The Geology, Petrography, and Geochemistry of Egyptian Dokhan Volcanics: A Potential Source for Construction Aggregate
Abstract
1. Introduction
2. Materials and Methods
3. Geological Setting

4. Results
4.1. Petrography
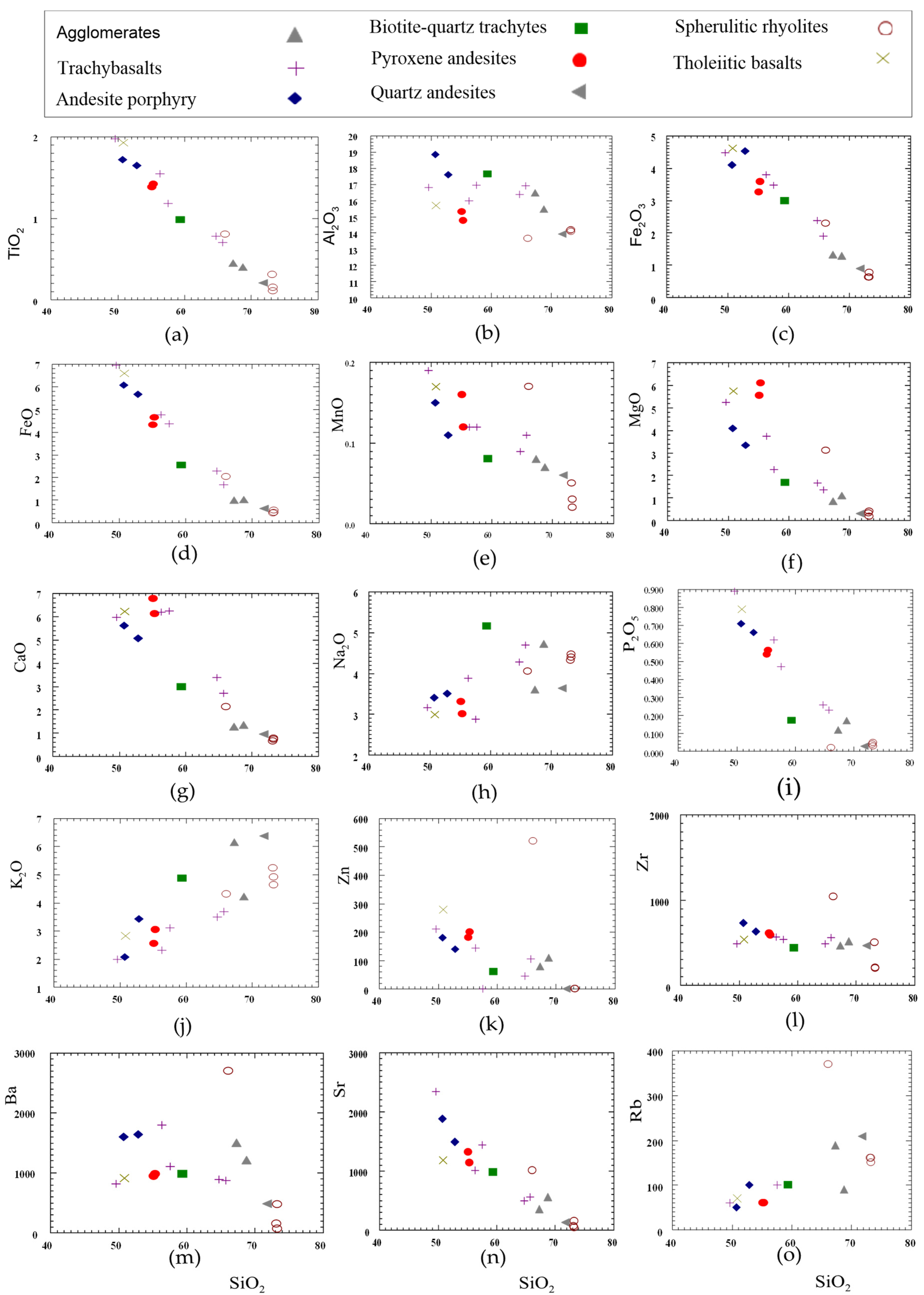
4.2. Geochemistry
4.2.1. Source and Fractionation
4.2.2. Adakitic Affinity
4.3. Experimental Procedures
4.3.1. Properties of the Studied Raw Materials
4.3.2. Mix Design
4.3.3. Concrete Test Results
5. Discussion
6. Conclusions
- Dokhan volcanics are a suitable alternative that addresses the problem of quarry closures in the Gabal Ataqa area.
- The tested Dokhan volcanics demonstrate a hardness and corrosion resistance superior to crushed dolomite. The compressive strength of concrete incorporating Dokhan volcanics is higher than that of crushed dolomite, in turn reflected in the concrete’s durability.
- Water absorption for Dokhan volcanics is less than that of crushed dolomite, in turn positively affecting the water-to-cement ratio (w/c) and compressive strength. Consequently, overall cost reduction is anticipated, through the lower cement requirement per cubic meter.
- Related to using Dokhan volcanics as concrete aggregate—for a cement content of 400 kg/m3—these volcanic rocks yield higher compressive strength results after 28 days compared to the corresponding compressive strength of dolomite aggregate. The lowest and highest compressive test results were 46.8 MPa and 67.5 MPa, respectively, yielding an average advantage of 36%, compared to dolomite concrete.
