Next Article in Journal
From Dust to Disease: A Review of Respirable Coal Mine Dust Lung Deposition and Advances in CFD Modeling
Next Article in Special Issue
A Review of the Grinding Media in Ball Mills for Mineral Processing
Previous Article in Journal
Thermal Stability and Resistance to Biodegradation of Humic Acid Adsorbed on Clay Minerals
Previous Article in Special Issue
Study on Grinding Behavior Characteristics under Low-Speed Grinding Condition
 
 
Font Type:
Arial Georgia Verdana
Font Size:
Aa Aa Aa
Line Spacing:
Column Width:
Background:
Article

The Effect of HPGR and Conventional Crushing on the Extent of Micro-Cracks, Milling Energy Requirements and the Degree of Liberation: A Case Study of UG2 Platinum Ore

Mineral Processing Division, Mintek, Private Bag X3015, Randburg 2125, South Africa
*
Author to whom correspondence should be addressed.
Minerals 2023, 13(10), 1309; https://doi.org/10.3390/min13101309
Submission received: 15 August 2023 / Revised: 6 October 2023 / Accepted: 7 October 2023 / Published: 10 October 2023
(This article belongs to the Special Issue Comminution and Comminution Circuits Optimisation, Volume II)

Abstract

:
Comparative high pressure grinding rolls (HPGR) and cone crusher pilot-scale tests were conducted using Upper Group 2 (UG2) platinum-bearing ore in order to determine the impact of micro-cracks in HPGR products toward energy requirements in ball mills and the degree of liberation. The ball mill was fed with HPGR and cone crusher products of similar particle size distributions (PSDs). Qualitative analysis of the degree of micro-cracking on the HPGR and cone crusher products performed using scanning electron microscope (SEM) and image analysis software showed that an HPGR product had more micro-cracks than the equivalent cone crusher product. Milling energy requirements were evaluated using size-specific energy consumption indices calculated based on three grind sizes of 300 µm, 150 µm and 75 µm. The effect of residual micro-cracks in the products of HPGR and cone crusher on the milling size-specific energy requirement is inconclusive. The kinetic parameter k in the cumulative rate kinetic model for ball milling cone crusher products and for ball milling HPGR products were similar. Quantitative Evaluation of Minerals by Scanning Electron Microscopy (QEMSCAN) was used to determine the degree of liberation of various mineral phases in the mill products. At a coarser grind size (P80 of 300 µm), the sulfides in the mill products pre-crushed using the cone crusher have consistently poorer liberation than in the equivalent HPGR pre-crushed sample. However, at a finer grind size (P80 of 75 µm), the sulfides in the mill products pre-crushed using the cone crusher and using an HPGR showed similar liberation.

1. Introduction

The inherent inefficiency characterizing most comminution devices, which is attributed to the inability to efficiently utilize the available energy to bring about the required degree of size reduction [1,2], necessitates the continual search for energy-efficient comminution techniques in order to contribute to global efforts geared towards reducing carbon footprints and energy consumption [3,4]. This is critical because comminution circuits consume about 30% to 50% of the total energy in a typical concentrator [5,6,7,8,9]). High-pressure grinding rolls (HPGR), a comminution device which utilizes inter-particle breakage mechanism to comminute a bed of particles compressed between two counter-rotating rolls, have been reported to be more efficient (in terms of energy utilization) than the conventional crushing and milling devices. The main driver for higher energy efficiency in HPGRs is a particle arrangement (i.e., particle bed) which allows for the crushing/grinding force to be applied directly to the particles [10,11]. Energy savings in the range of 10% to 30% have been reported in mineral ore comminution circuits incorporating HPGRs compared to the conventional semi-autogenous (SAG) mill, ball–mill and recycle crusher (SABC) circuit [12,13].
As a result of high stresses applied during HPGR comminution, the HPGR products tend to have residual micro-cracks [14]. The residual micro-cracks can promote preferential breakage (fracture along the grain boundaries) in the subsequent milling stage and consequently improve the degree of liberation [15,16]. Thus, an HPGR product is expected to respond favorably in downstream processes such as leaching [17,18,19,20]. Studies on the effect of HPGR–ball mill products on flotation have also been undertaken [21,22,23], although the results have been inconclusive. The presence of residual micro-cracks in HPGR products in an HPGR–ball mill circuit can also result in fast breakage kinetics in the milling stage [24,25,26,27]. It is important to highlight that the cited work on the effect of HPGRs on milling kinetics all relate to iron ores.
The energy efficiency benefits and product size benefits (fine product with top sizes aligning with typical ball mill feeds) of HPGRs provide strong motivation for their implementation in comminution circuits as an alternative technology to secondary and tertiary crushing, as well as primary grinding [3]. Furthermore, the drive to make stirred media mills amenable to process HPGR products makes HPGRs more attractive in the development of more energy-efficient comminution circuits [28,29]. Over the years, the application of HPGRs has extended from the ‘energy conscious’ cement industry [30,31,32,33,34,35,36,37] to the minerals industry, e.g., copper, iron, gold and platinum group metals (PGMs) [13,24,38,39].
The aim of this work was to broaden the understanding of Upper-Group 2 (UG2) platinum-bearing ore’s response to HPGR crushing in comparison to conventional cone crushing. To achieve this aim, an experimental study was undertaken with the following objectives:
  • To establish the relationship between pressure force and the degree of micro-cracks on an HPGR product;
  • To establish the effect of residual micro-cracks on HPGR products on ball milling kinetics, size-specific energy requirements and the degree of liberation of the ball mill product.
The experimental study incorporated cone crushing, which served as the base case for analysis of UG2 platinum-bearing ore’s response to HPGR crushing.

2. Theoretical Background

The milling kinetics of batch grinding (as the case in this study) and the assumption of continuous grinding with a plug flow can be modelled using the cumulative kinetic model that was developed by Laplante et al. [40] as a solution to the differential equation earlier proposed by Loveday [41]. One of the main advantages of this model is its simplicity (defined by only two parameters), and parameters determined at the laboratory scale can be directly applied at pilot and industrial scales. The cumulative kinetic model can be described by Equation (1).
W x , t = W ( x , 0 ) e k t
where W(x,t) is the cumulative percentage of oversize material for sieve size x at time t, W(x,0) is the cumulative percentage of oversize material of size x in the feed, k is the breakage rate constant in time units raised to a power of negative one, e.g., min−1, and t is the time.
The breakage rate constant k and particle size x are related by Equation (2).
k = C x n
where C and n are constants that are dependent on milling conditions and material characteristics, respectively [42].
Substituting Equation (2) into Equation (1) yields the following equation, which can be used to calculate the product size distribution if C and n are known.
W x , t = W ( x , 0 ) e C x n t
Equation (3) was applied in this study to evaluate the breakage rate constant k, which made it possible to investigate the effect of crushing technology (HPGR vs. cone crusher) on ball milling kinetics.

