Characteristics and Mechanism of the Ore-Forming Fluids in the Shimensi Tungsten Polymetallic Deposit in Southeastern China
Abstract
1. Introduction
2. Regional Geological Background
3. Deposit Geology
4. Sampling and Analytical Methods
5. Results
5.1. Distribution and Types of Fluid Inclusions
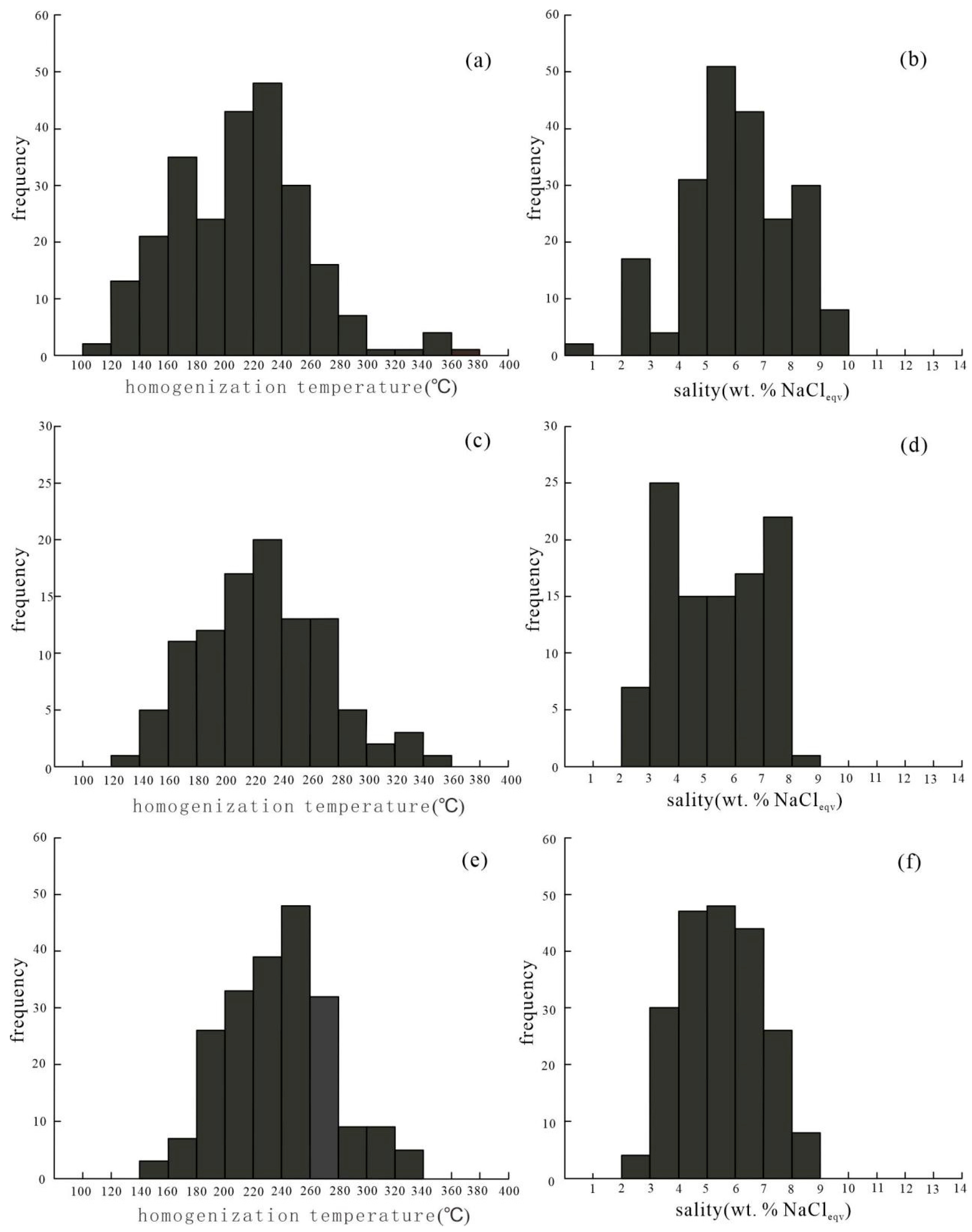
5.2. Homogenization Temperature, Salinity and Fluid Density
5.3. Fluid Components
5.3.1. Liquid Composition in Fluid Inclusions
5.3.2. Vapor Composition in Fluid Inclusions
5.4. Laser Raman Spectroscopy Test of Fluid Inclusions
5.5. H-O Isotope Characteristics
6. Discussion
6.1. Ore-Forming Fluid System
6.2. Metallogenetic Process
6.2.1. Ore-Forming Pressure
6.2.2. pH Value of Ore-Forming Fluid
6.2.3. Eh Value of Ore-Forming Fluid
6.3. Genesis of Ore-Forming Fluid
6.4. Mineral Precipitation Mechanism
7. Conclusions
- (1)
 - The fluid inclusions of quartz in the Shimensi tungsten polymetallic deposit are classified into five types, including liquid-rich inclusions (type I), pure liquid inclusions (type II), vapor-rich inclusions (type III), pure vapor inclusions (type IV), and fluid inclusions containing a solid crystal (type V). Microthermometry results show that the homogeneous temperature distribution of fluid inclusions in each mineralization stage is wide, ranging from 119 °C to 378 °C. The salinities vary from 0.88 wt.% to 9.47 wt.% NaCl equivalent, and the densities of the fluid are between 0.64 g/cm3 and 0.99 g/cm3, which belong to low-density fluid.