Author Contributions
Funding
Conflicts of Interest
References
- Ismail, A.I.M.; Sadek, G. Acidic rocks as Aggregates in Concrete: Engineering Properties, Microstructures and Petrologic Characteristics. Geotech. Geol. Eng. 2009, 27, 519–528. [Google Scholar] [CrossRef]
- El-Desoky, H.M.; Ahmed, E.K. Petrography and Geochemistry of Basic Dokhan Volcanics from the Eastern Desert of Egypt and their use as Aggregates in Concrete Mixes. Arab. J. Geosci. 2015, 8, 6791–6809. [Google Scholar] [CrossRef]
- Kishore, I.S.; Mounika, L.; Prasad, C.M.; Krishna, B.H. Experimental Study on the use of Basalt Aggregate in Concrete Mixes. Int. J. Civ. Eng. 2015, 2, 39–42. [Google Scholar]
- Al-Zou’by, J.; Al-Zboon, K.K. Effect of Volcanic Tuff on the Characteristics of Cement Mortar. Cerâmica 2014, 60, 279–284. [Google Scholar] [CrossRef]
- Medeiros, S.I.F.; João, N. Identification of Alkali-Silica Reactions in Santa Maria Island Airport. In Proceedings of the International Multidisciplinary Scientific GeoConference (SGEM), Albena, Bulgaria, 17–26 June 2014; Volume 2, pp. 487–494. [Google Scholar]
- Ozbek, A.M.U.; Aydin, D. Estimating Uniaxial Compressive Strength of Rocks Using Genetic Expression Programming. J. Rock Mech. Geotech. Eng. 2013, 5, 325–329. [Google Scholar] [CrossRef]
- Mathew, E.M.; Jamal, S.M.; Abraham, R. Weathered Crystalline Rock: Suitability as Fine Aggregate in Concrete—A Comparative Study. Int. J. Innov. Res. Sci. Eng. Technol. 2013, 2, 960–969. [Google Scholar]
- Aydin, A.C.; Karakoç, M.B.; Düzgün, O.A.; Bayraktutan, M.S. Effect of Low-Quality Aggregates on the Mechanical Properties of Lightweight Concrete. Sci. Res. Essays 2010, 5, 1133–1140. [Google Scholar]
- Yasar, E.; Tolgay, A.; Teymen, A. Industrial Usage of Nevsehir-Kayseri (Turkey) Tuff stone. World Appl. Sci. J. 2009, 7, 271–284. [Google Scholar]
- De Gennaro, R.; Cappelletti, P.; Cerri, G.; De’Gennaro, M.; Dondi, M.; Graziano, S.F.; Langella, A. Campanian Ignimbrite as Raw Material for Lightweight Aggregates. Appl. Clay Sci. 2007, 37, 115–126. [Google Scholar] [CrossRef]
- Kabesh, M.L.; Shahin, A.N. Geology of the Basement Rocks of Esh El Mellaha Range. Desert Inst. Bull. 1969, 2, 109–149. [Google Scholar]
- Kabesh, M.L.; Abdel Khaleek, M.Z.; Refaat, A.M. Geology of Wadi El Mellaha Range, Eastern Desert (UAR). J. Geol. 1970, 14, 53–84. [Google Scholar]
- Abu El-Leil, I.; Khalaf, I.M.; Sweifi, B.; Heikal, M.A. The Dokhan volcanics of Esh El Mellaha Range, Petrography, Tectonic Environment and Petrogenesis. Al-Azhar Bull. Sci. 1990, 1, 69–80. [Google Scholar]
- El Sheshtawi, Y.A.; El Tokhi, M.M.; Ahmed, A.M. Petrogenesis of the Dokhan Volcanics of Wadi Dib and Wadi Abu Had, Esh El Mellaha, North Eastern Desert, Egypt. Ann. Geol. Surv. Egypt 1997, 20, 163–184. [Google Scholar]
- El-Rahmany, M.M. Petrography and Petrochemistry of some Dokhan volcanics, Eastern Desert, Egypt (Wassif Volcanics). Master’s Thesis, Faculty of Science, Al-Azhar University, Cairo, Egypt, 1979. [Google Scholar]
- Moghazi, A.M. Geochemistry and Petrogenesis of a High-K Calc-Alkaline Dokhan Volcanic Suite, South Safaga Area, Egypt: The Role of Late Neoproterozoic Crustal Extension. Precambrian Res. 2003, 125, 161–178. [Google Scholar] [CrossRef]
- Asran, A.M.H. Geochemistry and Petrogenesis of Neoproterozoic Nuqara Dokhan Volcanics, Central Eastern Desert, Egypt. Fac. Sci. Bull. (Assiut Univ.) 2003, 32, 69–88. [Google Scholar]
