Study on Mechanical and Flow Properties of Cemented Sulfur Tailings Backfill Considering the Influence of Fiber Type, Fiber Content and Addition Method
Abstract
:1. Introduction
2. Experimental Materials and Methods
2.1. Experimental Materials
2.2. Experimental Scheme and Preparation of CSTB Specimens
2.3. Testing Methods
3. Results and Analysis
3.1. Flow Performance of Sulfur Tailings Filling Slurry
3.2. Influence of Sulfur Content on Mechanical Properties of Cemented Sulfur Tailings Backfill
- Uniaxial compressive strength
- 2.
- Splitting tensile strength
3.3. Influence of Fiber on Uniaxial Compressive Strength of CSTB
- The influence of fiber content
- 2.
- The influence of fiber length and fiber type
- 3.
- The influence of fiber adding method
3.4. Influence of Fiber on Splitting Tensile Strength of Cemented Sulfur Tailings Backfill
- The influence of fiber content and fiber length
- 2.
- The influence of fiber type and fiber adding method
3.5. Microstructural Analysis of CSTB and Fiber-Reinforced CSTB
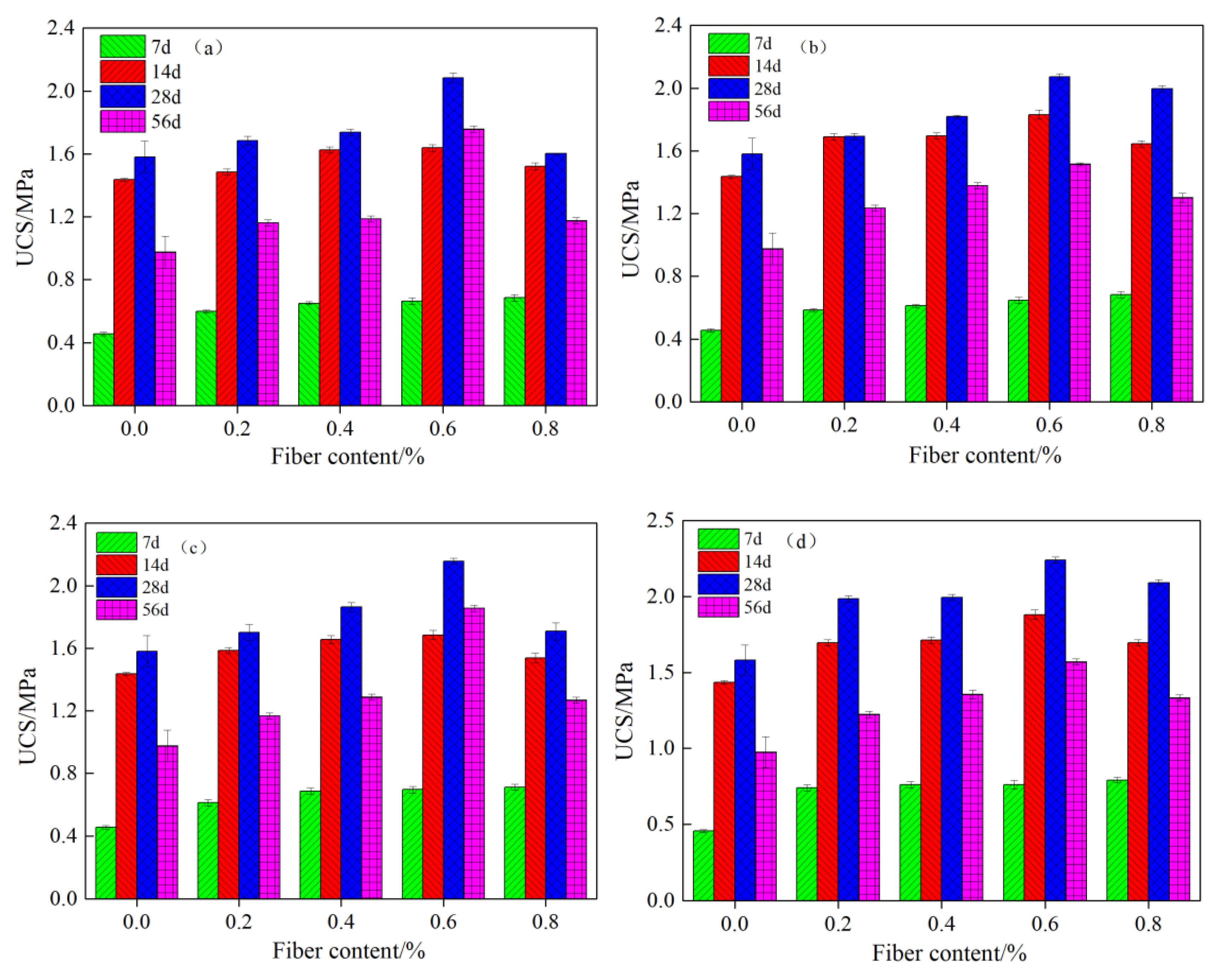
3.6. Effect of Curing Age on Compressive Strength of Fiber-Reinforced CSTB
- Rapid growth stage. When the curing age is 7 d~14 d, there is an obvious linear correlation between the UCS and the curing age. This is because the C–S–H gel and sub-gypsum are generated on the surface of CSTB sample at early-stage curing, thus rapidly improving the UCS of CSTB.
