Pyrite Trace-Element Signatures of Porphyry-Epithermal Systems in Xizang: Implications for Metallogenic Discrimination and Hydrothermal Evolution
Abstract
1. Introduction
2. Geologic Setting
3. Sampling and Analytical Methods
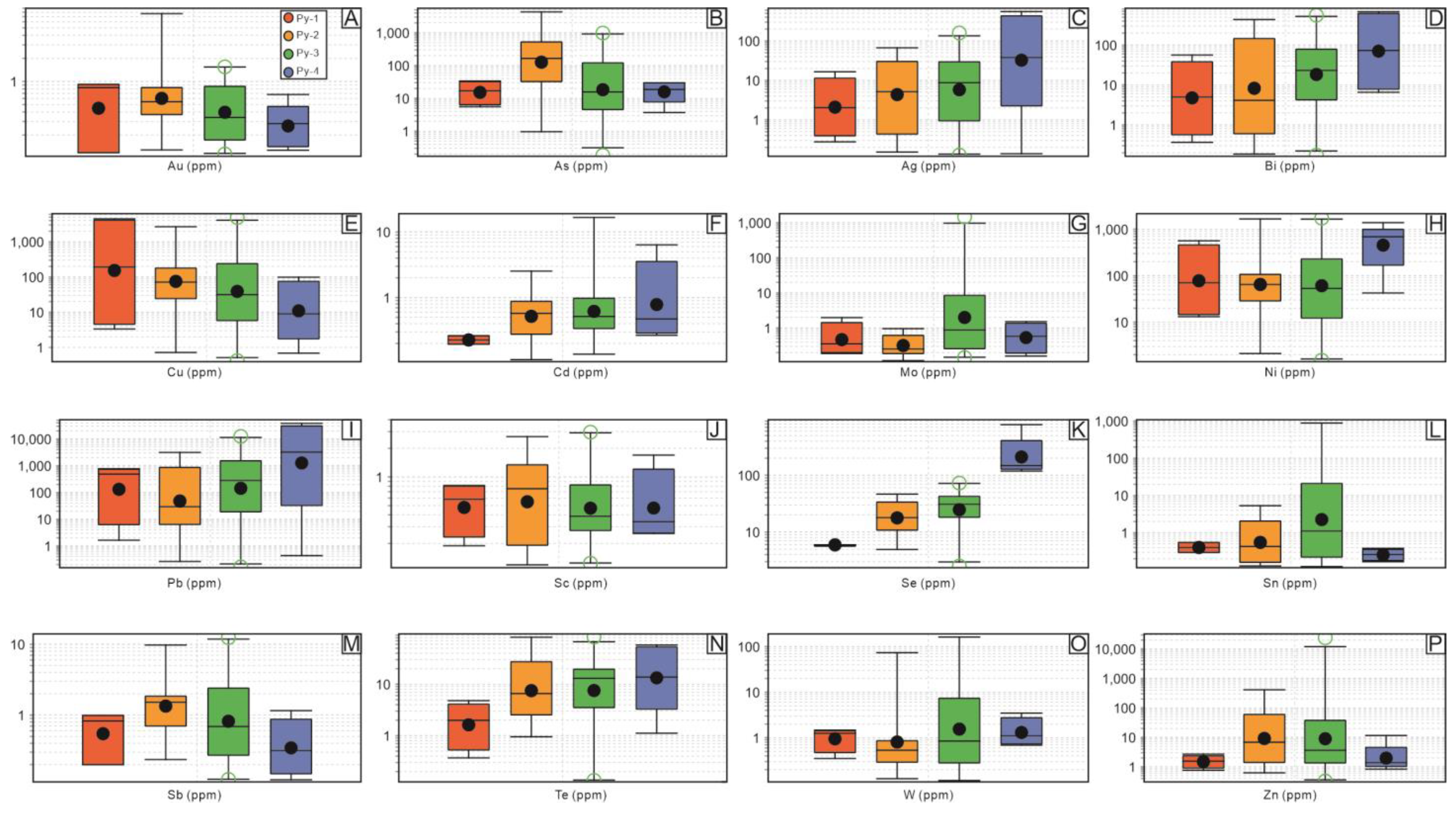
4. Pyrite Mineralogy and Textures
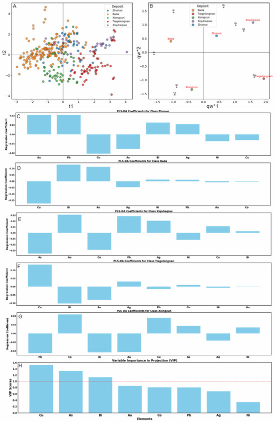
5. Results
6. Discussion
6.1. Genetic Types of Pyrite and Occurrence States of Trace Elements
6.2. Pyrite as a Record of Hydrothermal Fluid Properties
6.3. Pyrite Chemistry Plays a Significant Role in Porphyry-Epithermal Deposits in Xizang
7. Conclusions
Supplementary Materials
Author Contributions
Funding
Data Availability Statement
Acknowledgments
Conflicts of Interest
References
- Sun, X.; Lu, Y.J.; McCuaig, T.C.; Zheng, Y.Y.; Chang, H.F.; Guo, F.; Xu, L.J. Miocene ultrapotassic, high-Mg dioritic, and adakite-like rocks from Zhunuo in Southern Tibet: Implications for mantle metasomatism and porphyry copper mineralization in collisional orogens. J. Petrol. 2018, 59, 341–386. [Google Scholar] [CrossRef]
- Zheng, Y.Y.; Su, S.; Ci, Q.; Chen, S.Y.; Shi, S.D.; Chen, X.; Liu, P.; Li, J.Z. Metallogenic series and exploration breakthroughs of Zhunuo ore district in Xizang. Miner. Depos. 2024, 43, 1295–1315. [Google Scholar]
- Li, M. Characteristics of Ore-Forming Fluid of the Zhunuo Porphyry Copper Deposit in the Gangdese Belt, Tibet. Master’s Thesis, China University of Geoscience, Beijing, China, 2015. [Google Scholar]
- Dai, J.; Chou, I.-M.; Pan, X.D.; Ding, J.; Huang, Y.; Yan, G.Q.; Shen, H.L. Fluid evolution of the Zhunuo porphyry Cu-Mo deposit in Gangdese Tract, Tibet, China: A fluid-inclusion investigation. Ore Geol. Rev. 2021, 139, 104484. [Google Scholar] [CrossRef]
- Sun, X.; Hollings, P.; Lu, Y.J. Geology and origin of the Zhunuo porphyry copper deposit, Gangdese belt, southern Tibet. Miner. Depos. 2020, 56, 457–480. [Google Scholar] [CrossRef]
- Sun, X.; Li, R.Y.; Si, X.B.; Xiao, K.; Deng, J. Timing and Mechanism of Ore Precipitation in Porphyry Cu Systems: Insight from LA-ICP-MS Analysis of Fluid Inclusions and In Situ Oxygen Isotope Analysis of Hydrothermal Quartz at Zhunuo Porphyry Cu Deposit, China. Econ. Geol. 2024, 119, 593–616. [Google Scholar] [CrossRef]
- Mercer, C.N.; Reed, M.H.; Mercer, C.M. Time scales of porphyry Cu deposit formation: Insights from titanium diffusion in quartz. Econ. Geol. 2015, 110, 587–602. [Google Scholar] [CrossRef]
