The Arkansas Alkaline Province, Southeastern USA: A Synthesis of New and Existing Chemical and Petrologic Data and Petrogenetic Considerations
Abstract
1. Introduction
2. Geology and Petrography
2.1. Dare Mine Knob
2.2. Prairie Creek Lamproite Province
2.3. Magnet Cove
2.4. Potash Sulphur Springs
2.5. V-Intrusive
2.6. Benton Dike Swarm
2.7. Saline County and Granite Mountain Syenites
2.8. Morrilton and Perryville Carbonatite Dikes
3. Geochronology
4. Materials and Methods
5. Results
5.1. Mineral Chemistry
5.1.1. Olivine
5.1.2. Pyroxene
5.1.3. Amphibole
5.1.4. Micas
5.1.5. Astrophyllite Group Minerals
5.1.6. Feldspar
5.1.7. Nepheline
5.1.8. Garnet
5.1.9. Titanite
5.1.10. Apatite

5.1.11. Oxides
5.2. Whole-Rock Chemistry
5.2.1. Carbonatites
5.2.2. Silicate Rocks
5.2.3. F and Cl
6. Discussion
6.1. Lamproites and Lamprophyres
6.1.1. Crystallization Conditions
6.1.2. Trace Elements
6.1.3. Radiogenic Isotopes
6.1.4. Petrogenesis of Lamproites and Lamprophyres
6.2. Phonolites, Trachytes, and Syenites
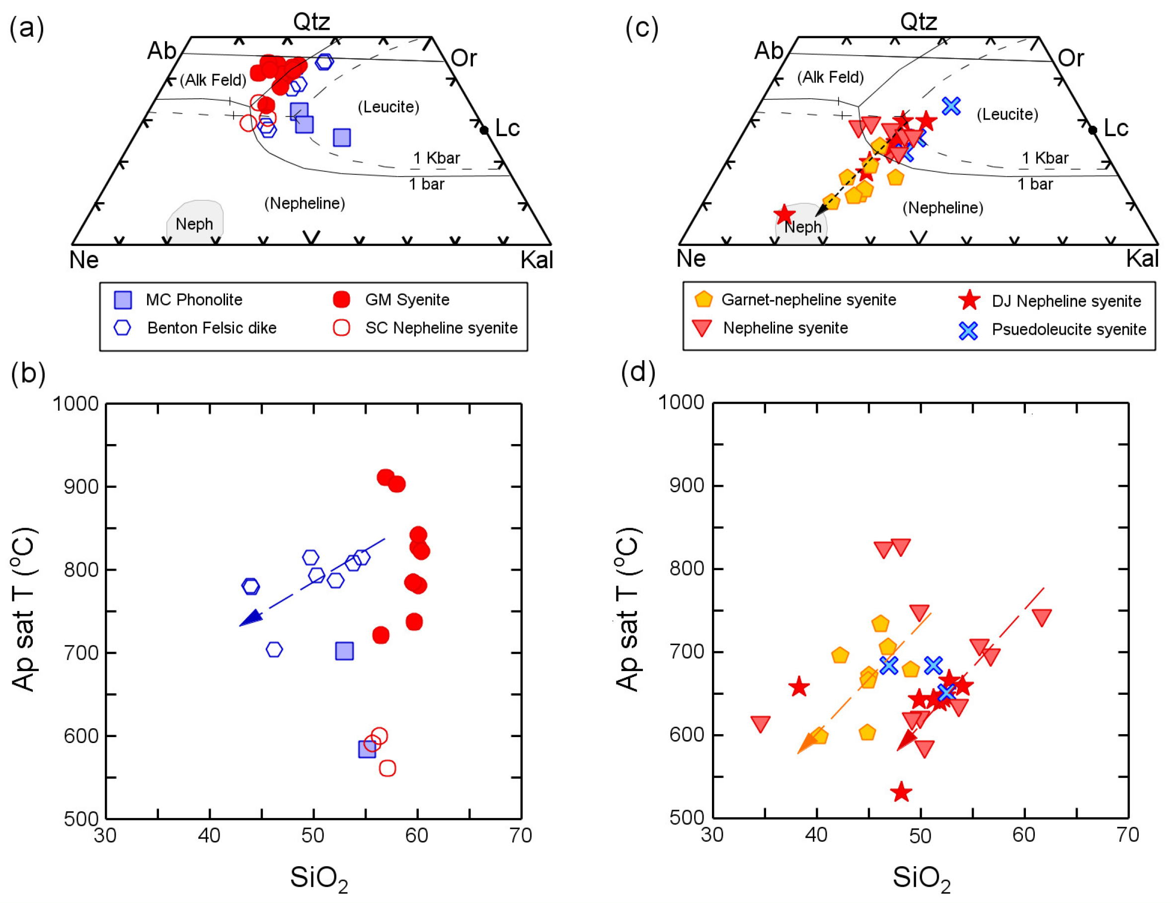
6.2.1. Major Element Chemistry and Phase Equilibria
6.2.2. Trace Elements
6.2.3. Magma Sources
6.3. Carbonatites
6.4. Synthesis of Magmatic History
Supplementary Materials
Author Contributions
Funding
Data Availability Statement
Acknowledgments
Conflicts of Interest
References
- Byerly, G.R. Igneous Activity. In The Gulf of Mexico Basin, The Geology of North America; Salvador, A., Ed.; Geological Society of America: Boulder, CO, USA, 1991; Volume J, pp. 91–108. [Google Scholar]
- Kidwell, A.L. Mesozoic Igneous Activity in the Northern Gulf Coastal Plain. Trans. Gulf Coast Assoc. Geol. Soc. 1951, 1, 182–199. [Google Scholar]
- Baksi, A.K. The Timing of Late Cretaceous Alkalic Igneous Activity in the Northern Gulf of Mexico Basin, Southeastern USA 1. J. Geol. 1997, 105, 629–643. [Google Scholar] [CrossRef]
- Morgan, W.J. Hotspot Tracks and the Early Rifting of the Atlantic. Tectonophysics 1983, 94, 123–139. [Google Scholar] [CrossRef]
- Duncan, R.A. Age Progressive Volcanism in the New England Seamounts and the Opening of the Central Atlantic Ocean. J. Geophys. Res. Solid Earth 1984, 89, 9980–9990. [Google Scholar] [CrossRef]
- Muller, R.D.; Royer, J.-Y.; De Geodynamique, L.; Mer, V.S.; Lawrence, F.; Lawver, A. Revised Plate Motions Relative to the Hotspots from Combined Atlantic and Indian Ocean Hotspot Tracks. Geology 1993, 21, 275–278. [Google Scholar] [CrossRef]
- Eby, G.N.; Vasconcelos, P. Geochronology of the Arkansas Alkaline Province, Southeastern United States. J. Geol. 2009, 117, 615–626. [Google Scholar] [CrossRef]
- Duke, G.I.; Carlson, R.W.; Frost, C.D.; Hearn, B.C.; Eby, G.N. Continent-Scale Linearity of Kimberlite-Carbonatite Magmatism, Mid-Continent North America. Earth Planet. Sci. Lett. 2014, 403, 1–14. [Google Scholar] [CrossRef]
- Kjarsgaard, B.A.; Heaman, L.M.; Sarkar, C.; Pearson, D.G. The North America Mid-Cretaceous Kimberlite Corridor: Wet, Edge-Driven Decompression Melting of an OIB-Type Deep Mantle Source. Geochem. Geophys. Geosystems 2017, 18, 2727–2747. [Google Scholar] [CrossRef]
- Arbenz, J.K. The Ouachita System. In The Geology of North America; Bally, A.W., Palmer, A.R., Eds.; Geological Society of America: Boulder, CO, USA, 1989; Volume A, pp. 371–396. [Google Scholar]
- Waldman, M.; McCandless, T.; Dummett, H. Geology and Petrography of the Twin Knobs #1 Lamproite, Pike County, Arkansas. In Mantle Metasomatism and Alkaline Magmatism; Morris, E., Pasteris, J., Eds.; Geological Society of America: Boulder, CO, USA, 1987; Volume 215, pp. 205–216. [Google Scholar]
- Dunn, D.P. Xenolith Mineralogy and Geology of the Prairie Creek Lamproite Province, Arkansas. Ph.D. Thesis, University of Texas at Austin, Austin, TX, USA, 2002. [Google Scholar]
- Dunn, D.P. Arkansas Crustal Xenoliths: Implications for Basement Rocks of the Northern Gulf Coast, USA. Lithosphere 2009, 1, 60–64. [Google Scholar] [CrossRef]
- Howard, J.M.; Hanson, W.D. Geology of the Crater of Diamonds State Park and Vicinity, Pike County, Arkansas; State Park Series 03; Arkansas Geological Survey: North Little Rock, AR, USA, 2008; pp. 1–14. [Google Scholar]