- Stable increase of strength. The slope of the UCS growth curve of the CSTB decreases significantly at 14~28 d of curing age, indicating that the UCS growth rate is significantly reduced. This is because the generated acid and sulfate lead to a decrease in the amount of C–S–H gel after curing for more than 14 d, which inhibits the UCS of CSTB and thus slows down the growth rate of the UCS of CSTB.
- Compressive strength decline stage. As the curing age surpasses 28 days, the UCS of CSTB experiences a reduction in the progression of curing age. Combined with the oxidation reaction of pyrite, it can be seen that the internal erosion of acid and sulfate ions and the expansion characteristics of secondary gypsum are the main reasons for the strength decline in CSTB at a later stage.
4. Conclusions
- The addition of fibers restricts the flowability of the tailings slurry. Fluidity exhibits an exponential decrease with increasing fiber content. Moreover, the UCS and STS of CSTB initially increase and then decrease with increasing sulfur content, reaching a maximum value at 12% sulfur content.
- When the fiber content ranges from 0% to 0.6%, adding fiber can enhance the mechanical properties of the CSTB. The strengthening effect of glass fiber on compressive strength is higher than that of polypropylene fiber, and the impact of fiber mixing on compressive strength is not as good as that of a single addition.
- Glass fiber demonstrates a greater enhancement in tensile strength compared to polypropylene fiber. Additionally, the improvement in the UCS of CSTB through mixed fiber addition is obviously less effective than that through single fiber addition, but the enhancement in STS surpasses that achieved by using polypropylene fiber alone.
- Augmenting fiber length also improves the STS of CSTB, with glass fiber exhibiting a superior reinforcing effect compared to polypropylene fiber. The addition of mixed fibers has a more positive impact on enhancing the STS than separate additions, particularly in the case of polypropylene fiber.
- Below the critical content of 12% sulfur, the presence of secondary gypsum and ettringite crystals within the pores enhances overall density and leads to higher strengths. However, exceeding the critical content results in internal erosion caused by acid and sulfuric acid ions, as well as the expansion characteristics of sub-gypsum, leads to the formation of numerous pore and crack structures within CSTB. Consequently, the UCS and STS of CSTB are diminished.
- This study provided detailed analysis of the influence of fiber content, fiber type and the fiber addition method on the physical and flow properties of CSTB, resulting in valuable research findings. In the future research, the following two aspects of research work will be emphasized: (1) focusing on the influence of fiber content, fiber type and method of fiber addition on the rheological characteristics of the CSTB and establishing a rheological parameter prediction model considering fiber characteristic parameters as well as (2) investigating the mechanical properties of FRCSTB under multi-field coupling conditions and constructing a damage constitutive model of CSTB under multi-field coupling conditions.