 - (2)
 - The liquid anion and cation components of fluid inclusions in the region are rich in Na+, Ca2+, SO42−, Cl− and a small amount of F− and NO3−. The vapor components are mainly H2O, which belong to NaCl-H2O fluid system containing a small amount of CO2, CH4 and N2. The high Ca2+ content in the fluid inclusions is favorable to the formation of scheelite (CaWO4).
 - (3)
 - The mineralization pressure of the Shimensi deposit ranges from 83.67 × 105 Pa to 365.09 × 105 Pa. The mean pressure of the fine-vein dipping type ore body ranges from 150.66 × 105 Pa to 365.09 × 105 Pa, the hydrothermal cryptoblastic breccia type ore body from 83.67 × 105 Pa to 221.67 × 105 Pa, the quartz vein type ore body from 107.77 × 105 Pa to 349.59 × 105 Pa. The variation ranges widely, but the overall pressure value is small, which refers to a low-pressure metallogenic environment. The pH values in the corresponding temperature-pressure range are 5.14 to 5.34, indicating a weakly acidic metallogenic condition, which is basically consistent with the metallogenic fluid of regional porphyry tungsten ore. The Eh values are between −0.14 and −0.08, showing a weakly reducing environment.
 - (4)
 - The H-O isotope test results show that the δDV-SMOW values of the quartz samples range from −77.8‰ to −60.6‰, and the average δ18O value of the mineralizing fluid is 2.90‰, indicating that the mineralizing fluid of the Shimensi tungsten polymetallic deposit mainly originates from the magma and has the mixing effect of atmospheric precipitation during the ascending process. The lower temperature may play a certain role in the precipitation enrichment of tungsten elements. The lower temperature may have contributed to the precipitation enrichment of tungsten.
 
Author Contributions
Funding
Data Availability Statement
Acknowledgments
Conflicts of Interest
References
- Li, Y.D.; Sheng, J.F.; Bel, L.L.; Giuliani, G. Evidengce for the lower continental crustal origin of the Xihuashan granite. Acta Geol. Sin. 1986, 60, 47–64. [Google Scholar]
 - Wei, W.F.; Hu, R.Z.; Peng, J.T.; Bi, X.W.; Song, S.Q.; Shi, S.H. Infrared microthermometric and stable isotopic study of fluid inclusions in wolframite at the Xihuashan tungsten deposit, Jiangxi province, China. Miner. Depos. 2012, 47, 589–605. [Google Scholar] [CrossRef]
 - Yang, J.H.; Peng, J.T.; Zhao, J.H.; Fu, Y.Z.; Yang, C.; Hu, Y.L. Petrogenesis of the Xihuashan Granite in Southern Jiangxi Province, South China: Constraints from Zircon U-Pb Geochronology, Geochemistry and Nd Isotopes. Acta Geol. Sin. 2012, 86, 131–152. [Google Scholar]
 - Liu, X.C.; Xing, H.L.; Zhang, D.H. Fluid focusing and its link to vertical morphological zonation at the Dajishan vein-type tungsten deposit, South China. Ore Geol. Rev. 2014, 62, 245–258. [Google Scholar] [CrossRef]
 - Mao, Z.H.; Cheng, Y.B.; Liu, J.J.; Yuan, S.D.; Wu, S.H.; Xiang, X.K.; Luo, X.H. Geology and molybdenite Re-Os age of the Dahutang granite-related veinlets-disseminated tungsten ore field in the Jiangxi Province, China. Ore Geol. Rev. 2013, 53, 422–433. [Google Scholar] [CrossRef]
 - Mao, J.W.; Yuan, S.D.; Xie, G.Q.; Song, S.W.; Zhou, Q.; Gao, Y.B.; Liu, X.; Fu, X.F.; Cao, J.; Zeng, Z.L.; et al. New advances on metallogenic studies and exploration on critical minerals of China in 21st century. Miner. Depos. 2019, 38, 935–969, (In Chinese with English Abstract). [Google Scholar]
