Efficient Reuse of Rare Earth Carbonate Precipitation Mother Liquor for Rare Earth Leaching in Strong Acid-Restricted Area
Abstract
1. Introduction
2. Materials and Methods
2.1. Materials
2.2. Precipitation and Column Leaching Experiments
2.3. Analytical Methods
3. Results
3.1. RE Carbonate Precipitation Process
3.2. Reuse of RE Carbonate Precipitation Mother Liquor for RE Leaching
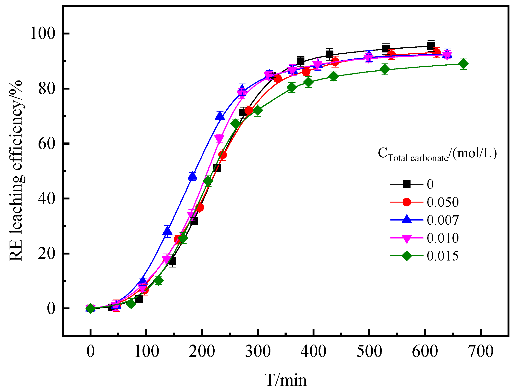
3.2.1. Effect of Total Carbonate Content on RE Leaching Process
3.2.2. The Leaching Effect of the Precipitation Mother Liquor
3.3. Possible Reaction Between the Residual Ammonium Bicarbonate and RE in the Leaching Process
3.3.1. φ-pH of Ammonium Bicarbonate in the Aqueous Solution
3.3.2. The Possible RE Precipitation Reaction During the Leaching Process
3.4. Dynamics of RE Leaching Process
- (1)
- Chemical reaction controls:
- (2)
- Outer diffusion controls:
- (3)
- Inner diffusion controls:
3.4.1. Effect of Carbonate Concentration on Leaching Kinetics
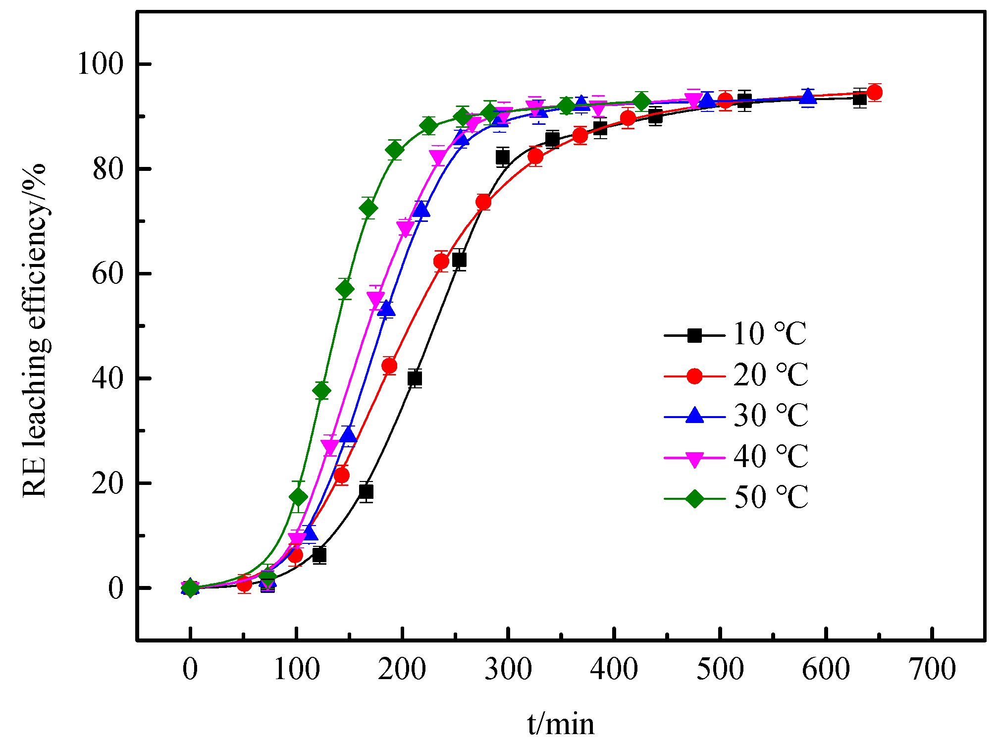
3.4.2. Effect of Temperature on Leaching Kinetics
3.5. Mass Transfer Analysis of RE Leaching Process
3.5.1. Effect of Carbonate Concentration on Mass Transfer Process
3.5.2. Effect of Temperature on Mass Transfer Process
4. Conclusions
- (1)
- In the RE carbonate precipitation process, when the RE concentration in the leachate ranged from 0.1 to 1.5 g/dm3, and the precipitation rate of the RE attained a state of equilibrium, the RE precipitation rate was higher than 96%. And the residual total carbonate content in the precipitation mother liquor was lower than 0.01 mol/L, and the pH was 7–8.
