Abstract
To understand why hematite of different genesis behave diversely in flotation systems, this study assesses the flotation response at pH 5 of bulk (morphology, texture, Crystal Preferential Orientation (CPO)) plus interfacial (surface area, zeta potential, immersion enthalpy, contact angle, induction time) characteristics of species formed under distinct metamorphic conditions: low-strain deformation (Hematite-1) versus high-strain deformation (Hematite-2). Hematite-2 (predominantly composed of specular and lamellar morphologies) shows (001) CPO and exhibits fewer Fe sites on its surface that undergo doubly coordinated Fe-OH when exposed to moisture. This results in a less reactive surface associated with a less ordered adsorbed water layer than Hematite-1, which is predominantly composed of granular and sinuous hematite. Those characteristics lead to a naturally hydrophobic behavior characterized by the exothermic energy below the Critical Immersion Enthalpy ( < 200 mJ/m2), lower values of zeta potential due to attenuated dissociation of Fe-OH(surf), lower induction time (47 ms vs. 128 ms), higher contact angle (39° vs. 13°), and higher flotation recovery (21% vs. 12%) than Hematite-1.
1. Introduction
Hematite (α-Fe2O3) is a mineral composed of 69.9% iron and 30.1% oxygen, which crystallizes in the hexagonal system, symmetry class [1,2]. Along with quartz, hematite is one of the main components of a metamorphic rock called itabirite, an important type of iron ore [2]. Hematite particles can exhibit different morphology and texture controlled by the geological environment under which itabirite was formed [3,4,5]. Since diverse hematite morphologies may strongly influence particles’ behavior in many mineral processing unit operations [6,7,8,9], this paper approaches the influence of mineral genesis on particles’ bulk and interfacial properties, which influence their behavior in aqueous medium. Hematite from the geological domain named Iron Quadrangle of Minas Gerais (IQMG) exhibits remarkable diversity in texture and morphology as the result of the crystal preferred orientation (CPO) imposed by its structural framework deformational history [4,5,10,11]. The geology of IQMG typically shows increasing deformation structures varying from the West (Vargem Grande mine at Moeda syncline) to the East (Brucutu mine at Gandarela syncline), where hematite particles exhibit different crystallographic orientations (Figure 1) and CPO, which influence particles’ morphology and texture (Figure 2). Table 1 addresses those intrinsic bulk characteristics of hematite to its geneses [4,5,10,11,12].
Different crystal structures and morphology of hematite can affect particles’ surface properties, highlighting the fact that the predominance of the CPO parallel to the plane (001) characterizes the specular and lamellar hematite morphologies [10,11,13]. Four types of hematite (specular, lamellar, granular, and sinuous) described in Table 1 have been used by the mining company Vale S.A. to address hematite’s intrinsic characteristics (imposed by its genesis) to particle behavior in mineral processing plants [14,15,16,17].
Figure 1.
Miller indices u = (104), r = (101), n = (223), and c = (001), typically exhibited by different hematite morphologies: (A) granular; (B) lamellar; (C) specular [1,18].
Figure 1.
Miller indices u = (104), r = (101), n = (223), and c = (001), typically exhibited by different hematite morphologies: (A) granular; (B) lamellar; (C) specular [1,18].

Figure 2.
Morphological patterns to characterize hematite types [14,15,16,17].
Figure 2.
Morphological patterns to characterize hematite types [14,15,16,17].

Table 1.
Morphology and texture of hematite related to its genesis [3,5,10,11,12,14,15,16,17,18].
Table 1.
Morphology and texture of hematite related to its genesis [3,5,10,11,12,14,15,16,17,18].
| Brucutu | Vargem Grande | |
|---|---|---|
| Location at IQMG | Eastern domain—Gandarela syncline | Western domain—Moeda syncline |
| Geologic conditions during itabirite formation | High-strain deformation and folding | Low-strain deformation |
| Main crystal orientations (Figure 1) | Plane (001) predominant (Figure 1) | Planes (104), (101), (223) (Figure 1) |
| Texture (Figure 2) | Foliated and lepidoblastic with crystals showing preferred (001) orientation | Granoblastic with crystals showing low significant orientation |
| Limits of the grains (Figure 2) | Regular limits defined by the edges of the plates | Irregular limits with lobate to embayed shapes |
| Hematite types (Figure 2) | Specular and lamellar | Granular and sinuous |
When hematite particles are either suspended in an aqueous medium or in contact with humid air, the exposed Fe atoms can promptly react with water molecules, forming surface hydroxyl groups [Fe-OH(surf)]. As shown in Figure 3A, the hydroxyl groups formed onto the particle surface can be coordinated to one, two, and three underlying Fe atoms (singly, doubly, and triply coordinated, respectively), as well as twin (geminal) OH(surf) coordinated by a single Fe atom. In bulk hematite structure, considering that a single Fe atom coordinates six neighboring oxygen atoms, if a charge +1/2 is assigned to each Fe-O bond, three types of Fe-OH(surf) will show charges of −1/2 (singly coordination), 0 (doubly coordinated) and +1/2 (triply coordinated) [19,20,21,22]. The total density of Fe-OH(surf) on different hematite types depends on its crystal structure and also on the extent of the crystal face development [23,24]. This way, the existing termination atoms (whether O or Fe) on the surface of hematite and the type of Fe-OH coordination influence surface charge and the order of the adsorbed water molecules, according to information displayed in Table 2.
Figure 3.
Hydroxyl groups coordination onto hematite exposed atoms (A). Molecular and crystal structures: (B) hematite (001)-D1 surface domain; (C) hematite (001)-D2 surface domain; (D) order atoms organization in the hematite crystal structure layers. Atom color code: hydrogen—white, oxygen—red, iron—pink [19,20,21,22].
Table 2.
Termination atoms, Fe-OH coordination, status of surface charge, and water ordering onto hematite surface (001), (110), and (012) [20,22,25,26].
As displayed in Table 2, hematite (001) possesses two coexistent surface stoichiometries, differing mainly by the exposed atoms. When the surface presents one oxygen termination, it is called Domain-1 (D1), often represented by O3-Fe-Fe-R and characterized by doubly coordinated hydroxyl ions (Figure 3B). Since D1 is uncharged, the surrounding water molecules are weakly ordered. Conversely, when the surface exhibits just one iron termination, it is called Domain-2 (D2), and it is commonly represented by O3-Fe-O3-R or Fe-O3-Fe-R (Figure 3C). Although D2 occurs at the (001) surface, it also appears on surfaces (101), (110), and (102). When D2 is exposed to a moisture environment, Fe atoms are singly coordinated by OH, creating a charged surface that promotes an ordered adsorbed water layer [20,21,22].
Catalano and his group [25,26] studied the electron density profiles of the interfacial water on (001), (012), and (110) of hematite surface by high-resolution specular X-ray reflectivity (XR). Unlike hematite (012) and (110), hematite (001) lacks water arrangement and coverage due to steric constraints posed by the simple packing of molecules caused by doubly coordinated Fe-OH. Additionally, Lützenkirchen and co-workers [20] maintained that while the D2 surface develops charges, the D1 surface is more resistant to charging due to its lower reactivity. Their model links the weak water structure onto hematite (001) with the observed low isoelectric point (IEP) reminiscent of hydrophobic surfaces. Furthermore, the absence of an aging effect on the surface potential versus pH curves is interpreted as domination of the surface potential by the doubly coordinated hydroxyls [20].
The hematite/water interface can acquire electrical charge due to the hydrolysis of the existing Fe-OH(surf) groups, and at a particular pH named Point of Zero Charge (PZC), the charge of hematite/water interface is null due to the predominance of uncharged Fe-OH(surf) sites [23]. The PZC of natural hematite varies within a large range (4.2 pH < 7.0), probably due to the existing surface impurities (natural versus synthetic) and CPO [23,24,27]. At pH < PZC, the hematite/water interface is positively charged due to the predominance of (surf) sites, whereas at pH > PZC, the hematite/water interface is negatively charged due to the predominance of (surf) sites [23,24]. According to Boily and co-workers [28], the protonation of the (012) and (113) planes in an aqueous medium is a function of the proton affinity by specific OH surface sites, such as the −OH0.5− (triply coordinated), -OH0.5+ (singly coordinated), and –OH0 (doubly coordination) groups.
The different iron and oxygen terminations have been pointed out as the main cause of variable wettability and reagent adsorption onto the different types of hematite [7]. In reverse iron ore flotation, for instance, practitioners and researchers have reported that depression with starch is less effective for specific types of hematite: AFM and XPS studies conducted by Félix and co-workers [7] showed evidence that preferential adsorption of starch onto hematite occurs onto surface planes in the order of (110) > (100) > (001). Likewise, Nykänen and research fellows [29] reported poor hematite depression by starch for particles showing a predominant (001) plane, resulting in large losses to reverse iron ore flotation tailings.