 - Feng, C.Y.; Zhang, D.Q.; Xiang, X.K.; Li, D.X.; Qu, H.Y.; Liu, J.N.; Xiao, Y. Re-Os isotopic dating of molybdenite from the Dahutang tungsten deposit in northwestern Jiangxi Province and its geological implication. Acta Petrol. Sin. 2012, 28, 3858–3868, (In Chinese with English Abstract). [Google Scholar]
 - Sun, K.K.; Chen, B. Trace elements and Sr-Nd isotopes of scheelite: Implications for the W-Cu-Mo polymetallic mineralization of the Shimensi deposit, South China. Am. Miner. 2017, 102, 1114–1128. [Google Scholar]
 - Xiang, X.K.; Chen, M.S.; Zhan, G.N.; Qian, Z.Y.; Li, H.; Xu, J.H. Metallogenic geological conditions of Shimensi tungsten-polymetallic deposit in North Jiangxi Province. Contrib. Geol. Miner. Resour. Res. 2012, 27, 143–155, (In Chinese with English Abstract). [Google Scholar]
 - Xiang, X.K.; Wang, P.; Zhan, G.N.; Sun, D.M.; Zhong, B.; Qian, Z.Y.; Tan, R. Geological characteristics of Shimensi tungsten polymetallic deposit in Northern Jiangxi province. Miner. Depos. 2013, 32, 1171–1187, (In Chinese with English Abstract). [Google Scholar]
 - Li, H.W.; Zhao, Z.; Chen, Z.Y.; Guo, N.X.; Gan, J.W.; Li, X.W.; Yin, Z. Genitic relationship between the two-period magmatism and W mineralization in the Dahutang ore-field, Jiangxi Province: Evidence from zircon geochemistry. Acta Petrol. Sin. 2021, 37, 1508–15304, (In Chinese with English Abstract). [Google Scholar]
 - Huang, L.C.; Jiang, S.Y. Zircon U-Pb geochronology, geochemistry and petrogenesis of the porphyric-like muscovite granite in the Dahutang tungsten deposit, Jiangxi Province. Acta Petrol. Sin. 2012, 28, 3887–3900, (In Chinese with English Abstract). [Google Scholar]
 - Huang, L.C.; Jiang, S.Y. Geochronology, geochemistry and petrogenesis of the tungsten-bearing porphyritic granite in the Dahutang tungsten deposit, Jiangxi Province. Acta Petrol. Sin. 2013, 29, 4323–4335, (In Chinese with English Abstract). [Google Scholar]
 - Huang, L.C.; Jiang, S.Y. Highly fractionated S-type granites from the giant Dahutang tungsten deposit in Jiangnan Orogen, Southeast China: Geochronology, petrogenesis and their relationship with W-mineralization. Lithos 2014, 202–203, 207–226. [Google Scholar] [CrossRef]
 - Mao, Z.H.; Liu, J.J.; Mao, J.W.; Deng, J.; Zhang, F.; Meng, X.Y.; Xiong, B.K.; Xiang, X.K.; Luo, X.D. Geochronology and geochemistry of granitoids related to the giant Dahutang tungsten deposit, middle Yangtze River region, China: Implications for petrogenesis, geodynamic setting, and mineralization. Gondwana Res. 2015, 28, 816–836. [Google Scholar] [CrossRef]
 - Zhang, Z.X.; Dai, J.J.; Wang, X.G.; Hu, Z.H.; Wan, X.; Peng, B.; Fu, M.H.; Zhao, M.X. Shortwave infrared characteristics of muscovite from giant Shimensi tungsten deposit in northern Jiangxi Province and implication to exploration. Miner. Depos. 2023, 42, 116–127, (In Chinese with English Abstract). [Google Scholar]
 - Xiang, X.K.; Liu, X.M.; Zhan, G.N. Discovery of Shimensi super-large tungsten deposit and its prospecting significance in Dahutang area, Jiangxi Province. Resour. Surv. Environ. 2012, 33, 141–151, (In Chinese with English Abstract). [Google Scholar]
 - Xiang, X.K.; Wang, P.; Sun, D.M.; Zhong, B. Isotopic Geochemical characteristics of the Shimensi tungsten-polymetallic deposit in northern Jiangxi Province. Acta Geosci. Sin. 2013, 34, 263–271, (In Chinese with English Abstract). [Google Scholar]
 - Zhang, Z.H.; Ye, T.Z.; Zhu, X.Y.; Gong, X.D.; Jia, W.B.; Xiong, G.Q.; He, X.L.; Hu, B.J. Study on geological model for prospecting prediction of Shimensi tungsten deposit in northern Jiangxi Province. Geol. Bull. China. 2023, 42, 921–930, (In Chinese with English Abstract). [Google Scholar]
