Next Article in Journal
Heat Treatment at 1000 °C under Reducing Atmosphere of Commercial Vermiculites
Previous Article in Journal
Study on Prediction of Zinc Grade by Transformer Model with De-Stationary Mechanism
 
 
Font Type:
Arial Georgia Verdana
Font Size:
Aa Aa Aa
Line Spacing:
Column Width:
Background:
Technical Note

Measuring the In Situ Density and Moisture Content of Filtered Tailings Using an Electrical Density Gauge

1
Geotechnical Center, Department of Civil & Environmental Engineering, University of Alberta, Edmonton, AB T6G 1H9, Canada
2
Meliadine Mine, Agnico Eagle Mines Limited, Rankin Inlet, NU X0C 0G0, Canada
*
Author to whom correspondence should be addressed.
Minerals 2024, 14(3), 231; https://doi.org/10.3390/min14030231
Submission received: 16 December 2023 / Revised: 2 February 2024 / Accepted: 20 February 2024 / Published: 25 February 2024
(This article belongs to the Section Environmental Mineralogy and Biogeochemistry)

Abstract

Due to the logistical challenges associated with using nuclear densitometers at remote sites, the industry is seeking an alternative method to determine the in situ density and moisture content during the construction of filtered tailings facilities. This study aims to investigate the impact of salinity on soil electrical properties and evaluate the feasibility of using an electrical density gauge (EDG) to measure the in situ density and moisture content of saline filtered tailings. The results indicate a dependence of electrical measurements on salinity. To develop procedures for soil calibration models of filtered tailings, standard Proctor tests were first conducted using Devon silt. These procedures were then applied to the filtered tailings to establish correlations between electrical properties (dielectric constant, impedance, capacitance-to-resistance ratio) and physical properties (density and moisture content) at varying salinities. It is suggested to build the soil calibration model using an EDG within a water content range of 10% to 18%. Furthermore, the effectiveness of the developed calibration models has been validated, demonstrating the applicability of the EDG instrument for filtered tailings in a saline environment. However, applying the salinity correction is crucial when the sample has a considerably different salinity than the calibration model.

1. Introduction

Monitoring the quality of compacted filtered tailings within tailings storage facilities is crucial for ensuring the stability of the facilities. A common method used to assess the adequacy of the construction of the facility is comparing the in situ density and moisture content of the placed material with measurements obtained from laboratory Proctor tests. Therefore, accurate measurements of in situ density and moisture content play a key role in monitoring the quality of the constructed tailings storage facilities.
The common method for estimating in situ soil density and moisture content relies on the use of a nuclear density gauge (NDG), which involves the emission of radioactive particles into the ground. While the NDG offers a fast and straightforward approach, there are strict regulations associated with the use of radioactive materials, including transportation and storage requirements [1]. Additionally, there are significant financial costs involved in training technicians and handling/shipping radioactive materials [2]. Furthermore, concerns have been raised regarding the accuracy of NDG testing devices in some cases, such as in uncommon soils [3,4,5,6]. As a result, there is an increasing demand for a non-nuclear alternative that can provide reliable field density and moisture content measurements for tailings facilities.
A relatively recent non-nuclear alternative for estimating in situ soil dry density and water content is the complex-impedance measuring instrument (CIMI). This instrument utilizes measurements of electric resistance, complex impedance, and capacitance, following the guidelines outlined in ASTM D7698-21 [7]. One commonly used implementation of this method is the electrical density gauge (EDG), which employs electromagnetic (EM) wave propagation theory. To enhance the accuracy and calibration procedures of the EDG, several studies have been conducted [2,8,9,10]. Another non-nuclear approach involves utilizing time-domain reflectometry (TDR) to relate the measured dielectric constant to moisture content via the travel time of an electromagnetic wave in the soil. This method has demonstrated sufficient accuracy for monitoring moisture changes in geotechnical applications, as validated by previous studies [11,12,13].
However, salinity is a challenging problem facing filtered tailings storage facilities within saline permafrost environments in terms of electrical property measurements. The salt concentration of pore fluid has a significant effect on the electric properties of soil and, hence, affects the estimated density and moisture content. No clear consensus has emerged concerning the accuracy of EDGs and TDR in saline environments [14,15]. Therefore, in this study, both Devon silt and filtered tailings underwent saline calibration and standard Proctor tests with electrical measurements in order to evaluate the accuracy of the EDG and to assess whether the instrument could be implemented for construction monitoring of filtered tailings with elevated pore water salinity.

