Next Article in Journal
Cross-Hole and Vadose-Zone Infiltration Tracer Test Analyses to Determine Aquifer Reactive Transport Parameters at a Former Uranium Mill Site (Grand Junction, Colorado)
Previous Article in Journal
Round-Robin Interlaboratory Study on Rare-Earth Elements in U.S.-Based Geologic Materials
 
 
Font Type:
Arial Georgia Verdana
Font Size:
Aa Aa Aa
Line Spacing:
Column Width:
Background:
Article

REE Concentrations in Secondary Uranium Minerals from the Izera Metamorphic Complex (SW Poland)

by
Marcin Daniel Syczewski
1,2,*,
Rafał Siuda
1 and
Jan Parafiniuk
1
1
Faculty of Geology, University of Warsaw, Żwirki i Wigury 93, 02-089 Warsaw, Poland
2
Helmholtz Centre Potsdam, GFZ German Research Centre for Geosciences, Telegrafenberg, D-14473 Potsdam, Germany
*
Author to whom correspondence should be addressed.
Minerals 2023, 13(7), 945; https://doi.org/10.3390/min13070945
Submission received: 14 May 2023 / Revised: 10 July 2023 / Accepted: 12 July 2023 / Published: 14 July 2023

Abstract

The subject of this work was supergene uranium mineralization and the YREE concentrations within. YREE differentiation patterns were used to recreate the prevailing crystallization conditions of abandoned mine dumps in Kromnów, Kopaniec, and Radoniów, located in the Izera Metamorphic Complex, Sudetes Mts. The collected samples were investigated using PXRD, SEM-EDS, and EPMA. YREE concentrations were measured using LA-ICP-MS. The secondary uranium mineralization from these locations consists of phosphates (meta-autunite, meta-torbernite, metauranocircite-I, saleéite, bassetite, phosphuranylite), arsenates (zeunerite), silicates (uranophane, sklodowskite), and uranyl hydroxides (likely becquerelite). Moreover, in Radoniów, phosphuranylite was found; it had not been found in Poland previously. Uranyl mineral assemblages indicate the diversity of chemistry of their mother solutions and suggest their weakly acidic character. The YREE content in secondary uranium minerals also reflects the pore solutions’ chemistry variation. The negative Y anomaly is observed in all uranyl phases. Similar behavior of Sm is also noted, excluding metatorbernite and torbernite. Among the uranyl minerals studied, only metatorbernite from Kromnów showed a positive Nb anomaly, which was probably related to proximity to weathering in YREE-breeding phases. Nevertheless, the YREE and chemical results suggest that this mineralization originated from the oxidizing solutions generated during the weathering of primary hydrothermal mineralization. In order to better understand the weathering zones in these locations, more detailed studies on pore solution chemistry are needed.

1. Introduction

In the natural environment, uranium occurs in two oxidation states, reduced U4+ and oxidized U6+. Generally, uranium primary mineralization is represented by urani-nite and sometimes by brannerite, coffinite, or davidite. The oxidation of these minerals starts right after the decomposition of less stable phases in such an environment, e.g., ferric sulfide. This process usually causes sharp and rapid decreases in pH values. Due to this, barren minerals and more stable ones in oxidative conditions start to decay and release many different ions into the weathering zone environment. These processes are further accelerated by microbial activity. Under these conditions, uranium changes its oxidation state from U4+ to U6+, forming the highly soluble uranyl ion UO22+, which is the most stable speciation in an aquatic environment. Uranium complexes with fluorides, sulfates, phosphates, and carbonates exhibit high solubility and may migrate over long distances.
This paper presents a mineralogical study of uranyl mineralization in weathering zones developed in uranium mine waste dumps in Kromnów, Kopaniec, and Radoniów (SW Poland, central Europe). Due to the impossibility of collecting pore solutions in these mine dumps, the differentiation patterns of rare earth elements and yttrium (YREE) were used to reconstruct the prevailing physicochemical conditions during their crystallization.

2. Geological Settings of Sampling Sites

The Karkonosze–Izera Massif is the largest geological structure of the Western Sudetes. It is composed of five geological units: The Southern Karkonosze Unit, the Ješted Unit, the Leszczyniec Unit, the Izera–Kowary Unit, and the Karkonosze Intrusion (Figure 1) [1]. The Variscian Granite Intrusion, located in the central part of the Karkonosze–Izera Massif, divides the Kowary–Izera Unit into the northern part (Izera Metamorphic Complex) and the eastern part (Rudawy Janowickie Metamorphic Complex). The Izera–Kowary Unit, being the largest geological structure among these, is composed mainly of gneisses, granitic gneisses, Rumburk and Izera granites, and mica schists. In the eastern part, gneisses are called Kowary gneisses, while in the northern part, their analogues are Izera gneisses [2,3].
Uranium mineralization in the Izera Metamorphic Complex is known for containing abundant uranium deposits, which are generally connected to schist–gneiss contact zones. Mochnacka and Banaś (2000) [4] distinguished the following genetic ore mineralization types:
  • Uraninite–fluorite hydrothermal mineralization in veins and cavities;
  • Secondary uranium mineralization in veins and cavities with traces of primary mineralization;
  • Secondary uranium mineralization in veins and cavities without traces of primary mineralization.
These types of mineralization have been found in several deposits and were exploited in the mid-20th century. The Radoniów uranium deposit is the largest one and is located in the Karkonosze–Izera Massif. It is an example of uraninite–fluorite-type mineralization. This deposit is located furthest from the Karkonosze Intrusion in the vicinity of two faults [5], and is hosted in gneisses, granitic gneisses, breccia zones, and mylnites. Uranium hydrothermal mineralization occurred as stockworks, which are associated with secondary tectonic fissures and reach a maximum depth of 335 m. The primary mineralization here is relatively poor (0.17 wt. % of U in 1 ton of raw rock [6]), i.e., with only small amounts of uraninite with fluorite and traces of galena and pyrite [5]. The decomposition of this mineralization leads to the formation of a rich supergene zone, which consists of uranopilite, gummite, autunite, meta-autunite, metauranocircite, uranocircite, and torbernite [3,4].
The Kromnów uranium deposit is one of the smallest ones in the Izera Metamorphic Complex. It is located near Jelenia Góra, in the proximity of the Stara Kamienica Schist Belt. Disseminated secondary uranium minerals are found there in tectonic fissures, veinlets, and impregnations within the Stara Kamienica schists [3,4]. Moreover, polymetallic mineralization also occurs in small skarn bodies in mica schists [3,4]. Here, primary mineralization is represented by magnetite, pyrrhotite, pyrite, sphalerite, chalcopyrite, and marcasite [7]. The secondary mineralization at this location has so far been poorly studied.
Close to Kromnów is another small uranium deposit, known as Kopaniec. The primary mineralization in this localization is composed of quartz, fluorite, chalcopyrite, galena, hematite, pitchblende, and pyrite [3,7,8]. This mineralization occurs in veins associated with the tectonic zone [3,4]. It is hosted in gneisses, amphibole schists, and leucogranites [3,4]. So far, torbernite, meta-autunite, metatorbernite, metauranocircite, metazeunerite, uranocircite, uranophane, and zeunerite have been found in this location [3].

