Next Article in Journal
Characteristics, Chemical Speciation and Health Risk Assessment of Heavy Metals in Paddy Soil and Rice around an Abandoned High-Arsenic Coal Mine Area, Southwest China
Previous Article in Journal
Co-Precipitation of Cd, Cr, Pb, Zn, and Carbonates Using Vibrio harveyi Strain Isolated from Mediterranean Sea Sediment
 
 
Font Type:
Arial Georgia Verdana
Font Size:
Aa Aa Aa
Line Spacing:
Column Width:
Background:
Article

Microstructure and Mineral Phase Evolution of Vanadium Slag by Modulating the CaO/V2O5 Ratio

Key Laboratory of Ecological Metallurgy of Multi-Metal Intergrown Ores of Ministry of Education, Northeastern University, Shenyang 110819, China
*
Author to whom correspondence should be addressed.
Minerals 2023, 13(5), 628; https://doi.org/10.3390/min13050628
Submission received: 7 March 2023 / Revised: 22 April 2023 / Accepted: 28 April 2023 / Published: 29 April 2023

Abstract

The slag mineral phase is reconstructed by adding CaO to the molten vanadium slag to obtain a slag with high metallurgical characteristics. In this paper, the effects of the CaO/V2O5 ratio on the microstructure of molten vanadium slag, the phase composition of vanadium slag, and the non-salt roasting-(NH4)2CO3 leaching performance of modified vanadium slag were comprehensively investigated. Molecular dynamics simulation was used to examine the microstructure of the simplified vanadium slag system (FeO-V2Ox-SiO2-CaO) at varied CaO/V2O5 ratios. The results show that V (3+, 4+, and 5+) in the molten vanadium slag is similar to the network former. The V-O structure is dominated by four-fold coordination, and V3+ and V5+ show rich coordination configurations. With the increased CaO content, the overall diffusivity of the system increases, and the network structure is destroyed by CaO. The addition of CaO realizes the mineral phase reconstruction of vanadium slag, and vanadium slag with a more concentrated vanadium distribution and a wider Ca distribution is obtained. The concentration of vanadium in vanadium spinel increases from 17% to 29.4%. A suitable CaO/V2O5 ratio reduces the dependence of the vanadium leaching recovery on the vanadium slag’s roasting temperature and duration.

1. Introduction

Vanadium has excellent physicochemical properties and is widely used in steel, aviation, new energy storage devices, and medical fields [1]. Vanadium-titanium magnetite (VTM) is the main occurrence mineral of vanadium resources, contributing more than 88% of vanadium production [2,3,4]. In order to extract as much vanadium as possible, VTM is usually fed into the blast furnace and co-reduced with other metals into molten iron [1,5]. The vanadium-containing hot metal is top-blown in the converter to obtain high-grade vanadium slag to meet the needs of the vanadium extraction plant.
The main minerals in converter vanadium slag are spinel and olivine. The highly elevated melting point of these minerals generates poor furnace conditions. In the high viscosity slag system, the slag will carry a large amount of metal, which is not conducive to the efficient use of resources [6]. As an alkaline oxide, CaO can destroy the [SiO4] network structure in the melt and improve the fluidity of the slag. Under the goal of dephosphorization during vanadium extraction, Fang and Chen [7,8] evaluated the effect of CaO addition on the vanadium-containing phase in vanadium slag, and proved that the addition of CaO had no effect on the crystallization process of vanadium, and that vanadium existed only in the vanadium spinel phase. Zhou [9] investigated the non-isothermal crystallization kinetics of spinel in high CaO vanadium slag. By studying the synthetic slag, it was found that CaO is beneficial to the growth of vanadium spinel. These efforts significantly advanced the study of vanadium slag melt calcification. Their purpose is based on the study of simultaneous dephosphorization and vanadium extraction, by reducing the pressure of dephosphorization after vanadium extraction. However, according to Zhang’s research [10], vanadium slag with high CaO (>26%) showed poor performance in leaching, only reaching 57.8%. Moreover, the high CaO content required for dephosphorization will lead to an increase in slag viscosity, which will further deteriorate the furnace condition and reduce the extraction efficiency of vanadium in the converter. This is not friendly to efficient vanadium extraction.
The primary objective of the roasting stage is to destroy the olivine phase wrapped outside the vanadium spinel, expose the vanadium spinel to full oxidation, and produce as much soluble vanadate as possible [11]. The oxidation temperature of vanadium iron spinel is 657 °C. However, in order to promote the formation of nCaO·V2O5 (n = 1–3), it is usually necessary to set the roasting calcination temperature above 850 °C. Solid-state roasting means a low Ca2+ diffusion rate and less nCaO·V2O5 generation. Achieving a high leaching efficiency of vanadium requires more energy for the diffusion of Ca2+ in the roasting stage. Adding CaO to the vanadium slag modification in the vanadium extraction stage of the converter can not only improve the fluidity of molten vanadium slag but also be expected to achieve vanadium slag phase reorganization and obtain better metallurgical properties of vanadium slag. To achieve this goal, it may not require a high CaO content.
Macroscopic properties are determined by microstructure. It is difficult to obtain microstructure information at high temperatures, particularly for transition metals. In order to optimize the recovery of vanadium, studies on the microstructure and mineral phase transformation of vanadium slag at different CaO/V2O5 ratios are necessary. In this study, the microstructure of a simplified vanadium slag system (FeO-V2Ox-SiO2-CaO) with varying CaO contents was studied by molecular dynamics (MD) simulation. The modified vanadium slag was prepared with different CaO/V2O5 ratios, and the phase reconstruction of vanadium slag caused by CaO was studied. Finally, the non-salt roasting-(NH4)2CO3 leaching experiment was designed to evaluate the leaching capabilities of the modified vanadium slag, and the effects of roasting temperature and time were investigated.