3. Methodology

All experiments and analyses were conducted at Mintek. Approximately 4 tonnes of UG2 ore with a top size of 200 mm was available for the test work. Representative samples for the Bond crushability work index test and SMC Test® were obtained from the bulk samples, and the remainder was crushed to −19 mm using the jaw crusher in Figure 1a. The crushed ore was homogenized using the mechanical blender in Figure 1b and split into two equal 2-tonne batches, which were used for HPGR and cone crusher test work. Sub-samples of the −19 mm material were taken for breakage characterization tests (Bond ball mill work index and Bond abrasion index), chemical analysis and mineralogical characterization (using a Carl Zeiss Evo MA15 scanning electron microscope (SEM) (Carl Zeiss Microscopy GmbH., Oberkochen, Germany. Model: EVO MA 15) equipped with a Bruker energy dispersive X-ray analyzer (Bruker AXS GmbH, Karlsruhe, Germany)). Chemical analysis was conducted to determine assays for base metals, PGMs and other metallic gangue elements. A 10 kg sample for chemical analysis was first crushed until 100% passed 1 mm, and a sub-sample (removed using the rotary splitter) was pulverized until 90% passed 20 μm for the assaying of base metals and other metallic gangue elements using ICP and assaying of 3E (i.e., combined Pt, Pd and Au) using a fire assay. The purpose of SEM analyses in this study was to (1) identify phases with micro-cracks using energy dispersive spectrometry (EDS) (Bruker AXS GmbH, Karlsruhe, Germany) and (2) capture back-scattered electron (BSE) images using the Carl Zeiss Evo MA15 SEM. A voltage of 20 kV with a beam current of 3.3 nA was used. The SEM EDS has typical detection limits in the range of 0.1–0.5 wt% [43]. The BSE images were processed using the Stream Essentials® software version 1.5.1 (Olympus Soft Imaging Solutions GmbH, Münster, Germany) to count the number of micro-cracks in each mineral phase and measure their dimensions (in terms of lengths).
Figure 2 shows the experimental program for the HPGR–ball milling test work and analyses. The pilot-scale HPGR testing unit, equipped with studded rolls (see Table 1 for the specifications), was used for the test work. HPGR crushing products with three different size distributions (from low-, medium- and high-pressure operations) were independently homogenized and sub-divided to obtain 1 kg sub-samples for mineralogical analyses using the SEM and 4 kg sub-samples for ball milling tests.
The 2-tonne batch reserved for the cone crushing test work was crushed to the same top size as the HPGR product (i.e., 13.2 mm) using a pilot-scale cone crusher whose technical specifications are presented in Table 2. The crusher product was dry-screened using a set of two root sieves starting from 13.2 mm all the way down to 75 µm. Samples of various size fractions were used to reconstitute the cone crusher product into two HPGR products’ PSDs (from the medium- and high-pressure operations). Reconstituted crusher products were necessary for ensuring that the PSDs of the feeds in ball milling experiments were comparable to those of the corresponding HPGR-prepared feeds. This approach ensured that the extent of micro-cracks in the feed was the only variable in the ball milling experiments. Figure 3 shows the PSDs of HPGR and reconstituted cone crusher products. Figure 4 shows the experimental program for the cone crusher–ball milling test work and analyses. For this test work, mineralogical characterization (using SEM) was only conducted on the product with a PSD that corresponded to that of an HPGR operated at the highest pressure (i.e., PSD 3).
Milling was performed using a laboratory ball mill. The mill specifications and operating conditions are listed in Table 3. The mass distribution of the steel balls is presented in Table 4. The mill is instrumented to accurately measure rotational speed and drive torque, which allows for calculation of instantaneous mechanical power (kW) and specific energy input (kWh/t). Four specific energy inputs (5, 10, 20 and 40 kWh/t) were targeted in the milling tests. The mill products were sampled for PSD analysis. The data obtained from the milling tests were sufficient to estimate the breakage rate constant parameter k and calculate the size-specific milling energy requirements. For liberation analysis, 4 kg sub-samples of HPGR PSD 3 and cone crusher PSD 3 products were milled to P80 = 300 µm and P80 = 75 µm. Sub-samples were removed from the mill products and were submitted for liberation analysis using Quantitative Evaluation of Minerals by Scanning Electron Microscopy (QEMSCAN). Automated image analysis utilizing backscattered electron (BSE) and energy dispersive X-ray (EDX) signals from a scanning electron microscope (SEM) was used to create digital images in which each pixel corresponds to mineral species in the corresponding region under the electron beam. The specific mineral search (SMS) mode was employed to characterize the sulfides that were present in the ore.

4. Results and Discussion

4.1. Ore Hardness and Chemical Composition

The summary of ore breakage characterization indices is presented in Table 5. Based on the standard classification of ore hardness [44], the ore has a ‘medium’ crushing hardness and is classified as ‘hard’ for ball milling. Based on the JK Tech classification of A × b and ta, the ore can be classified as medium (hard/soft) in terms of the resistance to impact and abrasion breakage.
The chemical composition analysis results of the UG2 ore are listed in Table 6. It is observed that the PGMs (Pt and Pd) collectively constitute 2.19 ppm of the ore.

4.2. Mineralogical Characterization

The BSE images for the −19 mm material (HPGR/cone crusher feed) are shown in Figure 5. It was observed that the sample predominantly consists of chromite, pyroxene and plagioclase. The sulfide mineralization includes chalcopyrite and pentlandite. Mineral phases were identified based on the SEM EDS chemical composition.
Figure 6 shows the dimensions of some of the identified micro-cracks in the HPGR/cone crusher feed sample. In comparison to smaller grains, larger grains tend to have wider (25 µm) and more pervasive cracks. Chromite, which occurs as rounded grains (both liberated and within the silicate phases), had the least amount of micro-cracks compared to the coarser plagioclase and pyroxene. However, crack diversion can be observed between respective silicates (pyroxene and plagioclase). Crack diversion occurs when the micro-cracks from one mineral propagate into the associated mineral. The area enclosed by a white square in Figure 6 is an example of crack diversion, with cracks that propagate from pyroxene (phase 3 in Figure 5) into the chromite phase (phase 2 in Figure 5).

4.3. Effect of Crushing method on the Intensity of Micro-Cracks

The summarized results of the identified micro-cracks are shown in Figure 7. The BSE images from the analysis of product from the HPGR operated at 1.60 N/mm2 (HPGR PSD 1) and 3.32 N/mm2 (HPGR PSD 3), as well as from the analysis of cone crusher product that was equivalent to product from the HPGR at 3.32 N/mm2 (i.e., cone crusher PSD 3), along with the dimensions of the identified micro-cracks, are included in Appendix A.
In Figure 7a, it is evident that, for similar product size distribution, more micro-cracks were identified in HPGR product than in a cone crusher product, where cone crusher products was the base case for comparison. The number of micro-cracks identified in HPGR PSD 3 was 3.5 times more than the number of identified micro-cracks in cone crusher PSD 3. It is also evident in Figure 7b that the number of micro-cracks identified in HPGR products increased with the pressure exerted by the rolls on the bed of particles, where the low-pressure product (HPGR PSD 1) was the base case for comparison. The number of micro-cracks identified in the high-pressure product (HPGR PSD 3) was 1.6 times more than the number of identified micro-cracks in HPGR PSD 1. The results show that the UG2 ore’s response to HPGR crushing conforms to the response that has been observed in other ores, e.g., zinc ore, iron ore, copper ore, and gold ore [17,19,45,46].
The data presented in Figure 7 also show that the distribution of cracks between silicate and chromite phases was dependent on the crushing method and the operating pressure of the HPGR. In cone crusher PSD 3, the micro-cracks identified in the chromite phases make up about 12% of the total number of identified micro-cracks. However, in HPGR PSD 3, the micro-cracks identified in the chromite phases make up about 47% of the total number of identified micro-cracks. Some chromite phases are enclosed by silicate phases, as shown in Figure 5a, while some chromite is liberated from the silicates at around 200 μm, as shown in Figure 5b. The authors hold a view that the high inter-particle stresses in the HPGR promoted crack propagation from the silicates to chromite phases. The authors hold a view that high operating pressure induced higher stress on particles, which increased the propagation of cracks such that more cracks propagated from silicate phases to chromite phases.
The skewness in the probability distributions can be inferred from the kurtosis and skewness values in Table 7. The kurtosis and skewness values are higher for the silicates, which suggests higher variation in the lengths of the identified micro-cracks. Therefore, a comparison of the average lengths of identified micro-cracks from the three different products will not be meaningful. The analysis showed that the maximum lengths of identified micro-cracks (in both phases) in HPGR PSD 3 were larger than those of the cone crusher PSD 3. For the HPGR product only, the analysis showed that at higher pressure (HPGR PSD 3) the maximum length of micro-cracks is only larger in the silicate phase. Due to the limitations of qualitative image analyses, as well as the limitations of Stream Essentials® software version 1.5.1, it is acknowledged that the micro-crack data should be interpreted with caution. Due to the fine-grained nature of the sulfides, in addition to the limited abundance of these phases and the coarse nature of the overall sample, the sulfides could not feasibly be characterized.

