The Application of Sulfur–Metal Mass Ratios in Metal Sulfides in Assessing Prospects for Deep Metallogeny: A Case Study of the Tongshan Copper Deposit in Heilongjiang Province, Northeast China
Abstract
1. Introduction
1.1. Geochemical Features of Sulfur
1.2. Sulfur–Metal Mass Ratios of Common Metal Sulfide Minerals
2. Geological Setting
2.1. Duobaoshan Ore Field
2.2. Tongshan Copper Deposit
3. Experimental Research Methods
3.1. Sample Collection
3.2. Sample Processing and Analysis
3.3. Calculation of Element Migration
3.4. Steps and General Rules for Evaluation of Metallogenic Prospects Using Sulfur–Metal Mass Ratios
- Based on Grant’s concentration equation and element content in altered rocks, this study used Al2O3 as the inert (immobile) element and calculated the element migration quantity of S, Cu, Pb, Zn, As, and Ag in the geochemical systems of the test areas. We obtained the content of Fe2O3 via sample analysis, so the content of Fe can be obtained using Fe = 112 × Fe2O3/160. Furthermore, the element migration quantity of Fe can be obtained using Grant’s concentration equation.
- The element migration quantity and variations of S can be used preliminarily to judge whether there were hydrothermal processes or mineralization in drillholes, the overall mineralization intensity, and the possible mineralization sections.
- On the premise that mineralization is judged to exist, differing element migration of S and Fe can be used to interpret element migration and S content and further to judge whether there are metallogenic conditions for forming non-ferrous metal deposits.