2. Materials and Methods

2.1. Materials

The chemicals used in this study (CaO, (NH4)2CO3) were analytically pure (Sinopharm Chemical Reagent Co., Ltd., Shanghai, China, purity N98%). CaO was dried in a vacuum drying oven (DZ-1BCIV, TAISITE, Tianjin, China) at 120 °C for 24 h prior to use. Three hundred grams of (NH4)2CO3 was dissolved and diluted in 1 L of ultrapure water. The raw material for converter vanadium slag was taken from the Panzhihua area of Sichuan Province, China. Particles with particle sizes less than 75 μm were collected from converter vanadium slag after crushing for the experiment. The primary components of raw slag, as detected by X-ray fluorescence analysis (XRF), are listed in Table 1; vanadium is quantified as V2O5. The main mineral phases identified by X-ray diffraction (XRD) analysis are shown in Section 3.3, and the scanning electron microscopy (SEM) image of the original converter vanadium slag is shown in Figure S1.

2.2. Melting Calcification and Non-Salt Roasting–Leaching Experimental Process

2.2.1. CaO Modification of Vanadium Slag

The raw slag (<75 μm) was mixed with CaO and placed in a corundum crucible to be heated to 1500 °C in the RTW-10 melt physical property tester (Northeastern University). It was held for 30 min to ensure complete melting and homogenization of vanadium slag to simulate the melting and calcification processes of converter vanadium slag. During the heating and holding phases, 2 L/min of Ar gas was introduced into the furnace to prevent unwanted oxidation. After stopping the heating, the crucible was taken out and placed in an air-isolated container and cooled at room temperature. The addition quantity of CaO was calculated based on the mass ratio of CaO to V2O5, with the various ratio conditions denoted as xCa/V (x = m(CaO)/m(V2O5)). The m(CaO)/m(V2O5) ratio in raw slag was 0.11. After crushing and grinding, the modified vanadium slag was screened for particles below 75 μm for analysis and roasting–leaching experiments. Table 1 shows the composition of the XRF analysis. The flow chart of the whole study is shown in Figure 1.

2.2.2. Non-Salt Roasting-(NH4)2CO3 Leaching

The modified vanadium slag (<75 μm) was placed in a muffle furnace for non-salt roasting experiments under a preset temperature program. The vanadium slag was heated from room temperature to 600–900 °C, and the roasting time was 1–4 h. During roasting, the muffle furnace door remained semi-open so that the vanadium slag sample was exposed to an oxidizing atmosphere and stirred with an iron rake every 15 min. Then, the roasted sample was naturally cooled and ground into powder for analysis and leaching.
Leaching efficiency (%) = mL/m0 × 100
The roasted sample (<75 μm) was leached by (NH4)2CO3 solution, and the leaching process was carried out in a flask with an additional stirring device. The flask was heated in a thermostatic water bath. The leaching conditions were fixed as follows: leaching temperature 80 °C, leaching time 2 h, solid/liquid mass ratio 1:10, stirring speed 300 rpm, and (NH4)2CO3 solution concentration 300 g/L. The amount of vanadium that can be leached in (NH4)2CO3 solution is described as the leaching efficiency, and the calculation formula is shown in Equation (1), where m0 is the quality of vanadium in the vanadium slag before leaching, which varies with composition, and mL is the quality of vanadium in the leaching solution after leaching. After the leaching test, the residue and the leaching solution were filtered and separated. The leaching solution was diluted in a 1 L volumetric flask, and the chemical content was detected by ICP-OES.

2.3. Analysis Methods

An X-ray fluorescence analyzer (XRF, ZSX Primus IV, Rigaku Corporation, Tokyo, Japan) qualitatively analyzed the sample’s chemical composition. The crystalline phase of samples was identified by an X-ray diffraction analyzer (XRD, D8 Advance, Bruker, Germany). An X-ray photoelectron spectrometer (XPS, ESCALAB 250, Thermo Scientific, Waltham, MA, USA) was used to detect the X-ray photoelectron spectroscopy of vanadium slag. The surface morphology of the vanadium slag was observed by scanning electron microscopy (SEM, TESCAN MIRA LMS, Czech). An inductively coupled plasma optical emission spectrometer (ICP-OES, Prodigy Plus, Teledyne Leeman Labs, Mason, OH, USA) was used for chemical composition analysis to quantify the vanadium content in the leachate.

2.4. MD Simulation Methods

MD simulations were conducted using the LAMMPS package. The framework of the empirical potentials used in this work is a set of partial charge pairwise potentials that was developed by Du and Cormack with their modification on O-O interaction based on the initial D. M. Teter’s parameterization [12]. The interaction between atoms is described by the combination of the long-range Coulomb term and the short-range Buckingham term. The cutoff distance of the Coulomb force and the non-Coulomb force is 10 Å. The Buckingham term is expressed by the following Equation (2):
V ij = A ij exp r ij / ρ ij C ij / r ij 6
V ij = B ij / r ij n ij + D ij r ij 2
where i and j are the elements of the i–j atom pair, Aij, ρij and Cij are empirical parameters, and rij is the distance of the i–j atom pair. In order to solve the potential high temperature crisis of the Buckingham potential [13], a short-range exclusion term was added, as shown in Equation (3). Bij, nij, and Dij ensure the continuity of the force at the splicing distance (rs). Table S1 displays the potential parameters utilized in the simulation [14,15].
Random distribution of atoms in a cubic simulation box (cell size about 53 Å) produced an initial configuration of about 10,000 atoms. Seven molten slag structures with different compositions were prepared using the conventional melt–quench process. The number of cations in the initial configuration was determined by the molar ratios of Fe, Ca, V, and Si in Table 1, and vanadium was classified as V3+, V4+, and V5+. According to the detection results of XPS, the proportion of 40% V3+, 30% V4+ and 30% V5+ was determined. XPS analysis is discussed in detail in Section 3.3. The number of oxygen ions is determined according to the cations to ensure the electrical neutrality of the system. After energy minimization, each system relaxes for 100 ps at an isothermal isobaric ensemble (NPT) of 6000 K, making the system disordered. Cooling to 1873 K then took place at a cooling rate of 5 TK/s. After the melt–quench process, the structures were relaxed at 1873 K under the canonical ensemble (NVT) for 50 ps. Finally, the system was sampled every 0.01 ps under NVT, and the simulation was continued for 50 ps to obtain the final data.

