Study on Prediction of Zinc Grade by Transformer Model with De-Stationary Mechanism
Abstract
1. Introduction
- (1)
- To enhance the predictive capability of the model, normalization is performed on the input data, and a subsequent denormalization is applied to the output results, ensuring that the predicted outcomes remain consistent with the original data’s scale range.
- (2)
- To prevent the predictive model from overfitting, a de-stationary attention mechanism is constructed to account for the non-stationary information within the original data, replacing the attention mechanism in the vanilla transformer.
- (3)
- Considering the difficulty of learning non-stationary information in the original mineral data, a multi-layer perceptron is used to approximate non-stationary information from raw data and statistical quantities.
- (4)
- To solve the problem of the mismatch between froth videos and XRF detection time points for zinc ore grade values, we automatically match the froth image closest to the XRF detection time point, ensuring the consistency of experimental data.
2. Relevant Theories
2.1. Example of Zinc Mine Tailings Grade Prediction
2.2. Matching of Froth Video and Mineral Grade Values
3. Methodology
3.1. Normalization
3.2. De-Stationary Attention Mechanism
3.3. De-Normalization
4. Experiment and Result Analysis
4.1. Dataset
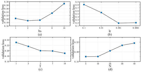
4.2. Hyperparameter Selection
5. Conclusions
Author Contributions
Funding
Data Availability Statement
Conflicts of Interest
Appendix A. Definitions and Calculation Methods of Froth Image Features
References
- Bendaouia, A.; Qassimi, S.; Boussetta, A.; Benzakour, I.; Benhayoun, A.; Amar, O.; Bourzeix, F.; Baïna, K.; Cherkaoui, M.; Hasidi, O.; et al. Hybrid features extraction for the online mineral grades determination in the flotation froth using Deep Learning. Eng. Appl. Artif. Intell. 2024, 129, 107680. [Google Scholar] [CrossRef]
- Nkadimeng, M.; Manono, M.S.; Corin, K.C. Developing a Relationship between Ore Feed Grade and Flotation Performance. Eng. Proc. 2023, 37, 101. [Google Scholar]
- Yuan, X.; Gu, Y.; Wang, Y.; Yang, C.; Gui, W. A deep supervised learning framework for data-driven soft sensor modeling of industrial processes. IEEE Trans. Neural Netw. Learn. Syst. 2019, 31, 4737–4746. [Google Scholar] [CrossRef] [PubMed]
- Bhondayi, C. Flotation froth phase bubble size measurement. Miner. Process. Extr. Metall. Rev. 2022, 43, 251–273. [Google Scholar] [CrossRef]
- Xie, Y.; Wu, J.; Xu, D.; Yang, C.; Gui, W. Reagent addition control for stibium rougher flotation based on sensitive froth image features. IEEE Trans. Ind. Electron. 2016, 64, 4199–4206. [Google Scholar] [CrossRef]
- Popli, K.; Afacan, A.; Liu, Q.; Prasad, V. Development of online soft sensors and dynamic fundamental model-based process monitoring for complex sulfide ore flotation. Miner. Eng. 2018, 124, 10–27. [Google Scholar] [CrossRef]
- Zaremba, W.; Sutskever, I.; Vinyals, O. Recurrent neural network regularization. arXiv 2014, arXiv:1409.2329. [Google Scholar]
- Memory, L.S.T. Long short-term memory. Neural Comput. 2010, 9, 1735–1780. [Google Scholar]
- Zhang, H.; Tang, Z.; Xie, Y.; Yuan, H.; Chen, Q.; Gui, W. Siamese time series and difference networks for performance monitoring in the froth flotation process. IEEE Trans. Ind. Informatics 2021, 18, 2539–2549. [Google Scholar] [CrossRef]
- Zhang, H.; Tang, Z.; Xie, Y.; Gao, X.; Chen, Q.; Gui, W. Long short-term memory-based grade monitoring in froth flotation using a froth video sequence. Miner. Eng. 2021, 160, 106677. [Google Scholar] [CrossRef]
- Zhang, H.; Tang, Z.; Xie, Y.; Luo, J.; Chen, Q.; Gui, W. Grade prediction of zinc tailings using an encoder-decoder model in froth flotation. Miner. Eng. 2021, 172, 107173. [Google Scholar] [CrossRef]
- Peng, C.; Liu, Y.; Ouyang, Y.; Tang, Z.; Luo, L.; Gui, W. Grade Prediction of Froth Flotation Based on Multistep Fusion Transformer Model. IEEE Trans. Ind. Inform. 2023. [Google Scholar] [CrossRef]
- Vaswani, A.; Shazeer, N.; Parmar, N.; Uszkoreit, J.; Jones, L.; Gomez, A.N.; Kaiser, Ł.; Polosukhin, I. Attention is all you need. In Proceedings of the Advances in Neural Information Processing Systems, Long Beach, CA, USA, 4–9 December 2017; Volume 30. [Google Scholar]
- Zhou, H.; Zhang, S.; Peng, J.; Zhang, S.; Li, J.; Xiong, H.; Zhang, W. Informer: Beyond efficient transformer for long sequence time-series forecasting. In Proceedings of the AAAI Conference on Artificial Intelligence, Virtually, 2–9 February 2021; Volume 35, pp. 11106–11115. [Google Scholar]