- Hendrix, B.L. Crater of Diamonds: Jewel of Arkansas. In Crater of Diamonds: Jewel of Arkansas; Arkansas Geological Survey: North Little Rock, AR, USA, 1989; pp. 1–40. [Google Scholar]
- Lewis, R.D.; Meyer, H.O.A.; Bolivar, S.L.; Brookins, D.G. Mineralogy of the Diamond-Bearing “Kimberlite”, Murfreesboro, Arkansas. In Proceedings of the EOS 57; American Geophysical Union: Washington, DC, USA, 1976; p. 761. [Google Scholar]
- Whitney, D.L.; Evans, B.W. Abbreviations for Names of Rock-Forming Minerals. Am. Mineral. 2010, 95, 185–187. [Google Scholar] [CrossRef]
- Erickson, R.L.; Blade, L.V. Geochemistry and Petrology of the Alkalic Igneous Complex at Magnet Cove, Arkansas; Professional Paper; United States Government Printing Office: Washington, DC, USA, 1963. [Google Scholar]
- Flohr, M.J.K.; Ross, M. Alkaline Igneous Rocks of Magnet Cove, Arkansas: Mineralogy and Geochemistry of Syenites. Lithos 1990, 26, 67–98. [Google Scholar] [CrossRef]
- Howard, M. Guidebook to the Central Arkansas Alkalic Province—The View after Nearly 150 Years of Investigation. In 2000 South-Central GSA Guidebook; Geological Society of America: Boulder, CO, USA, 2000; pp. 1–27. [Google Scholar]
- Amaral, C.M.; Lamb, A.P.; Dumond, G. Geophysical Characterization of an Alkaline-carbonatite Complex Using Gravity and Magnetic Methods at Magnet Cove, Arkansas, USA. Tectonophysics 2024, 893, 230545. [Google Scholar] [CrossRef]
- Flohr, M.; Ross, M. Alkaline Igneous Rocks of Magnet Cove, Arkansas: Metasomatized Ijolite Xenoliths from Diamond Jo Quarry. Am. Mineral. 1989, 74, 113–131. [Google Scholar]
- Howard, M. Transition Element Geochemistry and Petrography of the Potash Sulphur Springs Intrusive Complex, Garland County, Arkansas. Master’s Thesis, University of Arkansas, Fayetteville, AR, USA, 1974. [Google Scholar]
- Heathcote, R. Fenitization of the Arkansas Novaculite and Adjacent Intrusive, Garland County, Arkansas. Master’s Thesis, University of Arkansas, Fayetteville, AR, USA, 1974. [Google Scholar]
- Heathcote, R.C.; McCormick, G.R. Major-Cation Substitution in Phlogopite and Evolution of Carbonatite in the Potash Sulphur Springs Complex, Garland County, Arkansas. Am. Mineral. 1989, 74, 132–140. [Google Scholar]
- Flohr, M.; Howard, J.M. Geochemical Data of Alkaline Igneous Rocks and Carbonatites, Potash Sulphur Springs Igneous Complex, Arkansas; United States Geological Survey: Reston, VA, USA,, 1995; OFR 95-836; pp. 1–13. [Google Scholar]
- Owens, D. Bedrock Geology of the “V” Intrusive, Garland County, Arkansas. Master’s Thesis, University of Arkansas, Fayetteville, AR, USA, 1968. [Google Scholar]
- Robison, E. Geochemistry of Lamprophyric Rocks of the Eastern Ouachita Mountains, Arkansas. Master’s Thesis, University of Arkansas, Fayetteville, AR, USA, 1976. [Google Scholar]
- Valdovinos, D. Petrography of Some Lamprophyres of the Eastern Ouachita Mountains of Arkansas. Master’s Thesis, University of Arkansas, Fayetteville, AR, USA, 1968. [Google Scholar]
- Flohr, M.J.; Howard, J.M. Geochemical Data of Drill Core Samples of Carbonatites and Associated Igneous Rocks, Benton, Arkansas; United States Geological Survey: Reston, VA, USA, 1994; OFR 94-450; pp. 1–21. [Google Scholar]
- Gordon, M.; Tracey, J.I.; Ellis, M.W. Geology of the Arkansas Bauxite Region; United States Geological Survey Professional Paper 299; United States Geological Survey: Reston, VA, USA, 1958; pp. 1–268. [Google Scholar]
- Bath, T. Igneous Lamination and Layering in the Nepheline Syenite Quarry, Sec/ 36, T1S, R14W Saline County, Arkansas; University of Arkansas: Fayetteville, AR, USA, 1980. [Google Scholar]
- Morris, E. The Cretaceous Arkansas Alkalic Province: A Summary of Petrology and Geochemistry. In Geological Society of America Special Paper 215; Morris, E.M., Pasteris, J.D., Eds.; Geological Society of America: Boulder, CO, USA, 1987; pp. 217–233. ISBN 9780813722153. [Google Scholar]
- Barwood, H.L. Mineralogy of the Granite Mountain Syenite. Rocks Miner. 1989, 64, 314–322. [Google Scholar] [CrossRef]
- McCormick, G.R.; Heathcote, R.C. Mineral Chemistry and Petrogenesis of Carbonatite Intrusions, Perry and Conway Counties, Arkansas. Am. Mineral. 1987, 72, 59–66. [Google Scholar]
