Diagenetic Evolution Sequence and Pore Evolution Characteristics: Study on Marine-Continental Transitional Facies Shale in Southeastern Sichuan Basin
Abstract
:1. Introduction
2. Geological Setting
3. Materials and Methods
3.1. Geochemical and Mineralogical Characteristics
3.2. Quantitative Characterization of Pore Structure
3.2.1. Low-Pressure Gas Adsorption (LPGA)
3.2.2. Nuclear Magnetic Resonance (NMR)
3.3. Qualitative Characterization of Pore Morphology
4. Results
4.1. Organic Geochemical and Mineralogical Characteristics
4.1.1. Shale Composition
4.1.2. Shale Composition
4.2. Qualitative-Quantitative Characterization of Pores
4.2.1. Qualitative Characterization of Pore Morphology
- 1.
- Framework mineral pores
- 2.
- Organic matter (OM) pores
- 3.
- Fracture pores
4.2.2. Pore Structure and Qualitative Characterization
- 1.
- Low-pressure gas adsorption
- 2.
- Nuclear magnetic resonance
5. Discussion
5.1. Types and Characteristics of Diagenesis
5.1.1. Compaction
5.1.2. Dissolution
5.1.3. Cementation
5.1.4. Clay Mineral Transformation
5.1.5. Organic Matter Thermal Maturity
5.2. Diagenetic Evolution Process
5.2.1. Diagenetic Stage
- The shale porosity of the Longtan Formation varies between 1.5 and 5.6% (3.16% on average). The OM pores, clay mineral lamellar pores, and microfractures are well developed, the residual primary pores are smaller, and a small amount of dissolved pores are observed. The clay mineral lamellar pores and micro-fractures are aligned in an orientation. At low porosity, the secondary pores are mainly diagenetic pores. According to the FE-SEM images, filamentous and flaky illites and leafy chlorites can be identified. Dissolution of carbonate cement and detrital particles (e.g., feldspar) was observed in some samples, but smectite did not exist. It shows that the Longtan Formation shale has basically reached the A stage of the middle diagenetic stage.
- In clay minerals, the content of smectite ranges between 0 and 50% (14.67% on average), I/S is 13%–56% (31.89% on average), illite ranges between 3 and 80% (24.89% on average), chlorite is 0%–29%, and kaolinite ranges from 5 to 50%. The characteristics of authigenic minerals show that smectite is widely transformed into I/S, illite, chlorite, and kaolinite. And the smectite content in the I/S ranges between 5% and 25% (22.2% on average). It shows that the Longtan Formation shale is in stage A of the middle diagenesis stage. The clay mineral assemblage is composed of mixed layers of illite-smectite + illite + chlorite and illite-smectite mixed layer + illite + chlorite + kaolinite. In addition, through the analysis of the burial and thermal history of the Longtan Formation in the Sichuan Basin, it is found that the maximum burial depth of the Longtan Formation shale is 4000 m, and the maximum temperature reaches 140 °C–160 °C, indicating that the Longtan Formation shale is in the middle diagenetic stage B [70].
5.2.2. Diagenetic Evolution Sequence
- From the Late Permian to the Middle Triassic, the Longtan Formation MCFS experienced slow subsidence, with a burial depth of <800 m and a low formation temperature (Figure 9). Microcrystalline calcite is formed in Longtan Formation shale, and dissolution pores appear in silicate minerals such as quartz. At that time, the pores in the shale of the Longtan Formation were mainly primary mineral pores [75]. The increase in burial depth, compaction, and pressure dissolution seriously damages the shale reservoir space, leading to a significant reduction in primary pores and a clear and dense pore reduction effect on clay shale [16].
- From the Middle Triassic to the Late Jurassic, the strata rapidly subsided and were buried deeper, beginning to generate hydrocarbons. The maximum burial depth reaches 3200~4000 m, and the maximum temperature is about 120~140 °C. The shale is rapidly consolidated (Figure 9), and the OM and kerogen begin to produce gas and acid. Numerous OM pores were created during this process. Simultaneously, plenty of organic acids cause soluble minerals (such as calcite, dolomite, feldspar, etc.) to start dissolving heavily, which favors the growth of porosity and the expansion of the matrix PV of mixed shale [76]. It was observed in the FE-SEM images that the primary intergranular pores decreased and the secondary pores increased. Smectite is converted to I/S in large quantities, and an ordered mixed-layer band is produced. At the edge of quartz, the siliceous compounds created during mineral transformation are cemented close by and create tiny secondary pores [16].
- Since the Late Jurassic, the Longtan Formation shale has undergone a second subsidence, with a burial depth of more than 4000 m and complete consolidation of the rock (Figure 9). The primary intergranular pores essentially faded away, and the OM entered the threshold for generating gas. Clay mineral mixing layers gradually change from disordered to long-range ordered, and smectite basically disappears.
5.3. Pore Evolution
5.3.1. Relationship between Porosity and TOC, Ro, Clay Minerals
5.3.2. Evolution Characteristics of Pore Structure
5.4. Diagenesis-Pore Evolution Model
- In the immature stage (Ro < 0.5%), the Longtan Formation shale contains a significant smectite content along with a certain amount of I/S and illite. Primary pores like intragranular pores and intergranular pores dominate the pore system.
- In the low maturity stage (0.5% < Ro < 1.3%), with the increase in maturity, OM began to enter the hydrocarbon generation stage, forming organic acids, dissolving unstable minerals (calcite and feldspar, etc.), and forming secondary matrix dissolution pores. Mixed layer I-S transforms into illite and chlorite during this phase, producing pores in dehydrated clay minerals and enlarging secondary pores [80,81,82,83,84].
- After the high-over mature stage (Ro > 1.3%), plenty of OM pores are formed in the cracking gas generation stage, and the dissolution is weakened. The clay minerals in shale are mainly stable minerals such as illite and chlorite, and the pore structure of shale is almost stable.