 - Gong, X.D.; Yan, G.S.; Ye, T.Z.; Zhu, X.Y.; Li, Y.S.; Zhang, Z.H.; Jia, W.B.; Yao, X.F. A study of ore-forming fluids in the Shimensi tungsten deposit, Dahutang tungsten polymetallic ore field, Jiangxi Province, China. Acta Geol. Sin. 2015, 89, 822–835, (English Edition). [Google Scholar]
 - Ye, Z.H.; Wang, P.; Xiang, X.K.; Yan, Q.; Li, Y.K.; Guo, J.H. Early Cretaceous tungsten mineralization in Southeastern China: The Wuning example. Inter. Geol. Rev. 2016, 59, 946–964. [Google Scholar] [CrossRef]
 - Wei, W.F.; Lai, C.K.; Yan, B.; Zhu, X.; Song, S.; Liu, L. Petrogenesis and metallogenic implications of Neoproterozoic granodiorite in the super-large Shimensi tungsten-copper deposit in northern Jiangxi, South China. Minerals 2018, 8, 429. [Google Scholar] [CrossRef]
 - Wei, W.F.; Shen, N.P.; Yan, B.; Lai, C.K.; Yang, J.H.; Gao, W.; Liang, F. Petrogenesis of ore-forming granites with implications for W-mineralization in the super-large Shimensi tungsten-dominated polymetallic deposit in northern Jiangxi Province, South China. Ore Geol. Rev. 2018, 95, 1123–1139. [Google Scholar] [CrossRef]
 - Wang, P. Geology, Fluid Inclusion, Stable Isotope and Molybdenite Re-Os Constraints on the Genesis of the Shimensi Tungsten Metallogenic Deposit, Northern Jiangxi Province: Tianjin; Sinosteel Tianjin Geological Academy: Tianjin, China, 2013; pp. 1–85, (In Chinese with English Abstract). [Google Scholar]
 - Wang, P.; Liang, T.; Jiang, H.; Xiang, X.; Zhong, B. Trace Elements and Pb-O Isotopes of Scheelite: Metallogenic Implications for the Shimensi W-Polymetallic Deposit in South China. Minerals 2022, 12, 1461. [Google Scholar] [CrossRef]
 - Lu, H.Z.; Fan, H.R.; Ni, P.; Ou, G.X.; Shen, K.; Zhang, W.H. Fluid Inclusions, 1st ed.; Science and Technology Press: Beijing, China, 2004; pp. 406–419. (In Chinese) [Google Scholar]
 - Zhu, H.L.; Zhang, L.P.; Du, L.; Sui, Q.L. The geochemical behavior of tungsten and the genesis of tungsetn deposit in South China. Acta Geosci. Sin. 2020, 36, 13–22, (In Chinese with English Abstract). [Google Scholar]
 - Shu, L.S. An analysis of principal features of tectonic evolution in South China Block. Geol. Bull. China 2012, 31, 1035–1053, (In Chinese with English Abstract). [Google Scholar]
 - Wang, X.L.; Zhou, J.C.; Chen, X.; Zhang, F.F.; Sun, Z.M. Formation and evolution of the Jiangnan orogen. Bull. Miner. Petrol. Geochem. 2017, 36, 714–735+696, (In Chinese with English Abstract). [Google Scholar]
 - Zhao, Z.; Liu, C.; Guo, N.X.; Zhao, W.W.; Wang, P.A.; Chen, Z.H. Temporl and spatial relationships of granitic magmatism and W mineralization: Insights from the Xingguo orefield, South China. Ore Geol. Rev. 2018, 95, 945–973. [Google Scholar] [CrossRef]
 - Chang, Y.F.; Li, J.H.; Song, C.Z. The regional tectionic framework and some new understandings of the Middle Lower Yangtze River Valley Metallogenic Belt. Acta Petrol. Sin. 2019, 35, 3579–3591, (In Chinese with English Abstract). [Google Scholar]
 - Xiang, X.; Lu, K.; Wang, S.L.; Zhan, G.N.; Xiao, E.; Hu, A.N.; Hu, B.Z.; Pan, W.J. Geological Feature of “one area three ore types” of a W -Cu-Mo deposit in Shimei Temple Area. In Proceedings of the Ninth Geological Science and Technology Forum in East China, Hangzhou, China, 25 November 2011; pp. 60–71, (In Chinese with English Abstract). [Google Scholar]
