Pipeline Transport Performance of Paste Backfill Slurry in Long-Distance Underground Backfilling: A Review
Abstract
1. Introduction
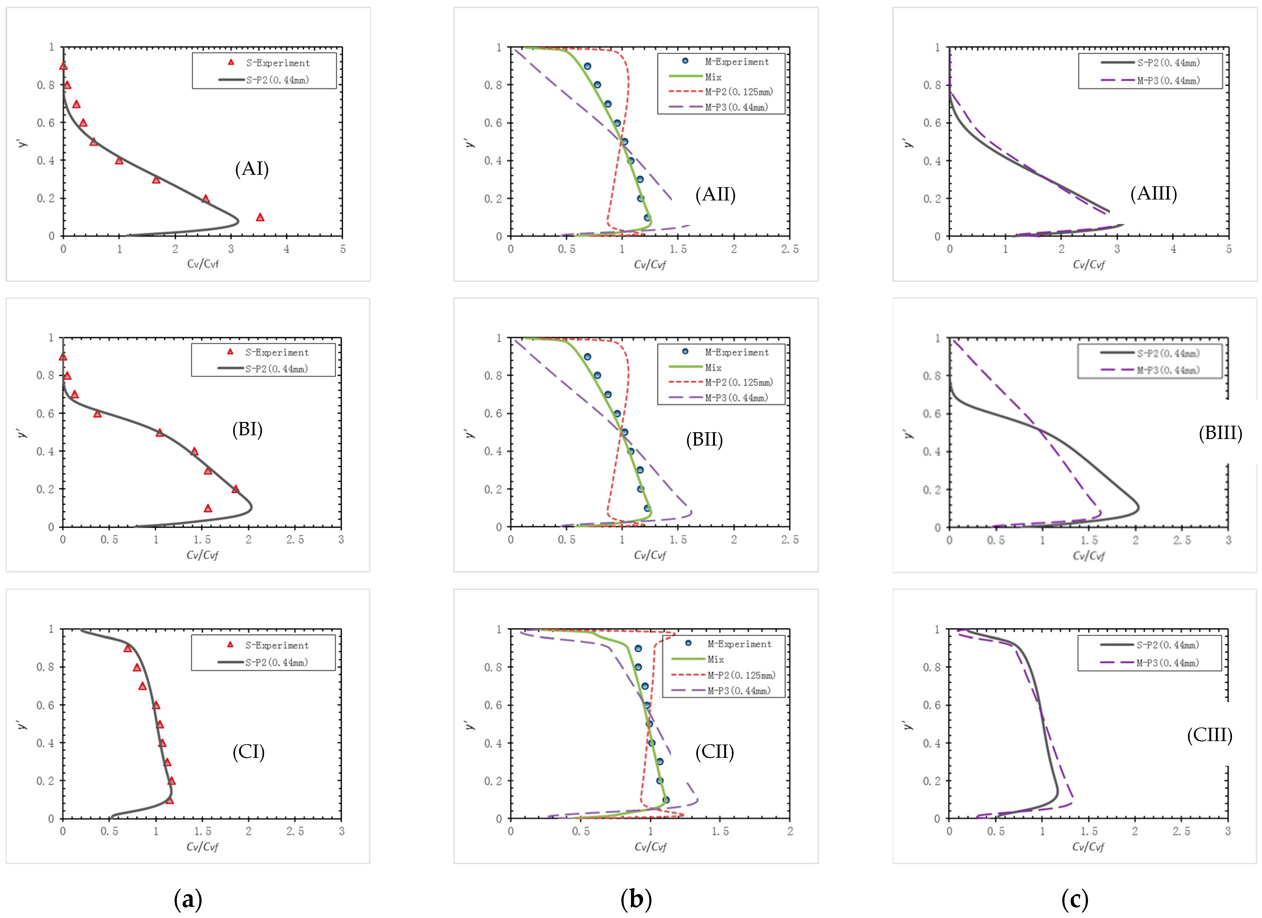
2. Impact of Slurry Characteristics on Pipeline Transport Performance
3. Impact of Pipeline Layout on Pipeline Transport Performance
4. Impact of Additives on Pipeline Transport Performance
5. Summary
Author Contributions
Funding
Data Availability Statement
Acknowledgments
Conflicts of Interest
References
- Guo, Q.; Xi, X.; Yang, S.; Cai, M. Technology strategies to achieve carbon peak and carbon neutrality for China’s metal mines. Int. J. Miner. Metall. Mater. 2022, 29, 626–634. [Google Scholar] [CrossRef]
- Li, P.; Cai, M. Challenges and new insights for exploitation of deep underground metal mineral resources. Trans. Nonferrous Met. Soc. China 2021, 31, 3478–3505. [Google Scholar] [CrossRef]
- Hou, Y.; Zhao, Y.; Lu, J.; Wei, Q.; Zang, L.; Zhao, X. Environmental contamination and health risk assessment of potentially toxic trace metal elements in soils near gold mines—A global meta-analysis. Environ. Pollut. 2023, 330, 121803. [Google Scholar] [CrossRef] [PubMed]
- Wang, L.; Cheng, L.; Yin, S.; Yan, Z.; Zhang, X. Multiphase slurry flow regimes and its pipeline transportation of underground backfill in metal mine: Mini review. Constr. Build. Mater. 2023, 402, 133014. [Google Scholar] [CrossRef]
- Yu, H.; Li, S.; Wang, X. The Recent Progress China Has Made in the Backfill Mining Method, Part I: The Theory and Equipment of Backfill Pipeline Transportation. Minerals 2021, 11, 1274. [Google Scholar] [CrossRef]
- Liu, W.; Chen, M.; Wang, F.; Ou, R.-Z.; Liu, Q. Paste pipeline transportation of pumping backfill technology with long distance and high stowing gradient in cold and high-altitude areas. Adv. Civ. Eng. 2021, 2021, 5287023. [Google Scholar] [CrossRef]
- Xue, G.; Yilmaz, E.; Wang, Y. Progress and prospects of mining with backfill in metal mines in China. Int. J. Miner. Metall. Mater. 2023, 30, 1455–1473. [Google Scholar] [CrossRef]
- Sun, K.; Zhang, J.; He, M.; Li, M.; Guo, S. Control of surface deformation and overburden movement in coal mine area by an innovative roadway cemented paste backfilling method using mining waste. Sci. Total Environ. 2023, 891, 164693. [Google Scholar] [CrossRef]
- Lu, K.; Sun, W.; Gao, T.; Li, Z.; Zhao, J.; Cheng, H. Preparation of new copper smelting slag-based mine backfill material and investigation of its mechanical properties. Constr. Build. Mater. 2023, 382, 131228. [Google Scholar] [CrossRef]
- Li, S.; Zhao, Z.; Yu, H.; Wang, X. The Recent Progress China Has Made in the Backfill Mining Method, Part II: The Composition and Typical Examples of Backfill Systems. Minerals 2021, 11, 1362. [Google Scholar] [CrossRef]
- Xia, K.; Chen, C.; Liu, X.; Liu, X.; Yuan, J.; Dang, S. Assessing the stability of high-level pillars in deeply-buried metal mines stabilized using cemented backfill. Int. J. Rock Mech. Min. 2023, 170, 105489. [Google Scholar] [CrossRef]