- Li, Y.; Li, X.H.; Selby, D.; Li, J.W. Pulsed magmatic fluid release for the formation of porphyry deposits: Tracing fluid evolution in absolute time from the Tibetan Qulong Cu-Mo deposit. Geology 2018, 46, 7–10. [Google Scholar] [CrossRef]
- Sykora, S.; Cooke, D.; Meffre, S.; Stephanov, A.S.; Gardner, K.; Scott, R.; Selley, D.; Harris, A. Evolution of Pyrite Trace Element Compositions from Porphyry-Style and Epithermal Conditions at the Lihir Gold Deposit: Implications for Ore Genesis and Mineral Processing. Econ. Geol. 2018, 113, 193–208. [Google Scholar] [CrossRef]
- Li, H.G.; Zhang, Z.C.; Zhang, R.; Xie, Q.H.; Zhang, L.; Santosh, M. Geochemical discrimination of pyrite in diverse ore deposit types through statistical analysis and machine learning techniques. Am. Mineral. 2024, 109, 846–857. [Google Scholar] [CrossRef]
- Yan, Y.T.; Li, S.R.; Jia, B.J.; Zhang, N.; Yan, L.N. Composition typomorphic characteristics and statistic analysis of pyrite in gold deposits of different genetic types. Earth Sci. Front. 2012, 19, 214–226. [Google Scholar]
- Reich, M.; Deditius, A.; Chryssoulis, S.; Li, J.W.; Ma, C.Q.; Parada, M.A.; Barra, F.; Mittermayr, F. Pyrite as a record of hydrothermal fluid evolution in a porphyry copper system: A SIMS/EMPA trace element study. Geochim. Cosmochim. Acta 2013, 104, 42–62. [Google Scholar] [CrossRef]
- Alford, L.; Gysi, A.; Hurtig, N.; Monecke, T.; Pfaff, K. Porphyry-related polymetallic Au-Ag vein deposit in the Central City district, Colorado: Mineral paragenesis and pyrite trace element chemistry. Ore Geol. Rev. 2020, 119, 103295. [Google Scholar] [CrossRef]
- Velojic, M.; Erlandsson, V.B.; Melcher, F.; Onuk, P.; Jelenkovic, R.; Cvetkovic, V. Trace elements in pyrite from the Cukaru Peki porphyry Cu-high-sulfidation deposit, Serbia: Implications for ore evolution in a polyphase hydrothermal system. Geol. Croat. 2022, 75, 303–316. [Google Scholar] [CrossRef]
- Xiao, X.; Zhou, T.F.; Hollings, P.; White, N.C.; Fan, Y.; Zhang, L.J.; Fu, B. Pyrite geochemistry in a porphyry-skarn Cu (Au) system and implications for ore formation and prospecting: Perspective from Xinqiao deposit, Eastern China. Am. Mineral. 2023, 108, 1132–1148. [Google Scholar] [CrossRef]
- Yang, Z.M.; Lu, Y.J.; Hou, Z.Q.; Chang, Z.S. High-Mg diorite from Qulong in southern Tibet: Implications for the genesis of adakite-like intrusions and associated porphyry Cu deposits in collisional orogens. J. Petrol. 2015, 56, 227–254. [Google Scholar] [CrossRef]