2. Materials and Methods

2.1. Materials

This research utilized two types of soil: Devon silt, which is a non-saline soil found locally in Edmonton, Canada, and gold filtered tailings, which is a saline soil collected from the Meliadine Gold Mine in Nunavut, Canada, with a salinity of 13.2 ppt [16]. The grain size distribution of both materials is illustrated in Figure 1. The specific gravity of Devon silt and filtered tailings is 2.65 and 2.86, respectively.

2.2. Test Equipment

The TDR system consisted of a TDR probe, a coaxial cable, and a data logger. A TDR probe has two metal rods with depth of 50 mm and spacing of 5 mm. The data logger electronically combines the reflectometer and multiplexer. The reflectometer generates the voltage pulse along the coaxial cable to the probe. Part of the signal is reflected back to the data logger when the pulse reaches the top and bottom of the probe [17]. The time difference between two reflections can be used to calculate the dielectric constant of the soil.
The laboratory EGD unit mainly consisted of a soil sensor, a temperature probe, a steel dart, and a dart seating tool. The soil sensor was a combination of a radio-frequency (RF) voltage source and RF measurement devices. A range between 10 and 40 MHz RF voltage was applied to the soil through the steel dart. Then, the voltage and current, as well as the phase difference, were measured by the soil sensor.

2.3. Test Producers

In order to provide insights into the sample preparation and electric measurement procedures, the first phase of the experimental program was conducted using Devon silt. This phase included saline calibration tests and standard Proctor tests. The saline calibration tests involved preparing Devon silt samples with a moisture content of 16% to different known values of salinity (0, 6, 12, 16 ppt) in the Proctor mold and measuring their electric properties using the EDG and TDR (Table 1). The standard Proctor test was performed following ASTM-D698-12 [18] to obtain the Proctor curves and establish soil calibration models at different salinities, as shown in Table 2. For each salinity level, saline water was added to achieve an initial water content value of approximately 10%, followed by increasing the water content by approximately 3% in four intervals. EDG and TDR readings were taken for each moisture content (Figure 2).
The primary testing procedures are outlined as follows:
  • Use a 2.5 kg sample of oven-dried soil and spray 250 g of saline water into the sample to give an initial moisture content of 10% in a container overnight.
  • Weigh the dry, empty mold without the extension collar.
  • For each layer (three layers in total), weigh about 700 g of the sample and compact the soil into the mold.
  • Remove the extension collar and trim the soil surface flush with the top of the mold.
  • Weigh the mold that is filled with the tamped soil.
  • Create a pilot hole about 3 cm away from the edge of mold with the spike, and then insert the probe and take the TDR reading after 5 min.
  • Create a second pilot hole on the other side and take another TDR reading. If the difference between the two measurements is over 0.02, then take a third TDR reading at a different location.
  • Set up the laboratory EGD unit and take the electrical measurements with the EDG.
  • Remove the soil from mold using the extruder and take two representative samples for measuring the moisture content.
  • Repeat Steps 2 to 9 until the water content reaches 22% by increasing the water content by approximately 3% each time.
Considering the high salt content in the filtered tailings, controlling the salinity during the Proctor test poses a challenge. In order to assess suitable Proctor test procedures for filtered tailings samples, sample D-5 was initially prepared with a water content of 20% and a salinity of 16 ppt. Subsequently, after drying, distilled water was added to achieve a water content of 9%. The second phase of the test involved working with filtered tailings collected from the site, with an initial salinity of 13.2 ppt. Reducing the salinity without changing the water content proved challenging, while increasing the salinity by adding salt was more feasible. Consequently, filtered tailings samples were prepared for saline calibration tests with salinities of 13.2, 16, and 18 ppt, at a water content of approximately 15.2%. Sodium chloride was added to achieve these higher salinity levels, as a proxy for saline pore fluid in the tailings.
For the Proctor tests, representative salinity levels from the site, namely, 13.2 and 16 ppt, were selected at a water content of around 16%. Subsequently, the sample was oven-dried, and distilled water was added to increase the moisture content during the Proctor test. The testing program is also summarized in Table 1 and Table 2. Given previous field data indicating a salinity range of 12 to 16 ppt for filtered tailings, the salinity range presented in this study encompasses these observed field values.