4.4. Effect of Crushing Method on Ball Milling Size-Specific Energy Consumption

Figure 8 shows the effect of HPGR operating pressure on downstream ball milling size-specific energy consumption. Size-specific energy consumption (SSE), defined as the energy required to generate new material finer than a particular screen aperture [47], was computed using Equations (4)–(6). The full PSDs of the mill products are included in Appendix B. The x-axis shows the specific energy (SE) input in a ball milling experiment; experiments of the same SE but with different feed PSDs are grouped together.
S S E 300   μ m = N e t   p o w e r k W   ×   g r i n d i n g   t i m e   ( h ) o r e   m a s s t   ×   [ % < 300   μ m   i n   p r o d u c t     % < 300   μ m   i n   f e e d ] / 100
S S E 150   μ m = N e t   p o w e r k W   ×   g r i n d i n g   t i m e   ( h ) o r e   m a s s t   ×   [ % < 150   μ m   i n   p r o d u c t     % < 150   μ m   i n   f e e d ] / 100
S S E 75   μ m = N e t   p o w e r k W   ×   g r i n d i n g   t i m e   ( h ) o r e   m a s s t   ×   [ % < 75   μ m   i n   p r o d u c t     % < 75   μ m   i n   f e e d ] / 100
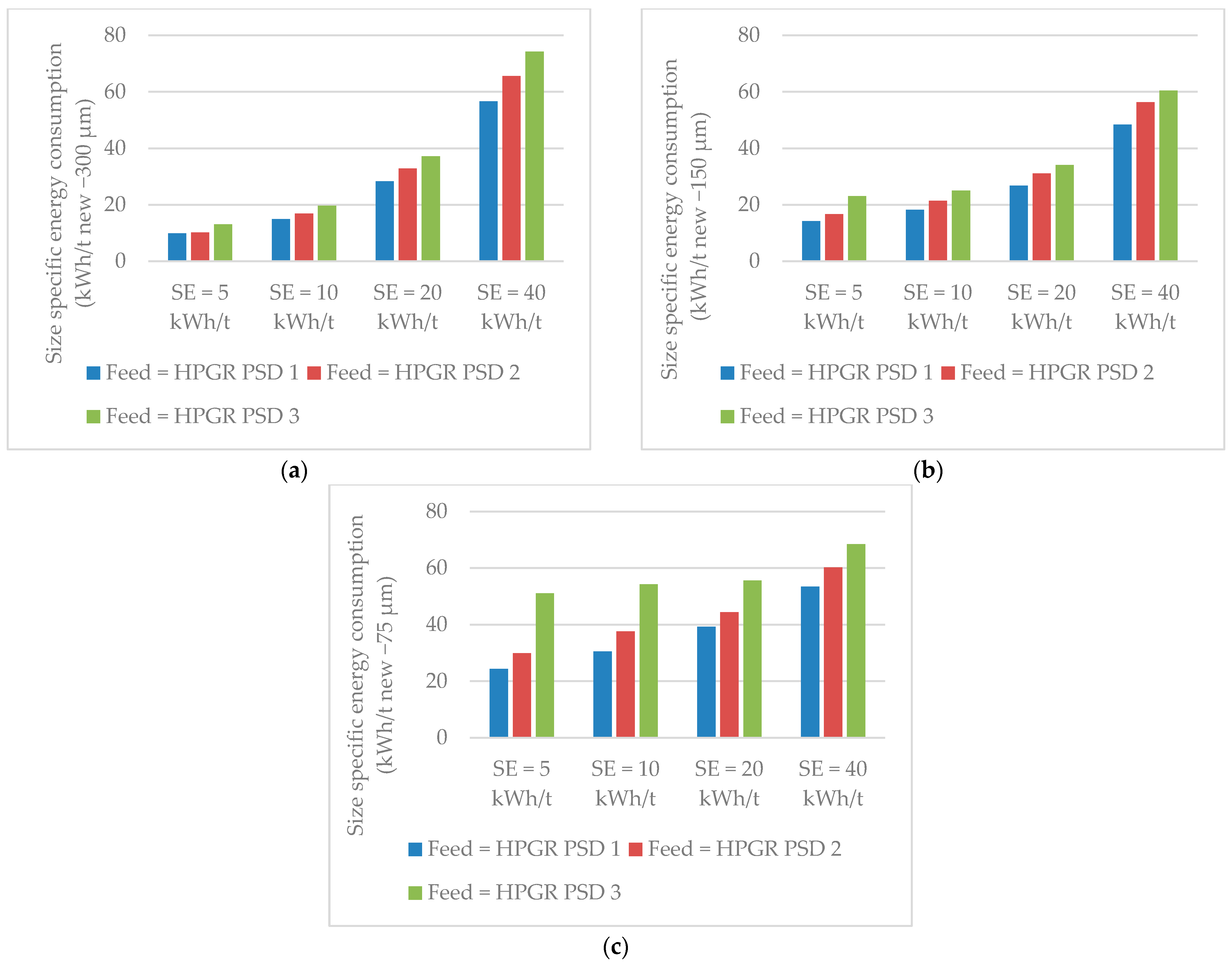
It is evident in Figure 8 that increasing the operating pressure of the HPGR, which resulted in a finer ball mill feed PSD with more micro-cracks, increased the milling size-specific energy consumption. For example, for SE of 20 kWh/t, the kWh/t new −300 µm derived from milling HPGR PSD 3 was 30% higher than that derived from milling HPGR PSD 1. The explanation the authors can provide for this seemingly counter-intuitive phenomenon is the significant difference in feed PSDs at the fine end (mass of material finer than 300 µm), which affected the starting pulp viscosity. Viscous slurries in tumbling mills reduce the proportion of collision energy (dissipated by grinding media) that goes toward the breaking of particles, which consequently increases the energy required to achieve a certain grind.
It is also evident in Figure 8 that increasing the specific energy input in a milling test, which resulted in longer milling time and finer product, increased size-specific energy consumption. For example, for milling HPGR PSD 3, increasing SE from 10 kWh/t to 20 kWh/t increased kWh/t new −300 µm by 88%. This is attributed to the possibly reduced rate of grinding, which could be due to increasing agglomeration of the material being ground. Mulenga and Moys [48] and Levin [49] observed a similar trend in batch grinding tests. This possibly indicates that shorter milling time provides a more efficient milling environment than longer milling time. The effect can also be attributed to the heterogeneity of any typical ore sample. Due to the heterogeneity of an ore sample, the softer component breaks faster and the harder component breaks slower [50], consequently leading to the slower-breaking components increasing the energy requirements to achieve finer grinds.
The authors are of the view that in this study the viscosity effect dominated over the effect of feed residual micro-cracks on the SSE. To overcome this shortcoming, it is proposed that future work considers de-sliming the feed for batch ball milling experiments, e.g., at 300 µm, and only target low specific energy inputs (short grinding times).
Figure 9 shows the effect of cone crusher product PSD on milling size-specific energy consumption. It appears again that feed size distribution has an effect on size-specific energy consumption. Size-specific energy consumption was higher for a finer mill feed; the effect is more notable for the specific energy consumption required to generate finer products. For example, for SE of 5 kWh/t, the kWh/t new −75 µm derived from milling cone crusher PSD 3 was about 50% higher than that derived from milling cone crusher PSD 2.
Figure 10 shows a comparison of size-specific energy consumption for milling HPGR-prepared feed and a PSD equivalent cone crusher-prepared feed. Experiments of the same specific energy input are grouped together.
It is evident in Figure 10a–c that, for high specific energy input (SE = 20 kWh/t and 40 kWh/t), the size-specific energy consumption values to mill HPGR-prepared feed and cone crusher-prepared feed were comparable. However, a different trend is observed for low specific energy input tests (SE = 5 kWh/t and 10 kWh/t); it appears that the size-specific energy requirements for milling HPGR-prepared feed were higher than those for milling cone crusher-prepared feed. The effect is more evident in Figure 10c. For example, for SE of 10 kWh/t, the kWh/t new −75 µm derived from milling HPGR PSD 3 was about 35% higher than that derived from milling cone crusher PSD 3. The authors argue that for comparable ball mill feed PSDs used, the effect of feed fineness on starting viscosity and the effect of feed micro-cracks had competing influences on the SSE, and the influence may be nonlinear with grind size and milling time.