- Yu, J.; Liu, S.; Zhou, Z.; Jiao, H.; Wang, J.; Zhou, L. Influence of filling mining on ground stability in a metal mine. Arab. J. Geosci. 2024, 17, 18. [Google Scholar] [CrossRef]
- Fan, J.; Yuan, Q.; Chen, J.; Ren, Y.; Zhang, D.; Yao, H.; Hu, B.; Qu, Y. Investigation of surrounding rock stability during proximal coal seams mining process and feasibility of ground control technology. Process Saf. Environ. Prot. 2024, 186, 1447–1459. [Google Scholar] [CrossRef]
- Cai, M.; Li, P.; Tan, W.; Ren, F. Key engineering technologies to achieve green, intelligent, and sustainable development of deep metal mines in China. Engineering 2021, 7, 1513–1517. [Google Scholar] [CrossRef]
- Li, S.; Zou, P.; Yu, H.; Hu, B.; Wang, X. Advantages of Backfill Mining Method for Small and Medium-Sized Mines in China: Safe, Eco-Friendly, and Efficient Mining. Appl. Sci. 2023, 13, 7280. [Google Scholar] [CrossRef]
- Xia, K.; Chen, C.; Liu, X.; Wang, Y.; Liu, X.; Yuan, J. Estimating shear strength of high-level pillars supported with cemented backfilling using the Hoek–Brown strength criterion. J. Rock Mech. Geotech. Eng. 2024, 16, 454–469. [Google Scholar] [CrossRef]
- Xie, G.; Liu, L.; Suo, Y.; Zhu, M.; Yang, P.; Sun, W. Study on the green disposal of industrial high salt water and its performance as activator to prepare magnesium—Coal based solid waste backfill material for mine. J. Clean. Prod. 2024, 452, 141933. [Google Scholar] [CrossRef]
- Zhang, S.; Zhao, T.; Li, Y.; Li, Z.; Li, H.; Zhang, B.; Li, J.; Li, Y.; Ni, W. The effects and solidification characteristics of municipal solid waste incineration fly ash-slag-tailing based backfill blocks in underground mine condition, Constr. Build. Mater. 2024, 420, 135508. [Google Scholar] [CrossRef]
- Ai, C.; Yu, A.; Liu, C.; Li, T. Analysis of physical characteristics and mechanism of retarder to stratified cemented backfill. Sci. Rep. 2024, 14, 13711. [Google Scholar] [CrossRef]
- Yan, Z.; Yin, S.; Chen, X.; Wang, L. Rheological properties and wall-slip behavior of cemented tailing-waste rock backfill (CTWB) paste. Constr. Build. Mater. 2022, 324, 126723. [Google Scholar] [CrossRef]
- Yang, K.; Shi, C.; Li, M. Research of the Transportation of Tailings Cemented Backfill in Partially Filled Pipe Flow. J. Pipeline Syst. Eng. 2024, 15, 04024014. [Google Scholar] [CrossRef]
- Ahmed, H.M.; Bharathan, B.; Kermani, M.; Hassani, F.; Hefni, M.A.; Ahmed, H.A.M.; Hassan, G.S.A.; Moustafa, E.B.; Saleem, H.A.; Sasmito, A.P. Evaluation of Rheology Measurements Techniques for Pressure Loss in Mine Paste Backfill Transportation. Minerals 2022, 12, 678. [Google Scholar] [CrossRef]
- Qiu, J.; Tian, M.; Zhu, D.; Xiao, C.; Wen, B.; Bin, F.; Chen, H.; Wang, D. Numerical Study of Resistance Loss and Erosive Wear during Pipe Transport of Paste Slurry. Sustainability 2023, 15, 11890. [Google Scholar] [CrossRef]
- Dong, H.; Aziz, N.A.; Shafri, H.Z.M.; Ahmad, K.A.B. Computational fluid dynamics study on cemented paste backfill slurry: Review. Constr. Build. Mater. 2023, 369, 130558. [Google Scholar] [CrossRef]
- Wu, A.; Ruan, Z.; Wang, J. Rheological behavior of paste in metal mines. Int. J. Miner. Metall. Mater. 2022, 29, 717–726. [Google Scholar] [CrossRef]