6. Conclusions
- (1)
- The Longtan Formation shale in Southeastern Sichuan is dominated by mixed shale lithologies, and the pore system is dominated by nanoscale pores. The pore morphology of OM is different, and the pore size is small; the mineral pores are mostly irregular, and the pore size is large.
- (2)
- The diagenetic evolution stage of the Longtan Formation MCFS enters the middle-late diagenesis stage, and each stage has corresponding evolution characteristics. In the middle diagenetic stage A, carbonate cement and clastic particles (such as feldspar) were dissolved. In the middle diagenesis stage B, smectite is widely transformed into I/S, illite, chlorite, and kaolinite. In the late diagenesis stage, the maturity varies between 0.56 and 3.05%, and the proportion of smectite in the I/S is at least 5%.
- (3)
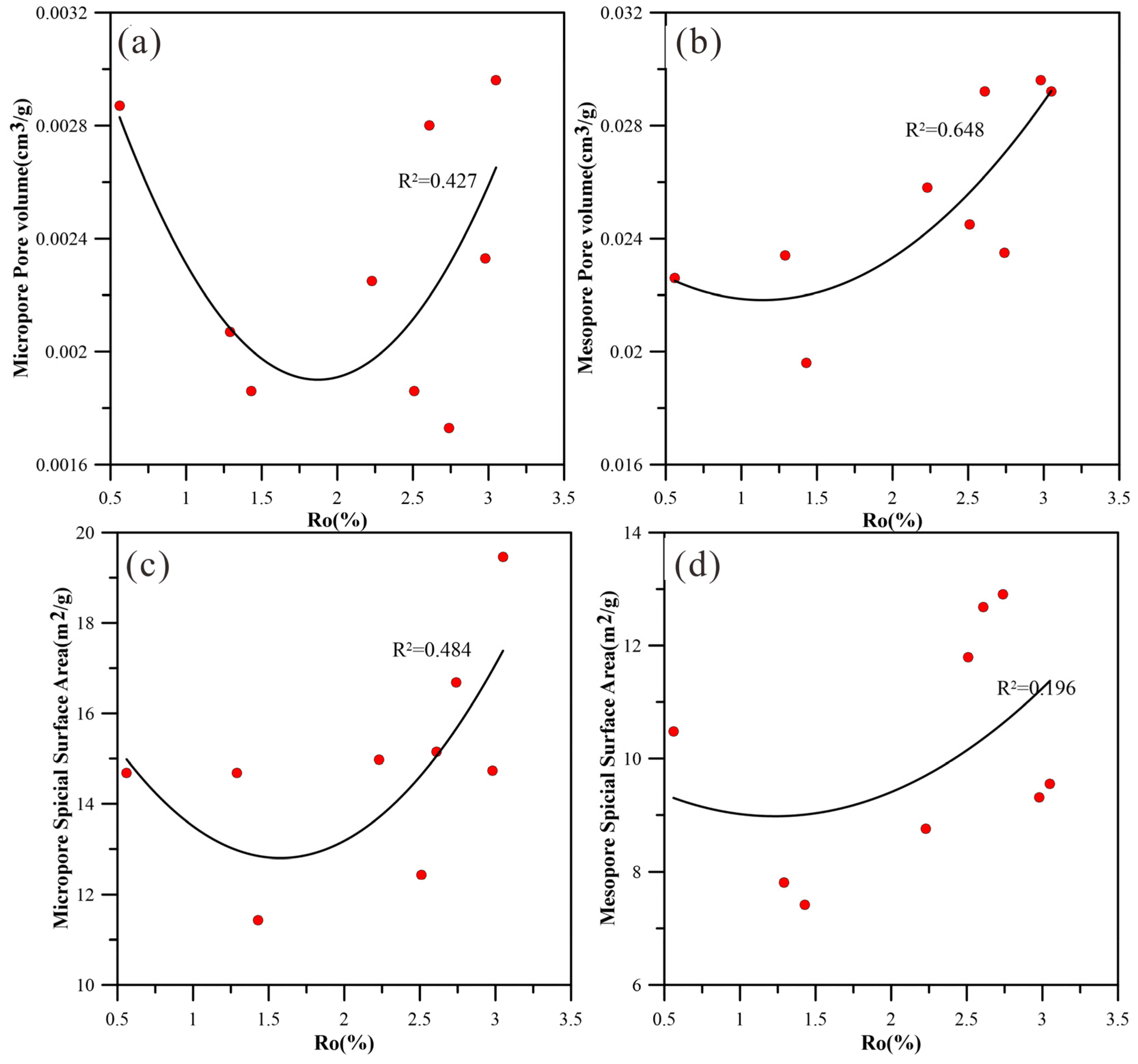
- When Ro < 1.43%, the porosity, PV, and SSA of micropores both decrease, while at Ro > 1.43%, the porosity, PV, and SSA of micropores increase. The PV and SSA of mesopores increased with the increase in maturity. There are two kinds of pore-reducing diagenesis: compaction and cementation, and there are two kinds of pore-increasing diagenesis: dissolution and hydrocarbon generation of OM.
- (4)
- Maturity is an important factor controlling the evolution of pore structure. In addition, the composition of clay minerals and brittle minerals also affects the evolution of pore structure. Finally, the diagenetic evolution sequence and nano-scale pore system evolution model of Longtan Formation shale were established.