- Zartman, R.E.; Brock, M.R.; Heyl, A.V.; Thomas, H.H. K-Ar and Rb-Sr Ages of Some Alkalic Intrusive Rocks from Central and Eastern United States. Am. J. Sci. 1967, 265, 848–870. [Google Scholar] [CrossRef]
- Gogineni, S.V.; Melton, C.E.; Giardini, A.A. Some Petrological Aspects of the Prairie Creek Diamond-Bearing Kimberlite Diatreme, Arkansas. Contrib. Mineral. Petrol. 1978, 66, 251–261. [Google Scholar] [CrossRef]
- Baldwin, O.D.; Adams, J.A.S. K40/Ar40 Ages of the Alkalic Igneous Rocks of the Balcones Fault Trend of Texas. Tex. J. Sci. 1971, 22, 223–231. [Google Scholar]
- Arne, D. Evidence from Apatite Fission-Track Analysis for Regional Cretaceous Cooling in the Ouachita Mountain Fold Belt and Arkoma Basin of Arkansas: Geologic Note (1). Am. Assoc. Pet. Geol. Bull. 1992, 76, 392–402. [Google Scholar] [CrossRef]
- Pell, D. In-Situ U-Pb Geochronology of Perovskite and Schorlomite Garnet from Magnet Cove, AR: New Age Constraints on Alkaline Magmatism and Suitability as Reference Materials. Honors Thesis, University of Kansas, Lawrence, MA, USA, 2023. [Google Scholar]
- Scharon, L.; Hsu, I.C. Paleomagnetic Investigation of Some Arkansas Alkalic Igneous Rocks. J. Geophys. Res. 1969, 74, 2774–2779. [Google Scholar] [CrossRef]
- Zartman, R.; Howard, J.M. Uranium-Lead Age of Large Zircon Crystals from the Potash Sulfur Springs Igneous Complex, Garland County, Arkansas. In Mantle Metasomatism and Alkaline Magmatism; Morris, E.M., Pasteris, J.D., Eds.; Geological Society of America: Boulder, CO, USA, 1987; Volume 215, pp. 235–240. ISBN 9780813722153. [Google Scholar]
- Sarkar, S.; Dalton, H.; Giuliani, A.; Phillips, D.; Graham Pearson, D.; Nowell, G.M.; Woodhead, J.D.; Hergt, J.; Maas, R.; Lynton Jaques, A.; et al. Extreme Enriched-Mantle (EM) Compositions Recorded by the Sr-Nd-Hf Isotopes of Global Cratonic Lamproites. Geochim. Cosmochim. Acta 2025, 394, 220–243. [Google Scholar] [CrossRef]
- Tilton, G.R.; Kwon, S.T.; Frost, D.M. Isotopic Relationships in Arkansas Alkalic Complexes. In Mantle Metasomatism and Alkaline Magmatism; Morris, E.M., Pasteris, J.D., Eds.; Geological Society of America: Boulder, CO, USA, 1987; Volume 215, pp. 241–248. [Google Scholar]
- Flohr, M.J.K. Titanium, Vanadium, and Niobium Mineralization and Alkali Metasomatism from the Magnet Cove Complex, Arkansas. Econ. Geol. 1994, 89, 105–130. [Google Scholar] [CrossRef]
- Lambert, D.D.; Shirey, S.B.; Bergman, S.C. Proterozoic Lithospheric Mantle Source for the Prairie Creek Lamproites: Re-Os and Sm-Nd Isotopic Evidence. Geology 1995, 23, 273–276. [Google Scholar] [CrossRef]
- Flohr, M.; Howard, J.M. Geochemical Data of Drill Core Samples of Carbonatites and Associated Igneous Rocks, Magnet Cove Complex, Arkansas; United States Geological Survey: Reston, VA, USA, 1995; OFR 95-621; pp. 1–14. [Google Scholar]
- Wilson, A.D. A New Method for the Determination of Ferrous Iron in Rocks and Minerals. Bull. Geol. Surv. Great Br. 1955, 9, 56–58. [Google Scholar]
- Walters, J.B.; Gies, N.B. MinPlotX: A Powerful Tool for Formula Recalculation, Visualization, and Comparison of Large Mineral Compositional Datasets. Mineralogia 2025, 56, 13–22. [Google Scholar] [CrossRef]
- Hawthorne, F.C.; Oberti, R.; Harlow, G.E.; Maresch, W.V.; Martin, R.F.; Schumacher, J.C.; Welch, M.D. Ima Report: Nomenclature of the Amphibole Supergroup. Am. Mineral. 2012, 97, 2031–2048. [Google Scholar] [CrossRef]
- Li, X.; Zhang, C. Machine Learning Thermobarometry for Biotite-Bearing Magmas. J. Geophys. Res. Solid Earth 2022, 127, e2022JB024137. [Google Scholar] [CrossRef]
- Tindle, A.G.; Webb, P.C. Estimation of Lithium Contents in Trioctahedral Micas Using Microprobe Data: Application to Micas from Granitic Rocks. Eur. J. Miner. 1990, 2, 595–610. [Google Scholar] [CrossRef]
- Piilonen, P.C.; Lalonde, A.E.; Mcdonald, A.M.; Gault, R.A.; Larsen, A.O. Insights into Astrophyllite-Group Minerals. 1. Nomenclature, Composition and Development of a Standardized General Formula. Can. Mineral. 2003, 41, 1–26. [Google Scholar] [CrossRef]
