Next Article in Journal
Investigating the Relationship between Growth Rate, Shell Morphology, and Trace Element Composition of the Pacific Littleneck Clam (Leukoma staminea): Implications for Paleoclimate Reconstructions
Next Article in Special Issue
First Terrestrial Occurrence of Kaitianite (Ti3+2Ti4+O5) from the Upper Mantle beneath Mount Carmel, Israel
Previous Article in Journal
Controlling Factors of Meteoric Diagenesis in Karst Reservoirs: An Example from the Majiagou Formation, Ordos Basin, China
Previous Article in Special Issue
Formation of High-Silica Leucocratic Granitoids on the Late Devonian Peraluminous Series of the Russian Altai: Mineralogical, Geochemical, and Isotope Reconstructions
 
 
Font Type:
Arial Georgia Verdana
Font Size:
Aa Aa Aa
Line Spacing:
Column Width:
Background:
Article

The Current State of Research on Secondary Quartzites of the Northern Segment of the Jungar-Balkhash Folded System and Their Au Mineralization (Central Kazakhstan)

by
Eleonora Y. Seitmuratova
,
Vera S. Goryaeva
,
Farida F. Saidasheva
,
Yalkunzhan K. Arshamov
,
Refat T. Baratov
,
Diyas O. Dautbekov
,
Nurgali S. Shadiyev
,
Moldir A. Mashrapova
*,
Ansagan Dauletuly
and
Tauassar K. Karimbekov
Institute of Geological Sciences of K.I. Satpayev, Kabanbay batyr 69, Almaty 050010, Kazakhstan
*
Author to whom correspondence should be addressed.
Minerals 2023, 13(6), 813; https://doi.org/10.3390/min13060813
Submission received: 7 April 2023 / Revised: 1 June 2023 / Accepted: 3 June 2023 / Published: 14 June 2023

Abstract

:
In this paper, we outline a study conducted on altered rocks in Central Kazakhstan, in particular, focusing on secondary quartzites. The study reveals a connection between copper-porphyry deposits in Central Kazakhstan and secondary quartzites. Recent research has unveiled gold mineralization in various secondary quartzite massifs, which has spurred further investigations in the region. Over the past three decades, extensive studies have been conducted that have demonstrated similarities among the gold deposits in this area and epithermal gold-silver deposits in volcanic-plutonic arcs around the world. By identifying patterns in the distribution of gold mineralization and developing regional exploration criteria, researchers have comprehensively assessed 48 secondary quartzite massifs and have prioritized promising areas for further exploration. Valuable findings have emerged from detailed examinations of the Akgirek and Birlestik massifs, which have involved drilling exploration wells up to a depth of 250 m. These investigations have shed light on the depth distribution of metasomatites and their association with gold mineralization. Consequently, these findings strengthen our belief in the significant potential for gold mineralization in the secondary quartzites of the Jungar-Balkhash folded system.

1. Introduction

The significance and persistent demand for gold in the global economy make it a priority type of valuable mineral resource. Consequently, the identification of new gold deposits and the expansion of prospects in previously known ore fields have always been, and continue to be, the most important objectives of geological research.
According to the “Handbook of Gold Deposits in Kazakhstan” (1996), more than 2000 gold deposits and occurrences have been identified in Kazakhstan. In terms of confirmed gold reserves, the Republic of Kazakhstan ranks third among the CIS countries and tenth globally. However, in terms of production, which has been only 47.8 t per year in recent years (as of 2014), Kazakhstan is positioned in sixteenth place. Therefore, Kazakhstan aims to increase gold production to 70 t per year. This breakthrough can be mainly achieved by developing the most promising types of gold deposits. Among the 13 priority geological-industrial types (GITs), according to M.S. Rafaĭlovich [1], gold deposits in black shale formations, stockwork gold-sulfide-quartz deposits, and epithermal gold-silver deposits are considered to be the most prospective.
While the first two types of gold deposits have been partially developed and well studied by Kazakhstani geologists, assessing the potential of epithermal GIT deposits has been difficult due to their limited development and scarce research. However, in recent decades, several countries worldwide (such as Russia, the United States, Japan, and Brazil) have linked breakthroughs in the gold mining industry to epithermal Au-Ag deposits in volcanic-plutonic belts (VPB). The renewed interest from gold industry professionals in this type of gold mineralization has been attributed to several reasons that have been highlighted in several publications over the past 10–15 years [2,3].
The most important aspect that classifies this GIT as a priority is the advent of highly effective new ore processing technologies, such as heap leaching and tank leaching. These technologies allow for the development of deposits with low gold grades (up to 1 g/t) when there are large ore masses available. In other words, it has become feasible to exploit what are known as large-tonnage deposits with low gold grades.
According to V. A. Narseev and V. M. Shashkin [4], a new direction in gold mining, i.e., large-tonnage deposits of low grades, is gaining significant momentum. According to the U.S. Geological Survey, as of 1 January 2007, the numbers of deposits with gold grades less than 1 g/t are as follows: Brazil, two deposits (236 t, grade = 0.43 g/t); Indonesia, two deposits (over 3000 t, grade = 0.84 g/t); Chile, two deposits (758 t, grade = 0.7 g/t); USA, seven deposits (557 t, grade = 0.44 g/t). Argentina has one deposit with 346 t and a grade of 1.09 g/t, while Peru has five deposits with 1400 t and a grade of 1.11 g/t. As of 1 January 2012, the number of such deposits doubled. Considering the overall list of gold deposits discovered in the last 30–35 years, which have been predominantly located in volcanic-plutonic belts (VPBs) around the Pacific’s “Ring of Fire,” approximately 70% are large-tonnage deposits [1,2,3,4,5,6,7,8,9,10,11,12].
However, in Kazakhstan, epithermal gold-silver occurrences have been poorly studied, and their significant economic advantages over other types of gold ore deposits have still not been adequately highlighted [1,2,3,4,5,6,7,8,13,14,15,16,17]. The description of epithermal gold-silver mineralization in Kazakhstan has been based only on a few well-studied occurrences, such as Taskora, Arkharly, and Kuder [1,7,9,10,18,19,20,21,22,23,24], which can be attributed to the fact that, despite a significant number of identified epithermal gold occurrences in Kazakhstan, there has been virtually no exploration work conducted to further study them. This situation has influenced the direction of scientific research over the last past three decades, with researchers focusing on the analysis and further study of manifestations of gold ore mineralization of this type. Considering that in almost all of these small deposits, mineral occurrences have been associated with secondary quartzite massifs, i.e., metasomatically hydrothermally altered volcanic rocks of felsic and intermediate composition, the main objective of the conducted research has been to identify and to confirm the gold-bearing nature of this metasomatic formation, which is widely manifested in the the Jungar-Balkhash folded system (JBFS). Secondary quartzites have been studied in stages by many geologists from the former Soviet Union over several decades of the 20th century with the aim of identifying large copper-porphyry deposits [24,25,26,27,28,29,30,31,32,33,34,35,36,37,38,39,40,41,42,43]; however, exploration work has almost completely ceased due to low efficiency of the work, despite the identification of gold mineralization within the seconday quartzites. Therefore, in the last 25 years, researchers have undertaken a series of projects on this emerging topic [44,45,46,47].
On the one hand, the presence of large deposits of this type within many volcanic-plutonic belts, and on the other hand, the absence of similar deposits within the JBFS definitively define the task of further studying the gold-bearing of secondary quartzite massifs and obtaining data on deep-seated gold mineralization in order to reassess their potential for identifying epithermal gold-silver deposits.
In the context of the stated research goal, a recent project was conducted between 2017 and 2020 [48]. The project aimed to identify prospective areas for epithermal gold-silver mineralization within the Kyzyltass volcanic-plutonic structure (VPS) in order to conduct geological exploration activities. The potential of the structure itself to support more comprehensive and extensive exploration activities was demonstrated during the implementation of the mentioned projects [45,46,47,48].
The target of this article is to familiarize the English-speaking audience of geologists with the state of research on the metasomatic formation “secondary quartzites” in Kazakhstan and its gold-bearing potential. The aim is to discuss the local factors of mineralization, obtained from the results of drilling conducted to confirm the presence of gold at depth, in the Akgirek and Birlestyk massifs.
Research on the gold-bearing potential of secondary quartzites has been conducted in the JBFS, which belongs to the Central Asian part of the Hercynian Orogenic Belt (Figure 1). Researchers have conducted a formation typology for all stratified, intrusive, and ore formations in the region [49]. This formation typology has allowed them to analyze the patterns of geological formations, their chronological sequences, and to delineate several vertical series of formations characterizing specific blocks (terrains) within the studied area [50,51,52].
Thus, based on the identified lateral-vertical sequences of formations, the region has been structurally and tectonically zoned, for the first time, from an actualistic method on a material basis (Figure 2) [49].
The JBFS is characterized by continental volcanic and volcano-sedimentary rocks. These formations, which are products of intense continental volcanism and intrusive magmatism in the Early Carboniferous and Late Permian, occupy up to 70% of the JBFS in modern erosional exposures. Extensive areas of Late Paleozoic volcanic-plutonic associations in the Jungar-Balkhash region have long been identified as continental volcanic-plutonic belts (VPBs), and the JBFS itself is considered to be the active continental margin of a former paleocontinent in modern terminology (Figure 2).
The intense orogenic magmatism in the investigated region was accompanied by extensive hydrothermal metasomatic processes. The hydrothermal metasomatic formations with ore occurrences have served as the basis for studying, in addition to ore bodies, zones of near-ore metasomatites. Studies of hydrothermal metasomatic formations have led to an understanding of metasomatism as a process of rock replacement with alterations in chemical composition, wherein the dissolution of old minerals and deposition of new minerals occur almost simultaneously, such that the rock retains its solid state throughout the process [53]. This definition has formed the basis for all studies on metasomatism throughout the 20th century by F. Zandberger, G. Bischof, A. Dobrée, B. Kott, G. Schneiderhahn, A. V. Stelzner, V. Lindgren, D. S. Korzhinsky, V. Emmons, M. P. Rusakov, N. I. Nakovnik, G. L. Pospelov, H. Ramberg, J. B. Thompson, A. N. Zavaritsky, V. I. Smirnov, V. A. Zharikov, and many others [36,37,39,40,41,53,54,55,56], whose contributions have enriched the understanding of metasomatism with well-developed theoretical principles. Terms such as metasomatite, metasomatic zonation, metasomatic column, metasomatic complex, and metasomatic formation are widely used in geological practice.
A metasomatic formation is a paragenetic association of altered rocks and the bodies they compose, characterized by specific features of composition, structure, and relationships with the surrounding environment. We adhere to the definition of metasomatic formations provided in Table 1 [57].
The relationship between hydrothermal-metasomatic formations and ore bodies allows us to consider the process of ore formation as an inherent element of hydrothermal-metasomatic system activity [58]. We have retained the familiar term “secondary quartzites” which, based on mineral associations, correspond to the list of minerals typical for epithermal deposits in the Post-Soviet geological terminology [17].
The most important minerals for the investigated region are the argillitic, carbonate-chlorite, secondary quartzite, and propylitic formations. Among them, the most widely distributed formation is the secondary quartzites. This is clearly evident on the map of the distribution of secondary quartzite massifs in Kazakhstan, compiled by N. I. Nakovnik, in 1936 [37].
The discoveries by Rusakov of the world’s largest corundum deposit, Semiz-Bugy, and the porphyry copper-gold deposit, Konyrat, in 1927 and 1928, respectively, led to an increased focus on exploring porphyry copper ores in Central Kazakhstan and prompted a revision of secondary quartzites [33,39].
The mentioned discoveries, according to M. P. Rusakov, determined a wide geological exploration for copper-porphyry ores in Central Kazakhstan and a systematic revision of secondary quartzites, including their genesis, composition, and mineralization.
The most important research during this stage, which has been crucial for the theory of secondary quartzites, was the unequivocal recognition of the hypothesis of the genesis of secondary quartzites in connection with post-magmatic activity of extrusive volcanism and near-surface (subvolcanic) intrusions. Felsic and intermediate igneous rocks are the typical protolith for secondary quartzite formation. Alteration zones develop from the core to the outer regions of intrusive rocks and contain minerals such as corundum, andalusite, diaspore, alunite, kaolinite, pyrophyllite, and sericite. Secondary quartzites are typically associated with both non-metallic minerals and ore deposits, such as copper, polymetallic, and gold-silver deposits.
Interest in further research has been discouraged due to poor reconnaissance, no significant discoveries yet such as the Konyrat or Semiz-Bugy, and negative results on the ore content within secondary quartzite, obtained by the exploration geologist V. F. Bespalov and others [27,28,29,30,31,38,43,59,60,61].

