Characteristics and Control Factors of a High-Quality Deeply Buried Calcareous Sandstone Reservoir, the Fourth Member of the Upper Xujiahe Formation in the Western Sichuan Basin, China
Abstract
1. Introduction
2. Geological Setting
3. Materials and Methods
4. Results
4.1. Sandstone Petrology
4.2. Mineral Compositions
4.3. Diagenetic Alterations
4.3.1. Compaction
4.3.2. Cementation
4.3.3. Dissolution
4.4. Pore Space
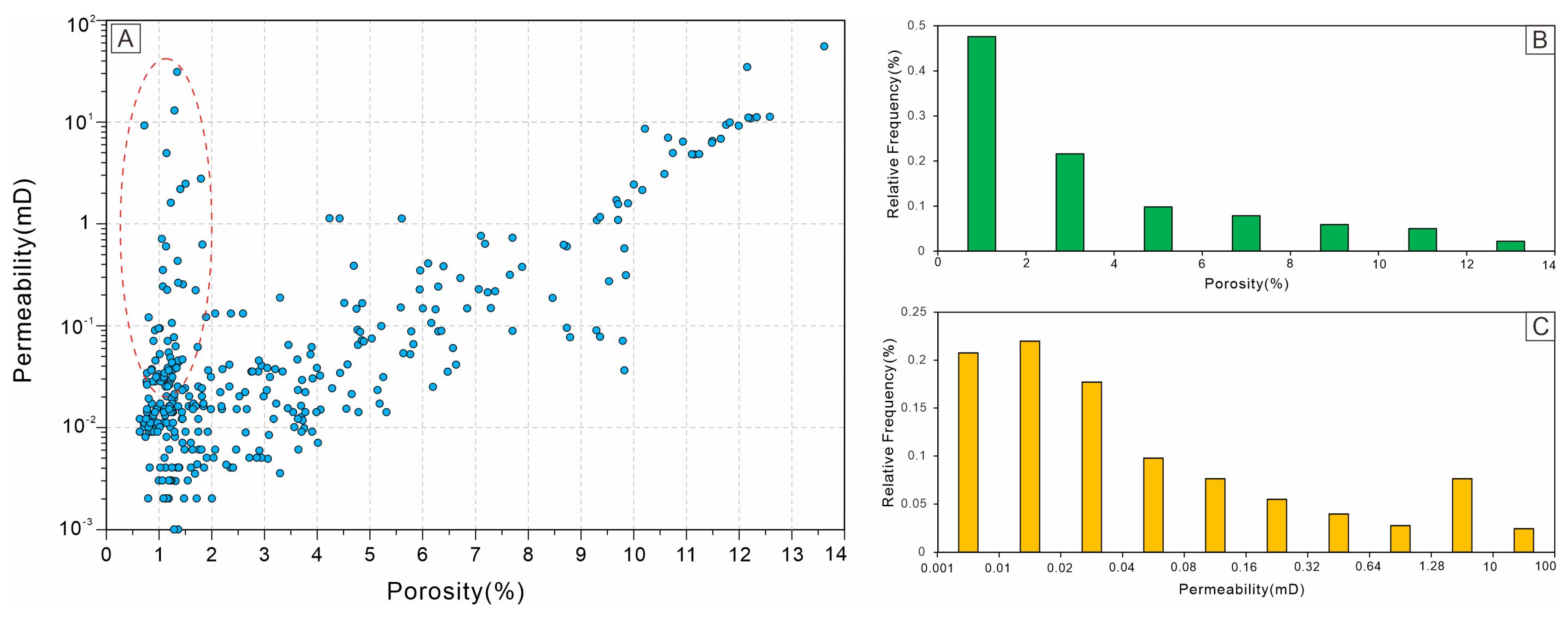
4.5. Reservoir Quality
5. Discussion
5.1. Comparison of the Reservoir Characteristics between Calcareous Sandstone and Ordinary Xujiahe Tight Gas Sandstone
5.2. Diagenetic Evolution Sequence of Calcareous Sandstone
5.3. Main Control Factors of Calcareous Sandstone Reservoirs
5.3.1. Influence of Texture on Calcareous Sandstone Reservoirs
5.3.2. Influence of Diagenesis on Calcareous Sandstone Reservoirs
5.3.3. Influence of Fracture on Calcareous Sandstone Reservoirs
6. Conclusions
- (1)
- The calcareous sandstone is classified as litharenite, with an average framework grain composition of Q30F1L69, where carbonate grains are the most abundant framework grain. Primary intergranular pores were predominant in the calcareous sandstone, and dissolution intragranular pores were rare. The reservoir quality of the calcareous sandstone was quite poor, with an average porosity of 3.63% and a median permeability of 0.026 mD. Compaction is one of the most significant diagenetic alterations in the calcareous sandstone, while dissolution has had little effect, affecting only a small number of dolomitic rock fragments. Carbonate cementation was the most dominant cement type in the calcareous sandstone, including both calcite and dolomite cements (primarily calcite), whereas quartz cement and clay minerals (mainly illite and kaolinite) were relatively rare.
- (2)
