Next Article in Journal
Sulfide Trace Element Signatures and S- and Pb-Isotope Geochemistry of Porphyry Copper and Epithermal Gold-Base Metal Mineralization in the Elatsite–Chelopech Ore Field (Bulgaria)
Next Article in Special Issue
Analysis and Evaluation of Concentrations of Potentially Toxic Elements in Landfills in the Araucanía Region, Chile
Previous Article in Journal
Microstructure and Mineral Phase Evolution of Vanadium Slag by Modulating the CaO/V2O5 Ratio
Previous Article in Special Issue
Source Apportionment of Chemical Elements and Their Geochemical Baseline Values in Surface Water of the Parauapebas River Basin, Southeast Amazon, Brazil
 
 
Font Type:
Arial Georgia Verdana
Font Size:
Aa Aa Aa
Line Spacing:
Column Width:
Background:
Article

Characteristics, Chemical Speciation and Health Risk Assessment of Heavy Metals in Paddy Soil and Rice around an Abandoned High-Arsenic Coal Mine Area, Southwest China

1
The Key Laboratory of Environmental Pollution Monitoring and Disease Control, Ministry of Education, School of Public Health, Guizhou Medical University, Guiyang 550025, China
2
Basic Teaching Department, Guizhou Agricultural Vocational College, Guiyang 550025, China
3
Guizhou Institute of Biology, Guizhou Academy of Sciences, Guiyang 550009, China
*
Author to whom correspondence should be addressed.
Minerals 2023, 13(5), 629; https://doi.org/10.3390/min13050629
Submission received: 19 March 2023 / Revised: 24 April 2023 / Accepted: 27 April 2023 / Published: 29 April 2023
(This article belongs to the Special Issue Concentration and Distribution of Heavy Metals in Soils, Volume II)

Abstract

The concentrations of the heavy metals Pb, Cd, Cr, Hg, As, Cu and Zn in soil and locally produced grain (rice) were determined in paddy soil and rice around an abandoned high-arsenic coal mine area of Xingren county, southwest China. The health risk assessment was used to assess the multimedia and multipathway health risks of HM exposure in the study area. The results showed that the concentrations of As, Pb and Cd in soil were all higher than the corresponding limits for HMs in China. In terms of the accumulation and transfer capacity, Cd was more likely to transfer from the roots to rice, and its strong mobility may pose potential risks to local residents. The non-carcinogenic risks and carcinogenic risks of HM exposure in different media and exposure pathways were higher in children than adults. The total non-carcinogenic risks and carcinogenic risks in adults and children were higher than the standard limit values because of the HM exposure through ingesting rice husk. Among the exposure pathways evaluated, the contribution of diet was the largest, and As was the most important heavy metal in terms of the non-carcinogenic risk and carcinogenic risk factors. The total non-carcinogenic risks and carcinogenic risks caused by As in dietary crop (rice) accounted for 52% of the total in both adults and children. In order to maintain the health of residents in the study area, it is necessary to strictly strengthen the monitoring of heavy metal pollution in the study area and find effective soil improvement methods to reduce the health risks caused by heavy metal exposure.

1. Introduction

Mining activities have promoted regional economic development, but also led to serious heavy metal (HM) pollution in farmland soils, and this trend of deterioration has expanded [1]. HMs cannot be degraded in the environment and are easily enriched along the food chain, thereby accumulating in the human body [2]. Once the HM content exceeds the bearing capacity of soil, soil productivity and quality will decline [3]. HMs in the soil are harmful to human beings mainly through three routes, i.e., direct contact, inhalation and intake [4]. In addition, different HM speciation directly affects the toxicity of HMs and their migration and transformation in the environment [4]. Given the harm of HMs to human body, it is necessary to conduct the health risk assessment of the crops and their rhizosphere soils in the surrounding mining areas, as well as the speciation characteristics of HMs in the soil.
Several researchers have conducted some efforts in the health risk assessment of HMs in the crops and their rhizosphere soils [5,6,7]. Haghnazar et al. [5] evaluated the HM pollution in paddy and rice grains in the Zarjoub and Goharroud river basins in northern Iran. The results reported moderate to heavy pollution and moderate toxicity for sediments in the Goharroud River, and moderate pollution and toxicity for sediment of the Zarjoub River. Strangely, rice had an intermediate accumulation ability for Cu, Zn and Mn, and a weak and very weak accumulation ability for Pb/Ni and As/Co/Cr, respectively. Sarkar et al. [6] collected the samples of sediment, water and wild rice in Sand Point sloughs on L’Anse Bay and a nearby inland lake, Lake Plumbago. Arsenic is of the higher bioaccumulation at both locations and the hazard index value for wild rice seeds from both sites was high. Anwarul Hasan [7] examined the level of heavy metals in soil and rice samples in Savar, Gazipur and Ashulia (Bangladesh). The order of heavy metals in the soil and rice samples was Fe  >  Zn  >  Ni  >  Cr  >  Pb  >  Co  >  Cu  >  Cd  >  As and Zn  >  Cu  >  Cr  >  Co  >  Fe  >  Cd  >  Pb  >  Ni  >  As, respectively. The obtained contents of Zn, Cd, Cr and Co exceeded the WHO/FAO recommended maximum tolerance values. The coal mine in Xingren County, southwest Guizhou, southwest China, has a high arsenic content [8]. Long-term mining activities have caused serious environmental pollution around the mining areas in Xingren County, especially for paddy fields. In soils with high contents of HMs, excessive amounts of HMs accumulate in planted vegetables and rice, bringing high health risks to local residents. Currently, relevant departments have conducted several studies on heavy metal pollution in the coal mining area of Xingren County [8,9,10]. The above-mentioned studies mainly focused on the determination of HM contents in the soil of the coal mining area, but ignored the HM pollution situation of the farmland around the coal mining area, and did not explore the health risks of HMs in the farmland soil and crops. Therefore, comprehensive evaluation methods were urgently used to assess the health risks that HM pollution may pose to local residents in this area.
Currently, there are many evaluation methods used for assessing HM pollution [11,12,13], among which a health risk assessment and risk assessment code are commonly used to analyze the effect of the total contents and speciation of HMs on the health of local residents, respectively [14]. Karimian et al. [15] evaluated the health and ecological risks of HMs in the soil of a Tehran landfill. This study showed that while the hazard index value of children was 6.5 times higher than that of adults, the values of both landfill workers and residents in the target area were at a safe level. Zhang et al. [16] reported that the contamination of HMs in the Shi River Basin soil in China was slightly to moderately polluted, and the risk assessment results showed that all HMs in the area had higher carcinogenicity and other health risks for children than adults, and oral intake was the main route for these pollutants to enter the body. Fan et al. [17] analyzed the heavy metal pollution status of the soil around the power plant in Jinsha County according to the risk assessment coding method, and the research showed that the effective state of Cd accounted for 18.17%, posing a moderate risk level to the environment, Cr and Zn elements were in a low-risk state, and Hg, Pb, As and Cu were in a risk-free state. Up to now, although many studies have focused on HM pollution in the soil of the coal mining area in Xingren County, none of them involved the surrounding farmland and crops, which will lead to health risks from HMs in the coal mining area for local residents through the food chain. Therefore, this study was aiming to: (1) determine the total contents and their speciation of HMs in a paddy; (2) reveal the relationship between HM contents and physical and chemical indexes in the soil; (3) evaluate the migration and accumulation characteristics of HMs in rice; and (4) investigate the health risks of HMs in the soil and rice grains for local residents.

2. Materials and Methods

2.1. Study Area and Sampling

Xingren County (104°54′–105°34′ E and 25°16′–25°48′ N) is located in the southwest of Guizhou Province, China. It has a subtropical warm and humid monsoon climate, with an annual average temperature of 15.2 °C. Most crops in most areas are harvested mainly twice a year, while in some alpine regions they are harvested once a year. The annual precipitation of Xingren County is 1320.5 mm, and the rainy season precipitation is 1116.3 mm, accounting for 84.5% of the annual precipitation. The unique climate is not only suitable for the development of animal husbandry, but also suitable for the growth of various plants and crops. The highest point in the territory is 2014 m, the lowest altitude is 460 m and the county sits at an elevation of 1350 m. The total land area of Xingren County is 178,500 hectares. The county is rich in mineral resources, mainly including coal, gold, iron, antimony, mercury, uranium, sulfur, etc. With a prospective reserve of more than 4.5 billion t, anthracite was listed as one of China’s 200 key coal-producing counties and was recognized as “Xingren Coalfield” by the National Geological Reserves Agency. Most of the mineral resources are still to be explored and developed. Obviously, coal resources have become the main mineral resources in the county [8].
In mid-August 2022, surface soil (12 samples) and corresponding rice plant tissues (roots, stems, leaves and grains) were collected from the rice planting area around the Xingren Coal Mine (Figure 1). The husk of the obtained rice grains were further removed and used to be analyzed. The soil samples were collected by a random sampling method, that is, three times at different locations of each sampling point, and then mixed evenly as the sample of that sampling site. The location of the sampling points was determined by GPS, and the environmental conditions of the sampling points were recorded in detail. All samples were stored in sealed plastic bags and brought back to the laboratory. The soil samples were dried to a constant weight in an oven, grinded in a mortar and all were passed through a 200 mesh nylon sieve for storage and standby. The collected plant samples were dried and screened for standby.

