Ca3SiO4Cl2—An Anthropogenic Phase from Burnt Mine Dumps of the Chelyabinsk Coal Basin: Crystal Structure Refinement, Spectroscopic Study and Thermal Evolution
Abstract
1. Introduction
2. Materials and Methods
2.1. Occurrence
2.2. Chemical Composition
2.3. Raman Spectroscopy
2.4. High-Temperature Powder X-ray Diffraction
2.5. Single-Crystal X-ray Diffraction
3. Results
3.1. Chemical Composition
3.2. Raman Spectroscopy
3.3. Crystal Structure
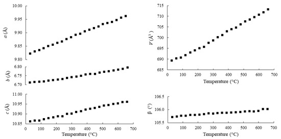
3.4. High-Temperature Behaviour
| T °C | 100 | 200 | 300 | 400 | 500 | 600 |
|---|---|---|---|---|---|---|
| α11 | 22.7(3) | 22.7(3) | 22.6(3) | 22.6(3) | 22.5(3) | 22.5(3) |
| α22 | 18.7(2) | 18.7(2) | 18.6(2) | 18.6(2) | 18.6(2) | 18.5(2) |
| α33 | 12.4(1) | 12.3(1) | 12.3(1) | 12.3(1) | 12.3(1) | 12.2(1) |
| μa1 | 13.4 | 13.5 | 13.5 | 13.5 | 13.6 | 13.6 |
| μb1 | 0 | 0 | 0 | 0 | 0 | 0 |
| μc1 | 29.2 | 29.3 | 29.4 | 29.4 | 29.5 | 29.6 |
| αa | 22.1(3) | 22.1(3) | 22.1(3) | 22.0(3) | 21.9(3) | 21.9(3) |
| αc | 14.8(3) | 14.8(3) | 14.8(3) | 14.8(3) | 14.8(3) | 14.7(3) |
| αV | 53.8(7) | 53.7(7) | 53.6(7) | 53.5(7) | 53.3(7) | 53.2(7) |

4. Discussion
Supplementary Materials
Author Contributions
Funding
Acknowledgments
Conflicts of Interest
References
- Chesnokov, B.V.; Vilisov, V.A.; Bazhenova, L.F.; Bushmakin, A.F.; Kotlyarov, V.A. Ural Mineralogical Volume. In New Minerals of Burned Spoil-Heaps of the Chelyabinsk Coal Basin (Communication No. 5); UIF “Nauka”: Ekaterinburg, Russia, 1993; pp. 3–36. [Google Scholar]
- Chesnokov, B.V.; Shcherbakova, E.P.; Nishanbaev, T.P. Minerals of Burned Spoil-Heaps of the Chelyabinsk Coal Basin; Institute of Mineralogy UrO RAS: Miass, Russia, 2008; p. 139. [Google Scholar]
- Zolotarev, A.A.; Krivovichev, S.V.; Panikorovskii, T.L.; Gurzhiy, V.V.; Bocharov, V.N.; Rassomakhin, M.A. Dmisteinbergite, CaAl2Si2O8, a metastable polymorph of anortite: Crystal-structure and raman spectroscopic study of the holotype specimen. Minerals 2019, 9, 570. [Google Scholar] [CrossRef]
- Krivovichev, S.V.; Shcherbakova, E.P.; Nishanbaev, T.P. The crystal structure of svyatoslavite and evolution of complexity during crystallization of a CaAl2Si2O8 melt: A structural automata description. Can. Mineral. 2012, 50, 585–592. [Google Scholar] [CrossRef]
- Avdontceva, M.S.; Zolotarev, A.A.; Krivovichev, S.V.; Krzhizhanovskaya, M.G.; Sokol, E.V.; Kokh, S.N.; Bocharov, V.N.; Rassomakhin, M.A.; Zolotarev, A.A. Fluorellestadite from burned coal dumps: Crystal structure refinement, vibrational spectroscopy data and thermal behavior. Mineral. Petrol. 2021, 115, 271–281. [Google Scholar] [CrossRef]
- Ma, C.; Sweeney Smith, S.A.; Connolly, H.C.; Beckett, J.R.; Rossman, G.R.; Schrader, D.L. Discovery of Cl-bearing mayenite, Ca12Al14O32Cl12, a new mineral in CV3 meteorite. In Proceedings of the 73rd Annual Meeting of the Meteoritical-Society 2010, New York, NY, USA, 26–30 July 2010. [Google Scholar]
- Merlino, S.; Perchiazzi, N. Modular mineralogy of the cuspidine group of minerals. Can. Mineral. 1988, 43, 1195–11202. [Google Scholar]