3. Results and Discussion

3.1. Saline Calibration Tests

The results of the saline calibration tests are shown in Figure 3. Electrical property measurements for both the Devon silt and filtered tailings exhibit a dependence on salinity. With an increase in salinity, the dielectric constant and capacitance-to-resistance (C/R) ratio also increase, while the impedance decreases. This phenomenon occurs because the rise in pore fluid salinity results in an increase in soil conductivity, subsequently impacting the impedance and C/R ratio of the soil. Moreover, the C/R ratio and dielectric constant display a more significant increase with salinity in the filtered tailings, indicating a stronger influence of salinity on these properties compared to Devon silt. This distinction could be attributed to the differing mineral compositions of the two materials.

3.2. Standard Proctor Tests

Figure 4 illustrates a compaction curve that was generated using a second-order polynomial trend line in Origin (2022). The Devon silt sample had a maximum dry unit weight of 1.68 g/cm3 and an optimal water content of 19%, while the filtered tailings sample had a maximum dry unit weight of 1.76 g/cm3 and an optimal water content of 16.2%. The data for FT-5 at higher water content (>19%) and with lower density were not available due to testing errors. As a result, the representation only exhibits the trend of increasing density with water content, which would appear as a straight line when applying the fitting trend line. Therefore, the fitting curve of FT-5 is omitted in this figure, to avoid the misleading appearance of a straight line. This exclusion does not affect the determination of the maximum dry unit weight and optimal water content, as there are sufficient data beyond the optimal water content from other samples. In addition, the good repeatability of the results obtained from the compaction tests conducted on both Devon silt and filtered tailings at various salinities indicates that salinity does not impact the determination of the maximum dry unit weight and optimal water content.
The TDR method relies on the correlation between the measured dielectric constant and water content, while the EDG method utilizes the relationships between the C/R ratio and water content, as well as impedance and wet density or dry density, to establish soil calibration models. In this research, these calibration models are referred to as the dielectric constant model (DCM), C/R ratio model (CRM), and impedance model (IM), as shown in Figure 5 and Figure 6.
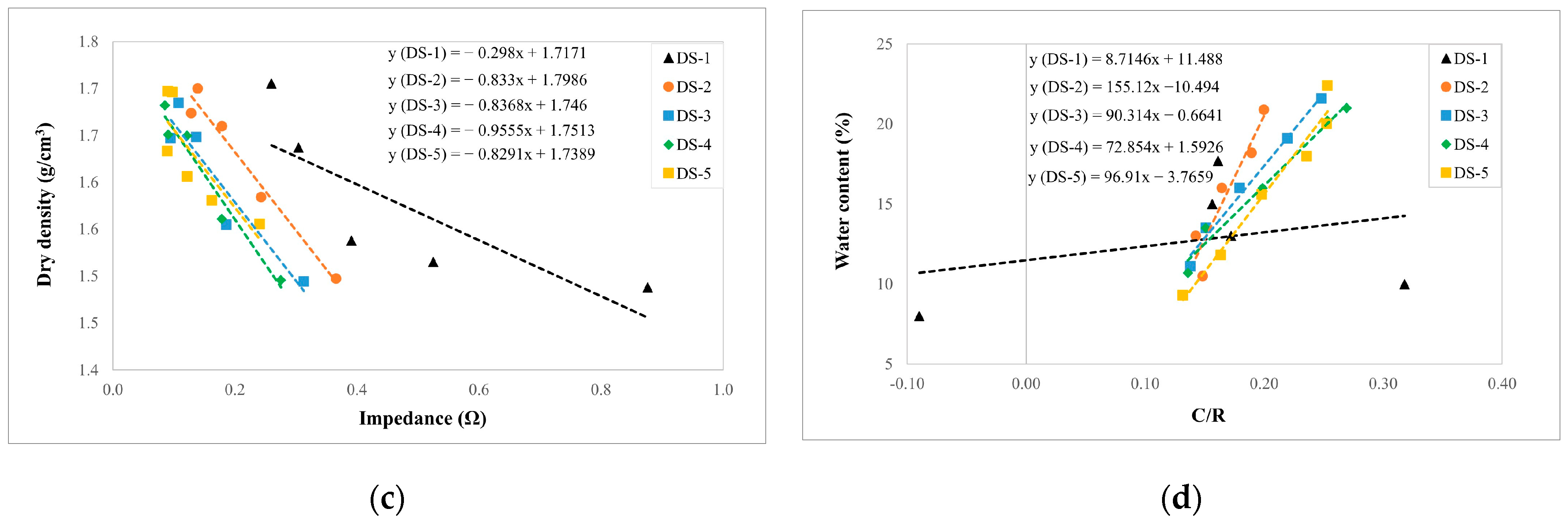
In Devon silt, the dielectric constant and C/R ratio increase with the water content, while the impedance increases with a decrease in the wet and dry density. The slope of the linear fitting decreases with increasing salinity in the DCM (Figure 5a), but it increases with salinity in the IM (Figure 5b). Moreover, larger differences in salinity result in larger variations in the soil calibration models. However, the soil calibration models at 12 ppt (DS-3) are similar to those at 16 ppt (DS-4), indicating that the effect of salinity on the soil calibration models is minimal within this range. The non-saline sample DS-1 initially had a lower water content of 8%, leading to higher air-filled porosity, which resulted in greater impedance and a negative C/R ratio. Hence, it is recommended to prepare a sample with an initial water content of approximately 10% for the Proctor test. Sample DS-5 had higher salinity at a water content below 16%, but it approached a salinity of 16 ppt at higher water contents. This could explain the scattered points at lower water contents compared to the DCM and CRM at 16 ppt (DS-4). The initial salinity of sample DS-5 was 16 ppt, and its IM was similar to that at 16 ppt (DS-4). Therefore, the test procedures for DS-5 have little impact on the estimation of wet density, and the procedure can be applied to filtered tailings.
However, when the water content of filter tailings exceeded 18%, it was observed that water was squeezed out from the sample during compaction, leading to a greater scattering in the electric measurements and reduced accuracy of the soil calibration model. Therefore, the soil calibration models presented in Figure 6 were generated within a water content range of 10% to 18%. It is evident that salinity has an impact on the soil calibration model, particularly at higher water contents and lower wet or dry densities. Therefore, it is suggested to establish soil calibration models at different salinity levels. Furthermore, it is also recommended not to apply the soil calibration models at lower water contents (<10%).