3. Results and Discussion

3.1. Short Range Order of Slag: Bond Lengths, Coordination Numbers and Bond Angle Distributions

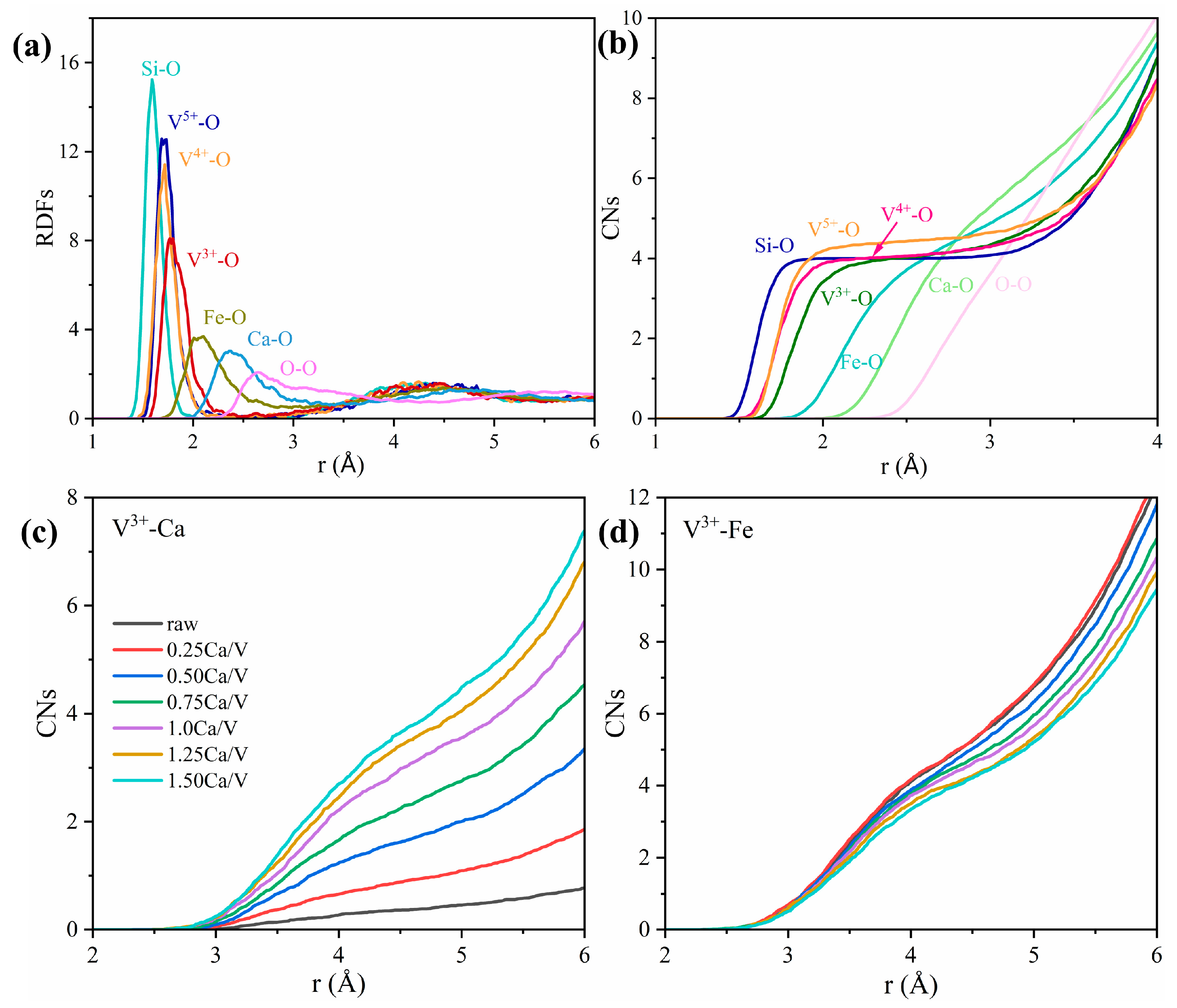
By analyzing the radial distribution function (RDF), the short-range ordered structure of the FeO-V2Ox-SiO2-CaO system can be observed. Figure 2a,b shows the distribution of RDF and coordination number (CN) with 1.0Ca/V as an example. The average bond length of cation–oxygen is equal to the distance coordinate of the first peak in the RDF curve. The CN curve is obtained by integrating the RDF curve, and its platform corresponds to the coordination number. The bond distances of V3+-O, V4+-O and V5+-O are 1.77, 1.69 and 1.70 Å, respectively, which are consistent with the reports on vanadium-containing glass systems [15]. Both the RDF and CN of V-O indicate that the V cations act as network-forming agents in the melt. No significant change in bond distance between different components was observed. All V-O RDF can be found in SI (Figure S2), where V4+ RDF shows a more symmetrical shape. The RDF asymmetry of V3+ and V5+ is due to the V-O double bond at 1.58 Å [16].
Taking the most occupied V3+ as an example, the coordination information of V3+-Ca and V3+-Fe is shown in Figure 2c,d. The coordination information between vanadium and calcium ions strongly depends on the composition of the melt. With the increase in CaO content, V3+-Ca increases rapidly. However, the coordination number of V3+-Fe is only slightly decreased, which may be due to the dilution of CaO in the melt. The CN curve of Ca-O and Fe-O did not generate a platform, which meant that Ca2+ and Fe2+ were not bound in the network structure and played the role of network modifiers [17]. The information of the V-Ca pair can reflect part of the information of V-O-Ca. The increase in V-Ca coordination means that the probability of V-O-Ca structure formation increases. Calcium vanadate xCaO·V2O5 (x = 1–3) is a soluble vanadate, and its content is a key factor in determining the leaching of vanadium. During the calcination process, Ca2+ diffuses into the vanadium-iron spinel phase through solid phase diffusion, which is fully explained by the hole mechanism [18,19]. As the temperature increases, some cations overcome the binding energy in the lattice and jump. Solid phase diffusion is difficult and slow, which is one of the factors that lead to the high temperature and long time required for vanadium slag roasting. The CN of V-Ca in the FeO-V2Ox-SiO2-CaO system shows that melt calcification brings more V-O-Ca structure, which contributes to the improvement of solid phase diffusion efficiency.
Based on the valley position after the major peak in the V-O RDFs, a cutoff radius of 2.5, 2.2, and 2.2 Å was set as the criterion for V3+-O, V4+-O, and V5+-O pairs to be considered coordinated to each other. The bond angle distribution (BAD) of O-V3+-O, O-V4+-O, and O-V5+-O is shown in Figure 3a. The BAD of O-V3+-O has a main peak at 105° and is widely distributed between 80–140°. This is consistent with the fact that V3+ is mainly four-fold coordination with a small amount of five-fold coordination. The 90 and 120° bond angle distribution of the triangular bipyramid (see inset of Figure 3a) broadens the BAD peak. The main peak of O-V4+-O is at 109°, consistent with the fact that V4+ is predominantly a quadruple allotment. The main peak of O-V5+-O contains 90°, 109°, and 120°, and there is a secondary peak near 170°. These angles are consistent with the four-, five-, and six-fold coordination of V5+. It is also found that the five-fold coordinated V5+ is in a square cone or triangular bipyramid environment.
Figure 3b shows the CN distribution of V3+, V4+, and V5+, respectively. There is mostly four-fold coordination and a little degree of five-fold coordination for V3+ and V4+ ions. The detailed coordination distribution can be seen in the Qn distribution of Figure S3. The five-fold coordination of V5+ ions increased slightly with the increase in CaO, indicating that CaO changed the symmetry of the V5+-O network structure.

