Mineral Liberation and Concentration Characteristics of Apatite Comminuted by High-Pressure GRU
Abstract
1. Introduction
2. Materials and Methods
2.1. Materials and GRU Methods
2.2. BPMA Methods
3. Results
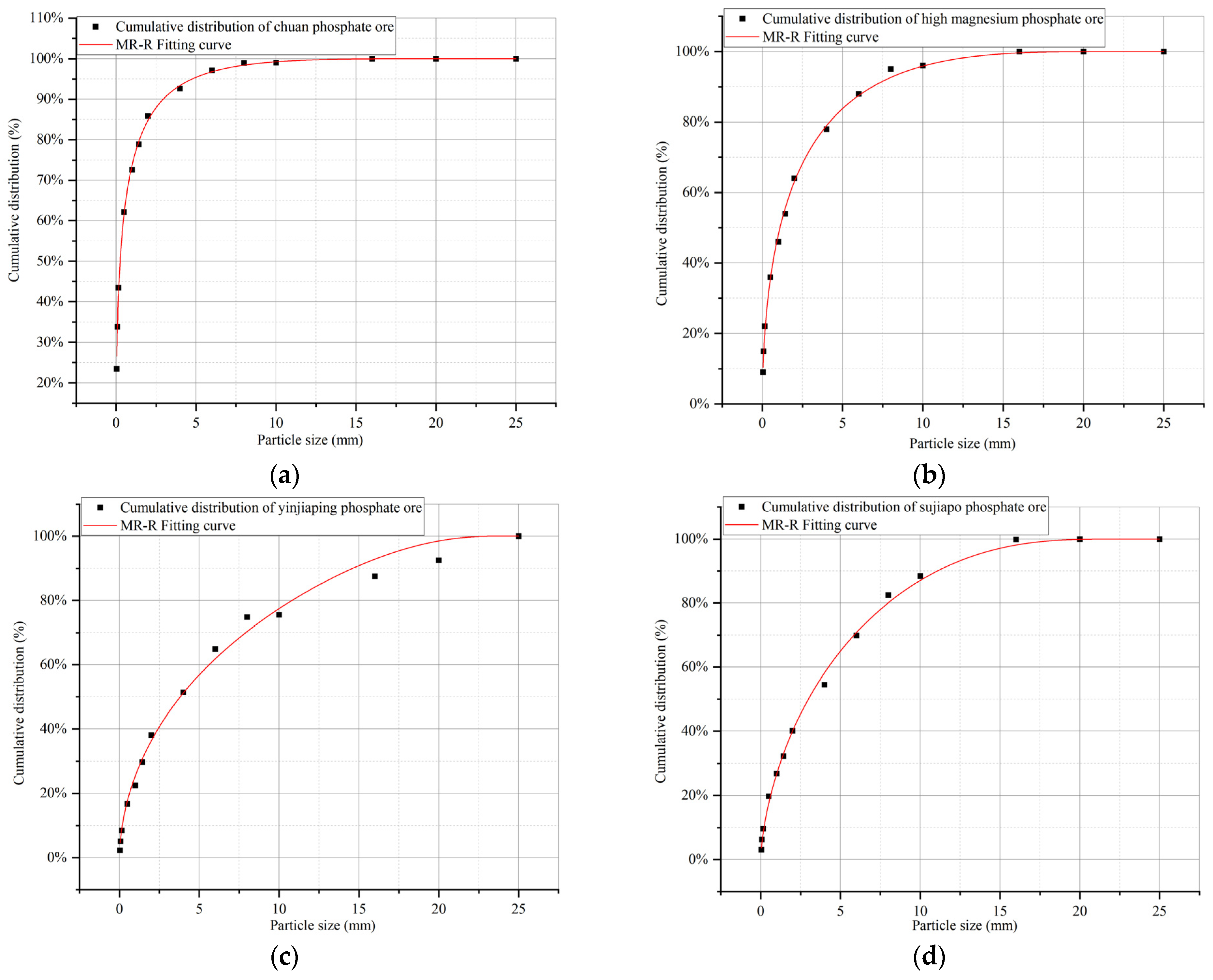
3.1. Particle Size Follows MR-R Distribution
3.2. Apatite Particles Smaller than 4 mm Completely Dissociated
3.3. The Relationship of P2O5 Grade and Particle Size
3.4. Quality Proportion and Liberation Degree
3.5. Liberation and Energy Consumption Compared to the Traditional Methods
3.5.1. Liberation Comparison
3.5.2. Energy Consumption Comparison
4. Discussion
5. Conclusions
Author Contributions
Funding
Data Availability Statement
Acknowledgments
Conflicts of Interest
References
- Dong, L.; Wei, Q.; Qin, W.; Jiao, F. Selective adsorption of sodium polyacrylate on calcite surface: Implications for flotation separation of apatite from calcite. Sep. Purif. Technol. 2019, 241, 116415. [Google Scholar] [CrossRef]
- El-Shall, H.; Zhang, P.; Khalek, N.A.; El-Mofty, S. Beneficiation technology of phosphates: Challenges and solutions. Mining, Met. Explor. 2003, 21, 17–26. [Google Scholar] [CrossRef]
- Kyzas, G.Z.; Matis, K.A. Electroflotation process: A review. J. Mol. Liq. 2016, 220, 657–664. [Google Scholar] [CrossRef]
- Madureira, C.M.N. Size, grade and liberation: A stochastic approach to the fundamental problem of mineral processing. In Proceedings of the XVI International Mineral Processing Congress, Stockholm, Sweden, 5–10 June 1988; Elsevier: Stockholm, The Netherlands, 1988; pp. 1823–1834. [Google Scholar]
- Sousa, R.; Simons, B.; Bru, K.; de Sousa, A.B.; Rollinson, G.; Andersen, J.; Martin, M.; Leite, M.M. Use of mineral liberation quantitative data to assess separation efficiency in mineral processing—Some case studies. Miner. Eng. 2018, 127, 134–142. [Google Scholar] [CrossRef]
- Liu, L.; Tan, Q.; Liu, L.; Cao, J. Comparison of different comminution flowsheets in terms of minerals liberation and separation properties. Miner. Eng. 2018, 125, 26–33. [Google Scholar] [CrossRef]
- Machado Leite, M.R. Liberation by size reduction. Consequences and improvements on flotation kinetics. In Innovations in Flotation Technology; NATO ASI Series E; Springer: Dordrecht, The Netherlands, 1992; pp. 149–170. [Google Scholar]
- Gaudin, A.M. Principles of Mineral Dressing; McGraw-Hill: New York, NY, USA, 1939. [Google Scholar]
