Abstract
With the depletion of easily mined and separated wolframite, scheelite has become the primary source of tungsten. Flotation is the primary technique used to enrich scheelite. However, flotation separation of scheelite from calcium-bearing gangue minerals, such as calcite and fluorite, has always been challenging due to their similar surface properties. To date, various flotation reagents and related mechanisms have been proposed for scheelite, which have attracted considerable attention. This paper reviews the scheelite flotation reagents, including collectors and regulators, and introduces recent research progress on the mechanisms for the interactions between the flotation reagents and mineral surfaces. The advantages and limitations of different flotation reagents are discussed. Inorganic or organic inhibitors in combination with fatty acids, chelate collectors, and cationic collectors are commonly used to separate scheelite from calcium-bearing gangue. Flotation differences between the scheelite and calcium-bearing minerals can be explained by variations in the electrical charges and steric hindrance at the mineral surfaces. In the future, fatty acid collectors will be still the main collectors used in scheelite flotation due to their low cost and strong collecting ability, and new collectors with high selectivity (such as metal complex collectors, new chelate collectors, new environmental collectors) will become a new research hotspot in the future due to their good selectivity.
1. Introduction
Tungsten is a critical metal resource used extensively in many industries, such as military, electronics, mining, and machinery [1,2]. The tungsten consumed in the U.S. for various end uses is shown graphically in Figure 1 [3]. By the end of 2022, the world’s tungsten ore reserves were approximately 3.7 million tons (Figure 2). Of these, China holds the largest tungsten reserves with 1.8 million tons, or approximately 47.8% of the total. Russia has 400,000 tons, which constitutes 10.6% of the total; Vietnam has 100,000 tons, or 2.7%; Spain has 56,000 tons, or 1.5%; Austria has 10,000 tons, or 0.3%; and Portugal has only 3100 tons, or 0.1%. Due to the increasing demand, the United States, the European Union, and several other countries have declared tungsten to be one of the most important raw materials [4,5,6,7].
Figure 1.
U.S. tungsten consumption for various end uses in 2018 [3].
To date, over 20 types of tungsten and tungsten-bearing minerals have been discovered. However, only wolframite ((Fe, Mn)WO4) and scheelite (CaWO4) are considered to have economic value for exploitation. Wolframite accounts for approximately 30% of the total global tungsten resources, while scheelite accounts for approximately 70%. Despite having lower reserves than scheelite, wolframite has always been the primary source of tungsten resources due to its high ore gradation and easy mining and processing [8,9]. With expansion of the economy, the easily accessible wolframite deposits are gradually being depleted, making efficient utilization of scheelite resources crucial [10,11].
Figure 2.
Global distribution of tungsten resources (a) and tungsten production (b) in 2022 [12].
Figure 2.
Global distribution of tungsten resources (a) and tungsten production (b) in 2022 [12].

Since the 1970s, flotation has been the dominant production process used for scheelite enrichment [13]. With the industrial demand for tungsten continuing to rise while wolframite resources are depleted, research on scheelite flotation reagents has become an important aspect of tungsten resource development. Scheelite deposits typically contain coexisting minerals such as calcite, dolomite, and fluorite. As these minerals share similar surface properties with scheelite, and they pose significant challenges to effective flotation separation of the scheelite from its gangue minerals [9,14,15,16]. This paper reviews recent research progress on scheelite flotation collectors and regulators (including pH regulators, inhibitors, and metallic salts). A systemic review on the study of scheelite flotation reagents and mechanisms of action for calcium-containing minerals and flotation reagents will supply a guidance in separating calcium-containing minerals and realizing the efficient recovery and utilization of scheelite.
2. Difficulties and Opportunities for Scheelite Flotation
The main difficulty in the flotation of scheelite (CaWO4) lies in separating the calcium-bearing gangue minerals, which are mainly composed of calcite (CaCO3) and fluorite (CaF2). As shown in Figure 3, scheelite adopts a tetragonal crystal system with cell parameters a = b = 5.243 Å, c = 11.376 Å, α = β = γ = 90°, and space group I41/a. Calcite is a tripartite crystal system with a = b = 4.988 Å, c = 17.061 Å, α = β = 90°, γ = 120°, and space group R3c. Fluorite is a cubic crystal system with a = b = c = 5.46 Å, α = β = γ = 90°, and space group Fm3m [17].