- Under the influence of different parent rock properties of sandstones, there were obvious differences in the composition of framework grains between the calcareous sandstone and the ordinary Xu4 sandstone, which in turn affected the reservoir storage space, diagenesis, and reservoir quality. The Xu4 sandstone was characterized by high quartz and low feldspar contents, with the storage space primarily consisting of feldspar intragranular dissolved pores. As a result, the porosity and permeability of the Xu4 sandstone were generally better than those of the calcareous sandstone. While the diagenesis processes of the Xu4 and calcareous sandstones were similar, the degree of dissolution, quartz cementation, and clay cementation was higher in the Xu4 sandstone than in the calcareous sandstone, while the carbonate cementation was weaker.
- (3)
- Texture influences the reservoir quality of sandstone. Medium-grained calcareous sandstones, as well as very well-sorted and well-sorted calcareous sandstones, have the highest porosity values. Compaction is the main factor contributing to porosity loss in the vast majority of calcareous sandstones. The relationship between cement and reservoir physical properties in the calcareous sandstones is more complex. When the calcite cement content was lower than 20%, it generally had a negative effect on the porosity of most of the samples; however, some samples still exhibited high reservoir porosity. It was only when the calcite cement content was higher than 20% that the reservoir porosity decreased. Dolomite and quartz cements are strongly negatively correlated with reservoir quality. Additionally, the source and formation periods of calcite cement differed from those of dolomite and quartz cements in the calcareous sandstones. Fracture development plays an important role in high-quality reservoirs in calcareous sandstones and also affects hydrocarbon transportation.