Author Contributions
Funding
Data Availability Statement
Acknowledgments
Conflicts of Interest
References
- Huang, S.B.; Pi, Z.J.; Cai, C.; Li, H. Utilization of high-sulfur iron ore tailings in cement mortar by considering the inffuence of curing temperature and tailing content. J. Build. Eng. 2023, 74, 106826. [Google Scholar] [CrossRef]
- Li, H.; Wu, A.X.; Wang, H.J. Evaluation of short-term strength development of cemented backffll with varying sulphide contents and the use of additives. J. Environ. Manag. 2019, 239, 279–286. [Google Scholar] [CrossRef] [PubMed]
- Qi, C.C.; Fourie, A.; Chen, Q.S.; Zhang, Q.L. A strength prediction model using artificial intelligence for recycling waste tailings as cemented paste backfill. J. Clean Prod. 2018, 183, 566–578. [Google Scholar] [CrossRef]
- Wang, J.; Fu, J.X.; Song, W.D.; Zhang, Y.F.; Wang, Y. Mechanical behavior, acoustic emission properties and damage evolution of cemented paste backfill considering structural feature. Constr. Build. Mater. 2020, 261, 119958. [Google Scholar] [CrossRef]
- Kongar-Syuryun, C.; Aleksakhin, A.; Khayrutdinov, A.; Tyulyaeva, Y. Research of rheological characteristics of the mixture as a way to create a new backfill material with specified characteristics. Mater. Today 2021, 38, 2052–2054. [Google Scholar] [CrossRef]
- Liu, L.; Xin, J.; Huan, C.; Qi, C.C.; Zhou, W.W.; Song, K. Pore and strength characteristics of cemented paste backfill using sulphide tailings: Effect of sulphur content. Constr. Build. Mater. 2020, 237, 117452. [Google Scholar] [CrossRef]
- Yin, S.H.; Hou, Y.Q.; Chen, X.; Zhang, M.Z.; Du, H.H.; Gao, C. Mechanical behavior, failure pattern and damage evolution of fiber-reinforced cemented sulfur tailings backfill under uniaxial loading. Constr. Build. Mater. 2022, 332, 127248. [Google Scholar] [CrossRef]
- Yin, S.H.; Hou, Y.Q.; Chen, X.; Zhang, M.Z. Mechanical, flowing and microstructural properties of cemented sulfur tailings backfill: Effects of fiber lengths and dosage. Constr. Build. Mater. 2021, 309, 125058. [Google Scholar] [CrossRef]
- Chen, H.Y.; Wu, A.X.; Wang, H.J.; Wang, Y.M. Experimental study on the strength deterioration of sulfidic paste backfill. Chin. J. Eng. 2017, 39, 1493–1497. [Google Scholar]
- Zeng, J.; Qiu, J.R.; Zhang, J.; Qi, Y.Q.; Liu, R.T.; Jian, C.Q.; Liu, N.; Su, Y.M. Plant ash prevents acid mine drainage from sulfur-bearing tailings through multiple actions—A low-cost alkaline material. Appl. Geochem. 2023, 155, 105702. [Google Scholar] [CrossRef]
- Jiang, G.Z.; Wu, A.X.; Li, H.; Wang, Y.M.; Wang, H.J. Long-term strength performance of sulfur tailings filling and its affecting factors. J. Cent. South Univ. (Sci. Technol.) 2018, 49, 1504–1510. [Google Scholar]
- Ayora, C.; Chinchon, S.; Aguado, A.; Guirado, F. Weathering of iron sulfides and concrete alteration: Thermodynamic model and observation in dams from Central Pyrenees, Spain. Cem. Concr. Res. 1998, 28, 591–603. [Google Scholar] [CrossRef]
- Yin, S.H.; Shao, Y.J.; Wu, A.X.; Wang, Y.M.; Chen, X. Expansion and strength properties of cemented backfill using sulphidic mill tailings. Constr. Build. Mater. 2018, 165, 138–148. [Google Scholar] [CrossRef]
- Dong, Q.; Liang, B.; Jia, L.F.; Jiang, L.G. Effect of sulfide on the long-term strength of lead-zinc tailings cemented paste backfill. Constr. Build. Mater. 2019, 200, 436–446. [Google Scholar] [CrossRef]
- Wang, S.; Song, X.P.; Chen, Q.S.; Wang, X.J.; Wei, M.L.; Ke, Y.X.; Luo, Z.H. Mechanical properties of cemented tailings backffll containing alkalized rice straw of various lengths. J. Environ. Manag. 2020, 276, 111124. [Google Scholar] [CrossRef]