4.5. Effect of Crushing Method on Milling Kinetics

Experimental data were fitted to Equation (3) in Microsoft Excel® (Microsoft 365 version, Microsoft Company, Canton, MA, USA), using a set objective function which minimizes the root mean square error (RMSE) between experimental and model PSD data. A fair degree of fitness between experimental and model PSDs (with an exception of 5 and 10 kWh/t for the HPGR-prepared mill feed) is shown in Figure 11. The model parameters C and n are listed in Table 8. It is evident that constant C (relating to milling conditions) and constant n (relating to the material characteristics) derived from ball milling HPGR-prepared feeds and cone crusher-prepared feeds (equivalent to PSD 2 and PSD 3) are not significantly different. It was expected that the value for constant C would be similar since the milling conditions were the same for all tests. However, for constant n, the expectation was that the micro-cracks would make a difference in the values derived. The consequence of indifference in the values of constants C and n is comparable values of parameter k (a single milling kinetic parameter in Equation (3)), as shown in Figure 12. The results suggest that the difference in the extent of residual micro-cracks in HPGR and cone crusher products did not have a significant impact on the milling kinetics. However, since the effect of fineness of feed on viscosity and the effect of feed micro-cracks were not isolated, this conclusion requires further scrutiny. The conclusion contradicts what has been observed with iron ores [24,25,26,51], where the HPGR contributes to higher ball milling kinetics, arguably due to the residual micro-cracks. It is also important to mention that the iron ore studies used narrow-size feeds during milling to evaluate milling kinetics, while in this study a wide feed size distribution was used. The conclusion derived from milling kinetics in this study is similar to that derived from a similar study on vanadium titano-magnetite [52].

4.6. Effect of Crushing Method on the Degree of Liberation

Ball mill products of HPGR PSD 3 and cone crusher PSD 3 were mineralogically characterized using QEMSCAN. The specific mineral search (SMS) mode was employed for the sulfide characterization. In each sample, a minimum of 1000 sulfides were characterized to determine characteristics such as the species present, liberation, grain size distribution and mineral association. The analysis was performed on mill products with P80 sizes of 300 µm and 75 µm.
In all the samples investigated, the major base metal sulfide (BMS) phases present were pentlandite, chalcopyrite and pyrrhotite, as is typical for the UG2 ore [21]. Figure 13 shows the cumulative liberation curves of the mill products of HPGR-prepared feed and the equivalent cone crusher-prepared feed (i.e., HPGR PSD 3 and cone crusher PSD 3).
The individual phases for both samples range from poorly to moderately liberated. In the mill product pre-crushed using the cone crusher (see Figure 13a), the pyrite is particularly poorly liberated with only 13.4 mass % better than 80% liberated, while pentlandite is the best liberated, with 41.4 mass % better than 80% liberated. The grouped BMS phase has 39.8 mass % better than 80% liberated. This contrasts with the liberation results of the mill product of HPGR-prepared feed (see Figure 13b), which tends to have better liberated sulfides. The sample has poorly liberated pyrite with only 19.8 mass % better than 80% liberated, while pentlandite is the best individually liberated sulfide with 54.1 mass % better than 80% liberated. The grouped BMS phase has 57.4 mass % better than 80% liberated.
Table 9 presents the liberation masses of grouped BMSs in the mill products with a P80 of 300 µm for various grain size classes. Equation (7) was used to calculate the mass fraction of the liberated BMS with a grain size of less than 50 µm. The grain size distributions (mass % < 50 µm and mass % > 50 µm) of liberated BMS were similar. The calculation yielded 93% (w/w) and 95% (w/w) of liberated BMS in the −50 µm grain size range for cone crusher PSD 3 and HPGR PSD 3, respectively. This was an expected outcome, given that the grain size of liberated BMS is a natural phenomenon and is not subject to the size reduction method.
Table 9 can also be viewed as an alternative presentation of the results shown in Figure 13, where it is shown that for the sample crushed using an HPGR, the resulting ball mill product has reduced BMS categorized in the middlings. High middlings (better than 50% liberated) constitutes 25.2 mass % and 17.8 mass % of the mill products for cone crusher PSD 3 and HPGR PSD 3, respectively. About 18.2% (w/w) of the 25.2 mass % and 0.8% (w/w) have grain sizes above 50 µm for cone crusher PSD 3 and HPGR PSD 3, respectively. Consequently, the liberation of BMS is better relative to that in the sample crushed using a cone crusher.
The high degree of liberation of the HPGR-crushed mill feed could be attributed to preferential liberation that is reported to be dominant in the HPGRs. However, it is acknowledged that enhanced liberation of the BMS for HPGR-crushed material may not necessary be associated with improvement in the liberation of the PGM [22]. It is thus recommended that future work should also incorporate flotation to assess metallurgical performance in terms of recoveries and grades of PGMs.
The difference in the mass of locked grouped BMS for the HPGR PSD 3 and cone crusher PSD 3 is not significant. The locked grouped BMS constitutes 15% and 18% (w/w) in HPGR PSD 3 and cone crusher PSD 3, respectively. Fine grinding is required to liberate the locked BMS as well as the BMS in the high and low middlings of both cone crusher PSD 3 and HPGR PSD 3.
M a s s   f r a c t i o n   o f   <   50   μ m = M a s s   %   b e t t e r   t h a n   80 %   l i b e r a t e d   i n   s i z e   c l a s s e s   l e s s   t h a n   50   μ m T o t a l   m a s s   b e t t e r   t h a n   80 %   l i b e r a t e d × 100
Figure 14 indicates the cumulative liberation curves of mill products with a P80 of 75 µm. From Figure 14a, it can be observed that the individual phases in the mill product of a cone crusher-prepared feed are moderately well liberated, with the 60.3 mass % of the grouped BMS phase being better than 80% liberated. This liberation is similar to that of the mill product of an HPGR-prepared feed with a P80 of 75 µm (see Figure 14b). This observation is evident from the grouped BMS phases with 59.9 mass % being better than 80% liberated. The similar degree of liberation for the BMS infers that, at a P80 of 75 µm, the HPGR does not offer an advantage in terms of liberation over cone crushing. Guo et al. [52] observed similar results in a similar study on vanadium titano-magnetite.
The authors hold the view that since ball milling of the HPGR PSD 3 to P80 of 75 µm did not improve the liberation of BMS in comparison to P80 of 300 µm, fine milling is required to liberate the locked BMS and those in the low and high middlings. The ball mill product with a P80 of 300 µm can be considered optimal for the comminution circuit incorporating HPGR. The stirred media mills, energy-efficient devices [53], should be utilized for further grinding of the ball mill product to a finer grind (e.g., P80 of 30 µm) in order to increase the degree of liberation of the BMS. Since the BMS liberation improved from 39.8 mass % to 60.3 mass % better than 80% liberated with the cone crusher prepared mill feed when the ball mill product size was reduced from P80 of 300 µm to a P80 of 75 µm respectively, there is merit in using the ball mill to grind the cone crusher prepared material to a finer grind (P80 of 75 µm) before feeding to stirred media mills for fine ultra-fine milling. It is recommended that future work on should also incorporate the flotation test work.
Table 10 presents the liberation masses of grouped BMS in mill products with a P80 of 75 µm for various grain size classes. Equation (7) yielded 96% (w/w) and 97% (w/w) of fractions of liberated grouped BMS in the −50 µm range for cone crusher PSD 3 and HPGR PSD 3, respectively. The mass % of the BMS still locked and those in the middlings are comparable for HPGR PSD 3 and cone crusher PSD 3.