Figure 3.
Crystal structures of scheelite, calcite, and fluorite.
There are two main challenges in separating scheelite from calcium-bearing veinlets: their similar surface properties and dissolution transformations. Both minerals have Ca sites on their surfaces that act as collector and inhibitor sites during flotation. Furthermore, the high solubilities of scheelite, calcite, fluorite, and other calcium-bearing minerals lead to reactions and dissolution transformations in solution [18]. This further increases the similarities of the mineral surfaces [11,19]. Figure 4 shows the interconversion relationships among calcite, fluorite, and scheelite, which are based on the following reactions [18]:
Figure 4.
Transformation network for scheelite, calcite, and fluorite.
Additionally, Ca2+ from calcium-bearing minerals reacts with water to form CaOH+ and Ca(OH)2, which alters the pH and further increases the similarities of the mineral surfaces. Therefore, one of the main challenges in flotation separations of scheelite from calcium-bearing veinlets is the similarities of their surface properties. The differences among calcium-bearing minerals lie primarily in the calcium densities, steric hindrance, and electrical properties of the mineral surfaces. Selective separation of scheelite and calcium-bearing veinstones can be achieved by using inhibitors and activators to increase the surface differences of the calcium-bearing minerals and collectors to change the surface affinity differences of the minerals.
The Web of Science database was used to find studies related to scheelite flotation and published in 2014–2023, and VOSviewer software was utilized for visualization and analysis. As seen in Figure 5, the most common collectors employed in studies involving scheelite flotation were oleic acid and benzohydroxamic acid (BHA), while water glass is the most frequently mentioned inhibitor. The activator utilized most often is Pb2+, particularly in combination with BHA.
Figure 5.
Keywords used in research on scheelite flotation in the Web of Science from 2014 to 2023 (Different clusters are represented by different colors).
3. Collector of Scheelite
The collectors used for scheelite flotation include anionic agents, cationic agents, amphoteric agents, and nonpolar trapping agents. Anionic collecting agents, specifically carboxylic acids and chelating anionic collecting agents, are most commonly utilized in scheelite flotation. Cationic and amphoteric collectors are predominantly in the experimental stages, while nonpolar collectors are typically used as auxiliary agents to enhance the hydrophobicities [20]. Given the complex mineral compositions, achieving a good flotation index with a single collector can be challenging. Therefore, different collectors are often combined for improved results in production.
3.1. Anionic Collectors
The anionic collectors used in scheelite flotation include carboxylic acids, sulfonic acids, phosphoric acids, and chelating agents, and the carboxylic acid collectors are most commonly employed [11,21]. The typical molecular structures of these carboxylic acid collectors are shown in Figure 6.
Figure 6.
Structural formulas of oleate ion (OL−), sodium dodecyl sulfate (SDS), sodium dodecyl benzenesulfonate (SDBS), isopropyl octylphosphonic acid (LP-8), and benzohydroxamic acid (BHA).
3.1.1. Carboxylic Acids
Carboxylic acid collectors, also traditionally referred to as fatty acids, contain a carboxyl group and a fatty chain [16]. Common collectors of this type include sodium oleate, 731, 733, ZL, and TA. Scheelite flotation is typically conducted under alkaline conditions, so the fatty acids are deprotonated to form anions. On the mineral surfaces, the fatty acid ions and dissolved Ca2+ combine to form fatty acid calcium precipitates, which enhances the hydrophobicity of the mineral surface and allows the target minerals to float [22,23,24]. However, due to their strong collectivities, low selectivities, poor flotation abilities at low temperatures, and poor compatibilities with hard water, fatty acid-based collectors often require modification or use in combination with other reagents [25].