3.3. EDG Model Verification

To validate the efficacy of the proposed calibration procedure for filtered tailings, the soil models generated with FT-3 from the EDG sensor were utilized to predict the water content and density of samples FT-1, FT-2, FT-4, FT-5, and FT-6 (Figure 7). The solid line in the graph represents a line of unity, where ideally the predicted data would fall along this line. It is evident that the soil calibration models developed with FT-3 resulted in more accurate predictions of soil water content below 18%, irrespective of the difference in salinity. However, for samples with the same salinity as FT-3, there was a decrease in accuracy for the wet and dry density estimations when the water content exceeded 18%. This can be attributed to the fact that the soil calibration models were developed within a water content range of 10% to 18%. Given the distinct differences in impedance calibration models between FT-3 and FT-4, as illustrated above (Figure 6), the FT-3 calibration model fails to provide reliable predictions of wet and dry density for FT-4, particularly at lower densities. Therefore, it is not recommended to estimate the density of samples with significantly different initial salinities used in the calibration models, unless the effect of salinity on the calibration models is minimized by implementing specific measures, such as updating the calibration models to have the same (or at least similar) salinity.
In situations where the in situ salinity differs from the soil calibration model obtained in the laboratory, potentially due to evaporation or rainfall, salinity calibration can be employed to adjust the electrical measurements. These adjusted measurements can then be applied to the soil calibration model with the known salinity. For instance, a salinity calibration at approximately 15.3% water content is presented in Figure 3, and for sample FT-3 with a salinity of 14 ppt, the measured (actual) values for water content, wet density, and dry density were 15.2%, 2.01 g/cm3, and 1.74 g/cm3, respectively. To estimate the physical properties of samples at different salinity levels, the soil calibration model developed for FT-3 can be utilized after applying the salinity correction for impedance and C/R ratio. The salinities at 0, 6, 12, 16, and 18 ppt, which differ from that of FT-3 at a water content of 15.3%, represent non-calibrated cases. In contrast, the salinity at 14 ppt corresponds with FT-3, indicating the calibrated case.
As illustrated in Figure 8a, a 1 ppt change in salinity leads to an approximately 3.5% variation in the actual gravimetric water content. Consequently, salinity noticeably affects the estimated water content, even after the salinity correction, with a difference of 7% compared to the actual value. Therefore, it is not advisable to use this method for predicting water content with varying salinity levels. However, salinity has a lesser effect on the prediction of density, especially for dry density. A 1 ppt difference in salinity results in approximately 0.04 g/cm3 and 0.02 g/cm3 variation in wet and dry density, constituting a 2% and 1.5% error compared to the actual value, respectively. Considering a 5% tolerance in density measurements, a 3 ppt difference in salinity is likely not acceptable. However, if a salinity correction is adopted (Figure 3c), the predicted dry density value closely aligns with the actual value, with a difference of less than 2%, demonstrating the high accuracy of this method.

4. Limitations and Recommendations

As observed in the previous section, salinity has a considerable impact on electrical measurements and the subsequent estimation of density and moisture content. Specific measures need to be taken when the samples’ salinity differs from that used in the calibration curve, such as conducting additional calibration tests (Proctor) or applying salinity correction. This leads to another limitation: the in situ salinity needs to be measured before applying this method in the field. Therefore, it is necessary to monitor in situ salinity regularly and then choose representative salinities and water contents to establish calibration models and salinity correction curves as the baseline for various areas and depths. It is also essential to update the calibration model when the variation in salinity exceeds a threshold value for certain locations. For the filtered tailings used in this study, a 3 ppt change in salinity resulted in an error of 5% in the prediction of dry density. It should be noted that, for this study, the concentration of each ionic constituent of the salt after adding sodium chloride may not exactly match the pore fluid in filtered tailings, which may yield varying electrical measurements. However, this has no effect on the calculation of salinity in parts per thousand, and the overall trend reported in this manuscript remains consistent. It is recommended that salinity calibrations should attempt to match the pore fluid components to minimize the impact on electrical measurements.

