could not explain the unaffected recovery when NaOL was used as collector (Figure 2b). One possible explanation is that the calcite surface became positively charged after the addition of chitosan (as shown in Figure 5b), which might naturally attract anionic oleate groups.

3.3.3. Hematite with Depressants

The atomic composition of hematite conditioned with different depressants is compared with the blank (hematite conditioned in water at the same pH) in Table 3. The survey and high-resolution spectra of key elements are compared in Figure 16.
As seen in Figure 16 for hematite, the C1s peaks at 284.8, 286.5, and 289 eV were observed, which could be attributed to C―C, C―O, and C=O, respectively, from surface contamination [72,73,121]. O1s peaks at 529.9, 531.7, and 535.5 eV might be assigned to Fe―O (in Fe2O3) [73,92,121], O―H (in FeO―OH) [73,92,121], and Si―O (as quartz impurity) [122], respectively. On blank hematite, major Fe2p peaks were located at 711.2 and 724.3 eV, corresponding to Fe2p3/2 and Fe2p1/2, respectively [93,123]; peaks at 718.6 and 732 eV are assigned to their satellite signals [93,121]. It could be observed that these peaks are broad with a different shape compared to other elements (e.g., C1s and O1s in Figure 16), likely due to their being composed of several individual peaks that correspond to different chemical states of Fe. How to analyze and compare these broad peaks appears to be debatable in the literature: they have been compared as is (without deconvoluting) [90,123,124] or deconvoluted into two [90], three [92,93,121,125,126], or more [127,128] sub-multiplets corresponding to different chemical states of Fe. Some studies only focus on one of the doublets (i.e., Fe2p3/2) [92,125,126,128] in their analyses, possibly due to simplicity. During XPS data analysis in this work, attempts have been made at deconvoluting the broad Fe2p3/2 and Fe2p1/2 peaks into three sub-multiplets according to the reported BE in [92,93,121,125,126]: the broad peak at 711.2 eV could be deconvoluted into 710.2, 711.3, and 713.8 eV, whereas the broad peak at 724.3 eV could be deconvoluted into 723.2, 724.9, and 727.3 eV. Peaks at 710.2 and 723.2 eV could be assigned to Fe2+; the remaining are assigned to Fe3+ [92,93,121,125,126]; among them, peaks at 713.8 and 727.3 eV could be assigned to FeO―OH as a result of hydrolyzation of Fe3+ [93,121]. Nevertheless, it was later noticed that the Fe2p doublets in other samples could be fit by peaks with similar binding energies; adjusting their heights and broadness was sufficient to fit the doublets well. This might give misleading information on the BE and, consequently, the change in chemical environment of Fe. Due to this reason, for the rest of the work, the broad Fe2p doublets will be compared as is without deconvoluting.
As shown in Table 3, after conditioning with SS, the Si content on hematite increased slightly from 8.3% to 9.1%; meanwhile, Si2p peaks appeared at 103.6 and 107 eV after treatment (as shown in Figure 17). This might indicate the adsorption of SS species on hematite; this is in agreement with zeta potential measurements (Figure 5c), which showed a shift to more negative values in the presence of SS at pH 7. In addition, the O1s peak corresponding to Si―O at 532.7 eV [122] significantly intensified after SS treatment, suggesting the presence of SS species on hematite. It should be emphasized that Si2p peaks at 102.5 and 99.6 eV on hematite before SS treatment (as shown in Figure 17) should be attributed to silicate impurities in the hematite sample, which has been confirmed previously by XRD and XRF analyses (as shown in Figure A1c and Table A2, respectively). The adsorption mechanism of SS on hematite is likely chemisorption through interactions with Fe sites. As shown in Figure 16, the binding energies of Fe2p doublets shifted from 711.2 to 712.2 eV and from 724.3 to 725 eV after SS treatment, suggesting its chemical environment changed during the treatment. This is in agreement with the conclusion from zeta potential measurement, and might explain the insufficient depression when DDA was used as collector: after SS treatment, the hematite surface was negatively charged, which could naturally attract cationic DDA collector. However, this could not explain the high recovery of hematite achieved when NaOL was used as collector. The interaction between adsorbed reagents and the hematite surface remains to be further investigated.
After OA treatment, as shown in Table 3, the surface C content of hematite increased slightly from 11.3% to 12.9%, which might imply the adsorption of OA. In the high resolution C1s spectrum (Figure 16), the C1s peak at 288.2 eV after conditioning with OA might be attributed to C―O [129]; correspondingly, the O1s peak of the same bond could be observed at 532.8 eV [129], suggesting OA adsorbed on hematite. This could be supported by the negative shift in zeta potential of hematite with the presence of OA (as shown in Figure 5c). The adsorption mechanism of OA on hematite is likely chemisorption, as the BE of Fe2p peaks shifted significantly after OA treatment: peaks at 711.2 and 724.3 eV shifted to 712.8 and 726.2 eV, respectively, suggesting the chemical environment of Fe changed substantially. This might be attributed to the interaction between ―COOH (from OA) and Fe―OH, which could be supported by the shift in the Fe―OH peak at 531.7 eV [73,92,121] to 531.2 eV after OA treatment. Correspondingly, the O1s peak at 531.7 eV (from Fe―OH [129]) shifted to 531.2 eV, suggesting the ―OH group was involved in OA adsorption. However, this does not explain why the recovery remained nearly unaffected in the presence of OA (as shown in Figure 2c and Figure 3c). The interactions between OA, the collectors, and the hematite surface should be further investigated.
As shown in Table 3, the surface composition of hematite only changed slightly after conditioning with F100. In addition, no significant shifts in the major peaks in Fe2p, C1s, and O1s spectra were observed, suggesting the presence of F100 did not change the chemical environment of these elements. This could explain the limited depression observed on hematite when F100 was added during microflotation (as shown in Figure 2c and Figure 3c). Previous work proposed physisorption as the interaction mechanism between F100 and hematite [90]; this could not explain the negative shift in the zeta potential of hematite in the presence of F100 (as shown in Figure 5c), since negatively charged hematite would naturally repel anionic lignosulphonate groups and inhibit physisorption. One possible reason for the shift in zeta potential might be the presence of F100 depressed electrical double layer of hematite particles, shifting its zeta potential to more negative values. The interaction mechanism between F100 and hematite therefore remains to be further investigated.
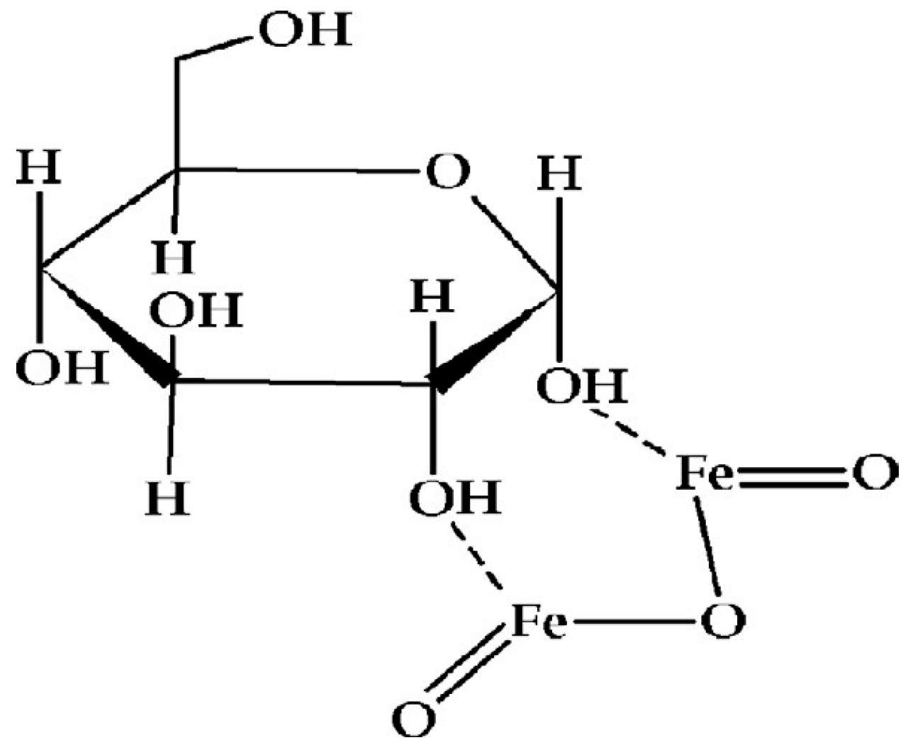
As shown in Table 3, after conditioning with starch, the surface C content on hematite increased significantly from 11.3% to 16.2%, whereas the contents of other elements reduced correspondingly, suggesting the adsorption of starch on hematite. This could explain the reduced recoveries of hematite (as shown in Figure 2c and Figure 3c). The presence of starch could be further supported by the changes in C1s and O1s spectra: after starch treatment, C1s peaks at 288 and 289.5 eV appeared, which might be attributed to C―O/COO- and COOH, respectively, in starch [121,129]. In the O1s spectrum, the new peak at 532.7 eV (corresponding to C―O from starch [93,121,129]) suggests starch adsorbed on hematite. The adsorption mechanism of starch is likely through interactions with the ―OH groups on the hematite surface: it could be observed that the O1s peak at 531.7 eV (corresponding to Fe―OH [129]) shifted to 531.1 eV, suggesting the hydroxyl group was involved in starch adsorption. A similar mechanism (as shown in Figure 18) was also proposed by [94], who also suggested that the selectivity of the oxygen atoms was related to the polarity and its solubility in water [94]. In addition to the ―OH groups, Fe might also participate directly in starch adsorption since Fe2p peaks shifted from 711.2 and 724.3 eV to 711.4 and 725.1 eV, respectively. However, its role should be further confirmed since the magnitudes of shift for the doublets are very different. Other studies [92,125] have confirmed the role of Fe in starch adsorption, possibly through the formation of a stable five-atom ring with the C―O groups from starch [92].
As shown in Table 3, the surface C content of hematite increased slightly from 11.3% to 13.3% after CMC treatment, possibly due to the adsorption of CMC. This is supported by the appearance of a new O1s peak at 533.2 eV, which could be attributed to C―OH and C―O―C from CMC [121]. Meanwhile, the peak corresponding to ―OH at 531.6 eV intensified, likely due to the increased ―OH population on hematite as a result of CMC adsorption. The adsorption mechanism of CMC on hematite is likely chemisorption. As shown in the Fe2p spectrum in Figure 16, the doublets shifted from 711.2 and 724.3 eV to 712.3 and 725.5 eV, respectively, after CMC treatment, suggesting the chemical environment of Fe has been significantly changed. A similar mechanism was proposed by other researchers as follows: chemical bonds formed between Fe3+ and ―COO- from CMC [95]. As a result, a hydration repulsive force was produced due to the hydrophilic groups (―OH and ―COO-), allowing hematite depression [95]. However, this is contradictory to flotation results (Figure 2c and Figure 3c) that CMC showed limited depression effect to the hematite when either NaOL or DDA was used as collector.
As shown in Table 3, the surface C content on hematite observed a remarkable increase from 11.3% to 20.5% after conditioning with chitosan; meanwhile, its N content increased from non-detectable to 3.0%, suggesting the adsorption of chitosan. This could be supported by the presence of N1s peaks at 399.6 and 401.7 eV (Figure 19), which might be attributed to ―NH2 [106,130] and ―NH3+ [130], respectively. In addition, the C1s peak corresponding to C―O at 286.4 eV became dominant after treatment, and correspondingly, the O1s peak corresponding to C―O at 532.5 eV [93,121,129] intensified, confirming the adsorption of chitosan. The adsorption mechanism of chitosan on hematite is likely chemisorption. As shown in Figure 16, the Fe2p peaks shifted from 711.2 and 724.3 eV to 710.7 and 723.9 eV, respectively, suggesting the chemical environment of Fe changed during conditioning with chitosan. In addition, the O1s peak at 531.7 eV corresponding to ―OH shifted to 531.1 eV, suggesting the hydroxyl groups were involved in chitosan adsorption. A similar chemisorption mechanism between ―COOH (and ―NH―) and Fe3+ was also proposed by [126], who also suggested that this interaction was stronger than hydrogen bonding between ―OH groups from starch and the hydroxylated hematite surface; therefore, chitosan was a stronger hematite depressant than starch [126]. This explains the strong depression effect of chitosan on hematite, as observed during microflotation (Figure 2c and Figure 3c).