2. Materials and Methods

Despite geologists’ waning interest in secondary quartzites, research on them was reactivated in the 1970s. During this period, employees of the Satbayev Institute of Geological Sciences, geologists from the Kazakh Institute of Mineral Resources, and geologists from production organizations as well as universities in Moscow and Leningrad actively joined the study of these metasomatites [24,25,32,34,35,62,63,64,65,66,67,68,69,70,71].
Depending on protoliths and solutions differing in composition and temperature, the secondary quartzites of the region formed in a wide range of depths. Therefore, the secondary quartzites of the JBFS are divided into two types: hypabyssal and near-surface.
In geological and structural terms, secondary quartzites are confined to vents and necks of complex and long-term development volcanic structures. These structures are mostly located within the northern segment of the huge continental Carboniferous-Permian Balkhash-Ile volcano-plutonic belt. The positioning of secondary quartzites within the volcanic structure indicates that the majority of them are found on the outskirts rather than in the central parts, or at the junctions where radial faults intersect with regional ones (Figure 3) [25,62,67,68,69,72,73,74,75,76]. In addition, metasomatic rocks are known to be localized in crushing zones (Konyrat-Borly) [22] or in tectonic faults (Jorga, Jakeduan, Kurpetai, Kishkene, Ulken-Tabakkalgan) [22,27,32]; the secondary quartzites in the Northern Balkhash segment are unevenly distributed [72,77,78,79].
During the execution of thematic and dissertation works, a whole series of typical secondary quartzite massifs was extensively studied. The series included the Besshoky (Figure 3), South Kyzylray of the Kyzylray Caldera Volcano-Tectonic Structure (Figure 3), Kyzylray (Figure 3), and Kargaly groups of secondary quartzite massifs (Figure 3) [62].
The alterations of the rocks are associated with both post-volcanic and post-plutonic hydrothermal and metasomatic activity. Post-volcanic activity played a key role in the propylitic alteration and pyritization. Post-plutonic hydrothermal activity is associated with quartz veins and stockwork, greisenization, and hematitization.
According to the mineral composition, the mass of altered rocks is subdivided into sericite, sericite-kaolinite, kaolinite, quartz-sericite-alunite, and monoquartzite varieties; they also represent the minerals andalusite, diaspore, and rarely, corundum.
Metasomatic rocks may be highly enriched in ore minerals and metallic elements, exceeding Clarke abundances by tend (in the case of Cu, Mo, Ag and Pb) or hundreds of times (in the case of Bi and Tl) [80,81].
The discovery of gold mineralization in metasomatism and hydrothermal alterations resulted in a new stage of interest. Between 1968 and 1973, the Agadyr Geological Exploration team, with geologists B. S. Zeylik and V. A. Efimenko, conducted two projects in Central Kazakhstan. The first project, called “Rapid reconnaissance for gold in the Shet ore region using a helicopter”, and the second project, named “Rapid reconnaissance for gold in the Sarysu-Tengiz and North-Balkhash using a helicopter”, resulted in the identification of gold with cutoff grades in approximately 80% of the secondary quartzite massifs in Central Kazakhstan [77,82,83]. Geologists Zhukov, P. K. and Seitmuratova, E. Y. compiled a map of gold occurrences in the Jungar-Balkhash folded system, which included approximately 2000 gold occurrences [44]. The data used for the map included information from B. S. Zeylik and V. A. Efimenko, as well as new data collected between 1973 and 2000 by the Geological Survey at 1:50,000 scale and the Theme Study “Geology and Metallogeny of the Balkhash Segment of the Earth’s Crust of Kazakhstan” [50]. The map shows that there are 684 sampling points with gold content ranging from 0.1 to 0.5 g/t, 773 points with gold content of 0.5 to 1 g/t, 577 points with gold content of 1.0 to 5 g/t, and 90 points with gold content over 5 g/t [10].
The foregoing led to the initiation of a grant project titled “Analysis of epithermal gold-silver occurrences in Jungar-Balkhash and identification of promising areas for the discovery of large deposits” (2012–2014) [45]. The outcome of the study involved the extensive investigation of 48 massifs of secondary quartzites subjected to metasomatism and hydrothermal alterations. The primary focus was on areas previously identified by B. S. Zeylik and V. A. Efimenko [82,83], where gold grades ranged from 1 to 5 g/t. An atomic absorption analysis confirmed the presence of gold in most of the quartzite massifs (Table 2).
Petrographic and mineralogical studies, along with newly obtained analytical data, have given validity to the hypothesis that the genetic type of deposit is epithermal. There are similarities between the gold occurrence structure in the Northern Balkhash and that of well-known epithermal gold deposits (Figure 4) [10].
The project was conducted between 2012 and 2014 and produced significant outcomes, which included identification of promising areas for exploration and recommendations for advanced exploration.
One of the promising areas for gold exploration is the Kyzyltas volcanic-plutonic structure (Figure 5) [48,62], where we conducted prospecting activities under a project in 2017–2020 to identify Au-Ag mineralization within epithermal deposits [48]. The area is an excellent location to search for gold mineralization that is influenced by metasomatism, owing to the presence of secondary quartzite massifs (in total nineteen). Lithogeochemical sampling conducted on an exposed rock surface was the primary exploration technique used due to the highly irregular distribution of gold within the rocks.
The Kyzyltass volcanic-plutonic structure is completely included in the West Tokrau tectonostratigraphic terrane of the JBFS (Figure 2) [10,49].
On the erosed surface, the Kyzyltass exposes Lower and Upper Carboniferous volcanic rocks, such as the Karkaraly (C1v2-s1), Kalmakemel (C1s2-b1), Keregetas (C1b1-C2m1), and Koskyzyl (C2m2-gž), as well as Early Permian volcanic and subvolcanic rocks, such as the Dostar (P11) and Shangylbai (P1-P2). In the south and north, there are small exposures of the Topar granodiorites (C21) and Torangylyk granosyenites (P21); in the center, there is a large plutonic of the Kyzylrai alaskite granites (P3-T1) (Figure 5).
The Kyzyltass gold-bearing volcanic-plutonic structure is a relict of the Upper Paleozoic dome with a diameter of 50–55 km, at the base of the cone [48,62].
The Kyzyltass is characterized by a periclinal fold of stratovolcanoes built up by a series of flows of rhyolite lavas and ignimbrites, as well as andesitic lavas and tuffs.
The Kyzyltass volcanic-plutonic structure is primarily made up of volcanic domes and vents formed by a combination of volcanic and tectonic activity [72]. The metallization in this area is usually polymetallic and may contain gold, silver, or both [84,85]. The entire complex of volcanic and sedimentary formations in the area is represented from bottom to top by the following stratigraphic subdivisions.
Devonian System. The volcanic rocks of the upper Devonian are the oldest formations within the studied territory. They are exposed and encountered in drilling wells for mapping purposes in relatively uplifted areas associated with deeply eroded cores of Paleozoic giant shield-like volcanic structures within the fold-thrust belt of the northwestern extent.
The Upper Devonian rocks are mainly represented by andesitic and andesite-dacitic tuffs and lavas. The thickness of the overall sequence is characterized by discontinuity along the strike. In some areas, it is predominantly composed of porphyrites, while in others, tuffs are almost exclusively present.
In addition to these, there are layers of light-gray, fine-grained dacitic tuffs with a crystal clastic structure, as well as individual lenses of cobble-pebble conglomerates and layers of grayish limestone.
The Carboniferous section in the studied area begins with the Karkaraly formation (C1v2-s1), mainly consisting of fine- and thin-bedded tuffs of rhyolitic, andesite-dacitic, less frequently dacitic or andesite-basaltic composition.
Alongside medium-to-fine-grained tuffs of the same composition, there are also agglomeratic and coarse-to-medium-grained tuffs of intermediate composition, as well as isolated flows of automagmatic andesitic porphyrite breccias.
Kalmakemel formation (C1s2-C2b1). The thick deposits of the Kalmakemel formation (up to 550 m) are represented by andesitic porphyrites and andesitic tuffs overlain by a tuffaceous-sedimentary sequence. The latter consists of interbedded conglomerates, coarse-, medium-, and fine-grained sandstones, and tuffaceous sandstones, aleurolites, and tuffaceous aleurolites, containing poorly preserved remains of fossil flora.
The section of the Kalmakemel formation is capped by andesitic porphyrites, among which andesitic automagmatic breccias are noted. These breccias contain angular clasts of the same porphyrites, ranging in size up to the first centimeters, within the binding lava mass of andesitic composition.
Keregetas formation (C2b2-m1) is mainly composed of lavas and coarse-to-medium-grained acidic tuffs, such as dacitic and rhyolitic ignimbrites. The volcanics form inclined flows and covers, dissected to create a cuestal relief with steep escarpments facing the Karatal granite massif and gentle slopes descending away from it.
Less common volcanic rocks include gray-colored basoquartz rhyolitic porphyries characterized by fine-fluidal and microspherulitic textures.
In various locations within the studied area, conglomerates consisting of rounded and semi-rounded pebbles and cobbles of ignimbrites are described.
Koskyzyl (Sulushoky) formation (C2m2-gž). In the middle and upper parts of the combined section, coarse-to-medium-grained rhyolitic ignimbrites and light grayish and pinkish-gray rhyolitic tuffs dominate, exhibiting crystal clastic and crystal-vitroclastic structures. With a pronounced prevalence of crystal clasts, the tuffs acquire an intrusive appearance and closely resemble medium-to-fine-grained granites.
Tuff conglomerates, tuffaceous sandstones, and tuffaceous aleurolites occur as lenses primarily in the lower part of the section of the Koskyzyl formation. They are characterized by overall lilac color tones. Pebbles and cobbles in the tuff conglomerate, with diameters up to 15–25 cm, consist of dacitic, rhyodacitic, and rhyolitic porphyries, as well as andesitic porphyrites and other rocks. The matrix is composed of tuffites.
Permian System. The Permian system section begins with deposits of the Dostar formation (P1a-ar1ds), which occupy a large area in the northeastern part of the studied territory. Volcanic formations of this age cover a much smaller area in the southern part of the studied territory. The total thickness of the Dostar formation within the studied volcanic-plutonic structure reaches 1500 m.
Among the volcanics of the considered formation, medium-grained andesitic tuffs are the most widespread, while andesitic tuffs and trachyandesitic porphyrites have subordinate significance.
Tuff conglomerates (lahar deposits) and tuffaceous sandstones occupy very small areas within the Dostar formation.
Shangelbay formation (P1ar2-P2rd) is represented by rhyolitic and rhyodacitic porphyries, as well as ignimbrites, which are widely distributed over a large area. Their most complete development is observed in the territory located to the south and southwest of the Kyzyltass granite massif.
Macroscopically, ignimbrites appear as dark brown, gray with a greenish tinge, light gray, light pink, light yellow, and occasionally, light lilac rocks of dense composition. Their characteristic feature is the presence of numerous brown, greenish-brown, reddish-brown, or gray-brown fiamme, which create a taxitic texture of the rock. The length of the fiamme reaches 6–8 cm in some cases, with a thickness of 1–2 cm.
The main (binding) mass of ignimbrites consists of a thin recrystallized pyroclastic material with a microfelzitic texture.
Additionally, within the formation’s section, individual layers of the following have been identified: agglomeratic tuffs (lahar breccias) of purple-gray color; tuff conglomerates with unsorted clasts of various compositions; light gray, gray thinly layered tuffaceous sandstones with numerous Liesegang rings of brown and dark cherry color, creating an impression of false bedding. The tuffaceous sandstones have undergone intense processes of secondary quartzification.