- Nekvasil, H. Ternary Feldspar Crystallization in High-Temperature Felsic Magmas. Am. Mineral. 1992, 77, 592–604. [Google Scholar]
- Hamilton, D. Nephelines as Crystallization Temperature Indicators. J. Geol. 1961, 69, 321–329. [Google Scholar] [CrossRef]
- Henderson, D.M.B. Nepheline solid solution compositions: Stoichiometry revisited, reviewed, clarified and rationalised. Mineral. Mag. 2020, 84, 813–838. [Google Scholar] [CrossRef]
- Chen, W.; Zhang, W.; Simonetti, A.; Jian, S. Mineral Chemistry of Melanite from Calcitic Ijolite, the Oka Carbonatite Complex, Canada: Implications for Multi-Pulse Magma Mixing. J. Earth Sci. 2016, 27, 599–610. [Google Scholar] [CrossRef]
- Dawson, J.B. Peralkaline Nephelinite-Natrocarbonatite Relationships at Oldoinyo Lengai, Tanzania. J. Petrol. 1998, 39, 2077–2094. [Google Scholar] [CrossRef]
- Melluso, L.; Scarpati, C.; Zanetti, A.; Sparice, D.; de’ Gennaro, R. The Petrogenesis of Chemically Zoned, Phonolitic, Plinian and Sub-Plinian Eruptions of Somma-Vesuvius, Italy: Role of Accessory Phase Removal, Independently Filled Magma Reservoirs with Time, and Transition from Slightly to Highly Silica Undersaturated Magmatic Series in an Ultrapotassic Stratovolcano. Lithos 2022, 430–431, 106854. [Google Scholar] [CrossRef]
- Kowallis, B.J.; Christiansen, E.H.; Dorais, M.J.; Winkel, A.; Henze, P.; Franzen, L.; Mosher, H. Variation of Fe, Al, and F Substitution in Titanite (Sphene). Geosciences 2022, 12, 229. [Google Scholar] [CrossRef]
- Webster, J.D.; Tappen, C.M.; Mandeville, C.W. Partitioning Behavior of Chlorine and Fluorine in the System Apatite-Melt-Fluid. II: Felsic Silicate Systems at 200 MPa. Geochim. Cosmochim. Acta 2009, 73, 559–581. [Google Scholar] [CrossRef]
- Piccoli, P.; Candela, P. Apatite in Igneous Systems. In Phosphates—Geochemical, Geobiological, and Materials Importance; Kohn, M., Rakovan, J., Hughes, J., Eds.; Mineralogical Society of America: Chantilly, VA, USA, 2002; pp. 255–292. [Google Scholar]
- Andersen, D.; Lindsley, D. Internally Consistent Solution Models for Fe-Mg-Mn-Ti Oxides: Fe-Ti Oxides. Am. Mineral. 1988, 73, 714–726. [Google Scholar]
- Mitchell, R.H. Kimberlites; Springer: Boston, MA, USA, 1986; ISBN 978-1-4899-0570-3. [Google Scholar]
- Mitchell, R.H. Kimberlites, Orangeites, and Related Rocks; Springer: Boston, MA, USA, 1995; ISBN 978-1-4613-5822-0. [Google Scholar]
- Roeder, P.L.; Schulze, D.J. Crystallization of Groundmass Spinel in Kimberlite. J. Petrol. 2008, 49, 1473–1495. [Google Scholar] [CrossRef]
- Wones, D.R.; Gilbert, M.C. The Fayalite-Magnetite-Quartz Assemblage between 600 and 800 C. Am. J. Sci. 1969, 267-a, 480–488. [Google Scholar] [CrossRef]
- Carmichael, I.S.E.; Nicholls, J. Iron-Titanium Oxides and Oxygen Fugacities in Volcanic Rocks. J. Geophys. Res. 1967, 72, 4665–4687. [Google Scholar] [CrossRef]
- Eugster, H.P.; Wones, D.R. Stability Relations of the Ferruginous Biotite, Annite. J. Petrol. 1962, 3, 82–125. [Google Scholar] [CrossRef]
- Woolley, A.R.; Kempe, D.R.C. Carbonatites: Nomenclature, Average Chemical Composition. In Carbonatites: Genesis and Evolution; Bell, K., Ed.; Unwin Hyman: London, UK, 1989; pp. 1–14. [Google Scholar]
- Nakamura, N. Determination of REE, Ba, Fe, Mg, Na and K in Carbonaceous and Ordinary Chondrites. Geochim. Cosmochim. Acta 1974, 38, 757–775. [Google Scholar] [CrossRef]
- Sun, S.-s.; McDonough, W.F. Chemical and Isotopic Systematics of Oceanic Basalts: Implications for Mantle Composition and Processes. In Magmatism in the Ocean Basins; Saunders, A.D., Norry, M.J., Eds.; Geological Society of London: London, UK, 1989; Volume 42, pp. 313–345. [Google Scholar]
- Eby, G.N.; Lloyd, F.E.; Woolley, A.R. Geochemistry and Petrogenesis of the Fort Portal, Uganda, Extrusive Carbonatite. Lithos 2009, 113, 785–800. [Google Scholar] [CrossRef]
- Le Maitre, R.; Bateman, P.; Dudek, A.; Keller, J.; Lameyre, J.; Le Bas, M.; Sabine, P.; Schmid, R.; Sorensen, H.; Streckeisen, A.; et al. A Classification of Ingeous Rocks and Glossary of Terms: Recommendations of the International Union of Geological Sciences Subcommission on the Systematics of Ingeous Rocks; Le Maitre, R., Ed.; Blackwell: Oxford, UK, 1989. [Google Scholar]