5. Conclusions

To investigate the influence of salinity on EC measurements using an EDG and TDR, as well as to assess the applicability of EDGs in determining in situ density and moisture content during construction of filtered tailings facilities, saline calibration and standard Proctor tests were conducted on both Devon silt and filtered tailings at various salinities. The results of the saline calibration demonstrate that salinity has a significant impact on electrical measurements: the dielectric constant and C/R ratio increase with increasing salinity, while the impedance decreases. The soil calibration models developed from standard Proctor tests using Devon silt can be applied to filtered tailings, with a recommended initial water content of approximately 10% and a maximum water content slightly above the optimal value. It should be noted that the accuracy of wet and dry density estimations decreased when the water content exceeded 18% for the filtered tailings tested. While salinity has a lesser effect on the prediction of wet and dry density compared to water content, the soil calibration model provides a more accurate prediction of dry density after salinity correction. In the future, further investigation will focus on examining laboratory calibration models for field applications.

Author Contributions

Data collection—lab experiments and writing—original draft preparation, Y.L.; supervision and writing—review and editing, N.B.; writing—review and editing, J.B.; filtered tailings sample collection and review, P.O. All authors have read and agreed to the published version of the manuscript.

Funding

This research was funded by Agnico-Eagle Mines Ltd., project MEL-303-07-002.

Data Availability Statement

The data presented in this study are available upon request from the corresponding author.

Conflicts of Interest

The authors declare no conflicts of interest. The funders provided review and editing of the manuscript. The funders had no role in the design of the study; in the collection, analyses, or interpretation of data; or in the decision to publish the results.