3. The Formations of the Kyzyltass Volcanic-Plutonic Structure Caused by Hydrothermal-Metasomatic Processes

The investigation of metasomatic rocks as potential sources of high-alumina materials was initiated in the 1930s by several scholars, including A. S. Osipov (1936), P. S. Markov (1937, 1938, and 1940), N. P. Petrov (1935 and 1940), and V. F. Bespalov (1953–1959). Subsequently, N. I. Nakovnik (1961) and D. K. Khairutdinov (1960) continued the research. They identified high-alumina facies of secondary quartzites in thirteen massifs, such as a substantial occurrence of alunite (Aktogay) and andalusite (Kosshoky).
According to the formation conditions, the metasomatites of the Kyzyltass volcanic-plutonic structure are divided into three main groups: (1) high-temperature formations, greisens confined to Permian alaskite granites of the Akshatau and Kyzylrai complexes; (2) medium-temperature formations, propylites developing on the Upper Paleozoic volcanic rocks of predominantly intermediate composition; (3) medium-low temperature formations, secondary quartzites formed as a result of fumarole-solfatara activity within the volcanic structures of the Carboniferous and Permian epochs. The genesis of these rocks is linked to volcanic activities characterized by fumaroles and solfataras, and typically not associated with the central parts of volcanic cones. Instead, they are commonly found in smaller necks and endogenous domes that accompany larger volcanoes [18,24,62,63,67,72,73,84,85,86,87,88].
In addition to extrusion, rocks of secondary quartzites are formed in fumarole-solfatara zones along faults and above subvolcanic intrusions [67].
The secondary quartzites of the Kyzyltass include monoquartzites, sericite, alunite, andalusite, diaspore, kaolinite, hematite, and pyrite.
Monoquartzite (>90% altered quartz) and sericitic quartzite (>70% quartz and 10%–30% sericite) are the predominant types of secondary quartzites. In the area under study, they are present in all massifs of secondary quartzites. Rocks of this type often compose the tops and crests of altered massive rocks where their central parts are, but in some cases, such as in Toreshoky and Gorbovsky (Baikondy-Kyzyl), they are composed of lower peripheral parts.
Except for breccias, they are dense, with primary structures and textures disappearing; they are off-white, gray, or light gray, sometimes in various shades of brown with iron hydroxides. The most typical textures of monoquartzite are cryptocrystalline and granoblastic; sometimes the rock consists of anhedral quartz aggregates. The most common trace minerals in monoquartzites are hematite, pyrite, zircon, and rutile.
Sericite facies can be found in most of the secondary quartzite massifs. Sericite quartzites typically compose the slopes and foothills of the massifs, and in the Toreshoky massif, they compose the top of a high hill. These rocks are usually light-colored, porous, and relatively soft. Iron hydroxides can fill the cracks and pores in the rocks, giving them a brownish appearance. When exposed to the surface, kaolinite is formed in the cracks of the sericite quartzites (Figure 6A,B) [48].
The texture of the rocks under a microscope is granolepidoblastic. In brecciated varieties, sericite is often redeposited along fissures together with hematite and iron hydroxides. The typical Liesegang rings often develop in sericitic quartzites. The most common impurities are opal, alunite, and sometimes pyrophyllite; magnetite, hematite, and pyrite are the most typical ore minerals.
Alunite facies is widespread and presented in significant quantities in the Adylbay, Ainabulak, Aktogay, Labyrinth, Zhalpakkaiyn, Oidai, and Eli altered massifs. The content of alunite in the rocks often reaches 15%–30% (according to chemical analyses) and sometimes exceeds 50% (according to thin sections).
The colors of alunite quartzites are pink, reddish-brown (with an admixture of hematite and iron hydroxides), gray, or off-white with a pinkish tint. The texture of the rocks varies widely. Alunite inclusions range in size from microscopic to 2–5 mm (Figure 7A,B) [48].
Andalusite facies is common in the Birlestik, Gorbovsky, Kosshoky, and Oidai quartzose massifs. In appearance, they are white or light gray, dense, sometimes sugar-like rocks, and sometimes colored with iron hydroxides. In some cases, there is a relict magmatic texture.
Diaspore facies is not very abundant, but within it, the most common type of diaspore found in secondary quartzites is alunite-diaspore. These rocks have a distinct crystalline grain size that can be observed with the naked eye. When diaspore makes up a significant portion of the sample (10%–20%), the rock takes on a marble-like appearance and does not typically retain many features from its original formation.
Corundum facies is found in trace amounts in the Birlestik, Kossoran, Kyra, and Korund massifs (Table 1) [37,84,89]. The strongest halo of corundum is associated with the Kyra massif.
Kaolinite facies is widespread and covers a low relief. The rocks in this facies are often deeply stained with iron hydroxides, but there are instances where they appear bright white and consist almost entirely of kaolinite. In quartzites of this facies, the original texture of the primary rock is almost always visible to the naked eye.
Hematite secondary quartzite is present in nearly all massifs and is easily distinguished from other varieties in the field due to its brown or dark brown color. Usually, these are porous rocks with a large amount of scaly hematite and reniform goethite developing over them. In addition to scales, hematite also forms as intergrowths of acicular crystals up to 1 mm in length. Rocks of quartz-hematite composition are distinguished by a large specific gravity. Sometimes they clearly show relict turbulent flows of siliceous lavas. Alunite veinlets along cracks are observed in hematite quartzite.
Zunyite, one of the secondary minerals, is extremely characteristic of secondary quartzite formation and is present in minor quantities as dissemination. Chalcedony and opal are common admixtures found in the rocks of most of the massifs under study, filling leaching cavities and appearing as veinlets. Occasionally, tourmaline occurs as radial aggregates up to 2 cm in size (Table 1) [18,27,37,48,59,61,90]. Secondary quartzites contain ores such as gold, hematite, goethite, pyrite, lead, copper, and molybdenum sulfides. Rutile and ilmenite crystals are often observed as impurities; the latter is sometimes altered as leucoxene. The most prevalent supergene minerals formed in secondary quartzites as thin veinlets along microcracks are iron hydroxides, jarosite, kaolinite, and hydromica; sometimes, lead and molybdenum ochers and copper carbonate impurities are observed.
Propylites formed in areas of relatively high tectonic mobility occur as regional alterations. Post-volcanic hydrothermal fluids caused relatively weak chlorite-epidote-albite alteration with pyrite, which is a characteristic feature of felsic and intermediate volcanic rocks (Figure 8A,B) [48].
Andesine, along with epidote and albite, can lead to the formation of chlorite and calcite aggregates. These minerals can develop into cryptocrystalline aggregates or saussurites in volcanic rocks. These alterations in the aggregates signify the initial stage of propylitization, which is common to all rocks.
The propylitic alteration represents prehnitization, silicification, pyritization, hematitization, and deposition along cracks of epidote, calcite, and iron–manganese hydroxides.
Pyritization develops as a fine dissemination of pyrite crystals up to 1 mm in size throughout the rock, usually with a cubic shape; pentagon-dodecahedral grains are only found in thin sections in rare cases (Figure 7B) [48]. When pyrite undergoes oxidation, iron hydroxide pseudomorphs are produced, leaving behind leaching voids upon their removal. Microcracks sometimes contain pyrite crystals. Rocks with a significant pyrite content may contain gold, copper, and polymetals, as detected by spectral analysis.
One of the most common overprinted processes in the volcanic rocks under review is epidotization and ferrugination along cracks, forming adhesion and veinlets up to 1 mm thick. Furthermore, manganese hydroxides are often found as dendrites on thin-bedded planes of ash tuffs.
Another macroscopically alteration observed in propylites is rock bleaching. Bleaching occurs due to the albitization of the main rock-forming mineral in tuffs, plagioclase, represented mostly by andesine.
The Akgirek ore occurrence is confined to the secondary quartzite massif of the same name, which is located in the southwestern sector of the Kyzyltas volcano-plutonic structure (Figure 5) [48,62].
The area is made up of various tuffs, autobreccias, less often lavas of andesite, andesite-dacitic and dacite-rhyolite composition (Figure 9) [30,50,53].
On the massif’s northwestern flank, dark gray and greenish-gray trachyandesitic, basaltic andesite, andesitic porphyrites, crystal tuffs, and ignimbrites with submeridional strike have evolved. There are sills of quartz-bearing diorite porphyrites, granosyenite porphyries, and small extrusions of rhyodacitic porphyries.
The southwestern part of the massif is predominantly composed of gray automagmatic breccias of andesitic porphyrites, plagioporphyrites, and andesidacite crystal tuffs of the Kalmakemel (C1s2-b1) formation. A monotonous series of gray lithocrystal tuffs and automagmatic breccias of quartz-bearing andesitic porphyrites are exposed on the eastern and southeastern flanks. All rocks underwent propylitization, resulting in the formation of secondary minerals such as sericite, epidote, and quartz, as well as chlorite and carbonate on the southwesterly flank.
A weakly exposed intrusive of hybrid granodiorite-granosyenite composition is found in the northern part of the Akgirek massif. It has numerous apophyses that cut through all the rocks, including secondary quartzite bodies. Granosyenite bodies are mostly restricted to faults. It is difficult to determine the age of these granitoids since there is no relationship with younger rocks than the early Late Carboniferous in the area. The complex tectonic structure of the Akgirek massif is attributed to its placement at the intersection of ring and radial faults within the Kyzyltass volcano-plutonic structure.
In most of the massif, andesitic and dacitic lavas and agglomerate tuffs underwent hydrothermal-metasomatic alteration; in the southern and northeastern parts of the massif, tuffs with a more acidic, apparently dacite-rhyolitic composition, were subjected to the alteration. In the east and southeast, secondary quartzites have tectonic contacts with a sequence of coarse clastic andesitic litho-crystal tuffs. In the southwest, they sharply change into propylitized automagmatic andesitic breccias and their tuffs, while in the northwest and west, the rock alteration gradually weakens toward the periphery.
An area of rocks hydrothermally and metasomatically altered has a lenticular shape in plan, arcuately curving from the north to the southeast and further to the southwest, with its convex side facing the southeast (Figure 10) [18,45,46,48]. It is limited to the same strike’s linear stockwork-type fracture zone. In the center of this arc in the zone of maximum extension, a bulge up to 2 km was formed with a total length of the deposit of about 6 km. The distribution of mineral facies in secondary quartzites and dikes also emphasizes this form. The post-secondary quartzite tectonics is very widespread and partially inherits the disjunctives of an older origin, which divided the massif into a series of blocks with relatively small displacement amplitudes.
Between 1991 and 2000, the Satbayev Institute of Geosciences’ West-Balkhash team (E. Y. Seitmuratova, G. F. Lyapichev, and P. K. Zhukov) conducted additional site exploration in scale 1:200,000 on the plots L-43-III, -IV, -IX, -X [44].
During the field seasons of 2012–2013, detailed geological work was conducted at the Akgirek massif gold deposit. The aerocosmogeological map was revised, the area of hydrothermal-metasomatic-altered rocks was refined, and lithochemical sampling of the host rocks was conducted along profiles with a grid of 100 × 100 m. Samples were collected for spectral analysis, atomic absorption analysis for gold, as well as for thin section preparation to study the mineral composition.
Molybdenum halos are scarce, whereas there are noticeable halos of lead, bismuth, and silver. Certain locations have elevated lead and bismuth concentrations in addition to elevated copper concentrations, highlighting that galenobismutite (PbBi2S4) and aikinite (PbCuBiS3) are already present as minerals. Galena, according to Bock [91], is one of the most effective hypogene solvents for gold, which is then easily separated by electrolysis from solutions of lead compounds.
The Akgirek massif deposit within the Kyzyltass ore field has been extensively studied from the surface during previous stages of exploration. Therefore, the main objective of the described stage (2017–2020) [48] was to verify gold mineralization at depth. For this purpose, six boreholes were drilled at the deposit, each reaching a depth of 250 m. All the boreholes were drilled at the center of geochemical anomalies identified through a geochemical survey at a scale of 1:10,000, in 2013 [45,46]. Additionally, two boreholes were drilled at the promising Birlestik massif gold occurrence.

4. Results and Discussion

The drill core documentation of drilled wells, built on these data lithological columns, show intensive manifestation in the area of hydrothermal-metasomatic processes, brecciation, fracturing, and crushing.
Wide development of brecciation, fracturing, and schistosity is a favorable factor for evaluating the ore-bearing capacity, as the long-term world practice of gold deposit studies have shown that the most characteristic manifestation forms of ore-hosting fractures are zones of brecciation, fracturing, and schistosity. The core documentation reveals formation of eruptive and explosive breccias in the area, which are often associated with ore deposits [2,3,6,7,11,12,15,19,20,21,33,37,39,92]. These breccias consist of heterogeneous fragments that are formed by multiple volcanic and hydrothermal formations, as observed in the Akgirek and Birlestik sites (Figure 10, Figure 11 and Figure 12) [48].
The site is characterized by extremely intensive occurrence of hydrothermal metasomatic processes. Among the most widely manifested rock metasomatic changes observed in all wells, except for Well 5, are kaolinitization (Kl), silicification (Q), chloritization (Cl), sericitization (Sr), and pyritization (Py). In addition, extremely irregularly manifested are carbonatization (Ca), epidotization (Ep), alunitization (Al), and adularization (Ad). If the first five noted metasomatic rock types are documented in all drilled wells, the remaining Ca, Ep, Sr, and Al metasomatic changes are noted only sporadically.
By examining the lithologic and metasomatite columns compiled from all drilled wells in the Akgirek and Birlestik massifs (Figure 13) [50], it is possible to trace the hydrothermal-metasomatic alterations to deeper depths. The wells’ sections demonstrate that the main processes of hydrothermal-metasomatic alteration found at greater depths are kaolinization, silicification, and pyritization (Table 3, Figure 13). Other metasomatic alterations such as chloritization, carbonatization, epidotization, sericitization, and alunitization are only observed locally. Thus, while all types of metasomatites are observed in Well 6, epidotization and alunitization are absent in Well 4; carbonatization, epidotization, and alunitization are not revealed in Wells 1 and 7; absent in Well 2 are only carbonatization and epidotization.
Located southwest of the ore occurrence at the Akgirek sites, Well 1 exhibits a noticeable level of metasomatism, with carbonatization being the dominant process throughout its depth. Chloritization is also present except for some intervals, and adularia is locally found within the well. The observed secondary quartzite facies and their textural features enable the classification of the Akgirek ore occurrence as belonging to the epithermal gold-silver type [55,91,93].
Pyritization is particularly significant among the discussed metasomatic processes since it has been associated with the concentration of fine-dispersed nugget or electrum in such deposits (Figure 14) [86,91].
The ICP-MS method revealed significant high gold grades ranging from 2.1 g/t to 85.7 g/t in twelve samples from Wells 2 and 4 (Akgirek massif), as well as trace elements such as copper, molybdenum, silver, bismuth, antimony, lead, tellurium, selenium, strontium, and zinc.
Pyritization has received particular attention since fine-dispersed gold content was found in pyrite separates. The ore-bearing pyrite has also been proven by petrography and mineralogy, for instance, the polished section 166 from Well 2, interval 166.0–166.2 m (Figure 15A,B) [48].
The polished section shows that the rock is fractured, with numerous leaching voids. Pyrite constitutes approximately 15% of the polished section area, accompanied by a small amount of chalcopyrite, sphalerite, and a single grain of native gold. Sporadic dissemination of microscopic pyrite grains less than 0.007 mm in size is additionally observed over the entire area of the polished section. In the leaching void, a grain of native gold was found, 0.007 × 0.02 mm in size and straw-yellow in color.
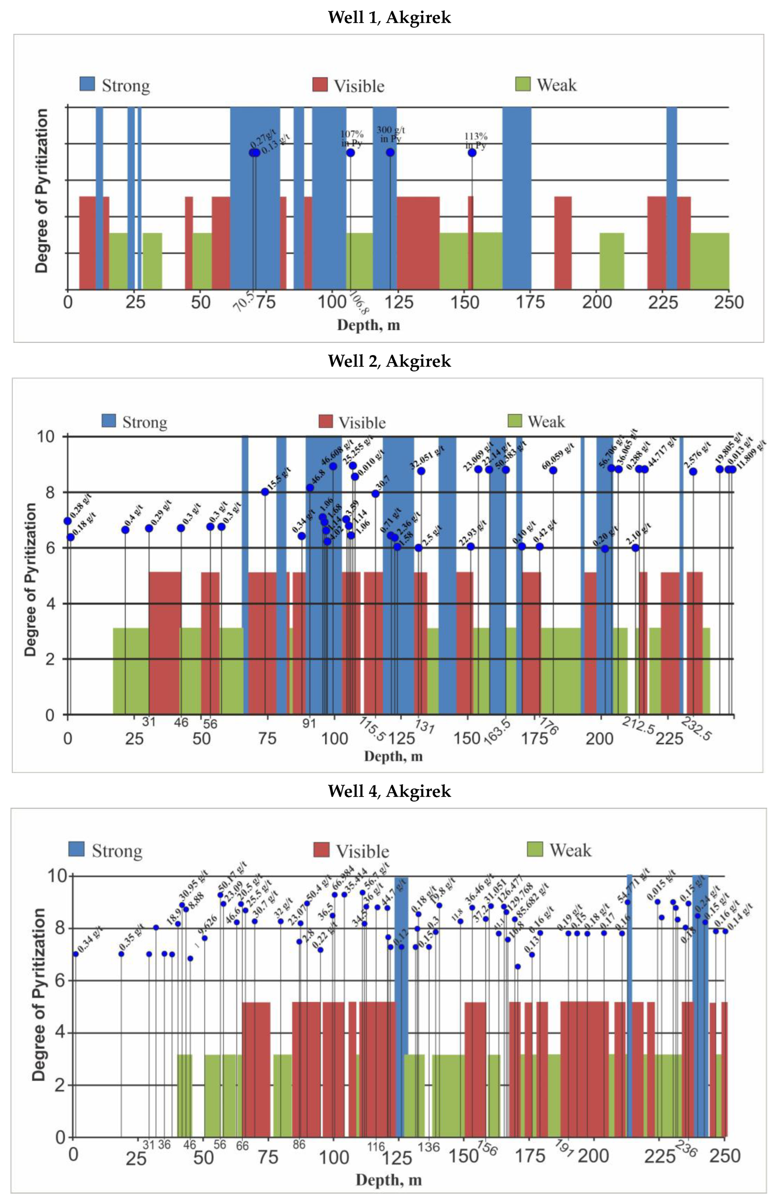
In light of the discovery of gold in pyrite, it was important to determine the scale of pyritization, the degree of its intensity, and its correlation with other metasomatic formations. Therefore, during the core documentation, pyritization was differentiated based on its manifestation: weak (3%–5%), visible (10%–15%), and strong (25%–30%). Pyritization is observed in all wells, i.e., Wells 1, 2, 4, 5, 6, 7, although the distribution intensity is uneven. This is clearly demonstrated in the histograms of noticeable and intense pyritization manifestations in the Akgirek and Birlestik massif ore-bearing wells (Figure 16, Figure 17 and Figure 18) [48], as well as in the metasomatite columns, which show levels of intense pyritization (Figure 13). On these columns, except for Well 5, a clear correlation between intense pyritization and kaolinitization can be observed. In Well 5, however, it is associated with zones of carbonatization (Figure 13) [48].
The gold content of pyrite dictated the need to test this paragenesis as a local search criterion. It seemed natural to reveal the connection of gold with pyrite, first of all, in the zones of pyritization. This assumption can be analyzed by careful consideration of the lithologic columns of wells, columns of metasomatites (Figure 13), and histograms of pyritization (Figure 16, Figure 17 and Figure 18) [48].
Unfortunately, all the mentioned documents do not indicate a clear correlation between gold content and pyritization; therefore, sampling for gold content estimation cannot be limited to pyritization zones only. Significant gold grades fall into zones of varying degrees of pyritization. It is important that areas with significant gold grades are always characterized by pyritization in varying degrees.
The study of gold-bearing secondary quartzites from the Akgirek and Birlestik massifs focuses on the composition and texture of gold. Gold grains were extracted from specific gravity fractions of rock samples from various wells to conduct the aurometric study. Numerous anhedral gold inclusions in quartz are 20–150 microns in size under a microscope.
Using a JEOL Superprobe 733, an X-ray microspectral analysis was used to quantify the native gold’s composition in percent. The gold grains were analyzed and imaged in backscattered electrons using an INCA Energy Dispersive Spectrometer. From Wells 2, 4, 5, and 6 (Akgirek), and Wells B1 and B2 (Birlestik), eighteen determinations were performed, twelve of them for gold and seven for other ores (Figure 17 and Figure 18).
Well 2 of the Akgirek massif revealed that the percentage of gold was lower at shallower intervals up to 100 m than at deeper intervals, which is compatible with Petrovskaya’s classification of gold fineness [94]. Except for sample 112, Well 2, where tellurium was found at 3.91%, all of the gold grains under study contained trace elements such as copper and silver (Figure 19). The associated ore minerals were chalcopyrite, sphalerite, and galena.
Since trace elements are sensitive indicators, geochemical surveys play a key role in the complex methods used to estimate gold in the Kyzyltass volcanic-plutonic structure.
The geochemistry of the Akgirek massif has been detailed in many previous projects [45,48]. Local complex halos of the primary ore-forming elements, Au, Ag, and accompanying Cu, Pb, Sb, and less frequently As, are another characteristic of the Akgirek massif.
An important addition to the previous materials during these works was information on the distribution of elements, i.e., satellites of gold in drilled Wells 2, 4, 5, 6, and 7 (Table 4) [48]. According to Table 4, the intensive concentration of ore companion elements of gold in exploration wells is uneven. The lowest concentration intensity is noted for Cu and Zn.
Research into ore-bearing metasomatic rocks at JBFS during the previous fifteen years has revealed information that points to the occurrences of gold in secondary quartzites. Findings from studies on the secondary quartzites of the Akgirek massif (2017–2020) can be a great premise for gold miners.
Based on results of the new study stage of the Akgirek massif gold occurrence, we performed a preliminary calculation of inferred resources using the well-known formula [95]: P1 = Cavg ρ V, where Cavg is an average content of useful component in known ore bodies, ρ is density of ore body, and V is volume of ore body. The inferred resources for gold are 550.67 t, and for silver, they amount to 7151.12 t. These findings strongly endorse the need for additional exploration surveys. Consequently, the Akgirek massif ore occurrence can be reclassified as a deposit and considered for development.