- Chesnokov, B.V. Fluorine and chlorine in the burnt dumps of the Chelyabinsk coal basin. Ural. Geol. J. 2000, 3, 153–163. [Google Scholar]
- Treushnikov, E.N.; Ilyukhin, V.V.; Belov, N.V. Crystal structure of the metastable phase of cement clinker Ca-chloroortosilicate Ca3[SiO4]Cl2. Dokl. Akad. Nauk. SSSR 1970, 193, 1043–1051. [Google Scholar]
- Gilbert, M.R. Site selectivity of dopant cations Ca3(SiO4)Cl2. J. Phys. Chem. Solids 2014, 75, 1004–1009. [Google Scholar] [CrossRef]
- Gilbert, M.R. Charge compensation in trivialent doped Ca3(SiO4)Cl2. MRS Online Proceeding Libr. 2015, 1744, 113–118. [Google Scholar] [CrossRef]
- Kim, T.-J.; Kim, T.; Kim, J.; Kim, S.-J.; Im, S.-J. Interplay between crystal structure and photoluminescence properties of β-Ca3SiO4Cl2:Eu2+. Phys. Chem. 2014, 118, 12428–12435. [Google Scholar] [CrossRef]
- Srodek, D.; Galuskina, I.O.; Galuskin, E.; Dulski, M.; Ksazek, M.; Kusz, J.; Gazeev, V. Chlorellestadite, Ca5(SiO4)1.5(SO4)1.5Cl, a new ellestadite-group mineral from the Shadil-Khokh volcano, South Ossetia. Mineral. Petrol. 2018, 112, 743–752. [Google Scholar] [CrossRef]
- Avdontceva, M.S.; Zolotarev, A.A.; Krivovichev, S.V.; Krzhizhanovskaya, M.G.; Bocharov, V.N.; Shilovskikh, V.V.; Zolotarev, A.A.; Rassomakhin, M.A. Rapidcreekite of anthropogenic origin—‘Korkinoite’ from burnt mine dump in the Chelyabinsk coal basin, South Urals, Russia: Crystal structure refinement, thermal behavior and spectroscopic characterization. Geosciences 2021, 66, 147–156. [Google Scholar] [CrossRef]
- Zolotarev, A.A.; Krivovichev, S.V.; Avdontceva, M.S.; Shilovskikh, V.V.; Rassomakhin, M.A.; Yapaskurt, V.O. Crystal chemistry of Alkali-Aluminum-Iron sulfates from the burnt mine dumps of the Chelyabinsk coal basin, South Urals, Russia. Crystals 2020, 10, 1062. [Google Scholar] [CrossRef]
- Laetsch, T.; Downs, R. Software for Identification and Refinement of Cell Parameters from Powder Diffraction Data of Minerals Using the RRUFF Project and American Mineralogist Crystal Structure Databases. In Proceedings of the 19th General Meeting of the International Mineralogical Association, Kobe, Japan, 23–28 July 2006. [Google Scholar]
- Sanders, J. Veusz (version 3.6.2). Available online: https://veusz.github.io/ (accessed on 1 April 2023).
- Schuck, G.; Iwata, A.; Sasaki, A.; Himeda, A.; Konaka, H.; Muroyama, N. PDXL structure analysis wizard. Acta Crystallogr. Found. Crystallogr. 2011, 67, C799–C800. [Google Scholar] [CrossRef]
- BRUKER-AXS Topas V4.2 General Profile and Structure Analysis Software for Powder Diffraction Data; Bruker-AXS: Karlsruhe, Germany, 2009.
- Bubnova, R.S.; Firsova, V.A.; Filatov, S.K. Program for determining the thermal expansion tensor and graphical representation of its characteristic surface (THETA TO TENSOR—TTT). Phys. Chem. Glass 2013, 39, 347–350. [Google Scholar] [CrossRef]
- CRYSALISPRO Software System, Version 1.171.39.44; Rigaku Oxford Diffraction: Oxford, UK, 2015.