3.3.4. Pyrochlore with Depressants

The atomic composition of pyrochlore conditioned with different depressants is compared with blank (pyrochlore conditioned in water at the same pH) in Table 4. The survey and high-resolution spectra of key elements are compared in Figure 20.
On blank pyrochlore, Nb3d5/2 and Nb3d3/2 peaks were observed at 206.9 and 209.6 eV, respectively, which are in close agreement with previous studies [41,42,75,76,131]. Ca2p peaks are observed at 347 and 350.7 eV, which are in good agreement with [42,75,76]. The minor Ca2p peak at 343.9 eV was also observed in [42,75,76,131] but was not discussed by the authors. In addition to Nb and Ca, Fe signals could be detected and were included for comparison. As shown in Figure 20, Fe2p doublets were identified at 711 and 723.5 eV; compared to Nb and Ca, the signals for Fe are noisier, possibly due to its low concentration in pyrochlore (as seen in Table A2). On the blank pyrochlore, C1s peaks at 284.8 and 286.5 eV could be assigned to C―C and C―O, respectively, possibly from surface contamination [132]; the peak at 289 eV might be attributed to CO32− from carbonate impurity such as dolomite [49,98,101,103] and calcite [56,107,109,110,113,114]. O1s peaks at 530 and 531.8 eV might be attributed to Nb―O [132] and C―O (possibly from calcite [57,107,108,111,112,113] and dolomite [99]), respectively.
After conditioning with SS, as shown in Table 4, the Si content on pyrochlore increased from 2.3% to 5.3%. This might suggest the adsorption of SS and could be supported by the presence of Si2p peaks at 102.4 and 104.1 eV after SS treatment (Figure 21). It should be noted that a peak at 102 eV was observed on blank pyrochlore before SS treatment, which might be due to silicate impurities present in the pyrochlore sample. The adsorption mechanism of SS on pyrochlore appears to be chemisorption on Ca sites. From Figure 20, the Ca2p peak at 347 eV shifted to 347.3 eV, suggesting it interacted with SS, which was also observed in [111,115]. In comparison, the Nb3d peaks did not shift significantly after SS treatment, suggesting it was not involved during SS adsorption. Shifts in BE were also observed on Fe2p peaks; however, its role in SS adsorption should be further confirmed due to its noisier signals and broad feature. The adsorbed SS could inhibit the adsorption of NaOL, resulting in declined recovery in microflotation (as observed in Figure 2d). However, similar depression was not observed when DDA was used as collector, possibly due to the fact that the negatively charged pyrochlore surface after SS treatment could still attract cationic collector DDA through electrostatic interaction.
As shown in Table 4, after conditioning with OA, the C content on pyrochlore increased from 13.1% to 20.3%, whereas the contents of other elements decreased slightly, suggesting the adsorption of OA. This might be supported by the intensive O1s peak at 532.2 eV in Figure 20, which could be attributed to C―O bonding from OA [129]. However, this is not in agreement with zeta potential results, where the zeta potential of pyrochlore remained almost unchanged in the presence of OA (as shown in Figure 5). The XPS result is also not supported by microflotation results that OA showed almost no depression to pyrochlore (Figure 2d and Figure 3d). The adsorption mechanism of OA on pyrochlore might be through chemical interaction with Ca and Fe sites. As shown in Figure 20, a shift of 0.3 eV was observed on one of the Ca2p doublets at 350.7 eV, suggesting it might be involved in OA adsorption. However, the other peak at 347 eV did not shift by a significant amount; therefore, the role of Ca sites in OA adsorption remains to be further investigated. Fe might be involved in adsorption since its peaks shifted significantly from 711 and 723.5 eV to 712.5 and 725 eV, respectively; however, due to its noisy signals and broad peaks, its role in the adsorption remains to be confirmed. In comparison, the Nb3d peaks did not shift by significant amounts.
As shown in Table 4, after conditioning with F100, the C content of pyrochlore increased slightly from 13.1% to 18.2%, which implies the adsorption of F100 and could be supported by zeta potential measurements (as shown in Figure 5d). As shown in Figure 20, the Ca2p3/2 peak at 347 eV shifted slightly to 347.2 eV after F100 treatment, whereas the Fe2p1/2 peak at 723.5 shifted to 723.8 eV. In comparison, the BE of Nb3d peaks did not shift. The changes in the binding energies suggest F100 might interact with the Ca and Fe sites on pyrochlore. However, it should be highlighted that due to the relatively small shifts in the binding energies and only one of the doublets shifted after treatment, the adsorption of F100 on pyrochlore and its mechanism remain to be further confirmed. The possible adsorption might explain the reduced pyrochlore recovery when using NaOL as collector (as observed in Figure 2d). Nevertheless, its depression effect when using DDA was limited, possibly because the negatively charged mineral surface could still attract cationic DDA collectors through electrostatic forces.
After conditioning with starch, as shown in Table 4, the C content of pyrochlore increased slightly from 13.1% to 16.8%, and the contents of other key elements observed slight decreases, suggesting starch might adsorb onto the pyrochlore surface. This is supported by the intensified C1s peak at 286.5 eV, which is attributed to C―O bond in starch [129,132]. Correspondingly, the O1s peak at 531.9 eV from the same bonding also intensified, suggesting the adsorption of starch on pyrochlore. The adsorption of starch might explain the decrease in pyrochlore recovery observed in microflotation (as observed in Figure 2d and Figure 3d). Compared to Nb and Ca, it appears that Fe interacted more intensively with starch as its peaks shifted from 723.5 and 711 eV to 723.8 and 710.4 eV, respectively, whereas the peaks in Nb3d and Ca2p spectra only shifted by a magnitude of 0.1 eV, close to the detection limit of the instrument. However, due to the broad feature and noisy signals associated with Fe2p peaks, its role in starch adsorption should be further confirmed by other techniques.
As shown in Table 4, the C content of pyrochlore increased slightly from 13.1% to 17.7% after conditioning with CMC, while the contents of other key elements decreased slightly, suggesting CMC might adsorb onto the pyrochlore surface. This could be supported by the appearance of a new O1s peak at 533.2 eV, which might be attributed to ―OH and C―O―C from CMC [121]. Similarly to the case of starch, significant shifts in the BE were observed only on Fe2p: its peaks shifted from 723.5 and 711 eV to 724.1 and 710.9 eV, respectively, after CMC treatment. In comparison, shifts observed in Nb3d and Ca2p spectra were only 0.1 eV, suggesting their chemical environments did not change significantly after CMC treatment. This might explain the reduced recovery (as observed in Figure 2d) when NaOL was used as collector. However, when DDA was applied (Figure 3d), high pyrochlore recovery could still be observed, possibly due to the adsorption of cationic collectors on the negatively charged mineral surface through electrostatic interactions.
After conditioning with chitosan, as shown in Table 4, the C content of pyrochlore increased significantly from 13.1% to 21.6%, and the N content increased from non-detectable to 4.45%, suggesting the presence of chitosan on the pyrochlore surface. This could be supported by the presence of N1s peaks (as shown in Figure 22) at 399.7 eV, which can be attributed to ―N=CH― [119], N―C=O, or NH2 [106] from chitosan. In addition, the C1s peak at 286.5 eV, corresponding to C―O in chitosan, became dominant after treatment; correspondingly, the O1s peak corresponding to the same bonding at 532.8 eV [93,121,129] intensified, further confirming the adsorption of chitosan. The adsorption of chitosan could explain the reduced flotation recovery (Figure 2d and Figure 3d). It appears that the depression effect was stronger when DDA was used as collector (shown as a lower dosage of chitosan was required to achieve complete depression). This might be explained by the positively charged pyrochlore after chitosan treatment (shown in Figure 5d) repelling cationic DDA. It appears that chitosan adsorbs on pyrochlore by interacting with Fe, possibly also Ca sites. From Figure 20, it could be observed that Fe2p peaks at 723.5 and 711 eV shifted to 723.7 and 710.3 eV, respectively, suggesting its chemical environment changed during chitosan treatment. In the Ca2p spectrum, the Ca2p3/2 peak at 347 eV shifted by 0.2 eV after conditioning with chitosan, suggesting it might also participate in the adsorption. In comparison, the Nb3d peaks remained unchanged after conditioning with chitosan, suggesting its chemical environment did not change.