- Middlemost, E.A.K. Naming Materials in the Magma/Igneous Rock System. Earth Sci. Rev. 1994, 37, 215–224. [Google Scholar] [CrossRef]
- Olin, P.H.; Wolff, J.A. Partitioning of Rare Earth and High Field Strength Elements between Titanite and Phonolitic Liquid. Lithos 2012, 128–131, 46–54. [Google Scholar] [CrossRef]
- Rudnick, R.L.; Gao, S. Rudnick_Gao_Treatise. Treatise Geochem. 2003, 3, 1–64. [Google Scholar]
- Sack, R.O.; Walker, D.; Carmichael, I.S.E. Experimental Petrology of Alkalic Lavas: Constraints on Cotectics of Multiple Saturation in Natural Basaltic Liquids. Contrib. Mineral. Petrol. 1987, 96, 1–23. [Google Scholar] [CrossRef]
- Boudreau, A.E. PELE—A Version of the MELTS Software Program for the PC Platform. Comput. Geosci. 1999, 25, 201–203. [Google Scholar] [CrossRef]
- Suikkanen, E. EasyMelts 0.2.x Beta 2020. Available online: https://magmasource.caltech.edu/gitlist/easyMelts.git (accessed on 9 August 2021).
- LaTourrette, T.; Hervig, R.L.; Holloway, J.R. Trace Element Partitioning between Amphibole, Phlogopite, and Basanite Melt. Earth Planet. Sci. Lett. 1995, 135, 13–30. [Google Scholar] [CrossRef]
- Roeder, P.L.; Emslie, R.F. Olivine-Liquid Equilibrium. Contrib. Mineral. Petrol. 1970, 29, 275–289. [Google Scholar] [CrossRef]
- Grove, T.L.; Bryan, W.B. Fractionation of Pyroxene-Phyric MORB at Low Pressure: An Experimental Study. Contrib. Mineral. Petrol. 1983, 84, 293–309. [Google Scholar] [CrossRef]
- Sisson, T.W.; Grove, T.L. Temperatures and H2O Contents of Low-MgO High-Alumina Basalts. Contrib. Mineral. Petrol. 1993, 113, 167–184. [Google Scholar] [CrossRef]
- Krmícěk, L.; Chalapathi Rao, N.V. Lamprophyres, Lamproites and Related Rocks as Tracers to Supercontinent Cycles and Metallogenesis. In Geological Society Special Publication; Geological Society of London: London, UK, 2022; Volume 513, pp. 1–16. [Google Scholar]
- Krmícek, L.; Cempírek, J.; Havlín, A.; Prichystal, A.; Houzar, S.; Krmícková, M.; Gadas, P. Mineralogy and Petrogenesis of a Ba-Ti-Zr-Rich Peralkaline Dyke from Šebkovice (Czech Republic): Recognition of the Most Lamproitic Variscan Intrusion. Lithos 2011, 121, 74–86. [Google Scholar] [CrossRef]
- Pearce, J.A. Geochemical Fingerprinting of Oceanic Basalts with Applications to Ophiolite Classification and the Search for Archean Oceanic Crust. Lithos 2008, 100, 14–48. [Google Scholar] [CrossRef]
- Downes, H. Formation and Modification of the Shallow Sub-Continental Lithospheric Mantle: A Review of Geochemical Evidence from Ultramafic Xenolith Suites and Tectonically Emplaced Ultramafic Massifs of Western and Central Europe. J. Petrol. 2001, 42, 233–250. [Google Scholar] [CrossRef]
- Akbari, M.; Ghorbani, M.R.; Cousens, B.L.; Graham, I.T. A Robust Discrimination Scheme for Ocean Island Basalts Based on Ce/Rb, Tb/La, and Ba/Nb Ratios. Chem. Geol. 2023, 628, 121486. [Google Scholar] [CrossRef]
- Naumov, V.B.; Girnis, A.V.; Dorofeeva, V.A. Melts of Ocean Island Basalts (OIB) and Their Sources: Evidence from Melt Inclusions and Quenched Glasses of Rocks. Petrology 2025, 33, 94–111. [Google Scholar] [CrossRef]
- Rollinson, H.; Pease, V. Using Geochemical Data; Cambridge University Press: Cambridge, UK, 2021; ISBN 9781108777834. [Google Scholar]
- Walker, S.R.; Çemen, I.; Wielicki, M.W.; Tew, B.H.; Stockli, D. Edge-Driven Convection-Based Models for Evolution of the Mississippi Embayment and Associated Alkaline Magmatism. In Extensional Tectonics: Rifting and Continental Extension: Volume 2: Tectonic Processes: A Global View; Wiley: New York, NY, USA, 2025; Volume 2, pp. 199–228. ISBN 9781119773757. [Google Scholar]
- Eby, N. Monteregian Hills I. Petrography, Major and Trace Element Geochemistry, and Strontium Isotopic Chemistry of The Western Intrusions: Mounts Royal, St. Bruno, and Johnson. J. Petrol. 1984, 25, 421–452. [Google Scholar] [CrossRef]
- Roulleau, E.; Stevenson, R. Geochemical and Isotopic (Nd-Sr-Hf-Pb) Evidence for a Lithospheric Mantle Source in the Formation of the Alkaline Monteregian Province (Quebec). Can. J. Earth Sci. 2013, 50, 650–666. [Google Scholar] [CrossRef]
- Zindler, A.; Hart, S. Chemical Geodynamics. Ann. Rev. Earth Planet. Sci. 1986, 14, 493–571. [Google Scholar] [CrossRef]