- Gharib, M.E.; Ahmed, H.A. Late Neoproterozoic Volcanics and Associated Granitoids at Wadi Ranga, South Eastern Desert, Egypt: A Transition from Subduction Related to Intra-Arc Magmatism. Lithos 2012, 155, 236–255. [Google Scholar] [CrossRef]
- Khalaf, E.E.D.A.H. Origin and Evolution of Post-Collisional Volcanism: An Example from Neoproterozoic Dokhan Volcanics at Gabal Nugara Area, Northeastern Desert, Egypt. Arab. J. Geosci. 2012, 5, 663–695. [Google Scholar] [CrossRef]
- Yaseen, I.A.A.B.; Abidrabbu, A.Y. Mineralogy, Petrology and Geochemistry of the Basalt Flows at Ash-Shun Ash-Shamaliyya Area, North West Jordan. Earth 2016, 5, 82–95. [Google Scholar]
- Khalil, A.E.; El-Desoky, H.M.; Shahin, T.M.; Abdelwahab, W. Late Cryogenian Arc-Related Volcaniclastic Metasediment Successions at Wadi Hammuda, Central Eastern Desert, Egypt: Geology and Geochemistry. Arab. J. Geosci. 2018, 11, 74. [Google Scholar] [CrossRef]
- EL Desoky, H.M.; Shahin, T.M. Characteristics of Lava-Sediments Interactions During Emplacement of Mid-Tertiary Volcanism, Northeastern Desert, Egypt: Field Geology and Geochemistry Approach. Arab. J. Geosci. 2020, 13, 328. [Google Scholar] [CrossRef]
- Schmid, R. Descriptive Nomenclature and Classification of Pyroclastic Deposits and Fragments. Geol. Rundsch. 1981, 70, 794–799. [Google Scholar] [CrossRef]
- Egyptian Mineral Resources Authority. Geologic Map of Hurghada (AL-Ghardaqah) Quadrangle, Scale 1:250,000; Egyptian Mineral Resources Authority: Cairo, Egypt, 2005. [Google Scholar]
- Whitny, D.L.; Evans, B.W. Abbreviations for Names of Rock-Forming Minerals. Am. Mineral. 2010, 95, 185–187. [Google Scholar] [CrossRef]
- Harris, C. The petrology of Lavas and Associated Plutonic Inclusions of Ascension Island. J. Petrol. 1983, 24, 424–470. [Google Scholar] [CrossRef]
- Stolz, A.J. The role of Fractional Crystallization in the Evolution of the Nandewar Volcano, North-Eastern New South Wales, Australia. J. Petrol. 1985, 26, 1002–1026. [Google Scholar] [CrossRef]
- Bas, M.L.; Maitre, R.L.; Streckeisen, A.; Zanettin, B. A chemical Classification of Volcanic Rocks Based on the Total Alkali-Silica Diagram. J. Petrol. 1986, 27, 745–750. [Google Scholar] [CrossRef]
- Mario, E.T. Classification of Igneous Rocks and Glossary of Terms; Recommendations of the IUGS Subcommission on the Systematics of Igneous rocks; Blackwell Scientific Publications: London, UK, 1980; p. 34. [Google Scholar]
- Le Maitre, R.W. Igneous Rocks: A Classification Glossary of Terms, 2nd ed.; Cambridge University Press: New York, NY, USA, 2002; p. 237. [Google Scholar]
- Irvine, T.N.; Baragar, W.R.A. A Guide to the Chemical Classification of the Common Volcanic Rocks. Can. J. Earth Sci. 1971, 8, 523–548. [Google Scholar] [CrossRef]
- Eliwa, H.A.; Kimura, J.; Itaya, T. Late Neoproterozoic Dokhan Volcanics, North Eastern Desert, Egypt: Geochemistry and Petrogenesis. Precambrian Res. 2006, 151, 31–52. [Google Scholar] [CrossRef]
- Ewart, A. A Review of the Mineralogy and Chemistry of Tertiary-Recent Dacitic, Latitic, Rhyolitic, and Related Salic Volcanic Rocks. Dev. Petrol. 1979, 6, 13–121. [Google Scholar]
- Ewart, A. The Mineralogy and Petrology of Tertiary-Recent Orogenic Volcanic Rocks; with Special Reference to the Andesitic-Basaltic Compositional Range; John Wiley: London, UK, 1982; pp. 25–87. [Google Scholar]
- Miyashiro, A.; Shido, F. Tholeiitic and Calc-Alkaline Series in Relation to the Behavior of Titanium, Vanadium, Chromium and Nickle. Am. J. Sci. 1975, 275, 265–277. [Google Scholar] [CrossRef]