- Gay, S. A liberation model for comminution based on probability theory. Miner. Eng. 2004, 17, 525–534. [Google Scholar] [CrossRef]
- Ueda, T.; Oki, T.; Koyanaka, S. Stereological correction method based on sectional texture analysis for the liberation distribution of binary particle systems. Adv. Powder Technol. 2017, 28, 1391–1398. [Google Scholar] [CrossRef]
- Leißner, T.; Mütze, T.; Bachmann, K.; Rode, S.; Gutzmer, J.; Peuker, U. Evaluation of mineral processing by assessment of liberation and upgrading. Miner. Eng. 2013, 53, 171–173. [Google Scholar] [CrossRef]
- Wills, B.A. Mineral Processing Technology: An Introduction to the Practical Aspects of Ore Treatment and Mineral Recovery; Butterworth-Heinemann: Amsterdam, The Netherlands, 2011. [Google Scholar]
- Zhang, J.; Subasinghe, N. Prediction of mineral liberation characteristics of comminuted particles of high grade ores. Miner. Eng. 2013, 49, 68–76. [Google Scholar] [CrossRef]
- Wills, B.A. Enhancement of minerals liberation. In Proceedings of the 16th International Mineral Processing Congress, Stockholm, Sweden, 5–10 June 1988; pp. 293–297. [Google Scholar]
- Lichter, J.; Lim, K.; Potapov, A.; Kaja, D. New developments in cone crusher performance optimization. Miner. Eng. 2009, 22, 613–617. [Google Scholar] [CrossRef]
- Oleg, D.N. Mechanical Crushing and Grinding; Elsevier: Amsterdam, The Netherlands, 2019; pp. 65–90. [Google Scholar]
- Numbi, B.; Zhang, J.; Xia, X. Optimal energy management for a jaw crushing process in deep mines. Energy 2014, 68, 337–348. [Google Scholar] [CrossRef]
- Parisa, P.; Mehdi, P.; Jan, R. Quantitative analysis of ore texture breakage characteristics affected by loading mechanism: Frag-mentation and mineral liberation. Miner. Eng. 2022, 182, 107561. [Google Scholar]
- Jack, J.; Alex, S. Energy Consumption in Mining Comminution. Procedia CIRP 2016, 48, 140–145. [Google Scholar]
- Farjana, S.H.; Huda, N.; Mahmud, M.P.; Saidur, R. A review on the impact of mining and mineral processing industries through life cycle assessment. J. Clean. Prod. 2019, 231, 1200–1217. [Google Scholar] [CrossRef]
- Kenneth, H.; Päivi, K.-R.; Pirita, H.; Kati, V.; Ali, E. Global energy consumption due to friction and wear in the mining industry. Tribol. Int. 2017, 115, 116–139. [Google Scholar]
- Yongbo, F.; Jiyan, Q.; Shihai, L.; Chun, F. Micron-sized ore powder production by propulsion and rapid unloading of high-pressure gas. J. Aust. Ceram. Soc. 2021, 57, 1489–1497. [Google Scholar] [CrossRef]