 - Campbell, A.R.; Panter, K.S. Comparison of fluid inclusions in coexisting (cogenetic?) wolframite, cassiterite, and quartz from St. Michael’s Mount and Cligga Head, Cornwall, England. Geochim. Cosmochim. Acta 1990, 54, 673–681. [Google Scholar] [CrossRef]
 - Bodnar, R.J.; Vityk, M.O. Interpretation of microthermetric data for H2O-NaCl fluid inclusions. In Fluid Inclusions in Minerals: Methods and Applications; De Vivo, B., Frezzotti, M.L., Eds.; Virginia Tech: Blacksburg, VA, USA, 1994; pp. 117–130. [Google Scholar]
 - Zhu, H.P.; Wang, L.J.; Liu, J.M. Determination of quadrupole mass spectrometer for gaseous composition of fluid inclusion from different mineralization stages. Acta Petrol. Sin. 2003, 19, 314–318. [Google Scholar]
 - Calyton, R.N.; Mayeda, T.K. The use of bromine pentafluoride in the extraction of oxygen from oxides and silicates for isotopic analysis. Geo. Cos. Acta. 1963, 27, 43–52. [Google Scholar] [CrossRef]
 - Roedder, E. Fluid inclusions. Rev. Miner. 1984, 12, 25–35+273. [Google Scholar]
 - Liu, B.; Shen, K. Fluid Inclusion Thermodynamics; Geological Publishing House: Beijing, China, 1999; pp. 207–208. (In Chinese) [Google Scholar]
 - Lu, H.Z. The Origin of Tungsten Mineral Deposits in South China; Chongqing Publishing House: Chongqing, China, 1986; pp. 1–230. (In Chinese) [Google Scholar]
 - Feng, C.H.; Wang, S.; Zeng, Z.L.; Zhang, D.Q.; Li, D.X.; She, H.Q. Fluid inclusions and chronology studies of Baxiannao mineralized fractured zone-type tungsten polymetallic deposit, south Jiangxi Province, China. Acta Petrol. Sin. 2012, 28, 52–64, (In Chinese with English Abstract). [Google Scholar]
 - Higgins, N.C.; Kerrich, R. Progressive 18O depletion during CO2 separation from a carbon diocide-rich hydrothermal fluid: Evidence from the Grey River tungsten deposit, Newfoundland. Can. J. Earth Sci. 1982, 19, 2247–2257. [Google Scholar] [CrossRef]
 - Rios, F.J.; Villas, R.N.; Fuzikawa, K. Fluid evolution in the Pedra Preta wolframite ore deposit. Paleoproterozic Musa Granite, East Amazon Craton, Brazil. J. S. Am. Earth Sci. 2003, 15, 787–802. [Google Scholar] [CrossRef]
 - Wang, X.D.; Ni, P.; Jiang, S.Y.; Zhao, K.D.; Wang, T.G. Origin of the ore-forming fluid in the Piaotang tungsten deposit in Jiangxi Province:Evidence from helium and argon isotope. Chin. Sci. Bull. 2010, 55, 3338–3344. [Google Scholar]
 - Wood, S.A.; Samson, I.M. The hydrothermal geochemistry of tungsten in granitoid environments: I. Relative solubilities of ferberite and scheelite as a function of T, P, pH, and mNaCl. Econ. Geol. 2000, 95, 143–182. [Google Scholar] [CrossRef]
 - Roedder, E.; Bodnar, R.J. Geologic Pressure Determinations from Fluid Inclusion Studies. Annu. Rev. Earth Planet. Sci. 1980, 8, 263–301. [Google Scholar] [CrossRef]
 - Tan, Y.J. The metallogenic mechanism of the Lianhuashan porphyry tungsten deposit. Sci. China B 1985, 6, 563–570. [Google Scholar]
 - Zheng, Y.F.; Chen, J.F. Stable Isotope Geochemistry; Science Press: Beijing, China, 2000; pp. 243–245. (In Chinese) [Google Scholar]
 - Zhang, Z.X.; Yang, F.Q.; Yan, S.H.; Zhang, R.; Chai, F.M.; Liu, F.M.; Geng, X.X. Sources of ore-forming fluid and materials of the Baogutu porphyry copper deposit in Xinjiang Constraints from sulpher-hydrogen-oxygen isotopes geochemistry. Acta Petrol. Sin. 2010, 26, 707–716, (In Chinese with English Abstract). [Google Scholar]
 - Clayton, R.N.; O’Neil, J.R.; Mayeda, T.K. Oxygen isotope exchange between quartz and water. J. Geophys. Res. 1972, 77, 3057–3067. [Google Scholar] [CrossRef]