- (2)
- In the RE leaching process, when the total carbonate concentration in the leaching liquor was less than 0.01 mol/L, and the pH was 7–8, there was almost no effect on the RE leaching efficiency. Consequently, the mother liquor resulting from precipitation under these conditions can be directly reused in the rare earth leaching process.
- (3)
- When the mother liquor of rare earth carbonate precipitation is used as the leaching solution, the leaching process of RE is governed by the kinetics of internal diffusion. The decrease in total carbonate content and the increase in temperature in the leaching solution are beneficial for the mass transfer process of RE leaching.
Author Contributions
Funding
Data Availability Statement
Acknowledgments
Conflicts of Interest
References
- Qiao, J.Y.; Tang, J.; Xue, Q. Study on Pb release by several new lixiviants in weathered crust elution-deposited rare earth ore leaching process: Behavior and mechanism. Ecotoxicol. Environ. Saf. 2020, 190, 110138. [Google Scholar] [CrossRef] [PubMed]
- Chen, Z. Global rare earth resources and scenarios for future rare earth industry. J. Rare Earths 2011, 29, 1–6. [Google Scholar] [CrossRef]
- Xiao, Y.F.; Feng, Z.Y.; Huang, X.W.; Huang, L.; Chen, Y.Y.; Wang, L.S.; Long, Z.Q. Recovery of rare earths from weathered crust elution-deposited rare earth ore without ammonia-nitrogen pollution: I. leaching with magnesium sulfate. Hydrometallurgy 2015, 153, 58–65. [Google Scholar]
- Castor, S.B. Rare earth deposits of North America. Resour. Geol. 2008, 58, 337–347. [Google Scholar] [CrossRef]
- Zhang, Y.B.; Zhang, B.Y.; Yang, S.Q.; Zhong, Z.G.; Zhou, H.P.; Luo, X.P. Enhancing the Leaching Effect of an Ion-Absorbed Rare Earth Ore by Ameliorating the Seepage Effect with Sodium Dodecyl Sulfate Surfactant. Int. J. Min. Sci. Technol. 2021, 31, 995–1002. [Google Scholar] [CrossRef]
- He, Z.Y.; Zhang, Z.Y.; Chi, R.A.; Xu, Z.G.; Yu, J.X.; Wu, M.; Bai, R.Y. Leaching hydrodynamics of weathered elution-deposited rare earth ore with ammonium salts solution. J. Rare Earths 2017, 35, 824–830. [Google Scholar] [CrossRef]
- Luo, X.P.; Zhang, Y.B.; Zhou, H.P.; He, K.Z.; Luo, C.G.; Liu, Z.S.; Tang, X.K. Review on the Development and Utilization of Ionic Rare Earth Ore. Minerals 2022, 12, 554. [Google Scholar] [CrossRef]
- Wang, G.F.; Xu, J.; Ran, L.Y.; Zhu, R.L.; Ling, B.W.; Liang, X.L.; Kang, S.C.; Wang, Y.Y.; Wei, J.M.; Ma, L.Y.; et al. A Green and Efficient Technology to Recover Rare Earth Elements from Weathering Crusts. Nat. Sustain. 2023, 6, 81–92. [Google Scholar] [CrossRef]
- Ju, W.; Yang, J.H.; Yao, C.; Zhang, X.B.; Ye, Z.W.; Liu, D. Experimental Study on the Permeability of Rare Earths with Different Particle Composition for a Novel Heap Leaching Technology. Appl. Sci. 2022, 12, 11368. [Google Scholar] [CrossRef]
- Xiao, Y.F.; Feng, Z.Y.; Hu, G.H.; Huang, L.; Huang, X.W.; Chen, Y.Y.; Long, Z.Q. Reduction leaching of rare earth from ion-adsorption type rare earths ore with ferrous sulfate. J. Rare Earths 2016, 34, 917–923. [Google Scholar] [CrossRef]
- Luo, X.P.; Zou, L.P.; Ma, P.L.; Luo, C.G.; Xu, J.; Tang, X.K. Removing aluminum from a low-concentration lixivium of weathered crust elution-deposited rare earth ore with neutralizing hydrolysis. Rare Metals 2015, 36, 685–690. [Google Scholar] [CrossRef]
- Huang, X.W.; Long, Z.Q.; Li, H.W.; Ying, W.J.; Zhang, G.C.; Xue, X.X. Development of rare earth hydrometallurgy technology in China. J. Rare Earths 2005, 23, 1–4. [Google Scholar] [CrossRef]