3. Materials and Methods

Samples were collected from post-mining dumps at abandoned uranium mines in Kromnów, Radoniów, and Kopaniec. Electron microscopy was performed with SIGMA VP (Carl Zeiss Microscopy GmbH) coupled with two dispersive-energy detectors (Quantax XFlash 6|10, Bruker Nano GmbH). Samples were mounted on Al pin stubs with adhesive carbon discs and coated with a 20 nm layer of carbon using a vacuum coater (Quorum 150T ES). Analyses were performed with a 120 μm aperture and 20 kV acceleration voltage. The phase composition of the samples was studied using a PANalytical X’Pert PRO MPD powder diffractometer with the Debye’a–Scherrera–Hulla (DSH) method. The registration was achieved using a Co Kα lamp at 40 kV and 40 mA in the range of 5.0131 to 77.9691 2Θ with steps of 0.0260 2Θ. The results were interpreted using X’Pert Plus HighScore software with access to the ICDD PDF-2 (RDB 2008) database. Unit cell parameters were calculated using UnitCell software [9]. The EPMA analysis was conducted with Cameca SX-100 electrons operating at a 15 kV accelerating voltage and 10 nA beam current. The electron beam diameter was 2 μm for stable phases under it and 5 μm for delicate phases. The RO-PHI-ZAF model was used for the analysis. The following standards and lines were used: GaAs (As-Lα); UO2 (U-Mα); diopside (Ca/Mg-Kα); fluoroflogopite (F-Kα); albite (Na-Kα); orthoclase (Al/K-Kα); Bi2Se3 (Se-Lα); Fe2O3 (Fe-Kα); cuprite (Cu-Kα); sodalite (Cl-Kα); Bi2Te3 (Bi-Mα); krokoite (Pb-Mα); barite (Ba-Kα); YPO4 (P/Y-Kα), wollastonite (Si-Kα); celestine (Sr-Lα), rodonite (Mn-Kα); Zr (Zr-Lα); LiNbO3 (Nb-Lα); CePO4 (Ce-Lα); NdGaO3 (Nd-Lβ); CaWO4 (W-Mα); LaPO4 (La-Lα) and chalcopyrite (S-Kα). All uranyl minerals contain structural water, the quantity of which changes according to atmospheric conditions. The strong vacuum and elevated temperature caused by the electron beam during the analysis also affected the real water content. The water content was calculated using a given mineral’s theoretical formula due to insufficient material to perform a thermogravimetric analysis. The EPMA results were recalculated based on the quantity of oxygen in theoretical mineral formulae. The REE concertation in the secondary uranium minerals was determined using LA-ICP-MS (single-collector high-resolution ICP-MS Attom—ES, Nu Instruments with the laser NWR 213 nm—ESI). He was used as a carrier gas, with a flow rate of 800 mL/min. The surface of the crystals was ablated with a laser-optimized using the following conditions: laser energy of 2.5 j/cm2, spot size of 25 μm, and a repetition rate of 10 Hz. NIST 610 and NIST 612 were used as external standards. Data were reduced using the Iolite software (version 4.0; [10,11,12]). The Eu concentrations in minerals with high Ba contents are uncertain.

4. Secondary Uranium Mineralization

4.1. Uranyl Phosphates

The most common uranyl phosphate is meta-autunite, which was found in all sampling locations. Saleéite (Mg(UO2)2(PO4)2·10H2O) and metauranocircite-I (Ba(UO2)2(PO4)2·7H2O) are present in Kromnów and Radoniów. Moreover, bassetite (Fe2+(UO2)2(PO4)2·10H2O) and metatorbernite (Cu(UO2)2(PO4)2·8H2O) occur in Kopaniec, and phosphuranylite (KCa(H3O)3(UO2)7(PO4)4O4· 8H2O) can be found in Radoniów. Meta-autunite in Kromnów, Radoniów, and Kopaniec crystallizes as tiny platy crystals covering barren rocks’ surfaces (Figure 2A,B). Sometimes, it can also be found in small cavities in hematite, where it forms tiny spherical aggregates up to 0.5 mm in size (Figure 2A).
The meta-autunite in Kopaniec occurs in the form of small tabular crystals of around a few millimeters in size (Figure 2B). They crystalize on gneisses. In Radoniów, meta-autunite occurs as a small crust on quartz and small crystals on the surface of granite. These crystals are below 1 cm in size. The diffraction data confirm the presence of meta-autunite at Kromnów and Kopaniec (Figure 3). The calculated cell parameters are presented in Table 1.
The chemical composition of meta-autunite is shown in Table 2. The analysis of meta-autunite from Kopaniec revealed a small coupled substitution of Cu (0.06–0.25 a.p.f.u.) and K, Mg, Al, and Fe (0.03–0.05 a.p.f.u.) for Ca. The substitution of As (0.03–0.13 a.p.f.u.) and Si (0.06–0.09 a.p.f.u) for P was also found. In the case of meta-autunites from Kromnów, Ca was also substituted by Mg, K, Fe, and Al (up to 0.21 a.p.f.u.). In addition, the substitution of Si (up to 0.29 a.p.f.u.) for P was also observed.
Metatorbernite was found in Kopaniec only (Figure 3). This mineral creates two types of aggregates: an irregular crust and small well-developed platy crystals reaching up to 2 mm in size (Figure 4 A,B).
The calculated cell parameters are presented in Table 1. The chemical composition analyses show substitutions of Ca (0.04–0.27 a.p.f.u.), Fe (up to 0.26 a.p.f.u.), and Mg (up to 0.14 a.p.f.u.) for Cu. Moreover, P was substituted by Si (0.04–0.57 a.p.f.u.) (Table 3).
Bassetite may be found at old mine waste dumps in Kopaniec and Radoniów. However, this mineral only rarely appears at these locations. It crystallizes as small crystals reaching up to 1 millimeter in size (Figure 5). Bassetite was found to coexist with meta-torbernite and meta-autunite. Its presence was confirmed via XRD analysis (Figure 3). The calculated cell parameters are presented in Table 1.
The chemical composition analysis revealed that the bassetite (Table 4) from Kopaniec contains higher concentrations of Ca (0.03–0.23 a.p.f.u.), Cu (0.16–0.32 a.p.f.u.), Mg (up to 0.11 a.p.f.u.), As, and Si (up to 0.15 a.p.f.u.).
Saleéite appears in the form of small crystals reaching up to a size of 2 mm (Figure 6) in size. This mineral crystallizes in small cavities and fissures in weathered gneisses and mica schists.
The XRD patterns of saleéite from Kopaniec are presented in Figure 3. The calculated cell parameters are presented in Table 1. The results of the saleéite chemical composition analysis show only a small substitution of Ca (0.20 a.p.f.u.) for Mg (Table 5).
Phosphuranylite has not been previously found in Poland. It was found at mine dumps in Radoniów only. It forms small efflorescence crystals reaching up to 2 millimeters in size. The presence of this mineral was confirmed with PXRD analysis (Figure 3). Its cell parameters are presented in Table 1.
The last of the uranyl phosphates studied herein is metauranocircite-I. It was found at mine waste dumps in Kopaniec, Kromnów, and Radoniów (Figure 3). This mineral occurs in the form of a very small crust reaching up to 0.5 millimeters in size. The unit cell parameters are shown in Table 1.

4.2. Uranyl Silicates

Uranyl silicates are represented by uranophane (Ca(UO2)2(SiO3OH)2·5H2O) and sklodowskite (Mg(UO2)2(SiO3OH)2·6H2O), which have been found at mine waste dumps in Kromnów. The uranophane found in Kromnów replaces uraninite aggregates (Figure 7A) and forms crusts on gneiss fragments (Figure 7B).
In Kopaniec, uranophane is accompanied by metatorbernite. It occurs as a small efflorescence in pores and cracks in iron oxyhydroxides. Uranophane forms needle crystals of around 40 micrometers in size. Along with the uranophane in Kromnów, small amounts of sklodowskite were also found.
The sklodowskite from Kromnów forms very small needle aggregates in veins and fissures, occurring in granite and limonite. These aggregates reach up to a few hundred microns in size (Figure 8). The diffraction data confirmed the presence of uranophane and sklodowskite at Kromnów and Kopaniec (Figure 9). The calculated cell parameters are presented in Table 6.
The chemical composition data of the uranophane from Radoniów, Kromnów, and Kopaniec are similar to the theoretical data. The uranophanes from Kromnów show only slight substitutions of K, Fe, and Mg (a.p.f.u.) for Ca of up to 0.12 (Table 7).
The chemical composition analysis also revealed a small substitution of phosphates (0.24 a.p.f.u.) for silicates toward saleéite composition (Table 8).

4.3. Uranyl Arsenates

Zeunerite (Cu(UO2)2(AsO4)2·12H2O) was found at the waste dumps of an abandoned mine at Kopaniec. It was identified only via microprobe analysis. Zeunerite is macroscopically indistinguishable from torbernite, which it forms an isomorphic series with. This phase was characterized via variable chemistry (Table 9).

4.4. Uranyl Oxyhydroxides

This group of minerals is represented by a phase whose chemical composition is similar to that of becquerelite (Ca(UO2)6O4(OH)6·8H2O). This phase was found at a mine dump in Radoniów. Becquerelite was recognized via EPMA analysis (Table 10). This phase forms a thin crust-like efflorescence, which reaches up to a few hundred micrometers in size (Figure 10).