Over the past century, oleic acid has been the most common carboxylic acid used in froth flotation worldwide [16], mainly as sodium oleate. Currently, there are two main views on the mechanism of action between the sodium oleate and mineral surfaces: coordination between oleate ions and metal sites on the mineral surface or adsorption of the oleate ions onto the mineral surfaces after forming dimeric calcium oleate polymers via hydrogen bonding with the metal ions.
Carboxylic collectors such as sodium oleate can use three coordination modes with the calcium sites on the mineral surface, which include monodentate, bidentate, and bridging coordination, and the adsorption mechanism exhibits anisotropy [26,27]. De Leeuw et al. investigated the adsorption of formate at the calcium sites on mineral surfaces using atomic simulations and found that formate ions exhibited monodentate coordination at the 001, 101, and 103 crystal planes, and the adsorption strengths for the planes decreased in the order 103 > 101 > 001 [28]. Hu et al. proposed that the optimal adsorption mode for sodium oleate involved bridging of two Ca2+ ions on the scheelite surface through the two O atoms of the carboxyl group, with stronger adsorption on the 112 crystal plane than on the 001 plane. The adsorption mode is illustrated in Figure 7 [29].
Figure 7.
Sodium oleate bridges on the (112) surface of scheelite [29].
At low collector concentrations, calcium oleate is chemically adsorbed onto the mineral surface to form a monolayer and gradually generates multilayer adsorption with increasing ion concentration and collector concentration [30]. Sun et al. studied the flotation behavior of calcium oleate colloids on calcium-containing minerals and found that the calcium oleate had a stronger affinity for scheelite and fluorite than sodium oleate but a weaker affinity for calcite [24,31]. Wang et al. investigated the flotation and adsorption behaviors of oleate and calcium dioleate on molybdenite and calcite surfaces and suggested that calcium dioleate was more likely to be adsorbed on the mineral surface through hydrogen bonding due to its electrical neutrality, whereas the oleate ions had difficulty approaching the negatively charged mineral surface [32]. pH is an important factor in the sodium oleate flotation process. When the pH is above 12, the flotation performance may decrease due to competition between hydroxide ions and oleate ions for the calcium sites on the mineral surface [13]. Saturation of fatty acid collectors also affects the flotation selectivity of scheelite. Foucaud et al. compared the flotation results of scheelite and calcite using different fatty acid collectors and found that commercial fatty acid mixtures tall oil fatty acids (TOFA) containing higher amounts of saturated fatty acids exhibited better flotation selectivity between scheelite and fluorite than traditional unsaturated fatty acids (RBD15) [33]. Filippov et al. conducted research on refractory scheelite containing a large amount of fluorite, apatite, and vesuvianite, finding that the less hindered saturated fatty acids collectors reduced surface coverage due to their saturation [34]. Introducing the less hindered saturated fatty acids collectors into fatty acid collectors increased the selectivity between scheelite and fluorite. Samatova et al. compared the flotation behavior of scheelite using FX-6 (a modified oleic acid collector) with sodium oleate as the collector. The study showed that FX-6 had better flotation performance than sodium oleate [35].
Oxidized paraffin soap is a commonly used collector in scheelite flotation [36,37,38,39], and it features better flotation performance than sodium oleate but with limited improvement in flotation selectivity [40]. 731 and 733 are two representative oxidized paraffin soap collectors, with 733 having a higher saponification degree than 731, which makes it more expensive but gives it better selectivity [41]. Wan et al. used sodium carbonate as an adjuster, water glass as an inhibitor, and 731 as a collector to obtain scheelite concentrates with a WO3 grade of 63.93% and a recovery rate of 89.60% through a “one roughing, one sweeping, and three cleaning” process for copper–sulfur mixed flotation tailings [42]. Liu et al. compared the selectivities of different inhibitors, including sodium hexametaphosphate, tannin, starch, and acidified water glass, for scheelite and calcite flotation separations when using 731 as the collector. The results showed that acidified water glass achieved selective separation of the two calcium-containing minerals. In using this method for actual ores with a WO3 grade of 0.57%, the scheelite recovery rate exceeded 80% after one roughing, with a WO3 grade of approximately 20% [40]. To improve the selectivity of the oxidized paraffin soap, Gao et al. combined 733 with a sodium fatty acid methyl ester sulfonate (MES). With a 733/MES mass ratio of 4:1, the flotation recovery rate was 66.04%, and the WO3 grade was 65.76% for scheelite with a WO3 content of 0.57%. This combination has the advantages of resistance to hard water and reduced dosage of the reagents [36]. Abdalla et al. studied a new type of soap collector synthesized from natural plant oil that used mustard seed oil as the raw material to synthesize mustard soap collector. The newly synthesized mustard soap contained five types of fatty acids and phenolic compounds, and mustard soap as a collector showed good flotation performance at low and high temperatures [43].