- Yang, X.; Xiao, B.; Gao, Q.; He, J. Determining the pressure drop of cemented Gobi sand and tailings paste backfill in a pipe flow. Constr. Build. Mater. 2020, 255, 119371. [Google Scholar] [CrossRef]
- Chen, Q.; Zhou, H.; Wang, Y.; Li, X.; Zhang, Q.; Feng, Y.; Qi, C. Resistance loss in cemented paste backfill pipelines: Effect of inlet velocity, particle mass concentration, and particle size. Materials 2022, 15, 3339. [Google Scholar] [CrossRef]
- Gao, R.; Zhou, K.; Zhou, Y.; Yang, C. Research on the fluid characteristics of cemented backfill pipeline transportation of mineral processing tailings. Alexandria Eng. J. 2020, 59, 4409–4426. [Google Scholar] [CrossRef]
- Zhang, X.; Zhao, M.; Liu, L.; Xia, X.; Zhang, J.; Zhao, C.; Bu, B. Phase-change heat storage backfill: Experimental study on rheological properties of backfill slurry with paraffin added. Constr. Build. Mater. 2020, 262, 120736. [Google Scholar] [CrossRef]
- Ren, W.; Gao, R.; Zhang, Y.; Hou, M. Rheological properties of ultra-fine tailings cemented paste backfill under ultrasonic wave action. Minerals 2021, 11, 718. [Google Scholar] [CrossRef]
- Li, W.; Guo, L.; Liu, G.; Pan, A.; Zhang, T. Analytical and experimental investigation of the relationship between spread and yield stress in the mini-cone test for cemented tailings backfill. Constr. Build. Mater. 2020, 260, 119770. [Google Scholar] [CrossRef]
- Prasad, V.; Thareja, P.; Mehrotra, S.P. Influence of Rheology on the Flow Characteristics of Bauxite Slurries During Hydraulic Conveying Through the Pipeline. Trans. Indian Inst. Met. 2023, 77, 4133–4140. [Google Scholar] [CrossRef]
- Wang, Y.; Huang, Y.; Hao, Y. Experimental study and application of rheological properties of coal gangue-fly ash backfill slurry. Processes 2020, 8, 284. [Google Scholar] [CrossRef]
- Wei, H.; Xiao, B.; Gao, Q. Flow properties analysis and identification of a fly ash-waste rock mixed backfilling slurry. Minerals 2021, 11, 576. [Google Scholar] [CrossRef]
- Li, Y.; Fu, J.; Yang, J.; Wang, J. Research on slurry flowability and mechanical properties of cemented paste backfill: Effects of cement-to-tailings mass ratio and mass concentration. Materials 2024, 17, 2222. [Google Scholar] [CrossRef]
- An, S.; Liu, J.; Cheng, L.; Guo, L.; Zhou, D. Rheological and mechanical properties of full-tailings backfill material prepared by ultrafine-iron-tailings-powder-based consolidation agent. Constr. Build. Mater. 2024, 417, 135286. [Google Scholar] [CrossRef]
- Haruna, S.; Fall, M. Time- and temperature-dependent rheological properties of cemented paste backfill that contains superplasticizer. Powder Technol. 2020, 360, 731–740. [Google Scholar] [CrossRef]
- Neelakantan, R.; Vaezi, G.F.; Sanders, R.S. Effect of shear on the yield stress and aggregate structure of flocculant-dosed, concentrated kaolinite suspensions. Miner. Eng. 2018, 123, 95–103. [Google Scholar] [CrossRef]