5. YREEs in Uranyl Minerals

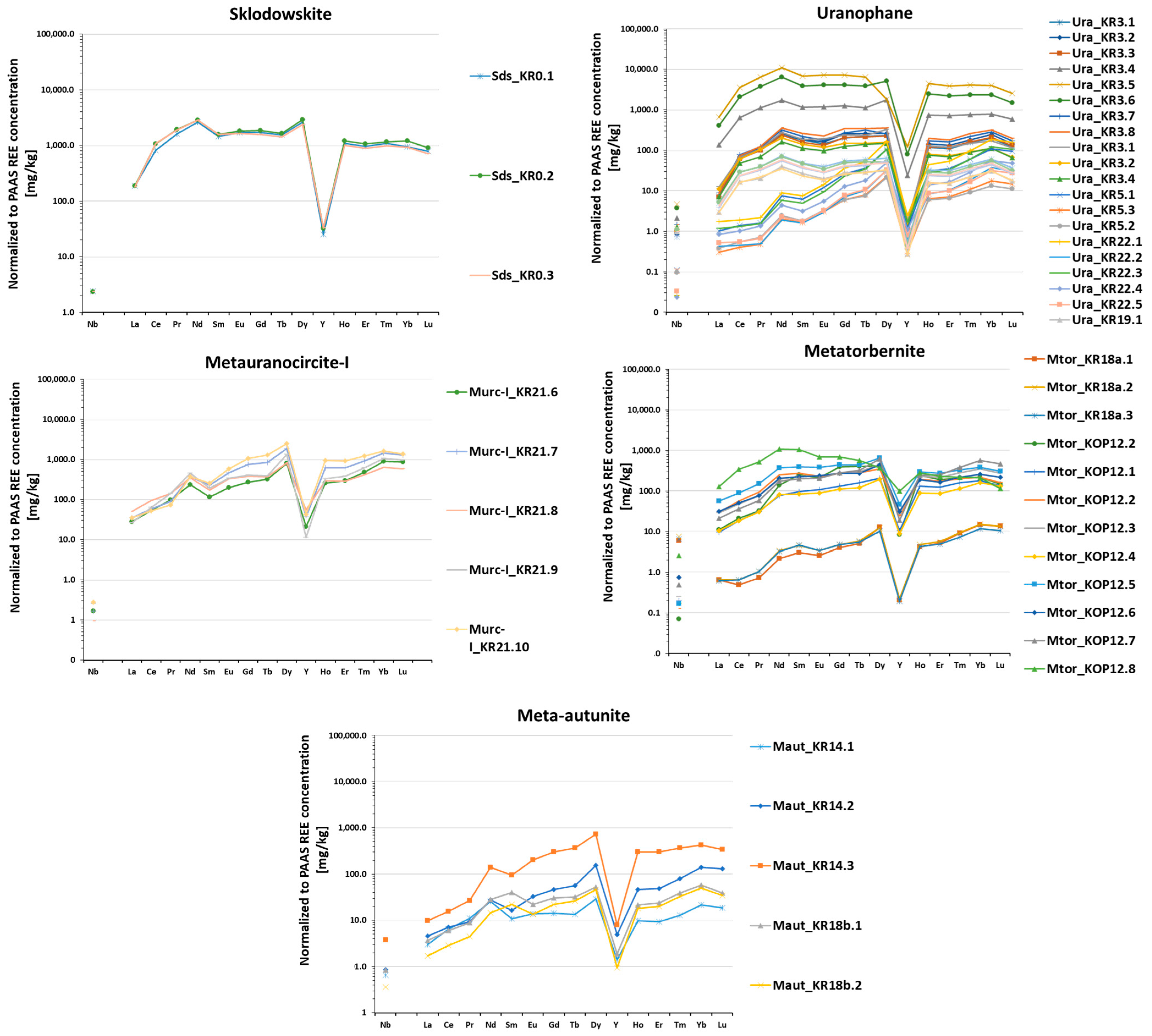
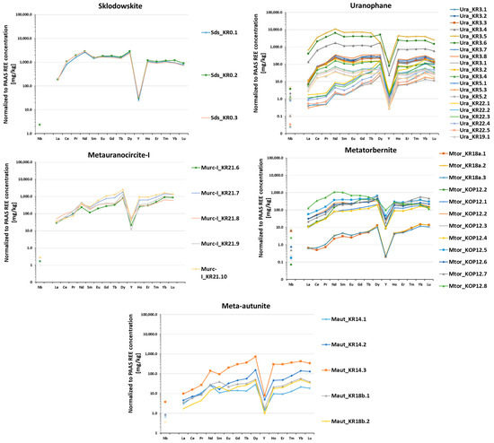
The concentrations of rare earth elements in hosting rocks, as well as in their primary mineralization and uranyl phases, are presented in Table 11 and Table 12. Data on the YREE content in hosting rocks were collected from the literature [13,14,15,16,17]. All data were normalized to PAAS [18]. We observed that primary uraninite and fluorite are the major sources of REEs (Figure 11). Moreover, they contain higher amounts of REEs than their hosting rocks. The uraninite from Kromnów and Radoniów shows a positive anomaly of Y and Sm (Figure 11). However, the uraninite from Kromnów is depleted of La and Ce. Depletion of LREEs and Eu is characteristic of uraninite from Radoniów. These samples are also enriched in Nb (Figure 11). On the other hand, REE-bearing fluorite is depleted of Y and Sm. These minerals are also characterized by elevated concentrations of Nb (Figure 11). The sklodowskite is depleted of Y, Sm, Nb, La, and Ce, and enriched in Nd (Figure 12). Uranophane from Kromnów is also enriched in Nd. Moreover, it has lower concentrations of Y, La, and Ce. Uranyl phosphates are enriched in Y and Nb. Metauranocircite-I is enriched in Nd (Figure 12). Meta-autunite and metatorbernite are depleted of LREEs. Metatorbernite is also enriched in Sm and Nd (Figure 12).

6. Discussion

The studied secondary mineralization is represented by phosphates (meta-autunite, meta-torbernite, metauranocircite-I, saleéite, bassetite, phosphuranylite), arsenates (zeunerite), silicates (uranophane, sklodowskite), and uranyl hydroxides (likely becquerelite). Phosphuranylite was found for the first time in Poland. The co-occurrence of minerals belonging to different groups may indicate the changing nature of the chemical compositions of the pore solutions from which they crystallized. This is also suggested by anion and cation substitutions in the described minerals.
The occurrence of phosphates might suggest the weakly acidic chemistry of pore solutions due to the stability of uranyl–phosphate complexes in aqueous solutions [19,20,21]. The formation of such a solution may be connected with the weathering of iron sulfides accompanying uraninite. In such an environment, apatite, which occurs as a mineral in waste rock, is decomposed. This process is a source of phosphate ions in the studied weathering environments. On the other hand, the occurrence of uranophane in the study area may indicate that the chemistry of the pore water solutions is changing to be less acidic. This phenomenon may be explained by the solubility of silica in more alkaline conditions [22]. A similar development of water chemistry was observed in the Podgórze mine [23].
The variations in physicochemical conditions are also confirmed by the REE contents and their differentiation patterns in secondary uranium minerals. The main sources of these elements are fluorite and uraninite. These minerals are characterized by specific YREE and Nb signatures produced by hydrothermal processes [24]. These signatures may also be inherited by secondary uranium minerals, which are formed from their decomposition [24,25,26]. However, our results show that the YREE signatures in the secondary minerals studied differ from those of the primary phases. This may be related to changes in the physicochemical conditions prevailing during their crystallization. Similar observations were made during studies of uranyl mineralization in Schwarzwald in SW Germany and several locations within the Bohemian Massif in SE Germany [27,28,29]. In the case of secondary uranium mineralization in Kromnów, Kopaniec, and Radoniów, a negative Y anomaly can be observed in all uranyl phases. Similar behavior of Sm is also noted, but not in metatorbernite and torbernite. The formation of a negative anomaly may be related to the presence of REE anionic complexes, which are highly stable and mobile in water solutions [25], and also to the changing redox potential of pore fluids, as a result of which some REEs, i.e., La and Ce, are sensitive to the oxidative properties of fluids [30,31]. Another possible cause of the observed anomaly may be YREE sorption onto iron hydroxides and oxyhydroxides [26]. For reconstruction of the weathering conditions, the behavior of Nb may be useful, as this element is highly immobile [32,33]. Among the studied uranyl minerals, only the metatorbernite from Kromnów showed a positive Nb anomaly, which may be related to its near proximity to the weathering of YREE-breeding phases.
Similarly, we also observed in Podgórze and Wojcieszyce deposits located in the Karkonosze Izera Massif [23,34]. However, the concentrations of YREEs in secondary uranyl mineralization in Kromnów, Kopaniec, and Radoniów are much higher (10,000 mg/kg) than in the Podgórze mine, where the average content of REEs in these phases is around 100 mg/kg [23]. Similarly, to the secondary mineralization in Podgórze, they are depleted of LREEs as a result of crystallization from oxidative solutions [23]. In comparison to other similar weathering zones in Europe, uranyl supergene mineralization in Kromnów, Kopaniec, and Radoniów is rather poorly developed. However, some similarities can be found, e.g., in the Medvědín deposit in the Czech Republic, where uranyl phosphate is the most common phase [35].