- On the premise that non-ferrous metal deposits or mineralization are inferred to exist, the element migration quantity of metallogenic elements can be utilized to infer possible mineral species. Then, the identification of polished sections was performed to ensure the mineralization process and thus discover mineralization.
- If there are good metallogenic prospects in deep or peripheral areas, exploration or prospecting engineering should be deployed to validate this.
- When using the S anomaly to evaluate the metallogenic prospects of an exploration area, the above steps and general rules are generally progressive. Usually, if the previous condition does not exist, the following step will terminate.
4. Result
5. Discussion
5.1. Correlation of Element Migration in Different Layers
5.2. Balance of S-Cu-(Fe, Pb, Zn, and Ag)
5.3. Evaluating the Potential of Deep Metallogeny
6. Conclusions
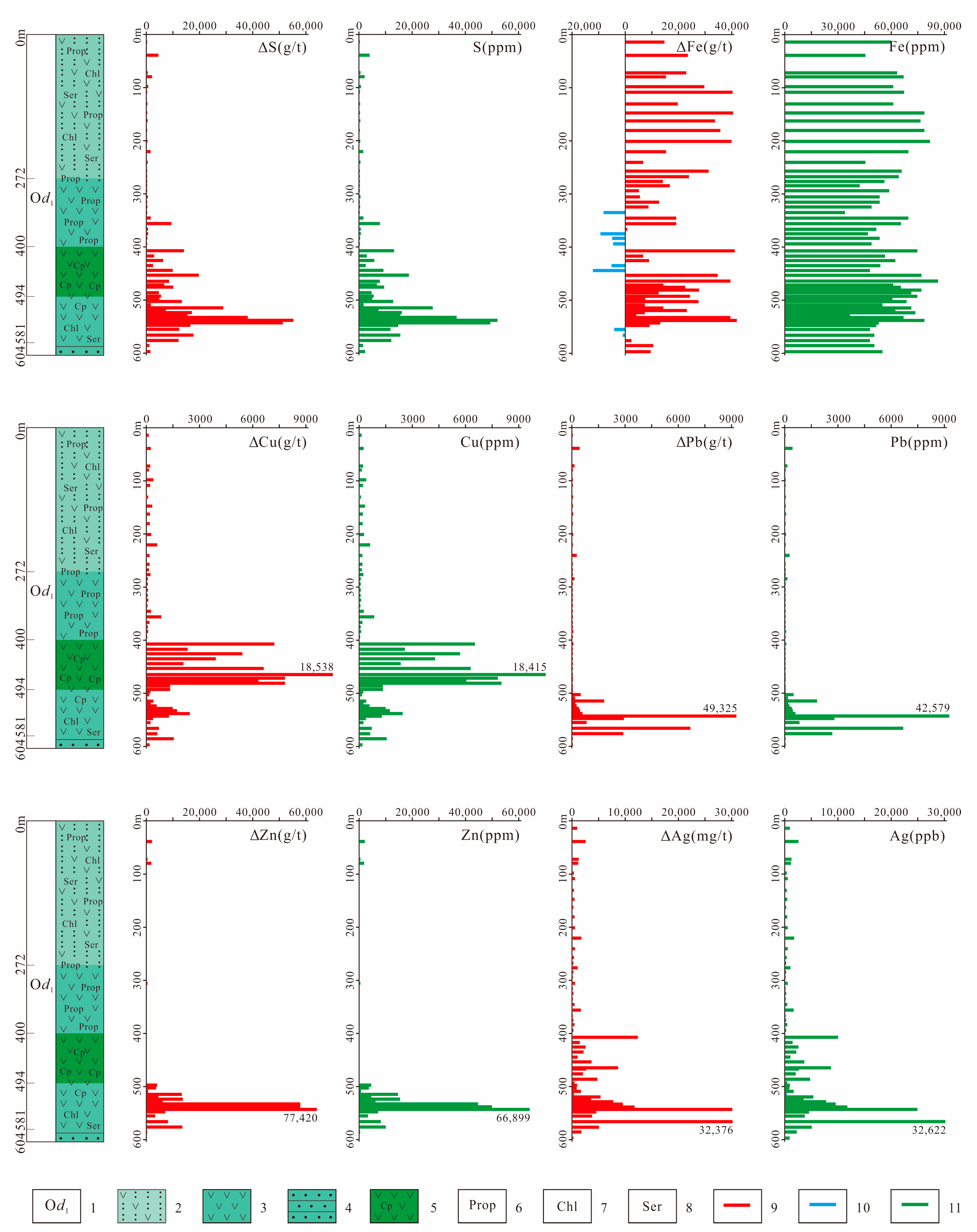
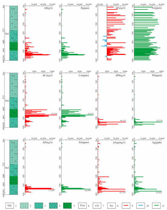
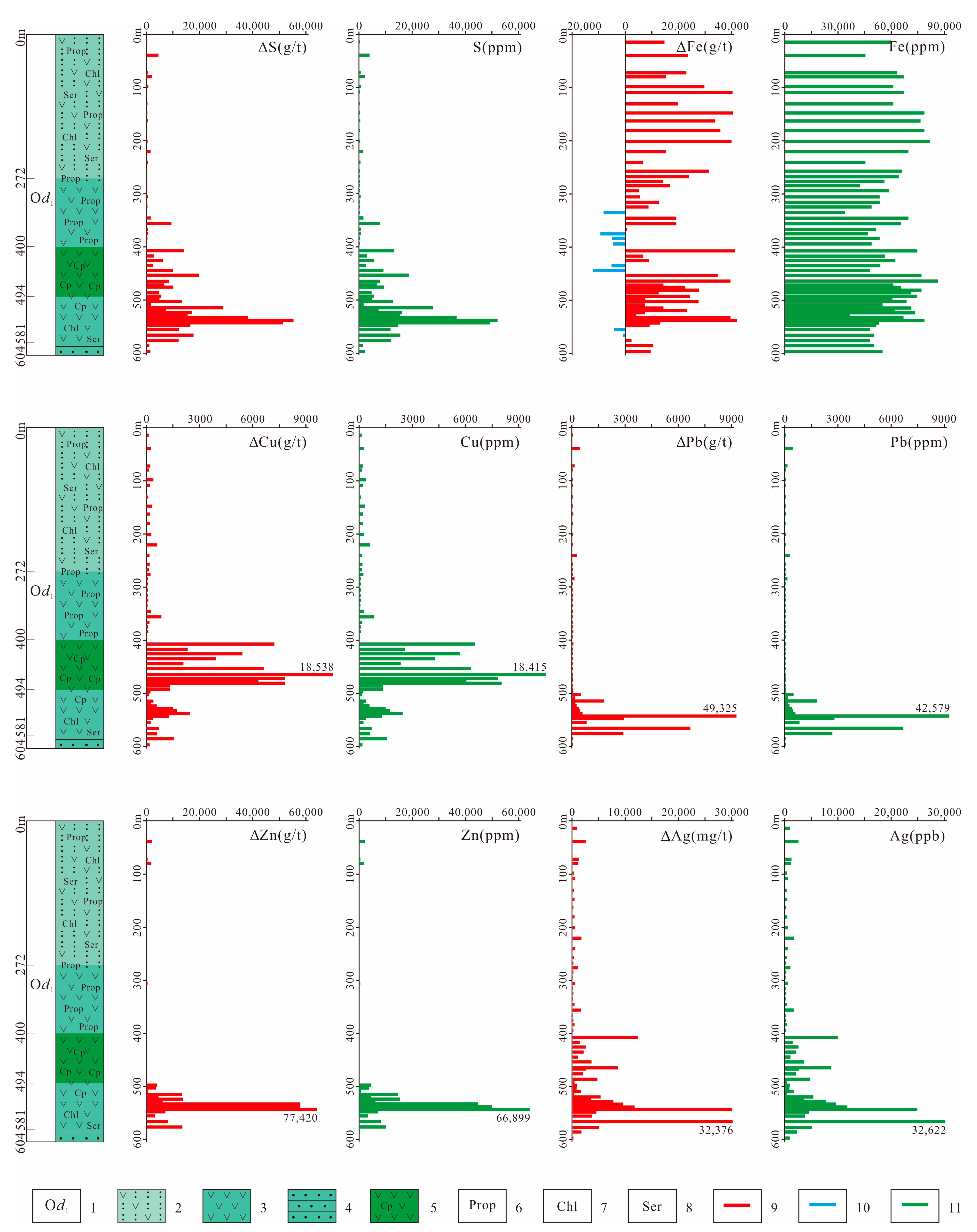
- In the orebodies, the average S influx is 7160 g/t, that of Cu is 5469 g/t, and that of Fe is 8796 g/t. In contrast, below the orebodies, the average S influx is 18,600 g/t, that of Cu is 650 g/t, and that of Fe is 5360 g/t, which disagrees with their SMMRs.
- The element migration quantity shows that Pb’s average influx is 4650 g/t, and Zn’s is 18,840 g/t below the orebodies. Microscopic identification reveals that Pb-Zn mineralization occurs in the ZK611 drill hole at a depth of 494–581 m, and the mineralization is dominated by galena and sphalerite, which display a fine granular texture.
- The metallogenic indication of the SMMR is present in two aspects: whether mineralization stops, and the mineralization possibility in deep and peripheral areas. These two factors are critical for evaluating metallogenic prospects and achieving good results in the Tongshan copper deposit.