- Zhu, D.M.; Chen, Q.W.; Qiu, T.S.; Zhao, G.F.; Fang, X.H. Optimization of rare earth carbonate reactive-crystallization process based on response surface method. J. Rare Earths 2021, 39, 98–104. [Google Scholar] [CrossRef]
- Li, Y.X. Ion Adsorption Rare Earth Resources and Their Green Extraction; Chemical Industry Press: Beijing, China, 2014. [Google Scholar]
- Xiao, Y.F.; Huang, X.W.; Feng, Z.Y.; Dong, J.S.; Huang, L.; Long, Z.Q. Progress in the green extraction technology for rare earth from ion-adsorption type rare earths ore. Chin. Rare Earths 2015, 36, 109. (In Chinese) [Google Scholar]
- Luo, X.P.; Qian, Y.J.; Chen, X.M. Crystallization of rare earth solution by ammonium bicarbonate. In Proceedings of the 52nd Conference of Metallurgists (COM), Montreal, QC, Canada, 27–31 October 2013; pp. 289–297. [Google Scholar]
- Yu, Q.H.; Li, X.B. The forming and its influence factors of crystal rare earth carbonate. J. Chin. Rare Earth Soc. 1993, 11, 171–173. (In Chinese) [Google Scholar]
- Lai, F.G.; Huang, L.; Gao, G.H.; Yang, R.; Xiao, Y.F. Recovery of Rare Earths from Ion-Absorbed Rare Earths Ore with MgSO4—Ascorbic Acid Compound Leaching Agent. J. Rare Earths 2018, 36, 521–527. [Google Scholar] [CrossRef]
- Yang, X.L.; Zhang, J.W. Recovery of rare earth from ion-adsorption rare earth ores with a compound lixiviant. Sep. Purif. Technol. 2015, 142, 203–208. [Google Scholar] [CrossRef]
- Wuhan University. Analytical Chemistry Experiment; Higher Education Press: Beijing, China, 2011. [Google Scholar]
- He, Z.Y.; Zhang, Z.Y.; Yu, J.X.; Chi, R.A. Behavious of rare earth, aluminum and ammonium in leaching process of weathered crust elution-deposited rare earth ore. Chin. Rare Earths 2015, 36, 18–24. (In Chinese) [Google Scholar]
- Chi, R.A.; Tian, J. Weathered Crust Elution-Deposited Rare Earth Ores; Nova Science Publishers: New York, NY, USA, 2008. [Google Scholar]
- Xia, H.B.; Deng, P.; Wu, X.; Liu, D.B.; Qiu, S.; Liu, Y.Q.; Yu, Y.H. Simulation Research on Pilot Experimental of In-situ Leaching Ion-adsorption Rare Earth Ores with Plant Leaching Agent. Nonferrous Met. Eng. 2020, 10, 52–59. [Google Scholar]
- Shi, Q.Y.; Zhao, Y.; Meng, X.Y.; Shen, L.; Qiu, G.Z.; Zhang, X.G.; Yu, H.; He, X.; He, H.J.; Zhao, H.B. Column Leaching of Ion Adsorption Rare Earth Ore at Low Ammonium Concentration. J. Mater. Res. Technol. 2022, 19, 2135–2145. [Google Scholar] [CrossRef]
- Guo, Q.; Li, Z.; Pan, J.X.; Li, B.; Zhao, L.S.; Liu, D.P.; Zheng, X.D.; Wang, C.M. Leaching Mechanism of Aluminum during Column Leaching of Ion-Adsorption Rare Earth Ore Using Magnesium Sulfate. Minerals 2023, 13, 401. [Google Scholar] [CrossRef]
- Zhou, F.; Feng, J.; Wang, Z.Q.; Xu, Y.L.; Zhang, Z.Y.; Chi, R.A. One step purification of impurities in the leachate of weathered crust elution-deposited rare earth ores. Physicochem. Probl. Miner. Process. 2017, 53, 1188–1199. [Google Scholar]
- Sohn, H.; Wadsworth, M. Rate Processes in Extractive Metallurgy; Plenum: New York, NY, USA, 1979. [Google Scholar]
- Li, M.; Zhang, X.W.; Liu, Z.G.; Hu, Y.H.; Wang, M.T.; Liu, J.; Yang, J.P. Kinetics of leaching fluoride from mixed rare earth concentrate with hydrochloric acid and aluminum chloride. Hydrometallurgy 2013, 140, 71–76. [Google Scholar] [CrossRef]
- Zhu, P.; Zhang, X.J.; Li, K.F.; Qian, G.R.; Zhou, M. Kinetics of leaching refractory gold ores by ultrasonic-assisted electro-chlorination. Int. J. Min. Met. Mater. 2012, 19, 473–477. [Google Scholar] [CrossRef]