5. Conclusions

The research described in this article focuses on the investigation of secondary quartzites and their gold content, which is a highly promising type of gold-silver deposit. The significance of this study lies in the fact that the majority of gold mineralization in the JBFS is found within secondary quartzites, making it a subject of extensive research over the years.
To identify targets for further examination, we analyzed data from previous studies, including mineral deposit catalogs and gold occurrence catalogs compiled during recent regional research projects. This approach led to the selection and re-evaluation of 48 additional epithermal gold-silver mineralization sites associated with secondary quartzites.
The considerable potential of epithermal Au-Ag mineralization in the JBFS can be justified by several significant factors. One of the main factors is the identification of numerous geological similarities between gold-silver occurrences in the JBFS and the world’s largest known deposits of this type (Figure 5). Another important factor is the reliable distinction of continental volcano-plutonic belts, which serve as the primary ore-bearing structures in the region. Additionally, the presence of numerous volcanic, volcano-tectonic, and volcano-plutonic structures further supports the localization of ore deposits in the area. The identification of geochemical anomalies associated with pathfinder elements of Au-Ag mineralization and the extensive development of secondary quartzites (metasomatites), which are characteristic of major epithermal Au-Ag deposits worldwide, further contribute to the potential of the JBFS. Considering these factors, there is a strong basis to predict the discovery of significant Au-Ag deposits within the volcano-plutonic belts of the Jungar-Balkhash folded system, particularly following the identification of Achi (estimated at 56 t) and Koershenkol deposits in the southeastern parts of these volcano-plutonic belts, which extend into the territory of China (estimated at 170 t). These findings provide robust justification for the potential existence of large-scale Au-Ag deposits within the region (Figure 20) [23].
One of the important parts of the implemented works is the gold content study of epithermal gold ore and gold-silver occurrences proper, as well as the volcanogenic polymetallic and copper-porphyry deposits and mineralization points, single samples of which show significant gold content. Among these sites are Sokurkoi, Gulshad, and the ore manifestations of Akgirek, Birksi, Karateke, Western Karateke, Small and Big Karabas, and Adylbai. All of them were identified and studied in the 1950s–1960s, when the gold-ore aspect of the Northern Balkhash region was not considered. It should be noted that the multicomponent profile of many mineralization points of the Jongar-Balkhash region requires its own independent study.
We believe that such objects may turn out to be self-contained gold occurrences, suitable for industrial mining. It is suffice to recall the history of identifying the gold deposit Mystobe (8 t Au), which was recorded in the mineral catalogues of the JBFS as a point of copper mineralization.
Undoubtedly, positive results include specification and confirmation of a number of ore-controlling factors for this type of mineralization, which can be safely recommended as search criteria for the region.
The geological and geophysical, petrographic and mineralogical, and geochemical analyses of the new materials we obtained make it possible to attribute them to epithermal gold-silver ore occurrences based on various types of breccias cutting lithological contacts, secondary quartzites formed in multiple stages, a diversity of relict textures, intermittent occurrences of mineral facies, replacement texture, and weathering of earlier minerals by later veinlets generated during distinct time periods [41].
Despite drilling in two areas of the Kyzyltass volcanic-plutonic belt, i.e., Akgirek and Birlestik massifs, showing ore mineralization at depth, for the final assertion that JBFS is a gold-bearing province, there is a need to carry out additional volcanics exploration work. The practice of prospecting for epithermal gold-silver deposits over the last decades has shown that they exhibit enormous variability in both composition and size. This is because gold mineralization has an extremely uneven distribution. In the system, along with large deposits, a series of smaller deposits have also been discovered, which, in many countries, are nevertheless profitably mined using new technologies for extracting non-free gold [35,39,50,96].
One of the most prominent examples of such deposits is the Round Mountain deposit located in the Tertiary volcanic rocks of the southwestern United States. With an average gold content of 0.9 g/t in the ores, it is successfully mined using open-pit methods with heap leaching for gold extraction. The annual production of the mine is approximately 12 million t of ore, and the total reserves, with an average gold content of 1.2 g/t, exceed 300 t (Figure 21) [16].
The practical significance of this study is compelling, as it demonstrates the concentration of gold in secondary quartzites not only on the surface but also at depth. Consequently, we recommend the studied object as a promising site for further exploration.

Author Contributions

Conceptualization, E.Y.S.; software, R.T.B. and M.A.M.; formal analysis, R.T.B. and D.O.D.; investigation, V.S.G. and F.F.S.; resources, E.Y.S., R.T.B., D.O.D., Y.K.A., N.S.S., A.D. and T.K.K.; writing—original draft preparation, E.Y.S. and V.S.G.; writing—review and editing, E.Y.S.; supervision, E.Y.S.; project administration, E.Y.S. All authors have read and agreed to the published version of the manuscript.

Funding

This research was funded by “Science Fund” JSC of the Ministry of Education and Science of the Republic of Kazakhstan, No. 0110-17-GC “Comprehensive Prospecting Techniques for Identifying Promising Areas of Epithermal Gold-Silver Mineralization in the Kyzyltas Volcanic-Plutonic Structure” and AP09259958 “Identification of prospective areas of large-volume epithermal gold-silver de-posits of lean ores in the volcano-plutonic belts of Kazakhstan”.

Data Availability Statement

The data presented in this study are available on request from the corresponding author.

Conflicts of Interest

The authors declare no conflict of interest.