4. Discussion

In the present work, different depressants, including SS, OA, F100, starch, CMC, and chitosan, are compared in the flotation of pyrochlore, dolomite, calcite, and hematite. Their performance was evaluated at pH 7 in the presence of NaOL and DDA as collectors. Microflotation tests were conducted on model minerals; zeta potential and XPS techniques were employed to understand the reagent-mineral interaction. Key findings are highlighted as follows:
  • When either NaOL or DDA was used as collector, the recoveries of the model minerals followed a similar trend and reached relatively high recoveries (between 70 and 80%) with 2 kg/t of collector; as the collector’s dosage further increased to 5 kg/t, their recoveries did not increase significantly. This suggests these collectors are strong with poor selectivity. In order to achieve separation between pyrochlore and the gangue minerals using these collectors, depressants are required.
  • The performance of tested depressants appears to be related to the collector applied. This difference in performance was justified by the surface charge of minerals after depressant adsorption and the charge of the collector. For example, the depression effect of chitosan was more severe when DDA was applied as collector, possibly because the positively charged mineral surfaces after chitosan adsorption would naturally repel cationic amine collectors.
  • Among the tested conditions, 5 kg/t F100 + 2 kg/t DDA and 5 kg/t CMC + 2 kg/t DDA showed potential selectivity in that pyrochlore and hematite were nearly unaffected, whereas dolomite and calcite were significantly depressed. Future work will focus on investigating these potential selective conditions and exploring other selective reagent schemes. It is recommended to test the potential selective reagent conditions on a synthetic mixture of the minerals to confirm their selectivity.
  • Surface chemistry study suggests SS interacts with dolomite and calcite through weak interaction mechanisms (e.g., hydrogen bonding and electrostatic interaction); it interacts with hematite and pyrochlore through chemisorption by interacting with Fe (on hematite) and Ca (on pyrochlore) sites. OA seems to not adsorb on dolomite; it might adsorb on other minerals through interacting with CO32− (for calcite), Fe and OH groups (for hematite), and Ca and Fe (on pyrochlore). For F100, it might interact with Mg on dolomite, Ca and CO32− sites on calcite, Ca and Fe sites on pyrochlore, but it did not interact with hematite. For starch, it might interact with Ca sites on dolomite, Ca and CO32− sites on calcite, Fe and OH groups on hematite, and Fe on pyrochlore. For CMC, it adsorbs onto dolomite, possibly through physisorption; it likely interacts through chemisorption at Ca and CO32− sites on calcite, Fe and OH groups on hematite, Fe on pyrochlore. For chitosan, it adsorbs on dolomite likely through interacting with Mg sites, Ca sites on calcite, Fe and OH groups on hematite, Fe and Ca sites on pyrochlore.
  • It should be highlighted that the applied techniques have their limitations: zeta potential is less useful when the added reagents carry similar charges as the mineral surfaces; it also gives limited information on the adsorption mechanisms. For XPS, it is sensitive to surface contamination; for some elements (e.g., Fe), how to deconvolute their peaks appears to be arguable; therefore, their roles in reagent adsorption remain to be further investigated. To achieve better understanding of the reagent adsorption mechanisms, other techniques such as FTIR, ToF-SIMS, Raman spectroscopy, AFM, and DFT simulation might be useful in future investigation.
  • It is also recommended to investigate the performance and interaction mechanism of the depressants and minerals at other pH values. By doing so, the knowledge on the application of depressants for Nb mineral flotation could be further expanded.

5. Conclusions

The current production of Nb is dominated by beneficiating pyrochlore-containing ore using flotation. During flotation stages, depressants are added to improve selectivity, which highlights their importance to Nb mineral flotation. However, it appears that compared to collectors, the knowledge on depressants is limited in the context of Nb mineral flotation. Due to this reason, this work compared different depressants, including SS, OA, F100, starch, CMC, and chitosan, in the flotation of pyrochlore and its common gangue minerals, where NaOL and DDA were used as collectors. It was observed that the performance of depressants was related to the collector applied. For example, a relatively high dosage (2–5 kg/t) of chitosan was required to completely depress dolomite, hematite, and pyrochlore when NaOL was used as collector, whereas calcite was not depressed; in comparison, when DDA was used, the dosage of chitosan required to achieve complete depression was much lower (0.1–1 kg/t). This was justified by the surface charge of model minerals after depressant adsorption repels collector species.
The reagent-mineral interaction was investigated by zeta potential measurement and XPS techniques. Shifts in zeta potential after reagent addition might suggest adsorption, which was further confirmed by the change in surface composition using XPS. In addition, shifts in the BE of elements give insights into the adsorption mechanism, as detailed during the Results and Discussion sections. It should be highlighted that due to the limitation of techniques, other surface chemistry techniques might be helpful to further investigate the interaction between reagents and minerals.

Author Contributions

Conceptualization, R.L. and K.E.W.; methodology, R.L. and K.E.W.; software, R.L.; validation, R.L.; formal analysis, R.L.; investigation, R.L.; resources, K.E.W.; data curation, R.L.; writing—original draft preparation, R.L.; writing—review and editing, R.L. and K.E.W.; visualization, R.L.; supervision, K.E.W.; project administration, K.E.W.; funding acquisition, K.E.W. All authors have read and agreed to the published version of the manuscript.

Funding

This research was funded by McGill Engineering Doctorial Award (MEDA), and the Gerlad G Hatch Faculty Fellowship.

Data Availability Statement

The original contributions presented in this study are included in the article. Further inquiries can be directed to the corresponding author.

Acknowledgments

Lihong Shang and Shiva Mohammadi-Jam from the department of Mining and Materials Engineering at McGill University are acknowledged for their guidance and assistance in XPS data acquisition and analysis.

Conflicts of Interest

The authors declare no conflicts of interest.

Abbreviations

The following abbreviations are used in this manuscript:
AFMAtomic force microscopy
BEBinding energy
BSEBackscattered electron
C.I.Confidence intervals
CMCCarboxymethyl cellulose
DDADodecylamine
DFTDensity functional theory
EDSEnergy dispersive spectrometer
FTIRFourier transform infrared spectroscopy
NaOLSodium oleate
OAOxalic acid
PSAParticle size analysis
SEMScanning electron microscopy
SSSodium silicate
ToF-SIMSTime-of-Flight Secondary Ion Mass Spectrometry
WHIMSWet high intensity magnetic separator
XPSX-ray photoelectron spectroscopy
XRDX-ray diffraction
XRFX-ray fluorescence