- Ashraf, M.; Zafar, Z.; Ansari, T. Selective leaching kinetics and upgrading of low-grade calcareous phosphate rock in succinic acid. Hydrometallurgy 2005, 80, 286–292. [Google Scholar] [CrossRef]
- Parhi, P.; Park, K.; Senanayake, G. A kinetic study on hydrochloric acid leaching of nickel from Ni–Al2O3 spent catalyst. J. Ind. Eng. Chem. 2013, 19, 589–594. [Google Scholar] [CrossRef]
- Lee, W.C.; Tsai, G.J.; Tsao, G.T. Analysis of chromatography by plate theory. Sep. Technol. 1993, 3, 178–197. [Google Scholar] [CrossRef]















| Component | Content |
|---|---|
| REO | 0.09 |
| Al2O3 | 32.18 |
| MnO2 | 0.08 |
| ZnO | 0.01 |
| MgO | 0.01 |
| K2O | 5.41 |
| SiO2 | 56.52 |
| TiO2 | 0.73 |
| Fe2O3 | 4.92 |
| Rb2O | 0.01 |
| SrO | 0.02 |
| ZrO2 | 0.02 |
| Total Carbonate Concentration/(mol/L) | k/(min−1) | R2 |
|---|---|---|
| 0 | 0.0009 | 0.9911 |
| 0.005 | 0.0008 | 0.9764 |
| 0.007 | 0.0007 | 0.9700 |
| 0.010 | 0.0006 | 0.9742 |
| 0.015 | 0.0005 | 0.9925 |
| Leaching Temperature/°C | k/(min−1) | R2 |
|---|---|---|
| 10 | 0.0008 | 0.9786 |
| 20 | 0.0009 | 0.9701 |
| 30 | 0.0011 | 0.9790 |
| 40 | 0.0012 | 0.9806 |
| 50 | 0.0015 | 0.9804 |
| Total Carbonate Concentration/(mol/L) | L/cm | VR/mL | V1/2/mL | n | HETP/cm |
|---|---|---|---|---|---|
| 0 | 9.60 | 18.99 | 16.69 | 7.18 | 1.34 |
| 0.005 | 9.50 | 20.14 | 18.21 | 6.78 | 1.40 |
| 0.007 | 9.70 | 18.79 | 16.87 | 6.88 | 1.41 |
| 0.010 | 9.70 | 18.82 | 17.12 | 6.70 | 1.44 |
| 0.015 | 9.50 | 18.32 | 17.16 | 6.32 | 1.50 |
| Temperature/°C | L/cm | VR/mL | V1/2/mL | n | HETP/cm |
|---|---|---|---|---|---|
| 10 | 9.90 | 21.51 | 18.93 | 7.16 | 1.38 |
| 20 | 9.70 | 18.26 | 16.53 | 6.77 | 1.44 |
| 30 | 9.60 | 18.93 | 16.25 | 7.53 | 1.28 |
| 40 | 9.50 | 19.64 | 16.76 | 7.61 | 1.25 |
| 50 | 9.60 | 20.14 | 16.77 | 7.80 | 1.20 |
Disclaimer/Publisher’s Note: The statements, opinions and data contained in all publications are solely those of the individual author(s) and contributor(s) and not of MDPI and/or the editor(s). MDPI and/or the editor(s) disclaim responsibility for any injury to people or property resulting from any ideas, methods, instructions or products referred to in the content. |
© 2024 by the authors. Licensee MDPI, Basel, Switzerland. This article is an open access article distributed under the terms and conditions of the Creative Commons Attribution (CC BY) license (https://creativecommons.org/licenses/by/4.0/).
Share and Cite
Feng, J.; Wu, X.; Zhou, F.; Chi, R. Efficient Reuse of Rare Earth Carbonate Precipitation Mother Liquor for Rare Earth Leaching in Strong Acid-Restricted Area. Minerals 2024, 14, 1179. https://doi.org/10.3390/min14111179
Feng J, Wu X, Zhou F, Chi R. Efficient Reuse of Rare Earth Carbonate Precipitation Mother Liquor for Rare Earth Leaching in Strong Acid-Restricted Area. Minerals. 2024; 14(11):1179. https://doi.org/10.3390/min14111179
Chicago/Turabian StyleFeng, Jian, Xiaoyan Wu, Fang Zhou, and Ruan Chi. 2024. "Efficient Reuse of Rare Earth Carbonate Precipitation Mother Liquor for Rare Earth Leaching in Strong Acid-Restricted Area" Minerals 14, no. 11: 1179. https://doi.org/10.3390/min14111179
APA StyleFeng, J., Wu, X., Zhou, F., & Chi, R. (2024). Efficient Reuse of Rare Earth Carbonate Precipitation Mother Liquor for Rare Earth Leaching in Strong Acid-Restricted Area. Minerals, 14(11), 1179. https://doi.org/10.3390/min14111179