Based on the identified inefficient adsorption of starch onto the basal plan of hematite, the proposed scientific approach is essential to verify if the same would impact the adsorption of fatty acids and/or the different types of hematite direct flotation performance. Currently, only reverse iron ore flotation is conducted in Brazilian plants and in most iron ore concentrators. Regardless of the various morphologies of hematite that coexist in the same deposit, the same reagents and process have been implemented for more than 50 years, which is the reason why iron ore reverse flotation tailings are still a high-grade resource. For instance, all the Iron Quadrangle mines in Brazil use the same depressant (starch) and collector (ether amine) and a reverse iron ore flotation process. However, iron ore concentrators that process morphologies that are largely composed of specular hematite see higher losses of hematite to the froth product due to true flotation of hematite because of the ineffective adsorption of starch onto the basal plane, as shown by NYKANEN et al. (2020) [29].
Because of this, direct flotation is one possible process to recover the lost hematite from tailings. However, the impact of the lower reactivity of its basal plane on direct flotation has never been investigated. This lower reactivity may be harmful or beneficial, depending on whether the overriding effect results in lower adsorption of the collector or whether the higher hydrophobicity of the naturally hydrophobic basal plane persists and may be increased by flotation collectors. Considering this hypothesis, different reagent systems could be explored as a process mineralogy strategy.
Therefore, this study assesses bulk (chemical composition, mineralogy, morphology/texture) plus interfacial (surface area, zeta potential, immersion enthalpy, contact angle, induction time) characteristics of two different hematite types sourced from low-strain (Vargem Grande mine) versus high-strain (Brucutu mine) domains of the IQMG, aiming at understanding on how different particle morphology and texture (imposed by geneses) can affect the interaction of either particle/water (immersion enthalpy, zeta potential) or particle/bubble/water (contact angle, induction time, flotation response) in the absence of flotation reagents.
2. Materials and Methods
2.1. Materials
Two hematite samples (Hematite-1 and Hematite-2) were carefully hand-picked at Vargem Grande mine and Brucutu mine (Table 1). MilliQ® water (resistivity = 18 MΩ·cm), (Merck, Darmstadt, Germany), was used in measurements of contact angle and induction time, whereas distilled water (resistivity = 2 MΩ·cm) was used in other experiments. Analytical grade sodium hydroxide (NaOH), purchased from CAAL, São Paulo, Brazil, and hydrochloric acid (HCl), purchased from Labsynth, Diadema, Brazil, were used to regulate the pH of hematite aqueous suspensions; pro-analysis sodium chloride (NaCl), purchased from CAAL, São Paulo, Brazil, was used as supporting electrolyte in zeta potential determinations. Diamond paste (Struers, Cleveland, USA), ethanol (purity of 99.5%), purchased from Labsynth, Diadema, Brazil, and MilliQ® water were used to clean the surface of polished hematite body-proofs used in the measurement of contact angle and induction time.
2.2. Sample Preparation
The samples were first dry ground in a roller press until the P95 of 1 mm (95% passing in the 16# Tyler sieve). Thereafter, the samples were submitted to dry grinding in a ball mill for 2 min in a closed circuit with a 150 mesh Tyler sieve. This process was repeated with the sieve overflow until P80 reached 106 µm (150# Tyler). Finally, the material for the microflotation tests was classified as −150# +325#. The material passing 325# was later dry ground in a pan mill carefully for 1 min repeatedly until 100% was passing 400# (38 µm), a particle size fraction adequate for the microcalorimetry studies since the equipment requires the highest surface area possible to produce reliable data.
This way, throughout this paper, the coarser (C) and finer (F) fractions of Hematite-1 are abbreviated as H-1-C and H-1-F, respectively. In the same way, the terms H-2-C and H-2-F are addressed to the coarse and fine fractions of Hematite-2, respectively.
2.3. Chemical Composition
Bulk quantitative chemical analysis of the coarse and fine fractions of Hematite-1 (H-1-C, H-1-F) and Hematite-2 (H-2-C, H-2-F) was performed by XRF (Malvern Panalytical Zetium X-ray fluorescence spectrometer) (Malvern Panalytical, Worcestershire, UK) by using a lithium tetraborate fusion flux. Calibrations are related to the quantitative analysis by the comparison with certified references. The loss by ignition (LI) was performed by exposing the samples to heat (1020 °C) for 2 h in the oven. Further qualitative and semi-quantitative analysis of chemical elements found in the two different types of hematite raw particles (−106 + 44 µm) and the polished sections mounted on stubs and carbon coated were detected by Scanning Electron Microscopy (SEM) using the energy dispersion detector (EDS) INCA x-act (Oxford Instruments, Abingdon, UK) coupled with the microscope model Stereoscan 440 (LEO) (Leica Cambridge, Ltd., West Midlands, UK).
2.4. Mineralogy
Mineralogical studies by XRD were conducted with the coarse samples of Hematite-1 and Hematite-2 ground at −20 m by using diffractometer Empyrean Generation III (Panalytical 2020) (Malvern Panalytical, Worcestershire, UK) endowed with X-ray tubes Cu kα (λ = 1.542 Å, 2.2 kW), using kβ filters. The identification of the crystalline phases was accomplished by the comparison of the resultant diffractogram with the database PDF2 of the ICDD (International Centre for Diffraction Data) and ICSD (Inorganic Crystal Structure Database). All XRD spectra were obtained on the same day using the same operational procedure. The X-ray diffraction analysis was conducted under the following conditions: Cu λ = 1.542 Å (Ni filter was used since Monochromatic X-radiation kβ is required for powder XRD); divergence slit diameter = 15 mm (diameter); increment = 0.02°; Δ2θ = 2.5°–70°. The obtained X-ray diffraction profiles were analyzed using the software X‘Pert High Score Plus 4.8 (Malvern Panalytical, Worcestershire, UK) to enable the semi-quantitative analysis by Rietveld refinement based on the Elements of X-Ray Diffraction methods by Cullity [30]. In addition, the study targeted analyzing possible differences regarding the crystal preferred orientation (CPO) of the high-purity hematite samples 1 and 2 compared to the theoretical data of the standard hematite, quartz, and magnetite XRD spectra based on the ICSD: 082904 reference code 01-087-1166, 01-085-0794, and 01-074-0748, respectively.
2.5. Morphology and Texture
2.5.1. Optical Microscopy
Analysis of morphology (shape) and texture (Figure 2) of H-1-C and H-2-C was accomplished by reflected light optical microscopy using the microscope Leica DM2500P (Leica Microsystems, Wetzlar, Germany). Both samples were previously cold-embedded in Epoxy glass resin, polished with diamond paste in automatic polishing equipment, and thoroughly washed with distilled water. The photomicrographs were obtained in an image analyzer connected to Qwin software 3.1.0 (LEICA), which was utilized to conduct the qualitative and quantitative polycrystalline minerals analysis by the standard procedure of area estimation implemented at Vale according to the PRO 007925 [14]. Accordingly, the identification and quantification of hematite crystals (Figure 1) in both samples followed the standard automatic procedures adopted by Vale’s characterization staff to classify and quantify the content of hematite types (specular, lamellar, granular, sinuous) in iron ore, according to patterns depicted in Figure 2. Further details of the standard procedure are described by Gomes and co-workers [15,16,17].
2.5.2. Shape Analysis by Dynamic Imaging (Camsizer)
Dynamic image analysis was conducted using the Camsizer-XT (supplied by Retsch, Haan, German), which is a non-destructive tool suitable for analyzing dry solids. The instrument covers a wide size range (0.03–30 mm) and captures 50 images per second. It features a vibratory feeder that transports particles to a free-fall feed shaft equipped with a light source and two high-resolution CCD (Charge-Coupled Device) cameras with varying image scales. As the sample freely flows, the cameras capture images of individual particles. Subsequently, the Camsizer’s specialized software analyzes those images to derive specific parameters such as median particle size, length, width, and roundness. The determination of particle size and morphology distribution was carried out through dynamic image analysis on the Camsizer-XT with air pressure dispersion (100 kPa) using the X-Jet module, following the procedure described in the ISO 13322–2 standard particle size analysis–image analysis methods [31]. By using the X-Jet module, the particles are analyzed in free fall but fed with a dry powder jet feeder, in which they are accelerated and dispersed through a device applying variable pressure to deagglomerate the particles.