- Sajid, M.; Bary, G.; Asim, M.; Ahmad, R.; Ahamad, M.I.; Alotaibi, H.; Rehman, A.; Khan, I.; Yin, G. Synoptic view on P ore bene-ficiation techniques. Alex. Eng. J. 2022, 61, 3069–3092. [Google Scholar] [CrossRef]
- Benredjem, Z.; Delimi, R. Use of extracting agent for decadmiation of phosphate rock. Phys. Procedia 2009, 2, 1455–1460. [Google Scholar] [CrossRef]
- Guo, F.; Li, J. Separation strategies for Jordanian phosphate rock with siliceous and calcareous gangues. Int. J. Miner. Process. 2010, 97, 74–78. [Google Scholar] [CrossRef]
- Houot, R. Beneficiation of iron ore by flotation—Review of industrial and potential applications. Int. J. Miner. Process. 1983, 10, 183–204. [Google Scholar] [CrossRef]
- Dong, X.; Siqing, L.; Yanqing, Y.; Hailin, L.; Yi, P. A review on new technological progress for beneficiation of refractory phosphate ore in China. IOP Conf. Ser. Earth Environ. Sci. 2017, 63, 012043. [Google Scholar] [CrossRef]
- Yang, J.; Qiu, Y. Comparative study on mineral dissemination characteristics of phosphate ores by X-ray micro-computed to-mography and BGRIMM Process Mineralogy Analysis. Sci. Rep. 2022, 12, 21122. [Google Scholar] [CrossRef] [PubMed]
- Zhao, Y.; Long, W.; Huang, S.; Zhong, S.; Shen, Y.; Wang, L. Removal mechanism of oxide film on 304 stainless steel surface by silver brazing flux containing fluoride. Rare Metal. Mat. Eng. 2023, 51, 4502–4507. [Google Scholar] [CrossRef]
- Ji, Q.; Li, G.; Zhu, X.; Gao, T.; Qin, G.; Xu, C.; Cai, M.; Lu, Z.; Chen, Y.; Zhang, J.; et al. Process Mineralogy Automatic Detection System in Research of a Gold Polymetallic Mine. J. Phys. Conf. Ser. 2023, 2428, 012009. [Google Scholar] [CrossRef]
- Ruan, Y.; He, D.; Chi, R. Review on beneficiation techniques and reagents used for phosphate ores. Minerals 2019, 9, 253. [Google Scholar] [CrossRef]
- Ashraf, M.; Zafar, Z.I.; Ansari, T.M. Selective leaching of low grade calcareous phosphate rock in succinic acid. J. Res. (Sci.) 2007, 18, 145–157. [Google Scholar]
- Zhang, G.H.; Fan, Y.B.; Yang, R.S.; Li, S.H. Influence of ore size on the production of micro-sized ore particles by high-pressure gas rapid unloading. Powder Technol. 2023, 427, 118716. [Google Scholar] [CrossRef]









| Diameter (mm) | Quality Proportion (%) | P2O5 Grade of Different Intervals (%) | P2O5 Quality | P2O5 Grade (%) |
|---|---|---|---|---|
| >5 | 42.85% | 14.62% | 6.26% | 14.62% |