 - Ding, T.P.; Liu, Y.S.; Wan, D.F.; Liu, Z.J.; Li, J.C.; Zhang, G.L. Study on quartz-tungsten iron ore oxygen isotope geothermometer and its geological application. Acta Geol. Sin. 1992, 66, 48–58. (In Chinese) [Google Scholar]
 - Song, S.Q.; Hu, R.Z.; Bi, X.W.; Wei, W.F.; Shi, S.H. Fluid inclusions geochemistry of the Taoxikeng tungsten deposit in southern Jiangxi Province, China. Geochemica 2011, 40, 237–248. [Google Scholar]
 - Seal, R.R.; Clark, A.H.; Morrissey, C.J. Stockwork tungsten (scheelite)-molybdenum mineralization, Lake George, Southwestern New Brunswick. Econ. Geol. 1987, 82, 1259–1282. [Google Scholar] [CrossRef]
 - Lynch, J.V. Hydrothermal alteration, veining, and fluid inclusion characteristics of the Kalzas wolframite deposit, Yukon. Can. J. Earth Sci. 1989, 26, 2106–2115. [Google Scholar] [CrossRef]
 - Polya, D.A. Chemistry of the main-stage ore-forming fluids of the Panasqueira W-Cu(Ag)-Sn deposit. Portugal: Implications for models of ore genisis. Econ. Geol. 1989, 84, 1134–1152. [Google Scholar] [CrossRef]
 - Giamello, M.; Protano, G.; Riccobono, F.; Sabatini, G. The W-Mo deposit of Perda Majori (SE Sardinia, Italy): A fluid inclusion study of ore and gangue minerals. Eur. J. Miner. 1992, 4, 1079–1084. [Google Scholar] [CrossRef]
 - So, C.S.; Yun, S.T. Origin and evolution of W-Mo-producing fluids in a granitic hydrothermal system: Geochemical studies of quartz vein deposits around the Susan granite, Hwanggangri district, Republic of Korea. Econ. Geol. 1994, 89, 246–267. [Google Scholar] [CrossRef]
 - Shepherd, T.J.; Rakin, A.; Alderton, D.H.M. A Practical Guide to Fluid Inclusion Studies; Black and Son Limited: East Grinstead, UK, 1985; pp. 1–154. [Google Scholar]
 - Zezin, D.Y.; Migdisco, A.A.; Williams, A.E. The solubility of gold in H2O-H2S vapor at elevated temperature and press. Geochem. Cosmochim. Acta 2011, 75, 5140–5153. [Google Scholar] [CrossRef]
 - Ramboz, C.; Schnapper, D.; Dubessy, J. The P-V-T-X-f O2 evolution of H2O-CO2-CH4 bearing fluids in a wolframite vein: Reconstruction from fluid liclusion studies. Geochem. Cosmochim. Acta 1985, 49, 205–219. [Google Scholar] [CrossRef]
 - Samson, I.M. Fluid evolution and mineralization in a subvolcanic granite stock: The Mount Pleasant W-Mo-Sn deposits, New Brunswick, Canada. Econ. Geol. 1990, 85, 145–163. [Google Scholar] [CrossRef]
 - O’Reilly, C.; Gallagher, V.; Feely, M. Fluid inclusion study of the Ballinglen W-Sn-sulphide mineralization, SE Ireland. Miner. Depos. 1997, 32, 569–580. [Google Scholar] [CrossRef]
 










| Sample | Ore Body Type | Location | Mineralogy | 
|---|---|---|---|
| SM001 | Thick quartz vein type | No. 402 mine, 45 m | Wolframite, chalcopyrite, molybdenite, scheelite | 
| SM002 | ZK1201, 55 m | Chalcopyrite and scheelite | |
| SM009 | No. 2 mine, 38 m | Wolframite, chalcopyrite, molybdenite, scheelite | |
| SM010 | No. 2 mine, YM2, 2 m | Chalcopyrite, molybdenite, scheelite | |
| SM013 | No. 2 mine, YM2, 35 m | Chalcopyrite, molybdenite | |
| SM033 | No. 401 mine, tunnel openings | Wolframite, chalcopyrite, molybdenite | |
| SM034 | No. 401 mine, YM1, 3 m | Wolframite, chalcopyrite, molybdenite, scheelite | |
| SM035 | No. 801mine, 30 m | Wolframite, chalcopyrite, molybdenite, scheelite | |
| SM037 | No. 802 mine, 40 m | Wolframite, chalcopyrite, molybdenite, scheelite | |
| SM003 | Hydrothermal cryptoexplosive breccia type | No. 402 mine, tunnel openings | Wolframite, chalcopyrite, molybdenite, scheelite | 