Author Contributions
Funding
Data Availability Statement
Acknowledgments
Conflicts of Interest
References
- Li, J.; She, Y.Q.; Gao, Y.; Yang, G.R.; Li, M.P.; Yang, S. Onshore deep and ultra-deep natural gas exploration fields and potentials in China. China Pet. Explor. 2019, 24, 403–417. [Google Scholar]
- Sun, L.D.; Zou, C.N.; Zhu, R.K.; Zhang, Y.H.; Zhang, S.C.; Zhang, B.M.; Zhu, G.Y.; Gao, Z.Y. Formation, distribution and potential of deep hydrocarbon resource in China. Pet. Explor. Dev. 2013, 40, 641–649. [Google Scholar] [CrossRef]
- Jia, C.Z.; Pang, X.Q. Research processes and main development directions of deep hydrocarbon geological theories. Acta Pet. Sin. 2015, 36, 1457–1469. [Google Scholar]
- Guo, X.S.; Hu, D.F.; Huang, R.C.; Wei, Z.H.; Duan, J.B.; Wei, X.F.; Fan, X.J.; Miao, Z.W. Deep and ultra-deep natural gas exploration in the Sichuan Basin: Progress and prospect. Nat. Gas Ind. B 2020, 7, 419–432. [Google Scholar] [CrossRef]
- Bloch, S.; Lander, R.H.; Bonell, L. Anomalously high porosity and permeability in deeply buried sandstones reservoirs: Origin and predictability. AAPG Bull. 2002, 86, 301–328. [Google Scholar]
- Taylor, T.R.; Giles, M.R.; Hathon, L.A.; Diggs, T.N.; Braunsdorf, N.R.; Birbiglia, G.V.; Kittridge, M.G.; Macaulay, C.I.; Espejo, I.S. Sandstone diagenesis and reservoir quality prediction: Models, myths, and reality. AAPG Bull. 2010, 94, 1093–1132. [Google Scholar] [CrossRef]
- Lander, R.H.; Larese, R.E.; Bonnell, L.M. Toward more accurate quartz cement models: The importance of euhedral versus noneuhedral growth rates. AAPG Bull. 2008, 92, 1537–1563. [Google Scholar] [CrossRef]
- Wu, H.; Ji, Y.; Du, Z.; Zhou, Y.; Zou, J.; Zhang, Y.Z.; Du, W.; Liu, H.Q. Evolution and controls of high reservoir quality in Oligocene sandstones from moderate to deep burial, Nanpu Sag, Bohai Bay Basin, China. Sediment. Geol. 2022, 441, 106275. [Google Scholar] [CrossRef]
- Dutton, S.P.; Louks, R.G.; Day-Stirrat, R.J. Impact of regional variation in detrital mineral composition on reservoir quality in deep to ultradeep lower Miocene sandstones, western Gulf of Mexico. Mar. Pet. Geol. 2012, 35, 139–153. [Google Scholar] [CrossRef]
- Yuan, G.H.; Cao, Y.C.; Zhang, Y.; Gluyas, J. Diagenesis and reservoir quality of sandstones with ancient “deep” incursion of meteoric freshwater—An example in the Nanpu Sag, Bohai Bay Basin, East China. Mar. Pet. Geol. 2017, 82, 444–464. [Google Scholar] [CrossRef]
- Loucks, R.G.; Dutton, S.P. Insights into deep, onshore Gulf of Mexico Wilcox sandstone pore networks and reservoir quality through the integration of petrographic, porosity and permeability, and mercury injection capillary pressure analyses. AAPG Bull. 2019, 103, 745–765. [Google Scholar] [CrossRef]
- Emery, D.; Smalley, P.C.; Oxtoby, N.H. Synchronous oil migration and cementation in sandstone reservoirs demonstrated by quantitative description of diagenesis. Philos. Trans. Phys. Sci. Eng. 1993, 344, 115–125. [Google Scholar]
- Aase, N.E.; Bjorkum, P.A.; Nadeau, P.H. The effect of grain-coating microquartz on preservation of reservoir porosity. AAPG Bull. 1996, 80, 1654–1673. [Google Scholar]