| 3–5 | 28.46% | 20.96% | 5.97% | 21.06% |
| 1–3 | 13.70% | 21.44% | 2.94% | |
| 0.5–1 | 12.84% | 20.86% | 2.68% | |
| 0.1–0.5 | 2.00% | 18.21% | 0.36% | 18.38% |
| <0.1 | 7.10% | 18.43% | 1.31% | |
| The P2O5 grade of the original apatite ore | 18.25% | |||
| Diameter (mm) | Quality Proportion (%) | P2O5 Grade of Different Intervals (%) | P2O5 Quality | P2O5 Grade (%) |
|---|---|---|---|---|
| >20 | 0.14% | 25.61% | 0.036% | 23.45% |
| 16–20 | 0.65% | 28.85% | 0.19% | |
| 10–16 | 5.81% | 22.20% | 1.29% | |
| 8–10 | 6.08% | 27.85% | 1.69% | |
| 6–8 | 9.86% | 24.03% | 2.37% | |
| 4–6 | 17.38% | 23.29% | 4.05% | |
| 2–4 | 14.9% | 34.04% | 5.07% | 33.94% |
| 1–2 | 16.05% | 36.69% | 5.89% | |
| 0.5–1 | 6.76% | 35.58% | 2.41% | |
| 0.18–0.5 | 7.94% | 29.12% | 2.31% | |
| 0.15–0.18 | 3.26% | 28.07% | 0.92% | |
| 0.074–0.15 | 3.57% | 25.38% | 0.91% | 24.40% |
| <0.074 | 7.25% | 23.91% | 1.73% |
Disclaimer/Publisher’s Note: The statements, opinions and data contained in all publications are solely those of the individual author(s) and contributor(s) and not of MDPI and/or the editor(s). MDPI and/or the editor(s) disclaim responsibility for any injury to people or property resulting from any ideas, methods, instructions or products referred to in the content. |
© 2024 by the authors. Licensee MDPI, Basel, Switzerland. This article is an open access article distributed under the terms and conditions of the Creative Commons Attribution (CC BY) license (https://creativecommons.org/licenses/by/4.0/).
Share and Cite
Fan, Y.; Zhang, G.; Li, S.; Zhang, L.; Guo, J.; Feng, C. Mineral Liberation and Concentration Characteristics of Apatite Comminuted by High-Pressure GRU. Minerals 2024, 14, 1148. https://doi.org/10.3390/min14111148
Fan Y, Zhang G, Li S, Zhang L, Guo J, Feng C. Mineral Liberation and Concentration Characteristics of Apatite Comminuted by High-Pressure GRU. Minerals. 2024; 14(11):1148. https://doi.org/10.3390/min14111148
Chicago/Turabian StyleFan, Yongbo, Genghao Zhang, Shihai Li, Li Zhang, Jianqiang Guo, and Chun Feng. 2024. "Mineral Liberation and Concentration Characteristics of Apatite Comminuted by High-Pressure GRU" Minerals 14, no. 11: 1148. https://doi.org/10.3390/min14111148
APA StyleFan, Y., Zhang, G., Li, S., Zhang, L., Guo, J., & Feng, C. (2024). Mineral Liberation and Concentration Characteristics of Apatite Comminuted by High-Pressure GRU. Minerals, 14(11), 1148. https://doi.org/10.3390/min14111148