References

  1. Meehan, C.L.; Hertz, J.S. Using Electrical Density Gauges for Field Compaction Control; Delaware Center for Transportation, University of Delaware: Newark, DE, USA, 2011; p. 149. Available online: https://bpb-us-w2.wpmucdn.com/sites.udel.edu/dist/1/1139/files/2013/10/Rpt.-220-Using-Electrical-Density-Gauges-for-Field-Comaction-Control-29hpoue.pdf (accessed on 15 December 2023).
  2. Bryson, L.S.; Embry, B.S.; Jenkins, K.A. Development of an Improved Calibration Procedure for the Electrical Density Gauge. In Proceedings of the International Foundations Congress and Equipment Expo 2015, San Antonio, TX, USA, 17–21 March 2015; pp. 2472–2481. [Google Scholar] [CrossRef]
  3. Ishai, I.; Liuneh, M. Comparative accuracy of in-situ nuclear density testing. Geotech. Eng. 1983, 14, 1–21. [Google Scholar]
  4. Boldt, C.M. Compaction Criteria for Metal and Nonmetal Tailings; Report of Investigations; Spokane Research Center, Bureau of Mines: Spokane, WA, USA, 1985. Available online: https://stacks.cdc.gov/view/cdc/10366/cdc_10366_DS1.pdf (accessed on 15 December 2023).
  5. Noorany, I.; Gardner, W.S.; Corley, D.J.; Brown, J.L. Variability in field density tests. In Constructing and Controlling Compaction of Earth Fills; American Society for Testing and Materials: West Conshohocken, PA, USA, 2000; pp. 58–71. [Google Scholar] [CrossRef]
  6. Brandes, H.G.; Felkel, A.J.; Domrique, J.D. Evaluation of nuclear gauge for use with coastal calcareous and volcanic Soils. In Proceedings of the Twentieth International Offshore and Polar Engineering Conference, Beijing, China, 20–25 June 2010; Volume 2, pp. 731–738. Available online: https://publications.isope.org/proceedings/ISOPE/ISOPE%202010/data/papers/10TPC-793Brande.pdf (accessed on 15 December 2023).
  7. ASTM D7698-21; Standard Test Method for in-Place Estimation of Density and Water Content of Soil and Aggregate by Correlation with Complex Impedance Method. ASTM International: West Conshohocken, PA, USA, 2021. [CrossRef]
  8. Hertz, J.S.; Meehan, C.L. Comparisons of Data from a Complex-Impedance Measuring Instrument and Conventional Compaction Control Tests; American Society of Civil Engineers Geo-Congress: San Diego, CA, USA, 2013; pp. 353–362. [Google Scholar] [CrossRef]
  9. Ernest, S.B.; Mariely, M.S.; James, D.K. Non-Nuclear Alternatives to Monitoring Moisture-Density Response in Soils; U.S. Army Engineer Research and Development Center: Vicksburg, MS, USA, 2013; Available online: https://apps.dtic.mil/sti/pdfs/ADA583071.pdf (accessed on 15 December 2023).
  10. Yang, H.; Yang, X.; Zhang, M.; Hou, J. Influencing factors on the accuracy of soil calibration models by EDG. Processes 2021, 9, 1892. [Google Scholar] [CrossRef]
  11. Davis, J.; Annan, A. Electromagnetic detection of soil moisture: Progress report I. Can. J. Remote Sens. 1977, 3, 76–86. [Google Scholar] [CrossRef]
  12. Topp, G.C.; Davis, J.; Annan, A.P. Electromagnetic determination of soil water content: Measurements in coaxial transmission lines. Water Resour. Res. 1980, 16, 574–582. [Google Scholar] [CrossRef]