Author Contributions
Funding
Data Availability Statement
Acknowledgments
Conflicts of Interest
References
- Nie, H.; Sun, C.; Li, P.; Jin, Z.; Liu, Q.; Bao, H.; Shen, B.; Dang, W. Carbon Isotope Evidence for Shale Gas Preservation Conditions and Large Methane Release over Million Years: A Case Study of Shale Gas Reservoirs of Wufeng and Longmaxi Formations in the Sichuan Basin. Geosci. Front. 2023, 14, 101642. [Google Scholar] [CrossRef]
- Dong, D.; Liang, F.; Guan, Q.; Jiang, Y.; Zhou, S.; Yu, R.; Gu, Y.; Zhang, S.; Qi, L.; Liu, Y. Development Model and Identification of Evaluation Technology for Wufeng Formation–Longmaxi Formation Quality Shale Gas Reservoirs in the Sichuan Basin. Nat. Gas Ind. B 2023, 10, 165–182. [Google Scholar] [CrossRef]
- Taghavinejad, A.; Sharifi, M.; Heidaryan, E.; Liu, K.; Ostadhassan, M. Flow Modeling in Shale Gas Reservoirs: A Comprehensive Review. J. Nat. Gas Sci. Eng. 2020, 83, 103535. [Google Scholar] [CrossRef]
- Yang, F.; Ning, Z.; Liu, H. Fractal Characteristics of Shales from a Shale Gas Reservoir in the Sichuan Basin, China. Fuel 2014, 115, 378–384. [Google Scholar] [CrossRef]
- MA, X.; XIE, J. The Progress and Prospects of Shale Gas Exploration and Development in Southern Sichuan Basin, SW China. Pet. Explor. Dev. Online 2018, 45, 172–182. [Google Scholar] [CrossRef]
- Nie, H.; Li, P.; Dang, W.; Ding, J.; Sun, C.; Liu, M.; Wang, J.; Du, W.; Zhang, P.; Li, D.; et al. Enrichment Characteristics and Exploration Directions of Deep Shale Gas of Ordovician–Silurian in the Sichuan Basin and Its Surrounding Areas, China. Pet. Explor. Dev. 2022, 49, 744–757. [Google Scholar] [CrossRef]
- Zhang, J.; Li, X.; Wei, Q.; Sun, K.; Zhang, G.; Wang, F. Characterization of Full-Sized Pore Structure and Fractal Characteristics of Marine–Continental Transitional Longtan Formation Shale of Sichuan Basin, South China. Energy Fuels 2017, 31, 10490–10504. [Google Scholar] [CrossRef]
- Luo, Q.; Xiao, Z.; Dong, C.; Ye, X.; Li, H.; Zhang, Y.; Ma, Y.; Ma, L.; Xu, Y. The Geochemical Characteristics and Gas Potential of the Longtan Formation in the Eastern Sichuan Basin, China. J. Pet. Sci. Eng. 2019, 179, 1102–1113. [Google Scholar] [CrossRef]
- Guo, X.; Hu, D.; Liu, R.; Wei, X.; Wei, F. Geological Conditions and Exploration Potential of Permian Marine–Continent Transitional Facies Shale Gas in the Sichuan Basin. Nat. Gas Ind. B 2019, 6, 198–204. [Google Scholar] [CrossRef]
- Wang, X.; Mou, C.L.; Wang, Q.; Ge, X.; Chen, X.; Zhou, K.; Liang, W. Diagenesis of black shale in Longmaxi Formation, southern Sichuan Basin and its periphery. Acta Petr. Sin. 2015, 36, 1035–1047, (In Chinese with English Abstract). [Google Scholar]
- Xie, W.; Wang, M.; Wang, H.; Ma, R.; Duan, H. Diagenesis of Shale and Its Control on Pore Structure, a Case Study from Typical Marine, Transitional and Continental Shales. Front. Earth Sci. 2021, 15, 378–394. [Google Scholar] [CrossRef]
- Ma, K.; Zhang, B.; Wen, S.; Lin, X.; Wang, Y.; Yang, K. Quantitative Characterization and Controlling Factors of Shallow Shale Reservoir in Taiyang Anticline, Zhaotong Area, China. Minerals 2022, 12, 998. [Google Scholar] [CrossRef]
- Zhang, B.; Wen, H.; Qing, H.; Yang, K.; Luo, Y.; Yang, H.; Wang, P.; He, L.; Xiao, W. The Influence of Depositional and Diagenetic Processes on Rock Electrical Properties: A Case Study of the Longmaxi Shale in the Sichuan Basin. J. Pet. Sci. Eng. 2022, 211, 110119. [Google Scholar] [CrossRef]
- SY/T 5477-2003; The Division of Diagenetic Stages in Clastic Rocks. Petroleum Geological Exploration Professional Standardization Committee (PGEPSC): Beijing, China, 2003. (In Chinese)
- Lin, L.; Yu, Y.; Zhai, C.; Li, Y.; Wang, Y.; Liu, G.; Guo, Y.; Gao, J. Paleogeography and shale development characteristics of the Late Permian Longtan Formation in southeastern Sichuan Basin, China. Mari. Petro. Geo. 2018, 95, 67–81. [Google Scholar] [CrossRef]
- Xu, L.; Yang, K.; Wei, H.; Liu, L.; Jiang, Z.; Li, X.; Chen, L.; Xu, T.; Wang, X. Pore Evolution Model and Diagenetic Evolution Sequence of the Mesoproterozoic Xiamaling Shale in Zhangjiakou, Hebei. J. Pet. Sci. Eng. 2021, 207, 109115. [Google Scholar] [CrossRef]