7. Conclusions

The studied secondary mineralization consists of phosphates (meta-autunite, meta-torbernite, metauranocircite-I, saleéite, bassetite, phosphuranylite), arsenates (zeunerite), silicates (uranophane, sklodowskite), and uranyl hydroxides (likely becquerelite). Phosphuranylite was found for the first time in Poland. The co-occurrence of minerals belonging to different groups may indicate the changing nature of the chemical composition of the pore solutions from which they crystallized. The occurrence of phosphates might suggest the weakly acidic chemistry of the pore solutions, the pH of which increased with time to become more alkaline, during which the crystallization of uranophane was possible. The variation in physicochemical conditions might also be confirmed by the REE contents and their differentiation patterns in secondary uranium minerals. In the case of secondary uranium mineralization in Kromnów, Kopaniec, and Radoniów, a negative Y anomaly was observed in all uranyl phases. The similar behavior of Sm is also noted, except for metatorbernite and torbernite. The formation of a negative anomaly may be related to the presence of REE anionic complexes, which are highly stable and mobile in water solutions and also re-instate changes in the redox potential of pore fluids. Among the studied uranyl minerals, only metatorbernite from Kromnów showed a positive Nb anomaly, which may be related to its near proximity to the weathering of YREE-breeding phases. Further, more detailed studies on pore solution chemistry and thermodynamic–kinetic modeling are needed to better understand the geochemical processes taking place in these weathering zones.

Author Contributions

M.D.S. analyzed the data and wrote the manuscript. M.D.S. conducted additional XRD and EPMA analyses. M.D.S. conducted SEM-EDS analyses and recalculated LA-ICP-MS analyses. J.P. and R.S. contributed to writing the article and the revision processes. R.S. also contributed to EPMA recalculations. All authors approved the manuscript. All authors have read and agreed to the published version of the manuscript.

Funding

This study was partially supported by the European Union with the European Regional Development Fund, through an Innovative Economy grant (POIG.02.02.00-00-025/09). This project was also partially funded by the EXCITE network project (the European Union’s Horizon 2020 Research and Innovation Programme under grant agreement No. 101005611).

Data Availability Statement

The raw data may be accessed after contacting the corresponding author of this publication.

Acknowledgments

All the authors would like to thank Ilona Sekudewicz from the Institute of Geological Sciences, Polish Academy of Science, for LA-ICP-MS measurements, and also Aleksy Tywanek for collecting samples and preparing them for measurements, as well as conducting XRD and EPMA measurements and EPMA recalculations.

Conflicts of Interest

The authors declare no conflict of interest.