  13. Siddiqui, S.; Drnevich, V. Use of Time Domain Reflectometry for Determination of Water Content in Soil; Joint Transportation Research Program; Purdue University: West Lafayette, IN, USA, 1995; p. 219. Available online: https://docs.lib.purdue.edu/cgi/viewcontent.cgi?article=1690&context=jtrp (accessed on 15 December 2023).
  14. Sevostianova, E.; Leinauer, B.; VanLeeuwen, D.; Maier, B.; Sallenave, R. Accuracy of Moisture Sensors in Saline Soils; Report for the Water Resources Research Institute; New Mexico State University: Las Cruces, NM, USA, 2008; Available online: https://docplayer.net/22442102-Accuracy-of-moisture-sensors-in-saline-soils.html (accessed on 15 December 2023).
  15. Pavlíková, M.; Záleská, M.; Marušiak, Š.; Barnat-Hunek, D.; Łagód, G.; Pavlík, Z. Is TDR method applicable for moisture content measurement in salt laden materials? AIP Conf. Proc. 2020, 2305, 020013. [Google Scholar] [CrossRef]
  16. Goldup, N.; Pyliuk, J.; Zhang, G.; Horne, B.; Lepine, T. From design to operation: Filtered tailings at the Meliadine Gold Mine, Nunavut, Canada. In Proceedings of the Tailings and Mine Waste 2019, Vancouver, BC, Canada, 17–20 November 2019. [Google Scholar]
  17. Benson, C.H.; Bosscher, P.J. Time-domain reflectometry (TDR) in geotechnics: A review. ASTM Spec. Tech. Publ. 1999, 1350, 113–136. [Google Scholar] [CrossRef]
  18. ASTM D698-12; Standard Test Methods for Laboratory Compaction Characteristics of Soil Using Standard Effort. ASTM International: West Conshohocken, PA, USA, 2021. [CrossRef]
Figure 1. Grain size distribution [17].
Figure 1. Grain size distribution [17].
Minerals 14 00231 g001
Figure 2. Test setup: (a) TDR, (b) EDG.
Figure 2. Test setup: (a) TDR, (b) EDG.
Minerals 14 00231 g002
Figure 3. Results of saline calibration: (a) dielectric constant, (b) impedance, (c) C/R ratio.
Figure 3. Results of saline calibration: (a) dielectric constant, (b) impedance, (c) C/R ratio.
Minerals 14 00231 g003
Figure 4. Compaction curves: (a) Devon silt, (b) filtered tailings (note: the fitting curve of FT-5 is omitted in this figure).
Figure 4. Compaction curves: (a) Devon silt, (b) filtered tailings (note: the fitting curve of FT-5 is omitted in this figure).
Minerals 14 00231 g004
Figure 5. Calibration models of Devon silt: (a) dielectric constant model, (b) impedance model of wet density, (c) impedance model of dry density, (d) C/R ratio model.
Figure 5. Calibration models of Devon silt: (a) dielectric constant model, (b) impedance model of wet density, (c) impedance model of dry density, (d) C/R ratio model.
Minerals 14 00231 g005aMinerals 14 00231 g005b
Figure 6. Calibration models of filtered tailings: (a) dielectric constant model, (b) impedance model of wet density, (c) impedance model of dry density, (d) C/R ratio model.
Figure 6. Calibration models of filtered tailings: (a) dielectric constant model, (b) impedance model of wet density, (c) impedance model of dry density, (d) C/R ratio model.
Minerals 14 00231 g006