References

  1. Rafailovich, M.S. Gold of the Bowels of Kazakhstan: Geology, Metallogeny, Predictive and Search Models; Book Print: Almaty, Kazakhstan, 2009; 304p. [Google Scholar]
  2. Konstantinov, M.M. Gold and Silver Mineralization of the Volcanogenic Belts of the World; Nedra: Moscow, Russia, 1984; 138p. [Google Scholar]
  3. Konstantinov, M.M. Metallogeny of Volcanic-Plutonic Belts of the Pacific Ring. In Pacific Ore Belt. Materials of New Research; Dal’nauka: Vladivostok, Russia, 2008; pp. 106–120. [Google Scholar]
  4. Narseev, V.A.; Shashkin, V.M. Strategic Direction for Development of Precious Metals Mining (Problem of Large-Volume Deposits). Geo. Okhr. Nedr 2012, 1, 2–5. [Google Scholar]
  5. Karaganova, V.V.; Uzhkenova, B.S. (Eds.) Heap Leaching of Gold—Foreign Experience and Development Prospects; Book Print: Almaty, Kazakhstan, 2002; 87p. [Google Scholar]
  6. Nekrasov, E.M. Foreign Endogenous Gold Deposits; Nedra: Moscow, Russia, 1988; 286p. [Google Scholar]
  7. Rafailovich, M.S. Epithermal gold deposits of Kazakhstan. Geol. Razved. Nedr Kaz. 1997, 5–6, 12–18. [Google Scholar]
  8. Savva, N.E.; Plyashkevich, A.A.; Petrov, S.F. Gold-silver and silver deposits of the marginal-continental volcanic belts of the North-East Russia. Otechestv. Geol. 1997, 12, 6–14. [Google Scholar]
  9. Saidasheva, F.F. Epithermal Gold-Silver Mineralization of the Akshatau-Konyrat Ore Region; Candidate of Geol.-Min. Sciences; KazNTU: Almaty, Kazakhstan, 2010. [Google Scholar]
  10. Seitmuratova, E.Y. Gold content of the Late Paleozoic volcanic-plutonic belts of the Jungar-Balkhash province. Geol. Razved. Nedr Kaz. 1998, 2, 13–24. [Google Scholar]
  11. Struzhkov, S.F.; Konstantinov, M.M. Metallogeny of Gold and Silver in the Okhotsk-Chukotka Volcanogenic Belt; Nauchnyy Mir: Moscow, Russia, 2005; 320p. [Google Scholar]
  12. Shilo, N.A. Volcanic belts and their gold-silver mineralization. Smirnovsky collection-1997. In Main Problems of Ore Formation and Metallogeny; Fond Akademika Smirnova: Moscow, Russia, 1997; pp. 38–74. [Google Scholar]
  13. Goncharov, V.I.; Buryak, V.A.; Goryachev, N.A. Large-volume deposits of gold and silver of volcanogenic belts. Russ. Acad. Sci. 2002, 387, 678–680. [Google Scholar]
  14. Kravtsova, R.G. Geochemical zonality and features of the distribution of the main elements-indicators of gold-silver-bearing hydrothermal systems. Geokhimiya 1997, 2, 202–210. [Google Scholar]
  15. Sher, S.D. Metallogeny of Gold (Asia, South America); Nedra: Moscow, Russia, 1974; 215p. [Google Scholar]
  16. Hedenguist, J.W. Epithermal Gold Deposits: Styles, Characteristics, and Exploration. SEG Newsl. 1995, 23, 9–13. [Google Scholar] [CrossRef]
  17. Hedenquist, J.W.; Antonio, A. Exploration Implications of Multiple Formation Environments of Advanced Argillic Minerals. Econ. Geol. 2022, 117, 609–643. [Google Scholar] [CrossRef]
  18. Vinkovetsky, Y.A. Geological Conditions of Ore Formation by Secondary Quartzites of the Aktogay Region: Central Kazakhstan; Candidate of Geol.-Min. Sciences; Russian Scientific Research Institute of Geology: St. Petersburg, Russia, 1968. [Google Scholar]
  19. Grebenchikov, A.M.; Diarov, A.B. Gold-adularia-quartz formation. In Dome-Block Structures and Metallogeny of Gold in Kazakhstan; Kazakh Scientific Institute of Mineral Resources: Almaty, Kazakhstan, 1982; pp. 149–165. [Google Scholar]
  20. Diarov, A.B. On the manifestation of a new gold formation in Central Kazakhstan. Izv. Kazakh SSR 1966, 6, 68–70. [Google Scholar]
  21. Diarov, A.B. Near-Surface Gold Mineralization of Kazakhstan; Doctor of Sciences; Satbayev Institute of Geosciences: Almaty, Kazakhstan, 1997. [Google Scholar]
  22. Seitmuratova, E.Y.; Rafailovich, M.S.; Diarov, A.V.; Saidasheva, F.F. To the search for large-volume gold-silver deposits in Kazakhstan. Geo. Okhr. Nedr 2007, 4, 17–27. [Google Scholar]
  23. Seitmuratova, E.Y.; Saydasheva, F.F. Epithermal Gold Deposits of the World and Kazakhstan; Satbayev Institute of Geosciences: Almaty, Kazakhstan, 2015; 238p. [Google Scholar]
  24. Azbel, K.A.; Borukaeva, M.R.; Lyapichev, G.F. Nature, Tectonic-Magmatic and Mineralogical Features of the Evolution of Marginal Volcanic Belts; Nedra: Moscow, Russia, 1973; pp. 101–115. [Google Scholar]
  25. Alekseeva, L.K. Secondary Quartzites of the Northern Balkhash Region and Their Ore Potential; Doctor of Sciences; Satbayev Institute of Geosciences: Almaty, Kazakhstan, 1968. [Google Scholar]
  26. Bekzhanov, G.R. Volcanic Belts of Kazakhstan and Their Ore Content. Geol. Razved. Nedr Kaz 1994, 1, 4–10. [Google Scholar]
  27. Bespalov, V.F. Geology, areas of development of hydrothermally altered rocks of Central Kazakhstan. In Geological Outline of the Northern Balkhash Region; Report; Kazakh Research Institute of Minerals: Almaty, Kazakhstan, 1958; p. 203. [Google Scholar]
  28. Bespalov, V.F. Jungar-Balkhash Hercynian geological province. Probl. Geol. Asia 1954, 4, 129–154. [Google Scholar]
  29. Bespalov, V.F. Study of Fields of Hydrothermally Altered Rocks of the Northern Balkhash Region; CentKazGeolAdmin: Karagandy, Kazakhstan, 1954; 95p. [Google Scholar]
  30. Bespalov, V.F. Problems of Metal Mineralization in Connection with Secondary Quartzites of Central Kazakhstan; Exploration project; Kazgeolupravlenie: Almaty, Kazakhstan, 1953; 43p. [Google Scholar]
  31. Bespalov, V.F.; Borzov, R.P. Hydrothermally Altered Rocks of Central Kazakhstan; Report; Kazakh Research Institute of Minerals: Almaty, Kazakhstan, 1959; 198p. [Google Scholar]
  32. Gavrikova, S.N. Secondary Quartzites of the Northwestern Balkhash Region and Their Metallogenic Features; Candidate of Geol.-Min. Sciences; Moscow Geological Institute: Moscow, Russia, 1967; 305р. [Google Scholar]
  33. Gazizova, K.S. Geological-Structural and Genetic Features of the Kounrad Copper Deposit; Gosgeoltekhizdat: Moscow, Russia, 1957; 130p. [Google Scholar]
  34. Gavrikova, S.N.; Bakhteeva, M.N. Geology of some massifs of secondary quartzites of the Kounrad region (North-Western Balkhash region). Geol. Ore Depos. 1965, 4, 12–20. [Google Scholar]
  35. Zhukov, P.K. On the relationship of ore concentrates with volcano-tectonic structures of the Tokrau volcanic zone (Central Kazakhstan). Paleovolcanoes Volcano-Tecton. Struct. 1971, 3, 91–107. [Google Scholar]
  36. Nakovnik, N.I. Vertical zonality of products of postmagmatic metasomatism and place in it of formations of secondary quartzites and propylites. Notes All-Union Mineral. Soc. 1963, 4, 31–45. [Google Scholar]
  37. Nakovnik, N.I. Secondary Quartzite of the USSR and Associated Mineral Deposits, 1st ed.; Subsoil: Moscow, Russia, 1964; p. 339. [Google Scholar]
  38. Nurbaev, K.K.; Madenov, E.I. Search for Copper Deposits within the Kyzyltas Volcano-Plutonic Structure—Dzhezkazgan Region; CentKazGeolAdmin: Karagandy, Kazakhstan, 1980; 150p. [Google Scholar]
  39. Rusakov, M.P. Kounrad Copper Deposit; Gorgeolneftizdat: Moscow, Russia, 1934; 112p. [Google Scholar]
  40. Rusakov, M.P.; Nakovnik, N.I. Secondary quartzites and porphyry coppers of the Kirghiz steppe. Bull. Geol. Comm. 1926, 15–20. [Google Scholar]
  41. Rusakov, M.P.; Fremd, G.M. Some Questions of Genesis, Composition, Localization and Mineralization of Secondary Quartzites of Kazakhstan, 4th ed.; Scientific Notes of Kazakh State University: Almaty, Kazakhstan, 1958; Volume 37, pp. 3–10. [Google Scholar]
  42. Sokolov, V.A. Genetic features of secondary quartzites of Central Kazakhstan and questions of their ore content. In Proceedings of the II All-Union Volcanological Conference, Kazakh Scientific Research Institute of Mineral Resources, Almaty, Kazakhstan, 12 October 1964. [Google Scholar]
  43. Cholpankulov, T.C. Copper content of secondary quartzites of Central Kazakhstan. In Intrusive Magmatism and Metasomatic Formations of Kazakhstan, Proceedings of the Institute of Geological Sciences of the Academy of Sciences of the Kazakh Soviet Socialist Republic; Nauka KazSSR: Almaty, Kazakhstan, 1968; Volume 25. [Google Scholar]
  44. Seitmuratova, E.Y.; Lyapichev, G.F.; Zhukov, P.K. Geological Additional Study of the Kounrad-Akchatau Ore District, Scale 1:200000, of the Territory of Sheets L-43-III, IV, IX, X. Report; Republican geological funds; Satbayev Institute of Geosciences: Almaty, Kazakhstan, 2000; Volume 1–5, 900p. [Google Scholar]
  45. Seitmuratova, E.Y.; Diarov, A.B.; Zhakupova, S.A.; Goryaeva, V.S. Analysis of Epithermal Gold-Silver Mineralization of the Jungar-Balkhash Region and Identification of Promising Areas for the Discovery of Large Deposits of a New Type; Grant Project Report № 0112 PK 00917; Satbayev Institute of Geosciences: Almaty, Kazakhstan, 2014; 174p. [Google Scholar]
  46. Seitmuratova, E.Y.; Diarov, A.B.; Zhakupova, S.O.; Goryaeva, V.S. Compilation of Large-Scale Predictive Maps of Promising Gold Ore Areas of Central Kazakhstan in Order to Select Specific Areas for Prospecting and Appraisal Work; Grant Project Report; Satbayev Institute of Geosciences: Almaty, Kazakhstan, 2014; 72p. [Google Scholar]
  47. Seitmuratova, E.Y.; Baratov, R.T.; Dautbekov, D.O.; Zeilik, B.S.; Apshamov, Y.K.; Berdina, L.E.; Saidasheva, A.A.; Kelyukhov, V.N. Studying the Ore Content of Volcanic Structures in Central and Southern Kazakhstan with the Identification of the Most Promising of Them for Setting Prospecting Operations; Grant Project Report; Satbayev Institute of Geosciences: Almaty, Kazakhstan, 2018–2020; 40p. [Google Scholar]
  48. Seitmuratova, E.Y.; Goryaeva, V.S.; Baratova, R.T. Comprehensive Search Technologies for Identifying and Modeling Promising Areas of Epithermal Au-Ag Mineralization in the Kyzyltas Volcanic-Plutonic Structure for Geological Exploration with Subsequent Production; Grant Project Report № 0110-17-ГК; Satbayev Institute of Geosciences: Almaty, Kazakhstan, 2020; 180p. [Google Scholar]
  49. Seitmuratova, E.Y. Late Paleozoic of the Jungar-Balkhash Folded Region; Satbayev Institute of Geosciences: Almaty, Kazakhstan, 2011; 279p. [Google Scholar]
  50. Lyapichev, G.F.; Nikitin, I.F.; Seitmuratova, E.Y. Geology and Metallogeny of the Balkhash Segment of Kazakhstan: Report for the period 1983–1992; Satbayev Institute of Geosciences: Almaty, Kazakhstan, 1993; 190p. [Google Scholar]
  51. Lyapichev, G.F.; Seitmuratova, E.Y. Structural-formational zoning of the paleozoic of Kazakhstan. Geol. Kazakhstan 1995, 52–58. [Google Scholar]
  52. Lyapichev, G.F.; Seitmuratova, E.Y.; Borukaeva, M.R. Late Paleozoic volcanogenic formations of the Jungar-Balkhash folded system. In Magmatism and ore potential of Kazakhstan; Nauka KazSSR: Almaty, Kazakhstan, 1991; pp. 77–85. [Google Scholar]
  53. Korzhinsky, D.S. Essay on metasomatic processes. In Main Problems in the Study of Magmatogenic Ore Deposits; Academy of Sciences of the USSR: Moscow, Russia, 1955; pp. 332–352. [Google Scholar]
  54. Zavaritsky, A.N. Introduction to the Petrochemistry of Igneous Rocks; Academy of Sciences of the USSR: Moscow, Russia, 1950; p. 702. [Google Scholar]
  55. Lindgren, V. Deposits of Gold and Platinum; Gosgeoltechizdat: Moscow-Leningrad, Russia, 1935; 393p. [Google Scholar]
  56. Zharikov, V.A. Some Regularities of Metasomatic Processes. In Metasomatic Changes Side Rocks and Their Role in Ore Formation; Nedra: Moscow, Russia, 1966; pp. 38–49. [Google Scholar]
  57. Petrov, O.V. (Ed.) Geological Vocabulary; All-Russian Geological Institute: St. Petersburg, Russian, 2011; Volume 2, pp. 225–228. [Google Scholar]
  58. Plushev, E.V.; Shatov, V.V.; Kashin, S.V. Metallogeny of Hydrothermal-Metasomatic Formations S-P; VSEGEI: St. Petersburg, Russia, 2012; 358p. [Google Scholar]
  59. Khairutdinov, D.K. Secondary Quartzites of the Jamshi-Tokrau Region of Central Kazakhstan; Academy of Sciences of the KazSSR: Almaty, Kazakhstan, 1959; 260p. [Google Scholar]
  60. Khairutdinov, D. Some patterns of distribution of massifs of secondary quartzites in the Northern Balkhash. In Geology, Geochemistry and Mineralogy of Porphyry Copper Deposits in Kazakhstan; Academy of Sciences of the KazSSR: Almaty, Kazakhstan, 1969; pp. 33–41. [Google Scholar]
  61. Cholpankulov, T.C. Secondary quartzites of Central Kazakhstan and Minerals. In Proceedings of the Karaganda United Scientific Session, Karagandy, Kazakhstan, 25–28 October 1958. [Google Scholar]
  62. Esenov, S.E.; Kayupov, A.K.; Kolesnikov, V.V.; Benevolensky, I.P. (Eds.) Geology and Metallogeny of the Northern Balkhash Region; Nauka KazSSR: Almaty, Kazakhstan, 1972; 267p. [Google Scholar]
  63. Shcherba, G.N.; Sitko, A.T. (Eds.) Geology and Metallogeny of the North-Western Balkhash Region; Nauka KazSSR: Almaty, Kazakhstan, 1968; 226p. [Google Scholar]
  64. Kolesnikov, V.V.; Lyalin, Y.I.; Sterkin, V.D. Magmatism and the main features of the metallogeny of the Balkhash-Ile volcanic belt. In Proceedings of the XVIII Scientific Conference Geol., Vladivostok, Russia, 12–15 September 1968. [Google Scholar]
  65. Koshkin, V.Y. On the Age of the Late Paleozoic Volcanic Formations of the North-Western Balkhash Region; Alma-Ata: Almaty, Kazakhstan, 1974; pp. 85–88. [Google Scholar]
  66. Narseev, V.A.; Levin, G.B. Breccia formations of gold deposits. In Ore-Bearing Breccias and Their Exploration Value; Kazakh Scientific Research Institute of Mineral Resources: Almaty, Kazakhstan, 1977; pp. 189–203. [Google Scholar]
  67. Smirnov, A.M. The role of fault tectonics in the formation of massifs of secondary quartzites Jaur, Jorga, Ushkain. In The Eastern Part of the Tokrau Synclinorium in Central Kazakhstan; Kazakh Scientific Research Institute of Mineral Resources: Almaty, Kazakhstan, 1969; pp. 12–20. [Google Scholar]
  68. Sokolova, I.B. Volcanites, Metasomatites of the North-Eastern Balkhash Region and Associated Mineralization. Diploma Thesis, Satbayev Institute of Geosciences, Almaty, Kazakhstan, 1973. [Google Scholar]
  69. Solodilova, V.V. Secondary quartzites of the Kyzylrai volcano-tectonic structure and their ore content. In Proceedings of the II Conference of Young Scientists of the Academy of Sciences of the Kazakh SSR, Almaty, Kazakhstan, 18–21 September 1970. [Google Scholar]
  70. Srayylov, T. On the Types of Secondary Quartzites of the North-Eastern Part of Central Kazakhstan; Academy of Sciences of the KazSSR: Almaty, Kazakhstan, 1980; Volume 4, pp. 37–42. [Google Scholar]
  71. Fremd, G.M.; Isaeva, M.D. Mineral facies, metasomatic zoning and genesis of secondary quartzites and propylites of Southern Jungar. In Paleovolcanology and the Problem of Volcanogenic Formations; Academy of Sciences of the KazSSR: Almaty, Kazakhstan, 1963; pp. 34–45. [Google Scholar]
  72. Avdeev, A.V. On the ring structures of igneous complexes. Sov. Geol. 1965, 50–66. [Google Scholar]
  73. Bakhteev, M.K. Paleozoic Volcanogenic-Plutonic Belts of Kazakhstan, Features of Structure and Development. Doctor of Geol.-Min. Sciences; Russian Institute of Geosciences: Moscow, Russia, 1985. [Google Scholar]
  74. Erdzhanov, K.N. Secondary Quartzites of the Southeastern Part of Central Kazakhstan; Academy of Sciences of the KazSSR: Almaty, Kazakhstan, 1945; 100 p. [Google Scholar]
  75. Kopteva, V.V. Late Paleozoic Volcano-Tectonic Structures of the Northern Balkhash Region; Nauka: Moscow, Russia, 1974; 164p. [Google Scholar]
  76. Zeylik, B.S. Gold mineralization in the Hercynides of Central Kazakhstan. Bull. Acad. Sci. KazSSR 1968, 33–46. [Google Scholar]
  77. Zeylik, B.S.; Kozlovskaya, Z.A.; Sushkov, V.A.; Skublov, G.T. Studying the Distribution and Formation of Gold Deposits in the Northern Balkhash Region, Agadyr and Karagaily Ore Regions; Report; CentKazGeolAdmin: Karagandy, Kazakhstan, 1976; Volume 6, 643 p. [Google Scholar]
  78. Shcherba, G.N. Connection of ore deposits of Kazakhstan with Hercynian volcanism. In Ore-Bearing of Volcanogenic Formations; Nedra: Moscow, Russia, 1965; pp. 18–29. [Google Scholar]