In mineral flotation, the use of a fatty acid collector often presents challenges such as low solubility and poor selectivity [44]. Fatty acid collectors usually need to be saponified before use due to their poor solubility. Therefore, modifying these collectors via as sulfonation or addition of nitrogen atoms are common approaches to improving their effectiveness in scheelite flotation [44,45,46]. ZL and TA are modified fatty acid collectors. The ZL-type collector is a mixture of long-chain hydroxyacid soaps that exhibits effective foaming, low toxicity, a nonirritating odor, stable performance, easy availability of raw materials, and a moderate price. Wu et al. carried out flotation experiments on a scheelite ore from Jiangxi Province with a grade of 0.432%. Through a closed-circuit flotation process involving “one desulfurization, one roughing, five cleaning, and two scavenging”, they obtained a scheelite concentrate with a WO3 grade of 66.80% and a recovery rate of 88.46%, which constituted a 4.26% improvement in the recovery rate compared to that of the 731 collector [47]. Zhou et al. used a flow process involving initial floatation of sulfide minerals, then floatation of the scheelite with heating, and then selecting the rough and fine concentrates. In continuous experiments throughout the entire process, they obtained scheelite concentrates with a WO3 grade of 65.41% and a recovery rate of 81.12%. Compared with 731, the scheelite concentrate recovery rate was increased by 8.41%, while the extent of reagent consumption was decreased by one-third [48].
Fatty acid collectors are widely used in scheelite flotation due to their low costs and strong collecting abilities. However, the selectivities of fatty acid collectors are poor, which increases the consumption of inhibitors and makes it difficult to achieve good flotation indicators for low-grade scheelite ores. The future direction for application of fatty acid reagents in scheelite flotation lies in modifications of the fatty acid collectors or use in combination with high-selectivity agents.
3.1.2. Chelating Collectors
Chelating collectors have achieved good results in scheelite flotation. These collectors can form a stable chelates with the metal ions on the mineral surface. Common chelating collectors include hydroxamic acid or iso-hydroxamic acid. The GY series (hydroxamic acid and fatty acid) and CF series (nitrosophenylhydroxylamine salt) are commonly used in industry [11,49]. The polar group of hydroxamic acid is -CONHOH. Under alkaline conditions, the two oxygen atoms can undergo strong chelation with a metal ion on the mineral surface and form a stable five-membered ring [49,50,51] (Figure 8). At the same time, its nonpolar part may adsorb on the original absorbent monolayer via hydrogen bonding [51].
Figure 8.
Benzohydroxamic acid (BHA) chelation of Ca to form a five-membered ring.