- Osborne, M.J.; Swarbrick, R.E. Diagenesis in North Sea HPHT clastic reservoirs–consequences for porosity and overpressure prediction. Mar. Pet. Geol. 1999, 16, 337–353. [Google Scholar] [CrossRef]
- Marchand, A.M.E.; Haszeldine, R.S.; Smalley, P.C.; Fallick, A.E. Evidence for reduced quartz cementation rates in oil-filled sandstones. Geology 2001, 29, 915–918. [Google Scholar] [CrossRef]
- Walgenwitz, F.; Whonham, J. Causes for the preservation of high reservoir quality at great depth in the HP-HT reservoirs of the Elgin-Franklin fields, central North Sea Graben, UK. In Proceedings of the AAPG International Conference, Barcelona, Spain, 21–24 September 2004. [Google Scholar]
- Huang, S.J.; Xie, L.W.; Zhang, M.; Wu, W.H.; Shen, L.C.; Liu, J. Formation mechanism of authigenic chlorite and relation to preservation of porosity in nonmarine Triassic reservoir sandstones, Ordos Basin and Sichuan Basin, China. J. Chengdu Univ. Technol. (Sci. Technol.) 2004, 31, 273–281. [Google Scholar]
- Wu, W.H.; Huang, S.J.; Chen, H.D.; Li, Z.W.; Zhao, J.X. Origin of siliceous cement in the Upper Paleozoic clastic rocks in Ordos Basin and its effects on reservoir quality. J. Palaeogeogr. 2011, 13, 193–200. [Google Scholar]
- Sun, Z.; Sun, Z.; Yao, J.; Wu, M.L.; Liu, J.R.; Dou, Z.Y.; Pei, C.R. Porosity preservation due to authigenic chlorite coatings in deeply buried Upper Triassic Xujiahe Formation sandstones, Sichuan Basin, western China. J. Pet. Geol. 2014, 37, 251–267. [Google Scholar] [CrossRef]
- Løvstad, K.; Hansen, H.N.; Jahren, J. The porosity preserving effect of basin wide illitic coating in deeply buried sandstone intervals of the lower Jurassic Stø Formation, Barents Sea. Mar. Pet. Geol. 2022, 137, 105498. [Google Scholar] [CrossRef]
- Ehrenberg, S.N.; Jakobsen, K.G. Plagioclase dissolution related to biodegradation of oil in Brent Group sandstones (Middle Jurassic) of Gullfaks Field, northern North Sea. Sedimentology 2001, 48, 703–721. [Google Scholar] [CrossRef]
- Du, S.H.; Zhao, Y.P.; Jin, J.; Kou, G.; Shi, Y.M.; Huang, X.F. Significance of the secondary pores in perthite for oil storage and flow in tight sandstone reservoir. Mar. Pet. Geol. 2019, 110, 178–188. [Google Scholar] [CrossRef]
- Zeng, X.Y.; Zhang, X.Q.; Zhong, Y.M. Origin of calcarenaceous sandstone gas formation of 4th member of Xujiahe Formation in the middle part of Western Sichuan Depression. Acta Sedimentol. Sin. 2007, 25, 896–902, (In Chinese with English Abstract). [Google Scholar]
- Yu, Y.; Lin, L.B.; Zhai, C.B.; Chen, H.D.; Wang, Y.N.; Li, Y.H.; Deng, X.L. Impacts of lithologic characteristics and diagenesis on reservoir quality of the 4th member of the Upper Triassic Xujiahe Formation tight gas sandstones in the western Sichuan Basin, southwest China. Mar. Pet. Geol. 2019, 107, 1–19. [Google Scholar] [CrossRef]
- Tang, Z.C.; Zhong, D.K.; Wang, W.; Shi, W.B.; Du, H.Q.; Sun, H.T.; Wang, A.; Zhou, Z.H.; Jia, X.L. Pore types and geological significance of calcarenaceous sandstones in the 3rd member of Xujiahe Formation in Yuanba area, Northeastern Sichuan Basin. Oil Gas Geol. 2019, 40, 1115–1125. [Google Scholar]