4.7. Discussion

Comminution is aimed at liberating the valuable minerals from the gangue host to allow for efficient recovery of the metals or non-metals. Nevertheless, it is well known that comminution comes with huge energy consumption in the mining industry, mainly due to the inherent inefficiency characterizing the utilization of the available energy to attain the required degree of size reduction [8,9]. The application of energy-efficient technology such as HPGRs can be very attractive in this industry. The HPGR does not only offer higher energy efficiency [4] but could also contribute to an improved degree of liberation [12,46]. This study acknowledges the reported advantages of the HPGR technology over the cone crusher and compares the extent of micro-cracking in the products of the two crushers (tailored to have similar PSDs) and its effect on the ball mill energy requirements, milling kinetics and the degree of liberation. The results show that the HPGR products had more micro-cracks than the cone crusher products. Despite such a difference in the number of cracks, the ball milling kinetics were not dependent on the crushing method used to prepare the mill feed. It is recommended that future studies consider UG2 ores from other sites and other platinum ores (Platreef and Merensky), as well as ores for other commodities, to study the effect of the two crushers on the rate of breakage in a ball mill before generalizing the results obtained in the study.
In order to provide conclusions regarding the specific energy of the alternative comminution circuits incorporating the two crushers, the authors acknowledge that a comprehensive study needs to be conducted to holistically measure energy consumption in both crushing and milling stages. The conceptualized flowsheets in Figure 15 can be used to quantify the energy requirements for comminution circuits incorporating the two crushing technologies, assuming primary and secondary crushing stages are similar and that only the tertiary crushing stage has either the cone crusher or HPGR.
QEMSCAN was used to determine the degree of liberation of various mineral phases in the mill products. At a coarser grind (P80 of 300 µm), the sulfides in the mill products pre-crushed using the cone crusher have consistently poorer liberation than in the equivalent sample pre-crushed using an HPGR. However, at a finer grind (P80 of 75 µm), the sulfides in the mill products pre-crushed using the cone crusher and using an HPGR showed similar liberation. Based on the results, it can be concluded that, for mineral beneficiation circuits incorporating a coarse flotation stage, it may be beneficial to consider an HPGR over a cone crusher in the crushing stage preceding the primary milling stage to leverage the improved degree of liberation. A good example is the flowsheet of Mogalakwena North in South Africa, which incorporates HPGR technology for crushing before primary flotation [39].

5. Conclusions

The effect of the crushing method (HPGR versus cone crusher) on the extent of micro-cracks on the generated product was investigated. The effect of the extent of micro-cracks on the HPGR and cone crusher products on ball mill energy requirements, milling kinetics and the degree of liberation was also investigated. The investigation showed that HPGR products had more micro-cracks than the equivalent cone crusher products. The investigation also showed that the number of micro-cracks in HPGR products increased with the increase in the pressure exerted by rolls on the bed of particles. The investigation showed that the variation in the lengths of the micro-cracks was high, such that it was not meaningful to compare the average length of micro-cracks in the products generated by the two crushing technologies.
Milling energy requirements were evaluated using size-specific energy consumption indices calculated based on the three grind sizes of 300 µm, 150 µm and 75 µm. The effect of residual micro-cracks in HPGR and cone crusher products on milling size-specific energy requirements is inconclusive. The cumulative breakage rate constants (parameter k in Equation (1)) derived from data from the ball milling of cone crusher-prepared feed and HPGR-prepared feed were comparable.
Quantitative sulfide characterization showed that, at a coarser grind (P80 of 300 µm), the sulfides in the mill product of cone crusher-prepared feed have consistently poorer liberation than in the equivalent mill product of HPGR-prepared feed. On this basis, it seems likely that HPGRs are better able to liberate BMS phases at a coarser grind size. This information suggests that, when employing coarse particle flotation in concentrators processing the UG2 ore, it may be beneficial to have an HPGR to prepare ball mill feed.

Author Contributions

Conceptualization, T.N., S.N. and N.L.; methodology, T.N., S.N. and N.L.; data curation, T.N. and S.N.; formal analysis, T.N., S.N. and N.L.; writing—original draft preparation, T.N., S.N. and N.L.; writing—review and editing, T.N., S.N. and N.L.; project administration, T.N. All authors have read and agreed to the published version of the manuscript.

Funding

This research received no external funding.

Data Availability Statement

Data are contained within the article.

Acknowledgments

The financial support by Mintek is greatly appreciated. The authors would like to thank Mintek’s colleagues from the Mineralogy Division for their assistance with SEM and QEMSCAN analyses. The support from the Mineral Processing Division’s technical team at Mintek is appreciated.

Conflicts of Interest

The authors declare no conflict of interest.

Appendix A

Figure A1. BSE SEM micrographs for the product from an HPGR operated at 1.60 N/mm2 showing plagioclase (1, 5, 16, 19), pyroxene (2, 17) and chromite (6, 15, 18).
Figure A1. BSE SEM micrographs for the product from an HPGR operated at 1.60 N/mm2 showing plagioclase (1, 5, 16, 19), pyroxene (2, 17) and chromite (6, 15, 18).
Minerals 13 01309 g0a1
Figure A2. Micro-crack measurements in the product from an HPGR operated at 1.60 N/mm2.
Figure A2. Micro-crack measurements in the product from an HPGR operated at 1.60 N/mm2.
Minerals 13 01309 g0a2
Figure A3. BSE SEM micrographs for the product from an HPGR operated at 3.32 N/mm2 showing plagioclase (4), pyroxene (2, 3, 5) and chromite (1, 6).
Figure A3. BSE SEM micrographs for the product from an HPGR operated at 3.32 N/mm2 showing plagioclase (4), pyroxene (2, 3, 5) and chromite (1, 6).
Minerals 13 01309 g0a3
Figure A4. Micro-crack measurements in the product from an HPGR operated at 3.32 N/mm2.
Figure A4. Micro-crack measurements in the product from an HPGR operated at 3.32 N/mm2.
Minerals 13 01309 g0a4
Figure A5. BSE SEM micrographs for the cone crusher product which was equivalent to the product from an HPGR operated at 3.32 N/mm2 showing plagioclase (5), pyroxene (1, 3 and 7), chromite (2 and 6) and chalcopyrite (4).
Figure A5. BSE SEM micrographs for the cone crusher product which was equivalent to the product from an HPGR operated at 3.32 N/mm2 showing plagioclase (5), pyroxene (1, 3 and 7), chromite (2 and 6) and chalcopyrite (4).
Minerals 13 01309 g0a5
Figure A6. Micro-crack measurements in the cone crusher product which was equivalent to the product from an HPGR operated at 3.32 N/mm2.
Figure A6. Micro-crack measurements in the cone crusher product which was equivalent to the product from an HPGR operated at 3.32 N/mm2.
Minerals 13 01309 g0a6

Appendix B. Mill Product Size Distributions

Figure A7. Mill product size distributions for various specific input energies: (a) 5 kWh/t, (b) 10 kWh/t, (c) 20 kWh/t and (d) 40 kWh/t.
Figure A7. Mill product size distributions for various specific input energies: (a) 5 kWh/t, (b) 10 kWh/t, (c) 20 kWh/t and (d) 40 kWh/t.
Minerals 13 01309 g0a7