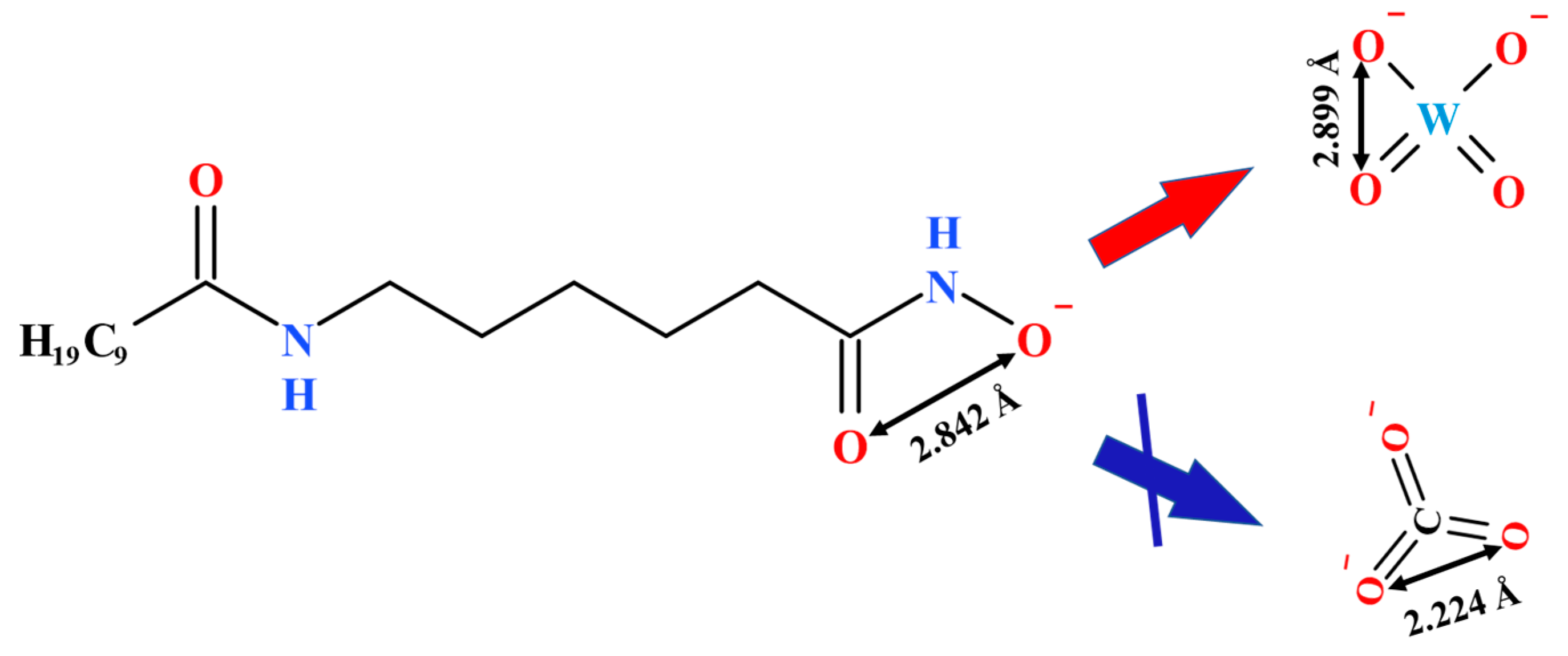
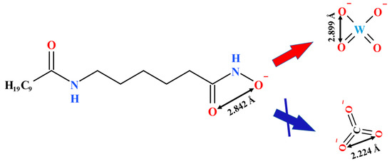
Zhao et al. conducted DFT analyses of cyclohexyl hydroxamic acid (CHA) and benzohydroxamic acid (BHA), which revealed that CHA has a higher HOMO energy, larger dipole moment, and more Mullikan or natural charges than BHA. Therefore, CHA exhibits a stronger collecting ability than BHA, which was confirmed by scheelite flotation, zeta potential, and adsorption experiments [50]. Deng et al. suggested that in addition to chelating Ca on the surface of scheelite, the hydroxamic group may also chelate with W to form a stable five-membered ring. The distance (2.842 Å) between the two oxygen atoms in hydroxamic acid matches better with the distance (2.899 Å) of the two oxygen atoms in WO42− on the surface of scheelite than the distance (2.224 Å) between the two oxygen atoms in CO32− on calcite, as shown in Figure 9 [52]. Oxide minerals and reagents with similar O-O distances are easily capable of forming stable -O-metal and =O-metal bonds [14], which may explain why hydroxamic acid selectively separates scheelite from calcite. Gao et al. used this distance matching mechanism to explain the different adsorption strengths of octyl hydroxamic acid HXMA-8 on the surfaces of scheelite and calcite [53].