- Miller, C.F.; Mittlefehldt, D.W. Extreme Fractionation in Felsic Magma Chambers: A Product of Liquid-State Diffusion or Fractional Crystallization. Earth Planet. Sci. Lett. 1984, 68, 151–158. [Google Scholar] [CrossRef]
- Abdel-Rahman, A.F.M. Pan-African Volcanism: Petrology and Geochemistry of the Dokhan Volcanic Suite in the Northern Nubian Shield. Geol. Mag. 1996, 133, 17–31. [Google Scholar] [CrossRef]
- Watson, E.B. Zircon Saturation in Felsic Liquids: Experimental Results and Applications to Trace Element Geochemistry. Contrib. Mineral. Petrol. 1979, 70, 407–419. [Google Scholar] [CrossRef]
- Tronnes, R.G. Geology and Geodynamics of Iceland: Unpublished Field Guide (Internal Document); University of Iceland: Reykjavik, Iceland, 2002; pp. 22–30. [Google Scholar]
- Meganck, A. Stratigraphy and Petrology of Volcanics from an Abandoned Tertiary Rift in Langadalsfjall, Iceland. In Proceedings of the Seventeenth Annual Keck Research Symposium in Geology Proceedings, Washington and Lee University, Lexington, VA, USA, 1 April 2004; pp. 135–138. [Google Scholar]
- Defant, M.J.; Drummond, M.S. Derivation of Some Modern Arc Magmas by Melting of Young Subducted Lithosphere. Nature 1990, 347, 662–665. [Google Scholar] [CrossRef]
- Maury, R.C.; Sajona, F.G.; Pubellier, M.; Bellon, H.; Defant, M.J. Fusion de la Croûte Océanique dans les Zones de Subduction/Collision Récentes: L’exemple de Mindanao (Philippines). Bull. Soc. Geol. Fr. 1996, 167, 579–595. [Google Scholar]
- Martin, H. Adakitic Magmas: Modern Analogues of Archean Granitoids. Lithos 1999, 26, 411–429. [Google Scholar] [CrossRef]
- Kay, R.W. Aleutian Magnesian Andesites: Melts from Subducted Pacific Ocean Crust. J. Volcanol. Geotherm. Res. 1978, 4, 117–132. [Google Scholar] [CrossRef]
- Rogers, G.; Saunders, A.D.; Terrell, D.J.; Verma, S.P.; Marriner, G.F. Geochemistry of Holocene Volcanic Rocks Associated with Ridge Subduction in Baja California, Mexico. Nature 1985, 315, 389–392. [Google Scholar] [CrossRef]
- Calmus, T.; Aguillón-Robles, A.; Maury, R.C.; Bellon, H.; Benoit, M.; Cotten, J.; Bourgois, J.; Michaud, F. Spatial and Temporal Evolution of Basalts and Magnesian Andesites (“Bajaites”) from Baja California, Mexico: The Role of Slab Melts. Lithos 2003, 66, 77–105. [Google Scholar] [CrossRef]
- Defant, M.J.; Drummond, M.S.; Mount, S. Helens: Potential Example of the Partial Melting of the Subducted Lithosphere in a Volcanic Arc. Geology 1993, 21, 547–550. [Google Scholar] [CrossRef]
- Martin, H.M.; Moyen, J.F.M. Secular Changes in TTG Composition: Comparison with Modern Adakites. In Proceedings of the EGS-AGU-EUG Joint Assembly, Nice, France, 6–11 April 2003; pp. 26–73. [Google Scholar]
- Martin, H.; Smithies, R.H.; Rapp, R.; Moyen, J.F.; Champion, D. An Overview of Adakite, Tonalite–Trondhjemite–Granodiorite (TTG) and Sanukitoid: Relationships and Some Implications for Crustal Evolution. Lithos 2005, 79, 1–24. [Google Scholar] [CrossRef]
- Rapp, R.P.; Watson, E.B.; Miller, C.F. Partial Melting of Amphibolite/Eclogite and the Origin of Archean Trondhjemites and Tonalites. Precambrian Res. 1991, 51, 1–25. [Google Scholar] [CrossRef]
- Rapp, R.P.; Shimizu, N.; Norman, M.D.; Applegate, G.S. Reaction between Slab-Derived Melts and Peridotite in the Mantle Wedge: Experimental Constraints at 3.8 GPa. Chem. Geol. 1999, 160, 335–356. [Google Scholar] [CrossRef]
- Rapp, R.P.; Xiao, L.; Shimizu, N. Experimental Constraints on the Origin of Potassium-Rich Adakite in East China. Acta Petrol. Sin. 2002, 18, 293–311. [Google Scholar]