| SM006 | No. 3 mine, 15 m | Wolframite, chalcopyrite, molybdenite, scheelite | |
| SM008 | inclined shaft, 120 m | Wolframite, chalcopyrite, molybdenite, scheelite | |
| SM036 | No. 802 mine, H134 | Chalcopyrite, molybdenite, scheelite | |
| SM038 | No. 802 mine, H30 | Chalcopyrite, molybdenite, scheelite | |
| SM056 | Veinlet-disseminated type | ZK0408, 156 m | Greisenization and veinlet-disseminated scheelite on both sides of quartz vein | 
| SM021 | KZK0801, 396 m | Greisenization and veinlet-disseminated scheelite on both sides of quartz vein | |
| SM024 | ZK0803, 92 m | Greisenization and veinlet-disseminated scheelite on both sides of quartz vein | |
| SM025 | ZK0803, 86 m | Greisenization and veinlet-disseminated scheelite on both sides of quartz vein | |
| SM026 | ZK0408, 151 m | Greisenization and veinlet-disseminated scheelite on both sides of quartz vein | |
| SM027 | ZK0408, 131 m | Potash feldspathization, greisenization and veinlet-disseminated scheelite on both sides of quartz vein | |
| SM046 | ZK12412, 274 m | Greisenization and veinlet-disseminated scheelite on both sides of quartz vein | |
| SM047 | MZK3608, 96 m | Greisenization and veinlet-disseminated scheelite on both sides of quartz vein | |
| SM052 | MZK2611, 803 m | Greisenization and veinlet-disseminated scheelite on both sides of quartz vein | |
| SM060 | MZK0418, 184 m | Greisenization and veinlet-disseminated scheelite on both sides of quartz vein | |
| SM061 | MZK0418, 265 m | Greisenization and veinlet-disseminated scheelite on both sides of quartz vein | |
| SM062 | KZK0811, 383 m | Greisenization and veinlet-disseminated scheelite on both sides of quartz vein | 
| Sample | Ore Body Type | HT (°C) | NaCleq (wt.%) | Density (g/cm3) | 
|---|---|---|---|---|
| SM001 | Thick quartz vein type | 169–282 | 2.90–4.96 | 0.78–0.93 | 
| SM002 | 155–299 | 3.55–5.71 | 0.75–0.95 | |
| SM009 | 174–308 | 4.03–7.31 | 0.74–0.95 | |
| SM010 | 170–335 | 4.49–8.95 | 0.72–0.94 | |
| SM013 | 161–334 | 3.55–6.59 | 0.70–0.95 | |
| SM033 | 193–303 | 4.80–8.00 | 0.78–0.93 | |
| SM034 | 198–330 | 3.55–7.59 | 0.72–0.92 | |
| SM035 | 190–333 | 4.96–7.59 | 0.83–0.93 | |
| SM037 | 153–309 | 4.65–6.74 | 0.75–0.96 | |
| SM003 | Hydrothermal cryptoexplosive breccia type | 139–278 | 3.06–4.80 | 0.77–0.96 | 
| SM006 | 168–316 | 3.55–7.86 | 0.75–0.95 | |
| SM008 | 168–271 | 3.23–7.59 | 0.83–0.94 | |
| SM036 | 191–354 | 4.96–7.59 | 0.68–0.92 | |
| SM038 | 147–332 | 2.58–8.00 | 0.68–0.94 | |
| SM052 | Veinlet-disseminated type | 168–274 | 2.41–8.68 | 0.80–0.90 | 
| SM056 | 163–291 | 4.34–7.59 | 0.84–0.92 | |
| SM060 | 130–344 | 3.23–8.68 | 0.73–0.96 | |
| SM061 | 127–277 | 2.74–6.59 | 0.80–0.98 | |
| SM021 | 131–281 | 5.56–8.14 | 0.83–0.98 | |
| SM062 | 144–304 | 4.34–7.17 | 0.82–0.96 | |
| SM024 | 119–202 | 2.07–7.59 | 0.88–0.99 | |
| SM025 | 162–374 | 4.80–8.68 | 0.64–0.95 | |
| SM026 | 123–245 | 4.03–9.47 | 0.85–0.97 | |
| SM027 | 193–273 | 5.41–6.45 | 0.81–0.92 | |
| SM046 | 157–378 | 2.07–8.81 | 0.67–0.93 | |
| SM047 | 170–324 | 4.34–7.45 | 0.73–0.95 | 
| Sample | F− | Cl− | NO3− | SO42− | Na+ | K+ | Mg2+ | Ca2+ | H2 | N2 | 
| SM003 | 0.3760 | 1.515 | 0.4108 | 6.443 | 3.169 | 0.4048 | 0.7186 | 4.351 | 0.00010 | 0.00016 | 
| SM006 | 0.1871 | 0.7993 | 0.2205 | 8.834 | 2.814 | 0.3293 | 0.5802 | 6.151 | 0.00016 | 0.00010 | 
| SM052 | 0.1131 | 1.063 | 0.1537 | 8.713 | 1.522 | 0.3117 | 0.4103 | 6.597 | 0.00116 | 0.00099 | 
| SM026 | 0.0970 | 0.9802 | 0.2301 | 13.74 | 2.371 | 0.5324 | 0.5865 | 7.917 | 0.00059 | 0.00070 | 