Figure 9.
Distance-matching mechanism for hydroxamic acid and calcium-containing minerals (adapted with permission from [52]; copyright 2016 Elsevier).
Chelating collectors exhibit good selectivities, but their collecting capacities are not as good as those of fatty acid collectors [54]. Xiang et al. synthesized a new chelating collector, cinnamyl hydroxamic acid (CIHA), to improve on the collecting performance of BHA [15]. The structure of CIHA is shown in Figure 10. The authors conducted comparative experiments with BHA, and when Pb2+ was used as an activator, the flotation recovery rate of CIHA reached 92.10%, while that of BHA was only 86.5%.
Figure 10.
Schematic diagram of the CIHA structure.
There are also studies in which chelating collectors were mixed with fatty acid collectors for flotation [13]. Yin et al. investigated the addition sequence of BHA and sodium oleate and its effect on scheelite flotation, finding that adding BHA first followed by sodium oleate achieved better flotation performance. The authors believe that the added reagent reacted with the highly active sites on the mineral surface. If sodium oleate was added first, the highly active sites were occupied by sodium oleate, reducing the number of BHA adsorption sites. However, if BHA was added first, although the highly active sites were occupied by BHA, the influence of BHA on sodium oleate was relatively small due to its strong adsorption capability [14].
The CF flotation method uses a small amount of water glass as an adjusting agent, Pb(NO3)2 as an activator, and CF reagents as collectors [55]. The main component of the CF collector is N-nitroso-phenylhydroxylamine ammonium salt, also known as cupferron. Xiao et al. conducted comparative tungsten flotation experiments with Shizhuyuan polymetallic ore using caustic soda, lime, and CF methods. The flotation indices of the caustic soda and lime methods were similar, but the CF method exhibited a higher concentrate grade and recovery rate, which was 10.97% higher than the caustic soda recovery rate. In a subsequent semi-industrial experiment, the concentrate grade was 8.89% higher than that of the caustic soda method, the yield decreased by nearly 2/3, and the recovery rate increased by 10.60%. The CF flotation method has the advantages of simple processing, easy operations, and low cost and can be carried out at the natural pH of the pulp, with the tailings water meeting the discharge standard without treatment [55].
The GY flotation method uses a mixture of water glass and modified water glass inhibitors, Pb(NO3)2 as an activator, and GY reagents as the chelating collectors. In industrial experiments, GY flotation was used to treat raw ore with a WO3 grade of 0.47%, and the tungsten concentrate had WO3 grades of up to 70.07% with a recovery rate of 81.62% [56]. This process has the advantages of a high rough concentrate grade, reduced heating of the selected minerals, and a simplified production process while reducing the production cost [11]. The GY series collector is often used in combination with fatty acid reagents. Han et al. combined GYB with ZL to float raw ore with a WO3 grade of 0.81%, and they obtained a rough concentrate with a WO3 grade of 30.07% and a recovery rate of 88.79%. The experimental results showed that GYB and ZL had positive synergistic effects [57]. Chen et al. studied the Xikaca skarn-type scheelite ore from Gejiu, Yunnan Province. They found that the total recovery rate of tungsten was low with the GY-10 collector flotation system. To address this problem, they added certain proportions of sodium oleate and hydroxylamine hydrochloride and named the new collector KF-1. Compared with GY-10, KF-1 increased the total recovery rate of tungsten by 14% [58].
Chelating collectors are currently the focus of considerable research due to their high selectivities. The current research is mainly focused on improving their collection properties for efficient recovery of scheelite by changing the hydrophobic chains or introducing new active groups. However, the disadvantage of chelating collectors is that they have relatively high production costs and may have environmental impacts.