- Li, X.; Grasley, Z.C.; Garboczi, E.J.; Bullard, J.W. Simulation of the influence of intrinsic CSH aging on time-dependent relaxation of hydrating cement paste. Constr. Build. Mater. 2017, 157, 1024–1031. [Google Scholar] [CrossRef]
- Cheng, H.; Wu, S.; Zhang, X.; Wu, A. Effect of particle gradation characteristics on yield stress of cemented paste backfill. Int. J. Miner. Metall. Mater. 2020, 27, 10–17. [Google Scholar] [CrossRef]
- Yang, T.; Wang, J.; Qiao, D.; Li, G.; Cheng, H.; Zhang, X.; Shi, R. The thixotropic characteristics of rheological parameters of waste stone-tailings cemented paste backfill and the time effect of pipeline resistance. Constr. Build. Mater. 2024, 423, 135858. [Google Scholar] [CrossRef]
- Yang, L.; Gao, Y.; Chen, H.; Jiao, H.; Dong, M.; Bier, T.A.; Kim, M. Three-dimensional concrete printing technology from a rheology perspective: A review. Adv. Cem. Res. 2024, 126, 72–86. [Google Scholar] [CrossRef]
- Yang, L.; Jia, H.; Wu, A.; Jiao, H.; Chen, X.; Kou, Y.; Dong, M. Particle aggregation and breakage kinetics in cemented paste backfill. Int. J. Miner. Metall. Mater. 2024, 31, 1965–1974. [Google Scholar] [CrossRef]
- Li, T.; Chen, X.; Liu, Z.; Jiang, W.; Min, H. Study on the suspending mechanism of gangue particle in coal-based solid waste slurry. Alexandria Eng. J. 2024, 107, 583–590. [Google Scholar] [CrossRef]
- Li, M.; He, Y.; Liu, W.; Liu, Y.; Huang, C.; Jiang, R. Effect of adding finer particles on the transport characteristics of coarse-particle slurries in pipelines. Ocean Eng. 2020, 218, 108160. [Google Scholar] [CrossRef]
- Hu, Y.; Li, K.; Zhang, B.; Han, B. Development of cemented paste backfill with superfine tailings: Fluidity, mechanical properties, and microstructure characteristics. Materials 2023, 16, 1951. [Google Scholar] [CrossRef]
- Xing, K.; Hou, H.; Min, Z.; Yan, W.; Xian, Z. Effect of particle gradation on properties of fresh and hardened cemented paste backfill. Constr. Build. Mater. 2015, 96, 378–382. [Google Scholar] [CrossRef]
- Qiu, J.; Guo, Z.; Yang, L.; Jiang, H.; Zhao, Y. Effects of packing density and water film thickness on the fluidity behavior of cemented paste backfill. Powder Technol. 2020, 359, 27–35. [Google Scholar] [CrossRef]
- Li, C.; Huang, Z.; Li, X. Temperature effect analysis of paste backfill rheological properties based on inter-particle potential and water evolution. Constr. Build. Mater. 2023, 404, 132045. [Google Scholar] [CrossRef]
- Zhu, J.; Zhang, H.; Chen, X.; Ji, Z. Modifying the linear packing model for predicting the packing density of GMZ bentonite pellet mixtures. Constr. Build. Mater. 2024, 419, 135505. [Google Scholar] [CrossRef]
- Wang, X.; Guo, J.; Wu, A.; Wang, H.; Jiang, H.; Li, Z.; Qiu, Z. Wear characteristics of the pipeline transporting cemented paste backfill containing coarse aggregate. Constr. Build. Mater. 2024, 410, 134170. [Google Scholar] [CrossRef]
- Feng, G.; Wang, Z.; Qi, T.; Du, X.; Guo, J.; Wang, H.; Shi, X.; Wen, X. Effect of velocity on flow properties and electrical resistivity of cemented coal gangue-fly ash backfill (CGFB) slurry in the pipeline. Powder Technol. 2022, 396, 191–209. [Google Scholar] [CrossRef]