Author Contributions
Funding
Data Availability Statement
Acknowledgments
Conflicts of Interest
References
- Cohen, D.R.; Kelley, D.L.; Anand, R.; Coker, W.B. Major advances in exploration geochemistry, 1998–2007. Geochem.-Explor. Environ. Anal. 2010, 10, 3–16. [Google Scholar] [CrossRef]
- Yang, S.; Gong, Q.; Wen, Z.; Zhang, H.; Sun, Z.; Zhu, l.; Zhou, G.; Cheng, H.; Wang, X. Application Research of the New Technologies for Geochemical Survey. Acta Geol. Sin. 2011, 85, 1844–1877. [Google Scholar]
- Leybourne, M.I.; Cameron, E.M. Groundwater in geochemical exploration. Geochem. -Explor. Environ. Anal. 2010, 10, 99–118. [Google Scholar] [CrossRef]
- Piercey, S.J. An overview of petrochemistry in the regional exploration for volcanogenic massive sulphide (VMS) deposits. Geochem.-Explor. Environ. Anal. 2010, 10, 119–136. [Google Scholar] [CrossRef]
- Caughlin, B.L. Developments in analytical technology. Geochem.-Explor. Environ. Anal. 2010, 10, 137–141. [Google Scholar] [CrossRef]
- Grunsky, E.C. The interpretation of geochemical survey data. Geochem.-Explor. Environ. Anal. 2010, 10, 27–74. [Google Scholar] [CrossRef]
- Jackson, R.G. Application of 3D geochemistry to mineral exploration. Geochem.-Explor. Environ. Anal. 2010, 10, 143–156. [Google Scholar] [CrossRef]
- Coker, W.B. Future research directions in exploration geochemistry. Geochem.-Explor. Environ. Anal. 2010, 10, 75–80. [Google Scholar] [CrossRef]
- Xu, M.Z.; Zhu, L.X.; Ma, S.M.; Sun, Y.; Tang, S.X.; Lu, L. Supergene activity discipline of elements from skarn copper mine in Beishan region: Example from Huitongshan copper mine. J. Jilin Univ. (Earth Sci. Ed.) 2011, 41, 1056–1066. [Google Scholar]
- Zhang, Y.; Fu, S.T.; Hua, L.B.; Zhao, P.S.; Wang, B.F. Enrichment and Depletion Regularities of Trace Elements in Pb-Zn Deposits: Examples from the Dingjiashan Pb-Zn Mine in Fujian Province and Ganjiagang Pb-Zn Mine in Jiangsu Province. Geol. Explor. 2014, 50, 1126–1136. [Google Scholar] [CrossRef]
- Zhang, D.; Zhu, L.X.; Su, L.; Ma, S.M.; Chen, H.Q.; Li, J.Y. Study on Multiple Attributes Geochemical Abnormal in Wulonggou Gold Deposit, Qinghai Province. Acta Geol. Sin. 2016, 90, 2874–2886. [Google Scholar]
- Xi, M.J.; AI, J.B.; Ma, S.M.; Zhu, L.X. The Genesis and Metallogenic Pattern of the Matou Mo-Cu Deposit in Chizhou District, Anhui Province, China. Acta Geol. Sin. 2016, 90, 2412–2426. [Google Scholar]
- Wang, J.; Zhu, L.X.; Ma, S.M.; Tang, S.X.; Zhang, L.L.; Zhou, W.W. Application of the multi-attribute anomaly model for prospecting potential at depth: A case study of the Haiyu Au deposit in the Jiaodong Gold Province, China. J. Geochem. Explor. 2019, 207, 106359. [Google Scholar] [CrossRef]
- Liu, Y.P.; Zhu, L.X.; Ma, S.M.; Guo, F.S.; Gong, Q.L.; Tang, S.X.; Gopalakrishnan, G.; Zhou, Y.Z. Constraining the distribution of elements and their controlling factors in the Zhaojikou Pb-Zn ore deposit, SE China, via fractal and compositional data analysis. Appl. Geochem. 2019, 108, 104379. [Google Scholar] [CrossRef]
- Ma, S.M.; Zhu, L.X.; Xi, M.J.; Tang, S.X. Multidimensional Anomaly System and Its Formation Mechanism-Basic Criteria for Mineral Geochemical Exploration; Geological Publishing House: Beijing, China, 2022; pp. 145–151. [Google Scholar]
- Taylor, S. Abundance of chemical elements in the continental crust: A new table. Geochim. Cosmochim. Acta 1964, 28, 1273–1285. [Google Scholar] [CrossRef]
- Hedenquist, J.W.; Simmons, S.F.; Giggenbach, W.F.; Eldridge, C.S. White Island, New Zealand, volcanic-hydrothermal system represents the geochemical environment of high-sulfidation Cu and Au ore deposition. Geology 1993, 21, 731–734. [Google Scholar] [CrossRef]
- Seo, J.H.; Guillong, M.; Heinrich, C.A. The role of sulfur in the formation of magmatic-hydrothermal copper-gold deposits. Earth Planet. Sci. Lett. 2009, 282, 323–328. [Google Scholar] [CrossRef]