3.1.3. Sulfonic Acid Collectors
Sulfonic acid collectors can be divided into sulfates and sulfonates, with common examples being sodium dodecyl sulfate (SDS) and sodium dodecyl benzene sulfonate (SDBS). The collection mechanism of the sulfonic acid collectors is similar to that of the fatty acid collectors. They interact with the calcium ions on the mineral surface to form insoluble precipitates adsorbed on the mineral surface, which enhances its hydrophobicity [11,59]. Compared to fatty acid collectors, the sulfonic acid collectors have higher water solubilities, strong resistance to hard water, and stronger low-temperature flotation performance but slightly weaker collection abilities [16,59]. There are few studies on sulfonic acid collectors used in scheelite flotation, but they have been extensively studied in fluorite flotation and showed good flotation performance [60,61,62,63]. Sulfonic acid collectors are often used in combination with fatty acid collectors, or sulfonic acid groups are introduced into carboxylic acid collectors. For example, as mentioned above, Gao et al. mixed 733 with sodium fatty acid methyl sulfonate (MES) as collectors for the flotation separation of scheelite in fluorite, which showed good selectivity [36]. Wang combined sodium oleate and sodium dodecylbenzenesulfonate [64]. Zhang introduced a sulfonic acid group into sodium oleate to synthesize the collector SA-60. With an original ore grade of 0.126%, the recovery rate of the concentrate was 92.76%, and the WO3 grade was 0.7% [65]. The American Cyanamid Company has included various disodium succinate sulfonates as wetting agents into the company’s flotation agent catalog the trade name Aerosol, which are mainly used as a vein dispersant in non-sulfide ore flotation, or as a dispersant and wetting agent for sludge ores in reelection, as well as to improve the foaming characteristics of fatty-acid-based collectors [66]. In order to improve the selectivity of fatty acid for calcium-containing minerals, the method of dispersing and flocculation is often adopted. Since the flocculated scheelite is highly hydrophobic, it is difficult for general foaming agents to produce foam, and the addition of Aerosol-OT (sodium bis(2-ethylhexyl) sulfonate succinate) can overcome this deficiency [66]. Gouril C.T. et al. mixed scheelite and quartz to obtain a binary mixed ore with a particle size below 30 µm and a WO3 grade of 0.04%. A concentrate containing 14% WO3 with more than 90% recoveries was obtained by means of anionic sodium sulfo succinate collector at pH 3.5 and also with commonly used anionic sodium oleate at pH 10.5 as per the conceptual flowsheet [67,68].
The advantage of the sulfonic acid collectors is their selectivity, foaming properties, and tolerance for calcium and magnesium ions in the pulp. Combining them with strong collecting collectors has great potential for industrial application.
3.1.4. Phosphonic Acid Collectors
Phosphonic acid collectors form stable complexes with metal ions on the mineral surface with tetrahedral or hexagonal rings [20,59]. The resulting insoluble salt is adsorbed on the mineral surface, increasing its hydrophobicity [11,49]. Phosphonic acid collectors are mainly used in the flotation of scheelite and cassiterite, and there is less research on their use with wolframite. The energies for phosphate adsorption on the surfaces of scheelite and calcite are relatively close, at −42.9 kJ/mol and −38.8 kJ/mol, respectively, which may lead to poor selectivity of the phosphonic acid collectors for calcium-containing minerals [69]. Lu et al. synthesized a series of LP (isopropylalkylphosphonic acid) phosphonic acid collectors to float and separate calcium-containing minerals such as scheelite, fluorite, and garnet in wolframite. The results showed that the LP series collectors displayed strong selectivity for fluorite, and LP-8 floated fluorite from artificially mixed ores comprising fluorite-garnet and fluorite-scheelite [70].
3.2. Cationic Collectors
Scheelite has a negative surface charge across almost the entire pH range [71] (Figure 11). In contrast, the gangue minerals calcite and fluorite have higher surface potentials than scheelite. Therefore, cationic collectors are more easily attracted to the surface of scheelite through electrostatic attraction and other mechanisms. Amine collectors, including primary amines such as dodecylamine (DDA) and quaternary ammonium salts, are commonly used in scheelite flotation.
Figure 11.
Zeta potential of scheelite, calcite, and fluorite.