- Wang, J.; Wu, A.; Wang, M.; Ruan, Z. Experimental investigation on flow behavior of paste slurry transported by gravity in vertical pipes. Processes 2022, 10, 1696. [Google Scholar] [CrossRef]
- Xue, Z.; Sun, H.; Gan, D.; Yan, Z.; Liu, Z. Wall slip behavior of cemented paste backfill slurry during pipeline based on noncontact experimental detection. Int. J. Miner. Metall. Mater. 2023, 30, 1515–1523. [Google Scholar] [CrossRef]
- Hao, Y.; Song, X.; Wang, C.; Fan, B.; Yang, K. Dynamic characterization of water hammer in gangue fly ash slurry pipelines during valve closure. Sci. Rep. 2024, 14, 11470. [Google Scholar] [CrossRef]
- Wang, X.; Wan, W.; Liu, Y.; Gao, R.; Lu, Z.; Tang, X. Analysis of Factors Influencing the Flow Characteristics of Paste Backfill in Pipeline Transportation. Sustainability 2023, 15, 6904. [Google Scholar] [CrossRef]
- Wang, W.; Mu, H.; Mei, G.; Guo, L.; Lu, X.; Wang, A.; Sun, R. The Characteristics of Spiral Pipe Increasing Resistance and Reducing Pressure and the Amendment Equation of Stowing Gradient. Metals 2022, 12, 1105. [Google Scholar] [CrossRef]
- Zhao, J.; Wang, X.; Peng, K.; Li, S. Utilization of Foaming Technology in Cemented Paste Backfill of High-Mud Superfine Unclassified Tailings. Adv. Mater. Sci. Eng. 2017, 2017, 6157869. [Google Scholar] [CrossRef]
- Zhou, Z.; Liu, J.; Zhou, Q.; Wu, A.; Wang, H. A New High Charge Density Superplasticizer Regulates the Rheological Properties of Tailings Slurry and Cemented Paste Backfill Materials. Min. Metall. Explor. 2022, 39, 749–759. [Google Scholar] [CrossRef]
- Li, M.; Zhao, J.; Jin, H.; Li, G.; Wang, Y. Review: The Effect Factors of Compatibility of Cement and Superplasticizer. Adv. Mater. Res. 2012, 450–451, 193–196. [Google Scholar] [CrossRef]
- Matsuzawa, K.; Atarashi, D.; Miyauchi, M.; Sakai, E. Working mechanism of superplasticizer in cement paste with fluoride ion. J. Adv. Concr. Technol. 2015, 13, 305–310. [Google Scholar] [CrossRef]
- Matsuzawa, K.; Shimazaki, D.; Kawakami, H.; Sakai, E. Effect of non-adsorbed superplasticizer molecules on fluidity of cement paste at low water-powder ratio. Cem. Concr. Compos. 2019, 97, 218–225. [Google Scholar] [CrossRef]
- Zhang, G.; Li, G.; Li, Y. Effects of superplasticizers and retarders on the fluidity and strength of sulphoaluminate cement. Constr. Build. Mater. 2016, 126, 44–54. [Google Scholar] [CrossRef]
- Šoukal, F.; Bocian, L.; Novotný, R.; Dlabajová, L.; Šuleková, N.; Hajzler, J.; Koutný, O.; Drdlová, M. The Effects of Silica Fume and Superplasticizer Type on the Properties and Microstructure of Reactive Powder Concrete. Materials 2023, 16, 6670. [Google Scholar] [CrossRef] [PubMed]
- Jiang, Z.; Fang, Y.; Guo, Y.; Lin, T. Study on Synthesis and Properties of Vinyl Polyoxyethylene Ether Type Polycarboxylate Superplasticizer. IOP Conf. Ser. Earth Environ. Sci. 2020, 571, 012135. [Google Scholar] [CrossRef]
- Li, H.; Yang, K.; Guan, X. Properties of sulfoaluminate cement-based grouting materials modified with LiAl-layered double hydroxides in the presence of PCE superplasticizer. Constr. Build. Mater. 2019, 226, 399–405. [Google Scholar] [CrossRef]