2.2. Chemical Analysis

Pb, Cr, Cu, Zn, K and Cd in soil were digested by the mixed acid (HF:HClO4:HNO3 = 2:2:1). Hg and As in the soil were digested by an aqua regia [18]. Cd content was determined by a graphite furnace atomic absorption spectrometer (ZEE nit 70OP, Jena, Germany). The Hg and As content were determined by a non-dispersive atomic fluorescence spectrometer (Beijing, Chitian, AFS-933). Other HM contents were determined by an inductively coupled plasma-atomic emission spectrometer (Perkin Elmer Company, Waltham, MA, USA). The pH values of the soil samples were measured by a PHS-3C meter [19] and the nitrogen (N) content was measured by the Kjeldahl method [20]. Soil phosphorus (P) content was determined according to HJ 632–2011 proposed by Environmental Protection Law of the People’s Republic of China. Soil organic matter (SOM) was measured according to HJ 615–2011. Each sample was set with three parallel samples. The quality control was carried out using the national soil standard reference material (GSS-24), the error was kept within 5%, the recovery rate was 81% to 109% and the measurement results were within the allowable error range.
The five-step continuous extraction method of Tessier was used to extract the five HM forms of exchangeable (F1), carbonate-bound (F2), iron–manganese oxide (F3), organic-bound (F4) and residual fractions (F5) of HMs [21,22]. Their contents were also determined by ICP-MS. The specific steps of Tessier’s 5-step continuous extraction method are as follows: (1) in the exchangeable state: 2.00 g of soil sample was added to 16 mL of 1 mol/L MgCl2 solution with pH = 7.0, shaking at 25 °C for 1 h and centrifuging for 10 min. The supernatant was immediately taken, and deionized water was used to wash the residue. (2). Carbonate-bound fraction: with pH = 5.0, 16 mL of 1 mol/L NaAc solution was added into the above mixtures, shaking at 25 °C for 6 h, and then centrifugated for 10 min. The supernatant was taken and the residue was washed with deionized water. (3) Iron–manganese oxide fraction: 16 mL of 0.04 mol/L NH2OH·HCl was added to the above mixtures, shaking at 95 °C for 6 h intermittently, and then centrifuged for 10 min, and the supernatant was subsequently taken and deionized water was used again to wash the residue. (4) Organic-bound fraction: with pH = 2.0, 3 mL of 0.01 mol/L HNO3 and 5 mL of 30% H2O2 were added to the above residues, heating the water bath to 85 °C, and then adding 5 mL of 30% H2O2 again at pH = 2.0 and heating for another 2 h after intermittent shaking for 2 h, intermittently shaking after cooling to 25 °C. A total of 5 mL of 3.2 mol/L NH4Ac was added into the mixtures, shaking continuously for 30 min, and then centrifuged for 10 min, taking the supernatant and immediately washing the residue several times with deionized water. (5) Residual fraction: after the first four steps of extraction, the residue was digested by the HNO3-HCI-H2O2 method, and then the contents were determined by ICP-MS.

2.3. Ecological Risk of HMs in Soils

2.3.1. Rations of Secondary Phase and Primary Phase

The HM fractions are closely related to their migration characteristics. Compared with the other four fractions of HMs, the chemical properties of residual fractions are stable and difficult to release into the surrounding environment. Therefore, the distribution ratio of the secondary and primary phase (RSP) has been developed based on the HM fractions [23]. The primary phase in this method refers to the residual state of HMs in the soil, and other forms except the residual state are collectively referred to as the secondary phase. The secondary phase of HMs is smaller than the primary phase, indicating that the possibility of HM existence and transmission in the environment is smaller, and the potential ecological risk to the environment and harm to the human body are also relatively lesser. In this study, the RSP method was used to analyze the ecological risk of HMs in the soil of the study area, and the calculation formula was as follows [23]:
R S P = M s e c M p r i m
where Msec is the content of HMs in the secondary phase, i.e., the content of the non-residual fraction. Mprim is the content of HMs in the primary phase, i.e., the content of the residual fraction. According to the value of the RSP, the ecological risk of HMs in the soil can be divided into four levels. RSP < 1, 1 < RSP < 2, 2 < RSP < 3 and RSP > 3 represent no, mild, moderate and severe risks, respectively.

2.3.2. Risk Assessment Code

The bioavailability of different chemical species of HMs in soil is different, which leads to different degrees of harm to the soil. The higher the bioavailability of the HMs, the greater the harm to the soil ecological environment. The risk assessment code (RAC) method fully considers the bioavailability of HMs in the soil, which can better determine the degree of risk caused by the possible release of HMs into the environment [22]. The calculation formula was as follows [22]:
R A C = F 1 + F 2 F 1 + F 2 + F 3 + F 4 + F 5
where RAC represents the ratio of active fractions of HMs to the sum of all HMs’ fractions in the soil. F1, F2, F3, F4, F5 are exchangeable, carbonate-bound, Fe–Mn oxide, organic-bound and residual fractions, respectively. RAC < 1%, 1% < RAC < 10%, 10% < RAC < 30%, 30% < RAC < 50% and RAC > 50% represent no, slight, medium, high and extremely high risks, respectively.

2.3.3. Accumulation and Transfer Factors

The accumulation factor (AF) and transfer factor (TF) were used to evaluate the ability of plants to accumulate HMs, which reflects the ability of plants to absorb HMs from the soil and transfer them upwards from the roots after uptake, respectively [24,25]. The calculation formula was as follows [25]:
A F = w p w s
T F s r = w s w r
T F l r = w l w r
T F g r = w g w r
where wp and ws represent the contents of HMs in single rice (the sum of HMs in all tissues) and soil, respectively. wr, ws, wl and wg represent the concentrations of HMs in the roots, stems, leaves and grains of rice, respectively.

2.3.4. Health Risk Assessment

HMs in different media can enter the human body through three exposure routes: ingestion, inhalation and dermal contact, thus bringing carcinogenic and non-carcinogenic health risks [26]. In accordance with the US EPA, Hg, As, Ni, Pb, Cd, Cr, Cu and Zn were treated as non-carcinogenic elements, and As, Cd, Ni and Cr were defined as carcinogenic elements [27,28]. The health risk assessment model includes carcinogenic risk and non-carcinogenic risk [29]. Among them, carcinogenic risk refers to the risk index of carcinogenic diseases and injuries caused by the human exposure to pollutants with pollution effects. The non-carcinogenic risk refers to the harm of the non-carcinogenic risk caused by the human exposure to pollutants with pollution effects. In this study, 3 exposure routes were taken into account: ingestion, inhalation and dermal contact [30]. Non-carcinogenic and carcinogenic risk were calculated using the following equations [31], and all the parameters and values employed in this study are described in Table 1.
A D D i n g ( μ g / k g / d a y ) = C w × I R × E F × E D B W × A T
A D D i n h ( μ g / k g / d a y ) = C w × I n h R × E F × E D P E F × B W × A T
A D D d e r m ( μ g / k g / d a y ) = C w × S A × C F × S L × A B S × E F × E D B W × A T
H Q i = i = 1 3 A D D i j R f D i j
H I = i = 1 8 H Q i
C R i = j = 1 3 A D D i j × S F i j
T C R = i = 1 4 C R i
where ADDing, ADDinh and ADDderm are the average daily exposure of HMs via dietary ingestion, inhalation and dermal contact routes. Table 1 examines the parameters of the health risk assessment of HMs [31]. Generally, the maximum acceptable carcinogenic risk recommended by mainstream institutions is 1.0 × 10−6 to 1.0 × 10−4 a−1. Alternatively, one could say that when CRi (TCR) < 1 × 10−6, the cancer risk can be ignored. When CRi (TCR) > 1 × 10−4, it indicates that there is a large potential carcinogenic risk, and relevant measures must be taken to reduce the risk. When the hazard quotient (HQi) or HI < 1, the non-carcinogenic health risk can be ignored. When either value is greater than 1, there is a non-carcinogenic health risk [32].
According to the US Environmental Protection Agency’s “Guidelines for Site Environmental evaluation in China” (DB11/t656-2009) and existing research results both domestically and internationally, it should be emphasized that the concentration of Cr in this study referred to the total concentration of Cr [31]. In addition, it should be pointed out that there is no reference dose or slope factor for the total Cr in the US EPA so far, only the reference dose for Cr6+ and Cr3+, as well as the slope factor for Cr6+. Available studies pointed out that the majority of Cr in upland soils was in the form of Cr6+, which accounted for about 70% of the total Cr. Therefore, the reference dose or slope factor for Cr6+ will be used in this study to ensure that both the principle of maximum risk and the role of early warning are fully considered [38,39,40].