- Sen, C.; Dunn, T. Experimental Modal Metasomatism of a Spinel Iherzolite and the Production of Amphibole-Bearing Peridotite. Contrib. Mineral. Petrol. 1994, 119, 422–432. [Google Scholar] [CrossRef]
- Rapp, R.P.; Robert, P.; Bruce, W.E. Dehydration Melting of Metabasalt at 8–32 kBar: Implications for Continental Growth and Crust-Mantle Recycling. J. Petrol. 1995, 36, 891–931. [Google Scholar] [CrossRef]
- Prouteau, G.; Scaillet, B.; Pichavant, M.; Maury, R.C. Fluid-Present Melting of Ocean Crust in Subduction Zones. Geology 1999, 27, 1111–1114. [Google Scholar] [CrossRef]
- Skjerlie, K.P.; Patiñodouce, A.E. The fluid-absent partial melting of a zoisite-bearing quartz eclogite from 1·0 to 3·2 GPa; Implications for melting in thickened continental crust and for subduction-zone processes. J. Petrol. 2002, 43, 291–314. [Google Scholar] [CrossRef]
- Kay, R.W.; Kay, S.M. Delamination and Delamination Magmatism. Tectonophysics 1993, 219, 177–189. [Google Scholar] [CrossRef]
- Drummond, M.S.; Defant, M.J.; Kepezhinskas, P.K. Petrogenesis of Slab-Derived Trondhjemite–Tonalite–Dacite/Adakite Magmas. Earth Environ. Sci. Trans. R. Soc. Edinb. 1996, 87, 205–215. [Google Scholar]
- Stern, C.R.; Kilian, R. Role of the Subducted Slab, Mantle Wedge and Continental Crust in the Generation of Adakites from the Andean Austral Volcanic Zone. Contrib. Mineral. Petrol. 1996, 123, 263–281. [Google Scholar] [CrossRef]
- Sajona, F.G.; Maury, R.C.; Pubellier, M.; Leterrier, J.; Bellon, H.; Cotton, J. Magmatic Source Enrichment by Slab-Derived Melts in a Young Post-Collision Setting, Central Mindanao (Philippines). Lithos 2000, 54, 173–206. [Google Scholar] [CrossRef]
- Aguillón, R.A.; Calmus, T.; Benoit, M.; Bellon, H.; Maury, R.C.; Cotten, J.; Michaud, F. Late Miocene Adakites and Nb-Enriched Basalts from Vizcaino Peninsula, Mexico: Indicators of East Pacific Rise Subduction Below Southern Baja California. Geology 2001, 29, 531–534. [Google Scholar] [CrossRef]
- Defant, M.J.; Kepezhinskas, P.; Defant, M.J.; Xu, J.F.; Kepezhinskas, P.; Wang, Q.; Xiao, L. Adakites: Some Variations on a Theme. Acta Petrol. Sin. 2002, 18, 129–142. [Google Scholar]
- Atherton, M.P.; Petford, N. Generation of Sodium-Rich Magmas from Newly Underplated Basaltic Crust. Nature 1993, 362, 144–146. [Google Scholar] [CrossRef]
- Muir, R.J.; Weaver, S.D.; Bradshaw, J.D.; Eby, G.N.; Evans, J.A. The Cretaceous Separation Point Batholith, New Zealand: Granitoid Magmas Formed by Melting of Mafic Lithosphere. J. Geol. Soc. 1995, 152, 689–701. [Google Scholar] [CrossRef]
- Petford, N.; Atherton, M. Na-Rich Partial Melts from Newly Underplated Basaltic Crust: The Cordillera Blanca Batholith, Peru. J. Petrol. 1996, 37, 1491–1521. [Google Scholar] [CrossRef]
- Johnson, K.; Barnes, C.G.; Miller Christopher, A. Petrology, Geochemistry, and Genesis of High-Al Tonalite and Trondhjemites of the Cornucopia Stock, Blue Mountains, Northeastern Oregon. J. Petrol. 1997, 38, 1585–1611. [Google Scholar] [CrossRef]
- Xiong, X.L.; Li, X.H.; Xu, J.F.; Li, W.X.; Zhao, Z.H.; Wang, Q.; Chen, X.M. Extremely High-Na Adakite-Like Magmas Derived from Alkali-Rich Basaltic Underplate: The Late Cretaceous Zhantang Andesites in the Huichang Basin, SE China. Geochem. J. 2003, 37, 233–252. [Google Scholar] [CrossRef]
- Egyptian Standards ES 1109 (Aggregates for Concrete); Egyptian Organization for Standards and Quality: Cairo, Egypt, 2021; p. 52.
- National Housing and Building Research Center (HBRC). Egyptian Code of Practice ECP 203, 5th ed.; National Housing and Building Research Center (HBRC): Giza, Egypt, 2020; pp. 21–26. [Google Scholar]