- Luo, J.L.; Liu, X.H.; Lin, T.; Zhang, S.; Li, B. lmpact of Diagenesis and Hydrocarbon Emplacement on Sandstone ReservoirOuality of the Yanchang Formation (Upper Triassic) in the Ordos Basin. Acta Geo. Sin. 2006, 5, 664–673, (In Chinese with English Abstract). [Google Scholar]
- Tan, X.F.; Tian, J.C.; Li, Z.B.; Xing, X.L.; Zhang, S.P. Diagenetic character and controling factor of reservoir of Kongdian Formation of Paleogene in Dongying basin. Coal Geo. Exp. 2010, 38, 27–32, (In Chinese with English Abstract). [Google Scholar]
- Lu, S.Q. Reservoir diagenetic seouence and its influence on pore development in the paleogene sandstones in the Dongying sag of the Bohai Bay Basin. Petro. GeologyExper. 2008, 10, 456–459+466, (In Chinese with English Abstract). [Google Scholar]
- You, G.Q.; Pan, J.H.; Liu, S.Q.; Chen, Y.J. Diagenesis and pore evolution of Paleogenes and stone reservoir in Dongying depression. Acta Petro. ET Mine. 2006, 5, 237–242, (In Chinese with English Abstract). [Google Scholar]
- Salman, B.; Franks, S.G. Preservation of Shallow Plagioclase Dissolution Porosity During Burial: Implications for Porosity Prediction and Aluminum Mass Balance. AAPG Bull. 1993, 77, 1488–1501. [Google Scholar]
- Zhang, Z.H.; Hu, W.X.; Zeng, J.H.; Yu, B.S.; Lu, X.C.; Jia, H.Y. Study of Fluid-Rock Interactions in Eogene Formationin Dongying Depression, Bohai Gulf Basin. Acta Sediment. Sin. 2000, 12, 560–566, (In Chinese with English Abstract). [Google Scholar]
- Zhang, W.C.; Li, H.; Li, H.J.; Meng, Y.L.; Yang, F.B. Genesis and distribution of secondary porosity in the deep horizon of Gaoliu area, Nanpu Sag. Petro. Explo. Dev. 2008, 6, 308–312, (In Chinese with English Abstract). [Google Scholar] [CrossRef]
- Yuan, G.; Cao, Y.; Gluyas, J.; Li, X.; Xi, K.; Wang, Y.; Jia, Z.; Sun, P.; Oxtoby, N.H. Feldspar dissolution, authigenic clays, and quartz cements in open and closed sandstone geochemical systems during diagenesis: Typical examples from two sags in Bohai Bay Basin. East China AAPG Bull. 2015, 11, 2121–2154. [Google Scholar] [CrossRef]
- Rahman, M.J.J.; Worden, R.H. Diagenesis and its impact on the reservoir quality of Miocene sandstones (Surma Group) from the Bengal Basin, Bangladesh. Mar. Pet. Geol. 2016, 11, 898–915. [Google Scholar] [CrossRef]
- Guo, X.; Teng, G.; Wei, X.; Yu, L.; Lu, X.; Sun, L.; Wei, F. Occurrence mechanism and exploration potential of deep marine shale gas in Sichuan Basin. Acta Petro. Sin. 2022, 43, 453–468, (In Chinese with English Abstract). [Google Scholar]
- Zou, C.; Dong, D.; Wang, Y.; Li, X.; Huang, J.; Wang, S.; Guan, Q.; Zhang, C.; Wang, H.; Liu, H.; et al. Shale Gas in China: Characteristics, Challenges and Prospects (II). Pet. Explor. Dev. 2016, 43, 182–196. [Google Scholar] [CrossRef]
- Long, S.; Feng, D.; Li, F.; Du, W. Prospect Analysis of the Deep Marine Shale Gas Exploration and Development in the Sichuan Basin, China. J. Nat. Gas Geosci. 2018, 3, 181–189. [Google Scholar] [CrossRef]
- Jiang, S.; Peng, Y.; Gao, B.; Zhang, J.; Cai, D.; Xue, G.; Bao, S.; Xu, Z.; Tang, X.; Dahdah, N. Geology and Shale Gas Resource Potentials in the Sichuan Basin, China. Energy Explor. Exploit. 2016, 34, 689–710. [Google Scholar] [CrossRef]
- Zhang, L.; He, X.; Li, X.; Li, K.; He, J.; Zhang, Z.; Guo, J.; Chen, Y.; Liu, W. Shale Gas Exploration and Development in the Sichuan Basin: Progress, Challenge and Countermeasures. Nat. Gas Ind. B 2022, 9, 176–186. [Google Scholar] [CrossRef]
- Zhai, G.; Wang, Y.; Zhou, Z.; Liu, G.; Yang, Y.; Li, J. “Source-Diagenesis-Accumulation” Enrichment and Accumulation Regularity of Marine Shale Gas in Southern China. China Geol. 2018, 1, 319–330. [Google Scholar] [CrossRef]
- Xiao, H.; Jianfa, W.; Rui, Y.; Shengxian, Z.; Xiaojin, Z.; Dongjun, Z.; Deliang, Z.; Chengxu, Z. Accumulation Conditions and Key Exploration and Development Technologies of Marine Shale Gas Field in Changning-Weiyuan Block, Sichuan Basin. Acta Pet. Sin. 2021, 42, 259. [Google Scholar]
- Wang, Y.; Zhai, G.; Liu, G.; Shi, W.; Lu, Y.; Li, J.; Zhang, Y. Geological Characteristics of Shale Gas in Different Strata of Marine Facies in South China. J. Earth Sci. 2021, 32, 725–741. [Google Scholar] [CrossRef]
- Yang, C.; Xiong, Y.; Zhang, J.; Liu, Y.; Chen, C. Comprehensive Understanding of OM-Hosted Pores in Transitional Shale: A Case Study of Permian Longtan Shale in South China Based on Organic Petrographic Analysis, Gas Adsorption, and X-Ray Diffraction Measurements. Energy Fuels 2019, 33, 8055–8064. [Google Scholar] [CrossRef]