- Stracke, A. Earth’s Heterogeneous Mantle: A Product of Convection-Driven Interaction between Crust and Mantle. Chem. Geol. 2012, 330–331, 274–299. [Google Scholar] [CrossRef]
- Chauvel, C.; Lewin, E.; Carpentier, M.; Arndt, N.T.; Marini, J.C. Role of Recycled Oceanic Basalt and Sediment in Generating the Hf-Nd Mantle Array. Nat. Geosci. 2008, 1, 64–67. [Google Scholar] [CrossRef]
- Jones, R.E.; van Keken, P.E.; Hauri, E.H.; Tucker, J.M.; Vervoort, J.; Ballentine, C.J. Origins of the Terrestrial Hf-Nd Mantle Array: Evidence from a Combined Geodynamical-Geochemical Approach. Earth Planet. Sci. Lett. 2019, 518, 26–39. [Google Scholar] [CrossRef]
- Willbold, M.; Stracke, A. Trace Element Composition of Mantle End-Members: Implications for Recycling of Oceanic and Upper and Lower Continental Crust. Geochem. Geophys. Geosystems 2006, 7, 1–30. [Google Scholar] [CrossRef]
- Ozkaya, O. Geochemical, Isotopic and Chronological Investigation of the Magnet Cove Carbonatite Complex, Arkansas, USA. Master’s Thesis, University of Notre Dame, Notre Dame, IN, USA, 2020. [Google Scholar]
- Carr, M.J.; Gazel, E. Igpet Software for Modeling Igneous Processes: Examples of Application Using the Open Educational Version. Miner. Pet. 2017, 111, 283–289. [Google Scholar] [CrossRef]
- Ionov, D.A.; Doucet, L.S.; Ashchepkov, I.V. Composition of the Lithospheric Mantle in the Siberian Craton: New Constraints from Fresh Peridotites in the Udachnaya-East Kimberlite. J. Petrol. 2010, 51, 2177–2210. [Google Scholar] [CrossRef]
- Walter, M.J. Melting of Garnet Peridotite and the Origin of Komatiite and Depleted Lithosphere. J. Petrol. 1998, 39, 29–60. [Google Scholar] [CrossRef]
- Feigenson, M.D.; Patino, L.C.; Carr, M.J. Constraints on Partial Melting Imposed by Rare Earth Element Variations in Mauna Kea Basalts. J. Geophys. Res. Solid Earth 1996, 101, 11815–11829. [Google Scholar] [CrossRef]
- Henderson, C.M.B. Feldspathoid Stabilities and Phase Inversions-A Review. In Feldspars and Feldspathoids, Structures, Properties and Occurrences; Brown, W.L., Ed.; D. Reidel Publishing Company: Dordrecht, The Netherlands, 1984; pp. 471–499. [Google Scholar]
- Gittins, J. The Feldspathoidal Alkaline Rocks. In The Evolution of the Igneous Rocks; Yoder, H., Ed.; Princeton University Press: Princeton, NJ, USA, 1979; pp. 351–390. [Google Scholar]
- Harrison, T.M.; Watson, E.B. The Behavior of Apatite during Crustal Anatexis: Equilibrium and Kinetic Considerations. Geochim. Cosmochim. Acta 1984, 48, 1467–1477. [Google Scholar] [CrossRef]
- Burnham, A.D.; Berry, A.J.; Halse, H.R.; Schofield, P.F.; Cibin, G.; Mosselmans, J.F.W. The Oxidation State of Europium in Silicate Melts as a Function of Oxygen Fugacity, Composition and Temperature. Chem. Geol. 2015, 411, 248–259. [Google Scholar] [CrossRef]
- Duffy, J.; Ingram, M. Comments on the Application of Optical Basicity to Glass. J. Non Cryst. Solids 1992, 144, 76–80. [Google Scholar] [CrossRef]
- Duffy, J.A. A Review of Optical Basicity and Its Applications to Oxidic Systems. Geochlmica Cosmochim. Acta 1993, 51, 3961–3970. [Google Scholar] [CrossRef]
- Blundy, J.; Wood, B. Prediction of Crystal–Melt Partition Coefficients from Elastic Moduli. Nature 1994, 372, 452–454. [Google Scholar] [CrossRef]
- Onuma, N.; Higuchi, H.; Wakita, H.; Nagasawa, H. Trace Element Partition between Two Pyroxenes and the Host Lava. Earth Planet. Sci. Lett. 1968, 5, 47–51. [Google Scholar] [CrossRef]
- Nielsen, R.L.; Ustunisik, G.; Weinsteiger, A.B.; Tepley, F.J.; Johnston, A.D.; Kent, A.J.R. Trace Element Partitioning between Plagioclase and Melt: An Investigation of the Impact of Experimental and Analytical Procedures. Geochem. Geophys. Geosystems 2017, 18, 3359–3384. [Google Scholar] [CrossRef]
- Dawson, J.B.; Hinton, R.W.; Steele, I.M. The Composition of Anorthoclase and Nepheline in Mount Kenya Phonolite and Kilimanjaro Trachyte, and Crystal-Glass Partitioning of Elements. Can Miner. 2008, 46, 1455–1464. [Google Scholar] [CrossRef]
- Nugent, L.J. Theory of the Tetrad Effect in the Lanthanide(III) and Actinide(III) Series. J. Inorg. Nucl. Chem. 1970, 32, 3485–3491. [Google Scholar] [CrossRef]