| Rock Type | Basic Dokhan Volcanics | |||||
|---|---|---|---|---|---|---|
| Major Oxides (wt. %) | Trachybasalts | Tholeiitic Basalts | ||||
| S.No. | 1B | 2B | 5B | 1BD | 4BD | 4US |
| SiO2 | 56.31 | 64.64 | 65.66 | 57.54 | 49.65 | 50.88 |
| TiO2 | 1.55 | 0.78 | 0.7 | 1.18 | 1.98 | 1.93 |
| Al2O3 | 16.00 | 16.39 | 16.9 | 16.95 | 16.82 | 15.71 |
| FeO | 4.77 | 2.28 | 1.69 | 4.36 | 6.95 | 6.6 |
| Fe2O3 | 3.79 | 2.39 | 1.91 | 3.47 | 4.48 | 4.62 |
| MnO | 0.12 | 0.09 | 0.11 | 0.12 | 0.19 | 0.17 |
| MgO | 3.74 | 1.66 | 1.35 | 2.27 | 5.25 | 5.74 |
| CaO | 6.19 | 3.4 | 2.71 | 6.25 | 5.98 | 6.23 |
| Na2O | 3.88 | 4.28 | 4.69 | 2.87 | 3.17 | 2.99 |
| K2O | 2.32 | 3.5 | 3.69 | 3.1 | 1.99 | 2.83 |
| P2O5 | 0.62 | 0.26 | 0.23 | 0.47 | 0.89 | 0.79 |
| SO3 | 0.21 | 0.08 | 0.06 | 0.03 | 0.08 | 0.06 |
| Cl | 0.03 | 0.03 | 0.03 | 0.03 | 0.04 | 0.02 |
| LOI | 6.39 | 0.04 | 0.71 | 1.22 | 1.92 | 1.09 |
| Total | 99.53 | 99.76 | 99.73 | 99.85 | 99.39 | 99.64 |
| Trace elements (ppm) | ||||||
| Zn | 145 | 45 | 105 | 0 | 210 | 280 |
| Ba | 1795 | 890 | 870 | 1110 | 820 | 920 |
| Co | 150 | 95 | 0 | 130 | 240 | 240 |
| Cr | 160 | 0 | 0 | 100 | 0 | 250 |
| Cu | 70 | 50 | 0 | 120 | 110 | 100 |
| Ga | 0 | 0 | 0 | 40 | 50 | 30 |
| Nb | 0 | 0 | 0 | 0 | 10 | 30 |
| Ni | 0 | 0 | 0 | 60 | 120 | 170 |
| Pb | 0 | 0 | 0 | 30 | 0 | 330 |
| Rb | 0 | 0 | 0 | 100 | 60 | 70 |
| Y | 30 | 35 | 35 | 30 | 30 | 40 |
| Zr | 565 | 485 | 560 | 540 | 490 | 540 |
| Sr | 1010 | 500 | 560 | 1440 | 2340 | 1180 |
| Ce | 0 | 0 | 0 | 0 | 0 | 0 |
| F | 0 | 0 | 0 | 0 | 620 | 0 |
| Na2O/K2O | 1.67 | 1.2 | 1.27 | 0.92 | 1.59 | 1.05 |
| Rock Type | Intermediate Dokhan Volcanics | |||||
|---|---|---|---|---|---|---|
| Major Oxides (wt. %) | Andesite Porphyry | Pyroxene Andesites | Quartz Andesites | Trachytes | ||
| S.No. | 2ID | 5ID | 7US | 10US | 16GW | 1US |
| SiO2 | 50.70 | 52.80 | 55.12 | 55.34 | 71.70 | 59.34 |
| TiO2 | 1.72 | 1.65 | 1.38 | 1.42 | 0.21 | 0.98 |
| Al2O3 | 18.85 | 17.61 | 15.32 | 14.78 | 13.93 | 17.62 |
| FeO | 6.07 | 5.66 | 4.31 | 4.65 | 0.62 | 2.54 |
| Fe2O3 | 4.11 | 4.53 | 3.26 | 3.59 | 0.90 | 2.99 |
| MnO | 0.15 | 0.11 | 0.16 | 0.12 | 0.06 | 0.08 |
| MgO | 4.10 | 3.33 | 5.54 | 6.10 | 0.30 | 1.69 |
| CaO | 5.62 | 5.06 | 6.76 | 6.11 | 0.96 | 2.98 |
| Na2O | 3.40 | 3.51 | 3.31 | 3.01 | 3.63 | 5.16 |
| K2O | 2.08 | 3.44 | 2.65 | 3.05 | 6.73 | 4.88 |
| P2O5 | 0.71 | 0.66 | 0.54 | 0.56 | 0.03 | 0.17 |
| SO3 | 0.15 | 0.06 | 0.09 | 0.17 | 0.07 | 0.09 |
| Cl | 0.04 | 0.03 | 0.04 | 0.03 | 0.03 | 0.02 |
| LOI | 1.92 | 1.52 | 0.94 | 0.99 | 0.46 | 0.45 |
| Total | 99.61 | 99.97 | 99.32 | 99.91 | 99.28 | 98.99 |
| Trace elements (ppm) | ||||||
| Zn | 180 | 140 | 180 | 200 | 0 | 60 |
| Ba | 1600 | 1650 | 950 | 480 | 420 | 980 |
| Co | 210 | 270 | 200 | 170 | 0 | 0 |
| Cr | 170 | 180 | 290 | 400 | 0 | 0 |
| Cu | 0 | 190 | 110 | 60 | 0 | 50 |
| Ga | 30 | 40 | 40 | 40 | 20 | 30 |
| Nb | 30 | 30 | 0 | 20 | 30 | 0 |
| Ni | 140 | 120 | 200 | 220 | 0 | 0 |
| Pb | 60 | 80 | 80 | 60 | 30 | 40 |
| Rb | 50 | 100 | 60 | 60 | 210 | 100 |
| Y | 40 | 30 | 30 | 40 | 50 | 30 |
| Zr | 730 | 630 | 610 | 590 | 470 | 440 |
| Sr | 1880 | 1500 | 1320 | 1140 | 130 | 980 |
| Ce | 0 | 620 | 540 | 640 | 390 | 810 |
| F | 0 | 0 | 1550 | 0 | 0 | 1060 |
| Na2O/K2O | 1.10 | 1.02 | 1.25 | 0.98 | 0.54 | 1.05 |
| Rock Type | Acidic Volcanics | Pyroclastics | ||||
|---|---|---|---|---|---|---|
| Spherulitic Rhyolites | Agglomerates | |||||
| S No. | 11GW | 15GW | 21GW | 23GW | 13US | 26GW |