Figure 7. Verification of the calibration models of FT-3: (a) water content, (b) wet density, (c) dry density.
Figure 7. Verification of the calibration models of FT-3: (a) water content, (b) wet density, (c) dry density.
Minerals 14 00231 g007
Figure 8. Verification of saline calibration: (a) water content, (b) wet density, (c) dry density (note: the calibrated cases are marked by red circle).
Figure 8. Verification of saline calibration: (a) water content, (b) wet density, (c) dry density (note: the calibrated cases are marked by red circle).
Minerals 14 00231 g008
Table 1. Physical parameters of samples for saline calibration tests.
Table 1. Physical parameters of samples for saline calibration tests.
Salinity (ppt)Water Content (%)Dry Density (g/cm3)
Devon silt015.81.87
616.11.88
1216.31.89
1616.31.88
Filtered tailings13.215.01.98
16 15.52.02
1815.42.03
Table 2. Salinity of samples for Proctor tests.
Table 2. Salinity of samples for Proctor tests.
Sample IDSalinity (ppt)
DS-10
DS-26
DS-312
DS-416
DS-516 (14~33)
FT-113.2 (9.6~22)
FT-213.2 (10.5~18)
FT-313.2 (10.5~22.5)
FT-416 (16~26)
FT-513.2 (12~22.3)
FT-613.2 (10.5~22.3)
Note: DS = Devon silt, FT = filtered tailings. For DS-5, FT-1, FT-2, FT-3, FT-4, FT-5, and FT-6 the values outside the brackets represent the initial salinity before oven-drying, while the values inside the brackets indicate the changes in salinity during the tests. These changes were calculated based on the variation in water content resulting from drying or dilution while the salt mass remained constant.
Disclaimer/Publisher’s Note: The statements, opinions and data contained in all publications are solely those of the individual author(s) and contributor(s) and not of MDPI and/or the editor(s). MDPI and/or the editor(s) disclaim responsibility for any injury to people or property resulting from any ideas, methods, instructions or products referred to in the content.

Share and Cite

MDPI and ACS Style

Liang, Y.; Beier, N.; Bieber, J.; Owusu, P. Measuring the In Situ Density and Moisture Content of Filtered Tailings Using an Electrical Density Gauge. Minerals 2024, 14, 231. https://doi.org/10.3390/min14030231

AMA Style

Liang Y, Beier N, Bieber J, Owusu P. Measuring the In Situ Density and Moisture Content of Filtered Tailings Using an Electrical Density Gauge. Minerals. 2024; 14(3):231. https://doi.org/10.3390/min14030231

Chicago/Turabian Style

Liang, Yawu, Nicholas Beier, Justin Bieber, and Prempeh Owusu. 2024. "Measuring the In Situ Density and Moisture Content of Filtered Tailings Using an Electrical Density Gauge" Minerals 14, no. 3: 231. https://doi.org/10.3390/min14030231

APA Style

Liang, Y., Beier, N., Bieber, J., & Owusu, P. (2024). Measuring the In Situ Density and Moisture Content of Filtered Tailings Using an Electrical Density Gauge. Minerals, 14(3), 231. https://doi.org/10.3390/min14030231

Note that from the first issue of 2016, this journal uses article numbers instead of page numbers. See further details here.

Article Metrics

Back to TopTop