- Lin, L.B.; Yu, Y.; Nan, H.L.; Chen, H.D. Petrologic and geochemical characteristics of carbonate cements in the Upper Triassic Xujiahe Formation tight gas sandstone, western Sichuan Basin, China. AAPG Bull. 2022, 106, 461–490. [Google Scholar] [CrossRef]
- Luo, W.J.; Peng, J.; Zeng, X.Y.; Liu, H.; Xiao, Y.; Tang, Y.; Yang, X.C. Formation mechanism of high-quality reservoir of calcarenaceous sandstone in fourth member of Xujiahe Formation, Fenggu area, Western Sichuan Depression. Pet. Geol. Exp. 2012, 34, 412–421, (In Chinese with English Abstract). [Google Scholar]
- Fan, R. Features and Genesis of Calcarenaceous Sandbody of Member 3 of Xujiahe Fm in Yuanba. Spec. Oil Gas Reserv. 2015, 22, 31–33+92, (In Chinese with English Abstract). [Google Scholar]
- Du, H.Q.; Wang, W.; Zhou, X.; Hao, J.Y.; Yin, F. Reservoir characteristics and main controlling factors of calcareous coarse clastic rocks of the third Member of Xujiahe Formation in Yuanba area, northeastern Sichuan Basin. Oil Gas Geol. 2016, 37, 565–571, (In Chinese with English Abstract). [Google Scholar]
- Zhang, L.; Zou, H.Y.; Hao, F.; Li, P.P.; Yang, S.; Song, Y. Characteristics and densification causes and of high-tight sandstone of the Xujiahe Formation (T3x2) in the Yuanba area, northern Sichuan Basin. Acta Geol. Sin. 2017, 91, 2105–2118, (In Chinese with English Abstract). [Google Scholar]
- Lin, L.B.; Chen, H.D.; Hu, X.Q.; Ji, X.T.; Jiang, P. Classification of tectonic sequence and basin evolution of the Upper Triassic in the Sichuan Bain. J. Stratigr. 2007, 31, 415–422, (In Chinese with English Abstract). [Google Scholar]
- Gao, J.; Li, H.L.; He, Z.L.; Cai, X.Y.; Li, S.J.; Liu, G.X.; Yuan, Y.S.; Lin, J.H.; Li, Z. Multi-stage hydrocarbon accumulation in Cambrian Xixiangchi Group, Pingqiao area, southern Sichuan and its implications for hydrocarbon exploration. Earth Sci. Front. 2023, 30, 263–276. [Google Scholar]
- Ma, Y.S.; Guo, X.S.; Guo, T.L.; Huang, R.; Cai, X.Y.; Li, G.X. The Puguang gas field: New giant discovery in the mature Sichuan Basin, southwest China. AAPG Bull. 2007, 91, 627–643. [Google Scholar] [CrossRef]
- Folk, R.L. Petrology of Sedimentary Rocks; Hemphill: Austin, TX, USA, 1967; p. 107. [Google Scholar]
- Selley, R.C. Elements of Petroleum Geology, 2nd ed.; Academic Press Limited: San Diego, CA, USA, 1998; p. 470. [Google Scholar]
- Al-Areeq, N.; Soliman, M.; Essa, M.; Al-Azazi, N. Diagenesis and reservoir quality analysis in the Lower Cretaceous Qishn sandstones from Masila oilfields in the Sayun-Masila Basin, eastern Yemen. Geol. J. 2016, 51, 405–420. [Google Scholar] [CrossRef]
- Ali, A.; Gabr, M.; Hashem, M.; Elewa, A.M.T.; Mohamed, R.S.A. Sandstone reservoir quality in light of depositional and diagenetic processes of the Messinian Qawasim Formation, onshore Nile Delta, Egypt. J. Asian Earth Sci. 2022, 223, 104992. [Google Scholar] [CrossRef]
- Huang, K.K.; Huang, S.J.; Tong, H.P.; Huang, Y.; Liu, L.H.; Zhong, Q.Q. Thermodynamic simulation of carbonate-carbon dioxide equilibrium system during diagenetic processes. Acta Petrol. Sin. 2009, 25, 2417–2424, (In Chinese with English Abstract). [Google Scholar]