- Liu, Y.J.; Cao, L.M.; Li, Z.L.; Wang, H.N.; Chu, T.Q.; Zhang, J.R. Element Geochemistry; Geological Publishing House: Beijing, China, 1984; pp. 458–470. [Google Scholar]
- Cifuentes, G.R.; Jiménez-Millán, J.; Quevedo, C.P.; Jiménez-Espinosa, R. Transformation of S-Bearing Minerals in Organic Matter-Rich Sediments from a Saline Lake with Hydrothermal Inputs. Minerals 2020, 10, 525. [Google Scholar] [CrossRef]
- Liu, Y.D.; Zeng, A.H.; Chen, W.J.; Cao, Y.T. The Sulfur Isotopic Characteristics of Evaporites in the Yarkand Basin of Xinjiang Province in the Paleocene and Its Paleoenvironmental Evolution. Minerals 2023, 13, 816. [Google Scholar] [CrossRef]
- Lu, Q.F.; Qin, S.J.; Wang, W.F.; Wu, S.H.; Shao, F.J. Mineralogy and Geochemistry of High-Sulfur Coals from the M8 Coal Seam, Shihao Mine, Songzao Coalfield, Chongqing, Southwestern China. Minerals 2024, 14, 95. [Google Scholar] [CrossRef]
- Knobloch, M.; Lottermoser, B.G. Infrared Thermography: A Method to Visualise and Analyse Sulphide Oxidation. Minerals 2020, 10, 933. [Google Scholar] [CrossRef]
- Pokrovski, G.S.; Borisova, A.Y.; Harrichoury, J.C. The effect of sulfur on vapor-liquid fractionation of metals in hydrothermal systems. Earth Planet. Sci. Lett. 2008, 266, 345–362. [Google Scholar] [CrossRef]
- Simon, A.C.; Ripley, E.M. The Role of Magmatic Sulfur in the Formation of Ore Deposits. In Sulfur in Magmas and Melts: Its Importance for Natural and Technical Processes; Behrens, H., Webster, J.D., Eds.; Reviews in Mineralogy & Geochemistry; De Gruyter: Berlin, Germany, 2011; Volume 73, pp. 513–578. [Google Scholar]
- Yang, X.M. Sulphur Solubility in Felsic Magmas: Implications for Genesis of Intrusion-related Gold Mineralization. Geosci. Can. 2012, 39, 17–32. [Google Scholar]
- Seo, J.H. Hydrothermal sulfur geochemistry on molybdenite deposition of the Questa Mo-deposit, New Mexico, USA. Geosci. J. 2014, 18, 419–425. [Google Scholar] [CrossRef]
- Richards, J.P. The oxidation state, and sulfur and Cu contents of arc magmas: Implications for metallogeny. Lithos 2015, 233, 27–45. [Google Scholar] [CrossRef]
- Kokh, M.A.; Lopez, M.; Gisquet, P.; Lanzanova, A.; Candaudap, F.; Besson, P.; Pokrovski, G.S. Combined effect of carbon dioxide and sulfur on vapor-liquid partitioning of metals in hydrothermal systems. Geochim. Cosmochim. Acta 2016, 187, 311–333. [Google Scholar] [CrossRef]
- Hao, Y.-J.; Ren, Y.-S.; Duan, M.-X.; Tong, K.-Y.; Chen, C.; Yang, Q.; Li, C. Metallogenic events and tectonic setting of the Duobaoshan ore field in Heilongjiang Province, NE China. J. Asian Earth Sci. 2015, 97, 442–458. [Google Scholar] [CrossRef]
- Chu, S.; Liu, J.; Xu, J.; Wei, H.; Chai, H.; Tong, K. Zircon U-Pb dating, petrogenesis and tectonic significance of the granodiorite in the Sankuanggou skarn Fe-Cu deposit, Heilongjiang Province. Acta Petrol. Sin. 2012, 28, 433–450. [Google Scholar]
- Cai, W.-y.; Wang, K.-y.; Li, J.; Fu, L.-j.; Lai, C.-k.; Liu, H.-l. Geology, geochronology and geochemistry of large Duobaoshan Cu-Mo-Au orefield in NE China: Magma genesis and regional tectonic implications. Geosci. Front. 2021, 12, 265–292. [Google Scholar] [CrossRef]
- Xiao, W.J.; Windley, B.F.; Hao, J.; Zhai, M.G. Accretion leading to collision and the Permian Solonker suture, Inner Mongolia, China: Termination of the central Asian orogenic belt. Tectonics. 2003, 22, 1–8. [Google Scholar] [CrossRef]
- Li, J.Y. Permian geodynamic setting of Northeast China and adjacent regions: Closure of the Paleo-Asian Ocean and subduction of the Paleo-Pacific Plate. J. Asian Earth Sci. 2006, 26, 207–224. [Google Scholar] [CrossRef]
- Wu, F.Y.; Sun, D.Y.; Ge, W.C.; Zhang, Y.B.; Grant, M.L.; Wilde, S.A.; Jahn, B.M. Geochronology of the Phanerozoic granitoids in northeastern China. J. Asian Earth Sci. 2011, 41, 1–30. [Google Scholar] [CrossRef]
- Wu, G.; Chen, Y.C.; Chen, Y.J.; Zeng, Q.T. Zircon U-Pb ages of the metamorphic supracrustal rocks of the Xinghuadukou Group and granitic complexes in the Argun massif of the northern Great Hinggan Range, NE China, and their tectonic implications. J. Asian Earth Sci. 2012, 49, 214–233. [Google Scholar] [CrossRef]