Appendix A

Figure A1. XRD spectra of (a) dolomite, (b) calcite, (c) hematite, and (d) pyrochlore model minerals.
Figure A1. XRD spectra of (a) dolomite, (b) calcite, (c) hematite, and (d) pyrochlore model minerals.
Minerals 15 01132 g0a1
Figure A2. SEM images of the dolomite model mineral.
Figure A2. SEM images of the dolomite model mineral.
Minerals 15 01132 g0a2
Figure A3. SEM images of the calcite model mineral.
Figure A3. SEM images of the calcite model mineral.
Minerals 15 01132 g0a3
Figure A4. SEM images of the hematite model mineral.
Figure A4. SEM images of the hematite model mineral.
Minerals 15 01132 g0a4
Figure A5. SEM images of the pyrochlore model mineral.
Figure A5. SEM images of the pyrochlore model mineral.
Minerals 15 01132 g0a5
Table A1. Particle size and BET surface area of the model minerals.
Table A1. Particle size and BET surface area of the model minerals.
MineralSize Range (µm)D50 (µm)D80 (µm)D90 (µm)BET Surface Area (m2/g)
Dolomite−106 + 38108.4152.0199.20.14
−104.210.014.65.18
Calcite−106 + 38102.7131.6146.90.10
−103.27.09.93.68
Hematite−106 + 3884.1111.6127.20.18
−104.68.812.22.69
Pyrochlore−106 + 3886.2109.5123.01.25
−106.211.815.63.10
Table A2. XRF analysis result of the model minerals.
Table A2. XRF analysis result of the model minerals.
MineralCategoryCaO (%)MgO (%)Fe2O3 (%)SiO2 (%)Nb2O5 (%)LOI (%)
DolomiteModel31.5819.280.370.43-46.31
Theoretical30.4121.86---47.73
CalciteModel54.990.170.010.09-43.23
Theoretical56.03----43.97
HematiteModel0.240.0198.211.84-0.41
Theoretical--100--0
PyrochloreModel13.40.124.490.9358.872.18
TheoreticalVaries-Varies-65 *0
* composition might vary between samples from different origins; value adapted from [28].
Table A3. Summary of reagents applied in this work.
Table A3. Summary of reagents applied in this work.
CategoryReagentsAssay *Manufacturer
CollectorDodecylamine98%Aldrich
Sodium oleate≥82%Sigma-Aldrich
SolventAcetic acid99.7%Fisher Scientific
DepressantSodium silicate40%Fisher Scientific
Oxalic acid dihydrate100.2%Fisher Scientific
Carboxymethyl cellulose **N/ASigma
F100N/APionera
StarchN/AFisher Scientific
Chitosan10%Tidal Vision Products Inc.
pH modifierHydrochloric acid37%Spectrum Chemical Mfg. Corp.
Sodium hydroxide99.2%Fisher Scientific
Zeta potential background electrolytePotassium chlorideN/AFisher Scientific
* as indicated on the original packaging. In case the assay was not provided (indicated as N/A in the above table), 100% purity was assumed when use. ** high viscosity sodium salt, molecular weight unknown; on the packaging, it was provided that the viscosity of 1% aqueous solution at 25 °C equals 1500–3000 cps.
Table A4. Reagent dosage for zeta potential measurements.
Table A4. Reagent dosage for zeta potential measurements.
ReagentMineralReagent Dosage
kg/tg/m2mmol/Lmmol/m2
DDADolomite1000.0190.2160.104
Calcite0.0270.2160.147
Hematite0.0370.2160.201
Pyrochlore0.0320.2160.174
NaOLDolomite0.0190.1310.063
Calcite0.0270.1310.089
Hematite0.0370.1310.122
Pyrochlore0.0320.1310.106
SSDolomite0.0190.3280.158
Calcite0.0270.3280.223
Hematite0.0370.3280.305
Pyrochlore0.0320.3280.265
OADolomite0.0190.4440.215
Calcite0.0270.4440.302
Hematite0.0370.4440.413
Pyrochlore0.0320.4440.359
F100Dolomite0.019N/A *N/A *
Calcite0.027
Hematite0.037
Pyrochlore0.032
StarchDolomite0.019N/A *N/A *
Calcite0.027
Hematite0.037
Pyrochlore0.032
CMCDolomite0.019N/A *N/A *
Calcite0.027
Hematite0.037
Pyrochlore0.032
ChitosanDolomite0.019N/A *N/A *
Calcite0.027
Hematite0.037
Pyrochlore0.032
KClDolomite186.3780.03610.483
Calcite186.3780.05110.680
Hematite186.3780.06910.930
Pyrochlore186.3780.06010.808
* Unable to compute due to their unknown molar weights.