- Tang, J.X.; Deng, S.L.; Zheng, W.B.; Ying, L.J.; Wang, X.W.; Qin, Z.P.; Ding, F.; Li, F.J.; Tang, X.Q.; Zhong, Y.F.; et al. An exploration model for Jiama copper polymetallic deposit in Maizhokunggar County, Tibet. Miner. Depos. 2011, 30, 179–196. [Google Scholar]
- Tang, J.X.; Lang, X.H.; Xie, F.W.; Gao, Y.M.; Li, Z.J.; Huang, Y.; Ding, F.; Yang, H.H.; Zhang, L.; Wang, Q.; et al. Geological characteristics and genesis of the Jurassic No. I porphyry Cu-Au deposit in the Xiongcun district, Gangdese porphyry copper belt, Tibet. Ore Geol. Rev. 2015, 70, 438–456. [Google Scholar] [CrossRef]
- Zhao, X.Y.; Yang, Z.S.; Zheng, Y.C.; Liu, Y.C.; Tian, S.H.; Fu, Q. Geology and genesis of the post-collisional porphyry-skarn deposit at Bangpu, Tibet. Ore Geol. Rev. 2015, 70, 486–509. [Google Scholar] [CrossRef]
- Zhu, D.C.; Zhao, Z.D.; Niu, Y.L.; Mo, X.X.; Chung, S.L.; Hou, Z.Q.; Wang, L.Q.; Wu, F.Y. The Lhasa Terrane: Record of a microcontinent and its histories of drift and growth. Earth Planet. Sci. Lett. 2011, 301, 241–255. [Google Scholar] [CrossRef]
- Zhang, Z.M.; Dong, X.; Santosh, M.; Zhao, G.C. Metamorphism and tectonic evolution of the Lhasa terrane, central Tibet. Gondwana Res. 2014, 25, 170–189. [Google Scholar] [CrossRef]
- Zhu, D.C.; Pan, G.T.; Chung, S.L.; Liao, Z.L.; Wang, L.Q.; Li, G.M. SHRIMP zircon age and geochemical constraints on the origin of Lower Jurassic volcanic rocks from the Yeba Formation, southern Gangdese, south Tibet. Int. Geol. Rev. 2008, 50, 442–471. [Google Scholar] [CrossRef]
- Ji, W.Q.; Wu, F.Y.; Chung, S.L.; Li, J.X.; Liu, C.Z. Zircon U-Pb geochronology and Hf isotopic constraints on petrogenesis of the Gangdese batholith, southern Tibet. Chem. Geol. 2009, 262, 229–245. [Google Scholar] [CrossRef]
- Xie, F.W.; Tang, J.X. The Late Triassic-Jurassic magmatic belt and its implications for the double subduction of the Neo-Tethys Ocean in the southern Lhasa subterrane Tibet. Gondwana Res. 2021, 97, 1–21. [Google Scholar] [CrossRef]
- Zhu, D.C.; Li, S.M.; Cawood, P.A.; Wang, Q.; Zhao, Z.D.; Liu, S.A.; Wang, L.Q. Assembly of the Lhasa and Qiangtang terranes in central Tibet by divergent double subduction. Lithos 2016, 245, 7–17. [Google Scholar] [CrossRef]
- Gustafson, L.B.; Hunt, J.P. The porphyry copper deposit at El Salvador, Chile. Econ. Geol. 1975, 70, 857–912. [Google Scholar] [CrossRef]