  79. Larin, V.N. Vertical metasomatic zoning in the Late Hercynian volcanic-plutonic formations of the Northern Balkhash region. Dokl. Akad. Nauk. SSSR 1966, 171, 129–143. [Google Scholar]
  80. Skublov, G.T. Features of the Distribution of Chemical Elements in Comagmatic Volcanogenic and Intrusive Formations of the Kargaly Volcanic Structure (Central Kazakhstan); Candidate of Geol.-Min. Sciences; VSEGEI: Leningrad, Russia, 1974. [Google Scholar]
  81. Zeylik, B.S.; Efimenko, V.A.; Skublov, G.T.; Sushkov, V.A. Accelerated Prospecting for Gold Deposits in the Shet Ore Region Using Helicopters; CentKazGeolAdmin: Karagandy, Kazakhstan, 1971; 294p. [Google Scholar]
  82. Zeylik, B.S. On the relics of large Paleozoic volcanoes in Central Kazakhstan and the possibility of using high-altitude photographs to detect such structures. News Acad. Sci. USSR Geol. Ser. 1968, 4, 3–10. [Google Scholar]
  83. Zeylik, B.S.; Vinkovetsky, Y.A.; Kozhev, A.V. Geological structure and minerals of the Aktogay region, Report on geological survey and prospecting at 1:50000 scale, carried out by the Aktogay party in 1962–1964. Cent.-Kaz. Geol. 1965, 4, 662. [Google Scholar]
  84. Vinkovetsky, Y.A.; Zeylik, B.S. Geological Structure and Minerals of the Keregetas Mountains; CentKazGeolAdmin: Karagandy, Kazakhstan, 1962; 398 p. [Google Scholar]
  85. Vlasov, G.M.; Vasilevsky, M.M. Hydrothermally Altered Rocks of Central Kamchatka, Their Ore Content and Patterns of Spatial Distribution; Subsoil: Moscow, Russia, 1964; 220p. [Google Scholar]
  86. Kumpan, A.S. Upper Paleozoic of East Kazakhstan, Central and South Kazakhstan, Kalba Altai; Nedra: Leningrad, Russia, 1966; 247 p. [Google Scholar]
  87. Kurchavov, A.M. Zoning of Orogenic Volcanic Rocks of Kazakhstan (on the Example of the Upper Paleozoic); Nedra: Moscow, Russia, 1984; 207p. [Google Scholar]
  88. Yakovlev, P.D. Structural types of deposits confined to volcanic vents. Sov. Geol. 1967, 7, 12–26. [Google Scholar]
  89. Vinkovetsky, Y.A.; Solodilova, V.V. On the issue of the genesis of andalusite and corundum in secondary quartzites of Kazakhstan. In Metasomatite Ore-Bearing Criteria; Nauka KazSSR: Almaty, Kazakhstan, 1969; pp. 45–53. [Google Scholar]
  90. Shlygin, A.E. On the classification of metasomatic processes. Izv. AN KazSSR. Geol. Ser. 1958, 1, 5–10. [Google Scholar]
  91. Bok, I.I. Fundamentals of Ore Geology; Science: Almaty, Kazakhstan, 1974; 230p. [Google Scholar]
  92. Metallogeny of Kazakhstan. In Ore Formations: Deposits of Gold Ores; Kayupov, A.K. (Ed.) Nauka: Almaty, Kazakhstan, 1980; 224p. [Google Scholar]
  93. Bely, V.F. The Okhotsk-Chukotka and Kazakhstan marginal volcanic belts. In Volcanic-Plutonic Formations and Their Ore Potential; Nauka KazSSR: Almaty, Kazakhstan, 1969; pp. 75–87. [Google Scholar]
  94. Petrovskaya, N.V. Native Gold—General Characteristics, Typomorphism, Issues of Genesis; Nauka: Moscow, Russia, 1973; 344p. [Google Scholar]
  95. Methodological guide for geological survey scale 1:50000. In Predictive Metallogenic Studies in Regional Geological Work; Kumpan, A.S. (Ed.) Nedra: Leningrad, Russia, 1985; 279 p. [Google Scholar]
  96. Kogotkova, E.A.; Sedelnikova, G.V.; Volarovich, G.P. The role of small mines in the gold mining industry of non-socialist countries. In Economics of Minerals and Geological Exploration; Nedra: Moscow, Russia, 1982; 52p. [Google Scholar]
Figure 1. Location of the JBFS in the Central Asian Orogenic Belt. Fold systems: Hercynian (1—Uralian, 2—Jungar-Balkhash, 3—Zaysan); Caledonian (4—Kokshetau-North Tian Shan, 5—Shynghys-Tarbogatay, 6—Altai-Sayan); blue indicates water basins.
Figure 1. Location of the JBFS in the Central Asian Orogenic Belt. Fold systems: Hercynian (1—Uralian, 2—Jungar-Balkhash, 3—Zaysan); Caledonian (4—Kokshetau-North Tian Shan, 5—Shynghys-Tarbogatay, 6—Altai-Sayan); blue indicates water basins.
Minerals 13 00813 g001
Figure 2. Tectonostratigraphic terranes of the Jungar-Balkhash folded system with paleotectonic settings [11]: 1–3—Jungar-Balkhash marginal paleobasin (1—outer shelf, 2—inner shelf, 3—deep-water basin); 4—Carboniferous marginal continental volcanic-plutonic belt (VPB); 5—Carboniferous-Permian intra-continental Balkhash-Ile VPB; 6—taphrogenic structure of the Carboniferous continental rift type; 7—Permian continental rift type structure with subalkaline magmatism; 8—suture rifting type structure with intermediate-mafic volcanism; 9—Frasnian island arcs; 10—blocks of the Aktau-Jungar microcontinent; 11—Caledonian edging structures of the JBFS; 12—deep faults and boundaries of tectonostratigraphic terranes; 13—state border; 14—numbers of tectonostratigraphic terranes (further as terranes) (I—Uspen; II—West Tokrau; III—Jantau; IV—South Tokrau; V—East Tokrau; (VI1—Tasty link, VI2—Kusak link, VI3—Kotyrasan link, VI4—Altynemel link), VII—Sayak, VIII—Kotanemel-Kalmakamel, IX—Bakanas (IX1—West Bakanas, IX2—East Bakanas), X—Ili megazone (X1—North-Zhongar, X2—Tastau-Sarkand, X3—Tastau near-fault trough, X4—Central Jungar, X5—Borotala, X6—Tekeli, X7—Panfilov, X8—Saryozek-Ili); XI—North Balkhas; XII—Jaman-Sarysu; XIII—Akzhal-Aksoran; XIV—Tasaral-Kyzylespe; XV—Prechingiz).
Figure 2. Tectonostratigraphic terranes of the Jungar-Balkhash folded system with paleotectonic settings [11]: 1–3—Jungar-Balkhash marginal paleobasin (1—outer shelf, 2—inner shelf, 3—deep-water basin); 4—Carboniferous marginal continental volcanic-plutonic belt (VPB); 5—Carboniferous-Permian intra-continental Balkhash-Ile VPB; 6—taphrogenic structure of the Carboniferous continental rift type; 7—Permian continental rift type structure with subalkaline magmatism; 8—suture rifting type structure with intermediate-mafic volcanism; 9—Frasnian island arcs; 10—blocks of the Aktau-Jungar microcontinent; 11—Caledonian edging structures of the JBFS; 12—deep faults and boundaries of tectonostratigraphic terranes; 13—state border; 14—numbers of tectonostratigraphic terranes (further as terranes) (I—Uspen; II—West Tokrau; III—Jantau; IV—South Tokrau; V—East Tokrau; (VI1—Tasty link, VI2—Kusak link, VI3—Kotyrasan link, VI4—Altynemel link), VII—Sayak, VIII—Kotanemel-Kalmakamel, IX—Bakanas (IX1—West Bakanas, IX2—East Bakanas), X—Ili megazone (X1—North-Zhongar, X2—Tastau-Sarkand, X3—Tastau near-fault trough, X4—Central Jungar, X5—Borotala, X6—Tekeli, X7—Panfilov, X8—Saryozek-Ili); XI—North Balkhas; XII—Jaman-Sarysu; XIII—Akzhal-Aksoran; XIV—Tasaral-Kyzylespe; XV—Prechingiz).
Minerals 13 00813 g002
Figure 3. The distribution of secondary quartzite massifs in the context of the ring structures of the Northern Balkhash [62]: 1—basement deposits, 2—Early Carboniferous deposits (Lower Vise), 3—Early Carboniferous deposits (Upper Vize), 4—Late Carboniferous, Early Permian deposits, 5—Early Permian deposits, 6—gabbro, diorites, granodiorites, andesites formation and diorite porphyrites (Balkhash complex), 7—granite and granodiorite formation (Topar complex), 8—granite and granodiorite formation (Kaldyrma complex), 9—monzonite, syenodiorite, syenite, granite formation (Saryolensky complex), 10—linear, ring dikes, small bodies of acidic, intermediate and basic composition, 11—formation of alaskite and leucocratic granites (Akchatau complex), 12—a—granites, b—granodiorites identified by geophysical data, 13—massifs of secondary quartzites, 14—Central Kazakhstan fault; 15—Bektauata and Kyzylrai deep faults; 16—a—traced, b—supposed faults; 17—ring and radial faults; volcano-tectonic ring structures: I—Kounradskaya; II—Bektauata; III—Zhanetskaya; IV—Kyzyladyrskaya; V—Nayzakarinskaya; VI—Maitasskaya; VII—Kyzyltasskaya; VIII—Kargaly; IX—Kyzylray system; X—Ulkenkarakuskaya; XI—Kent; XII—Koktasskaya; XIII—Zhaurskaya; XIV—East Kyzyltasskaya; XV—Kotanemelskaya; XVI—Besshokinskaya, XVII—Kounrad-Borlinskaya fault zone.
Figure 3. The distribution of secondary quartzite massifs in the context of the ring structures of the Northern Balkhash [62]: 1—basement deposits, 2—Early Carboniferous deposits (Lower Vise), 3—Early Carboniferous deposits (Upper Vize), 4—Late Carboniferous, Early Permian deposits, 5—Early Permian deposits, 6—gabbro, diorites, granodiorites, andesites formation and diorite porphyrites (Balkhash complex), 7—granite and granodiorite formation (Topar complex), 8—granite and granodiorite formation (Kaldyrma complex), 9—monzonite, syenodiorite, syenite, granite formation (Saryolensky complex), 10—linear, ring dikes, small bodies of acidic, intermediate and basic composition, 11—formation of alaskite and leucocratic granites (Akchatau complex), 12—a—granites, b—granodiorites identified by geophysical data, 13—massifs of secondary quartzites, 14—Central Kazakhstan fault; 15—Bektauata and Kyzylrai deep faults; 16—a—traced, b—supposed faults; 17—ring and radial faults; volcano-tectonic ring structures: I—Kounradskaya; II—Bektauata; III—Zhanetskaya; IV—Kyzyladyrskaya; V—Nayzakarinskaya; VI—Maitasskaya; VII—Kyzyltasskaya; VIII—Kargaly; IX—Kyzylray system; X—Ulkenkarakuskaya; XI—Kent; XII—Koktasskaya; XIII—Zhaurskaya; XIV—East Kyzyltasskaya; XV—Kotanemelskaya; XVI—Besshokinskaya, XVII—Kounrad-Borlinskaya fault zone.
Minerals 13 00813 g003
Figure 4. (AD) Comparison of characteristic epithermal gold-silver deposits of the World and Kazakhstan [10]: Geological plan and section of the caldera: (A)—Vatukoula and location within it gold occurrences [23] and the Tavua Polo deposit—120 t of Au (according to L.S. Denholm); (B)—Symbyl (Northern Balkhash region) and position within its limits, the Umit ore occurrence according to E.Yu. Seitmuratova [10]); (C)—Geological map Place of deposit Kremnica (according to M. Bemer [6]), (D)—Geological map South deposits Kuder (according to B.S. Zeilik, 1968 [76]).
Figure 4. (AD) Comparison of characteristic epithermal gold-silver deposits of the World and Kazakhstan [10]: Geological plan and section of the caldera: (A)—Vatukoula and location within it gold occurrences [23] and the Tavua Polo deposit—120 t of Au (according to L.S. Denholm); (B)—Symbyl (Northern Balkhash region) and position within its limits, the Umit ore occurrence according to E.Yu. Seitmuratova [10]); (C)—Geological map Place of deposit Kremnica (according to M. Bemer [6]), (D)—Geological map South deposits Kuder (according to B.S. Zeilik, 1968 [76]).
Minerals 13 00813 g004
Figure 5. The Kyzyltass volcanic-plutonic structure [48,62]. Volcanogenic formations: 1—Lower Permian (basalts, trachybasalts); 2—Upper Carboniferous (rhyolites); 3—Middle Carboniferous (andesites, rhyolites); 4—Lower Carboniferous (andesites, partly rhyolites); 5—Devonian volcanogenic sedimentary deposits; 6—Hercynian intrusions of acid subalkaline granites (a), monzogranite (б), granodiorites (в); 7—dikes of acidic (a), basic (б) composition; 8—major tectonic disturbances (a), secondary faults (б), ring faults (в); 9—lines of unconformity (a), strike and dip (б); 10—massifs of secondary quartzites. Deposits and ore occurrences: 11—copper (a), lead and zinc (б); 12—tungsten (a), gold and silver (б).
Figure 5. The Kyzyltass volcanic-plutonic structure [48,62]. Volcanogenic formations: 1—Lower Permian (basalts, trachybasalts); 2—Upper Carboniferous (rhyolites); 3—Middle Carboniferous (andesites, rhyolites); 4—Lower Carboniferous (andesites, partly rhyolites); 5—Devonian volcanogenic sedimentary deposits; 6—Hercynian intrusions of acid subalkaline granites (a), monzogranite (б), granodiorites (в); 7—dikes of acidic (a), basic (б) composition; 8—major tectonic disturbances (a), secondary faults (б), ring faults (в); 9—lines of unconformity (a), strike and dip (б); 10—massifs of secondary quartzites. Deposits and ore occurrences: 11—copper (a), lead and zinc (б); 12—tungsten (a), gold and silver (б).
Minerals 13 00813 g005
Figure 6. (A) Secondary quartzite of quartz-sericite-dickite facies, Kyra massif, thin section 25-18, magnification 10X/20 XN; (B) metasomatite after lava breccia of trachyandesite composition, carbonatization, chloritization, pyritization, and sericitization, Akgirek massif, Well 1, depth 165–170 m, thin section 57/2, magnification 4X/8//N [50]; Py—pyrite, Ca—calcite.
Figure 6. (A) Secondary quartzite of quartz-sericite-dickite facies, Kyra massif, thin section 25-18, magnification 10X/20 XN; (B) metasomatite after lava breccia of trachyandesite composition, carbonatization, chloritization, pyritization, and sericitization, Akgirek massif, Well 1, depth 165–170 m, thin section 57/2, magnification 4X/8//N [50]; Py—pyrite, Ca—calcite.
Minerals 13 00813 g006
Figure 7. (A) Secondary quartzite of quartz-sericite facies with strong pyritization, Oidai massif, thin section 3816-8, magnification 8X/20 XN; (B) secondary quartzite of quartz-sericite-alunite facies, acid porphyry rock, Kosshoky massif, thin section 3813-2, magnification 10X/20 XN [48]; Py—pyrite.
Figure 7. (A) Secondary quartzite of quartz-sericite facies with strong pyritization, Oidai massif, thin section 3816-8, magnification 8X/20 XN; (B) secondary quartzite of quartz-sericite-alunite facies, acid porphyry rock, Kosshoky massif, thin section 3813-2, magnification 10X/20 XN [48]; Py—pyrite.
Minerals 13 00813 g007
Figure 8. (A) Propylitized tuff of andesitic porphyrite, epidotization, chloritization, pyritization. Oidai massif, thin section 3816-3, magnification 8X/20//N (Pl—plagioclase, Bi—biotite, Q—quartz? Px—pyroxene); (B) automagmatic breccia of andesitic porphyrite, epidotization, chloritization. Kosshoky massif, thin section 3017-1, magnification 8X/20 XN [48].
Figure 8. (A) Propylitized tuff of andesitic porphyrite, epidotization, chloritization, pyritization. Oidai massif, thin section 3816-3, magnification 8X/20//N (Pl—plagioclase, Bi—biotite, Q—quartz? Px—pyroxene); (B) automagmatic breccia of andesitic porphyrite, epidotization, chloritization. Kosshoky massif, thin section 3017-1, magnification 8X/20 XN [48].
Minerals 13 00813 g008
Figure 9. Geological map and map of metasomatites of the promising Akgirek massif gold deposit, scale 1:10,000 (compiled by Seitmuratova E.Y.) [45,46,48]. 1–2—Quaternary deposits (claypans, sodic and alluvial soils); 3—Paleogene clays with rock fragments (rounded and angular); 4—iron caps with rock fragments of red-colored Paleogene clays and secondary quartzites; 5—iron caps without fragments; 6–8—volcanic rocks of the Upper Carboniferous Kalmakemel Formation (C1-2 kl) (6—trachyrhyolite lavas, 7—basaltic andesite and andesite lavas, 8—lithocrystal-clastic tuffs of andesitic, basaltic andesite and andesitic composition, 9—automagmatic breccias of andesitic composition); 10–13—volcanic and volcanic-sedimentary rocks of the Lower Carboniferous Karkaraly Formation (C1kr) (10—andesite basalts, basalts, 11—volcanomictic siltstones, sandstones, tuffites, 12—ash tuffs of rhyolitic composition, 13—fluidal rhyolites of subvolcanic intrusions); 14–17—Late Carboniferous intrusive formations (14—porphyritic granosyenites (C2γξ), 15—granosyenite-porphyry dikes (γξπ), 16—microdiorite (μδ), diabase, andesitic and basaltic porphyrite dikes, 17—felsite dikes(); 18–26—hydrothermally altered rocks (18—propylitized volcanites, 19—unidentified secondary quartzites, 20—monoquartzites with breccia texture, 21—aphyric and granular secondary quartzites (monoquartz), 22—quartz-sericite-dickite (kaolinite) secondary quartzites, 23—quartz-sericite secondary quartzites, 24—quartz-kaolinite-dickite secondary quartzites, 25—alunite-dickite secondary quartzites with relict porphyritic structure, 26—ferruginous secondary quartzites, 27—brecciation zone); 28—tectonic disturbances ((a) traced, (б) supposed); 29—geological boundaries ((a) mapped, (б) decrypted).