Information on the particle shape of dry samples of H-1-C and H-2-C was provided by image analysis via CAMSIZER™ (supplied by Retsch, Haan, Germany). The results were expressed by two shape factors: sphericity () and aspect ratio (AR). Sphericity is a measure of how closely a particle approaches a spherical configuration [6,32,33], calculated by the ratio between the areas of the image and of the circle of diameter Dp, according to Equation (1). The calculated sphericity value when particles are perfect spheres, when they exhibit an octahedron shape, and perfect cubic shape [6,33]. The aspect ratio (AR) is the ratio between the longest and shortest dimension of the particles, calculated by the quotient of Xcmin (the smallest diameter of the particle, comparable to the screening diameter) by the maximum Feret (XFemax) diameter, which is the largest possible distance between two parallel tangents in the particle, as depicted by Equation (2). The smaller the AR value, the more elongated the particle shape [34]. Diagram sphericity versus aspect ratio provided a qualitative analysis of the correlation between particle elongation versus roundness for the coarser fraction (−106 + 44 µm) of Hematite-1 and Hematite-2.
2.6. Zeta Potential
Zeta potential determinations were carried out in a Malvern Zetasizer Nano-ZS (Malvern Panalytical, Worcestershire, UK) using the technique of Laser Doppler Velocimetry (LDV). The equipment applies a voltage gradient across a pair of electrodes located at both ends of the electrophoretic cell containing finely pulverized particles (H-1-F, H-2-F) suspended in an aqueous medium. Charged particles are attracted to the oppositely charged electrode, and their electrophoretic mobility is measured and converted into zeta potential (mV) by the Smoluchowski approach [35]. For each experiment, 0.05 g of either Hematite-1 (H-1-F) or Hematite-2 (H-2-F) was dispersed in 100 mL of distilled water. The pH was regulated by adding drops of diluted NaOH and HCl solutions. NaCl (10 mM) was used as a supporting electrolyte. After 30 min of conditioning at a desired pH, a sample from the suspension was filled into the electrophoretic cell, and the zeta potential was determined 4–6 times at 25 °C for each type of particulate system (H-1-F and H-2-F).
2.7. Chemical Composition of the Outer Layers by XPS
The XPS technique was used for the chemical characterization of the outer surface layers (up to 10 nm depth) of samples H-1-F and H-2-F. They were irradiated with X-ray, and the emitted photoelectrons were resolved as a result of their kinetic energies after interaction with the surface. The software Avantage 5.9931 (Thermoscientific, Waltham, MA, United States) was used for data acquisition and processing. By analyzing the obtained spectra, it was possible to obtain the elemental composition, as well as the chemical and electronic state of the elements. The equipment used for the photoelectric analysis was the Thermoscientific K-alpha with an X-ray source of Al Ka microfocus with variable spot size. The analyzer was a double-focus hemispherical with 128 detection channels with an ion cannon and ion cluster plus load compensation system.
2.8. Surface Area and Porosity
Surface area and porosity of finer (H-1-F, H-2-F) and coarser (H-1-C, H-2-C) fractions of Hematite-1 and Hematite-2 were determined by mercury intrusion porosimetry (Micrometrics Porosimeter AutoPore IV) (Micromeritics Instrument Corporation, Norcross, GA, USA), according to the standard procedure ISO 15901-1 [36]. Before any experiment, the samples were dried over 12 h at 105 °C to guarantee dehydration. The mass of the material was split to fit half of the penetrometer volume (3.0 cm3). Thereafter, mercury was introduced in the penetrometer, and the pressures varied from 131 to 413 kPa. The surface area and porosity of the samples were determined by the pore diameter, which is calculated from the cumulative mercury volume versus pressure curves, applying the Washburn equation according to the procedure ISO 15901-1 [36], based on the wettability of hematite by mercury (contact angle θ = 130°) and the surface tension (γ = 0.485 N/m) of mercury.
2.9. Wettability Integrated Analysis
2.9.1. Floatability and Kinetics
The floatability and kinetics of H-1-C and H-2-C (−106 + 44 µm) were determined in a 400 cm3 UCT (University of Cape Town) microflotation cell, described by Bradshaw and O’Connor [37]. A particulate suspension was prepared by mixing 2.5 g of mineral and 250 mL of distilled water at pH 5 and 25 °C. After 10 min of conditioning, synthetic air was introduced through a syringe from the bottom of the cell at a constant rate of 10 mL/min. Floated products were collected at 0.5, 2.0, 5.5, and 12.0 min; filtered by a vacuum pump; and dried at 40 °C. The cumulative recovery was calculated based on the dry mass of the floated and sunk products over time, whereas the flotation rate (k) and the cumulative recovery as time tends to infinite () were determined by Equation (3), based on a first-order kinetic model.
2.9.2. Immersion Enthalpy
Determinations of the immersion enthalpy (heat of immersion) of Hematite-1 (H-1-F) and Hematite-2 (H-2-F) were carried out on the Precision Solution Calorimeter at the University of Cape Town. The Precision Solution Calorimeter is positioned into the TAM III multicalorimeter (TA Instruments, New Castle, DE, USA) and is composed of a calorimetric unit and a calorimetric cylinder connected by electronic functions. Before starting any experiment, the mineral samples were dried for 4 days under a vacuum of 100 mBar at 40 °C. The mass of the samples was monitored as a function of time to guarantee they had reached stability. A glass ampoule was weighed empty, and its mass was recorded before being loaded (¾ of its volume) with 2–3 g of the dry mineral sample (Hematite-1, Hematite-2). The loaded ampoule (LA) was weighed, and the actual mass used in any experiment was determined. The loaded ampoule was sealed using silicon rubber plus melted beeswax and attached to a gold stirrer holder, which rotates inside the reaction vessel at 300 rpm. The 25 mL reaction vessel was filled with the wetting liquid (distilled water at pH 5). The calorimeter was set at 25 °C (with a precision of 0.0001 °C) in the TAM III oil bath. Once the temperature stability criteria were satisfied (≤10 µK), the experiment was initiated with the calibration. The energy input during calibration was 2 mJ, and the duration of the immersion experiments was set at 10 min for all calorimetric experiments. After the appropriate thermal baseline was achieved, the reaction was initiated by pressing down the calorimetric unit, thereby breaking the ampoule that contained the mineral and mixing it into the distilled water in the vessel. The SolCal software (TA Instruments) calculated the heat released or gained due to the reaction between the mineral powder and the wetting liquid (water). The heat change (mJ) due to the reaction was normalized relative to the surface area of the mineral sample, yielding the immersion enthalpy per m2 (mJ/m2).
2.9.3. Contact Angle and Induction Time
Measurements of contact angle () coupled with induction time () were carried out by the captive bubble method using goniometer DSA-25 (Krüss Scientific, Hamburg, Germany), following experimental procedures used by Tohry and co-workers [38]. Polished hematite chunks (body proofs) were introduced in the glass cuvette positioned in the equipment, which allows real-time measurements by the evaluation of digitalized images acquired by a high-speed camera and recorded in a video of bubble-surface interaction from collision to stability (well-established three-phase contact line). Before any measurement, the mineral surface was carefully cleaned by manual polishing using a nap cloth and a diamond paste in the presence of Milli-Q® water (MilliporeSigma, Burlington, MA, USA) for 1 min, followed by washing with ethyl alcohol for 1 min and thoroughly washing with Milli-Q® water. The cleaned mineral surface was positioned upside down in the cuvette and immersed in Milli-Q® water at pH = 5. Thereafter, the bubble (released by a hook needle) rose through the solution and encountered the mineral surface, attaching to it. Each millisecond of the bubble–mineral interaction was recorded by a high-speed camera and processed by the equipment software, which allows the determination of the induction time and the direct measurement of the contact angle. For the θ measurements, after particle/bubble contact and adhesion, a baseline was manually adjusted in the three-phase contact point, and a geometrical fit was applied to the bubble boundary line. The length of time between the maximum bubble deformation and the beginning of the film liquid rupture (particle/bubble adhesion) was considered the induction time (τ). All the experiments were conducted at 25 ± 1 °C.
3. Results and Discussion
3.1. Bulk Chemical and Mineralogical Composition
The results from XRF analysis carried out with coarse (H-1-C, H-2-C) and fine (H-1-F, H-2-F) particles of Hematite-1 and Hematite-2 are displayed in Table 3. Since the Fe grade of any sample is close to the maximum value predicted by stoichiometry (Fe content = 70%), it is reasonable to conclude that all samples show a purity 97%. Complementary XRD mineralogical analysis (Figure 4) corroborates the results from XRF chemical analysis (Table 3). Both samples were composed of high-purity hematite, given the minimum presence of impurities (Table 3), such as SiO2 (less than 1%) and Al2O3 (less than 0.4%), assigned to the presence of quartz and kaolinite, respectively. Therefore, Hematite-1 and -2 were considered adequate for fundamental studies targeting the surface characterization of the two different morphologies of hematite.
Table 3.
XRF analysis of coarse and fine particles of Hematite-1 and Hematite-2.
Figure 4.