| SiO2 | 73.21 | 66.02 | 73.20 | 73.10 | 68.74 | 67.26 |
| TiO2 | 0.15 | 0.80 | 0.11 | 0.31 | 0.4 | 0.45 |
| Al2O3 | 4.19 | 13.66 | 14.09 | 14.15 | 15.5 | 16.5 |
| FeO | 0.56 | 2.03 | 0.46 | 0.44 | 1.04 | 1.01 |
| Fe2O3 | 0.78 | 2.30 | 0.63 | 0.63 | 1.3 | 1.32 |
| MnO | 0.03 | 0.17 | 0.02 | 0.05 | 0.07 | 0.08 |
| MgO | 0.41 | 3.21 | 0.19 | 0.32 | 1.1 | 0.85 |
| CaO | 0.72 | 2.13 | 0.77 | 0.66 | 1.37 | 1.28 |
| Na2O | 4.40 | 4.05 | 4.46 | 4.33 | 4.72 | 3.16 |
| K2O | 4.91 | 4.32 | 4.63 | 5.24 | 4.22 | 6.17 |
| P2O5 | 0.05 | 0.02 | 0.03 | 0.04 | 0.17 | 0.12 |
| SO3 | 0.06 | 0.01 | 0.04 | 0.17 | 0.08 | 0.03 |
| Cl | 0.03 | 0.03 | 0.03 | 0.04 | 0.02 | 0.03 |
| LOI | 0.40 | 1.14 | 0.50 | 0.47 | 0.55 | 0.88 |
| Total | 99.91 | 99.80 | 99.16 | 99.93 | 99.27 | 99.58 |
| Trace elements (ppm) | ||||||
| Zn | 0 | 520 | 0 | 0 | 110 | 80 |
| Ba | 720 | 2700 | 480 | 150 | 1220 | 1510 |
| Cr | 0 | 220 | 80 | 0 | 60 | 80 |
| Cu | 0 | 29,420 | 0 | 100 | 40 | 60 |
| Ga | 20 | 70 | 30 | 30 | 30 | 30 |
| Nb | 20 | 50 | 10 | 20 | 30 | 10 |
| Ni | 40 | 80 | 30 | 40 | 40 | 30 |
| Pb | 0 | 90 | 30 | 60 | 50 | 60 |
| Rb | 160 | 370 | 150 | 160 | 90 | 190 |
| Y | 40 | 90 | 20 | 50 | 40 | 30 |
| Zr | 210 | 1040 | 200 | 500 | 520 | 470 |
| Sr | 150 | 1010 | 50 | 70 | 560 | 360 |
| Ce | 720 | 0 | 190 | 300 | 0 | 0 |
| Na2O/K2O | 0.90 | 0.94 | 0.96 | 0.83 | 1.12 | 0.51 |
| Property | Test Result | Specification (ES 1109) [68] |
|---|---|---|
| Relative density | 2.56 | N.A |
| Bulk density (ton/m3) | 1.53 | N.A |
| Fineness modulus | 2.40 | 3% |
| Clay and fine material (%) | 2.00 | ≤4.00 (weight) |
| Sieve size (mm) | 4.75 | 2.36 | 1.18 | 0.600 | 0.300 | 0.150 |
| Passing (%) | 99.6 | 98.6 | 95.3 | 85.0 | 57.6 | 6.3 |
| Specification (second zone) (ES 1109) [68] | 100-89 | 100-60 | 100-30 | 100-15 | 70-5 | 15-0 |
| Property | Test Result | Specification (ECP 203) [69] |
|---|---|---|
| Chloride (Cl-) content (%) | 0.035 | ≤0.06 |
| Sulfate (SO3-) content (%) | 0.08 | ≤0.40 |
| Sample Location | Wet Density (ton/m3) | Apparent Specific Gravity | Bulk Density (ton/m3) | Water Absorption % | Specification (ECP 203) [69] |
|---|---|---|---|---|---|
| Wadi Abu Zoghot | 2.67 | 2.69 | 2.66 | 0.40 | ≤2.50 |
| Um Sidrah-1Us | 2.71 | 2.73 | 2.70 | 0.40 | |
| Um Sidrah-2Us | 2.68 | 2.70 | 2.68 | 0.30 | |
| Wadi Al-Ushsh | 2.68 | 2.70 | 2.67 | 0.40 | |
| Wadi El-Ghafiryia | 2.69 | 2.70 | 2.68 | 0.30 | |
| Wadi Al-Radah-Luman | 2.70 | 2.71 | 2.69 | 0.30 | |
| Gabal Ghuwayrib | 2.69 | 2.71 | 2.68 | 0.40 | |
| Ataqa (Dolomite) | 2.56 | 2.65 | 2.51 | 2.15 |
| Sieve Size (mm) | Wadi Abu-Zoghot | Om Sidra (1) | Om Sidra (2) | Wadi Al-Ushsh | Wadi Al-Radah- Luman | Wadi El-Ghafiryia | Gabal Ghuwayrib |
|---|---|---|---|---|---|---|---|
| Passing (%) | |||||||
| 37.5 | 100.0 | 100.0 | 100.0 | 100.0 | 100.0 | 100.0 | 100.0 |
| 25 | 95.4 | 95.6 | 95.5 | 95.1 | 95 | 96.3 | 95.9 |
| 19 | 62.6 | 75.3 | 62.8 | 60.8 | 60 | 70.6 | 50.6 |
| 12.5 | 36.0 | 38.9 | 35.8 | 35 | 41.7 | 26.4 | 25.8 |
| 9.5 | 24.0 | 16.0 | 22 | 19.6 | 28.0 | 12.2 | 12.4 |
| 4.75 | 8.0 | 3.1 | 7.8 | 5.2 | 8.5 | 5.5 | 4.4 |
| 2.36 | 2.0 | 0.4 | 2.6 | 0.8 | 4.3 | 2 | 0.9 |
| Sample Location | Rock Type | Los Angeles (%) | Specification (ECP 203) [69] |
|---|---|---|---|
| Wadi Abu Zoghot | Basalt | 12.4 | ≤30% |
| Um Sidra-1Us | Basalt | 11.9 | |
| Um Sidra-2Us | Andesite | 14.8 | |
| Wadi Al-Ushsh | Basalt | 12.1 | |
| Wadi El-Ghafiryia | Basalt | 13.9 | |
| Wadi Al-Radah-Luman | Rhyolite | 16.0 | |
| Gabal Ghuwayrib | Mix of Dokhan volcanics | 15.1 |