2.3.5. Statistical Analysis

ANOVA was used to evaluate the differences in HM concentrations and speciations between different sites. A redundancy analysis was performed to evaluate the relationships between the soil physicochemical parameters and HMs using the “vegan” package of R language 4.2. IBM SPSS 22.0 and Microsoft Excel 2022 were used to process the raw data and perform statistical analyses of the results. The sampling sites were generated using ArcGIS 10.4. All figures were drawn using Origin 2021.

3. Results

3.1. HM Contents and Physicochemical Parameters in Soil and Rice

Figure 2a shows that the pH of the soil was 6.47 ± 0.60 and its coefficient of variation in the total samples was relatively small. The SOM content ranged from 9.35 to 28.19 g/kg, with an average value of 17.77 g/kg, which belonged to the medium-low level according to the classification standards of the Second National Soil Census in China. The nitrogen concentration in the soil samples was 1.98 ± 0.42 g/kg, which was classed as high level. The phosphorus content in the study area was at the medium-low level, ranging from 5.42 to 6.72 mg/kg. The total potassium content in the soil was 7.17 ± 0.66 mg/kg, which was at a relatively low level. In summary, the values of the physical and chemical indicators in the study area were relatively low. Figure 2b shows that the Pb contents (133.66 ± 36.57 mg/kg) in several soil samples exceeded the limited value (140 mg/kg) according to the soil environmental quality risk control standard for the soil contamination of agricultural land proposed by China (GB 15618-2018). Only the Cd contents in the minor soil samples were greater than the threshold (0.6 mg/kg). The concentrations of Cr, Hg, Cu and Zn in the soil samples were far less than the limited values. The severely excessive As content in the soil of the study area indicated that As was the main pollution factor in the selected HMs and metalloids.
The heat map (Pearson correlation) and redundancy analysis were used to reveal the inner relationships between the HMs and physicochemical parameters. Figure 3a demonstrated that the concentration of As in the soil was significantly positively correlated with Cu and negatively correlated with N (p < 0.01). This may be attributed to the fact that nitrification is an important biological process of the soil nitrogen cycle, and HM stress can inhibit this process [41]. The Cu content of the soil showed a significant negative correlation (p < 0.05) with N, while the P content of the soil showed a significant negative and positive correlation (p < 0.05) with the pH and SOM, respectively. The Cd content of the soil was positively correlated with Cr (p < 0.05). In addition, the redundancy analysis also revealed a significant negative correlation between the N and As content of the soil (Figure 3b). The N and SOM contents in the soils were closer to HMs and metalloids in comparison to the pH values.

3.2. Evaluation of HM Speciation Contents in Soil

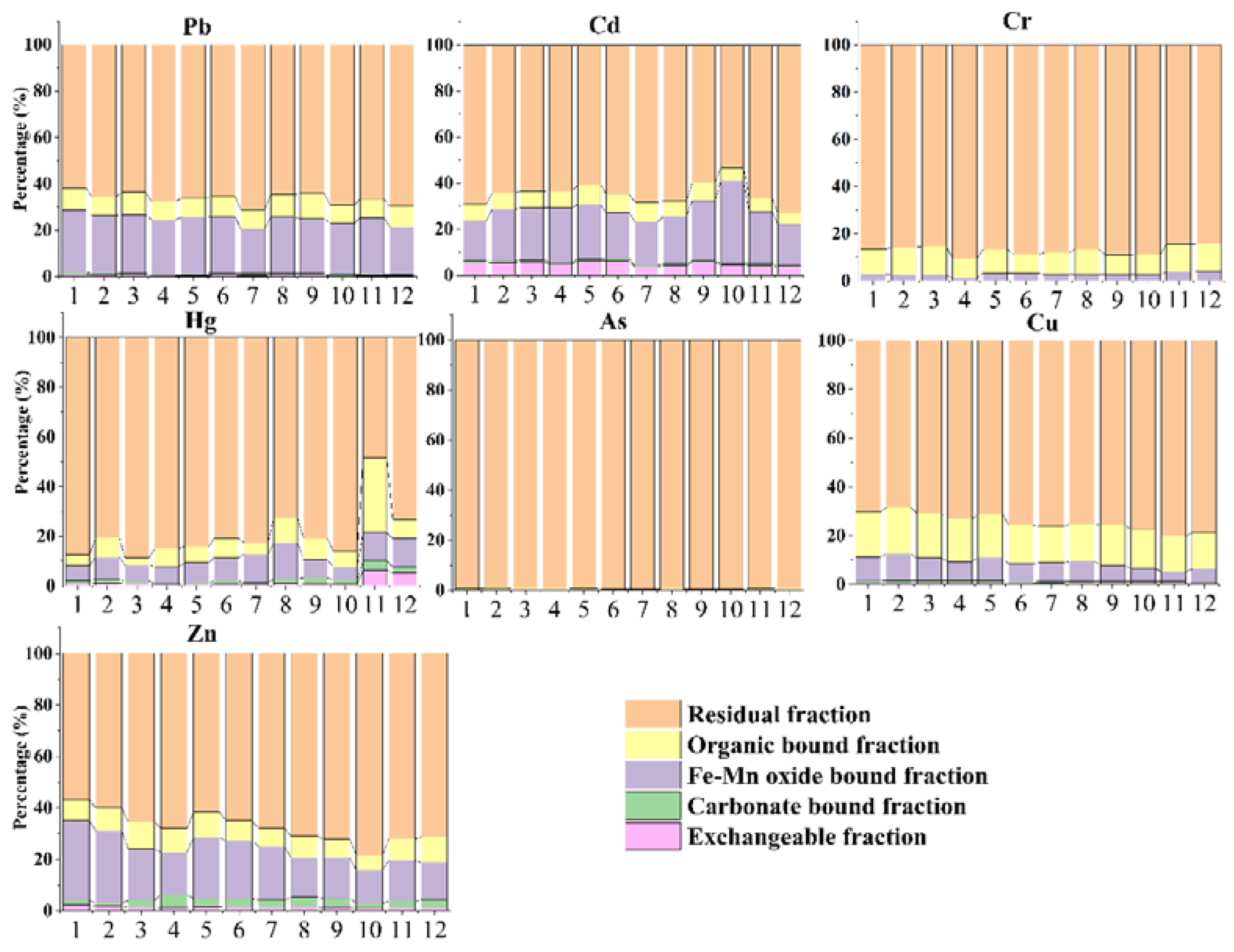
Tessier’s extraction method was utilized to analyze the speciations of HMs. The present study revealed that the order of Pb speciation was residual > Fe–Mn-oxide-bound > organic-bound > carbonate-bound > exchangeable fractions (Figure 4). For Cd speciation in the soil, the percentage of the exchangeable fraction increased, implying that Cd may be more easily absorbed by rice. The ratio of the residual fraction in Cr, Hg, As, Cu and Zn speciation was at a maximum. The exchangeable fraction in Cr, Hg, As, Cu and Zn speciation was the lowest, which indicated that they may not be easily absorbed by rice.
The RSP values of Cd, Zn, Hg, Cu and Pb in the soil of the study area were significantly higher than those of other HMs and metalloids, ranging from 4.10–7.28, 2.87–6.25, 1.11–9.29, 0.94–1.64 and 0.91–1.92, respectively (Figure 5a). For Cr and As, the RSP values of all points did not exceed 1, indicating that the ecological risk of these two HMs was relatively slight. According to the average values of the statistical results of the RSP data, the ecological risks of HMs in the soil of the study area were as follows: Cd (5.73 ± 1.00) > Zn (4.33 ± 0.93) > Hg (3.11 ± 2.49) > Cu (1.39 ± 0.20) > Pb (1.22 ± 0.26) > As (0.04 ± 0.00) > Cr (0.02 ± 0.01). Among them, Cd, Zn and Hg in the soil were classed as being of severe risk, while Cu and Pb were of mild risk. Therefore, it was still necessary to pay attention to the activities of Cd, Zn and Hg in the soil of the study area. The RAC ranges of various HMs in the topsoil of the study area were 0.92% to 32.35% for Pb, 4.10% to 46.79% for Cd, 0.02% to 13.40% for Cr, 1.15% to 17.42% for Hg, 0.04% to 0.87% for As, 0.94% to 29.70% for Cu and 2.87% to 43.14% for Cu (Figure 5b). According to the average values of the RAC data statistical results, the ecological risks of HMs in the soil of the study area were as follows: Cd (16.12 ± 14.86%) > Zn (13.63 ± 13.87%) > Cu (9.47 ± 11.56%) > Pb (8.63 ± 12.78%) > Hg (7.46 ± 5.74%) > Cr (3.85 ± 5.46%) > As (0.23 ± 0.28%). According to the RAC evaluation criteria, Cd and Zn in the soil were at medium risk, Cu, Pb, Hg and Cr were at slight risk and As in the soil was risk free.