- Wu, C.Y.; Lang, X.H.; Zhang, H.; Wang, X.H.; Zhang, P.; Deng, Y.L.; Lou, Y.M.; Jiang, K. Typomorphic characteristics and geological significance of pyrite from No. 1 deposit in the Xiongcun district, Tibet. Bull. Mineral. Petrol. Geochem. 2024, 43, 372–386. [Google Scholar] [CrossRef]
- Zhang, Q.; Chen, W.; Yang, H.H.; Fu, X.L.; Wang, Q.; Li, Y.B.; Li, H.W.; Xin, T.; Liang, X.J.; Li, S.; et al. Characteristic and Significance of Pyrite at Tiegelongnan Cu (Au) Deposit, Duolong Ore District, Tibet. Acta Geosci. Sin. 2023, 44, 983–999. [Google Scholar]
- Wu, H.; Zhu, X.P.; Jia, Q.; Zhang, B.; Li, Y.; Yang, L.C. Characteristics and environmental effects of in situ major and trace elements in pyrite from the Bada copper-gold deposit in Tibet. Acta Geol. Sin. 2023, 97, 2261–2280. [Google Scholar]
- Bai, A.D.; Li, B.; Tang, G.; Wang, X.F.; Shu, H.W.; Yue, Y.; Li, Y.B. In situ trace element and sulfur isotopic compositions of pyrites from the Xiquheqiao copper-gold deposit, Mangkang County, Xizang, China. Acta Mineral. Sin. 2025, 45, 146–159. [Google Scholar] [CrossRef]
- Makvandi, S.; Ghasemzadeh-Barvarz, M.; Beaudoin, G.; Grunsky, E.C.; McClenaghan, M.B.; Duchesne, C.; Boutroy, E. Partial least squares-discriminant analysis of trace element compositions of magnetite from various VMS deposit subtypes: Application to mineral exploration. Ore Geol. Rev. 2016, 78, 388–408. [Google Scholar] [CrossRef]
- Huang, X.W.; Sappin, A.A.; Boutroy, E.; Beaudoin, G.; Makvandi, S. Trace Element Composition of Igneous and Hydrothermal Magnetite from Porphyry Deposits: Relationship to Deposit Subtypes and Magmatic Affinity. Econ. Geol. 2019, 114, 917–952. [Google Scholar] [CrossRef]
- Makvandi, S.; Huang, X.W.; Beaudoin, G.; Quirt, D.; Ledru, P.; Fayek, M. Trace element signatures in hematite and goethite associated with the Kiggavik-Andrew Lake structural trend U deposits (Nunavut, Canada). Miner. Depos. 2021, 56, 509–535. [Google Scholar] [CrossRef]
- Liu, H.M.; Beaudoin, G.; Makvandi, S.; Jackson, S.E.; Huang, X.W. Multivariate statistical analysis of trace element compositions of native gold from orogenic gold deposits: Implication for mineral exploration. Ore Geol. Rev. 2021, 131, 104061. [Google Scholar] [CrossRef]
- Caraballo, E.; Dare, S.; Beaudoin, G. Variation of trace elements in chalcopyrite from worldwide Ni-Cu sulfide and Reef-type PGE deposits: Implications for mineral exploration. Miner. Depos. 2022, 57, 1293–1321. [Google Scholar] [CrossRef]