References

  1. Mazur, S.; Aleksandrowski, P. The Tepla(?)/Saxothuringian suture in the Karkonosze–Izera massif, western Sudetes, central European Variscides. Int. J. Earth Sci. 2001, 90, 341–360. [Google Scholar] [CrossRef]
  2. Zimnoch, E. Gites Métamorphises Des Minerais de Fer Dans Les Sudetes Compares Au Point de Vue de Structure Aux Autres Gisements Analogues. Geol. Sudet. 1967, 3, 251–296, (In Polish, French Summary). [Google Scholar]
  3. Mochnacka, K.; Oberc-Dziedzic, T.; Mayer, W.; Pieczka, A. Ore mineralization related to geological evolution of the Karkonosze–Izera Massif (the Sudetes, Poland)—Towards a model. Ore Geol. Rev. 2015, 64, 215–238. [Google Scholar] [CrossRef]
  4. Mochnacka, K.; Banaś, M. Occurrence and genetic relationships of uranium and thorium mineralization in the karkonqsze-izera block (the sudety mts, sw poland). Ann. Soc. Geol. Pol. 2000, 70, 137–150. [Google Scholar]
  5. Jaskólski, S. Tin Deposit in Gierczyn. Prz. Geol. 1967, 15, 238. [Google Scholar]
  6. Kiegiel, K.; Miskiewicz, A.; Gajda, D.; Sommer, S.; Wolkowicz, S.; Zakrzewska-Koltuniewicz, G. Uranium in Poland: Resources and Recovery from Low-Grade Ores. In Uranium—Safety, Resources, Separation and Thermodynamic Calculation; Awwad, N.S., Ed.; InTechOpen: London, UK, 2018; ISBN 978-1-78923-118-2. [Google Scholar]
  7. Kaczmarek, L. Uranium Potential of the Karkonosze Granite and Its Eastern Envelope. Unpublished industrial report. Arch. AGH Univ. Sci. Technol. Cracow. 1959, 15–48. [Google Scholar]
  8. Mochnacka, K. Mineralization of Metamorphic Rocks of a Part of the Izera Mountains. Geol. Trans. Wars. 1975, 89, 1–87. [Google Scholar]
  9. Holland, T.J.B.; Redfern, S.A.T. UNITCELL: A nonlinear least-squares program for cell-parameter refinement and implementing regression and deletion diagnostics. J. Appl. Crystallogr. 1997, 30, 84. [Google Scholar] [CrossRef]
  10. Paton, C.; Hellstrom, J.; Paul, B.; Woodhead, J.; Hergt, J. Iolite: Freeware for the Visualisation and Processing of Mass Spectrometric Data. J. Anal. At. Spectrom. 2011, 26, 2508–2518. [Google Scholar] [CrossRef]
  11. Hellstrom, J.; Paton, C.; Woodhead, J.; Hergt, J. Iolite: Software for Spatially Resolved LA-(Quad and MC) ICPMS Analysis. Mineral. Assoc. Can. Short Course Ser. 2008, 40, 343–348. [Google Scholar]
  12. Woodhead, J.D.; Hellstrom, J.; Hergt, J.M.; Greig, A.; Maas, R. Isotopic and Elemental Imaging of Geological Materials by Laser Ablation Inductively Coupled Plasma-Mass Spectrometry. Geostand. Geoanalyt. Res. 2007, 31, 331–343. [Google Scholar] [CrossRef]
  13. Oberc-Dziedzic, T.; Kryza, R.; Pin, C.; Mochnacka, K.; Larionov, A. The Orthogneiss and Schist Complex of the Karkonosze–Izera Massif (Sudetes, SW Poland): U-Pb SHRIMP Zircon Ages, Nd-Isotope Systematics and Protoliths. Geol. Sudet. 2009, 41, 3–24. [Google Scholar]
  14. Oberc-Dziedzic, T.; Pin, C.; Kryza, R. Early Palaeozoic crustal melting in an extensional setting: Petrological and Sm–Nd evidence from the Izera granite-gneisses, Polish Sudetes. Int. J. Earth Sci. 2005, 94, 354–368. [Google Scholar] [CrossRef]
  15. Oberc-Dziedzic, T.; Kryza, R.; Mochnacka, K.; Larionov, A. Ordovician passive continental margin magmatism in the Central-European Variscides: U–Pb zircon data from the SE part of the Karkonosze-Izera Massif, Sudetes, SW Poland. Int. J. Earth Sci. 2008, 99, 27–46. [Google Scholar] [CrossRef]
  16. Winchester, J.A.; Floyd, P.A.; Chocyk, M.; Horbowy, K.; Kozdroj, W. Geochemistry and tectonic environment of Ordovician meta-igneous rocks in the Rudawy Janowickie Complex, SW Poland. J. Geol. Soc. 1995, 152, 105–115. [Google Scholar] [CrossRef]
  17. Slaby, E.; Martin, H. Mafic and Felsic Magma Interaction in Granites: The Hercynian Karkonosze Pluton (Sudetes, Bohemian Massif). J. Pet. 2007, 49, 353–391. [Google Scholar] [CrossRef]
  18. Taylor, S.R.; McLennan, S.M. The geochemical evolution of the continental crust. Rev. Geophys. 1995, 33, 241–265. [Google Scholar] [CrossRef]
  19. Nipruk, O.V.; Chernorukov, N.G.; Pykhova, Y.P.; Godovanova, N.S.; Eremina, A.A. State of uranyl phosphates and arsenates in aqueous solutions. Radiochemistry 2011, 53, 483–490. [Google Scholar] [CrossRef]
  20. Sanding, A.; Bruno, J. The solubility of (UO2)3(PO4)2 · 4H2O(s) and the formation of U(VI) phosphate complexes: Their influence in uranium speciation in natural waters. Geochim. Cosmochim. Acta 1992, 56, 4135–4145. [Google Scholar] [CrossRef]
  21. Syczewski, M.D.; Borkowski, A.; Gąsiński, A.; Raczko, J.; Mordak, K.; Grądziel, I.; Krzesicka, M.; Kałaska, M.; Siuda, R. Phosphogypsum and clay mineral/phosphogypsum ceramic composites as useful adsorbents for uranium uptake. Appl. Geochem. 2020, 123. [Google Scholar] [CrossRef]
  22. Krauskopf, K.B. Dissolution and precipitation of silica at low temperatures. Geochim. Cosmochim. Acta 1956, 10, 1–26. [Google Scholar] [CrossRef]
  23. Syczewski, M.D.; Siuda, R.; Rohovec, J.; Matoušková, Š.; Parafiniuk, J. Uranyl Minerals from Abandoned Podgórze Mine (Sudetes Mountains, SW Poland) and Their REE Content. Minerals 2022, 12, 307. [Google Scholar] [CrossRef]
  24. Mercadier, J.; Cuney, M.; Lach, P.; Boiron, M.-C.; Bonhoure, J.; Richard, A.; Leisen, M.; Kister, P. Origin of uranium deposits revealed by their rare earth element signature: Origin of U Deposits Revealed by the Rare Earth Elements. Terra Nova 2011, 23, 264–269. [Google Scholar] [CrossRef]
  25. Kinsela, A.S.; Bligh, M.W.; Vázquez-Campos, X.; Sun, Y.; Wilkins, M.R.; Comarmond, M.J.; Rowling, B.; Payne, T.E.; Waite, T.D. Biogeochemical Mobility of Contaminants from a Replica Radioactive Waste Trench in Response to Rainfall-Induced Redox Oscillations. Environ. Sci. Technol. 2021, 55, 8793–8805. [Google Scholar] [CrossRef] [PubMed]
  26. Möller, P.; Dulski, P.; De Lucia, M. REY Patterns and Their Natural Anomalies in Waters and Brines: The Correlation of Gd and Y Anomalies. Hydrology 2021, 8, 116. [Google Scholar] [CrossRef]
  27. Dill, H.; Gerdes, A.; Weber, B. Age and mineralogy of supergene uranium minerals—Tools to unravel geomorphological and palaeohydrological processes in granitic terrains (Bohemian Massif, SE Germany). Geomorphology 2010, 117, 44–65. [Google Scholar] [CrossRef]
  28. Göb, S.; Gühring, J.-E.; Bau, M.; Markl, G. Remobilization of U and REE and the formation of secondary minerals in oxidized U deposits. Am. Miner. 2013, 98, 530–548. [Google Scholar] [CrossRef]
  29. Gob, S.; Wenzel, T.; Bau, M.; Jacob, D.E.; Loges, A.; Markl, G. The redistribution of rare-earth elements in secondary minerals of hydrothermal veins, schwarzwald, southwestern germany. Can. Miner. 2011, 49, 1305–1333. [Google Scholar] [CrossRef]
  30. Jin, L.; Ma, L.; Dere, A.; White, T.; Mathur, R.; Brantley, S.L. REE mobility and fractionation during shale weathering along a climate gradient. Chem. Geol. 2017, 466, 352–379. [Google Scholar] [CrossRef]
  31. Zuoping, Z.; Chuanxian, L. The behaviour of rare-earth elements (REE) during weathering of granites in southern Guangxi, China. Chin. J. Geochem. 1996, 15, 344–352. [Google Scholar] [CrossRef]
  32. Sato, M. Persistency-field Eh-pH diagrams for sulfides and their application to supergene oxidation and enrichment of sulfide ore bodies. Geochim. Cosmochim. Acta 1992, 56, 3133–3156. [Google Scholar] [CrossRef]