- Zhang, J.; Shi, M.; Wang, D.; Tong, Z.; Hou, X.; Niu, J.; Li, X.; Li, Z.; Zhang, P.; Huang, Y. Fields and Directions for Shale Gas Exploration in China. Nat. Gas Ind. B 2022, 9, 20–32. [Google Scholar] [CrossRef]
- Xiao, W.; Zhang, B.; Yao, Y.; Wang, Y.; Yang, H.; Yang, K. Lithofacies and sedimentary environment of shale of Permian Longtan Formation in eastern Sichuan Basin. Lith. Reser. 2022, 34, 152–162, (In Chinese with English Abstract). [Google Scholar]
- Wen, S.; Zhang, B.; Yao, Y.; Ma, K.; Wang, Y.; Yang, K. Pyrite morphology in shale of Permian Wujiaping Formation in eastern Sichuan Basin and its indicative significance to oceanic anoxic events. Lith. Reser. 2023, 35, 1–10, (In Chinese with English Abstract). [Google Scholar]
- Xiao, W.; Zhang, B.; Yang, K.; Wang, Y.; Wen, S.; Ma, K.; Cao, G. Geochemical Characteristics of the Upper Permian Longtan Formation from Northeastern Sichuan Basin: Implications for the Depositional Environment and Organic Matter Enrichment. Acta Geol. Sin. 2023, 97, 1196–1213. [Google Scholar] [CrossRef]
- Yang, C.; Zhang, J.; Tang, X.; Ding, J.; Zhao, Q.; Dang, W.; Chen, H.; Su, Y.; Li, B.; Lu, D. Comparative Study on Micro-Pore Structure of Marine, Terrestrial, and Transitional Shales in Key Areas, China. Int. J. Coal Geol. 2017, 171, 76–92. [Google Scholar] [CrossRef]
- Dong, D.; Shi, Z.; Guan, Q.; Jiang, S.; Zhang, M.; Zhang, C.; Wang, S.; Sun, S.; Yu, R.; Liu, D.; et al. Progress, challenges and prospects of shale gas exploration in the Wufeng–Longmaxi reservoirs in the Sichuan Basin. Nat. Gas Ind. 2018, 38, 67–76, (In Chinese with English Abstract). [Google Scholar] [CrossRef]
- Cao, Q.; Ye, X.; Liu, Y.; Wang, P.; Jiang, K. Effect of Different Lithological Assemblages on Shale Reservoir Properties in the Permian Longtan Formation, Southeastern Sichuan Basin: Case Study of Well X1. PLoS ONE 2022, 17, e0271024. [Google Scholar] [CrossRef]
- Yang, K.; Zhang, B.; Yao, Y.; Yang, H.; Zhang, H.; Xiao, W.; Wang, Y. Organic Matter Accumulation Mechanism and Characteristics in Marine-Continental Transitional Shale: A Case Study of the Upper Permian Longtan Formation from the Well F5 in Sichuan Basin, China. J. Pet. Sci. Eng. 2022, 208, 109604. [Google Scholar] [CrossRef]
- Zhao, P.R.; Gao, B.; Guo, Z.F.; Wei, Z.H. Exploration Potential of Marine-Continental Transitional and Deep-Water Shelf Shale Gas in the Upper Permian, Sichuan Basin. Geol. Exp. 2020, 42, 335–344. [Google Scholar]
- Chen, Y.; Shi, X.; Xu, H.; Cao, Q.; Pei, X.; Wu, W.; Wang, L.; Yang, X. Study on the Sedimentary Environments and Its Implications of Shale Reservoirs for Permian Longtan Formation in the Southeast Sichuan Basin. Minerals 2023, 13, 689. [Google Scholar] [CrossRef]
- Yang, H.; Lin, L.; Chen, L.; Yu, Y.; Li, D.; Tian, J.; Zhou, W.; He, J. Characteristics of Mineralogy, Lithofacies of Fine-Grained Sediments and Their Relationship with Sedimentary Environment: Example from the Upper Permian Longtan Formation in the Sichuan Basin. Energies 2021, 14, 3662. [Google Scholar] [CrossRef]
- Cao, Q.; Liu, G.; Zhang, C.; Pan, W. Sedimentary environment and its controlling on source rocks during late Permian in Sichuan Basin. Petr. Geo. Exper. 2013, 35, 36–41, (In Chinese with English Abstract). [Google Scholar]
- He, Z.; Nie, H.; Li, S.; Liu, G.; Ding, J.; Bian, R.; Lu, Z. Differential occurence of shale gas in the Permian Longtan Formation of Upper Yangtze region constrained by plate tectonics in the Tethyan domain. Oil Gas Geo. 2021, 42, 1–15, (In Chinese with English Abstract). [Google Scholar]
- Guo, T. Key geological issues and main controls on accumulation and enrichment of Chinese shale gas. Petr. Expl. Dev. 2016, 43, 317–326, (In Chinese with English Abstract). [Google Scholar] [CrossRef]
- Wang, E.; Guo, T.; Liu, B.; Li, M.; Xiong, L.; Dong, X.; Zhang, N.; Wang, T. Lithofacies and Pore Features of Marine-Continental Transitional Shale and Gas Enrichment Conditions of Favorable Lithofacies: A Case Study of Permian Longtan Formation in the Lintanchang Area, Southeast of Sichuan Basin, SW China. Pet. Explor. Dev. 2022, 49, 1310–1322. [Google Scholar] [CrossRef]