Figure 9. Geological map and map of metasomatites of the promising Akgirek massif gold deposit, scale 1:10,000 (compiled by Seitmuratova E.Y.) [45,46,48]. 1–2—Quaternary deposits (claypans, sodic and alluvial soils); 3—Paleogene clays with rock fragments (rounded and angular); 4—iron caps with rock fragments of red-colored Paleogene clays and secondary quartzites; 5—iron caps without fragments; 6–8—volcanic rocks of the Upper Carboniferous Kalmakemel Formation (C1-2 kl) (6—trachyrhyolite lavas, 7—basaltic andesite and andesite lavas, 8—lithocrystal-clastic tuffs of andesitic, basaltic andesite and andesitic composition, 9—automagmatic breccias of andesitic composition); 10–13—volcanic and volcanic-sedimentary rocks of the Lower Carboniferous Karkaraly Formation (C1kr) (10—andesite basalts, basalts, 11—volcanomictic siltstones, sandstones, tuffites, 12—ash tuffs of rhyolitic composition, 13—fluidal rhyolites of subvolcanic intrusions); 14–17—Late Carboniferous intrusive formations (14—porphyritic granosyenites (C2γξ), 15—granosyenite-porphyry dikes (γξπ), 16—microdiorite (μδ), diabase, andesitic and basaltic porphyrite dikes, 17—felsite dikes(); 18–26—hydrothermally altered rocks (18—propylitized volcanites, 19—unidentified secondary quartzites, 20—monoquartzites with breccia texture, 21—aphyric and granular secondary quartzites (monoquartz), 22—quartz-sericite-dickite (kaolinite) secondary quartzites, 23—quartz-sericite secondary quartzites, 24—quartz-kaolinite-dickite secondary quartzites, 25—alunite-dickite secondary quartzites with relict porphyritic structure, 26—ferruginous secondary quartzites, 27—brecciation zone); 28—tectonic disturbances ((a) traced, (б) supposed); 29—geological boundaries ((a) mapped, (б) decrypted).
Minerals 13 00813 g009
Figure 10. Cores from the wells of the Akgirek. Well 4: (A) automagmatic breccias with fragments of various sizes and pyritization; (B) basaltic andesite volcanic breccia with carbonate veinlets, int. 61.0–63.9 m. Well 3: (C) volcanic breccia of andesitic composition, strongly fractured with carbonate veinlets, int. 103.0–103.8 m; (D) brecciated andesite-basalt with chlorite in veins, int. 137.6–139.2 m.
Figure 10. Cores from the wells of the Akgirek. Well 4: (A) automagmatic breccias with fragments of various sizes and pyritization; (B) basaltic andesite volcanic breccia with carbonate veinlets, int. 61.0–63.9 m. Well 3: (C) volcanic breccia of andesitic composition, strongly fractured with carbonate veinlets, int. 103.0–103.8 m; (D) brecciated andesite-basalt with chlorite in veins, int. 137.6–139.2 m.
Minerals 13 00813 g010
Figure 11. Cores from the wells of the Akgirek. Well 4: (A) breccitied chloritized andesite tuff, int. 168.5–169.2 m; (B) andesite tuff with chloritized lithoclasts, int. 170.6–172.4 m. Well 2: (C) contact of volcanic breccia with aphyric rocks such as basalts, int. 68.1–68.9 m; (D) kaolinitized and chloritized volcanic breccia of andesitic composition, int. 248.5–250.7 m.
Figure 11. Cores from the wells of the Akgirek. Well 4: (A) breccitied chloritized andesite tuff, int. 168.5–169.2 m; (B) andesite tuff with chloritized lithoclasts, int. 170.6–172.4 m. Well 2: (C) contact of volcanic breccia with aphyric rocks such as basalts, int. 68.1–68.9 m; (D) kaolinitized and chloritized volcanic breccia of andesitic composition, int. 248.5–250.7 m.
Minerals 13 00813 g011
Figure 12. Cores from Well Б2/19 of the Birlestik massif: (A) Pervasive veinlet pyritization zone; (B) breccia with a series of kaolinite and chlorite veinlets [50].
Figure 12. Cores from Well Б2/19 of the Birlestik massif: (A) Pervasive veinlet pyritization zone; (B) breccia with a series of kaolinite and chlorite veinlets [50].
Minerals 13 00813 g012
Figure 13. The distribution of metasomatites in depth and lateral and occurrence of pyritization [48]. The development of metasomatism. 1—Kl (kaolinitization), Q (silicification), Ca (carbonatization), Sr (sericitization), Cl (chloritization), Ep 9epidotization), Aln (alunization), Py (pyritization); 2—intervals of strong pyritization; 3—intervals of gold mineralization (>0.5–1.0 g/t); 4—ferruginization.
Figure 13. The distribution of metasomatites in depth and lateral and occurrence of pyritization [48]. The development of metasomatism. 1—Kl (kaolinitization), Q (silicification), Ca (carbonatization), Sr (sericitization), Cl (chloritization), Ep 9epidotization), Aln (alunization), Py (pyritization); 2—intervals of strong pyritization; 3—intervals of gold mineralization (>0.5–1.0 g/t); 4—ferruginization.
Minerals 13 00813 g013
Figure 14. (A) Metasomatized crystal tuff of rhyodacite composition, Akgirek massif, Well 2, core 54, magnification 4 × 8, cross-polarized light, different morphological forms of pyrite; (B) propylitized brecciated andesite porphyrite, Akgirek massif, Well 2, core 96, depth 85–88 m; Q—quartz, Py—pyrite.
Figure 14. (A) Metasomatized crystal tuff of rhyodacite composition, Akgirek massif, Well 2, core 54, magnification 4 × 8, cross-polarized light, different morphological forms of pyrite; (B) propylitized brecciated andesite porphyrite, Akgirek massif, Well 2, core 96, depth 85–88 m; Q—quartz, Py—pyrite.
Minerals 13 00813 g014
Figure 15. (A) Pyrite intergrowths between grains of non-metallic minerals, from Akgirek massif, Well 3, depth 166.0–166.2 m, polished section 166, magnification 72; (B) native gold enclosed along the edge of the leaching void, from Akgirek massif, Well 3, depth 87.0–88.0 m, polished section 96, magnification 160 [50], Au—gold, Py—pyrite.
Figure 15. (A) Pyrite intergrowths between grains of non-metallic minerals, from Akgirek massif, Well 3, depth 166.0–166.2 m, polished section 166, magnification 72; (B) native gold enclosed along the edge of the leaching void, from Akgirek massif, Well 3, depth 87.0–88.0 m, polished section 96, magnification 160 [50], Au—gold, Py—pyrite.
Minerals 13 00813 g015
Figure 16. Histograms of gold mineralization and pyritization in Wells 1, 2, and 4 from Akgirek massif [48].
Figure 16. Histograms of gold mineralization and pyritization in Wells 1, 2, and 4 from Akgirek massif [48].
Minerals 13 00813 g016
Figure 17. Histograms of gold mineralization and pyritization in Wells 5 and 6, from Akgirek massif [50].
Figure 17. Histograms of gold mineralization and pyritization in Wells 5 and 6, from Akgirek massif [50].
Minerals 13 00813 g017
Figure 18. Histograms of gold mineralization and pyritization in Wells 6 and 7, from the Akgirek maasif, and B1, B2, from the Birlestik massif [48].
Figure 18. Histograms of gold mineralization and pyritization in Wells 6 and 7, from the Akgirek maasif, and B1, B2, from the Birlestik massif [48].
Minerals 13 00813 g018
Figure 19. Native gold, 20–70 microns in size, with an admixture of copper and tellurium in quartz. Image in backscattered electrons: light gray—quartz, bright white—gold.
Figure 19. Native gold, 20–70 microns in size, with an admixture of copper and tellurium in quartz. Image in backscattered electrons: light gray—quartz, bright white—gold.
Minerals 13 00813 g019
Figure 20. Scheme of the distribution of copper-porphyry and gold-silver mineralization in the Jungar-Balkhash folded region [23]. 1—Blocks of the Precambrian crystalline basement of the Jungar-Balkhash folded system; 2—Central Kazakhstan (frontal zone) of the marginal-continental Devonian volcanic-plutonic belt (VPB); 3—Atasu-Nura structural-formational zone (SFZ), the northwest periphery of the Jungar-Balkhash marginal paleobasin; 4—Uspen SFZ, a continental rift of Famennian-Carboniferous age; 5—Jungar-Balkhash marginal paleobasin of extended development (O1-2-C2); 6—Spas rift zone; 7—Central Kazakhstan marginal-continental Devonian VPB; 8—Tasty-Kusak-Kotyrasan-Altynemel marginal-continental Carboniferous VPB; 9—Balkhash-Ile intracontinental Carboniferous-Permian VPB; 10–14—ore deposits ((10) gold ore, (11) gold-silver, (12) gold-polymetallic, (13) gold-copper-bearing, (14) copper-porphyry with gold); 15—(a) large and medium-sized deposits, (b) small deposits, (c) ore occurrences.
Figure 20. Scheme of the distribution of copper-porphyry and gold-silver mineralization in the Jungar-Balkhash folded region [23]. 1—Blocks of the Precambrian crystalline basement of the Jungar-Balkhash folded system; 2—Central Kazakhstan (frontal zone) of the marginal-continental Devonian volcanic-plutonic belt (VPB); 3—Atasu-Nura structural-formational zone (SFZ), the northwest periphery of the Jungar-Balkhash marginal paleobasin; 4—Uspen SFZ, a continental rift of Famennian-Carboniferous age; 5—Jungar-Balkhash marginal paleobasin of extended development (O1-2-C2); 6—Spas rift zone; 7—Central Kazakhstan marginal-continental Devonian VPB; 8—Tasty-Kusak-Kotyrasan-Altynemel marginal-continental Carboniferous VPB; 9—Balkhash-Ile intracontinental Carboniferous-Permian VPB; 10–14—ore deposits ((10) gold ore, (11) gold-silver, (12) gold-polymetallic, (13) gold-copper-bearing, (14) copper-porphyry with gold); 15—(a) large and medium-sized deposits, (b) small deposits, (c) ore occurrences.
Minerals 13 00813 g020
Figure 21. (a) Geological map and section of the Round Mountain mine area; (b) distribution of gold grade in the cross section of the deposit [16].
Figure 21. (a) Geological map and section of the Round Mountain mine area; (b) distribution of gold grade in the cross section of the deposit [16].
Minerals 13 00813 g021
Table 1. Metasomatic formations.
Table 1. Metasomatic formations.
Metasomatic FormationType of MetasomatismMetasomatism Temperature:Accumulation of Components
GumbeiteAlkaline to acidicLow temperatureK→Si
EclogiteAlkaline to basicNa→RO
ArgilliteAcidicAl, Si
Carbonate-chloriteBasicRO→RCO3
Secondary quartziteAcidicLow-to-medium temperatureAl, Si
BeresiteAlkaline to acidicRCO2→Si
PropyliteBasic to alkalineRO→Na
AlbititeAlkalineMedium temperatureNa
SkarnoidBasicRO
GreisenAlkaline to acidicMedium-to-high temperatureK→Si
Potassic feldsparAlkalineK
Quartz-aluminousAcidicHigh temperatureAl, Si
Ferruginous quartziteAcidicFe, Si
Orthoclase-sillimanite granuliteAlkaline to acidicK→Al, Si
SkarnBasicRO
AnorthositeAlkaline-earthAl, Ca
Table 2. Composition of secondary quartzites and their metallogeny [18,27,29,30,31,37,45,48,59,60].
Table 2. Composition of secondary quartzites and their metallogeny [18,27,29,30,31,37,45,48,59,60].
Name of Massifs,
Topomap Indexes, Area (sq. km)
Mineral Types Found by ResearchersCommodity (Summary)
Nakovnik
1936–1945
Khairutdinov
1963–1968
Bespalov
1955–1958
Vinkovetsky and Zeylik, and OthersAuthors of This Article
2012–2014,
2017–2020
1Birlestik,
M-43-138,
S—3
_Q, Sr, Al, An, Tr_Q, Sr, An, Dk, Z, Tr, KlQ, An, Dk, Al, Tr, Co, Ds, Ep, Py, ClAu, Ag, Pb, Sn
2Kosshoky,
M-43-138,
S—3.5
Q, An, Ds, SrQ, Sr, An, Al, Kl, Z, TpQ, Sr, An, GmQ, An, Ds, Al, Kl, DkQ, An, Al, Tr, Prl, DkAu, Pb
3Oidai,
M-43-138,
S—2.0
Q, Al, Z, Dk, SrQ, Al, Ds, SrQ, Sr, KlQ, An, Al, SrQ, Al, An, Dk, Sr, PrlAu, Cu
4Akgirek,
L-43-6,
S—2.0
Q, Al, Sr, ZQ, Sr, Al, Tr, An, Ds, Gm Q, An, Al, Dk, Tr, Kl, Z, PyAu, Ag, Cu, Mo, Pb, Bi
5Kyra,
M-43-138,
S—4.5
Q, Sr, ZQ, Kl, S, DsQ, Sr, KlQ, Al, Dk, Sr, Kl, GmQ, Al, Dk, Kl, Sr, GmCu, Mo, Bi, Au
6Jalpakkain,
M-43-138,
S—10.0
Q, Al, Ds, Tp, Sr, ZQ, Al, Sr, KlQ, Al, Sr, Kl, GmQ, Al, Ds, Sr, Kl, ZQ, Al, Prl, Sr, Kl, GmAu, Pb, Bi
7Toreshoy,
M-43-138,
S—1.2
Q, An, Ds, Al, SrQ, An, Co, Prl, Sr Q, Al, Ds, Dk, Kl, SrQ, Sr, Al, PrlPb, Au
8Akshoky,
L-43-29-A,
S—5.5
Q, An, Co, Al, Sr, Tr, Dk Q, Sr, Kl, GmAu, Ag, Cu, Bi
9Kuder,
M-43-138,
S—3.5
Q, Al, Ds, An, Sr, KlQ, An, Gm, Sr, Dk, AdBi, Ag, Au
10North Akshoky,
M-43-138,
S—7.0
Q, Al, Tp, Z, Dk, SrQ, Al, An, Ds, Sr, Kl Q, Al, Sr, DkPb, Au
11Koyanshoky,
M-43-138,
S—0.5
Q, An, Co, Al, DkQ, Al, Co, Tp, Ds, Sr, GmQ, Al, Sr, Gm Q, Sr, GmCu, Mo, Au
12Symbyl,
L-43-29,
S—2.5
Q, Al, Ds, Sr, Dk Q, Al, An, Ad, Ds, Dk, Gm, Py, SrCu, Mo, Au, Bi
13Sokurkoi,
L-43-53,
S—9.0
Q, Al, An, Dk, Sr Q, Al, Dk, An, Sr, Kl, GmCu, Au, Ag
14Sargul,
L-43-29,
S—12.0
Q, Al, Ds, Sr Q, Al, Sr, Dk, Ge, Kl, GmCu, Au
15Korgantas,
M-43-137,
S—1.2
Q, An, Ds, Z, MsQ, Al, Kl, Sr, Gm Q, Sr, Gm, Al, AnCu, Au
16Targyl,
L-43-53,
S—12.0
Q, Al, An, Ds, Co, Z, Dk Q, Dk, An, Al, Sr, Ds, ZAu
17Ktai,
L-43-6-A,
S—5.0
Q, An, Kl, Sr Q, Al, Kl, Sr
Cu, Mo, Au, Ag
18Kose,
L-43-17-A,
S—10.0
Q, Sr, Al, Kl, Gm Q, Sr, Gm, Kl, PyAu, As, Cu, Pb, Mo, Bi
19Karateke,
L-43-30-B,
S—0.7
Q, Sr, Kl Q, An, Ds, Sr, KlAu, Ag, Bi, Cu, Pb, Mo
20Shozek,
L-43-30-A,
S—5.0
Q, An, Ds, Dk, Sr Q, An, Tp, Dk, Kl, Sr, Gm, DsAu, Cu
21Karabas,
L-43-30-B,
S—5.2
Q, Al, Dk, SrQ, Kl, Sr Q, Al, Dk, Kl, Sr, Gm Cu, Au, Ag, Pb,
22Itlay-Ushtobe,
L-43-18-г,
S—36.0
Q, Co, An, Al, Ds, Sr Q, Sr, Al, An, DsAu, Ag, Pb
23Koskyzyl,
L-43-42-A,
S—4.0
Q, An, Sr Q, Al, Kl, Sr, GmAu
24Borly,
L-43-30-B,
S—7.5
Q, Co, An, Sr, Gm Q, An, Sr, Gm Cu, Mo, Au, Ag
25Jusaly,
M-43-137,
S—15.0
Q, Ds, Al, SrQ, Ds, Sr, Dk Q, Al, Prl, Dk, Sr Au, Cu, Pb
26Korpetai,
M-43-125,
S—6.0
Q, An, Al, Dm, SrQ, An, Al, Sr Q, Al, An, Ds, Sr, Prl, Tr Pb, Zn
27Sheshen-Kara,
L-43-28,
S—32.0
Q, Co, An, Al, Ds, Sr, Gm Q, An, Al, Prl, Kl, Sr, Co Al, Au
28Bosaga,
M-43-128,
S—7.5
Q, Co, An, Al, Ds, Dk, SrQ, Al, An, Co, Dk, Sr Q, Co, An, Al, Dk, Kl, Sr Al, Cu, Pb, Sb, Bi, Au, Ag
29South Kyzylray group,
M-43-128,
S—6.5
Q, Al, An, Sr, Kl, Cu, Mo, Pb, Au
30Jorga,
M-43-Г,
S—18.0
Q, Co, Al, Dk, Sr Q, Al, Sr, Kl, Ds, Tp, Z Cu, Au
31Jaur,
M-43-Г,
S—30.0
Q, Dk, Al, Co, Ds, Sr, Ba Q, Al, Ds, Prl, An, Sr, Co, Gm Mo, Cu, Pb, Zn, Au
Note: Major minerals are in bold; symbols for minerals: Ad—adularia; Al—alunite; An—andalusite; Co—corundum; Dk—dickite; Ds—diaspore; Gm—hematite; Kl—kaolinite; Q—quartz; Py—pyrite; Sr—sericite; Tp—topaz; Z—zunyite; Prl—pyrophyllite; Ms—muscovite; Dm—dumortierite; Tr—tourmaline; Ba—barite.
Table 3. Frequency of metasomatic occurrences in the wells of the Akgirek and Birlestik massifs (according to the number of intervals of their occurrence) [50].
Table 3. Frequency of metasomatic occurrences in the wells of the Akgirek and Birlestik massifs (according to the number of intervals of their occurrence) [50].
Number of WellsTypes of Metasomatites
Kaolinitization (Kl)Silicification (Q)Chloritization (Cl)Carbonatization (Ca) and
Epidotization (Ep)
Epidotization (Ep) and Adularization (Ad) Sericitization (Sr) and K-Feldspathization (Kfsp)Alunization (Aln) and Tourmalinization (Tu)PyritizationThe Most Pervasive Types
Well 1Kl-6Q-3Cl-9Ca-11
Ep 2
Ep-2Sr-1-Py-6Ca-11
Well 2Kl-5Q-4Cl-2Ca-4-Sr-2-Py-14Kl-5
Well 3Kl-8Q-6Cl-6Ep-2Ep-2Sr-4Aln-2Py-10Kl-8
Well 4Kl-8Q-7Cl-1--Sr-1-Py-2Kl-8
Well 5Kl-9Q-7Cl-3Ca-1
Ep 5
Ep-5Sr-3Aln-1Py-5Kl-9
Well 6Kl-8Q-2Cl-4--Sr-2-Py-4Kl-8
Б1Kl-38Q-24Cl-5Ca-12Ad-8Sr-22Aln-5
Tu-4
Py 91.2%Kl-38
Б2Kl-33Q-20Cl-15Ca-4Ad-2Sr-15
Kfsp-3
Aln-15
Tu-7
Kl-33
Table 4. Geochemical characteristics of wells in the Akgirek massif, in Clarke concentrations [48].
Table 4. Geochemical characteristics of wells in the Akgirek massif, in Clarke concentrations [48].
Well No.Ore Element Concentration ClarksGold Companion Element Clarke Concentrations
CuBiZnMoPbAgAs
2Average0.020.00060.0220.00280.00470.00010.01
Clarke0.010.000050.0220.00030.00160.000010.00024
Clarke concentration20121.09.32.91041.6
4Average0.0070.00040.0230.020.0050.000110.01
Clarke0.010.000050.0220.00030.00160.000010.00024
Clarke concentration0.78.01.056.663.21041.6
5Average0.0050.0002.0.010.000560.030.000020.01
Clarke0.010.000050.0220.00030.00160.000010.00024
Clarke concentration0.54.00.451.861.872.041.6
6Average0.0070.00010.0230.00130.040.00040.0017
Clarke0.010.000050.0220.00030.00160.000010.00024
Clarke concentration0.52.01.054.325407
7Average0.0110.000070.0060.00050.0140.000110.0016
Clarke0.010.00050.0220.00030.00160.000010.00024
Clarke concentration1.11.40.31.668.81.06.6
Disclaimer/Publisher’s Note: The statements, opinions and data contained in all publications are solely those of the individual author(s) and contributor(s) and not of MDPI and/or the editor(s). MDPI and/or the editor(s) disclaim responsibility for any injury to people or property resulting from any ideas, methods, instructions or products referred to in the content.