  33. Sato, M. Oxidation of sulfide ore bodies; 1, Geochemical environments in terms of Eh and pH. Econ. Geol. 1960, 55, 928–961. [Google Scholar] [CrossRef]
  34. Siuda, R.; Domańska-Siuda, J.; Borzęcki, R. Saléeite, Mg(UO2)2(PO4)2, from the Wojcieszyce uranium deposit (Lower Silesia, Poland). Ann. Soc. Geol. Pol. 2016, 86, 211. [Google Scholar] [CrossRef]
  35. Plasil, J.; Sejkora, J.; Cejka, J.; Skoda, R.; Golias, V. Supergene mineralization of the Medvědín uranium deposit, Krkonoše Mountains, Czech Republic. J. Geosci. 2012, 54, 15–56. [Google Scholar] [CrossRef]
Figure 1. Geological sketch map of sampling area. The sampling sites: A—Radoniów, B—Kopaniec, C—Kromnów. IKU—Kowary–Izera Unit, SKU—South Karkonosze Unit, KI—Karkonosze Intrusion. (Ref. [3]; modified).
Figure 1. Geological sketch map of sampling area. The sampling sites: A—Radoniów, B—Kopaniec, C—Kromnów. IKU—Kowary–Izera Unit, SKU—South Karkonosze Unit, KI—Karkonosze Intrusion. (Ref. [3]; modified).
Minerals 13 00945 g001
Figure 2. Meta-autunite from Kromnów (A) and BSE image of meta-autunite crystal from Kopaniec (B). Field of view ~1 cm.
Figure 2. Meta-autunite from Kromnów (A) and BSE image of meta-autunite crystal from Kopaniec (B). Field of view ~1 cm.
Minerals 13 00945 g002
Figure 3. The XRD results for uranyl phosphates from Kromnów (A), Radoniów (B), and Kopaniec (C). Maut, meta-autunite; Slé, saleéite; Murc-I, metauranocicite-I; Qtz, quartz; Lei, leisingite; Puy, phosphouranylite; Mtor, metatorbernite; Bas, bassetite.
Figure 3. The XRD results for uranyl phosphates from Kromnów (A), Radoniów (B), and Kopaniec (C). Maut, meta-autunite; Slé, saleéite; Murc-I, metauranocicite-I; Qtz, quartz; Lei, leisingite; Puy, phosphouranylite; Mtor, metatorbernite; Bas, bassetite.
Minerals 13 00945 g003
Figure 4. Metatorbernite crystals from Kopaniec: the field of view ~1 cm (A); BSE image (B).
Figure 4. Metatorbernite crystals from Kopaniec: the field of view ~1 cm (A); BSE image (B).
Minerals 13 00945 g004
Figure 5. BSE photos of bassetite crystals from Kopaniec.
Figure 5. BSE photos of bassetite crystals from Kopaniec.
Minerals 13 00945 g005
Figure 6. BSE image of saleéite crystals from Kopaniec.
Figure 6. BSE image of saleéite crystals from Kopaniec.
Minerals 13 00945 g006
Figure 7. Photos of uranophane from Kromnów. (A)—uranophane veins in uraninite, (B)—uranophane crust on granite. Field of view ~1 cm.
Figure 7. Photos of uranophane from Kromnów. (A)—uranophane veins in uraninite, (B)—uranophane crust on granite. Field of view ~1 cm.
Minerals 13 00945 g007
Figure 8. Sklodowskite (sds) aggregate from Kromnów. BSE image.
Figure 8. Sklodowskite (sds) aggregate from Kromnów. BSE image.
Minerals 13 00945 g008
Figure 9. The diffraction pattern of uranyl silicates from Kromnów (A) and Kopaniec (B). Ura, uranophane; Sds, sklodowskite; Mtor, metatorbernite.
Figure 9. The diffraction pattern of uranyl silicates from Kromnów (A) and Kopaniec (B). Ura, uranophane; Sds, sklodowskite; Mtor, metatorbernite.
Minerals 13 00945 g009
Figure 10. Thin coating of becquerelite (bright) on barren rock fragments; BSE image.
Figure 10. Thin coating of becquerelite (bright) on barren rock fragments; BSE image.
Minerals 13 00945 g010
Figure 11. REE patterns from ore deposits in surrounding rocks and primary REE-breeding mineralization from Kromnów, Radoniów, and Kopaniec (after PAAS normalization). KR, Kromnów; R, Radoniów. literature data: * [17]; ** [16]; *** [14,15]; **** [15].
Figure 11. REE patterns from ore deposits in surrounding rocks and primary REE-breeding mineralization from Kromnów, Radoniów, and Kopaniec (after PAAS normalization). KR, Kromnów; R, Radoniów. literature data: * [17]; ** [16]; *** [14,15]; **** [15].
Minerals 13 00945 g011
Figure 12. REE patterns form secondary uranyl minerals from Kromnów, Radoniów, and Kopaniec (after PAAS normalization). KR, Kromnów; R, Radoniów; KOP, Kopaniec.
Figure 12. REE patterns form secondary uranyl minerals from Kromnów, Radoniów, and Kopaniec (after PAAS normalization). KR, Kromnów; R, Radoniów; KOP, Kopaniec.
Minerals 13 00945 g012
Table 1. The unit cell parameters of uranyl phosphates.
Table 1. The unit cell parameters of uranyl phosphates.
LocationMineralCrystal SystemUnit Cell Parameters
abcαβγV[Å3]
KromnówSaleéiteMonoclinic5.89410.2518.3529094.34390503.19
KromnówMetauranocircite-IMonoclinic6.94317.6346.9529090.02390851.15
KromnówMeta-autunitetetragonal6.9606.9608.400909090406.91
KopaniecSaleéiteMonoclinic5.98617.1778.44090134.61690617.73
KopaniecMetauranocircite-IMonoclinic6.94317.6346.9529090.02390851.15
KopaniecMeta-autunitetetragonal6.9606.9608.400909090406.91
KopaniecBassetiteMonoclinic6.9626.94020.9869090.918901013.85
KopaniecMetatorbernitetetragonal6.9766.97617.349909090844.28
RadoniówMetauranocircite-IMonoclinic6.94317.6346.9529090.02390851.15
RadoniówMeta-autunitetetragonal6.9606.9608.400909090406.91
RadoniówPhosphuranyliteOrthorhombic15.83513.72417.3249090903764.84
Table 2. The chemical composition of meta-autunite (wt. %).
Table 2. The chemical composition of meta-autunite (wt. %).
Kr21.1Kr21.2Kr21.3Kr21.4Kr14.1Kr14.2Kr14.3Kr22.1Kr22.2Kr8.1Kr5.1Kr5.2Kop12.1Kop8.1Kop8.2Kop8.3Kop8.4Kop18.1Kop18.2
K2O0.450.60.40.190.30.290.280.230.210.540.950.520.280.530.270.250.260.210.24
CaO3.354.824.645.644.013.963.14.974.742.853.4645.1643.643.434.723.423.65
MgO0.120.120.0900.310.130.260.290.10.310.230.090.030.040.230.01000
BaO0000000000000000000
CuO0000000000000.521.151.951.390.062.281.32
Fe2O31.5200.2001.681.7700.4400.330.2100.130.270.590.220.240
Al2O31.120.430.600.690.911.850.360.031.060.250.180.210.050.180000
SiO21.790.350.5300.010.761.310.4600.140.210.160.380.320.610.090.210.010.13
P2O511.9914.6214.3515.7915.5815.8615.8515.9815.4212.9414.5113.7213.8918.1514.415.1516.6916.1316.64
As2O50000000000.05001.680.250.350.340.250.530.7
UO359.6291.9259.5271.4968.4267.6761.9366.768.2861.5563.0262.5567.2170.8963.9766.7365.2665.2668.01
H2O *14.8515.4215.112.6912.6512.8716.4312.4912.2614.515.2514.8112.1713.4715.7812.0412.412.2612.64
Total94.8198.2895.42105.8102.97104.11101.77101.48102.0793.9598.2196.23101.53108.99101.64100.02100.07100.34103.35
a.p.f.u.
K0.090.120.080.030.050.050.050.040.040.110.190.110.050.090.050.050.050.040.04
Ca0.580.80.790.860.610.590.480.770.750.510.580.690.820.570.590.550.730.540.56
Mg0.030.030.0200.070.030.060.0600.080.050.020.010.010.050000
Ba0000000000000000000
Cu0000000000000.060.120.220.160.010.250.14
Fe0.1800.02000.180.1900.0500.040.0300.010.030.070.020.030
Al0.210.080.1100.120.150.320.0600.210.050.030.040.010.030000
Σcat.1.091.031.020.890.8511.10.930.880.910.910.880.980.810.970.830.810.860.74
P1.641.931.931.921.881.841.951.921.811.931.881.742.051.851.922.0522
As0000000000000.130.020.030.030.020.040.05
Si0.290.050.0800000.070.010.020.030.030.060.040.090.010.0300.02
Σan.1.931.982.011.921.881.842.021.931.831.961.911.932.111.971.962.12.042.07
U2.022.021.992.132.041.991.92.022.12.142.082.132.091.992.042.091.992.012.03
H2O *8886668668886686666
* Stoichiometric calculation.
Table 3. The chemical composition of metatorbernite from Kopaniec (wt. %).
Table 3. The chemical composition of metatorbernite from Kopaniec (wt. %).
Kop12.1Kop7.1Kop7.2Kop8.1Kop8.2Kop8.3Kop18.1Kop18.2
K2O0.210.190.290.240.310.260.280.78
CaO0.430.351.70.540.270.311.731.11
MgO0.200.060.090.010.050.160.21
PbO0000.120.04000
CuO4.553.92.665.243.264.292.723.67