- Yang, L.; Jia, H.; Jiao, H.; Dong, M.; Yang, T. The Mechanism of Viscosity-Enhancing Admixture in Backfill Slurry and the Evolution of Its Rheological Properties. Minerals 2023, 13, 1045. [Google Scholar] [CrossRef]
- Zhou, Y.; Fall, M.; Haruna, S. Flow ability of cemented paste backfill with chloride-free antifreeze additives in sub-zero environments. Cem. Concr. Compos. 2022, 126, 104359. [Google Scholar] [CrossRef]
- Traetteberg, A.; Ramachandran, V.S.; Grattan-Bellew, P.E. A study of the microstructure and hydration characteristics of tricalcium silicate in the presence of calcium chloride. Cem. Concr. Res. 1974, 4, 203–221. [Google Scholar] [CrossRef]
- Jiang, H.; Fall, M. Yield stress and strength of saline cemented tailings in sub-zero environments: Portland cement paste backfill. Int. J. Miner. Process. 2017, 160, 68–75. [Google Scholar] [CrossRef]
- Cunliffe, C.J.; Dadds, J.M.; Dennis, D.J.C. Flow correlations and transport behaviour of turbulent slurries in partially filled pipes. Chem. Eng. Sci. 2021, 235, 116465. [Google Scholar] [CrossRef]
- Dong, H.; Aziz, N.A.; Shafri, H.Z.M.; Ahmad, K.A.B. Numerical Study on Transportation of Cemented Paste Backfill Slurry in Bend Pipe. Processes 2022, 10, 1454. [Google Scholar] [CrossRef]
- Xie, M.; Zhao, J.; Zuo, M.J.; Tian, Z.; Liu, L.; Wu, J. Multi-objective maintenance decision-making of corroded parallel pipeline systems. Appl. Energy 2023, 351, 121822. [Google Scholar] [CrossRef]

















Disclaimer/Publisher’s Note: The statements, opinions and data contained in all publications are solely those of the individual author(s) and contributor(s) and not of MDPI and/or the editor(s). MDPI and/or the editor(s) disclaim responsibility for any injury to people or property resulting from any ideas, methods, instructions or products referred to in the content. |
© 2024 by the authors. Licensee MDPI, Basel, Switzerland. This article is an open access article distributed under the terms and conditions of the Creative Commons Attribution (CC BY) license (https://creativecommons.org/licenses/by/4.0/).
Share and Cite
Wang, W.; Yu, B.; Xu, W.; Yang, K.; Yin, Y.; Li, M. Pipeline Transport Performance of Paste Backfill Slurry in Long-Distance Underground Backfilling: A Review. Minerals 2024, 14, 1238. https://doi.org/10.3390/min14121238
Wang W, Yu B, Xu W, Yang K, Yin Y, Li M. Pipeline Transport Performance of Paste Backfill Slurry in Long-Distance Underground Backfilling: A Review. Minerals. 2024; 14(12):1238. https://doi.org/10.3390/min14121238
Chicago/Turabian StyleWang, Wei, Bin Yu, Wenyuan Xu, Kai Yang, Yanying Yin, and Mengyuan Li. 2024. "Pipeline Transport Performance of Paste Backfill Slurry in Long-Distance Underground Backfilling: A Review" Minerals 14, no. 12: 1238. https://doi.org/10.3390/min14121238
APA StyleWang, W., Yu, B., Xu, W., Yang, K., Yin, Y., & Li, M. (2024). Pipeline Transport Performance of Paste Backfill Slurry in Long-Distance Underground Backfilling: A Review. Minerals, 14(12), 1238. https://doi.org/10.3390/min14121238