| Sample Location | Mix Proportions (per 1 m3) | |||||||
|---|---|---|---|---|---|---|---|---|
| Cement | Sand | Agg. 1 | Agg. 2 | Free Water | Total Water | Admixture Type G | Water/Cement Ratio | |
| Wadi Abu Zoghot | 400 | 626 | 500 | 755 | 160 | 165 | 6 | 41% |
| Um Sidrah-1Us | 400 | 700 | 472 | 707 | 160 | 170 | 6 | 42.5% |
| Um Sidra-2Us | 400 | 700 | 472 | 707 | 160 | 165 | 6 | 41% |
| Wadi Al-Ushsh | 400 | 700 | 472 | 707 | 160 | 165 | 6 | 41% |
| Wadi El-Ghafiryia | 400 | 700 | 472 | 707 | 160 | 165 | 6 | 41% |
| Wadi Al-Radah-Luman | 400 | 700 | 472 | 707 | 160 | 165 | 6 | 41% |
| Gabal Ghuwayrib | 400 | 626 | 500 | 755 | 160 | 165 | 6 | 41% |
| Ataqa (Dolomite) | 400 | 700 | 472 | 707 | 165 | 185 | 7.5 | 46% |
| Sample Location | Initial | After 30 Min | After 60 Min | |||
|---|---|---|---|---|---|---|
| Slump (cm) | Temperature (°C) | Slump (cm) | Temperature (°C) | Slump (cm) | Temperature (°C) | |
| Wadi Abu Zoghot | 22 | 20 | 21 | 20 | 20 | 20.5 |
| Um Sidra-1Us | 20 | 21.5 | 19 | 21.6 | 18 | 22 |
| Um Sidra-2Us | 22 | 2.7 | 21 | 21 | 20 | 21.5 |
| Wadi El-Shush | 22 | 21 | 20 | 21.5 | 19 | 22 |
| Wadi El-Ghafiryia | 22 | 21 | 21 | 21.5 | 20 | 22 |
| Wadi Al-Radah Luman | 22 | 21 | 21 | 21.5 | 20 | 22 |
| Gabal Ghuwayrib | 24 | 19.8 | 22 | 20 | 21 | 20 |
| Ataqa (Crushed Dolomite | 22 | 23 | 19 | 25 | 16 | 26.5 |
| Sample Location | Compressive Strength (MPa) | ||
|---|---|---|---|
| 7-Day Age | 28-Day Age | 56-Day Age | |
| Wadi Abu Zoghot | 56.3 | 67.5 | 69.6 |
| Um Sidra -1US | 39.0 | 46.8 | 51.3 |
| Um Sidra -2US | 54.8 | 57.4 | 65.7 |
| Wadi Al-Shush | 49.7 | 53.7 | 59.7 |
| Wadi El-Ghafiryia | 42.0 | 50.5 | 52.5 |
| Wadi Al- Radah -Luman | 44.2 | 48.5 | 53.0 |
| Gabal Ghuwayrib | 51.7 | 58.5 | 62.0 |
| Ataqa (Dolomite) | 31.0 | 40.0 | 41.5 |
Disclaimer/Publisher’s Note: The statements, opinions and data contained in all publications are solely those of the individual author(s) and contributor(s) and not of MDPI and/or the editor(s). MDPI and/or the editor(s) disclaim responsibility for any injury to people or property resulting from any ideas, methods, instructions or products referred to in the content. |
© 2023 by the authors. Licensee MDPI, Basel, Switzerland. This article is an open access article distributed under the terms and conditions of the Creative Commons Attribution (CC BY) license (https://creativecommons.org/licenses/by/4.0/).
Share and Cite
El-Desoky, H.; Abd El-Hafez, N.; Khalil, A.; Arafat, A.; Hasan, M.G.; Youssef, T. The Geology, Petrography, and Geochemistry of Egyptian Dokhan Volcanics: A Potential Source for Construction Aggregate. Minerals 2023, 13, 635. https://doi.org/10.3390/min13050635
El-Desoky H, Abd El-Hafez N, Khalil A, Arafat A, Hasan MG, Youssef T. The Geology, Petrography, and Geochemistry of Egyptian Dokhan Volcanics: A Potential Source for Construction Aggregate. Minerals. 2023; 13(5):635. https://doi.org/10.3390/min13050635
Chicago/Turabian StyleEl-Desoky, Hatem, Nabil Abd El-Hafez, Ahmed Khalil, Ahmed Arafat, Mahmoud Galal Hasan, and Tarik Youssef. 2023. "The Geology, Petrography, and Geochemistry of Egyptian Dokhan Volcanics: A Potential Source for Construction Aggregate" Minerals 13, no. 5: 635. https://doi.org/10.3390/min13050635
APA StyleEl-Desoky, H., Abd El-Hafez, N., Khalil, A., Arafat, A., Hasan, M. G., & Youssef, T. (2023). The Geology, Petrography, and Geochemistry of Egyptian Dokhan Volcanics: A Potential Source for Construction Aggregate. Minerals, 13(5), 635. https://doi.org/10.3390/min13050635