- Zeng, Q.-D.; Liu, J.-M.; Chu, S.-X.; Wang, Y.-B.; Sun, Y.; Duan, X.-X.; Zhou, L.-L.; Qu, W.-J. Re-Os and U-Pb geochronology of the Duobaoshan porphyry Cu-Mo-(Au) deposit, northeast China, and its geological significance. J. Asian Earth Sci. 2014, 79, 895–909. [Google Scholar] [CrossRef]
- Ge, W.C.; Wu, F.Y.; Zhou, C.Y.; Rahman, A.A.A. Emplacement age of the Tahe granite and its constraints on the tectonic nature of the Ergun block in the northern part of the Da Hinggan Range. Chin. Sci. Bull. 2005, 50, 2097–2105. [Google Scholar] [CrossRef]
- She, H.Q.; Li, J.W.; Xiang, A.P.; Guan, J.D.; Yang, Y.C.; Zhang, D.Q.; Tan, G.; Zhang, B. U-Pb ages of the zircons from primary rocks in middle-northern Daxinganling and its implications to geotectonic evolution. Acta Petrol. Sin. 2012, 28, 571–594. [Google Scholar]
- Li, L.Y.; Zhang, C.H.; Feng, Z.Q. The Ordovician Arc-Basin System in the Northern Great Xing’an Range (Northeast China): Constraints from Provenance Analysis of the Luohe Formation. Minerals 2024, 14, 258. [Google Scholar] [CrossRef]
- Seltmann, R.; Porter, T.M.; Pirajno, F. Geodynamics and metallogeny of the central Eurasian porphyry and related epithermal mineral systems: A review. J. Asian Earth Sci. 2014, 79, 810–841. [Google Scholar] [CrossRef]
- Ge, W.C.; Wu, F.Y.; Zhou, C.Y.; Zhang, J.H. Porphyry Cu-Mo deposits in the eastern Xing’an-Mongolian Orogenic Belt: Mineralization ages and their geodynamic implications. Chin. Sci. Bull. 2007, 52, 3416–3427. [Google Scholar] [CrossRef]
- Wang, J.; Hattori, K.; Yang, Y.C.; Yuan, H.Q. Zircon Chemistry and Oxidation State of Magmas for the Duobaoshan-Tongshan Ore-Bearing Intrusions in the Northeastern Central Asian Orogenic Belt, NE China. Minerals 2021, 11, 503. [Google Scholar] [CrossRef]
- Zhao, Z.H.; Qiao, K.; Liu, Y.W.; Chen, J.; Li, C.L. Geochemical Data Mining by Integrated Multivariate Component Data Analysis: The Heilongjiang Duobaoshan Area (China) Case Study. Minerals 2022, 12, 1035. [Google Scholar] [CrossRef]
- Zhao, Z.H.; Chen, J.; Cheng, B.B.; Liu, Y.W.; Qiao, K.; Cui, X.M.; Yin, Y.C.; Li, C.L. Spatial Analysis of Structure and Metal Mineralization Based on Fractal Theory and Fry Analysis: A Case Study in Nenjiang-Heihe Metallogenic Belt. Minerals 2023, 13, 313. [Google Scholar] [CrossRef]
- Zhao, Y.Y.; Ma, Z.H.; Zhong, C.X. Geochemistry and its model of prospecting of Tongshan copper deposit, Heilongjiang Province. Geol. Explor. 1995, 31, 48–54. [Google Scholar]
- Zhao, Y.M.; Bi, C.S.; Zou, X.Q.; Sun, Y.L.; Du, A.D.; Zhao, Y.M. The Re-Os isotopic age of molybdenite from Duobaoshan and Tongshan porphyry copper (molybdenum) deposits. Acta Geosci. Sin. 1997, 18, 61–67. [Google Scholar]
- Du, Q.; Chen, M.X. The genetic model of Duobaoshan porphyry copper deposit. Miner. Depos. 1983, 2, 42–48. [Google Scholar]
- Wu, G.; Liu, J.; Zhong, W.; Zhu, M.T.; Mei, M.; Wan, Q. Fluid inclusion study of the Tongshan porphyry copper deposit, Heilongjiang Province, China. Acta Petrol. Sin. 2009, 25, 2995–3006. [Google Scholar]
- Gresens, R.L. Composition-volume relationships of metasomatism. Chem. Geol. 1967, 2, 47–65. [Google Scholar] [CrossRef]
- Grant, J.A. The isocon diagram—A simple solution to Gresens equation for metasomatic alteration. Econ. Geol. 1986, 81, 1976–1982. [Google Scholar] [CrossRef]
- Grant, J.A. Isocon analysis: A brief review of the method and applications. Phys. Chem. Earth 2005, 30, 997–1004. [Google Scholar] [CrossRef]
- Deng, H.L.; Tu, G.Z.; Li, C.Y.; Liu, C.Q. Mass balance of open geochemical systems: 1. Theory. Acta Mineral. Sin. 1999, 19, 121–131. [Google Scholar]
- AI, J.B.; Ma, S.M.; Fan, L.J. A quantitative discussion on element mass migration in the Wunugetushan porphyry Cu-Mo deposit, Inner Mongolia. Acta Geosci. Sin. 2013, 34, 193–202. [Google Scholar]