References

  1. Gupta, C.K.; Suri, A.K. Extractive Metallurgy of Niobium, 1st ed.; CRC Press: Boca Raton, FL, USA, 1994. [Google Scholar]
  2. Schulz, K.J.; Piatak, N.M.; Papp, J.F. Niobium and Tantalum. In Critical Mineral Resources of the United States—Economic and Environmental Geology and Prospects for Future Supply; Schulz, K.J., DeYoung, J.H., Seal, R.R.I., Jr., Bradley, D.C., Eds.; USGS: Reston, VA, USA, 2017; pp. M1–M34. [Google Scholar]
  3. Carbonneau, C.; Caron, J.C. The production of pyrochlore concentrates at St. Lawrence Columbium and Metals Corp. CIM Bull. 1965, 58, 281–289. [Google Scholar]
  4. U.S. Geological Survey. Mineral Commodity Summaries 2025; U.S. Geological Survey: Reston, VA, USA, 2025; pp. 126–127.
  5. Cunningham, L.D. Columbium. In Mineral Facts and Problems: 1985 Edition; U.S. Department of the Interior: Washington, DC, USA, 1985; pp. 185–196. [Google Scholar]
  6. Padmanabhan, N.P.H.; Sreenivas, T.; Rao, N.K. Processing of Ores of Titanium, Zirconium, Hafnium, Niobium, Tantalum, Molybdenum, Rhenium, and Tungsten: International Trends and the Indian Scene. High Temp. Mater. Process. 1990, 9, 217–248. [Google Scholar] [CrossRef]
  7. Cunningham, L.D. Columbium (Niobium) Recycling in the United States in 1998. In Flow Studies for Recycling Metal Commodities in the United States; Sibley, S.F., Ed.; U.S. Geological Survey: Reston, VA, USA; pp. I1–I9.
  8. Omar, T.; Veiga, M.M. Is niobium critical for Canada? Extr. Ind. Soc. 2021, 8, 100898. [Google Scholar] [CrossRef]
  9. Schulz, K.J.; DeYoung, J.H.J.; Bradley, D.C.; Seal, R.R.I. Critical Mineral Resources of the United States—An Introduction. In Critical Mineral Resources of the United States—Economic and Environmental Geology and Prospects for Future Supply; Schulz, K.J., DeYoung, J.H.J., Seal, R.R.I., Bradley, D.C., Eds.; U.S. Geological Survey: Reston, VA, USA, 2017; pp. A1–A14. [Google Scholar]
  10. Biss, R. Concentration of niobium bearing minerals. In Proceedings of the 16th Annual Canadian Mineral Processing Meeting, Ottawa, ON, Canada, 17–19 January 1984. [Google Scholar]
  11. Gibson, C.E.; Kelebek, S.; Aghamirian, M. Niobium oxide mineral flotation: A review of relevant literature and the current state of industrial operations. Int. J. Miner. Process. 2015, 137, 82–97. [Google Scholar] [CrossRef]
  12. Stuart, H.; de Souza Paraiso, O.; de Fuccio, R. Ferrocolumbium production at CBMM, Brazil. I&SM 1980, May, 11–18. [Google Scholar]
  13. Araxa Niobium Mine. Min. Mag. 1982, 146, 134–147.
  14. de Souza Paraiso Fo, O.; de Fuccio, R., Jr.; Betz, E.W. Mining, ore preparation and niobium-based materials production at Araxá, Brazil. High Temp. Mater. Process. 1993, 11, 119–137. [Google Scholar] [CrossRef]
  15. Issa Filho, A.; Riffel, B.F.; Sousa, C.A.d.F. Some Aspects of the Mineralogy of CBMM Niobium Deposit and Mining and Pyrochlore Ore Processing-Araxa, MG-Brazil; International Symposium Niobium 2001: Orlando, FL, USA, 2001; pp. 53–65. [Google Scholar]
  16. Dufresne, C.; Goyette, G. The Production of Ferroniobium at the Niobec Mine; International Symposium on Niobium 2001: Orlando, FL, USA, 2001. [Google Scholar]
  17. Scales, M. Niobec—One-of-a-kind mine. Can. Min. J. 1989, 110, 43–46. [Google Scholar]
  18. Biss, R. Pyrochlore ore beneficiation at Les Services TMG Inc (Niobec) concentrator. Can. Min. J. 1982, 103, 17–25. [Google Scholar]
  19. Gendron, L.; Biss, R.; Rodrigue, M. Underground mining and pyrochlore ore processing at Niobec mine, QC, Canada. In Niobium Proceedings of the International Symposium; The Metallurgical Society of AIME: San Francisco, CA, USA, 1981; pp. 79–113. [Google Scholar]
  20. Biss, R.; Ayotte, N. Beneficiation of Carbonatite Ore-Bearing Niobium at Niobec Mine; Dobby, G.S., Rao, S.R., Eds.; International Symposium on Processing of Complex Ores: Halifax, NS, Canada, 1989; pp. 497–506. [Google Scholar]
  21. Bulatovic, S.M. Flotation of niobium. In Handbook of Flotation Reagents: Chemistry, Theory and Practice; Elsevier: Amsterdam, The Netherlands, 2010; pp. 111–125. [Google Scholar]
  22. Raby, R.; Gendron, L.A.; Robert, M.; Breton, J.A.; Gagnon, G.; Pichette, M.; Lafreniere, G.; Niobec Inc. Milling Practice in Canada; Pickett, D.E., Hall, W.S., Smith, G.W., Eds.; Canadian Institute of Mining and Metallurgy: Montreal, QC, Canada, 1978; Volume 16, pp. 329–332. [Google Scholar]
  23. Guimarães, H.N.; Weiss, R.A. The Complexity of the Niobium Deposits in the Alkaline-Ultramafic Intrusions Catalão I and II-Brazil; International Symposium Niobium 2001: Orlando, FL, USA, 2001; pp. 37–51. [Google Scholar]
  24. Wang, S.; Wang, B.; Zou, N.; Zhou, D.; Zhang, C. Study on a new technique to process the secondary slime in Yichun Ta-Nb mine. J. Guangdong Nonferrous Met. 1994, 4, 13–18. [Google Scholar]
  25. Wang, S. Research on the cleaner stage of Ta-Nb ore centrifugal concentrator products. Nonferrous Met. Min. Process. Sect. 1984, 6–10. [Google Scholar]
  26. Plaksin, I.N.; Shrader, E.A. Flotation properties of struverite, tantalite, and microlite. In Flotation Properties of Rare Metal Minerals; Plaksin, I.N., Ed.; Primary Sources: New York, NY, USA, 1967; pp. 17–28. [Google Scholar]
  27. Chen, Y. Flotation experiments of Ta-Nb slimes. Nonferrous Met. Min. Process. Sect. 1980, 27–32. [Google Scholar]
  28. Bulatovic, S.M. Flotation of tantalum/niobium ores. In Handbook of Flotation Reagents: Chemistry, Theory and Practice; Elsevier: Amsterdam, The Netherlands, 2010; Volume 2, pp. 127–149. [Google Scholar]
  29. Gorlovskii, S.I.; Khobotova, N.P.; Shchukina, N.E. Concentration of niobium-containing ores with use of a complexing collector. Tsvetnye Met. 1966, 7, 7–12. [Google Scholar]
  30. Lei, C. Research on new series of N2 collectors in flotation of niobotantalite. Min. Metall. 1992, 1, 23–31+43. [Google Scholar]
  31. Ren, H.; Ji, F. Depression and Separation of Fersmite and Dominant Gangue by Floatation. Nonferrous Met. 2003, 55, 96–98. [Google Scholar]
  32. Ren, H.; Ji, F.-f.; Song, G.-l. Depression effects of five depressants on ilmenorutile, hematite and fluorite. Nonferrous Met. 2005, 57, 73–75+85. [Google Scholar]
  33. Faucher, J.A.R. Concentration of pyrochlore ores. Trans. Metall. Soc. AIME 1964, 229, 255–258. [Google Scholar]
  34. Bulatovic, S.; de Silvio, E. Process development for impurity removal from a tin gravity concentrate. Miner. Eng. 2000, 13, 871–879. [Google Scholar] [CrossRef]
  35. Santos, A.L.A.; Mayrink, R.I.F.F.; Nigri, E.M.; Rocha, S.D.F. Electrokinetic study of pyrochlore in the presence of calcium and magnesium electrolytes in the context of water reuse. Colloids Surf. A 2024, 684, 133173. [Google Scholar] [CrossRef]
  36. Bogdanov, O.S.; Yeropkin, Y.I.; Koltunova, T.E.; Khobotova, N.P.; Shtchukina, N.E. Hydroxamic acids as collectors in the flotation of wolframite, cassiterite and pyrochlore. In Tenth International Mineral Processing Congress; Institution of Mining and Metallurgy: London, UK, 1973; pp. 553–564. [Google Scholar]
  37. Zhang, Q. Combined Beneficiation Process of Low-Grade Niobium-Tantalum Ore. Master’s Thesis, Wuhan Institute of Technology, Wuhan, China, 2022. [Google Scholar]
  38. Nheta, W.; Ruwizhi, B. An investigation on flotation process of low grade niobium/tantalum ore. In Proceedings of the 6th World Congress on Mechanical, Chemical, and Material Engineering (MCM’20), Prague, Czech Republic, 16–18 August 2020. [Google Scholar]
  39. Negeri, T. Flotation-calcination-magnetic separation hybrid process for concentration of rare earth minerals contained in a carbonatite ore. J. Min. Mater. Charact. Eng. 2021, 9, 271–289. [Google Scholar] [CrossRef]
  40. Zou, J.; Hu, Z.; Wang, C.; Li, H.; Yao, Y.; Wang, T.; Li, P.; Li, Q.; Yang, K. Beneficiation of weathered and high muddy niobium-containing polymetallic ore. Min. Metall. Eng. 2022, 42, 78–81. [Google Scholar]
  41. Gibson, C.E.; Kelebek, S.; Aghamirian, M. Pyrochlore flotation from silicate gangue minerals: Amine adsorption mechanisms and the effect of modifying reagents. Miner. Eng. 2021, 171, 107100. [Google Scholar] [CrossRef]
  42. Wang, H.; Zhong, H.; Li, F. Flotation performance and adsorption mechanism of 2-triethylenetetramine methylene-4-nonylphenol to pyrochlore. Chem. Eng. Sci. 2024, 290, 119880. [Google Scholar] [CrossRef]
  43. Azizi, D.; Larachi, F. Surface interactions and flotation behavior of calcite, dolomite and ankerite with alkyl hydroxamic acid bearing collector and sodium silicate. Colloids Surf. A 2018, 537, 126–138. [Google Scholar] [CrossRef]
  44. Kasha, A.; Al-Hashim, H.; Abdallah, W.; Taherian, R.; Sauerer, B. Effect of Ca2+, Mg2+ and SO42− ions on the zeta potential of calcite and dolomite particles aged with stearic acid. Colloids Surf. A 2015, 482, 290–299. [Google Scholar] [CrossRef]
  45. Xu, W.; Liang, Q.; Tian, Y.; Mei, G. Reverse anionic flotation of dolomitic collophanite using a mixed fatty acid collector: Adsorption behavior and mechanism. Physicochem. Probl. Miner. Process. 2022, 58, 151519. [Google Scholar] [CrossRef]