References

  1. Sadrai, S.; Meech, J.A.; Ghomshei, M.; Sassani, F.; Tromans, D. Influence of impact velocity on fragmentation and the energy efficiency of comminution. Int. J. Impact Eng. 2006, 33, 723–734. [Google Scholar] [CrossRef]
  2. Sadrai, S.; Meech, J.A.; Tromans, D.; Sassani, F. Energy efficient comminution under high velocity impact fragmentation. Miner. Eng. 2011, 24, 1053–1061. [Google Scholar] [CrossRef]
  3. Daniel, M.; Lane, G.; McLean, E. Efficiency, economics, energy and emissions-emerging criteria for comminution circuitdecision making. In Proceedings of the XXV International Mineral Processing Congress (IMPC) 2010 Proceedings, Brisbane, QLD, Australia, 6–10 September 2010; Volume 5, pp. 3523–3531. [Google Scholar]
  4. Wang, C.; Nadolski, S.; Mejia, O.; Drozcliak, J.; Klein, B. Energy and cost comparisons of hpgr-based circuits with the SABC circuit installed at the Huckleberry mine. In Proceedings of the 45th Annual Canadian Mineral Processors Operators Conference, Ottawa, ON, Canada, 22–24 January 2013; Volume 214, pp. 121–135. [Google Scholar]
  5. Ballantyne, G.R.; Powell, M.S. Benchmarking comminution energy consumption for the processing of copper and gold ores. Miner. Eng. 2014, 65, 109–114. [Google Scholar] [CrossRef]
  6. Jeswiet, J.; Szekeres, A. Energy Consumption in Mining Comminution. Procedia CIRP 2016, 48, 140–145. [Google Scholar] [CrossRef]
  7. Napier-Munn, T. Is progress in energy-efficient comminution doomed? Miner. Eng. 2015, 73, 1–6. [Google Scholar] [CrossRef]
  8. Radziszewski, P. Energy recovery potential in comminution processes. Miner. Eng. 2013, 46–47, 83–88. [Google Scholar] [CrossRef]
  9. Tromans, D. Mineral comminution: Energy efficiency considerations. Miner. Eng. 2008, 21, 613–620. [Google Scholar] [CrossRef]
  10. Schönert, K. The influence of particle bed configurations and confinements on particle breakage. Int. J. Miner. Process. 1996, 44–45, 1–16. [Google Scholar] [CrossRef]
  11. Schönert, K. A first survey of grinding with high-compression roller mills. Int. J. Miner. Process. 1988, 22, 401–412. [Google Scholar] [CrossRef]
  12. Van Der Meer, F.P.; Gruendken, A. Flowsheet considerations for optimal use of high pressure grinding rolls. Miner. Eng. 2010, 23, 663–669. [Google Scholar] [CrossRef]
  13. Van Der Meer, F.P.; Maphosa, W. High pressure grinding moving ahead in copper, iron, and gold processing. J. South. Afr. Inst. Min. Metall. 2012, 112, 637–647. [Google Scholar]
  14. Ozcan, O.; Benzer, H. Comparison of different breakage mechanisms in terms of product particle size distribution and mineral liberation. Miner. Eng. 2013, 49, 103–108. [Google Scholar] [CrossRef]
  15. Rosario, P.; Hall, R.; Grundy, M.; Klein, B. A preliminary investigation into the feasibility of a novel HPGR-based circuit for hard, weathered ores containing clayish material. Miner. Eng. 2011, 24, 290–302. [Google Scholar] [CrossRef]
  16. Saramak, D.; Wasilewski, S.; Saramak, A. Influence of copper ore comminution in HPGR on downstream minerallurgical processes. Arch. Metall. Mater. 2017, 62, 1689–1694. [Google Scholar] [CrossRef]
  17. Ghorbani, Y.; Becker, M.; Petersen, J.; Morar, S.H.; Mainza, A.; Franzidis, J.P. Use of X-ray computed tomography to investigate crack distribution and mineral dissemination in sphalerite ore particles. Miner. Eng. 2011, 24, 1249–1257. [Google Scholar] [CrossRef]
  18. Ghorbani, Y.; Mainza, A.N.; Petersen, J.; Becker, M.; Franzidis, J.P.; Kalala, J.T. Investigation of particles with high crack density produced by HPGR and its effect on the redistribution of the particle size fraction in heaps. Miner. Eng. 2013, 43–44, 44–51. [Google Scholar] [CrossRef]
  19. Tang, Y.; Yin, W.; Huang, S.; Xue, J.; Zuo, W. Enhancement of gold agitation leaching by HPGR comminution via microstructural modification of gold ore particles. Miner. Eng. 2020, 159, 106639. [Google Scholar] [CrossRef]
  20. Yin, W.; Tang, Y.; Ma, Y.; Zuo, W.; Yao, J. Comparison of sample properties and leaching characteristics of gold ore from jaw crusher and HPGR. Miner. Eng. 2017, 111, 140–147. [Google Scholar] [CrossRef]
  21. Solomon, N.; Becker, M.; Mainza, A.; Petersen, J.; Franzidis, J.P. Understanding the influence of HPGR on PGM flotation behavior using mineralogy. Miner. Eng. 2011, 24, 1370–1377. [Google Scholar] [CrossRef]
  22. Palm, N.A.; Shackleton, N.J.; Malysiak, V.; O’Connor, C.T. The effect of using different comminution procedures on the flotation of sphalerite. Miner. Eng. 2010, 23, 1053–1057. [Google Scholar] [CrossRef]
  23. von Michaelis, H. Real and potential metallurgical benefits of HPGR in hard rock ore processing. In Proceedings of the Randol Innovative Metallurgy Forum, Perth, WA, Australia, 21–24 August 2005; pp. 31–39. [Google Scholar]
  24. Barani, K.; Balochi, H. A comparative study on the effect of using conventional and high pressure grinding rolls crushing on the ball mill grinding kinetics of an iron ore. Physicochem. Probl. Miner. Process. 2016, 52, 920–931. [Google Scholar] [CrossRef]
  25. Genç, Ö.; Benzer, A.H. Effect of High Pressure Grinding Rolls (HPGR) pre-grinding and ball mill intermediate diaphragm grate design on grinding capacity of an industrial scale two-compartment cement ball mill classification circuit. Miner. Eng. 2016, 92, 47–56. [Google Scholar] [CrossRef]
  26. Guo, S.; Zhao, T.; Tang, H. Effects of HPGR products of mixed magnetite-hematite on subsequent grinding. Part. Sci. Technol. 2022, 41, 176–182. [Google Scholar] [CrossRef]
  27. Liu, L.; Tan, Q.; Liu, L.; Cao, J. Comparison of different comminution flowsheets in terms of minerals liberation and separation properties. Miner. Eng. 2018, 125, 26–33. [Google Scholar] [CrossRef]
  28. Paz, A.; Zhmarin, E.; Polske, H. Recent developments in coarse grinding using vertical stirred mills. In The 13th International Comminution Symposium (Comminution ’23). 2023. Available online: https://www.min-eng.com/comminution23/drafts/session8/paz.pdf (accessed on 12 August 2023).
  29. Gurnett, I.; Martin, S.; Stieper, G. Coarse grinding on an Isamill? In The 13th International Comminution Symposium (Comminution ’23). 2023. Available online: https://www.glencoretechnology.com/.rest/api/v1/documents/355a3b2b18d90a87f501070b6332e000/Full+Paper+-+Coarse+Grinding+on+an+IsaMill.pdf (accessed on 12 August 2023).
  30. Esnault, V.P.B.; Zhou, H.; Heitzmann, D. New population balance model for predicting particle size evolution in compression grinding. Miner. Eng. 2015, 73, 7–15. [Google Scholar] [CrossRef]
  31. Aydoğan, N.A.; Ergün, L.; Benzer, H. High pressure grinding rolls (HPGR) applications in the cement industry. Miner. Eng. 2006, 19, 130–139. [Google Scholar] [CrossRef]
  32. Abouzeid, A.Z.M.; Fuerstenau, D.W. Grinding of mineral mixtures in high-pressure grinding rolls. Int. J. Miner. Process. 2009, 93, 59–65. [Google Scholar] [CrossRef]
  33. Benzer, H.; Ergun, L.; Lynch, A.J.; Oner, M.; Gunlu, A.; Celik, I.B.; Aydogan, N. Modelling cement grinding circuits. Miner. Eng. 2001, 14, 1469–1482. [Google Scholar] [CrossRef]
  34. Aydoğan, N.A.; Benzer, H. Comparison of the overall circuit performance in the cement industry: High compression milling vs. ball milling technology. Miner. Eng. 2011, 24, 211–215. [Google Scholar] [CrossRef]
  35. Celik, I.B.; Oner, M.; Can, N.M. The influence of grinding technique on the liberation of clinker minerals and cement properties. Cem. Concr. Res. 2007, 37, 1334–1340. [Google Scholar] [CrossRef]
  36. Jankovic, A.; Valery, W.; Davis, E. Cement grinding optimisation. Miner. Eng. 2004, 17, 1075–1081. [Google Scholar] [CrossRef]
  37. Madlool, N.A.; Saidur, R.; Hossain, M.S.; Rahim, N.A. A critical review on energy use and savings in the cement industries. Renew. Sustain. Energy Rev. 2011, 15, 2042–2060. [Google Scholar] [CrossRef]
  38. von Michaelis, H. How energy efficient is HPGR? In World Gold Conference; The Southern African Institute of Mining and Metallurgy: Johannesburg, South Africa, 2009; pp. 7–18. Available online: http://www.saimm.co.za/Conferences/WorldGold2009/007-018_vonMichaelis.pdf (accessed on 20 June 2023).
  39. Rule, C.M.; Minnaar, D.M.; Sauermann, G.M. HPGR—Revolution in platinum? In Third International Conference; The Southern African Institute of Mining and Metallurgy: Johannesburg, South Africa, 2009; pp. 6–9. Available online: https://www.saimm.co.za/Conferences/Pt2008/021-28_Rule.pdf (accessed on 20 June 2023).
  40. Laplante, A.R.; Finch, J.A.; del Villar, R. Simplification of grinding equation for plant simulation. Trans. Instn Min. Met. (Sec. C Miner. Process. Extr. Met.) 1987, 68, C108–C112. [Google Scholar]
  41. Loveday, B.K. An analysis of comminution kinetics in terms of size distribution parameters. J. South Afr. Inst. Min. Metall. 1967, 68, 111–131. Available online: https://journals.co.za/doi/pdf/10.10520/AJA0038223X_4042 (accessed on 20 June 2023).
  42. Ersayin, S.; Sönmez, B.; Ergün, L.; Akasani, B.; Erkal, F. Simulation of the grinding circuit at Gümüsköy Silver Plant, Turkey. Trans. Instn Min. Met. (Sec. C Miner. Process. Extr. Met.) 1993, 102, C32–C38. [Google Scholar]
  43. Carelse, C.; Manuel, M.; Chetty, D.; Corfield, A. Au and Ag distribution in alloys produced from the smelting of printed circuit boards—An assessment using SEM-EDS, EPMA, and LA-ICP-MS analysis. J. South Afr. Inst. Min. Metall. 2020, 120, 203–210. [Google Scholar] [CrossRef]
  44. Napier-Munn, T.; Morrell, S.; Morrison, R.; Kojovic, T. Mineral Comminution Circuits: Their Operation and Optimisation; Julius Kruttschnitt Mineral Research Centre, University of Queensland: Indooroopilly, Autralia, 1996. [Google Scholar]
  45. Baum, W.; Ausburn, K. HPGR comminution for optimization of copper leaching. Min. Metall. Explor. 2011, 28, 77–81. [Google Scholar] [CrossRef]
  46. Guo, X.; Dai, S.; Wang, Q. Influence of different comminution flowsheets on the separation of vanadium titano-magnetite. Miner. Eng. 2020, 149, 106268. [Google Scholar] [CrossRef]
  47. Ballantyne, G.R.; Peukert, W.; Powell, M.S. Size specific energy (SSE)—Energy required to generate minus 75 micron material. Int. J. Miner. Process. 2015, 136, 2–6. [Google Scholar] [CrossRef]
  48. Mulenga, F.K.; Moys, M.H. Effects of slurry pool volume on milling efficiency. Powder Technol. 2014, 256, 428–435. [Google Scholar] [CrossRef]