Fe2O30.511.420.702.451.820.731.39
Al2O32.20.530.290.2100.030.352.28
SiO24.51.880.941.010.280.381.124.04
P2O516.514.5216.216.3814.5916.1315.3313.21
As2O50.111.860.850.721.551.621.20.29
UO365.0671.4572.5172.8674.573.3664.1662.45
H2O *1917.5717.6717.7417.2217.8216.4817.22
Total113.27113.68113.85115.15114.48116.07104.26106.65
a.p.f.u.
K0.030.030.050.040.050.040.050.14
Ca0.060.050.250.080.040.040.270.17
Mg0.0400.010.0200.010.040.04
Pb0.440.40.270.540.340.440.30.39
Cu0.330.090.050.03000.060.39
Fe0.050.150.0700.260.180.080.15
Al.0.330.090.050.03000.060.37
Σcat.0.950.720.70.710.690.710.81.26
Si0.570.260.130.140.040.050.160.56
P1.781.681.861.871.721.841.891.56
As0.010.130.060.050.110.110.090.02
Σan.2.362.072.052.061.8722.142.14
U1.742.052.072.072.182.071.961.83
H2O *88888888
* Stoichiometric calculation.
Table 4. The chemical composition of bassetite (wt. %).
Table 4. The chemical composition of bassetite (wt. %).
Kop17Kop7Kop18
K2O0.320.260.16
CaO0.181.520.54
MgO0.030.090.51
CuO1.681.512.89
FeO3.022.523.27
Al2O30.110.260
SiO20.591.110.07
P2O516.9615.3415.71
As2O501.10
UO371.7770.9465.64
H2O *21.6721.620.26
Total116.33116.26109.05
a.p.f.u.
K0.060.050.03
Ca0.030.230.09
Mg0.010.020.11
Cu0.180.160.32
Fe0.350.290.4
Al.0.020.040
Σcat.0.650.80.95
Si0.080.150.01
P1.991.81.97
As00.080
Σan.2.072.072.04
U2.092.072.04
H2O *101010
* Stoichiometric calculation.
Table 5. The chemical composition of saleéite from Kopaniec (wt. %).
Table 5. The chemical composition of saleéite from Kopaniec (wt. %).
Kr14Kr21Kop17Kop17Kop17Kop17Kop17Kop18Kop18Kop18Kop18
K2O0.160.160.130.210.20.180.220.180.170.170.12
CaO1.30.020.160.60.520.031.320.320.350.110.68
MgO2.683.873.783.224.693.463.033.373.173.122.43
CuO00000.10.0100000.34
Fe2O30000.470.110.661.240.480.410.720.28
P2O517.0615.7513.4617.9614.4616.0615.8215.5417.7816.3115.82
UO371.8170.755.1371.1863.4971.6668.367.5368.3868.6266.23
H2O *21.720.9417.2722.2419.6121.2820.9820.3521.620.8520.04
Total114.7111.4589.92115.89103.17113.34110.91107.76111.76109.89105.94
a.p.f.u.
K0.030.030.030.040.040.030.040.030.030.030.02
Ca0.1900.030.090.0800.20.050.050.020.11
Mg0.550.830.980.651.070.730.650.740.660.670.54
Cu00000.01000000.04
Fe0000.050.010.070.130.050.040.080.03
Σcat.0.770.861.040.831.220.831.020.870.780.80.74
P21.911.982.051.871.921.911.942.091.992
Σan.21.911.982.051.871.921.911.942.091.992
U2.082.132.012.022.042.122.052.091.992.072.08
H2O *1010101010101010101010
* Stoichiometric calculation.
Table 6. The unit cell parameters of uranyl silicates.
Table 6. The unit cell parameters of uranyl silicates.
LocationMineralCrystal SystemUnit Cell Parameters
a b c α β γ V[Å3]
KromnówUranophane Monoclinic6.6807.07015.9709097.30190748.11
KromnówSklodowskiteMonoclinic16.93310.5706.59190102.200901153.16
KopaniecUranophane Monoclinic5.7396.03813.7379097.36990472.11
Table 7. The chemical composition of uranophane (wt. %).
Table 7. The chemical composition of uranophane (wt. %).
Kr27bKr27bKr0Kr3Kop8Kop8Kop8Kop8Kop18Kop18Kop18Rad28
K2O0.30.280.470.350.20.210.190.20.260.120.110.21
CaO5.15.216.254.696.056.586.486.686.487.137.166.55
MgO0.390.510.360.53000.0100.02000.2
BaO00000000.120000
PbO00.140000000000
Fe2O300.54000.240000000
Al2O300.50.05000000000.29
SiO213.9114.4613.4113.0113.9913.5714.314.5712.9213.6613.7814.54
P2O51.271.621.570.350.940.870.790.690.850.870.90.23
As2O5000000000000
UO371.7270.6672.472.8871.3470.3370.4973.0370.1674.8366.2167.05
H2O *10.2410.6110.429.8310.2210.0510.2110.499.8710.59.8610.01
Total102.93104.52104.93101.64102.98101.61102.47105.78100.56107.1198.0299.35
a.p.f.u.
K0.060.050.090.070.040.040.040.040.050.020.020.04
Ca0.80.790.960.770.951.051.021.021.051.091.171.05
Mg0.090.110.080.12000.0100000.04
Ba00000000.010000
Pb00.010000000000
Fe00.06000.030000000
Al.00.080.01000000000
Σ cat.0.951.11.140.961.021.091.071.071.11.111.191.18
Si2.042.041.982.212.052.22.12.081.961.952.12.18
P0.160.190.040.080.120.110.10.080.110.10.120.03
As000000000000.02
Σ an.2.22.232.022.292.172.312.22.162.072.052.222.23
U2.212.12.332.362.22.22.172.192.242.242.112.11
H2O *555555555555
* Stoichiometric calculation.
Table 8. The chemical composition of sklodowskite (wt. %).
Table 8. The chemical composition of sklodowskite (wt. %).
Kr11Kr11Kr0Kr0Kr0Kr0Kr0Kr0Kr0Kr27b
K2O0.350.260.220.250.270.260.240.230.250.33
CaO0.090.000.000.090.010.140.030.000.002.42
MgO3.793.864.633.513.413.353.453.914.312.43
Fe2O30.000.000.030.000.000.000.230.000.000.61
UO372.5871.7371.6770.3470.9370.8566.6469.8874.4975.76
P2O51.970.000.421.571.061.920.391.100.790.53
SiO213.0515.7014.8711.9113.2312.1615.2414.4115.1913.76
H2O *12.2912.3714.4311.5411.8311.7311.8512.1812.8412.50
Total104.10103.93104.2899.21100.83100.4098.07101.71107.88108.35
a.p.f.u.
K0.070.050.040.050.050.050.050.040.050.06
Ca0.010.000.000.020.000.000.020.010.000.37
Mg0.830.841.000.820.770.770.780.860.900.52
Fe0.000.000.000.000.000.000.030.000.000.07
Σ cat.0.910.891.040.880.830.820.880.910.951.03
P0.240.000.050.210.140.250.050.140.090.09
Si1.912.282.151.862.031.872.312.132.131.98
Σ an.2.152.282.212.072.162.122.372.272.222.05
U2.232.192.182.302.272.282.132.172.192.29
H2O *6.006.006.006.006.006.006.006.006.006.00
* Stoichiometric calculation.
Table 9. Chemical composition of zeunerite (wt. %).
Table 9. Chemical composition of zeunerite (wt. %).
Kop12.1Kop12.2
K2O0.150.2
CaO0.330.25
MgO0.130.32
CuO3.513.41
Fe2O30.12.71
Al2O301.68
SiO20.22.47
P2O54.665.9
As2O511.2610.47
UO358.2756.89
H2O *19.5222.91
Total98.13107.2
a.p.f.u.
K0.040.04
Ca0.060.04
Mg0.040.07
Cu0.490.4
Fe0.010.32
Al.00.31
Σcat.0.641.18
Si0.040.39
P0.730.78
As1.080.86
Σan.1.852.03
U2.261.88
H2O *2424
* Stoichiometric calculation.
Table 10. Chemical composition of becquerelite from Radoniów (wt. %).
Table 10. Chemical composition of becquerelite from Radoniów (wt. %).
Rad1.1Rad1.2Rad1.3Rad1.4Rad1.5Rad1.6Rad1.7
K2O0.320.250.220.430.240.360.26
CaO3.262.112.612.842.832.523.02
MgO0.080.050.050.090.070.050.1
BaO0.020.270.090.290.220.360
CuO00.070.1600.020.020
PbO0.080.1000.0600.06
FeO0.170.270.341.142.430.790.42
Al2O32.011.171.032.4520.841.14
SiO24.972.972.495.024.672.954.39
P2O50.030.0400.010.0100.03
As2O50.01000000
UO377.5480.2777.9576.374.3278.3878.64
H2O *11.5310.6910.3111.6311.3110.5211.17
Total100.0198.2495.25100.1998.1896.899.22
* Stoichiometric calculation.
Table 11. REE concentrations in primary mineralization and surroundings rocks collected from Kromnów (KR), Kopaniec (KOP), and Radoniów (R). Urn, uraninite; Fl, fluorite.
Table 11. REE concentrations in primary mineralization and surroundings rocks collected from Kromnów (KR), Kopaniec (KOP), and Radoniów (R). Urn, uraninite; Fl, fluorite.
RocksMean REE Concentration after PAAS Normalization in Hosting and Surrounding Rocks (mg/kg)
NbLaCePrNdSmEuGdTbDyYHoErTmYbLu
Karkonosze Granitoide *0.67.37.3ND7.810.565.4101.7ND112.93.4ND109.3ND111.5106.6
Metabasites *2.21.11.1ND1.31.42.41.71.6ND3.1NDNDND0.90.8
Phyllites *1.21.01.0ND1.31.82.52.12.2ND5.0NDNDND1.61.5
Meta-tholeiites *0.20.30.1ND0.30.61.00.91.1ND3.0NDNDND1.21.1
Mica shists *1.21.01.01.01.01.11.21.11.11.11.00.90.90.90.90.8
Kowary Gneisses *0.70.30.40.40.50.60.20.71.01.22.71.11.21.51.41.1
Kowary Amphibolites *1.10.30.30.40.60.81.51.11.11.12.20.80.80.80.70.6
Primary MineralsMean REE concentration after PAAS normalization in uraninite and fluorite (mg/kg)
NbLaCePrNdSmEuGdTbDyYHoErTmYbLu