3.3. Accumulated and Transfer Factors in Root, Stem, Leaves and Grain of Rice

The BCF and TF coefficients of different parts of rice were varied, which can be used to reflect the absorption and transport capacity of plants for HMs. Figure 6a shows that the BCF values for Cd, Zn, Cu, Pb, Hg, Cr and As accumulated in rice were 0.74–1.37, 0.44–0.70, 0.49–0.86, 0.03–0.06, 0.81–2.88, 0.07–0.13 and 0.15–0.41, respectively. The order of BCF values for HMs was Hg (1.66 ± 0.63) > Cd (0.99 ± 0.17) > Cu (0.59 ± 0.09) > Zn (0.52 ± 0.07) > As (0.22 ± 0.06) > Cr (0.09 ± 0.02) > Pb (0.04 ± 0.01). The TF values of Cd, Zn, Cu, Pb, Hg, Cr and As from rice root to stem were 0.58–1.35, 0.54–0.1.84, 0.24–0.38, 0.25–0.66, 0.32–1.38, 0.57–0.21 and 0.17–0.63, respectively (Figure 6b). The order of TF values for HMs was Cd (0.93 ± 0.22) > Cr (0.84 ± 0.21) > Zn (0.77 ± 0.34) > Hg(0.64 ± 0.33) > Pb (0.42 ± 0.13) > Cu (0.30 ± 0.04) > As (0.32 ± 0.13). The TF values of Cd, Zn, Cu, Pb, Hg, Cr and As from rice root to leaves were 0.42–1.24, 0.42–0.1.24, 0.11–0.33, 0.52–1.49, 0.29–1.21, 0.50–1.02 and 0.11–0.34, respectively (Figure 6c). The order of the TF values for HMs was Pb (0.83 ± 0.24) > Cr (0.73 ± 0.15) > Hg (0.70 ± 0.31) > Cd (0.70 ± 0.21) > Zn (0.61 ± 0.21) > Cu (0.19 ± 0.06) ≈ As (0.19 ± 0.07). The TF values of Cd, Zn, Cu, Pb, Hg, Cr and As from rice root to grains were 0.48–1.56, 0.17–0.56, 0.07–0.35, 0.07–0.18, 0.07–0.22, 0.07–0.16, 0.01–0.04, respectively (Figure 6d). The order of the TF values for these HMs was Cd (0.91 ± 0.28) > Zn (0.28 ± 0.11) > Cu (0.18 ± 0.08) > Hg (0.15 ± 0.05) > Pb (0.13 ± 0.03) > Cr (0.10 ± 0.02) > As (0.02 ± 0.01). Overall, for the AF values, although Hg and Cd were more easily accumulated in rice, Cd was more easily transferred from root to grain from the perspective of TF values in comparison with other HMs and metalloids. This indicated that there was a strong mobility of Cd from the soil to rice, and this may pose a potential risk to local residents. Therefore, better management practices are required to reduce the high accumulation of HMs with high TFs. In addition, more attention should be paid to the accumulation of different HMs and the transfer of HMs to crops other than rice, such as vegetables and fruits.

3.4. Health Risk Assessment of HMs in Soil and Rice

Table 2 shows that the non-carcinogenic health risk index under different exposure routes for the same HMs was successively HQoral, HQdermal and HQInh. The average HQ value of each type of HM for adults was less than 1, reflecting that there was no non-carcinogenic risk of individual HMs in the soil to adults and children in the study area. The non-carcinogenic risk order of different HMs for adults was As > Cr > Pb > Zn > Hg > Cr > Cu, and for children it was As > Pb > Cr > Cu > Zn > Hg > Cd. For adults, the HI value of HMs in the soil was 1.18 × 10−2 ± 2.21 × 10−3, and 7.62 × 10−2 ± 1.42 × 10−2 for children. This indicated that HMs in the soil posed a higher potential risk to local children, and most of these risks were caused by As and Pb in the soil. The Pb, Cd, Cr, Hg, As, Cu and Zn concentrations in rice grains without husk in this study were 0.26 ± 0.07, 0.17 ± 0.05, 0.47 ± 0.12, 0.02 ± 0.00, 0.22 ± 0.07, 3.41 ± 1.16 and 5.87 ± 1.06, respectively. For adults and children, the HI values of rice grains were 4.15 ± 0.71 and 21.70 ± 3.76, respectively, indicating that HMs can pose a huge health risk to local residents through food intake. Taken together, the non-carcinogenic risk of HM pollution to children in this study area was higher than that of adults, and As was still the main risk factor for both children and adults (Figure 7a). In addition, according to the non-carcinogenic risk contribution rates of multimedia HM exposure, the contribution rates of dietary food (ingestion) were very large. This result illustrated that locally produced foods may be the main exposure routes causing non-carcinogenic HM risk to local residents. In order to maintain the health of the residents in the study area, it is strongly recommended to conduct a health risk assessment on other crops grown in the area, and transporting foods and vegetables from other areas can not only meet the living needs of residents, but also reduce the occurrence of non-carcinogenic health risks. Furthermore, from the contribution rates of the multimedia and multipathway total HQ values to total HI, As was the most significant non-carcinogenic risk factor. Therefore, strengthening the control of As pollution in the study area is an important task to ensure the health of local residents.
According to the concentrations of HMs in the paddy soil, the individual carcinogenic risk and total carcinogenic risk caused by different exposure pathways to adults and children were calculated (Table 3). Table 3 showed that the CF values of Cd and Cr for adults and children were both within the acceptable range of 10−8 to 10−4, but As exceeded the acceptable range. The order of carcinogenic risk for different HMs for adults and children was As > Cr > Cd. The TCR value was 1.55 × 10−3 ± 2.70 × 10−4 for adults, and 2.30 × 10−3 ± 3.98 × 10−4 for children. As, Cr and Cd in the soil had a carcinogenic health risk for adults and children, and the carcinogenic risk was higher for children than for adults. In addition, As was the main carcinogenic factor in comparison to Cr and Cd (Figure 7b). Furthermore, the relevant data showed that the main exposure pathway of soil HMs was hand–mouth ingestion. This finding suggests that people living around the study area should avoid the health hazards posed by the ingestion of the soil through the hand–mouth exposure pathway during production and life activities, which were particularly important for children. The risks of carcinogenesis through dietary crops (rice) were very serious. For adults and children, the CF values of As were greater than 1 × 10−4 in the hand–mouth exposure pathways. The TCRs of the adults and children in the study area caused by exposure to HMs through multiple pathways were 1.55 × 10−3 and 2.30 × 10−3 respectively, which were higher than the US EPA limit value and indicated serious carcinogenic risk. Moreover, from the contribution rates of all CF values to the multipathway TCR, the contribution rate of As was the largest, accounting for 96.5% and 97.9% of adults and children, respectively, followed by Cr, accounting for 3.3% and 1.3% of adults and children, respectively, and the contribution rates of Cd were relatively low. In conclusion, dietary exposure was the most important medium and pathway of exposure to carcinogenic risk. Therefore, it was necessary to strictly control the intake of rice in this area.