- AI, J.B.; Ma, S.M.; Zhu, L.X.; Fan, L.J.; Hu, Z.X.; Xi, M.J. Characteristic and migration regularity of major elements and REEs in Matou porphyry Mo-Cu deposit in the middle-lower reaches of Yangtze River. Acta Geol. Sin. 2013, 87, 691–702. [Google Scholar]
- Guo, S.; Ye, K.; Chen, Y.; Liu, J.; Zhang, L. Introduction of mass-balance calculation method for component transfer during the opening of a geological system. Acta Petrol. Sin. 2013, 29, 1486–1498. [Google Scholar]
- Maclean, W.H.; Kranidiotis, P. Immobile elements as Monitors of mass-transfer in hydrothermal alteration-Phelps Dodge massive sulfide deposit, Matagami, Quebec. Econ. Geol. 1987, 82, 951–962. [Google Scholar] [CrossRef]
- Ellahi, S.S.; Taghipour, B.; Zarasvandi, A.; Bird, M.I.; Somarin, A.K. Mineralogy, Geochemistry and Stable Isotope Studies of the Dopolan Bauxite Deposit, Zagros Mountain, Iran. Minerals 2016, 6, 11. [Google Scholar] [CrossRef]
- Reinhardt, N.; Proenza, J.A.; Villanova-de-Benavent, C.; Aiglsperger, T.; Bover-Arnal, T.; Torró, L.; Salas, R.; Dziggel, A. Geochemistry and Mineralogy of Rare Earth Elements (REE) in Bauxitic Ores of the Catalan Coastal Range, NE Spain. Minerals 2018, 8, 562. [Google Scholar] [CrossRef]
- Li, C.; Li, Z.L.; Wu, T.; Luo, Y.Q.; Zhao, J.; Li, X.R.; Yang, W.C.; Chen, X.G. Metallogenic Characteristics and Formation Mechanism of Naomugeng Clay-Type Lithium Deposit in Central Inner Mongolia, China. Minerals 2021, 11, 238. [Google Scholar] [CrossRef]
- Yan, M.C.; Chi, Q.H. The Chemical Compositions Crust and Rocks in the Eastern Part of China; Science House: Beijing, China, 1997; pp. 106–107. [Google Scholar]






| Element | Mineral | Formula | Sulfur–Metal Mass Ratio (wt.%) | ||
|---|---|---|---|---|---|
| Cu | Chalcopyrite | CuFeS2 | Cu34.6 | Fe30.4 | S35.0 |
| Bornite | Cu5FeS4 | Cu63.3 | Fe11.1 | S25.6 | |
| Tetrahedrite-(Cu) | Cu12Sb4S13 | Cu45.9 | Sb29.2 | S24.9 | |
| Chalcocite | Cu2S | Cu79.9 | S20.1 | ||
| Covellite | CuS | Cu66.5 | S33.5 | ||
| Pb | Galena | PbS | Pb86.6 | S13.4 | |
| Jamesonite | Pb4FeSb6S14 | Pb40.1 | Fe2.7, Sb35.5 | S21.7 | |
| Bournonite | PbCuSbS3 | Pb42.4 | Cu13.0, Sb24.9 | S19.7 | |
| Zn | Sphalerite | ZnS | Zn67.1 | S32.9 | |
| Wurtzite | ZnS | Zn67.1 | S32.9 | ||
| Ag | Argentite | Ag2S | Ag87.1 | S12.9 | |
| Fe | Pyrite | FeS2 | Fe46.6 | S53.4 | |
| Pyrrhotite | Fe1-xS | Fe61-60 | S39-40 | ||
| Analytical Items | Analytical Methods | Detection Limit | Unit | Passing Rate of One-Order Standard Material/% | Passing Rate of Repeated Samples/% |
|---|---|---|---|---|---|
| S | WD-XRF | 50 | ppm | 100 | 100 |
| Cu | ICP-MS | 1 | ppm | 100 | 100 |
| Pb | ICP-MS | 2 | ppm | 100 | 100 |
| Zn | ICP-MS | 2 | ppm | 100 | 100 |
| Ag | A.C.-Arc-SES | 20 | ppb | 100 | 100 |
| Fe2O3 | WD-XRF | 0.1 | wt.% | 100 | 100 |
| Sample Number | Location/m | S/ppm | Fe/wt.% | Cu/ppm | Pb/ppm | Zn/ppm | Ag/ppb |
|---|---|---|---|---|---|---|---|
| ZK611-1 | 28 | 223 | 5.96 | 120 | 17 | 191 | 883 |
| ZK611-2 | 50 | 2899 | 4.70 | 162 | 288 | 1365 | 1669 |
| ZK611-3 | 69 | 411 | 6.36 | 190 | 132 | 386 | 1095 |
| ZK611-4 | 90 | 2231 | 6.87 | 157 | 58 | 1936 | 1187 |
| ZK611-5 | 96 | 537 | 6.07 | 304 | 28 | 168 | 274 |
| ZK611-6 | 121 | 168 | 6.75 | 155 | 5 | 102 | 445 |
| ZK611-7 | 140 | 292 | 6.13 | 117 | 13 | 187 | 345 |
| ZK611-8 | 155 | 231 | 7.78 | 281 | 10 | 124 | 359 |
| ZK611-9 | 170 | 380 | 7.55 | 185 | 12 | 121 | 186 |
| ZK611-10 | 191 | 142 | 7.79 | 178 | 17 | 109 | 383 |
| ZK611-11 | 211 | 340 | 8.27 | 254 | 26 | 142 | 538 |
| ZK611-12 | 230 | 1539 | 6.65 | 633 | 54 | 265 | 1825 |
| ZK611-13 | 251 | 358 | 4.32 | 134 | 212 | 157 | 439 |
| ZK611-14 | 263 | 185 | 6.69 | 149 | 20 | 105 | 282 |
| ZK611-15 | 272 | 127 | 6.59 | 129 | 7 | 103 | 210 |
| ZK611-16 | 281 | 212 | 5.84 | 208 | 119 | 135 | 911 |
| ZK611-17 | 288 | 85 | 4.40 | 64 | 15 | 96 | 138 |
| ZK611-18 | 300 | 110 | 5.96 | 97 | 6 | 94 | 153 |
| ZK611-19 | 311 | 485 | 5.64 | 105 | 24 | 382 | 545 |
| ZK611-20 | 320 | 152 | 5.67 | 80 | 15 | 124 | 121 |