  46. Martínez-Luévanos, A.; Uribe-Salas, A.; Lopez-Valdivieso, A. Mechanism of adsorption of sodium dodecylsulfonate on celestite and calcite. Miner. Eng. 1999, 12, 919–936. [Google Scholar] [CrossRef]
  47. Espiritu, E.R.L.; Naseri, S.; Waters, K.E. Surface chemistry and flotation behavior of dolomite, monazite and bastnäsite in the presence of benzohydroxamate, sodium oleate and phosphoric acid ester collectors. Colloids Surf. A 2018, 546, 254–265. [Google Scholar] [CrossRef]
  48. Pugh, R.; Stenius, P. Solution chemistry studies and flotation behaviour of apatite, calcite and fluorite minerals with sodium oleate collector. Int. J. Miner. Process. 1985, 15, 193–218. [Google Scholar] [CrossRef]
  49. Wang, L.; Hu, G.-y.; Sun, W.; Khoso, S.A.; Liu, R.-q.; Zhang, X.-f. Selective flotation of smithsonite from dolomite by using novel mixed collector system. Trans. Nonferrous Met. Soc. China 2019, 29, 1082–1089. [Google Scholar] [CrossRef]
  50. Yang, B.; Zhu, Z.; Sun, H.; Yin, W.; Hong, J.; Cao, S.; Tang, Y.; Zhao, C.; Yao, J. Improving flotation separation of apatite from dolomite using PAMS as a novel eco-friendly depressant. Miner. Eng. 2020, 156, 106492. [Google Scholar] [CrossRef]
  51. Li, W.; Shi, D.; Han, Y. A selective flotation of fluorite from dolomite using caustic cassava starch and its adsorption mechanism: An experimental and DFT Study. Colloids Surf. A 2022, 633, 127876. [Google Scholar] [CrossRef]
  52. Espiritu, E.R.L.; Waters, K.E. Flotation studies of monazite and dolomite. Miner. Eng. 2018, 116, 101–106. [Google Scholar] [CrossRef]
  53. Rezaei Gomari, K.A.; Hamouda, A.A.; Denoyel, R. Influence of sulfate ions on the interaction between fatty acids and calcite surface. Colloids Surf. A 2006, 287, 29–35. [Google Scholar] [CrossRef]
  54. Zarean, M.; Parsaei, R.; Kalantariasl, A. A comprehensive experimental and simulation study of zeta potential at carbonate-brine interface for calcite and dolomite particles. J. Mol. Liq. 2024, 400, 124462. [Google Scholar] [CrossRef]
  55. Chen, G.; Tao, D. Effect of solution chemistry on flotability of magnesite. Int. J. Miner. Process. 2004, 74, 343–357. [Google Scholar] [CrossRef]
  56. Zhang, H.; Sun, W.; Lin, S.; Li, C.; Zhu, Y.; Zhang, C. Mechanistic study on the depression of calcite by sodium hexametaphosphate in sodium oleate system. Appl. Surf. Sci. Adv. 2023, 17, 100451. [Google Scholar] [CrossRef]
  57. Dong, L.; Jiao, F.; Qin, W.; Zhu, H.; Jia, W. New insights into the carboxymethyl cellulose adsorption on scheelite and calcite: Adsorption mechanism, AFM imaging and adsorption model. Appl. Surf. Sci. 2019, 463, 105–114. [Google Scholar] [CrossRef]
  58. Gao, Y.; Gao, Z.; Sun, W.; Yin, Z.; Wang, J.; Hua, Y. Adsorption of a novel reagent scheme on scheelite and calcite causing an effective flotation separation. J. Colloid Interface Sci. 2018, 512, 39–46. [Google Scholar] [CrossRef]
  59. Gao, Z.; Sun, W.; Hu, Y. New insights into the dodecylamine adsorption on scheelite and calcite: An adsorption model. Miner. Eng. 2015, 79, 54–61. [Google Scholar] [CrossRef]
  60. Deng, J.; Yang, S.; Liu, C.; Li, H. Effects of the calcite on quartz flotation using the reagent scheme of starch/dodecylamine. Colloids Surf. A 2019, 583, 123983. [Google Scholar] [CrossRef]
  61. Hiçyìlmaz, C.; Atalay, Ü.; Özbayoglu, G. Selective flotation of scheelite using amines. Miner. Eng. 1993, 6, 313–320. [Google Scholar] [CrossRef]
  62. Quast, K. Surface chemistry and oleate flotation of three South Australian micaceous hematites. Miner. Eng. 2016, 85, 123–129. [Google Scholar] [CrossRef]
  63. Quast, K. The use of zeta potential to investigate the interaction of oleate on hematite. Miner. Eng. 2016, 85, 130–137. [Google Scholar] [CrossRef]
  64. Quast, K.B. A review of hematite flotation using 12-carbon chain collectors. Miner. Eng. 2000, 13, 1361–1376. [Google Scholar] [CrossRef]
  65. Han, K.N.; Healy, T.W.; Fuerstenau, D.W. The Mechanism of Adsorption of Fatty Acids and Other Surfactants at the Oxide-Water Interface. J. Colloid Interface Sci. 1973, 44, 407–414. [Google Scholar] [CrossRef]
  66. Carlson, J.J.; Kawatra, S.K. Factors Affecting Zeta Potential of Iron Oxides. Miner. Process. Extr. Metall. Rev. 2013, 34, 269–303. [Google Scholar] [CrossRef]
  67. Carlson, J.J.; Kawatra, S.K. Effects of CO2 on the zeta potential of hematite. Int. J. Miner. Process. 2011, 98, 8–14. [Google Scholar] [CrossRef]
  68. Abaka-Wood, G.B.; Addai-Mensah, J.; Skinner, W. A study of flotation characteristics of monazite, hematite, and quartz using anionic collectors. Int. J. Miner. Process. 2017, 158, 55–62. [Google Scholar] [CrossRef]
  69. Bibawy, T.A.; Yousef, A.A. Flotation behaviour of hematite. Tenside Deterg. 1982, 19, 18–22. [Google Scholar] [CrossRef]
  70. Prakash, S.; Das, B.; Venugopal, R. Surface Properties of Indian Hematite and Bauxite and Their Coating Mechanism with Colloidal Magnetite. J. Sci. Ind. Res. 1999, 58, 436–442. [Google Scholar]
  71. Pattanaik, M.; Biswal, S.K.; Bhaumik, S.K. A Comparative Physicochemical Study of Hematite with Hydroxamic Acid and Sodium Oleate. Sep. Sci. Technol. 2000, 35, 919–930. [Google Scholar] [CrossRef]
  72. Bai, S.; Li, J.; Bi, Y.; Yuan, J.; Wen, S.; Ding, Z. Adsorption of sodium oleate at the microfine hematite/aqueous solution interface and its consequences for flotation. Int. J. Min. Sci. Technol. 2023, 33, 105–113. [Google Scholar] [CrossRef]
  73. Fu, X.; Gao, Y.; Peng, C.; Han, H.; Sun, W.; Yue, T. Adsorption mechanism of sodium oleate at hematite/quartz–water interfaces: A quantitative molecular insight. Miner. Eng. 2024, 216, 108904. [Google Scholar] [CrossRef]
  74. Li, R.; Luo, X.; Wen, S.; Li, C.; Wei, D.; Yang, W.; Zhang, Y.; Zhu, Y.; Wang, Y. Three-phase froth stability in hematite flotation using DDA as a collector. Miner. Eng. 2023, 195, 108023. [Google Scholar] [CrossRef]
  75. Wang, H.; Zhong, H.; Li, F.; Meng, Q.; Wu, D.; Li, S. Flotation performance and adsorption mechanism of α-hydroxyoctyl phosphinic acid to pyrochlore. Miner. Eng. 2024, 212, 108726. [Google Scholar] [CrossRef]
  76. Liu, M.; Li, H.; Jiang, T.; Liu, Q. Flotation of coarse and fine pyrochlore using octyl hydroxamic acid and sodium oleate. Miner. Eng. 2019, 132, 191–201. [Google Scholar] [CrossRef]
  77. Chehreh Chelgani, S.; Hart, B. Explaining surface interactions for common associated gangues of rare earth minerals in response to the oxalic acid. Int. J. Min. Sci. Technol. 2018, 28, 343–346. [Google Scholar] [CrossRef]
  78. Wei, R.; Peng, Y.; Seaman, D. The interaction of lignosulfonate dispersants and grinding media in copper–gold flotation from a high clay ore. Miner. Eng. 2013, 50–51, 93–98. [Google Scholar] [CrossRef]
  79. Seaman, D.R.; Lauten, R.A.; Kluck, G.; Stoitis, N. Usage of Anionic Dispersants to Reduce the Impact of Clay Particles in Flotation of Copper and Gold at the Telfer Mine. In Proceedings of the 11th Mill Operators’ Conference 2012, Hobart, Tasmania, Australia, 29–31 October 2012; pp. 207–214. [Google Scholar]
  80. Espiritu, E.R.L. Beneficiation of Rare Earth Minerals from Niobec Ore: Froth Flotation. Doctor of Philosophy, McGill University, Montreal, QC, Canada, 2018. [Google Scholar]
  81. Sun, H.; Niu, F.; Zhang, J. Investigation on the flotation separation of smithsonite from calcite using calcium lignosulphonate as depressant. Colloids Surf. A 2021, 630, 127571. [Google Scholar] [CrossRef]
  82. Anukam, A.; Berghel, J.; Henrikson, G.; Frodeson, S.; Ståhl, M. A review of the mechanism of bonding in densified biomass pellets. Renew. Sustain. Energy Rev. 2021, 148, 111249. [Google Scholar] [CrossRef]
  83. Qiu, X.; Yang, H.; Chen, G.; Zhong, S.; Cai, C.; Lan, B. Inhibited mechanism of carboxymethyl cellulose as a galena depressant in chalcopyrite and galena separation flotation. Miner. Eng. 2020, 150, 106273. [Google Scholar] [CrossRef]
  84. Huang, P.; Cao, M.; Liu, Q. Using chitosan as a selective depressant in the differential flotation of Cu–Pb sulfides. Int. J. Miner. Process. 2012, 106–109, 8–15. [Google Scholar] [CrossRef]
  85. Jiang, L.; Feng, B.; Wang, T.; Wang, Z. Selective flotation separation of fluorite and barite with carboxylated chitosan as depressant. Miner. Eng. 2024, 219, 109089. [Google Scholar] [CrossRef]
  86. Liu, C.; Feng, Q.; Zhang, G.; Chen, W.; Chen, Y. Effect of depressants in the selective flotation of scheelite and calcite using oxidized paraffin soap as collector. Int. J. Miner. Process. 2016, 157, 210–215. [Google Scholar] [CrossRef]
  87. Ma, X.; Pawlik, M. The effect of lignosulfonates on the floatability of talc. Int. J. Miner. Process. 2007, 83, 19–27. [Google Scholar] [CrossRef]
  88. Wang, R.; Zhang, H.; Sun, W.; Han, H. Depression performance and mechanism of a novel reagent (Pb-starch) for calcite: Experimental and DFT study. Miner. Eng. 2023, 201, 108158. [Google Scholar] [CrossRef]
  89. Zhang, Y.; Kallay, N.; Matijevic, E. Interactions of Metal Hydrous Oxides with Chelating Agents. 7. Hematite-Oxalic Acid and -Citric Acid Systems. Langmuir 1985, 1, 201–206. [Google Scholar] [CrossRef]