4. Discussion

The coal mine in Xingren County is one of the typical high-arsenic coal mine areas in southwest Guizhou, and As content in the water body of the research area ranged from 1.19 to 288.50 μg/L [42]. Most mining areas in Xingren county have stopped mining, and many polluted areas have started ecological remediation, which has alleviated the HM pollution in the soil of the study area to some extent. However, from the current research results, the long-term coal mining activities and the local geochemical background make the HM pollution in the study area still serious [43]. In the study area, the soil physical and chemical indicators (including soil pH, SOM and N) were relatively low. The contents of As seriously exceeded the standard value, and became the main pollution factor. Although the contents of Cd in soil did not exceed the limit value, the percentage of the Cd exchangeable fraction was significantly higher than that of other HMs, which indicated that Cd may be more easily absorbed by rice. The combined results of the RSP and RAC ecological risk assessments indicated that Cd in the soil of the study area was of high ecological risk, which may be related to the weak acidity of the soil in the study area. It was known that the effectiveness of Cd was largely affected by the soil pH. The lower the soil pH, the higher the effectiveness of Cd and the easier it was for plants to take up [44]. It was worth noting that although the contents of As in the soil of the study area were much higher than the limit value, the exchangeable fraction accounted for a relatively small proportion, and the residual fraction accounted for a relatively high proportion. Rice is generally planted in a flooded anaerobic environment, and the availability of As in soil is high. Meanwhile, its root silicon channel has the ability to efficiently absorb As (III), which leads to a significantly higher concentration of As in rice than in other grain crops [45]. In the current research, the AF and TF values of As in rice were relatively low, but the underlying mechanism was still unclear. Furthermore, the non-carcinogenic and carcinogenic risks of HMs in the soil and rice grains in the study area were greater than the acceptable ranges. As was the most significant non-carcinogenic heavy metal and carcinogenic heavy metal. As, Pb and Cr had varying degrees of non-carcinogenic risk, while As, Cr, and Cd had varying degrees of carcinogenic risk. Compared to adults, heavy metals in the soil posed a higher health risk to local children, and hand–mouth and ingestion were the main exposure routes. Crops absorb heavy metals from the soil, and the heavy metals are concentrated in the edible parts of the crops, which can harm human health through the food chain. The grains and vegetables used by the population in the study area were mainly produced in the area, and the HMs in grains and vegetables were mainly from the soil. Therefore, it is of great significance to carry out the source apportionment of As, Pb, Cd and Cr in the soil and crops (all crops grown in the study area including rice) in the study area. Although this study has evaluated the characteristics, chemical speciations and health risks of HMs in paddy soil and rice in the study area, there were still multiple uncertainties. Firstly, the representativeness and homogeneity of the samples, population sampling, accuracy of exposure parameters and model stability seriously affect the health risk assessment results of the HM exposure, so the uncertainty of the risk assessment is widespread [31,46,47]. The relatively small sample size and the single crop in this study may lead to some variation in the results. Secondly, there are differences in the dietary habits, lifestyle and physical characteristics of the different age groups, and the parameters used for the health risk assessment in this study were obtained from the Guizhou statistical yearbook and the US EPA and Chinese population exposure parameter manual, so the information thus obtained may not be fully appropriate for the region and may lead to the deviation in the evaluation results. Nevertheless, this study provided a preliminary understanding of the current status of HM pollution and the health risks of population exposure around the coal mining area in Xingren county, and it provided an important basis for prioritizing the management of health risks and environmental risks in the study area.

5. Conclusions

This study showed that the physical and chemical indexes of soil in the study area were relatively low, and the soil and rice in the study area were contaminated with HMs to varying degrees. The As contents in the soil seriously exceeded the standard value, but surprisingly, we did not find high AF and TF values of As in the rice. The lower activity of As in soil rendered it difficult to be absorbed by rice, which may be the main reason for the lower AF and TF values of As in rice. The Cd content in the soil did not seriously exceed the standard, but the percentage of the exchangeable fraction, AF and TF values in the rice were significantly higher than those other HMs, suggesting that it may be more readily absorbed by rice and then enter the food chain as a threat to human health. The health risks of different HMs to children caused by different exposure pathways were higher than those for adults, and As was the major risk factor for both children and adults according to the results of the HM health risk assessment. The total non-carcinogenic and carcinogenic risk indexes in adults and children were relatively high, which were caused by HM exposure through ingesting rice husk, thus indicating serious non-carcinogenic and carcinogenic risks. Among the evaluated pathways, the contribution rate of hand–mouth and ingestion were the largest. It thus appeared that HMs in the soil and rice in the study area have posed a high potential health risk to the local residents, and effective measures should be taken in time to mitigate the local contamination of HMs and the health risks posed by them. Biochar, as an ecologically and environmentally friendly material, can be used to improve the soil environment in the study area.

Author Contributions

Writing—original draft preparation, H.L. and X.W; writing—review, H.L., J.X., Z.C. and X.W. All authors have read and agreed to the published version of the manuscript.

Funding

This research was funded by Guizhou Provincial Science and Technology Projects (ZK [2022] 365 and ZK [2022] 391); High-level talents start-up fund project of Guizhou Medical University ([2021] 007).

Data Availability Statement

Data from this paper are available from Google Scholar, Web of Science, China National Knowledge Infrastructure, China Wan Fang Literature Database, and China WeiPu Literature Database.

Conflicts of Interest

The authors declare no conflict of interest.