  49. Levin, J. Indicators of grindability and grinding efficiency. J. South Afr. Inst. Min. Metall. 1992, 92, 283–290. [Google Scholar]
  50. Nghipulile, T.; Moongo, T.E.; Dzinomwa, G.; Nkwanyana, S.; Mapani, B.; Kurasha, J.T. Evaluation of the Relationship between the Milling Breakage Parameters and Mineralogical Data: A Case Study of Three Copper Ores from a Multi-Mineralised Deposit. Minerals 2022, 12, 1263. [Google Scholar] [CrossRef]
  51. Liu, L.; Tan, Q.; Liu, L.; Li, W.; Lv, L. Comparison of grinding characteristics in high-pressure grinding roller (HPGR) and cone crusher (CC). Physicochem. Probl. Miner. Process. 2017, 53, 1009–1022. [Google Scholar] [CrossRef]
  52. Guo, X.; Cui, S.; Dai, S.; Han, J.; Wang, C. Investigation of microcrack formation in vanadium-titanium magnetite using different crushing processes. J. South. Afr. Inst. Min. Metall. 2019, 119, 811–816. [Google Scholar] [CrossRef] [PubMed]
  53. Kumar, A.; Sahu, R.; Tripathy, S.K. Energy-Efficient Advanced Ultrafine Grinding of Particles Using Stirred Mills—A Review. Energies 2023, 16, 5277. [Google Scholar] [CrossRef]
Figure 1. (a) Crushing of the UG2 ore using the jaw crusher. (b) Blending using a mechanical blender.
Figure 1. (a) Crushing of the UG2 ore using the jaw crusher. (b) Blending using a mechanical blender.
Minerals 13 01309 g001
Figure 2. HPGR–ball milling test work program, where SE is the specific energy input.
Figure 2. HPGR–ball milling test work program, where SE is the specific energy input.
Minerals 13 01309 g002
Figure 3. PSDs of HPGR and cone crusher products (HPGR PSD 1 corresponds to operation at 1.60 N/mm2, HPGR PSD 2 corresponds to 2.35 N/mm2 and HPGR PSD 3 corresponds to 3.32 N/mm2).
Figure 3. PSDs of HPGR and cone crusher products (HPGR PSD 1 corresponds to operation at 1.60 N/mm2, HPGR PSD 2 corresponds to 2.35 N/mm2 and HPGR PSD 3 corresponds to 3.32 N/mm2).
Minerals 13 01309 g003
Figure 4. Cone crusher–ball milling test work program.
Figure 4. Cone crusher–ball milling test work program.
Minerals 13 01309 g004
Figure 5. (a) BSE SEM micrographs of the HPGR/cone crusher feed showing locked chromite and (b) BSE SEM micrographs of the HPGR/cone crusher feed showing liberated chromite. Identified phases include plagioclase (1 and 5), chromite (2 and 6), pyroxene (3 and 4), pentlandite (7) and chalcopyrite (8). The micrographs are of the same sample but are of different magnification.
Figure 5. (a) BSE SEM micrographs of the HPGR/cone crusher feed showing locked chromite and (b) BSE SEM micrographs of the HPGR/cone crusher feed showing liberated chromite. Identified phases include plagioclase (1 and 5), chromite (2 and 6), pyroxene (3 and 4), pentlandite (7) and chalcopyrite (8). The micrographs are of the same sample but are of different magnification.
Minerals 13 01309 g005
Figure 6. Micro-crack measurements in the HPGR/cone crusher feed. Micrographs were captured for various grains in the same sample and micro-cracks in all of them were consolidated.
Figure 6. Micro-crack measurements in the HPGR/cone crusher feed. Micrographs were captured for various grains in the same sample and micro-cracks in all of them were consolidated.
Minerals 13 01309 g006
Figure 7. (a) Effect of crushing method on the extent of micro-cracks. (b) Effect of HPGR operating pressure on the extent of micro-cracks.
Figure 7. (a) Effect of crushing method on the extent of micro-cracks. (b) Effect of HPGR operating pressure on the extent of micro-cracks.
Minerals 13 01309 g007
Figure 8. Effect of HPGR operating pressure on ball milling size-specific energy consumption: (a) kWh/t new −300 µm, (b) kWh/t new −150 µm and (c) kWh/t new −75 µm.
Figure 8. Effect of HPGR operating pressure on ball milling size-specific energy consumption: (a) kWh/t new −300 µm, (b) kWh/t new −150 µm and (c) kWh/t new −75 µm.
Minerals 13 01309 g008
Figure 9. Effect of cone crusher product PSD on ball milling size-specific energy consumption: (a) kWh/t new −300 µm, (b) kWh/t new −150 µm and (c) kWh/t new −75 µm.
Figure 9. Effect of cone crusher product PSD on ball milling size-specific energy consumption: (a) kWh/t new −300 µm, (b) kWh/t new −150 µm and (c) kWh/t new −75 µm.
Minerals 13 01309 g009
Figure 10. Comparison of size specific energy consumption for milling HPGR-prepared feed and cone crusher-prepared feed: (a) kWh/t new −300 µm, (b) kWh/t new −150 µm and (c) kWh/t new −75 µm.
Figure 10. Comparison of size specific energy consumption for milling HPGR-prepared feed and cone crusher-prepared feed: (a) kWh/t new −300 µm, (b) kWh/t new −150 µm and (c) kWh/t new −75 µm.
Minerals 13 01309 g010
Figure 11. Experimental versus model size distributions fitted to Equation (3): (a) HPGR product PSD 3, (b) cone crusher product PSD 3.
Figure 11. Experimental versus model size distributions fitted to Equation (3): (a) HPGR product PSD 3, (b) cone crusher product PSD 3.
Minerals 13 01309 g011
Figure 12. Breakage rate constant k versus sieve size for various mill feed size distributions.
Figure 12. Breakage rate constant k versus sieve size for various mill feed size distributions.
Minerals 13 01309 g012
Figure 13. Cumulative free surface liberation of the base metal sulfides (BMSs) of mill products with a P80 of 300 µm: (a) ball mill product of cone crusher PSD 3 and (b) ball mill product of HPGR PSD 3.
Figure 13. Cumulative free surface liberation of the base metal sulfides (BMSs) of mill products with a P80 of 300 µm: (a) ball mill product of cone crusher PSD 3 and (b) ball mill product of HPGR PSD 3.
Minerals 13 01309 g013
Figure 14. Cumulative free surface liberation of the base metal sulfides (BMSs) of mill products with a P80 of 75 µm: (a) ball mill product of cone crusher PSD 3 and (b) ball mill product of HPGR PSD 3.
Figure 14. Cumulative free surface liberation of the base metal sulfides (BMSs) of mill products with a P80 of 75 µm: (a) ball mill product of cone crusher PSD 3 and (b) ball mill product of HPGR PSD 3.
Minerals 13 01309 g014
Figure 15. (a) Cone crusher–ball mill flowsheet and (b) HPGR–ball mill flowsheet.
Figure 15. (a) Cone crusher–ball mill flowsheet and (b) HPGR–ball mill flowsheet.
Minerals 13 01309 g015
Table 1. Pilot-scale HPGR specifications and test conditions.
Table 1. Pilot-scale HPGR specifications and test conditions.
ParameterUnitValue
Roller diametermm500
Roller widthmm300
No load shaft powerkW0.60
Specific pressing forcesN/mm21.60, 2.35 and 3.32
Roll speedrpm7
Feed system-Gravity
Moisture content%1
Feed top sizemm19
Sample mass per single pass runkg100
Table 2. Design and operating parameters of the cone crusher (CSS stands for closed side setting).
Table 2. Design and operating parameters of the cone crusher (CSS stands for closed side setting).
ParameterUnitValue
Manufacturer, model-WESCONE, W300
Motor powerkW9.2
Minimum design CSSmm2
Operating CSSmm12
Table 3. Mill specifications and operating conditions.
Table 3. Mill specifications and operating conditions.
Parameter/PropertyUnitValue
Internal diameterm0.265
Effective lengthm0.305
Number of rectangular lifters-8
Mill speedrpm62
Mill speed as a fraction of critical speed%75
Cumulative specific input energy (SE)kWh/t5, 10, 20 and 40
Ore masskg3.9
Ore SG-3.7
Solids concentration in slurry% solids (v/v)45
Steel ball masskg27.71
Table 4. Steel balls size distribution.
Table 4. Steel balls size distribution.
Ball Diameter (mm)Mass (kg)Cumulative Passing (%)
−65 + 5514.3548.21
−55 + 457.9019.70
−45 + 353.756.17
−35 + 251.71
Total27.71
Table 5. Ore breakage characterization indices.
Table 5. Ore breakage characterization indices.
ParameterUnitValue
SG-3.72
Crushability work index (CWi)kWh/t10.4
Bond ball mill work index (BBWI)kWh/t18.3
Bond abrasion index (Ai)-0.12
SMC Test®—A × b-50.7
SMC Test®—ta-0.45
Table 6. Chemical composition of the UG2 ore, where the remainder of the composition is mainly oxygen and sulfur, which were not determined.
Table 6. Chemical composition of the UG2 ore, where the remainder of the composition is mainly oxygen and sulfur, which were not determined.
ElementAlCaCoCrCuFeMgMnNiPbSiTiVZnAuPdPtAsOthers
Concentration6.052.27<0.059.6<0.0511.29.670.150.095<0.0516.30.3<0.05<0.050.030.911.28<0.01~44.37
Unit%ppm%
Table 7. Characteristics of micro-cracks.
Table 7. Characteristics of micro-cracks.
SamplePhaseDimensions of Identified Cracks
Minimum Length (µm)Maximum Length (µm)KurtosisSkewness
HPGR PSD 1Chromite36.7497−1.060.60
Silicates8935044.121.89
HPGR PSD 3Chromite14.59371.194.062.03
Silicates15.495730.0815.893.70
Cone crusher PSD 3Chromite39200−1.11−0.88
Silicates70.3724432.091.82
Table 8. Cumulative rate breakage model fitting parameters.
Table 8. Cumulative rate breakage model fitting parameters.
Feed PSDEquipmentModel Constants
C (×1000) n
PSD 2HPGR0.1041.386
Cone crusher0.1161.389
PSD 3HPGR0.0891.421
Cone crusher0.1131.378
Table 9. Liberation data and grain size distribution for BMS for mill products with a P80 value of 300 µm.
Table 9. Liberation data and grain size distribution for BMS for mill products with a P80 value of 300 µm.
Grain Size Class (µm)Cone Crusher PSD 3 Mill Product with P80 = 300 µmHPGR PSD 3 Mill Product with P80 = 300 µm
Locked (≥0%)Low Middlings (≥20%)High Middlings (≥50%)Liberated (≥80%)Locked (≥0%)Low Middlings (≥20%)High Middlings (≥50%)Liberated (≥80%)
0–102.91.31.73.52.51.72.57.2
10–208.14.49.013.05.93.610.323.5
20–302.53.25.713.71.21.42.715.1
30–404.23.02.94.10.70.71.56.4
40–500.00.11.32.34.30.20.72.1
>500.25.14.63.30.42.20.13.0
Table 10. Liberation data and grain size distribution for BMS from mill products with a P80 of 75 µm.
Table 10. Liberation data and grain size distribution for BMS from mill products with a P80 of 75 µm.
Grain Size Class (µm)Cone Crusher PSD 3 Mill Product with P80 = 75 µmHPGR PSD 3 Mill Product with P80 = 75 µm
Locked (≥0%)Low Mid (≥20%)High Mid (≥50%)Liberated (≥80%)Locked (≥0%)Low Mid (≥20%)High Mid (≥50%)Liberated (≥80%)
0–101.81.85.712.73.02.17.017.0
10–202.74.414.330.73.24.814.826.0
20–300.81.53.011.00.90.61.37.9
30–400.30.32.03.10.01.20.65.0
40–500.10.10.30.50.00.00.62.1
>500.00.00.62.20.00.30.01.7
Disclaimer/Publisher’s Note: The statements, opinions and data contained in all publications are solely those of the individual author(s) and contributor(s) and not of MDPI and/or the editor(s). MDPI and/or the editor(s) disclaim responsibility for any injury to people or property resulting from any ideas, methods, instructions or products referred to in the content.