- Dolomanov, O.V.; Bourhis, L.J.; Gildea, R.J.; Howard, J.A.K.; Puschmann, H. OLEX2: A complete structure solution, refinement and analisis program. Appl. Crystallogr. 2009, 42, 339–341. [Google Scholar] [CrossRef]
- Sheldrick, G.M. Crystal structure refinement with SHELXL. Acta Crystallogr. Struct. Chem. 2015, 71, 3–8. [Google Scholar] [CrossRef]
- Kolesov, B.A.; Geiger, C.A. Raman spectroscopic study of Fe-Mg olivines. Phys. Chem. Miner. 2004, 31, 142–154. [Google Scholar] [CrossRef]
- Kolesov, B.A.; Geiger, C.A. Raman spectra of silicate garnets. Phys. Chem. Miner. 1998, 25, 142–151. [Google Scholar] [CrossRef]
- Frost, R.L.; Palmer, S.J.; Bouzaid, J.M.; Reddy, B.J. A Raman spectroscopic study of humite minerals. Raman Spectrosc. 2007, 38, 68–77. [Google Scholar] [CrossRef]
- Onac, B.P.; Effenberger, H.; Ettinger, K.; Panzaru, S.C. Hydroxylellestadite from cioclovina cave (Romania): Microanalytical, structural, and vibrational spectroscopy data. Am. Mineral. 2006, 91, 1927–1931. [Google Scholar] [CrossRef]
- Shablinskii, A.P.; Melnikova, N.A.; Vergasova, L.P.; Murin, I.V.; Filatov, S.K.; Moskaleva, S.V.; Bubnova, R.S. Thermal expansion, shear deformations and electrical conductivity of alluaudite-group minerals (badalovite and calciojohillerite). Phys. Chem. Miner. 2021, 48, 14. [Google Scholar] [CrossRef]
- Biryukov, Y.P.; Zinnatullin, A.L.; Cherosov, M.A.; Shablinskii, A.P.; Yusupov, R.V.; Bubnova, R.S.; Vagizov, F.G.; Filatov, S.K.; Avdontceva, M.S.; Pekov, I.V. Low-temperature investigation of natural iron-rich oxoborates vonsenite and hulsite: Thermal deformations of crystal sctucrure, strong negative thermal expansion and cascades of magnetic transitions. Acta Crystallogr. B 2021, B77, 1021–1034. [Google Scholar] [CrossRef]
- Galuskin, E.V.; Galuskina, I.O.; Lazic, B.; Armbruster, T.; Zadov, A.E.; Krzykawski, T.; Banasik, K.; Gazeev, V.M.; Pertsev, N.N. Rusinovite, Ca10(Si2O7)3Cl2: A new skarn mineral from the Upper Chegem caldera, Kabardino-Balkaria, Northern Caucasus, Russia. Eur. J. Mineral. 2011, 23, 837–844. [Google Scholar] [CrossRef]






| Chemical Composition | Name |
|---|---|
| Ca7[SiO4]2Cl6 | ‘Rhytmite’ or ‘Rhythmite’ |
| Ca3Al2[SiO4]2Cl4 | ‘Igumnovite’ |
| Ca3[SiO4]Cl2 | ‘Albovite’ |
| Ca3Al2[SiO4]3-xCl4x (x = 0.3–0.4) | ‘Chlorohibschite’ |
| Ca13Al14(SiO4)4O24Cl4 | ‘Silicochlormayenite’ |
| Ca18Fe3+15AlSi4O47Cl6 | ‘Demidovskite’ |
| Ca10[Si2O7]3Cl2 | Rusinovite (‘Chesofiite’) |
| Ca8[Si2O7]2Cl2O | ‘Afanasievaite’ |
| Ca4[SiO4]2(Cl,F)2 | ‘Chlorcuspidine’ |
| Ca12Al14O32[□4Cl2] | Chlormayenite |
| Crystal System, Space Group, Z | Monoclinic, P21/c, 4 |
| a, b, c, Å | 9.8367(6), 6.7159(4), 10.8738(7) |
| β, ° | 105.735(6) |
| V, Å3 | 691.43(8) |
| ρcalc, g cm−3 | 2.721 |
| μ/mm-1 | 3.278 |
| F(000) | 560.0 |
| Radiation; λ, Å | MoKα; 0.71073 |
| 2Θ range for data collection, ° | 7.21 to 55.964 |
| Index ranges h, k, l | −12 ≤ h ≤ 12, −8 ≤ k ≤ 8, −14 ≤ l ≤ 14 |
| Reflections collected, | 4603 |
| Independent reflection | 1585 |
| Rint | 0.0457 |
| Rsigma | 0.0528 |
| Data/restrains/parameters | 1585/0/91 |
| R1/wR2(I ≥ 2σ (I)) | 0.0366/0.1363 |
| R1/wR2(all data) | 0.0548/0.2148 |
| S | 1.136 |
| Largest diff. peak/hole/e Å−3 | 1.53/−1.34 |
| Atom | x/a | y/b | z/c | Ueq, Å2 |
|---|---|---|---|---|
| Ca1 | 0.19638(11) | 0.25598(13) | 0.54605(9) | 0.0105(4) |