References

  1. Xu, S.S.; Zhao, Q.H.; Qin, C.Z.; Qin, M.Z.; Lee, J.; Li, C.Y.; Li, Y.Y.; Yang, J.X. Effects of vegetation restoration on accumulation and translocation of heavy metals in post-mining areas. Land Degrad. Dev. 2021, 32, 2000–2012. [Google Scholar] [CrossRef]
  2. Wu, X.L.; Hu, J.W.; Qi, J.M.; Hou, Y.; Wei, X.H. Graphene-supported ordered mesoporous composites used for environmental remediation: A review. Sep. Purif. Technol. 2020, 239, 116511. [Google Scholar] [CrossRef]
  3. Raklami, A.; Tahiri, A.I.; Bechtaoui, N. Restoring the plant productivity of heavy metal-contaminated soil using phosphate sludge, marble waste, and beneficial microorganisms. J. Environ. Sci. 2021, 99, 210–221. [Google Scholar] [CrossRef]
  4. Hoang, H.G.; Chiang, C.F.; Lin, C. Human Health Risk Simulation and Assessment of Heavy Metal Contamination in a River Affected by Industrial Activities. Environ. Pollut. 2021, 285, 117414. [Google Scholar] [CrossRef]
  5. Haghnazar, H.; Belmont, P.; Johannesson, K.H. Human-induced pollution and toxicity of river sediment by potentially toxic elements (PTEs) and accumulation in a paddy soil-rice system: A comprehensive watershed-scale assessment. Chemosphere 2023, 311, 136842. [Google Scholar] [CrossRef] [PubMed]
  6. Sarkar, R.D.; Zhang, Z.; Warke, M.; Datta, R. Health Risk from Toxic Metals in Wild Rice Grown in Copper Mining-Impacted Sediments. Appl. Sci. 2022, 12, 2937. [Google Scholar] [CrossRef]
  7. Anwarul Hasan, G.M.M.; Das, A.K.; Satter, M.A. Accumulation of Heavy Metals in Rice (Oryza sativa L.) Grains Cultivated in Three Major Industrial Areas of Bangladesh. J. Environ. Public Health 2022, 2022, 1836597. [Google Scholar]
  8. Wu, P.; Peng, T.Q.; Feng, L.J.; Zhu, L.J.; Tao, X.Z.; Zhang, L.D. Investigation on arsenic of surface soils and sediments from the coal area of Xingren country, Guizhou Province. Earth Environ. 2006, 34, 31–35. [Google Scholar]
  9. Pang, W.P.; Qin, F.X.; Lv, Y.C. Chemical speciations of heavy metals and their risk assessment in agricultural soils in a coalmining area from Xingren County, Guizhou Province. Chin. J. Appl. Ecol. 2016, 27, 1468–1478. [Google Scholar]
  10. Luo, M.X.J.; Li, P.; Xu, Z.D. Concentrations and Accumulation of Cd, Hg and As in Common Pteridophytes and Their Rhizosphere Soils at an Abandoned Coal Mine in Xingren, Guizhou. Earth Environ. 2019, 47, 629–636. [Google Scholar]
  11. Li, Z.; Ma, Z.; Kuijp, T. A review of soil heavy metal pollution from mines in China: Pollution and health risk assessment. Sci. Total Environ. 2014, s468–s469, 843–853. [Google Scholar] [CrossRef] [PubMed]
  12. Xia, P.; Ma, L.; Yi, Y. Assessment of heavy metal pollution and exposure risk for migratory birds-A case study of Caohai wetland in Guizhou Plateau (China). Environ. Pollut. 2021, 275, 116564. [Google Scholar] [CrossRef] [PubMed]
  13. Khan, R.; Saxena, A.; Shukla, S. Environmental contamination by heavy metals and associated human health risk assessment: A case study of surface water in Gomti River Basin, India. Environ. Sci. Pollut. Res. 2021, 28, 56105–56116. [Google Scholar] [CrossRef] [PubMed]
  14. Selvam, S.; Jesuraja, K.; Roy, P.D. Human health risk assessment of heavy metal and pathogenic contamination in surface water of the Punnakayal estuary, South India. Chemosphere 2022, 298, 134027. [Google Scholar] [CrossRef]
  15. Karimian, S.; Shekoohiyan, S.; Moussavi, G. Health and ecological risk assessment and simulation of heavy metal-contaminated soil of Tehran landfill. RSC Adv. 2021, 11, 8080–8095. [Google Scholar] [CrossRef] [PubMed]
  16. Zhang, Y.; Wang, S.; Gao, Z. Contamination characteristics, source analysis and health risk assessment of heavy metals in the soil in Shi River Basin in China based on high density sampling. Ecotoxicol. Environ. Saf. 2021, 227, 112926. [Google Scholar] [CrossRef] [PubMed]
  17. Fan, M.Y.; Yang, H.; Huang, X.F.; Cao, R.S. Chemical forms and risk assessment of he avy metals in soils around a typical coal-fired power plant located in the mountainous area. China Environ. Sci. 2016, 36, 2425–2436. [Google Scholar]
  18. Xin, G.S.; Hu, Z.; Zhou, W.; Yang, Z.Q.; Guo, X.S.; Long, R.J. Determination of inorganic elements in the soil-grass-animal system by sealed microwave digestion ICP-AES. Spectrosc. Spectr. Anal. 2010, 30, 546–550. [Google Scholar]
  19. Bochove, V.; Eric, B.C.; Suzanne, T.R.G. Continuous multiple measurement of soil redox potential using platinum microelectrodes. Soil Sci. Soc. Am. J. 2002, 66, 1813–1820. [Google Scholar] [CrossRef]
  20. Carter, B.; Dimarzo, L.; Pranata, J. Determination of the efficiency of removal of whey protein from sweet whey with ceramic microfiltration membranes. J. Dairy Sci. 2021, 104, 7534–7543. [Google Scholar] [CrossRef]
  21. Tessier, A.; Campbell, P.G.; Bisson, M. Sequential extraction procedure for the speciation of particulate trace metals. Anal. Chem. 1979, 51, 844–851. [Google Scholar] [CrossRef]
  22. Xie, S.W.; Guo, X.S.; Yang, F.; Huang, Q.; Chen, M.J.; Wei, X.H.; Liu, C.S. Accumulation Characteristics, Geochemical Fractions Distribution and Ecological Risk of Heavy Metals in Soils of Urban Parks in Guangzhou, China. Ecol. Environ. 2022, 31, 2206–2215. [Google Scholar]
  23. Sun, J.W.; Yu, R.L.; Hu, G.R. Assessment of heavy metal pollution and tracing sources by Pb & Sr isotope in the soil profile of woodland in Quanzhou. Environ. Sci. 2017, 38, 1566–1575. [Google Scholar]
  24. Jain, C.K. Metal fractionation study on bed sediments of river Yamuna, India. Water Res. 2004, 38, 569–578. [Google Scholar] [CrossRef]
  25. Chen, Z.; Muhammad, I.; Zhang, Y.; Hu, W.; Lu, Q.; Wang, W.; Huang, B.; Hao, M. Transfer of heavy metals in fruits and vegetables grown in greenhouse cultivation systems and their health risks in Northwest China. Sci. Total Environ. 2021, 766, 142663. [Google Scholar] [CrossRef] [PubMed]
  26. Wu, J.; Lu, J.; Zhang, C.; Zhang, Y.X.; Lin, Y.C.; Xu, J. Pollution, sources, and risks of heavy metals in coastal waters of China. Hum. Ecol. Risk Assess. Int. J. 2019, 26, 2011–2026. [Google Scholar] [CrossRef]
  27. United States Environmental Protection Agency (US EPA). Risk Assessment Guidance for Superfund, Vol. I: Human Health Evaluation Manual; Office of Emergency and Remedial Response: Washington, DC, USA, 1989. [Google Scholar]
  28. Middleton, D.R.S.; Watts, M.J.; Beriro, D.J.; Hamilton, E.M.; Leonardi, G.S.; Fletcher, T.; Close, R.M.; Polya, D.A. Arsenic in residential soil and household dust in Cornwall, south west England: Potential human exposure and the influence of historical mining. Environ. Sci. Process. Impacts 2017, 19, 517–527. [Google Scholar] [CrossRef]
  29. Huang, C.; Zhang, L.; Meng, J. Characteristics, source apportionment and health risk assessment of heavy metals in urban road dust of the Pearl River Delta, South China. Ecotoxicol. Environ. Saf. 2022, 236, 113490. [Google Scholar] [CrossRef]
  30. Kumar, P.; Dipti, S.; Kumar, S. Severe contamination of carcinogenic heavy metals and metalloid in agroecosystems and their associated health risk assessment. Environ. Pollut. 2022, 301, 118953. [Google Scholar] [CrossRef]
  31. Jiang, Y.; Ma, J.; Ruan, X. Compound health risk assessment of cumulative heavy metal exposure: A case study of a village near a battery factory in Henan Province, China. Environ. Sci. Process. Impacts 2020, 22, 1408–1422. [Google Scholar] [CrossRef] [PubMed]
  32. Zhao, S.; Ni, Z.K.; Huang, D.L.; Zhang, B.T.; Feng, M.L.; Chen, H.W.; Wang, S.R. Evolution of waler quality of poyang lake using WQl method and diving factors identification. Acta Sci. Circumstantiae 2020, 40, 179–187. [Google Scholar]
  33. Huang, B.; Long, J.; Liao, H.; Liu, L.; Li, J.; Zhang, J.; Li, Y.; Wang, X.; Yang, R. Characteristics of Bacterial Community and Function in Paddy Soil Profile around Antimony Mine and Its Response to Antimony and Arsenic Contamination. Int. J. Environ. Res. Public Health 2019, 16, 4883. [Google Scholar] [CrossRef]
  34. Giri, S.; Singh, A.K. Human health risk assessment via drinking water pathway due to metal contamination in the groundwater of Subarnarekha River Basin, India. Environ. Monit. Assess. 2015, 187, 63–70. [Google Scholar] [CrossRef] [PubMed]
  35. Wongsasuluk, P.; Chotpantarat, S.; Siriwong, W. Heavy metal contamination and human health risk assessment in drinking water from shallow groundwater wells in an agricultural area in Ubon Ratchathani province, Thailand. Environ. Geochem. Health 2014, 36, 169–182. [Google Scholar] [CrossRef] [PubMed]
  36. Keshavarzi, B.; Hassanaghaei, M.; Moore, F. Heavy metal contamination and health risk assessment in three commercial fish species in the Persian Gulf. Mar. Pollut. Bull. 2018, 129, 245–252. [Google Scholar] [CrossRef]
  37. Khaiwal, R.; Suman, M. Distribution and health risk assessment of arsenic and selected heavy metals in Groundwater of Chandigarh, India. Environ. Pollut. 2019, 250, 820–830. [Google Scholar]
  38. Cao, S.; Duan, X.; Zhao, X.; Ma, J.; Dong, T.; Huang, N.; Sun, C.; He, B.; Wei, F. Health risks from the exposure of children to As, Se, Pb and other heavy metals near the largest coking plant in China. Sci. Total Environ. 2014, 472, 1001–1009. [Google Scholar] [CrossRef]
  39. Sawut, R.; Kasim, N.; Maihemuti, B.; Hu, L.; Abliz, A.; Abdujappar, A.; Kurban, M. Pollution characteristics and health risk assessment of heavy metals in the vegetable bases of northwest China. Sci. Total Environ. 2018, 642, 864–878. [Google Scholar] [CrossRef] [PubMed]
  40. Grzetic, I.; Ghariani, A. Potential health risk assessment for soil heavy metal contamination in the central zone of Belgrade (Serbia). J. Serb. Chem. Soc. 2008, 73, 923–934. [Google Scholar] [CrossRef]
  41. Gao, Z.; Weng, H.; Guo, H. Unraveling Influences of Nitrogen Cycling on Arsenic Enrichment in Groundwater from the Hetao Basin Using Geochemical and Multi-isotopic Approaches. J. Hydrol. 2021, 595, 125981. [Google Scholar] [CrossRef]