XRD spectra with Rietveld refinement semi-quantitative analysis for the high-purity hematite samples: (A) Hematite-1 (blue peaks) showing the main CPO (012), (104), (110), (006), (113), (202), (024), (116), (211), (122), (018), (214), (300), (125), (208) and magnetite (green peaks) showing the main CPO (111), (022), (113), (222), (004), (133), (224), (115), (044), (135), (244); (B) Hematite-2 (blue peaks) showing the main CPO (012), (104), (110), (006), (113), (202), (024), (116), (211), (122), (018), (214), (300), (125), (208) and quartz (green peaks) showing the main CPO (100), (011), (110), (102), (111), (200), (201), (112), (003), (002), (013), (210), (121), (113), (300), (122), (203), 031).
Considering only the predominant phase (hematite) in the coarse hematite samples H-1-C and H-2-C, Figure 4A exhibits the experimental data versus the theoretical XRD spectra based on the ICSD: 082904 reference code 01-087-1166 for hematite, 01-085-0794 for quartz, and 01-074-748 for magnetite, after its pulverization under 20 µm. Figure 4A,B exhibits the frequency (counts) of X-ray diffracted at 2 = 39.3° related to the (006) = (001) of the hexagonal crystallographic family planes of hematite [1,18]. Both types of hematite show higher peak intensity related to the basal plane (001), observed when comparing the blue peaks (Hematite-1) and red peaks (Hematite-2) to the standard ICSD spectra for hematite (blue vertical lines). However, for the Hematite-1 (collected from Vargem Grande mine), the peak intensity at 39.3° showed an area only 10 to 15% higher than the ICSD pattern, while the Hematite-2 (from Brucutu mine) peak at the (006) = (001) position showed a two-fold intensity of the peak (006) = (001) compared to the Hematite-1. Accordingly, the XRD spectra of the Hematite-2 evidence that their particles are oriented to the basal plane (001). Additionally, the XRD analysis conveys higher intensities for the peaks related to the planes (104), (110), and (113). Thus, it can be concluded that Hematite-1 is mainly composed of more rounded shapes, with misoriented planes in the same family, as shown in Figure 1—u = (104), r = (101), n = (223). Conversely, Hematite-2 also shows a significant intensity of the peak u(104), which refers to a flatter plane, similar to the basal plane (001). The next sections include further discussions about whether Scanning Electron Microscopy (SEM), optical microscopy, and dynamic imaging analysis (Camsizer) corroborate the XRD data.
3.2. Morphology and Texture
3.2.1. SEM and Optical Microscopy Analysis
Images obtained by Scanning Electron Microscopy (SEM) (Figure 5) indicate that Hematite-1 is essentially composed of particles exhibiting rounded and sinuous boundaries, irregular shapes, and rough and altered texture. On the other hand, particles of Hematite-2 are platy-shaped, exhibiting sharp edges and clean and flat surfaces. According to Rosière and co-workers [4], because Hematite-2 is found in contact-metasomatic deposits, its particles developed a crystal-preferred orientation (CPO) parallel to the plane (001), originating platy-shaped particles (lamellar and specular habits) often forming thin sheets (Figure 5) due to the high-strain tectonic process. This trend corroborates results from (Section 3.1) yielded by the XRD data.
Figure 5.
SEM images 200× magnification illustrating the differences in shape between Hematite-1 (on the left) and Hematite-2 (on the right) on the −106 + 44 µm particle size fraction.
The results from optical microscopy under reflected light (Table 4) display the content of four morphological/textural types of hematite (depicted in Figure 2), which compose the samples from the Vargem Grande mine (Hematite-1) versus the Brucutu mine (Hematite-2). Those morphological/textural patterns (specular, lamellar, granular, and sinuous) are adopted by the mining company Vale to characterize hematite from different mines and mining fronts [14,15,16,17]. Accordingly, Hematite-1 is predominantly composed of sinuous (50%) plus granular (34%) types, contrasting with a considerably lower content of lamellar (15%) plus specular (1%) types. Conversely, Hematite-2 is mostly composed of specular (55%) plus lamellar (38%) types, accompanied by only 5% of granular type plus traces of martite (2%). The automated recognition of hematite grains under reflected light microscopy illustrates the effect of the CPO on the morphology of Hematite-1 and Hematite-2. As discussed in Section 3.1, Hematite-1 showed the (001) XRD peak about 15% more intense than a regular hematite, an estimation that agrees with the presence of ~16% of lamellar/specular hematite. For the Hematite-2, according to the optical microscopy, 92% of the particles are platy-shaped. This also can be related to the extreme intensity of the (006) = (001) peak shown in Figure 4, followed by the other intense peaks, since the lamellar and specular hematite morphologies present mainly the c = (001), r = (101), and n = (223) orientations (Figure 1).
Table 4.
Morphological composition of Hematite-1 and Hematite-2 determined by optical microscopy using the internal standard procedure created by Vale [14,15,16,17].
3.2.2. Direct Assessment of Particle Shape
Particle size distribution was at first determined by the dynamic image analysis for the coarser (H-1-C, H-2-C) and finer (H-1-F, H-2-F) fractions of both samples of hematite. The results depicted in Figure 6 indicate that either coarse or fine fractions of both types of hematite exhibit similar particle size distribution.
Figure 6.
Particle size distribution conducted by dynamic image analysis (Camsizer) for the coarser and finer fractions of the Hematite-1 and -2.
Particle sphericity () versus aspect ratio (AR) of the coarser fraction (−106 + 44 µm) of Hematite-1 (H-1-C) versus Hematite-2 (H-2-C) are presented in Figure 7. According to the classification maintained by many authors [2,33,34], those results demonstrate that particles of either Hematite-1 or Hematite-2 show similar average values of medium sphericity, for Hematite-1 versus for Hematite-2. However, Hematite-2 shows 12% of its particles in the angular to sub-angular aspect ratio range (0.2 to 0.5) and most of its particles in the sub-angular range, while Hematite-1 shows 50% of its particles with the rounded aspect (0.7 to 0.8 aspect ratio) and 50% in the sub-angular aspect. These results showed that, despite similarities in the sphericity statistical average, a population of particles with very low roundness and elongated shape for Hematite-2 was observed, whereas the Hematite-1 showed more congruent dimensions (Xcmin and XFemax), resulting in more rounded shapes. Although results yielded by Camsizer point out a high bulk average sphericity value for Hematite-2, the value can be addressed to the shape of a hexahedron, according to Souza Pinto and co-workers [6], while found for Hematite-1 may be referred to an octahedron. Therefore, once the hexahedron is composed of oriented planes, including the (001), the results yielded by Camsizer agree with the XRD, morphology, and texture analysis previously shown in this paper.
Figure 7.
Aspect ratio and sphericity bulk analysis.
The particle shape significantly affects the physical, chemical, and surface properties of particles and, therefore, influences the mineral processing operations such as flotation. Triffett and Bradshaw [39] found that in an industrial flotation operation, molybdenite particles of higher aspect ratio were reported to concentrate faster than those of lower aspect ratio due to the increased concentration of hydrophobic sulfur species across the basal planes of the plate-like molybdenite structure. Therefore, concurrent surface chemistry analysis is pertinent when studying how shape characteristics influence the kinetics of flotation, as the two properties can be intrinsically related.
3.2.3. Surface Area and Porosity
The results displayed in Table 5 indicate that particles of Hematite-2, whether coarse (H-2-C) or fine (H-2-F), exhibit surface area very much higher than particles of Hematite-1. In addition, the porosity shown by Hematite-2 is greater than Hematite-1. These results are in agreement with the literature [40,41] since those authors found that the specular hematite presented a higher volume of pores and surface area than the martitic and granular hematite. The results on the surface area displayed in Table 5 were used to normalize the results on the heat (enthalpy) of immersion approached in Section 3.5.
Table 5.
Surface area and porosity obtained for the coarser and finer hematite samples.
3.3. Surface Composition by XPS Analysis
The results from XPS studies (peak binding energies (BEs), full width at half maximum (FWHM), and percentage area) of each component obtained from the peak fitting are summarized in Table 6. The Fe 2p peak was evaluated considering that the intensity of each spin–orbit component can be fitted conveniently using three curves related to the different chemical environments of the surface cations [42]. The interpretation of this result does not accurately classify the chemical states of iron because the 2p states of transition metals are described by multiplet splitting [43,44]. However, the fitted Fe 2p peak envelope with a relatively small set of Fe 2p components related to the exposed iron atoms (Fe1, Fe2, and Fe3) was relevant to follow the peak asymmetry changes as a function of the different morphologies of hematite. Therefore, this analysis does not describe the exact nature of multiple components but aims to compare the different atomic contributions of Fe 2p and O 2s in Hematite-1 and Hematite-2 surfaces.
Table 6.
Summary of XPS parameters for Hematite-1 and Hematite-2.