| ZK611-21 | 329 | 284 | 5.15 | 104 | 13 | 100 | 160 |
| ZK611-22 | 341 | 114 | 3.64 | 65 | 9 | 143 | 86 |
| ZK611-23 | 350 | 1528 | 7.16 | 262 | 23 | 211 | 382 |
| ZK611-24 | 362 | 8349 | 6.68 | 772 | 45 | 96 | 1447 |
| ZK611-25 | 371 | 568 | 5.36 | 183 | 14 | 131 | 163 |
| ZK611-26 | 379 | 635 | 4.68 | 108 | 30 | 144 | 244 |
| ZK611-27 | 388 | 391 | 5.64 | 133 | 104 | 230 | 512 |
| ZK611-28 | 400 | 124 | 4.88 | 42 | 30 | 173 | 232 |
| ZK611-29 | 413 | 10,905 | 7.50 | 5522 | 63 | 154 | 9569 |
| ZK611-30 | 421 | 2756 | 5.86 | 2189 | 4 | 52 | 1390 |
| ZK611-31 | 430 | 6248 | 6.46 | 5545 | 4 | 51 | 2576 |
| ZK611-32 | 440 | 7867 | 5.64 | 4400 | 12 | 75 | 2337 |
| ZK611-33 | 449 | 2794 | 4.87 | 2318 | 6 | 62 | 1183 |
| ZK611-34 | 458 | 8340 | 7.63 | 5472 | 8 | 129 | 3068 |
| ZK611-35 | 470 | 17,571 | 8.53 | 18,415 | 43 | 122 | 7745 |
| ZK611-36 | 473 | 7522 | 6.28 | 7011 | 10 | 97 | 2362 |
| ZK611-37 | 479 | 5769 | 6.80 | 5650 | 4 | 92 | 1746 |
| ZK611-38 | 483 | 9349 | 7.76 | 7377 | 6 | 97 | 4405 |
| ZK611-39 | 488 | 4769 | 7.04 | 1406 | 7 | 130 | 495 |
| ZK611-40 | 494 | 5223 | 7.57 | 1275 | 8 | 192 | 852 |
| ZK611-41 | 500 | 4760 | 6.13 | 238 | 30 | 3865 | 782 |
| ZK611-42 | 506 | 11,100 | 6.97 | 149 | 411 | 3006 | 1396 |
| ZK611-43 | 512 | 1456 | 5.71 | 31 | 159 | 579 | 322 |
| ZK611-44 | 518 | 29,360 | 7.13 | 419 | 1844 | 13,484 | 5486 |
| ZK611-45 | 521 | 5829 | 6.34 | 209 | 156 | 3658 | 1195 |
| ZK611-46 | 527 | 20,085 | 7.48 | 703 | 308 | 16,233 | 4251 |
| ZK611-47 | 530 | 10,296 | 4.01 | 1012 | 262 | 4080 | 5197 |
| ZK611-48 | 536 | 26,450 | 6.69 | 1213 | 317 | 45,219 | 6659 |
| ZK611-49 | 541 | 42,013 | 7.89 | 1881 | 452 | 49,649 | 8948 |
| ZK611-50 | 545 | 39,931 | 5.38 | 1013 | 42,579 | 66,899 | 25,284 |
| ZK611-51 | 551 | 13,949 | 5.51 | 331 | 2477 | 5987 | 3850 |
| ZK611-52 | 560 | 11,288 | 4.79 | 234 | 765 | 2974 | 3426 |
| ZK611-53 | 572 | 16,109 | 5.01 | 658 | 6049 | 7409 | 32,622 |
| ZK611-54 | 581 | 9634 | 4.66 | 496 | 2319 | 10,855 | 4048 |
| ZK611-55 | 590 | 1491 | 4.99 | 1982 | 45 | 309 | 2298 |
| ZK611-56 | 604 | 2273 | 5.58 | 265 | 60 | 270 | 404 |
| Layers | Drill Hole Depth (m) | Main Lithology | ΔS | ΔFe | ΔCu | ΔPb | ΔZn | ΔAg |
|---|---|---|---|---|---|---|---|---|
| 1 | 0–272 | Andesite tuff (15) | 695 | 19,281 | 201 | 52 | 297 | 0.67 |
| 2 | 272–400 | Andesite (13) | 803 | −2172 | 133 | 20 | 60 | 0.35 |
| 3 | 400–494 | Chalcopyritized andesite (12) | 7160 | 8796 | 5469 | 1.0 | 3.0 | 3.2 |
| 4 | 494–581 | Altered andesite (14) | 18,575 | 5359 | 652 | 4653 | 18,836 | 8.0 |
| 5 | 581–604 | Sandstone (2) | 1432 | 4952 | 1010 | 26 | 193 | 1.8 |
| Sample Number | Location/m | ΔS (g/t) | ΔFe (g/t) | ΔCu (g/t) | ΔPb (g/t) | ΔZn (g/t) | ΔAg (mg/t) |
|---|---|---|---|---|---|---|---|
| ZK611-1 | 28 | 185 | 8753 | 102 | −1 | 98 | 812 |
| ZK611-2 | 50 | 4015 | 16,844 | 212 | 384 | 1817 | 2289 |
| ZK611-3 | 69 | 390 | 16,228 | 180 | 118 | 308 | 1079 |
| ZK611-4 | 90 | 1861 | 9396 | 119 | 32 | 1553 | 966 |
| ZK611-5 | 96 | 601 | 22,468 | 343 | 15 | 111 | 282 |
| ZK611-6 | 121 | 172 | 32,165 | 172 | −11 | 36 | 493 |
| ZK611-7 | 140 | 267 | 13,369 | 105 | −4 | 103 | 310 |
| ZK611-8 | 155 | 211 | 32,365 | 279 | −7 | 42 | 335 |
| ZK611-9 | 170 | 347 | 26,007 | 169 | −5 | 33 | 145 |
| ZK611-10 | 191 | 110 | 27,874 | 161 | 0 | 20 | 337 |
| ZK611-11 | 211 | 301 | 31,707 | 234 | 8 | 51 | 484 |
| ZK611-12 | 230 | 1318 | 9446 | 540 | 30 | 145 | 1559 |
| ZK611-13 | 251 | 388 | 1521 | 142 | 230 | 96 | 471 |
| ZK611-14 | 263 | 171 | 23,933 | 148 | 5 | 27 | 266 |
| ZK611-15 | 272 | 97 | 17,140 | 115 | −10 | 16 | 170 |
| ZK611-16 | 281 | 30 | 5228 | 185 | 114 | 46 | 935 |
| ZK611-17 | 288 | 73 | 7622 | 56 | 8 | 44 | 155 |
| ZK611-18 | 300 | 98 | −2875 | 50 | −8 | −13 | 92 |
| ZK611-19 | 311 | 276 | −2485 | 63 | 10 | 275 | 485 |
| ZK611-20 | 320 | 34 | 3996 | 47 | 2 | 36 | 82 |
| ZK611-21 | 329 | 121 | 393 | 78 | 1 | 13 | 131 |
| ZK611-22 | 341 | 64 | −14,471 | 38 | −3 | 70 | 52 |