| Ca2 | 0.07921(10) | 0.04320(13) | 0.22909(8) | 0.0107(3) |
| Ca3 | 0.42903(12) | 0.77403(19) | 0.61100(10) | 0.0193(4) |
| Si1 | 0.12068(14) | 0.74981(16) | 0.53023(11) | 0.0067(4) |
| O1 | 0.2311(3) | 0.5819(5) | 0.6064(3) | 0.0119(7) |
| O2 | 0.2223(3) | 0.9275(5) | 0.5042(3) | 0.0104(7) |
| O3 | 0.0166(3) | 0.687(5) | 0.3921(3) | 0.0107(7) |
| O4 | 0.0174(4) | 0.8053(5) | 0.619(3) | 0.0116(7) |
| Cl1 | 0.71965(14) | 0.6781(2) | 0.68259(11) | 0.0198(4) |
| Cl2 | 0.49226(15) | 0.7081(2) | 0.87529(13) | 0.0268(4) |
| Ca1-O2 | 2.281(3) | Ca3-O2 | 2.295(3) |
| -O1 | 2.284(3) | -O1 | 2.325(4) |
| -O3 | 2.399(3) | Ca3-Cl2 | 2.799(1) |
| -O4 | 2.401(3) | -Cl2 | 2.806(1) |
| Ca1-Cl1 | 2.860(1) | -Cl1 | 2.826(1) |
| -Cl1 | 2.888(1) | -Cl2 | 3.010(2) |
| -Cl2 | 2.966(1) | <Ca3-O> | 2.31 |
| <Ca1-O> | 2.341 | <Ca3-Cl> | 2.853 |
| <Ca1-Cl> | 2.904 | ||
| Si1-O4 | 1.623(3) | ||
| Ca2-O4 | 2.347(3) | -O3 | 1.627(3) |
| -O3 | 2.348(3) | -O1 | 1.628(3) |
| -O4 | 2.378(3) | -O2 | 1.630(3) |
| -O3 | 2.416(3) | <Si1-O> | 1.627(3) |
| -O2 | 2.553(3) | ||
| -O1 | 2.636(3) | ||
| -Cl1 | 3.105(2) | ||
| <Ca2-O> | 2.446 |
Disclaimer/Publisher’s Note: The statements, opinions and data contained in all publications are solely those of the individual author(s) and contributor(s) and not of MDPI and/or the editor(s). MDPI and/or the editor(s) disclaim responsibility for any injury to people or property resulting from any ideas, methods, instructions or products referred to in the content. |
© 2023 by the authors. Licensee MDPI, Basel, Switzerland. This article is an open access article distributed under the terms and conditions of the Creative Commons Attribution (CC BY) license (https://creativecommons.org/licenses/by/4.0/).
Share and Cite
Brazhnikova, A.S.; Avdontceva, M.S.; Zolotarev, A.A.; Krzhizhanovskaya, M.G.; Bocharov, V.N.; Shilovskikh, V.V.; Rassomakhin, M.A.; Gurzhiy, V.V.; Krivovichev, S.V. Ca3SiO4Cl2—An Anthropogenic Phase from Burnt Mine Dumps of the Chelyabinsk Coal Basin: Crystal Structure Refinement, Spectroscopic Study and Thermal Evolution. Minerals 2023, 13, 668. https://doi.org/10.3390/min13050668
Brazhnikova AS, Avdontceva MS, Zolotarev AA, Krzhizhanovskaya MG, Bocharov VN, Shilovskikh VV, Rassomakhin MA, Gurzhiy VV, Krivovichev SV. Ca3SiO4Cl2—An Anthropogenic Phase from Burnt Mine Dumps of the Chelyabinsk Coal Basin: Crystal Structure Refinement, Spectroscopic Study and Thermal Evolution. Minerals. 2023; 13(5):668. https://doi.org/10.3390/min13050668
Chicago/Turabian StyleBrazhnikova, Anastasia S., Margarita S. Avdontceva, Andrey A. Zolotarev, Maria G. Krzhizhanovskaya, Vladimir N. Bocharov, Vladimir V. Shilovskikh, Mikhail A. Rassomakhin, Vladislav V. Gurzhiy, and Sergey V. Krivovichev. 2023. "Ca3SiO4Cl2—An Anthropogenic Phase from Burnt Mine Dumps of the Chelyabinsk Coal Basin: Crystal Structure Refinement, Spectroscopic Study and Thermal Evolution" Minerals 13, no. 5: 668. https://doi.org/10.3390/min13050668
APA StyleBrazhnikova, A. S., Avdontceva, M. S., Zolotarev, A. A., Krzhizhanovskaya, M. G., Bocharov, V. N., Shilovskikh, V. V., Rassomakhin, M. A., Gurzhiy, V. V., & Krivovichev, S. V. (2023). Ca3SiO4Cl2—An Anthropogenic Phase from Burnt Mine Dumps of the Chelyabinsk Coal Basin: Crystal Structure Refinement, Spectroscopic Study and Thermal Evolution. Minerals, 13(5), 668. https://doi.org/10.3390/min13050668