As observed in Table 6, the Fe 2p3/2 peak envelope was fitted using three components separated by ~1 eV. Following this procedure, the observed BEs are consistent with those reported in the literature for the Fe 2p3/2 region, ranging from ~710 to 713 eV [7,45]. These BE values correspond to the Fe3+ oxidation state in hematite [46]. The satellite peak of Fe 2p3/2 for Fe2O3 is located approximately 8 eV higher than the main Fe 2p3/2 peak, at 711 eV [45,46]. The satellite peak obtained at 719 eV is clearly distinguishable and does not overlap either the Fe 2p3/2 or Fe 2p1/2 peaks. In addition, there are other satellite peaks ranging from 724 eV to 733 eV, which, according to Yamashita and Hayes [46], may be a satellite peak for Fe 2p1/2 at 724 eV. Besides the additional 724 eV satellite, the XPS analysis showed the higher energy satellites 728 eV and 733 eV, which might be related to the Fe3 peak and a possible fourth peak associated with the Fe3 peak, with binding energies ranging from 713 eV to 715 eV. For the Fe 2p components atomic quantification, this last peak range was accounted for in the Fe3 species. The O 1s peaks of Hematite-2 were composed of two components with binding energies located at 529.61 eV and 531.86 eV, the first corresponding to the metal oxide main peak [44].
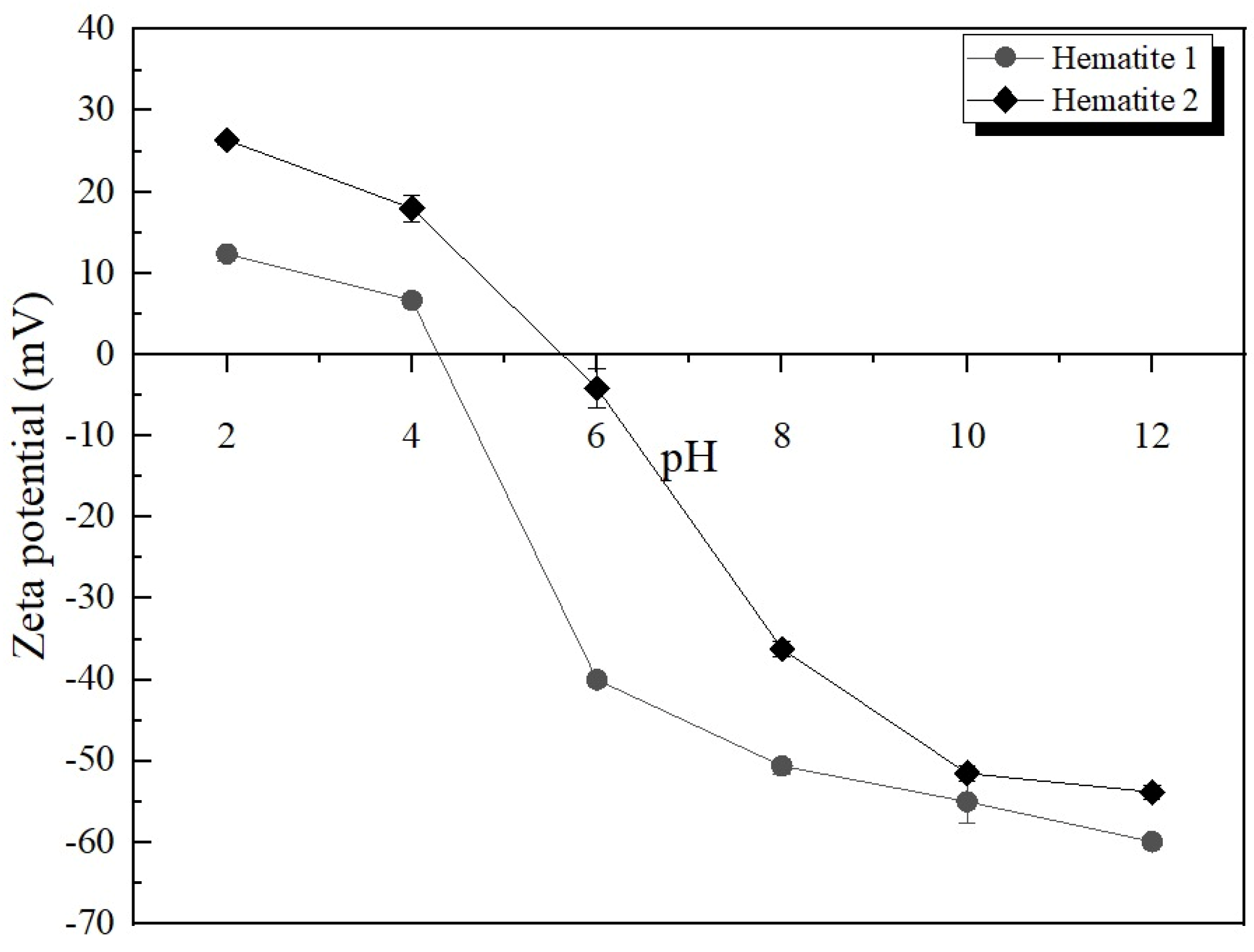
3.4. Zeta Potential
The results displayed in Figure 8 indicate that the magnitude and sign of zeta potential (ζ) of hematite particles (H-1-F, H-2-F) are very dependent on the pH of the aqueous suspension. This way, the amphoteric dissociation of the existing surface Fe-OH groups is expected to promote either positive (pH < IEP) or negative (pH > IEP) values of ζ of both samples. At pH~5, particles of Hematite-1 (ζ −15 mV) and Hematite-2 (ζ +8 mV) exhibit zeta potential of opposite sign, and such a difference is probably due to the different types of Fe-OH coordination (Table 2), which may occur onto hematite surface depending on its crystal orientation [20,23,24,25,26,27,28]. Accordingly, due to the predominance of specular and lamellar hematite types in Hematite-2 (Table 3), it is reasonable to expect that uncharged doubly coordinated Fe-OH exhibited by Domain-1 (O3-Fe-Fe-R), which is frequent o (001) hematite surface, can attenuate the amphoteric dissociation of Fe-OH(surf), leading to lower modulus of zeta potential of particles of Hematite-2 compared to Hematite-1 at pH = 5. From Figure 8, it is possible to assess the Isoelectric Point (IEP) of Hematite-1 (IEP at pH~4.3) and Hematite-2 (IEP at pH~5.6). Both IEPs lay in the typical range (4.2 pH < 7.0) found in the literature for natural -Fe2O3 [23,24]. However, because the surface of Hematite-1 (ratio Fe/O = 5.6 in Table 5) bears more iron and less oxygen than Hematite-2 (ratio Fe/O = 4.9 in Table 5), one can expect a lower reactivity of (001) surface (more abundant in Hematite-2) as the result of the occurrence of doubly coordinated Fe-OH (Table 2). Since the literature fails to provide information on the surface composition (Fe/O ratio) of other hematite samples used in zeta potential and IEP determinations conducted elsewhere [27,47], some conflicting values of IEP are found for specular hematite from Australia (IEP at pH = 4.2) [47] versus Labrador, Canada, (IEP at pH = 6.6) [27] plus Hematite-2 from Brazil (IEP at pH = 5.6).
Figure 8.
Zeta Potential curves of Hematite-1 and Hematite-2.
3.5. Wettability and Interaction with Air Bubbles
The wettability of hematite particles can be characterized by its contact angle (), which is the angle formed by the mineral surface and air bubble, measured across the aqueous solution. According to results shown in Table 7, Hematite-1 shows a contact angle ( = 13°) lower than Hematite-2 ( = 39°), indicating that the former (Hematite-1) is much more intensively wetted by water than the latter (Hematite-2). Using the same method adopted by this paper (captive bubble method), Shrimali and co-workers [48] reported contact angles between 48° and 50° for hematite (001) at pH = 5. Since particles of Hematite-2 predominantly exhibit (001) surface, its higher contact angle ( = 39°) may be due to the occurrence of doubly coordinated Fe-OH related to the existing Domain-1 onto the hematite surface [20,21,22,26,27,28]. In addition, the immersion enthalpy () of hematite was used to characterize the fine fractions’ (H-1-F and H-2-F) wettability by water. The results displayed in Table 7 indicate that water wets Hematite-1 ( = 1943 mJ/m2) more strongly than Hematite-2 ( = 178 mJ/m2), corroborating the values of contact angle: Hematite-1 ( = 13°) versus Hematite-2 ( = 39°). The immersion enthalpy of the hematite/water system expresses the overall heat, normalized by the surface area, which is generated by all the reactions happening between surface active sites and the interacting aqueous medium. This way, is an indicator of the natural hydrophilicity of mineral species: the higher the mineral surface energy, the higher its and hydrophilicity [49]. Taguta [50] studied various minerals and proposed a Critical Enthalpy of Immersion (CEI) to be −200 mJ/m2. Accordingly, minerals more exothermic than −226 mJ/m2 are naturally hydrophilic and, eventually, non-floatable in the absence of flotation collectors. Conversely, mineral species less exothermic than −226 mJ/m2 are naturally hydrophobic and exhibit floatable behavior in the absence of collectors. Therefore, the more exothermic the reaction of minerals with water, the more intensive and frequent hydrogen bonding between mineral surface sites and water molecules [49,50]. Shrimali and co-workers [48] provided experimental evidence that hematite remains hydrophobic in the range of acidic pH but becomes strongly hydrophilic at the basic medium ( 0°). Those authors observed that hematite loses its hydrophobicity when kept at basic pH, apparently due to hydroxylation of the surface. It should be noted that slow hydroxylation of the hematite surface takes place even at natural pH, with the contact angle being reduced to about 20° within 24 h [48]. Oxide minerals, like hematite, are generally thought to be hydrophilic and well-wetted by water. However, complete wetting, as shown by recent studies [20,22,23,24,25,26,27,28,29,30,31,32,33,34,35,36,37,38,39,40,41,42,43,44,45,46,47,48], depends on the hydroxylation of the mineral surface in order to provide H-bonding sites for interfacial water molecules to interact and adsorb [51]. In some cases, hydroxylation is rapid, and the oxide surfaces are wetted by water within minutes. In other cases, the reaction with water is slow, and the time for hydroxylation/wetting is extended to days [52,53] once the water on the basal plane of the lamellar–specular hematite (001) is weakly structured [26].