3.2. The Effect of CaO on Transmission Characteristics

Mean squared displacement (MSD) refers to the average distance between particles in the system and their initial point when the movement time is t. The MSDs of V3+, V4+, V5+, O, Si, Fe, and Ca in the 1.0Ca/V system are shown in Figure 4a. The MSD of the network formers (V3+, V4+, V5+, and Si) is significantly different from that of the network modifiers (Fe2+ and Ca2+), and the free cations have a larger MSD. Figure 4b depicts the computed self-diffusion coefficients D of different ions. The D of the whole system exhibits an increased trend with increasing CaO concentration, indicating that the transmission properties of the melt are improved. The order of each ion’s self-diffusion rate in the simulated system is: Fe2+ > Ca2+ > V3+ > O2− > V4+ > V5+ > Si4+. SiO44+ is the most common and stable tetrahedral structural unit in slag, which inhibits the diffusion of Si4+ and leads to the minimum diffusion rate of Si4+. The CN and BAD information of V-O indicate that vanadium and oxygen form a variable network structure in the slag, which destroys the symmetry of the V-O network structure to a certain extent and increases the self-diffusion rate of V. The simulated self-diffusion rate of Ca2+ in molten vanadium slag increases from 1.29 × 10−5 cm2/s to 1.73 × 10−5 cm2/s with CaO content. According to Yue’s [19] study, the diffusion rate of Ca2+ during solid phase roasting at 1073 K is 2.54 × 10−8 cm2/s, which is three orders of magnitude lower than that of the molten state.
Figure 4c shows a snapshot of a simulated 1.0Ca/V system, highlighting vanadium and silicon polyhedrals. The structural units of V-O and Si-O are interconnected to form a complex network structure. According to the role of oxygen atoms in the network structure, it is divided into non-bridge bond oxygen (NBO), bridge bond oxygen (BO), and three cluster oxygen (TBO). The simulation results of the change in composition are shown in Figure 4d. With the increase in CaO ratio, the content of NBO increased, while BO and TBO decreased. It shows that CaO destroys the network structure and reduces the degree of polymerization of the slag. The incompact network structure will bring better flow characteristics to the slag, which not only reduces the viscosity of the slag but also reduces the flow temperature [20].
The microstructure of molten vanadium slag has been clarified by MD simulation. Similar to Si, V is a network-forming agent. Various coordination configurations of V3+-O and V5+-O enrich the basic network structure units. With the increase in CaO/V2O5, the overall diffusion rate of the system and the coordination number of V-Ca increase, which increases the probability of V-O-Ca bonding.