- SY/T 5163-2010; Analysis Method for Clay Minerals and Ordinary Ono-Clay Minerals in Sedimentary Rocks by the X-ray Diffraction. Petroleum Geological Exploration Professional Standardization Committee (PGEPSC): Beijing, China, 2010. (In Chinese)
- He, Y.; Tang, X.; Shan, Y.; Liu, G.; Xie, H.; Ma, Z. Lithofacies division and comparison and characteristics of Longtan Formation shale in typical areas of Sichuan Basin and its surrounding. Natu. Gas Geos. 2021, 32, 174–190, (In Chinese with English Abstract). [Google Scholar]
- Zhang, J.; Li, X.; Zhang, G.; Zou, X.; Wang, F.; Tang, Y. Microstructural Investigation of Different Nanopore Types in Marine-Continental Transitional Shales: Examples from the Longtan Formation in Southern Sichuan Basin, South China. Mar. Pet. Geol. 2019, 110, 912–927. [Google Scholar] [CrossRef]
- Wei, Z.; Wang, Y.; Wang, G.; Sun, Z.; Xu, L. Pore Characterization of Organic-Rich Late Permian Da-Long Formation Shale in the Sichuan Basin, Southwestern China. Fuel 2018, 211, 507–516. [Google Scholar] [CrossRef]
- Li, J.; Wang, X.; Zhou, K.; Wang, Y.; Li, N.; Wu, Y.; Wang, M. Characteristics of ultra-deep shale reservoir of marine-continental transitional facies: A case study of lower member of Upper Permian Longtan Formation in well Y4, Puguang Gas Field, northeastern Sichuan Basin. Petr. Geo. Exper. 2022, 44, 71–84, (In Chinese with English Abstract). [Google Scholar]
- Loucks, R.G.; Reed, R.M.; Ruppel, S.C.; Hammes, U. Spectrum of Pore Types and Networks in Mudrocks and a Descriptive Classification for Matrix-Related Mudrock Pores. AAPG Bull. 2012, 96, 1071–1098. [Google Scholar] [CrossRef]
- Thommes, M.; Kaneko, K.; Neimark, A.V.; Olivier, J.P.; Rodriguez-Reinoso, F.; Rouquerol, J.; Sing, K.S.W. Physisorption of Gases, with Special Reference to the Evaluation of Surface Area and Pore Size Distribution (IUPAC Technical Report). Pure Appl. Chem. 2015, 87, 1051–1069. [Google Scholar] [CrossRef]
- Kfeinberg, R.L.; Straley, C.; Kenyon, W.E.; Akkurt, R.; Farooqui, S.A. Nuclear Magnetic Resonance of Rocks: T1 vs. T2; OnePetro: Richardson, TX, USA, 1993. [Google Scholar]
- Yao, Y.; Liu, J.; Liu, D.; Chen, J.; Pan, Z. A New Application of NMR in Characterization of Multiphase Methane and Adsorption Capacity of Shale. Int. J. Coal Geol. 2019, 201, 76–85. [Google Scholar] [CrossRef]
- Sun, J.; Chen, J.; Yang, Z.; Liu, X.; Liu, Y. Experimental Study of the NMR Characteristics of Shale Reservoir Rock. Sci. Tech. Rev. 2012, 30, 25–30, (In Chinese with English Abstract). [Google Scholar]
- Tan, M.; Mao, K.; Song, X.; Yang, X.; Xu, J. NMR Petrophysical Interpretation Method of Gas Shale Based on Core NMR Experiment. J. Pet. Sci. Eng. 2015, 136, 100–111. [Google Scholar] [CrossRef]
- Xu, H.; Tang, D.; Zhao, J.; Li, S. A Precise Measurement Method for Shale Porosity with Low-Field Nuclear Magnetic Resonance: A Case Study of the Carboniferous–Permian Strata in the Linxing Area, Eastern Ordos Basin, China. Fuel 2015, 143, 47–54. [Google Scholar] [CrossRef]
- Huang, J.; Xu, K.; Guo, S.; Guo, H. Comprehensive Study on Pore Structures of Shale Reservoirs Based on SEM, NMR and X-CT. Geoscience 2015, 29, 198–205, (In Chinese with English Abstract). [Google Scholar]
- Zhao, W.; Yang, L.; Jiang, Z.; He, W.; Huang, L.; Chang, Q.; Tang, X.; Ye, H. Geneses of Multi-Stage Carbonate Minerals and Their Control on Reservoir Physical Properties of Dolomitic Shales. Mar. Pet. Geol. 2023, 153, 106216. [Google Scholar] [CrossRef]
- Zhao, K.; Du, X.; Lu, Y.; Hao, F.; Liu, Z.; Jia, J. Is volcanic ash responsible for the enrichment of organic carbon in shales? Quantitative characterization of organic-rich shale at the Ordovician-Silurian transition. Bulletin 2021, 133, 837–848. [Google Scholar] [CrossRef]
- Zhou, X.; Li, X.; Guo, W.; Zhang, X.; Liang, P.; Yu, J. Characteristics, Formation Mechanism and Influence on Physical Properties of Carbonate Minerals in Shale Reservoirs of Wufeng-Longmaxi Formations, Sichuan Basin, China. J. Nat. Gas Geosci. 2022, 7, 133–146. [Google Scholar] [CrossRef]
- Aldega, L.; Carminati, E.; Scharf, A.; Mattern, F. Thermal maturity of the Hawasina units and origin of the Batinah Mélange (Oman Mountains): Insights from clay minerals. Mar. Petro. Geo. 2021, 133, 105316. [Google Scholar] [CrossRef]