| SM001 | 0.0949 | 1.258 | 0.1459 | 18.98 | 3.002 | 0.3498 | 0.4334 | 5.608 | 0.00037 | 0.00024 | 
| SM035 | 0.0538 | 1.051 | 0.1090 | 17.49 | 3.471 | 0.2825 | 0.6821 | 3.942 | 0.00041 | 0.00016 | 
| Sample | CO | CH4 | CO2 | H2O (vapor) | (Na+ + K+)/(Ca2+ + Mg2+) | Mg2+/Ca2+ | Na+/K+ | F−/Cl− | SO42−/(F− + Cl−) | SO42−/Cl− | 
| SM003 | 0.00002 | 0.00002 | 0.00021 | 99.99949 | 1.068 | 0.275 | 13.275 | 0.464 | 1.074 | 1.573 | 
| SM006 | 0.00001 | 0.00000 | 0.00005 | 99.99967 | 0.735 | 0.157 | 14.490 | 0.437 | 2.843 | 4.087 | 
| SM052 | 0.00002 | 0.00003 | 0.00022 | 99.99759 | 0.407 | 0.104 | 8.280 | 0.199 | 2.528 | 3.031 | 
| SM026 | 0.00008 | 0.00006 | 0.00057 | 99.99800 | 0.525 | 0.123 | 7.551 | 0.185 | 4.375 | 5.184 | 
| SM001 | 0.00001 | 0.00001 | 0.00015 | 99.99922 | 0.881 | 0.129 | 14.552 | 0.141 | 4.890 | 5.579 | 
| SM035 | 0.00002 | 0.00002 | 0.00021 | 99.99918 | 1.246 | 0.288 | 20.834 | 0.096 | 5.617 | 6.154 | 
| Sample | Ore Body Type | δ18Oquartz(‰) | δDV-SMOW(‰) | δ18OH2O(‰) | Homogenization Temperature (°C) | 
|---|---|---|---|---|---|
| YQ002 | Hydrothermal cryptoexplosive breccia type | 12.6 | −67.0 | 2.02 | 229 | 
| YQ003 | 12.4 | −61.6 | 1.82 | 229 | |
| YQ006 | 13.3 | −68.6 | 2.71 | 229 | |
| YQ007 | 13.5 | −60.6 | 2.91 | 229 | |
| YQ017 | Veinlet-disseminated type | 12.9 | −64.2 | 2.32 | 229 | 
| YQ018 | 12.5 | −69.2 | 1.92 | 229 | |
| YQ019 | 13.5 | −69.3 | 2.91 | 229 | |
| YQ020 | 12.9 | −65.0 | 2.32 | 229 | |
| Q001 | Thick quartz vein type | 12.9 | −66.7 | 2.78 | 238 | 
| Q004 | 12.9 | −74.9 | 2.78 | 238 | |
| Q005 | 12.3 | −68.7 | 2.19 | 238 | |
| Q008 | 15.3 | −77.8 | 5.16 | 238 | |
| Q009 | 13.2 | −68.7 | 3.08 | 238 | |
| Q010 | 13.7 | −71.7 | 3.58 | 238 | |
| Q011 | 12.8 | −72.3 | 2.69 | 238 | |
| Q012 | 12.2 | −70.4 | 2.09 | 238 | |
| Q013 | 12.6 | −71.7 | 2.49 | 238 | |
| Q021 | 12.6 | −74.9 | 2.49 | 238 | |
| Q022 | 12.7 | −72.5 | 2.59 | 238 | 
Disclaimer/Publisher’s Note: The statements, opinions and data contained in all publications are solely those of the individual author(s) and contributor(s) and not of MDPI and/or the editor(s). MDPI and/or the editor(s) disclaim responsibility for any injury to people or property resulting from any ideas, methods, instructions or products referred to in the content.  | 
© 2024 by the authors. Licensee MDPI, Basel, Switzerland. This article is an open access article distributed under the terms and conditions of the Creative Commons Attribution (CC BY) license (https://creativecommons.org/licenses/by/4.0/).
Share and Cite
Wang, P.; Ye, Z.; Zong, X. Characteristics and Mechanism of the Ore-Forming Fluids in the Shimensi Tungsten Polymetallic Deposit in Southeastern China. Minerals 2024, 14, 640. https://doi.org/10.3390/min14070640
Wang P, Ye Z, Zong X. Characteristics and Mechanism of the Ore-Forming Fluids in the Shimensi Tungsten Polymetallic Deposit in Southeastern China. Minerals. 2024; 14(7):640. https://doi.org/10.3390/min14070640
Chicago/Turabian StyleWang, Peng, Zhanghuang Ye, and Xiaohua Zong. 2024. "Characteristics and Mechanism of the Ore-Forming Fluids in the Shimensi Tungsten Polymetallic Deposit in Southeastern China" Minerals 14, no. 7: 640. https://doi.org/10.3390/min14070640
APA StyleWang, P., Ye, Z., & Zong, X. (2024). Characteristics and Mechanism of the Ore-Forming Fluids in the Shimensi Tungsten Polymetallic Deposit in Southeastern China. Minerals, 14(7), 640. https://doi.org/10.3390/min14070640
        