- McLennan, S.M. Rare Earth Element Geochemistry and the “Tetrad” Effect. Geochim. Cosmochim. Acta 1994, 58, 2025–2033. [Google Scholar] [CrossRef]
- Irber, W. The Lanthanide Tetrad Effect and Its Correlation with K/Rb, Eu/Eu∗, Sr/Eu, Y/Ho, and Zr/Hf of Evolving Peraluminous Granite Suites. Geochim. Cosmochim. Acta 1999, 63, 489–508. [Google Scholar] [CrossRef]
- Veksler, I.V.; Dorfman, A.M.; Kamenetsky, M.; Dulski, P.; Dingwell, D.B. Partitioning of Lanthanides and Y between Immiscible Silicate and Fluoride Melts, Fluorite and Cryolite and the Origin of the Lanthanide Tetrad Effect in Igneous Rocks. Geochim. Cosmochim. Acta 2005, 69, 2847–2860. [Google Scholar] [CrossRef]
- Bau, M. Controls on the Fractionation of Isovalent Trace Elements in Magmatic and Aqueous Systems: Evidence from Y/Ho, Zr/Hf, and Lanthanide Tetrad Effect. Contrib. Mineral. Petrol. 1996, 123, 323–333. [Google Scholar] [CrossRef]
- DolejS, D.; Baker, D.R. Liquidus Equilibria in the System K2O-Na2O-Al2O3-SiO2-F2O-1-H2O to 100 MPa: I. Silicate-Fluoride Liquid Immiscibility in Anhydrous Systems. J. Petrol. 2007, 48, 785–806. [Google Scholar] [CrossRef]
- Jones, A.P.; Genge, M.; Carmody, L. Carbonate Melts and Carbonatites. Rev. Miner. Geochem. 2013, 75, 289–322. [Google Scholar] [CrossRef]
- Schmidt, M.W.; Giuliani, A.; Poli, S. The Origin of Carbonatites—Combining the Rock Record with Available Experimental Constraints. J. Petrol. 2024, 65, egae105. [Google Scholar] [CrossRef]
- Weidendorfer, D.; Schmidt, M.W.; Mattsson, H.B. A Common Origin of Carbonatite Magmas. Geology 2017, 45, 507–510. [Google Scholar] [CrossRef]
- Yaxley, G.M.; Anenburg, M.; Tappe, S.; Decree, S.; Guzmics, T. Carbonatites: Classification, Sources, Evolution, and Emplacement. Annu. Rev. Earth Planet. Sci. 2025, 50, 261–293. [Google Scholar] [CrossRef]
- Keller, J.; Zaitsev, A.N. Geochemistry and Petrogenetic Significance of Natrocarbonatites at Oldoinyo Lengai, Tanzania: Composition of Lavas from 1988 to 2007. Lithos 2012, 148, 45–53. [Google Scholar] [CrossRef]
- Guo, H.; Tuduri, J.; Nabyl, Z.; Erdmann, S.; Li, X.; Gaillard, F. Rare Earth Elements in Apatite: A Proxy for Unravelling Carbonatite Melt Compositions. Earth Planet. Sci. Lett. 2024, 642, 118863. [Google Scholar] [CrossRef]
- Klemme, S.; Dalpé, C. Trace-Element Partitioning between Apatite and Carbonatite Melt. Am. Mineral. 2003, 88, 639–646. [Google Scholar] [CrossRef]
- Kjarsgaard, B.A.; Hamilton, D.L. Liquid Immiscibility and the Origin of Alkali-Poor Carbonatites. Mineral. Mag. 1988, 52, 43–55. [Google Scholar] [CrossRef]
- Guzmics, T.; Mitchell, R.H.; Szabó, C.; Berkesi, M.; Milke, R.; Ratter, K. Liquid Immiscibility between Silicate, Carbonate and Sulfide Melts in Melt Inclusions Hosted in Co-Precipitated Minerals from Kerimasi Volcano (Tanzania): Evolution of Carbonated Nephelinitic Magma. Contrib. Mineral. Petrol. 2012, 164, 101–122. [Google Scholar] [CrossRef]
- Brooker, R.A.; Kjarsgaard, B.A. Silicate-Carbonate Liquid Immiscibility and Phase Relations in the System SiO2-Na2O-Al2O3-Cao-Co2 at 0·1-2·5 GPa with Applications to Carbonatite Genesis. J. Petrol. 2011, 52, 1281–1305. [Google Scholar] [CrossRef]
- Hamilton, D.L.; Freestone, I.C.; Dawson, J.B.; Donaldson, C.H. Origin of Carbonatites by Liquid Immiscibility. Nature 1979, 279, 52–54. [Google Scholar] [CrossRef]
- Berndt, J.; Klemme, S. Origin of Carbonatites—Liquid Immiscibility Caught in the Act. Nat. Commun. 2022, 13, 2892. [Google Scholar] [CrossRef]
- Kjarsgaard, B.A. Phase Relations of a Carbonated High-CaO Nephelinite at 0·2 and 0·5 GPa. J. Petrol. 1998, 39, 2061–2075. [Google Scholar] [CrossRef]
- Kjarsgaard, B.A.; Hamilton, D.L.; Peterson, T.D. Peralkaline Nephelinite/Carbonatite Liquid Immiscibility: Comparison of Phase Compositions in Experiments and Natural Lavas from Oldoinyo Lengai. In Carbonatite Volcanism; Bell, K., Keller, J., Eds.; Springer: Berlin, Germany, 1995; Volume 4, pp. 163–190. [Google Scholar]
- Sharygin, V.V.; Kamenetsky, V.S.; Zaitsev, A.N.; Kamenetsky, M.B. Silicate-Natrocarbonatite Liquid Immiscibility in 1917 Eruption Combeite-Wollastonite Nephelinite, Oldoinyo Lengai Volcano, Tanzania: Melt Inclusion Study. Lithos 2012, 152, 23–39. [Google Scholar] [CrossRef]