  42. Tao, X.Z. The Natural Purification Mechanism of Arsenic in the Water Environment of Xingren High Arsenic Coal Mine Area. Master’s Thesis, Guizhou University, Guiyang, China, 2008; pp. 27–29. [Google Scholar]
  43. Xie, H. Geological characteristics and distribution types of high-arsenic coal in southwest Guizhou. China Coal 2007, 33, 4–7. [Google Scholar]
  44. Wang, P.; Zhao, F.J. The transfer and control of cadmium in the soil-rice systems. J. Nanjing Agric. Univ. 2022, 45, 990–1000. [Google Scholar]
  45. Xiao, X.Y.; Chen, T.B.; Liao, X.Y. Comparison of concentrations and bioconcentration factors of arsenic in vegetables, grain and oil erops in China. Acta Sci. Circumstantiae 2009, 29, 291–296. [Google Scholar]
  46. Chen, Y.F.; Xu, J.R.; Duan, X.L.; Cao, S.Z.; Sun, S.W.; Kang, Y.J. Health risks of cumulative oral exposure to heavy metals for children living around a coking enterprise. China Environ. Sci. 2019, 39, 4865–4874. [Google Scholar]
  47. Xia, Z.H.; Duan, X.L.; Qiu, W.X.; Liu, D.; Wang, B.; Shu, T.; Jiang, Q.J.; Lu, B.; Song, Y.X.; Hu, X.X. Health risk assessment on dietary exposure to polycyclic aromatic hydrocarbons (PAHs) in Taiyuan, China. Sci. Total Environ. 2010, 408, 5331–5337. [Google Scholar] [CrossRef]
Figure 1. The information of sampling points in Xingren county.
Figure 1. The information of sampling points in Xingren county.
Minerals 13 00629 g001
Figure 2. Soil physical and chemical parameters (a) and HM (b) contents (n = 12; 6.47 ± 0.63 and CV% = 9.71% for pH; 17.77 ± 6.50 g/kg and CV = 36.60% for SOM; 1.98 ± 0.45 g/kg and CV = 22.83% for N; 5933.86 ± 353.81 mg/kg and CV = 5.96% for P; 7165.58 ± 683.93 mg/kg and CV = 9.55% for K; 133.66 ± 38.20 and CV = 28.57% for Pb; 0.69 ± 0.08 and CV = 11.50% for Cd; 146.42 ± 28.11 and CV = 19.20% for Cr; 133.66 ± 38.20 and CV = 28.57% for Pb; 0.69 ± 0.08 and CV = 11.50% for Cd; 146.42 ± 28.11 and CV = 19.20% for Cr; 0.20 ± 0.06 and CV = 30.92% for Hg; 74.68 ± 13.48 and CV = 18.04% for As; 56.09 ± 6.37 and CV = 11.36% for Cu; 112.04 ± 9.64 and CV = 8.60% for Zn).
Figure 2. Soil physical and chemical parameters (a) and HM (b) contents (n = 12; 6.47 ± 0.63 and CV% = 9.71% for pH; 17.77 ± 6.50 g/kg and CV = 36.60% for SOM; 1.98 ± 0.45 g/kg and CV = 22.83% for N; 5933.86 ± 353.81 mg/kg and CV = 5.96% for P; 7165.58 ± 683.93 mg/kg and CV = 9.55% for K; 133.66 ± 38.20 and CV = 28.57% for Pb; 0.69 ± 0.08 and CV = 11.50% for Cd; 146.42 ± 28.11 and CV = 19.20% for Cr; 133.66 ± 38.20 and CV = 28.57% for Pb; 0.69 ± 0.08 and CV = 11.50% for Cd; 146.42 ± 28.11 and CV = 19.20% for Cr; 0.20 ± 0.06 and CV = 30.92% for Hg; 74.68 ± 13.48 and CV = 18.04% for As; 56.09 ± 6.37 and CV = 11.36% for Cu; 112.04 ± 9.64 and CV = 8.60% for Zn).
Minerals 13 00629 g002
Figure 3. The correlation between soil physicochemical parameters and HMs using a heat map (a) and redundancy analysis (b). (n = 12, “*” and “**” represent p < 0.05 and p < 0.01, respectively).
Figure 3. The correlation between soil physicochemical parameters and HMs using a heat map (a) and redundancy analysis (b). (n = 12, “*” and “**” represent p < 0.05 and p < 0.01, respectively).
Minerals 13 00629 g003
Figure 4. Speciation analysis of HMs in the soil using Tessier’s extraction method (n = 12).
Figure 4. Speciation analysis of HMs in the soil using Tessier’s extraction method (n = 12).
Minerals 13 00629 g004
Figure 5. RSP (a) and RCD (b) values of HMs’ speciations in paddy soil (n = 12).
Figure 5. RSP (a) and RCD (b) values of HMs’ speciations in paddy soil (n = 12).
Minerals 13 00629 g005
Figure 6. The accumulated factor in rice (a), transfer factor from root to stems (b), transfer factor from root to leaves (c) and transfer factor from root to grains (d) (n = 12).
Figure 6. The accumulated factor in rice (a), transfer factor from root to stems (b), transfer factor from root to leaves (c) and transfer factor from root to grains (d) (n = 12).
Minerals 13 00629 g006
Figure 7. The proportion of single HMs for the non-carcinogen risk in soil and rice grains (a), and single HMs for the carcinogen risk in soil (b).
Figure 7. The proportion of single HMs for the non-carcinogen risk in soil and rice grains (a), and single HMs for the carcinogen risk in soil (b).
Minerals 13 00629 g007
Table 1. Exposure parameters for human health risk assessment [33,34,35,36,37].
Table 1. Exposure parameters for human health risk assessment [33,34,35,36,37].
ParameterDescriptionValue
CWHMs concentration (mg/kg)Value from present study
IR (rice)Ingestion rate (g/d)420 (Adult) and 150 (Children)
IngR (soil)Soil ingestion rate(g/d)0.1 (Adult) and 0.2 (Children)
EFExposure frequency365 days/year
ED (noncarcinogenic)Exposure duration (a)30 (Adult) and 6 (Children)
ED (carcinogenic)Exposure duration (a)70 (Adult) and 70 (Children)
BWBody weight (kg)70 kg (Adult) and 15 kg (Children)
AT (noncarcinogenic)Averaging time in yearsED × 365 (Adult), ED × 365 (Children)
AT (carcinogenic)Averaging time in years25,550 (Adult and Children)
SAExposed skin area (cm2)5700 (Adult) and 2800 (Children)
PEFDust emission factor (m3/kg)1.36 × 109 (Adult and Children)
CFUnit conversion factor (kg/mg)1 × 10−6 (Adult and Children)
SLAdhesion factor (mg/(cm2·d))0.07 (Adult) and 0.02 (Children)
ABSDermal absorption fraction0.001 (Other metals, adult and children)
0.03 (As, adult and children)
RfD Ingestion (mg/kg/day)Reference dose0.0014 (Pb); Cr (0.003); Cd (0.001); Cu (0.04); Zn (0.3); As (0.0003); Hg (0.0003)
RfD Dermal (mg/kg/day)Reference dose0.0014 (Pb); 0.000075 (Cr); 0.000025 (Cd); 0.04 (Cu); 0.06 (Zn); 0.0003 (As); 0.000024 (Hg)
RfD Inhalation (mg/kg/day)Reference dose0.0014 (Pb); 0.0000286 (Cr); 0.0000571 (Cd); 0.04 (Cu); 0.3 (Zn); 0.0003 (As); 0.0003 (Hg)
SF Ingestion (mg/kg/day)Slope factor0.501 (Cr), 6.1 (Cd) and 1.5 (As)
SF Dermal (mg/kg/day)Slope factor2.0 (Cr), 24.4 (Cd) and 1.55 (As)
SF Inhalation (mg/kg/day)Slope factor42 (Cr), 6.3 (Cd) and 15.1 (As)
InhRInhalation rate (m3/d)20 (Adult) and 10 (Children)
Table 2. The non-carcinogenic health risk of HMs in paddy soil and rice grains (n = 12).
Table 2. The non-carcinogenic health risk of HMs in paddy soil and rice grains (n = 12).
Exposure PathwaysPopulationHQ ValuesHI
PbCdCrHgAsCuZn
Inhalation (Soil)Adults
(Mean ± SD)
9.92 × 10−6 ±
2.71 × 10−6 a
1.25 × 10−6 ±
1.38 × 10−7 a
5.16 × 10−4 ±
1.15 × 10−4 a
6.99 × 10−8 ±
2.07 × 10−8 a
2.59 × 10−5 ±
4.47 × 10−6 a
1.46 × 10−7 ±
1.59 × 10−8 a
3.88 × 10−8 ±
3.20 × 10−9 a
1.11 × 10−3 ±
2.44 × 10−4 a
Children (Mean ± SD)4.68 × 10−5 ±
1.28 × 10−5 b
5.89 × 10−6 ±
6.49 × 10−7 b
2.44 × 10−3 ±
5.43 × 10−4 b
3.30 × 10−7 ±
9.75 × 10−8 b
1.22 × 10−4 ±
2.11 × 10−5 b
6.87 × 10−7 ±
7.48 × 10−8 b
1.83 × 10−7 ±
1.51 × 10−8 b
5.23 × 10−3 ±
1.15 × 10−3 b
Dermal contact (Soil)Adults
(Mean ± SD)
5.38 × 10−5 ±
1.47 × 10−5 a
1.55 × 10−5 ±
1.71 × 10−6 a
1.07 × 10−3 ±
2.38 × 10−4 a
4.74 × 10−6 ±
1.40 × 10−6 a
4.21 × 10−3 ±
7.28 × 10−4 a
7.91 × 10−7 ±
8.60 × 10−8 a
1.05 × 10−6 ±
8.68 × 10−8 a
1.07 × 10−2 ±
1.97 × 10−3 a
Children (Mean ± SD)3.56 × 10−4 ±
9.75 × 10−5 b
1.03 × 10−4 ±
1.13 × 10−5 b
7.07 × 10−3 ±
1.58 × 10−3 b
3.14 × 10−5 ±
9.29 × 10−6 b
2.79 × 10−2 ±
4.82 × 10−3 b
5.23 × 10−6 ±
5.69 × 10−7 b
6.97 × 10−6 ±
5.75 × 10−7 b
7.10 × 10−2 ±
1.30 × 10−2 b
SumAdults
(Mean ± SD)
6.37 × 10−5 ±
1.74 × 10−5 a
1.68 × 10−5 ±
1.85 × 10−6 a
1.59 × 10−3 ±
3.53 × 10−4 a
4.81 × 10−6 ±
1.42 × 10−6 a
4.24 × 10−3 ±
7.32 × 10−4 a
9.37 × 10−7 ±
1.02 × 10−7 a
1.09 × 10−6 ±
9.00 × 10−8 a
1.18 × 10−2 ±
2.21 × 10−3 a
Children (Mean ± SD)4.03 × 10−4 ±
1.10 × 10−4 b
1.09 × 10−4 ±
1.19 × 10−5 b
9.51 × 10−3 ±
2.12 × 10−3 b
3.17 × 10−5 ±
9.39 × 10−6 b
2.80 × 10−2 ±
4.84 × 10−3 b
5.92 × 10−6 ±
6.44 × 10−7 b
7.15 × 10−6 ±
5.90 × 10−7 b
7.62 × 10−2 ±
1.42 × 10−2 b
Ingestion (Rice)Adults
(Mean ± SD)
5.53 × 10−1 ±
1.55 × 10−1 a
5.02 × 10−1 ±
1.49 × 10−1 a
4.64 × 10−1 ±
1.19 × 10−1 a
1.79 × 10−1 ±
6.72 × 10−2 a
2.14 × 10+0 ±
6.52 × 10−1 a
2.53 × 10−1 ±
8.61 × 10−2 a
5.81 × 10−2 ±
1.05 × 10−2 a
4.15 × 10+0 ±
7.08 × 10−1 a
Children (Mean ± SD)1.86 × 10+0 ±
5.24 × 10−1 b
1.69 × 10+0 ±
5.02 × 10−1 b
1.56 × 10+0 ±
4.01 × 10−1 b
6.03 × 10−1 ±
2.26 × 10−1 b
7.22 × 10+0 ±
2.20 × 10+0 b
8.53 × 10+0 ±
2.90 × 10+0 b
1.96 × 10−1 ±
3.55 × 10−2 b
2.17 × 10+1 ±
3.76 × 10+0 b
Note: mean ± SD, n = 12. Different superscript letters in each row represent significant differences between different treatments (ANOVA, p < 0.05).
Table 3. The carcinogenic health risk of Cd, Cr and As in paddy soil.
Table 3. The carcinogenic health risk of Cd, Cr and As in paddy soil.
Exposure MethodsPopulation CF Values TCF Values
CdCrAs
Hand–mouthAdults (Mean ± SD)2.96 × 10−6 ± 3.26 × 10−7 a5.03 × 10−5 ± 1.12 × 10−5 a1.49 × 10−3 ± 2.58 × 10−4 a1.55 × 10−3 ± 2.70 × 10−4 a
Children (Mean ± SD)1.81 × 10−5 ± 1.99 × 10−6 b2.52 × 10−5 ± 5.62 × 10−6 b2.24 × 10−3 ± 3.87 × 10−4 b2.28 × 10−3 ± 3.95 × 10−4 b
InhalationAdults (Mean ± SD)4.50 × 10−10 ± 4.95 × 10−11 a6.20 × 10−7 ± 1.38 × 10−7 a1.17 × 10−7 ± 2.02 × 10−8 a7.38 × 10−7 ± 1.59 × 10−7 a
Children (Mean ± SD)2.12 × 10−9 ± 2.34 × 10−10 b2.93 × 10−6 ± 6.52 × 10−7 b5.53 × 10−7 ± 9.55 × 10−8 b3.48 × 10−6 ± 7.48 × 10−7 b
Dermal contactAdults (Mean ± SD)9.45 × 10−9 ± 1.04 × 10−9 a1.60 × 10−7 ± 3.57 × 10−8 a1.96 × 10−6 ± 3.38 × 10−7 a2.13 × 10−6 ± 3.75 × 10−7 a
Children (Mean ± SD)6.26 × 10−8 ± 6.89 × 10−9 b1.06 × 10−6 ± 2.36 × 10−7 b1.30 × 10−5 ± 2.24 × 10−6 b1.41 × 10−5 ± 2.48 × 10−6 b
SumAdults (Mean ± SD)2.97 × 10−6 ± 3.27 × 10−7 a5.11 × 10−5 ± 1.14 × 10−5 a1.50 × 10−3 ± 2.58 × 10−4 a1.55 × 10−3 ± 2.70 × 10−4 a
Children (Mean ± SD)1.81 × 10−5 ± 2.00 × 10−6 b2.92 × 10−5 ± 6.50 × 10−6 b2.25 × 10−3 ± 3.89 × 10−4 b2.30 × 10−3 ± 3.98 × 10−4 b
Note: mean ± SD, n = 12. Different superscript letters in each row represent significant differences between different treatments (ANOVA, p < 0.05).
Disclaimer/Publisher’s Note: The statements, opinions and data contained in all publications are solely those of the individual author(s) and contributor(s) and not of MDPI and/or the editor(s). MDPI and/or the editor(s) disclaim responsibility for any injury to people or property resulting from any ideas, methods, instructions or products referred to in the content.