3.3. Mineral Phase Evolution Caused by CaO

X-ray photoelectron spectroscopy (XPS) was employed to elucidate the elemental valence state of the vanadium slags. The V2p spectrum was fitted (Figure 5b) using the peak fitting parameters in the literature [21,22]. The curve fitting of V2p XPS spectra can be found in Figure S4. XPS results show that V exists in vanadium slag in three valence states: V3+, V4+, and V5+. Figure 5c shows the fractions of V3+, V4+ and V5+ determined by XPS. V3+ and V4+ account for more than 70% of the total vanadium. The proportions of V3+, V4+, and V5+ were 37.66%–43.73%, 26.73%–32.27%, and 24.07%–32.09%, respectively. According to the study of the V2O5-Li2O-B2O3 glass system [23], it is observed that V5+O4 contains a V4+O5 (6%–15%) ion group. Therefore, the actual content of V5+ may be smaller than the fitted results.
The phase composition of vanadium slag is of guiding significance to the subsequent roasting–leaching process. The XRD image of modified vanadium slag is shown in Figure 6. The main mineral phase of vanadium slag is composed of the spinel phase ((Mn, Fe) (V, Cr, Ti)2O4) and the fayalite phase (Fe2SiO4), and other phases change with the addition of CaO. When Ca/V = 0.75, the diffraction peak of CaV2O4 appears for the first time, indicating that Ca2+ replaces part of the Fe2+ that is bonded to V3+-O and changes the precipitation order of the mineral phase. Some diffraction peaks of Fe2SiO4 disappeared and were replaced by the characteristic peaks of kirschsteinite (CaFeSiO4), indicating that Fe2SiO4 was transformed into CaFeSiO4. With the further increase in CaO, the weak V2O4 crystalline phase was identified. At Ca/V = 1.5, the diffraction peak of the perovskite phase (CaTiO3) appears, which means that titanium is transformed from the spinel to the perovskite phase.
Figure 7 shows the SEM images of raw slag and modified vanadium slag. The main mineral phase of raw slag (Figure 7a) is (Mn, Fe)(V, Cr, Ti)2O4 spinel (A1), with a little quantity of Fe2SiO4 fayalite (A2) is mixed. The modified vanadium slag particles (b-0.5Ca/V, c-1.0Ca/V, d-1.5Ca/V) are composed of spinel phase (light grey) and fayalite (dark grey). Compared with raw slag, a large area of calcium-containing mineral phase appears macroscopically. After EDS analysis, it was found that the addition of CaO transferred Ti from the spinel phase to the calcium phase, which was consistent with the results of XRD analysis. The elemental content of the spot analyses indicated in Figure 7 is given in Table 2. At A1, B1, C1, and D1, with the increase in CaO content, vanadium is more enriched in the spinel phase, and the content of vanadium in the spinel phase increases from 17 to 29.4%. The Ca concentration of the spinel phase also rose somewhat, which was compatible with the rise in V-Ca CN determined from MD simulation. In the EDS analysis of 1.5Ca/V (Figure 7d), it was found that titanium and calcium were simultaneously enriched (point D3). The elemental distribution at D2 indicates that there is more Ca2+ distribution at the boundary of the spinel phase. The vanadium slag with more concentrated vanadium and more extensive calcium distribution is obtained by melt calcification, which is beneficial to the oxidation of the roasting stage and the formation of calcium vanadate.

3.4. Effect of CaO/V2O5 Ratio on the Roasting–Leaching Performance

Vanadium in vanadium slag mainly exists in V3+ and V4+ and is enriched in the spinel phase, which is not conducive to dissolution. Therefore, in order to leach vanadium as much as possible, the roasting process is necessary. Ammonium salt leaching is a mild leaching method with less impurity content in the leaching solution [24,25,26]. Calcium vanadates react with (NH4)2CO3 to produce NH4VO3 and CaCO3 (Reactions (4) and (5)). NH4VO3 is easily soluble in hot water and dilute ammonia solution. CaCO3 is precipitated in weak alkaline solutions, so ammonia carbonate is an ideal reagent for extracting vanadium from high calcium vanadium slag. Therefore, when verifying the leaching effect of modified vanadium slag, the non-salt roasting-(NH4)2CO3 leaching process is adopted. The effects of roasting temperature and roasting time on leaching performance were investigated.
Ca2V2O7 + 2(NH4)2CO3 + H2O = 2CaCO3 + 2NH4VO3 + 2NH3···H2O
Ca(VO3)2 + (NH4)2CO3 = CaCO3 + 2NH4VO3
The leaching efficiency of vanadium from modified vanadium slag at different roasting temperatures is shown in Figure 8a. The leaching efficiency of vanadium is only 10%–20% at 600 °C. This is because the decomposition of fayalite is dominant in the range of 400–700 °C, and the oxidation of vanadium is slow in this temperature range [27]. However, with the increase in CaO content, the leaching efficiency showed an upward trend, indicating that more soluble vanadates increased with CaO. With the increase in roasting temperature above 700 °C, vanadium spinel began to decompose, and the leaching efficiency of vanadium increased sharply. It is clearly observed that the vanadium slag with low CaO content is strongly dependent on the roasting temperature, especially at 700~900 °C. The leaching efficiency of the initial vanadium slag increases from 30% to 70% with the increase in temperature. The leaching results of 1.0~1.5Ca/V show that the temperature dependence of the vanadium leaching efficiency with high CaO content decreases when the roasting temperature is above 700 °C.
Figure 8b shows the change curve of leaching efficiency of vanadium slag with roasting time at 800 °C. The leaching efficiency of low CaO/V2O5 (0.25–0.5) increases slightly with roasting time, and the leaching efficiency of high CaO/V2O5 (1.0–1.5) remains constant after reaching more than 2 h. The leaching efficiency of vanadium has been increasing with the increase in CaO ratio, reaching 85% at 1.5Ca/V. Obviously, CaO content is still the key factor to controlling the leaching efficiency of vanadium slag. Under the condition of a low CaO/V2O5 ratio, the precipitation of vanadium spinel is incomplete, and the fayalite phase hinders the diffusion of oxygen into the unreacted core, resulting in incomplete mineral decomposition. The increase in roasting time improves the leaching efficiency of vanadium slag with a low CaO/V2O5 ratio to a certain extent. The vanadium slag with a high CaO/V2O5 ratio maintains a high leaching efficiency in a short roasting time. This is because the bare vanadium spinel and high CaO content accelerate the initial oxidation of vanadium and the conversion rate to soluble vanadate. Figure S5 depicts the phase composition of vanadium slag before and after leaching, while Table S3 provides the chemical composition. The characteristic peaks of calcium vanadate generated during the roasting stage disappeared after leaching.
The vanadium leaching efficiency in high calcium and high phosphorus vanadium slag (CaO > 26%) is poor [10,28], and the vanadium leaching efficiency can only reach 55%–60%. The vanadium leaching efficiency of 1.5Ca/V modified slag reached 87.93% in this investigation. Comparing the results of previous research with those of this study reveals that the creation of calcium silicate is a possible factor for reducing the vanadium leaching efficiency. CaO in excess produces a calcium silicate phase in vanadium slag that inhibits the oxidation of vanadium spinel. The discussion in Section 3.3 shows that the modified vanadium slag has a more complete precipitation of vanadium spinel and a wider distribution of Ca ions than the initial vanadium slag. The leaching performance of vanadium slag shows that the modified slag has certain advantages in reducing roasting temperature and roasting time. These new findings indicate that an appropriate amount of CaO generates bare and enriched vanadium spinel by changing the slag crystallization process.