Table 7.
Wettability integrated analysis: a correlation among contact angle, immersion enthalpy, and flotation response for two distinct hematite morphologies.
As a bubble approaches a particle, the intervening aqueous film between both bodies must progressively get thinner and collapse for particle/bubble adhesion to occur. Since is the length of time taken by the intervening aqueous film to collapse, it is reasonable to expect that higher values of are directly related to the resistance posed by the intervening aqueous film to collapse. In this regard, according to results displayed in Table 7, the existing adsorbed water layer onto the surface of Hematite-1 ( = 128 ms) poses greater resistance to collapse than the water layer adsorbed onto Hematite-2 ( = 47 ms). In addition, the value = 47 ms measured for (001) Hematite-2 is corroborated by a result (40 ms) of particle/bubble adhesion time maintained by Shrimali and co-workers [48] for (001) hematite (specularite) from the Iron Quadrangle of Minas Gerais (IQMG). Because Hematite-2 is predominantly composed of specular and lamellar hematite (>90% in Table 4), which are characterized by CPO of (001), the existing Domain-1 (O3-Fe-Fe-R) on (001) hematite surface can favor the formation of Fe-OH doubly coordinated, which promotes uncharged surface, leading to a weaker ordering of the adsorbed water layer [25,26]. Ugur [41] discussed that the critical induction time of irregular particles is lower than that of spherical particles. It has been demonstrated that, in flotation systems, since the prismatic particles adhere to the bubble surface more easily than the rounded particles, sharp edges can successfully cause the liquid film to rupture and increase flotation recovery [48,54,55,56,57]. According to Ma, Xia, and Xie [56], during particle–bubble adhesion, the angular shape can easily tear the water film, which shortens the duration of attachment and increases flotation kinetics.
Figure 9 exhibits hematite recovery versus flotation time obtained from microflotation experiments conducted with samples H-1-C and H-2-C at pH = 5 in the absence of any collector and frother. Since the results from both sets of experiments fit a first-order kinetic model, it was possible to determine two curves to correlate the cumulative recovery of hematite versus flotation time for both Hematite-1 and Hematite-2. They are represented by Equations (4) and (5), from where the maximum recovery (Rmax) and kinetic constant (k) were extracted and reported in Table 7.
Figure 9.
Hematite recovery versus time in the absence of flotation reagents at pH 5.
According to results depicted in Figure 9, Hematite-2 (Rmax = 21%) showed higher recovery versus time than Hematite-1 (Rmax = 12%), accompanied by slightly higher values of kinetic constant (0.15 min−1 versus 0.12 min−1). In this regard, higher floatability exhibited by Hematite-2 () is probably due to its higher contact angle and lower induction time than Hematite-1 (), which corroborates trends maintained by different authors [41,52,53,54,55,56,58]. Moreover, in spite of the prominent difference in contact angle, the slightly lower value of kinetic rate constant (k) found for Hematite-2 (k = 0.12 min−1) compared to Hematite-1 (k = 0.15 min−1) suggests that a successful collection of platy-shaped particles (predominantly found in Hematite-2) by air bubbles depends on a previous random collision between (001) hematite surfaces with air bubbles.
4. Concluding Remarks
This study investigated two hematite samples from the Iron Quadrangle of Minas Gerais (Brazil) formed under distinct geological conditions: Hematite-1 (from Vargem Grande mine, Moeda syncline) experienced low-strain deformation, whereas Hematite-2 (from Brucutu mine, Gandarela syncline) was formed under high-strain deformation and folding. This way, Hematite-1 exhibits granoblastic texture, with crystals showing low significant orientation. Contrarily, Hematite-1 shows foliated and lepidoblastic texture with crystal-preferred orientation (CPO) parallel to (001). Using the classification adopted by the mining company Vale to classify hematite types according to their morphology and texture, the sample identified as Hematite-1 contains only 15% specular plus lamellar hematite (complemented by 34% granular type and 49% sinuous type), while the sample identified as Hematite-2 is predominantly composed of lamellar (38%) plus specular (55%) hematite types, exhibiting CPO parallel to (001). Characterizing particle shape through their sphericity () and aspect ratio (AR), although particles from Hematite-1 () and Hematite-2 () show similar values of , the former exhibits more congruent dimensions resulting in more rounded shapes (higher AR), whereas the latter contains considerably more particles showing elongated shape (lower AR). In addition, fine particles (−38 ) of Hematite-1 (porosity = 35%, surface area = 2080 cm2/g) are less porous and exhibit lower surface area than those of Hematite-2 (porosity = 40%, surface area = 3940 cm2/g).
The distinct geneses also influenced the surface properties of hematite. The results from XPS analysis on the chemical composition of the hematite’s surface revealed a Fe/O ratio of 5.6 for Hematite-1 and Fe/O = 4.9 for Hematite-2. Therefore, the former exposes more Fe atoms than the latter to coordinate OH groups through interactions with vapor or liquid water. Depending on the termination atom on the surface (whether Fe or O), different Fe-OH coordination (singly, doubly, triply, and geminal) can be formed, which consequently influences surface charge and the ordering of the adsorbed water layer. Since the surface stoichiometry of hematite largely depends on its crystal orientation, platy-shaped (001) hematite (found predominantly in Hematite-2) can exhibit Domain-1 (O3-Fe-Fe-R), which allows the formation of double Fe-OH coordination, leading to a less reactive surface, characterized by lack of charge and a less ordered adsorbed water layer. On the other hand, because granular and sinuous hematite types (predominantly found in Hematite-1) do not exhibit CPO and expose more Fe atoms to interact with water, they undergo single Fe-OH coordination, which creates a charged interface and strongly ordered adsorbed water layers. Since the zeta potential of hematite particles is highly dependent on the pH of the aqueous suspension, attenuation of amphoteric dissociation of Fe-OH(surf) of platy-shaped particles due to the predominance of Domain-1 on its surface can lead to lower modulus and opposite sign of zeta potential of particles of Hematite-2 (+8 mV) compared to Hematite-1 (−15 mV) at pH = 5.
The less reactive and hydrated (001) surface exhibited by platy-shaped specular plus lamellar hematite promotes an immersion enthalpy ( = 178 mJ/m2) of Hematite-2 less than the critical value ( = 200 mJ/m2) proposed by Taguta [49,50] to distinguish the naturally hydrophobic ( < 200 mJ/m2) from hydrophilic ( > 200 mJ/m2) character. It contrasts with the prominent naturally hydrophilic character exhibited by Hematite-1 ( mJ/m2), whose naturally higher wettability by water is evidenced by a lower contact angle () compared to Hematite-2 (. The magnitude of and can justify the higher flotation recovery of Hematite-2 ( = 21%) compared to Hematite-1 ( = 12%), as well as the lower values of induction time () exhibited by Hematite-2 ( = 47 ms) versus Hematite-1 ( = 128 ms). In spite of Hematite-2 showing a value of which is 2.7 times lower than Hematite-1, the slightly lower kinetic constant rate exhibited by Hematite-2 (k = 0.12 min−1) versus Hematite-1 (k = 0.15 min−1) is probably due to the fact that successful particle collection of Hematite-2 by air bubbles depends on previous random collision between the (001) surface and air bubbles.