Share and Cite

MDPI and ACS Style

Seitmuratova, E.Y.; Goryaeva, V.S.; Saidasheva, F.F.; Arshamov, Y.K.; Baratov, R.T.; Dautbekov, D.O.; Shadiyev, N.S.; Mashrapova, M.A.; Dauletuly, A.; Karimbekov, T.K. The Current State of Research on Secondary Quartzites of the Northern Segment of the Jungar-Balkhash Folded System and Their Au Mineralization (Central Kazakhstan). Minerals 2023, 13, 813. https://doi.org/10.3390/min13060813

AMA Style

Seitmuratova EY, Goryaeva VS, Saidasheva FF, Arshamov YK, Baratov RT, Dautbekov DO, Shadiyev NS, Mashrapova MA, Dauletuly A, Karimbekov TK. The Current State of Research on Secondary Quartzites of the Northern Segment of the Jungar-Balkhash Folded System and Their Au Mineralization (Central Kazakhstan). Minerals. 2023; 13(6):813. https://doi.org/10.3390/min13060813

Chicago/Turabian Style

Seitmuratova, Eleonora Y., Vera S. Goryaeva, Farida F. Saidasheva, Yalkunzhan K. Arshamov, Refat T. Baratov, Diyas O. Dautbekov, Nurgali S. Shadiyev, Moldir A. Mashrapova, Ansagan Dauletuly, and Tauassar K. Karimbekov. 2023. "The Current State of Research on Secondary Quartzites of the Northern Segment of the Jungar-Balkhash Folded System and Their Au Mineralization (Central Kazakhstan)" Minerals 13, no. 6: 813. https://doi.org/10.3390/min13060813

APA Style

Seitmuratova, E. Y., Goryaeva, V. S., Saidasheva, F. F., Arshamov, Y. K., Baratov, R. T., Dautbekov, D. O., Shadiyev, N. S., Mashrapova, M. A., Dauletuly, A., & Karimbekov, T. K. (2023). The Current State of Research on Secondary Quartzites of the Northern Segment of the Jungar-Balkhash Folded System and Their Au Mineralization (Central Kazakhstan). Minerals, 13(6), 813. https://doi.org/10.3390/min13060813

Note that from the first issue of 2016, this journal uses article numbers instead of page numbers. See further details here.

Article Metrics

Back to TopTop