- Ermolovich, E.A.; Ivannikov, A.L.; Khayrutdinov, M.M.; Kongar-Syuryun, C.B.; Tyulyaeva, Y.S. Creation of a Nanomodified Backfill Based on the Waste from Enrichment of Water-Soluble Ores. Materials 2022, 15, 3689. [Google Scholar] [CrossRef] [PubMed]
- Kongar-Syuryun, C.B.; Faradzhov, V.V.; Tyulyaeva, Y.S.; Khayrutdinov, A.M. Effect of activating treatment of halite flotation waste in backfill mixture preparation. Min. Informational Anal. Bull. 2021, 43–57. [Google Scholar] [CrossRef]
- Khayrutdinov, A.; Kongar-Syuryun, C.; Kowalik, T.; Faradzhov, V. Improvement of the backfilling characteristics by activation of halite enrichment waste for non-waste geotechnology. IOP Conf. Ser. Mater. Sci. Eng. 2020, 867, 012018. [Google Scholar] [CrossRef]
- Sadrolodabaee, P.; Claramunt, J.; Ardanuy, M.; Fuente, A. Mechanical and durability characterization of a new textile waste micro-fiber reinforced cement composite for building applications. Case Stud. Constr. Mat. 2021, 14, e00492. [Google Scholar]
- Sadrolodabaee, P.; Claramunt, J.; Ardanuy, M.; Fuente, A. A Textile Waste Fiber-Reinforced Cement Composite: Comparison between Short Random Fiber and Textile Reinforcement. Materials 2021, 14, 3742. [Google Scholar] [CrossRef]
- Xu, W.B.; Li, Q.L.; Tian, M.M. Strength and deformation properties of polypropylene fiber-reinforced cemented tailings backfill. Chin. J. Eng. 2019, 41, 1618–1626. [Google Scholar]
- Chen, X.; Shi, X.Z.; Zhou, J.; Chen, Q.S. Compressive behavior and microstructural properties of tailings polypropylene fibre-reinforced cemented paste backfill. Constr. Build. Mater. 2018, 190, 211–221. [Google Scholar] [CrossRef]
- Yi, X.W.; Ma, G.W.; Fourie, A. Compressive behavior of fiber-reinforced cemented paste backfill. Geotext. Geomembr. 2015, 43, 207–215. [Google Scholar] [CrossRef]
- Zhou, N.; Du, E.B.; Zhang, J.X.; Zhu, C.L.; Zhou, H.Q. Mechanical properties improvement of Sand-Based cemented backfill body by adding glass fibers of different length sand ratios. Constr. Build. Mater. 2021, 280, 122408. [Google Scholar] [CrossRef]
- Xue, G.L.; Yilmaz, E.; Song, W.D.; Cao, S. Mechanical, flexural and microstructural properties of cement-tailings matrix composites: Effects of fiber type and dosage. Compos. Part B-Eng. 2019, 172, 131–142. [Google Scholar] [CrossRef]
- Cao, S.; Yilmaz, E.; Song, W.D. Fiber type effect on strength, toughness and microstructure of early age cemented tailings backfill. Constr. Build. Mater. 2019, 223, 44–54. [Google Scholar] [CrossRef]
- Quan, C.Q.; Jiao, C.J.; Yang, Y.Y.; Li, X.B.; Lei, Z. Orthogonal experimental study on mechanical properties of hybrid fiber reinforced concrete. J. Build. Mater. 2019, 22, 363–370. [Google Scholar]
- Benzaazoua, M.; Fall, M.; Belem, T. A contribution to under-standing the hardening process of cemented pastefill. Miner. Eng. 2004, 17, 141–152. [Google Scholar] [CrossRef]
- Yang, J.S. Discussion on the action duality of ettringite and it’s causing condition in concrete. China Civ. Eng. J. 2003, 36, 100–103. [Google Scholar]
- Xiao, J.; Deng, D.H.; Zhang, W.N.; Zeng, Z.; Tang, X.Y. Formation of gypsum leading to the destruction of cement paste under the external sulfate attacking. J. Build. Mater. 2006, 9, 19–23. [Google Scholar]
- He, Z.; Wang, L.; Shao, Y.X.; Cai, X.H. Effect of decalcification on C-S-H gel microstructure in cement paste. J. Build. Mater. 2011, 14, 293–298. [Google Scholar]


















| Ingredient | C | O | Si | Ca | Fe | S | Cu | Mg | Others |
|---|---|---|---|---|---|---|---|---|---|
| sulfur concentrate | 1.07 | 26.70 | 2.86 | 2.09 | 35.8 | 27.0 | 0.35 | 1.22 | 2.91 |
| Ingredient | SiO₂ | CaO | MgO | Al₂O₃ | Fe₂O₃ | K₂O | TiO₂ | MnO | Others |