| ZK611-23 | 350 | 1246 | 9843 | 208 | 7 | 99 | 312 |
| ZK611-24 | 362 | 8275 | 9881 | 743 | 32 | −3 | 1418 |
| ZK611-25 | 371 | 341 | −6853 | 135 | −1 | 25 | 106 |
| ZK611-26 | 379 | 375 | −15,549 | 58 | 13 | 31 | 171 |
| ZK611-27 | 388 | 121 | −11,722 | 69 | 71 | 88 | 369 |
| ZK611-28 | 400 | 81 | −11,241 | 0 | 15 | 65 | 172 |
| ZK611-29 | 413 | 12,535 | 29,735 | 6409 | 60 | 80 | 11,126 |
| ZK611-30 | 421 | 2456 | −1434 | 2070 | −10 | −50 | 1290 |
| ZK611-31 | 430 | 5466 | 690 | 4988 | −10 | −53 | 2286 |
| ZK611-32 | 440 | 6229 | −11,849 | 3556 | −5 | −39 | 1860 |
| ZK611-33 | 449 | 2083 | −18,142 | 1855 | −9 | −49 | 917 |
| ZK611-34 | 458 | 8747 | 23,952 | 5831 | −5 | 38 | 3241 |
| ZK611-35 | 470 | 17,525 | 28,182 | 18,538 | 30 | 23 | 7763 |
| ZK611-36 | 473 | 7388 | 5443 | 7033 | −4 | −2 | 2332 |
| ZK611-37 | 479 | 5807 | 12,947 | 5843 | −10 | −5 | 1768 |
| ZK611-38 | 483 | 8898 | 17,582 | 7139 | −8 | −6 | 4237 |
| ZK611-39 | 488 | 3980 | 3816 | 1192 | −8 | 14 | 384 |
| ZK611-40 | 494 | 4801 | 14,625 | 1181 | −6 | 83 | 766 |
| ZK611-41 | 500 | 4247 | −619 | 182 | 14 | 3510 | 681 |
| ZK611-42 | 506 | 11,794 | 17,360 | 121 | 430 | 3149 | 1458 |
| ZK611-43 | 512 | 1256 | −850 | −9 | 145 | 479 | 272 |
| ZK611-44 | 518 | 25,885 | 5471 | 333 | 1624 | 11,880 | 4824 |
| ZK611-45 | 521 | 6356 | 13,345 | 195 | 161 | 4014 | 1294 |
| ZK611-46 | 527 | 15,136 | −814 | 497 | 222 | 12,295 | 3196 |
| ZK611-47 | 530 | 13,699 | −3753 | 1326 | 340 | 5408 | 6965 |
| ZK611-48 | 536 | 33,899 | 28,282 | 1524 | 394 | 58,195 | 8534 |
| ZK611-49 | 541 | 49,687 | 35,774 | 2193 | 523 | 58,854 | 10,575 |
| ZK611-50 | 545 | 46,070 | 4395 | 1134 | 49,325 | 77,420 | 29,248 |
| ZK611-51 | 551 | 14,657 | 776 | 312 | 2624 | 6277 | 4050 |
| ZK611-52 | 560 | 10,887 | −10,873 | 190 | 738 | 2821 | 3315 |
| ZK611-53 | 572 | 15,812 | −8081 | 614 | 5999 | 7265 | 32,376 |
| ZK611-54 | 581 | 10,667 | −5390 | 519 | 2602 | 12,145 | 4516 |
| ZK611-55 | 590 | 1204 | 5532 | 1823 | 23 | 227 | 2080 |
| ZK611-56 | 604 | 1661 | 4372 | 198 | 30 | 159 | 273 |
Disclaimer/Publisher’s Note: The statements, opinions and data contained in all publications are solely those of the individual author(s) and contributor(s) and not of MDPI and/or the editor(s). MDPI and/or the editor(s) disclaim responsibility for any injury to people or property resulting from any ideas, methods, instructions or products referred to in the content. |
© 2024 by the authors. Licensee MDPI, Basel, Switzerland. This article is an open access article distributed under the terms and conditions of the Creative Commons Attribution (CC BY) license (https://creativecommons.org/licenses/by/4.0/).
Share and Cite
Lan, R.; Zhu, L.; Tang, S.; Duan, Z.; Li, Y.; Ma, S. The Application of Sulfur–Metal Mass Ratios in Metal Sulfides in Assessing Prospects for Deep Metallogeny: A Case Study of the Tongshan Copper Deposit in Heilongjiang Province, Northeast China. Minerals 2024, 14, 1069. https://doi.org/10.3390/min14111069
Lan R, Zhu L, Tang S, Duan Z, Li Y, Ma S. The Application of Sulfur–Metal Mass Ratios in Metal Sulfides in Assessing Prospects for Deep Metallogeny: A Case Study of the Tongshan Copper Deposit in Heilongjiang Province, Northeast China. Minerals. 2024; 14(11):1069. https://doi.org/10.3390/min14111069
Chicago/Turabian StyleLan, Ruixuan, Lixin Zhu, Shixin Tang, Zhuang Duan, Yong Li, and Shengming Ma. 2024. "The Application of Sulfur–Metal Mass Ratios in Metal Sulfides in Assessing Prospects for Deep Metallogeny: A Case Study of the Tongshan Copper Deposit in Heilongjiang Province, Northeast China" Minerals 14, no. 11: 1069. https://doi.org/10.3390/min14111069
APA StyleLan, R., Zhu, L., Tang, S., Duan, Z., Li, Y., & Ma, S. (2024). The Application of Sulfur–Metal Mass Ratios in Metal Sulfides in Assessing Prospects for Deep Metallogeny: A Case Study of the Tongshan Copper Deposit in Heilongjiang Province, Northeast China. Minerals, 14(11), 1069. https://doi.org/10.3390/min14111069