- Woo, G.; Liu, C.; Sahoo, D.; Kumar, A.; Hoi, S. Etsformer: Exponential smoothing transformers for time-series forecasting. arXiv 2022, arXiv:2202.01381. [Google Scholar]
- Priestley, M.; Rao, T.S. A test for non-stationarity of time-series. J. R. Stat. Soc. Ser. B Stat. Methodol. 1969, 31, 140–149. [Google Scholar] [CrossRef]
- Suazo, C.; Kracht, W.; Alruiz, O. Geometallurgical modelling of the Collahuasi flotation circuit. Miner. Eng. 2010, 23, 137–142. [Google Scholar] [CrossRef]
- Alruiz, O.; Morrell, S.; Suazo, C.; Naranjo, A. A novel approach to the geometallurgical modelling of the Collahuasi grinding circuit. Miner. Eng. 2009, 22, 1060–1067. [Google Scholar] [CrossRef]
- Kim, T.; Kim, J.; Tae, Y.; Park, C.; Choi, J.H.; Choo, J. Reversible instance normalization for accurate time-series forecasting against distribution shift. In Proceedings of the International Conference on Learning Representations, Virtually, 3–7 May 2021. [Google Scholar]
- Zhang, M. Time Series: Autoregressive Models AR, MA, ARMA, ARIMA; University of Pittsburgh: Pittsburgh, PA, USA, 2018. [Google Scholar]
- Shen, L.; Wei, Y.; Wang, Y. GBT: Two-stage transformer framework for non-stationary time series forecasting. Neural Netw. 2023, 165, 953–970. [Google Scholar] [CrossRef] [PubMed]
- Wu, H.; Xu, J.; Wang, J.; Long, M. Autoformer: Decomposition transformers with auto-correlation for long-term series forecasting. Adv. Neural Inf. Process. Syst. 2021, 34, 22419–22430. [Google Scholar]
- Salles, R.; Belloze, K.; Porto, F.; Gonzalez, P.H.; Ogasawara, E. Nonstationary time series transformation methods: An experimental review. Knowl.-Based Syst. 2019, 164, 274–291. [Google Scholar] [CrossRef]
- Liu, Y.; Wu, H.; Wang, J.; Long, M. Non-stationary transformers: Exploring the stationarity in time series forecasting. Adv. Neural Inf. Process. Syst. 2022, 35, 9881–9893. [Google Scholar]
- Huang, M.; Zhou, X. Feature selection in froth flotation for production condition recognition. IFAC-PapersOnLine 2018, 51, 123–128. [Google Scholar]
- Tanaka, T.; Nambu, I.; Maruyama, Y.; Wada, Y. Sliding-Window Normalization to Improve the Performance of Machine-Learning Models for Real-Time Motion Prediction Using Electromyography. Sensors 2022, 22, 5005. [Google Scholar] [CrossRef]
- Hiransha, M.; Gopalakrishnan, E.A.; Menon, V.K.; Soman, K. NSE stock market prediction using deep-learning models. Procedia Comput. Sci. 2018, 132, 1351–1362. [Google Scholar]
- Liashchynskyi, P.; Liashchynskyi, P. Grid search, random search, genetic algorithm: A big comparison for NAS. arXiv 2019, arXiv:1912.06059. [Google Scholar]






| Method | bs | T | N | |
|---|---|---|---|---|
| DST | 2 | 0.001 | 10 | 10 |
| RNN | 2 | 0.001 | 7 | 20 |
| LSTM | 2 | 0.001 | 7 | 20 |
| Transformer | 2 | 0.001 | 1 | 10 |
| Enc-Dec(RNN) | 2 | 0.001 | 5 | 10 |
| STS-D | 8 | 0.0001 | 10 | 10 |
| Method | RMSE | MAE | |
|---|---|---|---|
| DST | 0.1582 ± (0.0043) | 0.3955 ± (0.0025) | 0.8978 ± (0.0203) |
| RNN | 0.1998 ± (0.0001) | 0.4436 ± (0.0002) | 0.8862 ± (0.0001) |
| LSTM | 0.1998 ± (0.0001) | 0.4436 ± (0.0001) | 0.8862 ± (0.0001) |
| Transformer | 0.4216 ± (0.1112) | 0.8650 ± (0.1981) | 0.8309 ± (0.0203) |
| Enc-Dec(RNN) | 0.1990 ± (0.0001) | 0.4457 ± (0.0002) | 0.8903 ± (0.0001) |
| STS-D | 0.3110 ± (0.1050) | 0.6711 ± (0.2051) | 0.8673 ± (0.0205) |
Disclaimer/Publisher’s Note: The statements, opinions and data contained in all publications are solely those of the individual author(s) and contributor(s) and not of MDPI and/or the editor(s). MDPI and/or the editor(s) disclaim responsibility for any injury to people or property resulting from any ideas, methods, instructions or products referred to in the content. |
© 2024 by the authors. Licensee MDPI, Basel, Switzerland. This article is an open access article distributed under the terms and conditions of the Creative Commons Attribution (CC BY) license (https://creativecommons.org/licenses/by/4.0/).
Share and Cite
Peng, C.; Luo, L.; Luo, H.; Tang, Z. Study on Prediction of Zinc Grade by Transformer Model with De-Stationary Mechanism. Minerals 2024, 14, 230. https://doi.org/10.3390/min14030230
Peng C, Luo L, Luo H, Tang Z. Study on Prediction of Zinc Grade by Transformer Model with De-Stationary Mechanism. Minerals. 2024; 14(3):230. https://doi.org/10.3390/min14030230
Chicago/Turabian StylePeng, Cheng, Liang Luo, Hao Luo, and Zhaohui Tang. 2024. "Study on Prediction of Zinc Grade by Transformer Model with De-Stationary Mechanism" Minerals 14, no. 3: 230. https://doi.org/10.3390/min14030230
APA StylePeng, C., Luo, L., Luo, H., & Tang, Z. (2024). Study on Prediction of Zinc Grade by Transformer Model with De-Stationary Mechanism. Minerals, 14(3), 230. https://doi.org/10.3390/min14030230