|---|---|---|---|---|---|---|---|---|---|
| Tailings | 42.20 | 3.73 | 32.71 | 4.04 | 12.14 | 0.39 | 0.33 | 0 | 4.22 |
| cement | 28.36 | 48.28 | 2.50 | 11.87 | 2.88 | 1.07 | 0.60 | 0.12 | 4.31 |
| Fiber Type | Diameter/μm | Tensile Strength/MPa | Elastic Modulus/GPa | Density/(g/m3) | Elongation Rate |
|---|---|---|---|---|---|
| Polypropylene | 19 | 350 | 3.5 | 0.91 | 28% |
| Glass fiber | 19 | 369 | 4.8 | 0.91 | 36.5% |
| Serial Number | Slurry Mass Concentration/% | Cement-to-Tailings Ratio | Sulfur Tailings | Sulfur Content/% | Fiber Length/mm | Fiber Content/% |
|---|---|---|---|---|---|---|
| A1 | 73 | 1:8 | T1 | 6 | / | / |
| A2 | 73 | 1:8 | T2 | 12 | / | / |
| A3 | 73 | 1:8 | T3 | 18 | / | / |
| A4 | 73 | 1:8 | T4 | 25 | / | / |
| B1 | 73 | 1:8 | T3 | 18 | 3 | 0.2 |
| B2 | 73 | 1:8 | T3 | 18 | 0.4 | |
| B3 | 73 | 1:8 | T3 | 18 | 0.6 | |
| B4 | 73 | 1:8 | T3 | 18 | 0.8 | |
| B5 | 73 | 1:8 | T3 | 18 | 12 | 0.2 |
| B6 | 73 | 1:8 | T3 | 18 | 0.4 | |
| B7 | 73 | 1:8 | T3 | 18 | 0.6 | |
| B8 | 73 | 1:8 | T3 | 18 | 0.8 | |
| C1 | 73 | 1:8 | T3 | 18 | 3 | 0.2 |
| C2 | 73 | 1:8 | T3 | 18 | 0.4 | |
| C3 | 73 | 1:8 | T3 | 18 | 0.6 | |
| C4 | 73 | 1:8 | T3 | 18 | 0.8 | |
| C5 | 73 | 1:8 | T3 | 18 | 12 | 0.2 |
| C6 | 73 | 1:8 | T3 | 18 | 0.4 | |
| C7 | 73 | 1:8 | T3 | 18 | 0.6 | |
| C8 | 73 | 1:8 | T3 | 18 | 0.8 |
| Serial Number | Sulfur Tailings | Sulfur Content/% | Polypropylene Fiber Content/% | Glass Fiber Content/% | Fiber Length/mm |
|---|---|---|---|---|---|
| D1 | T3 | 18 | 0.2 | 0.2 | 12 |
| D2 | T3 | 18 | 0.2 | 0.4 | |
| D3 | T3 | 18 | 0.4 | 0.2 | |
| D4 | T3 | 18 | 0.4 | 0.4 |
| Fiber Type | Fiber Length/mm | Fitting the Model | R2 |
|---|---|---|---|
| Polypropylene | 3 | 0.930 | |
| Polypropylene | 12 | 0.951 | |
| Glass | 3 | 0.934 | |
| Glass | 12 | 0.947 |
| Fiber Type | Fiber Length/mm | Curing Age/d | |||
|---|---|---|---|---|---|
| 7 d | 14 d | 28 d | 56 d | ||
| PP fiber | 3 | ||||
| PP fiber | 12 | ||||
| Glass fiber | 3 | ||||
| Glass fiber | 12 | ||||
Disclaimer/Publisher’s Note: The statements, opinions and data contained in all publications are solely those of the individual author(s) and contributor(s) and not of MDPI and/or the editor(s). MDPI and/or the editor(s) disclaim responsibility for any injury to people or property resulting from any ideas, methods, instructions or products referred to in the content. |
© 2023 by the authors. Licensee MDPI, Basel, Switzerland. This article is an open access article distributed under the terms and conditions of the Creative Commons Attribution (CC BY) license (https://creativecommons.org/licenses/by/4.0/).
Share and Cite
Liu, W.; Yin, S.; Hou, Y.; Zhang, M. Study on Mechanical and Flow Properties of Cemented Sulfur Tailings Backfill Considering the Influence of Fiber Type, Fiber Content and Addition Method. Minerals 2023, 13, 1105. https://doi.org/10.3390/min13081105
Liu W, Yin S, Hou Y, Zhang M. Study on Mechanical and Flow Properties of Cemented Sulfur Tailings Backfill Considering the Influence of Fiber Type, Fiber Content and Addition Method. Minerals. 2023; 13(8):1105. https://doi.org/10.3390/min13081105
Chicago/Turabian StyleLiu, Wei, Shenghua Yin, Yongqiang Hou, and Minzhe Zhang. 2023. "Study on Mechanical and Flow Properties of Cemented Sulfur Tailings Backfill Considering the Influence of Fiber Type, Fiber Content and Addition Method" Minerals 13, no. 8: 1105. https://doi.org/10.3390/min13081105
APA StyleLiu, W., Yin, S., Hou, Y., & Zhang, M. (2023). Study on Mechanical and Flow Properties of Cemented Sulfur Tailings Backfill Considering the Influence of Fiber Type, Fiber Content and Addition Method. Minerals, 13(8), 1105. https://doi.org/10.3390/min13081105