- Miranda, A.C.R.; Beaudoin, G.; Rottier, B. Scheelite chemistry from skarn systems: Implications for ore-forming processes and mineral exploration. Miner. Depos. 2022, 57, 1469–1497. [Google Scholar] [CrossRef]
- Egozcue, J.J.; Pawlowsky-Glahn, V.; Mateu-Figueras, G.; Barceló-Vidal, C. Isometric Logratio Transformations for Compositional Data Analysis. Math. Geol. 2003, 35, 279–300. [Google Scholar] [CrossRef]
- Brill, B.A. Trace-element contents and partitioning of elements in ore minerals from the CSA Cu-Pb-Zn deposit, Australia. Can. Mineral. 1989, 27, 263–274. [Google Scholar]
- Large, R.R.; Danyushevsky, L.V.; Hollit, C.; Maslennikov, V.; Meffre, S.; Gilbert, S.E.; Bull, S.; Scott, R.J.; Emsbo, P.; Thomas, H.; et al. Gold and trace element zonation in pyrite using a laser imaging technique: Implications of the timing of gold in orogenic and Carlin-style sediment-hosted deposits. Econ. Geol. 2009, 104, 635–668. [Google Scholar] [CrossRef]
- Zhao, Z. Principles of Trace Element Geochemistry, 2nd ed.; Science Press: Beijing, China, 2016. (In Chinese) [Google Scholar]
- Keith, M.; Haase, K.M.; Chivas, A.R.; Klemd, R. Phase separation and fluid mixing revealed by trace element signatures in pyrite from porphyry systems. Geochim. Cosmochim. Acta 2022, 329, 185–205. [Google Scholar] [CrossRef]
- Gao, S.; Xu, H.; Li, S.X.; Santosh, M.; Zhang, D.; Yang, L.; Quan, S. Hydrothermal alteration and ore-forming fluids associated with gold-tellurium mineralization in the Dongping gold deposit, China. Ore Geol. Rev. 2017, 80, 166–184. [Google Scholar] [CrossRef]
- Yang, C.; Beaudoin, G.; Tang, J.-X.; Song, Y.; Wang, L.-Q.; Huang, X.-W. Cu-sulfide mineralogy, texture, and geochemistry in the Tiegelongnan porphyry-epithermal copper system, Tibet, China. Miner. Depos. 2022, 57, 759–779. [Google Scholar] [CrossRef]
- Simon, G.; Kesler, S.E.; Essense, E.J.; Chryssoulis, S.L. Gold in porphyry copper deposits: Experimental determination of the distribution of gold in the Cu-Fe-S system at 400° to 700 °C. Econ. Geol. 2000, 95, 259–270. [Google Scholar] [CrossRef]
- White, N.C.; Hedenquist, J.W. Epithermal gold deposits: Styles, characteristics and exploration. SEG Newsl. 1995, 23, 9–13. [Google Scholar] [CrossRef]
- Simmons, S.F.; Brown, K.L.; Tutolo, B.M. Hydrothermal transport of Ag, Au, Cu, Pb, Te, Zn, and other metals and metalloids in New Zealand geothermal systems: Spatial patterns, fluid-mineral equilibria, and implications for epithermal mineralization. Econ. Geol. 2016, 111, 589–618. [Google Scholar] [CrossRef]