  90. Wang, L.; Zhou, W.; Song, S.; Gao, H.; Niu, F.; Zhang, J.; Ai, G. Selective separation of hematite from quartz with sodium oleate collector and calcium lignosulphonate depressant. J. Mol. Liq. 2021, 322, 114502. [Google Scholar] [CrossRef]
  91. Nanthakumar, B.; Arinaitwe, E.; Pawlik, M. Adsorption of sodium lignosulfonates on hematite. Adsorption 2010, 16, 447–455. [Google Scholar] [CrossRef]
  92. Wang, Q.; Zhang, H.; Xu, Y.; Bao, S.; Liu, C.; Yang, S. The molecular structure effects of starches and starch phosphates in the reverse flotation of quartz from hematite. Carbohydr. Polym. 2023, 303. [Google Scholar] [CrossRef] [PubMed]
  93. Hao, H.; Li, L.; Somasundaran, P.; Yuan, Z. Adsorption of Pregelatinized Starch for Selective Flocculation and Flotation of Fine Siderite. Langmuir 2019, 35, 6878–6887. [Google Scholar] [CrossRef] [PubMed]
  94. Kar, B.; Sahoo, H.; Rath, S.S.; Das, B. Investigations on different starches as depressants for iron ore flotation. Miner. Eng. 2013, 49, 1–6. [Google Scholar] [CrossRef]
  95. Zhi, H.; Dong, Z.; Wang, H.; Man, X.; Liu, J.; Li, W. Effect of sodium carboxymethyl cellulose on the interaction between hematite particles and bubbles. Colloids Surf. A 2024, 688, 133649. [Google Scholar] [CrossRef]
  96. Yang, B.; Wang, D.; Cao, S.; Yin, W.; Xue, J.; Zhu, Z.; Fu, Y.; Yao, J. Selective adsorption of a high-performance depressant onto dolomite causing effective flotation separation of magnesite from dolomite. J. Colloid Interface Sci. 2020, 578, 290–303. [Google Scholar] [CrossRef]
  97. Wei, Z.; Zhang, Q.; Wang, X. New insights on depressive mechanism of citric acid in the selective flotation of dolomite from apatite. Colloids Surf. A 2022, 653, 130075. [Google Scholar] [CrossRef]
  98. Zhong, C.; Feng, B.; Zhang, W.; Zhang, L.; Guo, Y.; Wang, T.; Wang, H. The role of sodium alginate in the flotation separation of apatite and dolomite. Powder Technol. 2020, 373, 620–626. [Google Scholar] [CrossRef]
  99. Huang, W.; Liu, W.; Zhong, W.; Chi, X.; Rao, F. Effects of common ions on the flotation of fluorapatite and dolomite with oleate collector. Miner. Eng. 2021, 174, 107213. [Google Scholar] [CrossRef]
  100. Feng, B.; Zhang, L.; Zhang, W.; Wang, H.; Gao, Z. Mechanism of calcium lignosulfonate in apatite and dolomite flotation system. Int. J. Miner. Metall. Mater. 2022, 29, 1697–1704. [Google Scholar] [CrossRef]
  101. Zeng, M.; Yang, B.; Guan, Z.; Zeng, L.; Luo, H.; Deng, B. The selective adsorption of xanthan gum on dolomite and its implication in the flotation separation of dolomite from apatite. Appl. Surf. Sci. 2021, 551, 149301. [Google Scholar] [CrossRef]
  102. Yao, J.; Sun, H.; Yang, B.; Zhou, Y.; Yin, W.; Zhu, Z. Selective co-adsorption of a novelmixed collector ontomagnesite surface to improve the flotation separation of magnesite from dolomite. Powder Technol. 2020, 371, 180–189. [Google Scholar] [CrossRef]
  103. Huang, X.; Zhang, Q. Depression mechanism of acid for flotation separation of fluorapatite and dolomite using ToF-SIMS and XPS. J. Mol. Liq. 2024, 394, 123584. [Google Scholar] [CrossRef]
  104. Feng, B.; Luo, X.; Wang, J.; Wang, P. The flotation separation of scheelite from calcite using acidified sodium silicate as depressant. Miner. Eng. 2015, 80, 45–49. [Google Scholar] [CrossRef]
  105. Du, W.; Li, X. Insight into the inhibition mechanism of carboxymethyl cellulose for flotation of dolomite and fluorapatite: Experimental and DFT studies. Colloids Surf. A 2023, 674, 131957. [Google Scholar] [CrossRef]
  106. Amaral, I.F.; Granja, P.L.; Barbosa, M.A. Chemical modification of chitosan by phosphorylation: An XPS, FT-IR and SEM study. J. Biomater. Sci. Polym. Ed. 2005, 16, 1575–1593. [Google Scholar] [CrossRef]
  107. Baer, D.R.; Moulder, J.F. High Resolution XPS Spectrum of Calcite (CaCO3). Surf. Sci. Spectra 1993, 2, 1–7. [Google Scholar] [CrossRef]
  108. Chai, R.; Liu, Y.; Liu, Q.; Xin, J. Interaction mechanism of calcite and four representative organic molecules: Experiments and DFT study. Colloids Surf. A 2021, 612, 125822. [Google Scholar] [CrossRef]
  109. Dong, L.; Wei, Q.; Qin, W.; Jiao, F. Selective adsorption of sodium polyacrylate on calcite surface: Implications for flotation separation of apatite from calcite. Sep. Purif. Technol. 2020, 241, 116415. [Google Scholar] [CrossRef]
  110. Chen, Y.; Feng, B.; Yan, H.; Zhang, L.; Zhong, C.; Wang, T.; Wang, H.; Xu, L. Adsorption and depression mechanism of an eco-friendly depressant dextrin onto fluorite and calcite for the efficiency flotation separation. Colloids Surf. A 2022, 635, 127987. [Google Scholar] [CrossRef]
  111. Wei, Z.; Hu, Y.; Han, H.; Sun, W.; Wang, R.; Wang, J. Selective flotation of scheelite from calcite using Al-Na2SiO3 polymer as depressant and Pb-BHA complexes as collector. Miner. Eng. 2018, 120, 29–34. [Google Scholar] [CrossRef]
  112. Wang, R.; Sun, W.; Han, H.; Sun, W.; Wei, Z.; Peng, J. Al-caustic starch coordination compounds: A new depressant for fine calcite. Colloids Surf. A 2022, 648, 129268. [Google Scholar] [CrossRef]
  113. Zhu, X.; Huang, Y.; Zhu, Y.; Sun, N.; Wang, W. Investigating the performance of oxalic acid for separating bastnaesite from calcium-bearing gangue minerals based on experiment and theoretical calculation. Miner. Eng. 2021, 170, 107047. [Google Scholar] [CrossRef]
  114. Yu, A.; Ding, Z.; Yuan, J.; Yu, P.; Chen, L.; Zhang, Y.; Wen, S.; Bai, S. Influence of carboxymethyl chitosan on selective flotation separation of smithsonite from calcite with sodium oleate. Adv. Powder Technol. 2024, 35, 104604. [Google Scholar] [CrossRef]
  115. Wang, J.; Gao, Z.; Gao, Y.; Hu, Y.; Sun, W. Flotation separation of scheelite from calcite using mixed cationic/anionic collectors. Miner. Eng. 2016, 98, 261–263. [Google Scholar] [CrossRef]
  116. Xu, L.; Liu, D.; Sun, R.; Wang, Y.; Liu, Z.; Shao, P.; Wang, C.; Wen, S. Flotation separation of smithsonite and calcite in sodium oleate system using soluble starch as depressant. Miner. Eng. 2024, 205, 108490. [Google Scholar] [CrossRef]
  117. Sun, R.; Liu, D.; Tian, X.; Zuo, Q.; Wang, D.; Wen, S. The role of copper ion and soluble starch used as a combined depressant in the flotation separation of fluorite from calcite: New insights on the application of modified starch in mineral processing. Miner. Eng. 2022, 181, 107550. [Google Scholar] [CrossRef]
  118. Zhu, W.; Pan, J.; Yu, X.; He, G.; Liu, C.; Yang, S.; Zeng, Y.; Zeng, A.; Liu, T. The flotation separation of fluorite from calcite using hydroxypropyl starch as a depressant. Colloids Surf. A 2021, 616, 126168. [Google Scholar] [CrossRef]
  119. Linberg, B.; Maripuu, R.; Siegbahn, K.; Larsson, R.; Gölander, C.-G.; Eriksson, J.C. ESCA Studies of heparinized and related surfaces:1. Model surfaces on steel substrates. J. Colloid Interface Sci. 1983, 95, 308–321. [Google Scholar] [CrossRef]
  120. Feng, B.; Peng, J.; Guo, W.; Luo, G.; Zhang, W.; Wang, H. The depression behavior and mechanism of carboxymethyl chitosan on calcite flotation. J. Mater. Res. Technol. 2019, 8, 1036–1040. [Google Scholar] [CrossRef]
  121. Zhao, P.; Liu, W.; Liu, W.; Guo, Y.; Chen, M.; Mao, Y.; Ding, R. Separation of hematite and quartz in a cationic collector flotation system using Pullulan as a greener depressant. J. Mol. Liq. 2024, 410, 125643. [Google Scholar] [CrossRef]
  122. Zhong, Y.; Qiu, X.; Gao, J.; Guo, Z. Chemical Structure of Si–O in Silica Fume from Ferrosilicon Production and Its Reactivity in Alkali Dissolution. ISIJ Int. 2019, 59, 1098–1104. [Google Scholar] [CrossRef]
  123. Radu, T.; Iacovite, C.; Benea, D.; Turcu, R. X-Ray Photoelectron Spectroscopic Characterization of Iron Oxide Nanoparticles. Appl. Surf. Sci. 2017, 405, 337–343. [Google Scholar] [CrossRef]
  124. Liu, R.; Li, J.; Su, W.; Zhang, X.; Li, J.; Meng, L. FTIR and XPS analysis comparing the activation mechanism of Ca2+ and Fe3+ on quartz. Spectrosc. Spectr. Anal. 2020, 40, 1876–1882. [Google Scholar]
  125. Wang, Q.; Xu, Y.; Zawała, J.; Liu, C.; Xiao, W.; Yang, S. A novel interaction theory for the starch adsorption onto hematite surface. Adv. Powder Technol. 2024, 35, 104607. [Google Scholar] [CrossRef]
  126. Wang, H.; Wang, L.; Yang, S.; Liu, C.; Xu, Y. Investigations on the reverse flotation of quartz from hematite using carboxymethyl chitosan as a depressant. Powder Technol. 2021, 393, 109–115. [Google Scholar] [CrossRef]
  127. Biesinger, M.C.; Payne, B.P.; Grosvenor, A.P.; Lau, L.W.M.; Gerson, A.R.; Smart, R.S.C. Resolving surface chemical states in XPS analysis of first row transition metals, oxides and hydroxides: Cr, Mn, Fe, Co and Ni. Appl. Surf. Sci. 2011, 257, 2717–2730. [Google Scholar] [CrossRef]
  128. Uhlig, I.; Szargan, R.; Nesbitt, H.W.; Laajalehto, K. Surface states and reactivity of pyrite and marcasite. Appl. Surf. Sci. 2001, 179, 222–229. [Google Scholar] [CrossRef]
  129. Moreira, G.F.; Peçanha, E.R.; Monte, M.B.M.; Leal Filho, L.S.; Stavale, F. XPS study on the mechanism of starch-hematite surface chemical complexation. Miner. Eng. 2017, 110, 96–103. [Google Scholar] [CrossRef]