4. Conclusions

In this paper, the changes in microstructure, mineral phase recombination, and roasting–leaching performance of vanadium slag caused by melting calcification of vanadium slag were studied. The main conclusions are as follows:
(1) In the molten FeO-V2Ox-SiO2-CaO system, V (V3+, V4+, and V5+) serves as a network former. The V-O bond is dominated by four-fold coordination, and the V3+-O and V5+-O have a five-fold coordination structure of a triangular bipyramid and square pyramid. With the increase in the CaO/V2O5 ratio, the coordination number of V-Ca and the self-diffusion coefficient of Ca and V increase. The probability of V-O-Ca bond formation is increased. Moreover, CaO reduces the proportion of BO and TBO in the microstructure, resulting in a decrease in the degree of polymerization, which improves the transmission characteristics of molten vanadium slag.
(2) The mineral phase reconstruction of vanadium slag was realized by melting calcification, and a more bare and enriched vanadium spinel phase was obtained. With the increase in the CaO/V2O5 ratio, the phase of fayalite transforms to kirschsteinite, and CaV2O4 precipitates. Additionally, the perovskite phase appears when CaO/V2O5 = 1.5. The concentration of vanadium in the spinel phase increased from 17% to 29.4%, and the distribution of vanadium was concentrated.
(3) The modified vanadium slag shows advantages in reducing roasting temperature and time. When the roasting temperature is higher than 700 °C, the vanadium leaching efficiency increases with the CaO content. When the CaO/V2O5 ratio is greater than 0.75, the dependence of the vanadium leaching efficiency on roasting temperature and time decreases.

Supplementary Materials

The following supporting information can be downloaded at: https://www.mdpi.com/article/10.3390/min13050628/s1, Figure S1: Microphotograph of raw slag and distribution of main elements; Figure S2: RDF distribution of V-O; Figure S3: Coordination distribution of cations and oxygen; Figure S4: 1.5Ca/V XPS fitting curve; Figure S5: Roasted vanadium slag and leaching tailings XRD pattern for 1.0Ca/V (800 ℃, 2 h); Table S1: Buckingham potential and short-range corrected oxygen-cation pair interaction parameters; Table S2: Proportions of different valence states of vanadium in modified vanadium slag; Table S3: The chemical constituent of roasted clinker and leaching tailings under 1.0Ca/V (800 ℃, 2 h) condition (%).

Author Contributions

Writing—original draft, H.Y.; Writing—review and editing, Y.L.; Software, X.W.; Conceptualization, T.Z.; Supervision, S.L.; Project administration, K.W.; Resources, X.L. All authors have read and agreed to the published version of the manuscript.

Funding

This work was supported by the Natural Science Foundation of China (No. 51874094, U1908225, and 52204419), the Natural Science Foundation of Liaoning Province (No. 2022-BS-076), and the Guangxi Science and Technology Major Project (No. 2021AA12013).

Data Availability Statement

Data are contained within the article or Supplementary Materials.

Conflicts of Interest

The authors declare no conflict of interest.