Share and Cite

MDPI and ACS Style

Liu, H.; Xie, J.; Cheng, Z.; Wu, X. Characteristics, Chemical Speciation and Health Risk Assessment of Heavy Metals in Paddy Soil and Rice around an Abandoned High-Arsenic Coal Mine Area, Southwest China. Minerals 2023, 13, 629. https://doi.org/10.3390/min13050629

AMA Style

Liu H, Xie J, Cheng Z, Wu X. Characteristics, Chemical Speciation and Health Risk Assessment of Heavy Metals in Paddy Soil and Rice around an Abandoned High-Arsenic Coal Mine Area, Southwest China. Minerals. 2023; 13(5):629. https://doi.org/10.3390/min13050629

Chicago/Turabian Style

Liu, Huijuan, Jiao Xie, Zhifei Cheng, and Xianliang Wu. 2023. "Characteristics, Chemical Speciation and Health Risk Assessment of Heavy Metals in Paddy Soil and Rice around an Abandoned High-Arsenic Coal Mine Area, Southwest China" Minerals 13, no. 5: 629. https://doi.org/10.3390/min13050629

APA Style

Liu, H., Xie, J., Cheng, Z., & Wu, X. (2023). Characteristics, Chemical Speciation and Health Risk Assessment of Heavy Metals in Paddy Soil and Rice around an Abandoned High-Arsenic Coal Mine Area, Southwest China. Minerals, 13(5), 629. https://doi.org/10.3390/min13050629

Note that from the first issue of 2016, this journal uses article numbers instead of page numbers. See further details here.

Article Metrics

Back to TopTop