- Aldega, L.; Corrado, S.; Dipaolo, L.; Somma, R.; Maniscalco, R.; Balestrieri, M.L. Shallow burial and exhumation of the Peloritani Mts. (NE Sicily, Italy): Insight from paleo-thermal and structural indicators. Geo. Soci. of Ame. Bull. 2011, 123, 132–149. [Google Scholar] [CrossRef]
- Wang, G.; Jin, Z.; Zhang, Q.; Zhu, R.; Tang, X.; Liu, K.; Dong, L. Effects of Clay Minerals and Organic Matter on Pore Evolution of the Early Mature Lacustrine Shale in the Ordos Basin, China. J. Asian Earth Sci. 2023, 246, 105516. [Google Scholar] [CrossRef]
- Li, J.; Ma, Y.; Huang, K.; Zhang, Y.; Wang, W.; Liu, J.; Li, Z.; Lu, S. Quantitative Characterization of Organic Acid Generation, Decarboxylation, and Dissolution in a Shale Reservoir and the Corresponding Applications—A Case Study of the Bohai Bay Basin. Fuel 2018, 214, 538–545. [Google Scholar] [CrossRef]
- Su, A.; Chen, H.; Feng, Y.; Zhao, J.; Nguyen, A.D. Multistage Fracturing History in the Paleocene Lacustrine Shale Oil Reservoirs of the Subei Basin, Eastern China. Mar. Pet. Geol. 2022, 144, 105835. [Google Scholar] [CrossRef]
- Ma, X.; Guo, S. Study on Pore Evolution and Diagenesis Division of a Permian Longtan Transitional Shale in Southwest Guizhou, China. Energy Sci. Eng. 2021, 9, 58–79. [Google Scholar] [CrossRef]
- Galushkin, Y.I. Thermal effects of igneous intrusions on maturity of organic matter: A possible mechanism of intrusion. Org. Geochem. 1997, 5, 645–658. [Google Scholar] [CrossRef]
- Olsson, I. Regional burial heating vs. local magmatic heat influence of the Röstånga area, Scania, southern Sweden GFF 1999, 121, 209–214. [Google Scholar]
- Stagpoole, V.; Funnell, R. Arc magmatism and hydrocarbon generation in the northern Taranaki Basin, New Zealand. Pet. Geosci. 2001, 7, 255–267. [Google Scholar]
- Wang, R.; Hu, Z.; Bao, H.; Wu, J.; Du, W.; Wang, P.; Peng, Z.; Lu, T. Diagenetic evolution of key minerals and its controls on reservoir quality of Upper Ordovician Wufeng-Lower Silurian Longmaxi shale of Sichuan Basin. Petr. Geo. Exper. 2021, 43, 996–1005, (In Chinese with English Abstract). [Google Scholar]
- Chen, X.; Qu, X.; Xu, S.; Wang, W.; Li, S.; He, H.; Liu, Y. Dissolution Pores in Shale and Their Influence on Reservoir Quality in Damintun Depression, Bohai Bay Basin, East China: Insights from SEM Images, N2 Adsorption and Fluid-Rock Interaction Experiments. Mar. Pet. Geol. 2020, 117, 104394. [Google Scholar] [CrossRef]
- Ismail, I.M.K.; Pfeifer, P. Fractal Analysis and Surface Roughness of Nonporous Carbon Fibers and Carbon Blacks. Langmuir 1994, 10, 1532–1538. [Google Scholar] [CrossRef]
- Ross, D.J.K.; Marc Bustin, R. The Importance of Shale Composition and Pore Structure upon Gas Storage Potential of Shale Gas Reservoirs. Mar. Pet. Geol. 2009, 26, 916–927. [Google Scholar] [CrossRef]
- Ma, Y.; Zhong, N.; Li, D.; Pan, Z.; Cheng, L.; Liu, K. Organic Matter/Clay Mineral Intergranular Pores in the Lower Cambrian Lujiaping Shale in the North-Eastern Part of the Upper Yangtze Area, China: A Possible Microscopic Mechanism for Gas Preservation. Int. J. Coal Geol. 2015, 137, 38–54. [Google Scholar] [CrossRef]
- Liu, B.; Bai, L.; Chi, Y.; Jia, R.; Fu, X.; Yang, L. Geochemical Characterization and Quantitative Evaluation of Shale Oil Reservoir by Two-Dimensional Nuclear Magnetic Resonance and Quantitative Grain Fluorescence on Extract: A Case Study from the Qingshankou Formation in Southern Songliao Basin, Northeast China. Mar. Pet. Geol. 2019, 109, 561–573. [Google Scholar]
- Guo, X.; Qin, Z.; Yang, R.; Dong, T.; He, S.; Hao, F.; Yi, J.; Shu, Z.; Bao, H.; Liu, K. Comparison of Pore Systems of Clay-Rich and Silica-Rich Gas Shales in the Lower Silurian Longmaxi Formation from the Jiaoshiba Area in the Eastern Sichuan Basin, China. Mar. Pet. Geol. 2019, 101, 265–280. [Google Scholar] [CrossRef]
- Liu, D.; Li, Z.; Jiang, Z.; Zhang, C.; Zhang, Z.; Wang, J.; Yang, D.; Song, Y.; Luo, Q. Impact of Laminae on Pore Structures of Lacustrine Shales in the Southern Songliao Basin, NE China. J. Asian Earth Sci. 2019, 182, 103935. [Google Scholar] [CrossRef]
- Xu, H.; Zhou, W.; Hu, Q.; Yi, T.; Ke, J.; Zhao, A.; Lei, Z.; Yu, Y. Quartz Types, Silica Sources and Their Implications for Porosity Evolution and Rock Mechanics in the Paleozoic Longmaxi Formation Shale, Sichuan Basin. Mar. Pet. Geol. 2021, 128, 105036. [Google Scholar] [CrossRef]