- Morad, S.; Al-Ramadan, K.; Ketzer, J.M.; Ros, L.F. The impact of diagenesis on the heterogeneity of sandstone reservoirs: A review of the role of depositional facies and sequence stratigraphy. AAPG Bull. 2010, 94, 1267–1309. [Google Scholar] [CrossRef]
- Bjørlykke, K.; Jahren, J. Open or closed geochemical systems during diagenesis in sedimentary basin: Constraints on mass transfer during diagenesis and the prediction of porosity in sandstone and carbonate reservoirs. AAPG Bull. 2012, 96, 2193–2214. [Google Scholar] [CrossRef]
- Luo, J.L.; Liu, X.S.; Fu, X.Y.; Li, M.; Kang, R.; Jia, Y.N. Impacts of petrologic components and their diagenetic evolution on tight sandstone reservoir quality and gas yield: A case study from He 8 gas-bearing reservoir of Upper Paleozoic in Northern Ordos Basin. Earth Sci.-J. China Univ. Geosci. 2014, 39, 537–545, (In Chinese with English Abstract). [Google Scholar]
- Zhang, L.; Guo, X.S.; Hao, F.; Zou, H.Y.; Li, P.P. Lithologic characteristics and diagenesis of the Upper Triassic Xujiahe Formation, Yuanba area, northeastern Sichuan Basin. J. Nat. Gas Sci. Eng. 2016, 35, 1320–1335. [Google Scholar] [CrossRef]
- Bjørlykke, K. Relationships between depositional environments, burial history and rock properties. Some principal aspects of diagenetic process in sedimentary basins. Sediment. Geol. 2014, 301, 1–14. [Google Scholar] [CrossRef]
- Fawad, M.; Mondol, N.H.; Jahren, J.; Bjørlykke, K. Microfabric and rock properties of experimentally compressed silt-clay mixtures. Mar. Pet. Geol. 2010, 27, 1698–1712. [Google Scholar] [CrossRef]
- Houseknecht, D.W. Assessing the relative importance of compaction processes and cementation to reduction of porosity in sandstones. AAPG Bull. 1987, 71, 633–642. [Google Scholar]
- Lai, J.; Wang, G.W.; Ran, Y.; Zhou, Z.L. Predictive distribution of high-quality reservoirs of tight gas sandstones by linking diagenesis to depositional facies: Evidence from Xu-2 sandstones in the Penglai area of the central Sichuan basin, China. J. Nat. Gas Sci. Eng. 2015, 23, 97–111. [Google Scholar] [CrossRef]
- Zeng, L.B.; Su, H.; Tang, X.M.; Peng, Y.M.; Gong, L. Fractured tight sandstone oil and gas reservoirs: A new play type in the Dongpu depression, Bohai Bay Basin, China. AAPG Bull. 2013, 97, 363–377. [Google Scholar] [CrossRef]













| Well | Depth (m) | Clay | Q. | PF. | PL. | Cal. | Dol. | I. | K. | C. | I/S. |
|---|---|---|---|---|---|---|---|---|---|---|---|
| CF563 | 3743.65 | 2.1 | 9.1 | 0 | 0.3 | 41.4 | 46.4 | ||||
| CF563 | 3741.90 | 3.1 | 14.3 | 0 | 0.4 | 33.3 | 49.3 | ||||
| CF563 | 3742.40 | 10.5 | 24.5 | 0 | 0 | 45.4 | 19.1 | 12 | 88 | 0 | 0 |
| X11 | 3579.75 | 6.9 | 54.8 | 0 | 0 | 26.3 | 12.6 | 73 | 0 | 27 | 0 |
| X11 | 3577.69 | 13.5 | 39.2 | 0.1 | 0.2 | 33.6 | 13.5 | 52 | 3 | 26 | 19 |
| CH139 | 3774.63 | 6.2 | 23.6 | 0 | 0.2 | 56.7 | 13.4 | 45 | 15 | 18 | 22 |
| CH139 | 3772.59 | 2.8 | 31.9 | 0.1 | 0 | 27.8 | 37.4 | ||||
| XC22 | 3555.42 | 7.9 | 34.2 | 0 | 0 | 32.1 | 25.1 | 43 | 14 | 19 | 24 |
| XC22 | 3550.87 | 14.8 | 35.7 | 0 | 0.2 | 42.3 | 7.2 | ||||
| FG21 | 3750.59 | 17.5 | 30.5 | 0 | 0.3 | 35.4 | 15.9 | ||||
| FG21 | 3758.89 | 6.3 | 24.1 | 0 | 0 | 47.3 | 22.6 | 58 | 21 | 16 | 5 |