All these differences justify distinct process routes associated with specific development and illustrate the challenges faced by the respective industrial circuits (Vargem Grande versus Brucutu) not only in the flotation process since morphology and surface reactivity also influence wet grinding, desliming, dewatering, drying, and pelletizing unit operations [8,22].
Author Contributions
L.M.F., B.M. and L.d.S.L.F., conceptualization and methodology; L.M.F., validation, formal analysis, and investigation; L.M.F., data curation and writing—original draft preparation; L.M.F., B.M., L.d.S.L.F. and J.T.G.J., writing—review and editing; B.M. and L.d.S.L.F., visualization and supervision; L.M.F. and L.d.S.L.F., project administration and funding acquisition. All authors have read and agreed to the published version of the manuscript.
Funding
This research was funded by the Vale Institute of Technology and National Council for Scientific and Technological Development (CNPq/ITVALE), grant number 202532/2019-4, the Brazilian Nanotechnology National Laboratory (LNNano) of the Brazilian Center for Research in Energy and Materials (CNPEM), grant number 20231712, and Clariant Mining Solutions.
Data Availability Statement
Data are contained within the article.
Acknowledgments
The authors acknowledge the Center for Minerals Research (CMR) of the University of Cape Town for the hosting, training, and laboratory availability during the doctoral period. The authors especially acknowledge the Technological Characterization Laboratory (Laboratório de Caracterização Tecnológica–LCT) of the Mining and Petroleum Department of the University of São Paulo for the training and support with the characterization studies.
Conflicts of Interest
Livia Marques Faustino received funding support from Vale Insitute of Technology and Cleariant comnpany. The funding sponsors had no role in the design of the study; in the collection, analyses, or interpretation of data; in the writing of the manuscript, and in the decision to publish the results.
References
- Klein, C.; Hurlbut, C., Jr. Manual of Mineralogy (after James D. Dana); John Wiley & Sons: New York, NY, USA, 1993; p. 681. [Google Scholar]
- Tamirat, A.G.; Rick, J.; Dubale, A.A.; Su, W.; Hwang, B. Using hematite for photocatalytic water splitting a review of current developments and challenges. Nanoscale Horiz. R. Soc. Chem. 2016, 4, 243–267. [Google Scholar] [CrossRef] [PubMed]
- Halder, S. Genesis of BIF-Hosted Iron Ore Deposits in the Carajás Mineral Province, Brazil: Constraints from In-Situ Fe Isotope Analysis and Whole-Rock Geochemistry. Ph.D. Thesis, Faculty of Energy and Management Science, Clausthal University of Technology, Clausthal-Zellerfeld, Germany, 2017; p. 145. [Google Scholar]
- Rosière, C.A.; Siemes, H.; Quade, H.; Brokmeier, H.; Jansen, E.M. Microstructures, textures and deformation mechanisms in hematite. J. Struct. Geol. 2001, 23, 1429–1440. [Google Scholar] [CrossRef]
- Pires, F.R.M. Textural and mineralogical variations during metamorphism of the Proterozoic Itabira Iron Formation in the Quadrilátero Ferrífero, Minas Gerais, Brazil. An. Da Acad. Bras. De Ciências 1995, 67, 77–105. [Google Scholar]
- Souza Pinto, T.C.; Slatter, P.T.; Matai, P.H.; Leal Filho, L.S. The influence of hematite particle shape on stratification in pipe flow. Powder Technol. 2016, 302, 75–80. [Google Scholar] [CrossRef]
- Félix, L.L.; Moreira, G.F.; Leal Filho, L.S.; Stavale, F. Starch adsorption on hematite surfaces: Evidence of the adsorption mechanism dependence on the surface orientation. Miner. Eng. 2022, 178, 107429. [Google Scholar] [CrossRef]
- Lima, N.P.; Silva, K.; Souza, T.; Filippov, L. The characteristics of iron ore slimes and their influence on the flotation process. Minerals 2020, 10, 675. [Google Scholar] [CrossRef]
- Martins, M.; Lima, N.P.; Leal Filho, L.S. Iron ore minerals depression: Influence of mineralogy, morphology and conditioning pH. Int. Eng. J. 2012, 65, 393–399. [Google Scholar]
- Barbosa, P.F.; Lagoeiro, L.E. Crystallographic texture of the magnetite-hematite transformation: Evidence for topotactic relationships in natural samples from Quadrilatero Ferrifero, Brazil. Am. Mineral. 2010, 95, 118–125. [Google Scholar] [CrossRef]
- Mendes, M.; Lagoeiro, L. Microstructures, crystallographic fabric development and deformation mechanisms in natural hematite aggregates deformed under varied metamorphic conditions. J. Struct. Geol. 2012, 40, 29–43. [Google Scholar] [CrossRef]
- Lagoeiro, L.E. Transformation of magnetite to hematite and its influence on the dissolution of iron oxide minerals. J. Metamorph. Geol. 1998, 16, 415–423. [Google Scholar] [CrossRef]
- Taylor, S.D.; Kovarik, L.; Cliff, J.B.; Rosso, K.M. Facet-selective adsorption of Fe(ii) on hematite visualized by nanoscale secondary ion mass spectrometry. Environ. Sci. Nano 2019, 6, 2429–2440. [Google Scholar] [CrossRef]
- Carvalho, E.P.; Silva, R.G.; Ferreira, R.F. Centro de Pesquisas Tecnológicas Vale—Análise Mineralógica PRO 007925, Rev.: 05. 2019.
- Gomes, O.F.M.; Iglesias, J.C.A.; Paciornik, S.; Vieira, M.B. Classification of hematite types in iron through circularly polarized light microscopy and image analysis. Miner. Eng. 2013, 52, 191–197. [Google Scholar] [CrossRef]
- Iglesias, J.C.A.; Gomes, O.F.M.; Paciornik, S. Automatic recognition of hematite grains under polarized reflected light microscopy through image analysis. Miner. Eng. 2011, 24, 1264–1270. [Google Scholar] [CrossRef]
- Gomes, O.D.M.; Paciornik, S.; Iglesias, J.C.A. A simple methodology for identifying hematite grains under polarized reflected light microscopy. In Proceedings of the 17th International Conference on Systems, Signals and Image Processing—IWSSIP 2010, Rio de Janeiro, Brazil, 17–19 June 2010; EdUFF, Niterói: Rio de Janeiro, Brazil, 2010; pp. 428–431. [Google Scholar]
- Flint, E. Princípios de Cristalografia; Mir Publisher: Moscow, Russia, 1966; p. 250. [Google Scholar]
- Cornell, R.M.; Schwertammn, U. The Iron Oxides: Structure, Properties, Reactions, Occurrences and Uses, 2nd ed.; Wiley–VCH: Weinheim, Germany, 2003; p. 664. [Google Scholar]
- Lützenkirchen, J.; Heberling, F.; Supljika, F.; Preocanin, T.; Kally, N.; Johann, F.; Weisser, L.; Eng, P.J. Structure-charge relationship—the case of hematite (001). Faraday Discuss. 2015, 180, 55–79. [Google Scholar] [CrossRef] [PubMed]
- Silva, K.; Silva, L.A.; Pereira, A.M.; Bastos, L.C.; Correia, J.C.G.; Piçarra, A.; Bicalho, L.; Lima, N.; Filippova, I.V.; Filippov, L.O. Comparison between etheramine and amidoamine (N-[3-(dimethylamino) propyl]dodecanamide) collectors: Adsorption mechanisms on quartz and hematite unveiled by molecular simulations. Miner. Eng. 2022, 180, 107470. [Google Scholar] [CrossRef]
- Filippov, L.O.; Silva, L.A.; Pereira, A.M.; Bastos, L.C.; Correia, J.C.G.; Silva, K.; Piçarra, A.; Foucaud, Y. Molecular models of hematite, goethite, kaolinite, and quartz: Surface terminations, ionic interactions, nano topography, and water coordination. Colloids Surf. A Physicochem. Eng. Asp. 2022, 650, 129585. [Google Scholar] [CrossRef]
- Carlson, J.J.; Kawatra, S.K. Factors Affecting Zeta Potential of Iron Oxides. Miner. Process. Extr. Metall. Rev. 2013, 34, 269–303. [Google Scholar] [CrossRef]
- Healy, T.W.; Fuerstenau, D.W. The oxide-water interface-interrelation of the zero point of charge and the heat of immersion. J. Colloids Sci. 1965, 20, 376–386. [Google Scholar] [CrossRef]
- Trainor, T.P.; Chaka, A.M.; Eng, P.J.; Newville, M.; Waychunas, G.A.; Catalano, J.G.; Brown, G.E., Jr. Structure and reactivity of the hydrated hematite (0001) surface. Surf. Sci. 2004, 573, 204–224. [Google Scholar] [CrossRef]
- Catalano, J.G. Weak interfacial water ordering on isostructural hematite and corundum (001) surfaces. Geochim. Cosmochim. Acta 2011, 75, 2062–2071. [Google Scholar] [CrossRef]
- Parks, G.A. The isoelectric points of solid oxides, solid hydroxides, and aqueous hydroxo complex systems. Chem. Rev. 1965, 65, 177–198. [Google Scholar] [CrossRef]
- Boily, J.F.; Chatman, S.; Rosso, K.M. Inner-Helmholtz potential development at the hematite (α-Fe2O3) (001) surface. Geochim. Cosmochim. Acta 2011, 75, 4113–4124. [Google Scholar] [CrossRef]
- Nykanen, V.P.S.; Braga, A.S.; Pinto, T.C.S.; Matai, P.H.L.S.; Lima, N.P.; Leal Filho, L.S.; Monte, M.B.M. True flotation versus entrainment in reverse cationic flotation for the concentration of iron ore at industrial scale. Miner. Process. Extr. Metall. Rev. 2020, 41, 11–21. [Google Scholar] [CrossRef]
- Cullity, B.D. Elements of X-Ray Diffraction, 2nd ed.; Addison-Wesley Publishing: Boston, MA, USA, 1956; p. 569. [Google Scholar]
- ISO 13322-2; Particle Size Analysis—Image Analysis Methods—Part 2: Dynamic Image Analysis Methods. STANDARDIZATION, I.O.F. ISO: Geneva, Switzerland, 2006.