References

  1. Lee, J.C.; Kurniawan; Kim, E.Y.; Chung, K.W.; Kim, R.; Jeon, H.S. A review on the metallurgical recycling of vanadium from slags: Towards a sustainable vanadium production. J. Mater. Res. Technol. 2021, 12, 343–364. [Google Scholar] [CrossRef]
  2. Moskalyk, R.R.; Alfantazi, A.M. Processing of vanadium: A review. Miner. Eng. 2003, 16, 793–805. [Google Scholar] [CrossRef]
  3. Gao, M.L.; Xue, X.X.; Li, L.J.; Yang, H.; Chen, D.H. Leaching behavior and kinetics of vanadium extraction from vanadium-bearing steel slag. Metall. Res. Technol. 2019, 116, 407. [Google Scholar] [CrossRef]
  4. Li, H.-Y.; Wang, C.; Lin, M.; Guo, Y.; Xie, B. Green one-step roasting method for efficient extraction of vanadium and chromium from vanadium-chromium slag. Powder Technol. 2020, 360, 503–508. [Google Scholar] [CrossRef]
  5. Smirnov, L.A.; Zhuchkov, V.I.; Zayakin, O.V.; Mikhailova, L.Y. Complex Vanadium-Containing Ferroalloys. Metallurgist 2021, 64, 1249–1255. [Google Scholar] [CrossRef]
  6. Chen, L.; Diao, J.; Wang, G.; Qiao, Y.; Xie, B. Experimental study on slag splashing with modified vanadium slag. Ironmak. Steelmak. 2019, 46, 165–168. [Google Scholar] [CrossRef]
  7. Fang, H.-X.; Li, H.-Y.; Zhang, T.; Liu, B.-S.; Xie, B. Influence of CaO on Existence form of Vanadium-containing Phase in Vanadium Slag. ISIJ Int. 2015, 55, 200–206. [Google Scholar] [CrossRef]
  8. Chen, L.; Diao, J.; Wang, G.; Xie, B. Assessment of Dephosphorization During Vanadium Extraction Process in Converter. JOM 2018, 70, 963–968. [Google Scholar] [CrossRef]
  9. Zhou, W.; Xie, B.; Tan, W.-F.; Diao, J.; Zhang, X.; Li, H.-Y. Non-isothermal Crystallization Kinetics of Spinels in Vanadium Slag with High CaO Content. JOM 2016, 68, 2520–2524. [Google Scholar] [CrossRef]
  10. Zhang, T.; Zhou, W.; Li, Y.; Ye, Q.; Yu, X.; Chen, Z. Effect of CaO on the Phase Evolution of Vanadium Slag during Crystallization and Roasting–Leaching Processes for Selective Extraction of Vanadium. Crystals 2022, 12, 927. [Google Scholar] [CrossRef]
  11. Gao, F.; Olayiwola, A.U.; Liu, B.; Wang, S.; Du, H.; Li, J.; Wang, X.; Chen, D.; Zhang, Y. Review of Vanadium Production Part I: Primary Resources. Miner. Process. Extr. Metall. Rev. 2022, 43, 466–488. [Google Scholar] [CrossRef]
  12. Broglia, G.; Mugoni, C.; Du, J.C.; Siligardi, C.; Montorsi, M. Lithium vanado-phosphate glasses: Structure and dynamics properties studied by molecular dynamics simulations. J. Non-Cryst. Solids 2014, 403, 53–61. [Google Scholar] [CrossRef]
  13. Deng, L.; Du, J.C. Development of boron oxide potentials for computer simulations of multicomponent oxide glasses. J. Am. Ceram. Soc. 2019, 102, 2482–2505. [Google Scholar] [CrossRef]
  14. Deng, L.; Lu, X.; Vienna, J.D.; Du, J. Structures of Vanadium-Containing Silicate and Borosilicate Glasses: Vanadium Potential Development and MD Simulations. J. Non-Cryst. Solids 2022, 575, 121223. [Google Scholar] [CrossRef]
  15. Sun, W.; Du, J. Interfacial structures of spinel crystals with borosilicate nuclear waste glasses from molecular dynamics simulations. J. Am. Ceram. Soc. 2019, 102, 4583–4601. [Google Scholar] [CrossRef]
  16. Saiko, I.A.; Saetova, N.S.; Raskovalov, A.A.; Il’ina, E.A.; Molchanova, N.G.; Kadyrova, N.I. Hopping conductivity in V2O5-P2O5 glasses: Experiment and non-constant force field molecular dynamics. Solid State Ion. 2020, 345, 115180. [Google Scholar] [CrossRef]
  17. Gao, L.; Liu, X.; Bai, J.; Kong, L.; Bai, Z.; Li, W. Structure and flow properties of coal ash slag using ring statistics and molecular dynamics simulation: Role of CaO/Na2O in SiO2–Al2O3–CaO–Na2O. Chem. Eng. Sci. 2021, 231, 116285. [Google Scholar] [CrossRef]
  18. Lin, Z.; Bai, L.; Zhang, X.; Dong, H.; Wu, F. Na-vacancies-induced magnetism in NaxMnO2. J. Magn. Magn. Mater. 2018, 468, 164–167. [Google Scholar] [CrossRef]
  19. Yue, H.-R.; Xue, X.-X. Generated compounds at the V-slag/CaO diffusion surface and diffusion characteristics of V and Ca in calcium vanadate. J. Hazard. Mater. 2020, 393, 122368. [Google Scholar] [CrossRef]
  20. Jiang, C.; Li, K.; Zhang, J.; Qin, Q.; Liu, Z.; Liang, W.; Sun, M.; Wang, Z. The effect of CaO(MgO) on the structure and properties of aluminosilicate system by molecular dynamics simulation. J. Mol. Liq. 2018, 268, 762–769. [Google Scholar] [CrossRef]
  21. Johnston, W.D. Optical Spectra of the Various Valence States of Vanadium in Na2O.2SiO2 Glass. J. Am. Ceram. Soc. 1965, 48, 608–611. [Google Scholar] [CrossRef]
  22. Wang, Y.; Chen, X.; Li, M.; Wang, R.; Wu, G.; Yang, J.; Han, W.; Cao, S.; Zhao, L. Phase composition and valence of pulsed laser deposited vanadium oxide thin films at different oxygen pressures. Surf. Coat. Technol. 2007, 201, 5344–5347. [Google Scholar] [CrossRef]
  23. Laorodphan, N.; Kidkhunthod, P.; Khajonrit, J.; Montreeuppathum, A.; Chanlek, N.; Pinitsoontorn, S.; Maensiri, S. Effect of B2O3 content on structure-function of vanadium-lithium-borate glasses probed by synchrotron-based XAS and vibrating sample magnetrometry technique. J. Non-Cryst. Solids 2018, 497, 56–62. [Google Scholar] [CrossRef]
  24. Zhang, Y.; Zhang, T.-A.; Dreisinger, D.; Lv, C.; Lv, G.; Zhang, W. Recovery of vanadium from calcification roasted-acid leaching tailing by enhanced acid leaching. J. Hazard. Mater. 2019, 369, 632–641. [Google Scholar] [CrossRef]
  25. Li, H.-Y.; Wang, K.; Hua, W.-H.; Yang, Z.; Zhou, W.; Xie, B. Selective leaching of vanadium in calcification-roasted vanadium slag by ammonium carbonate. Hydrometallurgy 2016, 160, 18–25. [Google Scholar] [CrossRef]
  26. Wen, J.; Jiang, T.; Zheng, X.; Wang, J.; Cao, J.; Zhou, M. Efficient separation of chromium and vanadium by calcification roasting–sodium carbonate leaching from high chromium vanadium slag and V2O5 preparation. Sep. Purif. Technol. 2020, 230, 115881. [Google Scholar] [CrossRef]
  27. Zhang, J.; Zhang, W.; Zhang, L.; Gu, S. Mechanism of vanadium slag roasting with calcium oxide. Int. J. Miner. Process. 2015, 138, 20–29. [Google Scholar] [CrossRef]
  28. Yu, T.; Jiang, T.; Wen, J.; Sun, H.; Li, M.; Peng, Y. Effect of chemical composition on the element distribution, phase composition and calcification roasting process of vanadium slag. Int. J. Min. Met. Mater. 2022, 29, 2144–2151. [Google Scholar] [CrossRef]
Figure 1. Flow chart of the whole process.
Figure 1. Flow chart of the whole process.
Minerals 13 00628 g001
Figure 2. (a) Pair distribution functions of 1.0Ca/V, (b) coordination number M-O of 1.0Ca/V, and coordination number of (c) V3+-Ca, (d) V3+-Fe.
Figure 2. (a) Pair distribution functions of 1.0Ca/V, (b) coordination number M-O of 1.0Ca/V, and coordination number of (c) V3+-Ca, (d) V3+-Fe.
Minerals 13 00628 g002
Figure 3. (a) Bond angle distribution of O-V-O, (b) CN distribution of V3+-O, V4+-O, and V5+-O.
Figure 3. (a) Bond angle distribution of O-V-O, (b) CN distribution of V3+-O, V4+-O, and V5+-O.
Minerals 13 00628 g003
Figure 4. (a) Mean squared displacement of 1.0Ca/V, (b) self-diffusion coefficients of atoms in the system, (c) simulated 1.0Ca/V snapshot of the protruding polyhedron, (d) oxygen speciation (NBO, BO, TBO).
Figure 4. (a) Mean squared displacement of 1.0Ca/V, (b) self-diffusion coefficients of atoms in the system, (c) simulated 1.0Ca/V snapshot of the protruding polyhedron, (d) oxygen speciation (NBO, BO, TBO).
Minerals 13 00628 g004
Figure 5. (a) XPS spectra of vanadium slag after calcification under different conditions (calibrated with C1s 284.8 cm−1), (b) XPS spectra zooming in on the V peaks, (c) partition of V3+, V4+, and V5+ obtained from XPS.
Figure 5. (a) XPS spectra of vanadium slag after calcification under different conditions (calibrated with C1s 284.8 cm−1), (b) XPS spectra zooming in on the V peaks, (c) partition of V3+, V4+, and V5+ obtained from XPS.
Minerals 13 00628 g005
Figure 6. XRD pattern for vanadium slag.
Figure 6. XRD pattern for vanadium slag.
Minerals 13 00628 g006
Figure 7. SEM images of vanadium slag: (a) raw slag, (b) 0.5Ca/V, (c) 1.0Ca/V, (d) 1.5Ca/V.
Figure 7. SEM images of vanadium slag: (a) raw slag, (b) 0.5Ca/V, (c) 1.0Ca/V, (d) 1.5Ca/V.
Minerals 13 00628 g007
Figure 8. Effect of (a) roasting temperature and (b) roasting time on vanadium leaching efficiency of vanadium slag.
Figure 8. Effect of (a) roasting temperature and (b) roasting time on vanadium leaching efficiency of vanadium slag.
Minerals 13 00628 g008
Table 1. Composition of vanadium slag after calcification modification (%).
Table 1. Composition of vanadium slag after calcification modification (%).
ConstituentCaOV2O5TFeTiO2MnOCr2O3MgOSiO2Al2O3P2O5
Raw slag1.8416.6326.2412.048.641.552.3415.034.000.11
0.25Ca/V3.9815.8726.9611.448.291.622.2413.194.390.10
0.5Ca/V7.5015.2925.6211.297.931.432.1713.034.370.10
0.75Ca/V10.7115.0424.5010.827.421.442.1112.984.170.11
1.0Ca/V13.6714.3223.3610.447.131.421.9312.214.420.10
1.25Ca/V16.3613.1722.959.466.981.421.8412.633.930.09
1.5Ca/V18.8113.0421.668.726.691.381.8212.264.680.08
Table 2. ESD analysis of marked areas in SEM images.
Table 2. ESD analysis of marked areas in SEM images.
PointFeVCaTiCrMnSiMgO
A131.3617.000.0811.711.926.620.430.3529.5
A215.392.450.812.540.2310.8219.265.9239.24
B130.3221.960.218.093.06.730.171.8324.44
B217.160.3913.91.10/6.1417.431.4338.84
C128.7830.050.876.95.468.20.220.9314.56
C213.710.4233.260.670.023.5917.562.027.95
D127.7729.401.237.254.3810.210.190.9412.58
D226.9717.364.796.412.787.802.232.7126.78
D311.511.0228.8211.550.143.849.350.3433.06
Disclaimer/Publisher’s Note: The statements, opinions and data contained in all publications are solely those of the individual author(s) and contributor(s) and not of MDPI and/or the editor(s). MDPI and/or the editor(s) disclaim responsibility for any injury to people or property resulting from any ideas, methods, instructions or products referred to in the content.