| Types of Pyrite | Textural Occurrence | Associated Veins or Alterations | Alteration or Vein Mineral Assemblage | Formation Temperature Based on Inclusions | References |
|---|---|---|---|---|---|
| Py1 | Dissemination | Phyllic alteration | Sericite, pyrite, quartz, K-feldspar, muscovite, and chlorite | ||
| Py2 | Dissemination | Phyllic and potassic alteration | Biotite, K-feldspar, quartz, amphibole, sericite, calcite, anhydrite, chlorite, rutile, and magnetite | ||
| Py3 | Predominantly vein-type with local dissemination | Phyllic alteration, A-vein, and C-vein | Quartz–pyrite–chalcopyrite veins, quartz–muscovite–pyrite–chalcopyrite veins, pyrite–chalcopyrite veins | 340 °C to 400 °C | [6] |
| Py4 | Vein | D-vein | Quartz-pyrite or pyrite veins | 220 °C to 330 °C | [6] |
Disclaimer/Publisher’s Note: The statements, opinions and data contained in all publications are solely those of the individual author(s) and contributor(s) and not of MDPI and/or the editor(s). MDPI and/or the editor(s) disclaim responsibility for any injury to people or property resulting from any ideas, methods, instructions or products referred to in the content. |
© 2025 by the authors. Licensee MDPI, Basel, Switzerland. This article is an open access article distributed under the terms and conditions of the Creative Commons Attribution (CC BY) license (https://creativecommons.org/licenses/by/4.0/).
Share and Cite
Guan, H.; Luosang, J.; Gao, L.; Xie, F. Pyrite Trace-Element Signatures of Porphyry-Epithermal Systems in Xizang: Implications for Metallogenic Discrimination and Hydrothermal Evolution. Minerals 2025, 15, 1113. https://doi.org/10.3390/min15111113
Guan H, Luosang J, Gao L, Xie F. Pyrite Trace-Element Signatures of Porphyry-Epithermal Systems in Xizang: Implications for Metallogenic Discrimination and Hydrothermal Evolution. Minerals. 2025; 15(11):1113. https://doi.org/10.3390/min15111113
Chicago/Turabian StyleGuan, Hongzhong, Jiancuo Luosang, Lutong Gao, and Fuwei Xie. 2025. "Pyrite Trace-Element Signatures of Porphyry-Epithermal Systems in Xizang: Implications for Metallogenic Discrimination and Hydrothermal Evolution" Minerals 15, no. 11: 1113. https://doi.org/10.3390/min15111113
APA StyleGuan, H., Luosang, J., Gao, L., & Xie, F. (2025). Pyrite Trace-Element Signatures of Porphyry-Epithermal Systems in Xizang: Implications for Metallogenic Discrimination and Hydrothermal Evolution. Minerals, 15(11), 1113. https://doi.org/10.3390/min15111113