- Xu, J.; Wu, S.; Liu, J.; Yuan, Y.; Cui, J.; Su, L.; Jiang, X.; Wang, J. New Insights into Controlling Factors of Pore Evolution in Organic-Rich Shale. Energy Fuels 2021, 35, 4858–4873. [Google Scholar] [CrossRef]













| Sample ID | Depth (m) | Mineral Content (%) | Clay Mineral Content (%) | |||||||||||||||
|---|---|---|---|---|---|---|---|---|---|---|---|---|---|---|---|---|---|---|
| TOC | Ro | Quartz | Potash Feldspar | Albite | Calcite | Dolomite | Pyrite | Anatase | Manganite | Clay Mineral | S | I/S | I | K | C | I/S (S%) | ||
| YJ1-1 | 3021.5 | 1.62 | 0.56 | 14.3 | 2.8 | 5.5 | 20 | 0 | 22 | 3.4 | 2.9 | 29.1 | 50 | 28 | 8 | 9 | 5 | 19 |
| YJ1-2 | 3030.95 | 1.6 | 1.43 | 16 | 5 | 0 | 7 | 2 | 10 | 3.6 | 4.4 | 52 | 34 | 40 | 10 | 0 | 16 | 23 |
| YJ1-3 | 3031.6 | 3.04 | 2.23 | 21.6 | 2.7 | 8.3 | 2.2 | 14.8 | 4.9 | 4.8 | 6.4 | 34.3 | 19 | 35 | 6 | 11 | 29 | 25 |
| YJ1-4 | 3034.68 | 2.18 | 2.74 | 26.3 | 0 | 10.3 | 0 | 12.3 | 6.5 | 7.7 | 4.3 | 32.6 | 0 | 35 | 4 | 11 | 50 | 6 |
| YJ1-5 | 3050 | 2.41 | 2.61 | 34.2 | 4.2 | 9.1 | 3.8 | 30 | 6.2 | 0 | 1.5 | 11 | 0 | 37 | 14 | 29 | 20 | 20 |
| YJ1-6 | 3050.7 | 2.37 | 1.29 | 22.3 | 8.9 | 0 | 0 | 1.8 | 0 | 4.5 | 2.9 | 59.6 | 29 | 56 | 3 | 4 | 8 | 22 |
| YJ1-7 | 3052.55 | 1.81 | 2.51 | 24.4 | 4.2 | 2.6 | 0 | 14.7 | 1.8 | 8 | 3.5 | 40.8 | 0 | 13 | 80 | 2 | 5 | 22 |
| YJ1-8 | 3054.77 | 4.15 | 3.05 | 58 | 0 | 7.6 | 3 | 7.6 | 0 | 2.2 | 3.2 | 18.4 | 0 | 20 | 45 | 12 | 23 | 5 |
| YJ1-9 | 3056.8 | 3.32 | 2.98 | 21.1 | 1.7 | 7.4 | 11.4 | 6.6 | 0 | 9.9 | 10.1 | 31.8 | 0 | 23 | 54 | 8 | 15 | 23 |
| Sample ID | Depth (m) | Lithology | CO2 Adsorption | N2 Adsorption | NMR | NMR | ||
|---|---|---|---|---|---|---|---|---|
| PVDFT (cm3/g) | SSADFT (m2/g) | PVBJH (cm3/g) | SSABET (m2/g) | PV (cm3) | Porosity (%) | |||
| YJ1-1 | 3021.5 | Mixed shale | 0.00287 | 14.68 | 0.0226 | 10.48 | 0.25 | 3.2 |
| YJ1-2 | 3030.95 | Mixed shale | 0.00186 | 11.43 | 0.0196 | 7.42 | 0.37 | 1.5 |
| YJ1-3 | 3031.6 | Mixed shale | 0.00225 | 14.97 | 0.0258 | 8.76 | 0.28 | 2.7 |
| YJ1-4 | 3034.48 | Mixed shale | 0.00173 | 16.68 | 0.0235 | 12.91 | 0.31 | 4.4 |
| YJ1-5 | 3050 | Mixed shale | 0.0028 | 15.15 | 0.0292 | 12.68 | 0.39 | 3.5 |
| YJ1-6 | 3050.7 | Clay shale | 0.00207 | 14.68 | 0.0234 | 7.81 | 0.19 | 2.3 |
| YJ1-7 | 3052.55 | Clay shale | 0.00186 | 12.43 | 0.0245 | 11.79 | 0.57 | 1.9 |
| YJ1-8 | 3054.77 | Mixed shale | 0.00296 | 19.459 | 0.0292 | 9.55 | 0.41 | 5.6 |
| YJ1-9 | 3056.8 | Mixed shale | 0.00233 | 14.73 | 0.0296 | 9.31 | 0.43 | 3.3 |
Disclaimer/Publisher’s Note: The statements, opinions and data contained in all publications are solely those of the individual author(s) and contributor(s) and not of MDPI and/or the editor(s). MDPI and/or the editor(s) disclaim responsibility for any injury to people or property resulting from any ideas, methods, instructions or products referred to in the content. |
© 2023 by the authors. Licensee MDPI, Basel, Switzerland. This article is an open access article distributed under the terms and conditions of the Creative Commons Attribution (CC BY) license (https://creativecommons.org/licenses/by/4.0/).
Share and Cite
Zhang, B.; Wen, S.; Yang, K.; Ma, K.; Wang, P.; Xu, C.; Cao, G. Diagenetic Evolution Sequence and Pore Evolution Characteristics: Study on Marine-Continental Transitional Facies Shale in Southeastern Sichuan Basin. Minerals 2023, 13, 1451. https://doi.org/10.3390/min13111451
Zhang B, Wen S, Yang K, Ma K, Wang P, Xu C, Cao G. Diagenetic Evolution Sequence and Pore Evolution Characteristics: Study on Marine-Continental Transitional Facies Shale in Southeastern Sichuan Basin. Minerals. 2023; 13(11):1451. https://doi.org/10.3390/min13111451
Chicago/Turabian StyleZhang, Bing, Siyu Wen, Kai Yang, Kai Ma, Pengwan Wang, Chuan Xu, and Gaoquan Cao. 2023. "Diagenetic Evolution Sequence and Pore Evolution Characteristics: Study on Marine-Continental Transitional Facies Shale in Southeastern Sichuan Basin" Minerals 13, no. 11: 1451. https://doi.org/10.3390/min13111451
APA StyleZhang, B., Wen, S., Yang, K., Ma, K., Wang, P., Xu, C., & Cao, G. (2023). Diagenetic Evolution Sequence and Pore Evolution Characteristics: Study on Marine-Continental Transitional Facies Shale in Southeastern Sichuan Basin. Minerals, 13(11), 1451. https://doi.org/10.3390/min13111451