Share and Cite

MDPI and ACS Style

Yang, H.; Liu, Y.; Wan, X.; Zhang, T.; Lin, S.; Wang, K.; Li, X. Microstructure and Mineral Phase Evolution of Vanadium Slag by Modulating the CaO/V2O5 Ratio. Minerals 2023, 13, 628. https://doi.org/10.3390/min13050628

AMA Style

Yang H, Liu Y, Wan X, Zhang T, Lin S, Wang K, Li X. Microstructure and Mineral Phase Evolution of Vanadium Slag by Modulating the CaO/V2O5 Ratio. Minerals. 2023; 13(5):628. https://doi.org/10.3390/min13050628

Chicago/Turabian Style

Yang, Han, Yan Liu, Xingyuan Wan, Tingan Zhang, Shengnan Lin, Kun Wang, and Xiaolong Li. 2023. "Microstructure and Mineral Phase Evolution of Vanadium Slag by Modulating the CaO/V2O5 Ratio" Minerals 13, no. 5: 628. https://doi.org/10.3390/min13050628

APA Style

Yang, H., Liu, Y., Wan, X., Zhang, T., Lin, S., Wang, K., & Li, X. (2023). Microstructure and Mineral Phase Evolution of Vanadium Slag by Modulating the CaO/V2O5 Ratio. Minerals, 13(5), 628. https://doi.org/10.3390/min13050628

Note that from the first issue of 2016, this journal uses article numbers instead of page numbers. See further details here.

Article Metrics

Back to TopTop