Share and Cite

MDPI and ACS Style

Nghipulile, T.; Nkwanyana, S.; Lameck, N. The Effect of HPGR and Conventional Crushing on the Extent of Micro-Cracks, Milling Energy Requirements and the Degree of Liberation: A Case Study of UG2 Platinum Ore. Minerals 2023, 13, 1309. https://doi.org/10.3390/min13101309

AMA Style

Nghipulile T, Nkwanyana S, Lameck N. The Effect of HPGR and Conventional Crushing on the Extent of Micro-Cracks, Milling Energy Requirements and the Degree of Liberation: A Case Study of UG2 Platinum Ore. Minerals. 2023; 13(10):1309. https://doi.org/10.3390/min13101309

Chicago/Turabian Style

Nghipulile, Titus, Sandile Nkwanyana, and Niyoshaka Lameck. 2023. "The Effect of HPGR and Conventional Crushing on the Extent of Micro-Cracks, Milling Energy Requirements and the Degree of Liberation: A Case Study of UG2 Platinum Ore" Minerals 13, no. 10: 1309. https://doi.org/10.3390/min13101309

APA Style

Nghipulile, T., Nkwanyana, S., & Lameck, N. (2023). The Effect of HPGR and Conventional Crushing on the Extent of Micro-Cracks, Milling Energy Requirements and the Degree of Liberation: A Case Study of UG2 Platinum Ore. Minerals, 13(10), 1309. https://doi.org/10.3390/min13101309

Note that from the first issue of 2016, this journal uses article numbers instead of page numbers. See further details here.

Article Metrics

Back to TopTop