| FG21 | 3769.37 | 6.3 | 43.1 | 0 | 0 | 26.4 | 23.4 |
| Characteristics | Calcareous Sandstone | Xu4 Sandstone | |
|---|---|---|---|
| Framework grain composition | Quartz: 1%~62%, feldspar: 0%~12%, and rock fragment: 37%~99%, framework grain composition of Q30F1L69 | Quartz: 45%~89%, feldspar: 0%~18%, and rock fragment: 8%~55%, framework grain composition of Q71F5L24 | |
| Mineral composition by XRD | Calcite: 37.3%, quartz: 30.4%, dolomite: 23.8%, and clay minerals: 8.2% | Quartz: 69.2%, clay minerals: 16.5%, calcite: 4.9%, dolomite: 4.1%, and plagioclase: 3.7% | |
| Storage space | Primary intergranular pore | Secondary pore: feldspar intragranular dissolved pore | |
| Reservoir quality | Porosity: 0.62% to 13.6%, with average value of 3.63%; permeability: 0.001 mD to 54.6 mD, with the median value 0.026 mD | Porosity: 0.58% to 12.71%, with average value of 6.13%; permeability: 0.002 mD to 9.93 mD, with the median value 0.142 mD | |
| Diagenesis | Compaction | Main factor of porosity reduction | |
| Dissolution | Weak, a few dolomite rock fragments dissolved | Stronger, formed feldspar intragranular dissolved pore constitute the main storage space | |
| Cementation | Carbonate cements predominant, other cements minor | Carbonate cements, quartz cement, and illite and kaolinite cements | |
Disclaimer/Publisher’s Note: The statements, opinions and data contained in all publications are solely those of the individual author(s) and contributor(s) and not of MDPI and/or the editor(s). MDPI and/or the editor(s) disclaim responsibility for any injury to people or property resulting from any ideas, methods, instructions or products referred to in the content. |
© 2024 by the authors. Licensee MDPI, Basel, Switzerland. This article is an open access article distributed under the terms and conditions of the Creative Commons Attribution (CC BY) license (https://creativecommons.org/licenses/by/4.0/).
Share and Cite
Wu, D.; Yu, Y.; Lin, L.; Chen, H.; Liu, S. Characteristics and Control Factors of a High-Quality Deeply Buried Calcareous Sandstone Reservoir, the Fourth Member of the Upper Xujiahe Formation in the Western Sichuan Basin, China. Minerals 2024, 14, 872. https://doi.org/10.3390/min14090872
Wu D, Yu Y, Lin L, Chen H, Liu S. Characteristics and Control Factors of a High-Quality Deeply Buried Calcareous Sandstone Reservoir, the Fourth Member of the Upper Xujiahe Formation in the Western Sichuan Basin, China. Minerals. 2024; 14(9):872. https://doi.org/10.3390/min14090872
Chicago/Turabian StyleWu, Dong, Yu Yu, Liangbiao Lin, Hongde Chen, and Sibing Liu. 2024. "Characteristics and Control Factors of a High-Quality Deeply Buried Calcareous Sandstone Reservoir, the Fourth Member of the Upper Xujiahe Formation in the Western Sichuan Basin, China" Minerals 14, no. 9: 872. https://doi.org/10.3390/min14090872
APA StyleWu, D., Yu, Y., Lin, L., Chen, H., & Liu, S. (2024). Characteristics and Control Factors of a High-Quality Deeply Buried Calcareous Sandstone Reservoir, the Fourth Member of the Upper Xujiahe Formation in the Western Sichuan Basin, China. Minerals, 14(9), 872. https://doi.org/10.3390/min14090872