- Wadel, H. Volume, shape and roundness scale for sedimentary rock particles. J. Geol. 1932, 40, 443–451. [Google Scholar] [CrossRef]
- Pinto, T.C.S.; Lima, O.A.; Filho, L.S.L. Sphericity of apatite particles determined by gas permeability through packed beds. Miner. Metall. Process. J. 2009, 26, 105–108. [Google Scholar] [CrossRef]
- Patchigolla, K. and Wilkinson, D. Crystal Shape Characterisation of Dry Samples using Microscopic and Dynamic Image Analysis. Part. Part. Syst. Charact. 2009, 26, 171–178. [Google Scholar] [CrossRef]
- Hunter, R.J. Zeta Potential in Colloid Science: Principles and Applications; Academic Press: London, UK, 1988. [Google Scholar]
- ISO 15901-1:2005; Evaluation of Pore Size Distribution and Porosimetry of Solid Materials by Mercury Porosimetry and Gas Adsorption—Part 1: Mercury Porosimetry. ISO: Geneva, Switzerland, 2005.
- Bradshaw, D.J.; Connor, C.T. Measurement of the sub-process of bubble loadin in flotation. Miner. Eng. 1996, 9, 443–448. [Google Scholar] [CrossRef]
- Tohry, A.; Dehghan, R.; Oliveira, A.V.; Chelgani, S.C.; Leal Filho, L.S. Enhanced Washburn Method (EWM): A comparative study for the contact angle measurement of powders. Adv. Powder Technol. 2020, 31, 4665–4671. [Google Scholar] [CrossRef]
- Triffett, B.; Bradshaw, D. The role of morphology and host rock lithology on the flotation behaviour of molybdenite at Kennecott Utah Copper. In Proceedings of the 9th International Congress for Applied Mineralogy: ICAM 2008, Brisbane, Australia, 8–10 September 2008; pp. 465–473. [Google Scholar]
- Henriques, A.B.; Clarke Peres, A.E.; Brandão, P.R.G. Estudo da Porosidade de hematitas originárias do quadrilátero ferrífero e de Carajás. In Proceedings of the 67th ABM–Internacional Congress, Rio de Janeiro, Brazil, 31 July–3 August 2012; pp. 3669–3677. [Google Scholar]
- Ugur, U. Review—A Review of Particle Shape Effects on Material Properties for Various Engineering Applications: From Macro to Nanoscale. Minerals 2023, 13, 91. [Google Scholar]
- McIntyre, N.S.; Zetaruk, D.G. X-ray Photoelectron Spectroscopic Studies of Iron Oxides. Anal. Chem. 1977, 49, 1521–1529. [Google Scholar] [CrossRef]
- Gupta, R.P.; Sen, S.K. Calculation of multiplet structure of core p-vacancy levels. II. Phys. Rev. B 1975, 12, 15–19. [Google Scholar] [CrossRef]
- Bagus, P.S.; Nelin, C.J.; Brundle, C.R.; Lahiri, N.; Ilton, E.S.; Rosso, K.M. Analysis of the Fe 2p XPS for hematite α-Fe2O3: Consequences of covalent bonding and orbital splittings on multiplet splittings. J. Chem. Phys. 2020, 152, 014704. [Google Scholar] [CrossRef] [PubMed]
- Zhang, X.; Deng, J.; Huangfu, M.; Wang, Y.; Wu, B.; Li, S.; Pang, Z.; Mei, H. Novel insights into the influence of ferric ion as surface modifier to enhance the floatability of specularite. Powder Technol. 2022, 398, 117141. [Google Scholar] [CrossRef]
- Yamashita, T.; Hayes, P. Analysis of XPS spectra of Fe2+ and Fe3+ ions in oxide materials. Appl. Surf. Sci. 2008, 254, 2441–2449. [Google Scholar] [CrossRef]
- Johansen, P.G.; Buchanan, A.S. An electrokinetic study by the streaming potential method of ion exchange at oxide mineral surfaces. Aust. J. Chem. 1957, 10, 392–397. [Google Scholar] [CrossRef]
- Shrimali, K.; Jin, J.; Hassas, B.V.; Wang, X.; Miller, J.D. The surface state of hematite and its wetting characteristics. J. Colloid Interface Sci. 2016, 477, 16–24. [Google Scholar] [CrossRef] [PubMed]
- Taguta, J. The Relationship between Enthalpy of Immersion, and Its Derived Wettability Parameters, to Flotation Response. Ph.D. Thesis, University of Cape Town, Cape Town, South Africa, 2019; p. 223. [Google Scholar]
- Taguta, J.; O’Connor, C.T.; McFadzen, B. The relationship between enthalpy of immersion and flotation response. Colloids Surf. A 2018, 558, 263–270. [Google Scholar] [CrossRef]
- O’Reilly, S.E.; Hochella, M.F. PH-dependent surface charging and points of zero charge II. Update. Geochim. Cosmochim. Acta 2003, 67, 4471–4487. [Google Scholar]
- Wesolowski, D.J.; Sofo, J.O.; Bandura, A.V.; Zhang, Z.; Mamontov, E.; Předota, M.; Kumar, N.; Kubicki, J.D.; Kent, P.R.C.; Vlcek, L.; et al. Comment on “Structure and dynamics of liquid water on rutile TiO2 (1 1 0)”. Phys. Rev. B 2012, 85, 167401. [Google Scholar] [CrossRef]
- Lekki, J.; Laskowski, J.S. On the dynamic effect of frother-collector joint action in flotation. Trans. Inst. Mater. Miner. Min. Sect. C 1971, 80, 174–180. [Google Scholar]
- Vizcarra, T.G.; Harmer, S.L.; Wightman, E.M.; Johnson, N.W.; Manlapig, E.V. The influence of particle shape properties and associated surface chemistry on the flotation kinetics of chalcopyrite. Miner. Eng. 2011, 24, 807–816. [Google Scholar] [CrossRef]
- Verrelli, D.I.; Koh, P.T.L.; Nguyen, A.V. Particle-bubble interaction and attachment in flotation. Chem. Eng. Sci. 2011, 66, 5910–5921. [Google Scholar] [CrossRef]
- Ma, G.; Xia, W.; Xie, G. Effect of particle shape on the flotation kinetics of fine coking coal. J. Clean. Prod. 2018, 195, 470–475. [Google Scholar] [CrossRef]
- Chen, J.; Li, R.; Mo, P.-Q.; Zhou, G.; Cai, S.; Chen, D. A modified method for morphology quantification and generation of 2D granular particles. Granul. Matter 2022, 24, 16. [Google Scholar] [CrossRef]
- Koh, P.T.L.; Hao, F.P.; Smith, L.K.; Chau, T.T.; Bruckard, W.J. The effect of particle shape and hydrophobicity in flotation. Int. J. Miner. Process. 2009, 93, 128–134. [Google Scholar] [CrossRef]
Disclaimer/Publisher’s Note: The statements, opinions and data contained in all publications are solely those of the individual author(s) and contributor(s) and not of MDPI and/or the editor(s). MDPI and/or the editor(s) disclaim responsibility for any injury to people or property resulting from any ideas, methods, instructions or products referred to in the content. |
© 2024 by the authors. Licensee MDPI, Basel, Switzerland. This article is an open access article distributed under the terms and conditions of the Creative Commons Attribution (CC BY) license (https://creativecommons.org/licenses/by/4.0/).