- de Moor, J.M.; Fischer, T.P.; King, P.L.; Botcharnikov, R.E.; Hervig, R.L.; Hilton, D.R.; Barry, P.H.; Mangasini, F.; Ramirez, C. Volatile-Rich Silicate Melts from Oldoinyo Lengai Volcano (Tanzania): Implications for Carbonatite Genesis and Eruptive Behavior. Earth Planet. Sci. Lett. 2013, 361, 379–390. [Google Scholar] [CrossRef]
- Mitchell, R.H.; Dawson, J.B. Carbonate-Silicate Immiscibility and Extremely Peralkaline Silicate Glasses from Nasira Cone and Recent Eruptions at Oldoinyo Lengai Volcano, Tanzania. Lithos 2012, 152, 40–46. [Google Scholar] [CrossRef]
- Stearns, R. Cretaceous, Paleocene, and Lower Eocene Geologic History of Northern Mississippi Embayment. Bull. Geol. Soc. Am. 1957, 66, 1077–1100. [Google Scholar] [CrossRef]
- Mickus, K.L.; Keller, G.R. Lithospheric Structure of the South-Central United States. Geology 1992, 20, 335. [Google Scholar] [CrossRef]
- Carmichael, R.S. Practical Handbook of Physical Properties of Rocks and Minerals; Carmichael, R.S., Ed.; CRC Press: Boca Raton, FL, USA, 1989. [Google Scholar]
- Stearn, N. A Geomagnetic Survey of the Bauxite Region in Central Arkansas. Ark. Geol. Surv. Bull. 1930, 5, 1–16. [Google Scholar]
- Turcotte, D.; Schubert, G. Geodynamics, 3rd ed.; Cambridge University Press: Cambridge, UK, 2014; ISBN 9781107006539. [Google Scholar]
- Vogt, P.R.; Foulger, G.R. Lithospheric Weakspots, Not Hotspots: New England-Quebec and Shenandoah Anorogenic Magmatism in the Context of Global Plate Tectonics, Intraplate Stress and LIPs. Earth Sci. Rev. 2025, 260, 104991. [Google Scholar] [CrossRef]
- Zartman, R.E. Geochronology of Some Alkalic Rock Provinces in Eastern and Central United States. Annu. Rev. Earth Planet Sci. 1977, 5, 257–286. [Google Scholar] [CrossRef]
- Steiger, R.H.; Jager, E. Subcommission on Geochronology: Convention on the use of Decay Constants in Geo- and Cosmochronology. Earth Planet Sci. 1977, 36, 359–362. [Google Scholar] [CrossRef]





































| Lithology and Location | 87Sr/86Sri | εSr | εNd |
|---|---|---|---|
| Carbonatite (MC) | 0.703770 ± 0.000265 | −9.9 ± 3.7 | 4.2 ± 0.1 |
| Ijolite (MC) | 0.703695 ± 0.000193 | −10.9 ± 2.8 | 4.0 ± 0.1 |
| Carbonatite (PSS) | 0.703788 | −9.6 | 3.7 |
| Lamprophyre (VI) | 0.704606 | 2.0 | 3.5 |
| Lamprophyre (BD) | 0.704791 | 4.7 | 3.7 |
Disclaimer/Publisher’s Note: The statements, opinions and data contained in all publications are solely those of the individual author(s) and contributor(s) and not of MDPI and/or the editor(s). MDPI and/or the editor(s) disclaim responsibility for any injury to people or property resulting from any ideas, methods, instructions or products referred to in the content. |
© 2025 by the authors. Licensee MDPI, Basel, Switzerland. This article is an open access article distributed under the terms and conditions of the Creative Commons Attribution (CC BY) license (https://creativecommons.org/licenses/by/4.0/).
Share and Cite
Eby, N.; Charnley, N.; Tiella, G.; Burkhardt, L. The Arkansas Alkaline Province, Southeastern USA: A Synthesis of New and Existing Chemical and Petrologic Data and Petrogenetic Considerations. Minerals 2025, 15, 1133. https://doi.org/10.3390/min15111133
Eby N, Charnley N, Tiella G, Burkhardt L. The Arkansas Alkaline Province, Southeastern USA: A Synthesis of New and Existing Chemical and Petrologic Data and Petrogenetic Considerations. Minerals. 2025; 15(11):1133. https://doi.org/10.3390/min15111133
Chicago/Turabian StyleEby, Nelson, Norman Charnley, Gino Tiella, and Louis Burkhardt. 2025. "The Arkansas Alkaline Province, Southeastern USA: A Synthesis of New and Existing Chemical and Petrologic Data and Petrogenetic Considerations" Minerals 15, no. 11: 1133. https://doi.org/10.3390/min15111133
APA StyleEby, N., Charnley, N., Tiella, G., & Burkhardt, L. (2025). The Arkansas Alkaline Province, Southeastern USA: A Synthesis of New and Existing Chemical and Petrologic Data and Petrogenetic Considerations. Minerals, 15(11), 1133. https://doi.org/10.3390/min15111133