  130. Luo, X.; Jia, L.; Yang, S.; Guo, X.; Liu, X.; Wang, Y. Enhanced efficacy of sodium dodecyl sulfonate in the reverse flotation of hematite with dodecylamine as the collector. Powder Technol. 2025, 450, 120459. [Google Scholar] [CrossRef]
  131. Wang, H.; Zhong, H.; Li, F. Utilization of aromatic hydroxamates with different carbon chain lengths for pyrochlore, calcite, feldspar, and quartz flotation. Colloids Surf. A 2024, 682, 132810. [Google Scholar] [CrossRef]
  132. He, Y.; Zhao, Z.; Jia, Y.; Cui, J.; Sun, P.; He, X. Recovery of niobium from a tailings of the Bayan Obo mine by flotation with a composite collector and its mechanism. Conserv. Util. Miner. Resour. 2024, 44, 40–46. [Google Scholar]
Figure 1. Microflotation results of model minerals with (a) NaOL and (b) DDA at pH 7, error bars denote 95% C.I.
Figure 1. Microflotation results of model minerals with (a) NaOL and (b) DDA at pH 7, error bars denote 95% C.I.
Minerals 15 01132 g001
Figure 2. Microflotation results of (a) dolomite, (b) calcite, (c) hematite, and (d) pyrochlore in the presence of depressants and 2 kg/t NaOL, error bars denote 95% C.I.
Figure 2. Microflotation results of (a) dolomite, (b) calcite, (c) hematite, and (d) pyrochlore in the presence of depressants and 2 kg/t NaOL, error bars denote 95% C.I.
Minerals 15 01132 g002
Figure 3. Microflotation results of (a) dolomite, (b) calcite, (c) hematite, and (d) pyrochlore in the presence of depressants and 2 kg/t DDA, error bars denote 95% C.I.
Figure 3. Microflotation results of (a) dolomite, (b) calcite, (c) hematite, and (d) pyrochlore in the presence of depressants and 2 kg/t DDA, error bars denote 95% C.I.
Minerals 15 01132 g003
Figure 4. Zeta potential of (a) dolomite, (b) calcite, (c) hematite, and (d) pyrochlore in the presence of collectors, error bars denote 95% C.I.
Figure 4. Zeta potential of (a) dolomite, (b) calcite, (c) hematite, and (d) pyrochlore in the presence of collectors, error bars denote 95% C.I.
Minerals 15 01132 g004
Figure 5. Zeta potential of (a) dolomite, (b) calcite, (c) hematite, and (d) pyrochlore in the presence of depressants, error bars denote 95% C.I.
Figure 5. Zeta potential of (a) dolomite, (b) calcite, (c) hematite, and (d) pyrochlore in the presence of depressants, error bars denote 95% C.I.
Minerals 15 01132 g005
Figure 6. Structure of lignosulphonate, adapted from [81].
Figure 6. Structure of lignosulphonate, adapted from [81].
Minerals 15 01132 g006
Figure 7. Structure of (a) amylose and (b) amylopectin starches, adapted from [82].
Figure 7. Structure of (a) amylose and (b) amylopectin starches, adapted from [82].
Minerals 15 01132 g007
Figure 8. Structure of CMC, adapted from [83].
Figure 8. Structure of CMC, adapted from [83].
Minerals 15 01132 g008
Figure 9. Structure of chitosan, adapted from [84].
Figure 9. Structure of chitosan, adapted from [84].
Minerals 15 01132 g009
Figure 10. The survey and high-resolution XPS survey spectra of (a) dolomite and dolomite treated with (b) SS, (c) OA, (d) F100, (e) starch, (f) CMC, and (g) chitosan at pH 7.
Figure 10. The survey and high-resolution XPS survey spectra of (a) dolomite and dolomite treated with (b) SS, (c) OA, (d) F100, (e) starch, (f) CMC, and (g) chitosan at pH 7.
Minerals 15 01132 g010
Figure 11. Si2p spectra of (a) dolomite and (b) dolomite + SS at pH 7.
Figure 11. Si2p spectra of (a) dolomite and (b) dolomite + SS at pH 7.
Minerals 15 01132 g011
Figure 12. N1s spectra of (a) dolomite and (b) dolomite + chitosan at pH 7.
Figure 12. N1s spectra of (a) dolomite and (b) dolomite + chitosan at pH 7.
Minerals 15 01132 g012
Figure 13. The survey and high-resolution XPS survey spectra of (a) calcite and calcite treated with (b) SS, (c) OA, (d) F100, (e) starch, (f) CMC, and (g) chitosan at pH 7.
Figure 13. The survey and high-resolution XPS survey spectra of (a) calcite and calcite treated with (b) SS, (c) OA, (d) F100, (e) starch, (f) CMC, and (g) chitosan at pH 7.
Minerals 15 01132 g013
Figure 14. Si2p spectra of (a) calcite and (b) calcite + SS at pH 7.
Figure 14. Si2p spectra of (a) calcite and (b) calcite + SS at pH 7.
Minerals 15 01132 g014
Figure 15. N1s spectra of (a) calcite and (b) calcite + chitosan at pH 7.
Figure 15. N1s spectra of (a) calcite and (b) calcite + chitosan at pH 7.
Minerals 15 01132 g015
Figure 16. The survey and high-resolution XPS spectra of (a) hematite and hematite with (b) SS, (c) OA, (d) F100, (e) starch, (f) CMC, and (g) chitosan at pH 7.
Figure 16. The survey and high-resolution XPS spectra of (a) hematite and hematite with (b) SS, (c) OA, (d) F100, (e) starch, (f) CMC, and (g) chitosan at pH 7.
Minerals 15 01132 g016
Figure 17. Si2p spectra for (a) hematite and (b) hematite + SS at pH 7.
Figure 17. Si2p spectra for (a) hematite and (b) hematite + SS at pH 7.
Minerals 15 01132 g017
Figure 18. A schematic presentation of hematite-starch interaction, adapted from [94].
Figure 18. A schematic presentation of hematite-starch interaction, adapted from [94].
Minerals 15 01132 g018
Figure 19. N1s spectra for (a) hematite and (b) hematite + chitosan at pH 7.
Figure 19. N1s spectra for (a) hematite and (b) hematite + chitosan at pH 7.
Minerals 15 01132 g019
Figure 20. The survey and high-resolution XPS spectra of (a) pyrochlore and pyrochlore with (b) SS, (c) OA, (d) F100, (e) starch, (f) CMC, and (g) chitosan at pH 7.
Figure 20. The survey and high-resolution XPS spectra of (a) pyrochlore and pyrochlore with (b) SS, (c) OA, (d) F100, (e) starch, (f) CMC, and (g) chitosan at pH 7.
Minerals 15 01132 g020
Figure 21. Si2p spectra for of (a) pyrochlore and (b) pyrochlore + SS at pH 7.
Figure 21. Si2p spectra for of (a) pyrochlore and (b) pyrochlore + SS at pH 7.
Minerals 15 01132 g021
Figure 22. N1s spectra for of (a) pyrochlore and (b) pyrochlore + chitosan at pH 7.
Figure 22. N1s spectra for of (a) pyrochlore and (b) pyrochlore + chitosan at pH 7.
Minerals 15 01132 g022
Table 1. Atomic concentration of dolomite before and after conditioning with depressants at pH 7.
Table 1. Atomic concentration of dolomite before and after conditioning with depressants at pH 7.
SampleAtomic Concentration (%)
CaMgCOSiN
Dolomite9.95.226.646.20.9-
Dolomite + SS7.85.018.150.66.7-
Dolomite + OA9.75.125.147.70.8-
Dolomite + F1008.73.728.244.20.7-
Dolomite + Starch9.86.223.048.0--
Dolomite + CMC9.14.126.848.20.5-
Dolomite + Chitosan9.04.127.147.20.80.2
Table 2. Atomic concentration of calcite before and after conditioning with depressants at pH 7.
Table 2. Atomic concentration of calcite before and after conditioning with depressants at pH 7.
SampleAtomic Concentration (%)
CaCOSiN
Calcite14.727.247.00.1-
Calcite + SS11.621.149.46.8-
Calcite + OA12.430.445.7--
Calcite + F10013.530.744.3--
Calcite + Starch14.227.346.9--
Calcite + CMC13.329.146.7--
Calcite + Chitosan13.327.247.0-1.2
Table 3. Atomic concentration of hematite before and after conditioning with depressants at pH 7.
Table 3. Atomic concentration of hematite before and after conditioning with depressants at pH 7.
SampleAtomic Concentration (%)
FeCOSiN
Hematite13.111.354.18.3-
Hematite + SS17.39.752.99.1-
Hematite + OA14.212.954.66.5-
Hematite + F10014.413.853.95.8-
Hematite + Starch12.516.253.36.7-
Hematite + CMC13.713.354.26.6-
Hematite + Chitosan9.320.550.25.33.0
Table 4. Atomic concentration of pyrochlore before and after conditioning with depressants pH 7.
Table 4. Atomic concentration of pyrochlore before and after conditioning with depressants pH 7.
SampleAtomic Concentration (%)
NbCaFeCOSiN
Pyrochlore9.35.62.813.147.02.3-
Pyrochlore + SS8.85.12.213.347.05.3-
Pyrochlore + OA9.05.62.020.343.82.0-
Pyrochlore + F1009.55.32.318.244.62.3-
Pyrochlore + Starch8.85.22.316.845.82.7-
Pyrochlore + CMC9.35.22.317.746.42.1-
Pyrochlore + Chitosan7.13.81.721.643.81.74.5
Disclaimer/Publisher’s Note: The statements, opinions and data contained in all publications are solely those of the individual author(s) and contributor(s) and not of MDPI and/or the editor(s). MDPI and/or the editor(s) disclaim responsibility for any injury to people or property resulting from any ideas, methods, instructions or products referred to in the content.

Share and Cite

MDPI and ACS Style

Li, R.; Waters, K.E. A Surface Chemistry Investigation into Depressants for Minerals Associated with Pyrochlore. Minerals 2025, 15, 1132. https://doi.org/10.3390/min15111132

AMA Style

Li R, Waters KE. A Surface Chemistry Investigation into Depressants for Minerals Associated with Pyrochlore. Minerals. 2025; 15(11):1132. https://doi.org/10.3390/min15111132

Chicago/Turabian Style

Li, Ronghao, and Kristian E. Waters. 2025. "A Surface Chemistry Investigation into Depressants for Minerals Associated with Pyrochlore" Minerals 15, no. 11: 1132. https://doi.org/10.3390/min15111132

APA Style

Li, R., & Waters, K. E. (2025). A Surface Chemistry Investigation into Depressants for Minerals Associated with Pyrochlore. Minerals, 15(11), 1132. https://doi.org/10.3390/min15111132

Note that from the first issue of 2016, this journal uses article numbers instead of page numbers. See further details here.

Article Metrics

Article metric data becomes available approximately 24 hours after publication online.
Back to TopTop