Urn_KR0.15.585.8486.32101.14031.36767.93972.74425.54168.83750.06400.02730.02317.22145.02242.91690.7
Urn_KR0.25.587.4522.52157.34175.06732.14036.44446.84441.64022.76500.02790.02400.02475.02410.71818.6
Urn_KR0.36.0106.8583.82606.74875.08285.74718.25063.84987.04477.36766.73160.02793.12747.52821.41937.2
Urn_KR0.42.342.9232.51332.62287.52892.91700.01917.01870.11668.23050.01210.01079.31127.51210.7893.0
Fl_R28.113000.020.627.828.855.027.996.2175.3231.8325.852.9203.0191.4210.0195.7135.3
Fl_R28.233545.571.367.970.9146.477.3259.6492.2665.9866.7121.6540.0537.9597.5567.9386.0
Fl_R28.318181.823.630.431.965.538.5160.0240.3338.6739.259.7311.0313.8360.0325.0258.1
Fl_R28.418181.823.334.236.983.044.8163.8272.7381.8557.556.6323.0320.7360.0342.9239.5
Urn_R24b.11954.517.410.811.513.441.824.1103.0232.5329.5576.7271.0269.0320.0296.4227.9
Urn_R24b.11045.511.87.48.910.835.720.988.9196.1275.0493.3233.0229.7269.3278.9193.5
Urn_R24b.22486.413.28.09.311.135.021.685.5194.8277.3483.3213.0231.7267.5260.7191.2
ND—no data. * Literature data [13,14,15,16,17].
Table 12. REE concentrations in uranyl minerals collected from Kromnów (KR), Kopaniec (KOP), and Radoniów (R). Sds, sklodowskite; Ura, uranophane; Murc-I, metauranocircite-I; Maut, meta-autunite; Mtor, metatorbernite.
Table 12. REE concentrations in uranyl minerals collected from Kromnów (KR), Kopaniec (KOP), and Radoniów (R). Sds, sklodowskite; Ura, uranophane; Murc-I, metauranocircite-I; Maut, meta-autunite; Mtor, metatorbernite.
MineralMean REE Concentration after PAAS Normalization in Secondary Uranium Minerals (mg/kg)
NbLaCePrNdSmEuGdTbDyYHoErTmYbLu
Sds_KR0.12.4187.5818.01606.32642.91436.41697.91714.31529.52616.725.41082.0969.01095.0946.4788.4
Sds_KR0.22.4188.11055.11918.82821.41581.81802.11844.21640.92908.332.11197.01075.91167.51210.7904.7
Sds_KR0.32.3178.81084.31906.32839.31581.81640.41571.41411.42366.732.91003.0889.7972.5928.6711.6
Sds_KR0.40.11.39.712.716.89.66.48.17.45.50.24.54.15.26.85.2
Ura_KR3.10.87.469.6105.6235.7180.0146.0202.6220.0235.81.3119.0110.0155.8197.9122.6
Ura_KR3.20.97.470.6116.3262.5187.3163.8250.6259.1260.01.3143.0132.8182.3246.4144.9
Ura_KR3.31.07.061.599.1239.3159.1133.2207.8215.9224.21.2121.0119.7162.8207.1130.2
Ura_KR3.42.2137.5638.21134.41696.41172.71191.51259.71113.61750.023.9740.0724.1770.0792.9597.7
Ura_KR3.54.7670.03528.16531.311071.46818.27127.77272.76477.31833.3123.44520.03896.64075.03964.32558.1
Ura_KR3.63.7408.82101.13812.56464.33872.74063.84142.93863.65166.780.82490.02241.42375.02357.11488.4
Ura_KR3.71.59.077.5122.5314.3220.0176.6267.5318.2255.81.2172.0162.1218.3282.1169.1
Ura_KR3.81.48.874.2125.3355.4258.2225.5341.6350.0360.01.1198.0182.8262.5314.3198.4
Ura_KR3.10.912.667.4109.4275.0184.5193.6237.7231.8324.21.8129.0120.0148.5173.6115.8
Ura_KR3.21.011.060.7105.6203.6139.1119.8149.4148.4155.81.681.273.491.8113.267.4
Ura_KR3.30.01.38.513.333.227.825.139.146.443.00.226.324.832.542.127.2
Ura_KR3.41.37.148.069.1160.7113.498.7126.1138.6147.51.274.869.788.8111.465.8
Ura_KR5.10.11.01.41.67.56.112.126.236.4105.81.130.635.860.8109.695.3
Ura_KR5.20.10.40.60.72.51.83.36.07.521.20.46.16.59.313.211.2
Ura_KR5.30.10.30.40.52.01.63.06.07.922.40.36.47.111.017.514.7
Ura_KR22.10.01.81.92.28.87.514.536.652.7168.32.443.954.198.3186.4158.1
Ura_KR22.20.00.40.40.51.91.63.07.210.232.60.68.510.318.537.131.2
Ura_KR22.30.01.21.31.65.85.09.523.434.1107.51.728.233.460.8120.7104.9
Ura_KR22.40.00.91.01.34.43.25.512.718.049.21.114.116.629.056.147.9
Ura_KR22.50.00.50.60.72.31.83.37.810.832.50.88.69.916.531.927.4
Ura_KR19.11.03.016.420.139.826.819.627.429.230.40.315.815.322.331.217.7
Ura_KR19.21.13.016.021.935.423.518.525.728.033.50.315.615.322.030.417.9
Ura_KR19.30.75.029.440.074.647.639.154.758.664.80.532.931.444.060.436.0
Ura_KR19.41.15.229.140.069.646.534.749.152.551.50.529.027.539.555.731.6
Ura_KR19.50.83.923.432.355.536.028.639.742.353.60.423.822.732.144.326.4
Ura_KR19.61.04.324.234.159.338.329.442.145.048.70.425.124.335.348.928.6
Murc-I_KR21.21.80.0910.11750.03410.71081.81510.61194.8818.2758.3157.9460.0351.7322.5285.7179.1
Murc-I_KR21.50.9466.31112.42250.04410.71254.51808.51662.31340.91675.0202.6830.0682.8770.0814.3609.3
Murc-I_KR21.60.227.654.096.3232.1114.5197.9271.2320.5808.320.7254.0292.1472.8900.0867.4
Murc-I_KR21.70.234.857.989.4373.2226.4468.1755.8840.91891.737.4624.0620.7907.51442.91281.4
Murc-I_KR21.80.150.094.4140.6348.2170.9334.0379.2365.9825.054.5297.0289.7417.5628.6590.7
Murc-I_KR21.90.326.364.0140.6446.4190.9340.4402.6386.41333.311.3330.0379.3625.01071.4976.7
Murc-I_KR21.100.335.352.472.8373.2258.2585.11064.91297.72483.342.6950.0924.11207.51617.91388.4
Maut_KR14.10.63.06.411.025.910.713.814.313.629.11.49.89.413.021.418.8
Maut_KR14.20.94.67.19.427.716.433.046.856.8154.24.946.049.080.0139.3130.2
Maut_KR14.33.79.915.827.2141.194.5202.1303.9363.6725.07.9300.0300.0365.0425.0337.2
Maut_KR18b.10.83.75.98.928.039.821.930.332.352.61.921.824.139.058.639.3
Maut_KR18b.20.41.72.94.514.622.313.421.926.146.60.918.220.332.850.034.9
Mtor_KR18a.16.00.70.50.72.23.12.64.05.012.70.24.25.29.214.913.7
Mtor_KR18a.27.50.70.71.13.44.53.44.95.912.60.24.85.79.415.013.5
Mtor_KR18a.36.50.60.71.13.34.73.54.85.510.10.24.34.97.411.810.5
Mtor_KOP12.20.111.021.032.5139.3249.1210.6397.4406.8413.38.3244.0191.0210.0220.0146.0
Mtor_KOP12.10.29.618.531.676.697.3108.9129.9161.4204.210.4132.0124.1160.0179.3134.9
Mtor_KOP12.20.129.857.393.8248.2272.7227.7275.3279.5351.724.5195.0175.9202.5217.9160.5
Mtor_KOP12.30.328.648.378.1194.6231.8234.0275.3297.7450.027.4229.0220.7277.5350.0272.1
Mtor_KOP12.40.210.618.330.381.184.587.9111.7120.0196.78.889.685.2115.8162.1130.9
Mtor_KOP12.50.256.389.9150.0366.1387.3380.9435.1436.4658.346.8300.0272.4330.0382.1307.0
Mtor_KOP12.60.831.150.677.2203.6221.8234.0268.8272.7445.031.8187.0165.5217.5257.5216.3
Mtor_KOP12.70.521.335.857.8173.2200.9203.4276.6322.7606.718.8241.0249.7382.5564.3465.1
Mtor_KOP12.82.6127.5338.2521.91089.31054.5683.0688.3570.5375.8100.3281.0227.6220.0214.3114.0
Disclaimer/Publisher’s Note: The statements, opinions and data contained in all publications are solely those of the individual author(s) and contributor(s) and not of MDPI and/or the editor(s). MDPI and/or the editor(s) disclaim responsibility for any injury to people or property resulting from any ideas, methods, instructions or products referred to in the content.

Share and Cite

MDPI and ACS Style

Syczewski, M.D.; Siuda, R.; Parafiniuk, J. REE Concentrations in Secondary Uranium Minerals from the Izera Metamorphic Complex (SW Poland). Minerals 2023, 13, 945. https://doi.org/10.3390/min13070945

AMA Style

Syczewski MD, Siuda R, Parafiniuk J. REE Concentrations in Secondary Uranium Minerals from the Izera Metamorphic Complex (SW Poland). Minerals. 2023; 13(7):945. https://doi.org/10.3390/min13070945

Chicago/Turabian Style

Syczewski, Marcin Daniel, Rafał Siuda, and Jan Parafiniuk. 2023. "REE Concentrations in Secondary Uranium Minerals from the Izera Metamorphic Complex (SW Poland)" Minerals 13, no. 7: 945. https://doi.org/10.3390/min13070945

APA Style

Syczewski, M. D., Siuda, R., & Parafiniuk, J. (2023). REE Concentrations in Secondary Uranium Minerals from the Izera Metamorphic Complex (SW Poland). Minerals, 13(7), 945. https://doi.org/10.3390/min13070945

Note that from the first issue of 2016, this journal uses article numbers instead of page numbers. See further details here.

Article Metrics

Back to TopTop