DDA is a commonly used cationic collector in the flotation of scheelite. Cationic collectors, such as DDA, need to be acidified before use to increase their solubility. Hiçyìlmaz et al.’s research demonstrated that cationic collectors to flotation scheelite and calcite exhibited similar floatability. Among the various amines, only DDA with acetate group shows certain selectivity [72]. Gao et al. investigated the adsorption behavior of DDA on the surfaces of scheelite and calcite and found that a small fraction of the RNH2 components in DDA interacted in solution with the mineral surface via Ca-N bonding and hydrogen bonding, while a larger fraction of the RNH3+ components interacted with the surface through electrostatic attraction and hydrogen bonding. Due to the more negative surface charge of scheelite, it was able to adsorb more DDA, resulting in a significant increase in the mineral surface potential [73] (Figure 12).
Figure 12.
Adsorption of DDA on the surfaces of scheelite and calcite (adapted with permission from [73]; copyright 2015 Elsevier).
DDA exhibited some selectivity toward scheelite, but its collecting ability was poor. Wang et al. achieved selective separation of scheelite and calcite with a mixed collector composed of DDA and sodium oleate with a molar ratio of 2:1 at pH 7 [74]. Dong et al. used acidified water glass as an inhibitor and a mixed DDA and sodium oleate collector. At pH 7, the flotation recovery rate for calcite was only 22.6%, while that of scheelite was over 80% [75]. Mixed collectors with cationic and anionic agents can balance their collecting powers and selectivities and exhibit strong tolerance toward calcium ions. Dong et al. suggested that in a mixed collector system, RNH3+ and RCOO− formed highly active complexes, thus avoiding the influence of Ca2+ [76].
Compared with primary amines, quaternary ammonium collectors are less affected by pH [77]. Yang Fan studied the flotation performances of three quaternary ammonium collectors, didecyldimethylammonium chloride (DDAC), trioctylmethylammonium chloride (TOAC), and dodecyltrimethylammonium chloride (DTAC), with scheelite [78,79]. Single mineral and artificial mixed mineral experiments showed that DDAC and TOAC exhibited good collecting abilities and selectivities toward scheelite, whereas the collecting capability of DTAC was weaker than those of DDAC and TOAC, so it was difficult to separate the scheelite from calcite. In one round of separating a scheelite ore from the Shizhuyuan plant, the concentrate grade of WO3 and recovery rate were 51.02% and 54.65%, respectively, when using DDAC as the collector, and 52.01% and 51.51%, respectively, when using TOAC as the collector. Of note, DDAC is a Gemini-type surfactant that has stronger adsorption on the target mineral surface, more activity and foaming power, a lower Krafft point, and improved foaming performance compared to traditional surfactants containing a single hydrophobic chain and a single polar group. Huang et al. found that the novel Gemini-type collector butanediyl-α,ω-bis(dimethyldodecylammonium bromide) (BBD) displayed a stronger low-temperature flotation performance than DDA [80]. Ni et al. synthesized a new Gemini-type surfactant, hexane-1,6-didodecyldimethylammonium bromide (HDDA), which achieved selective separation of scheelite and calcite in pure mineral experiments without any inhibitors. HDDA showed stronger selectivity than sodium oleate in artificial mixed mineral flotation experiments [77,81].
An obvious problem with cationic collectors is their poor solubilities. To improve the solubilities of amine collectors, Liu et al. [82] introduced hydroxyl groups into the long-chain amines and synthesized a new collector named hydroxypropylamine (NTIA), as shown in Figure 13. In single-mineral flotation experiments, the flotation recovery of scheelite reached 96.89%, while that of calcite was only approximately 10%. The agent mainly interacted with the mineral surface through electrostatic and hydrogen bonding.
Figure 13.
Structural formula of NTIA.
Recently, Huang et al. reported the new claw-shaped silane-based diamine collector N-(2-aminoethyl)-3-aminopropyltrimethoxysilane (AATS) and applied it to flotation separation of scheelite and calcite. The structure and possible adsorption mechanism are shown in Figure 14. In single-mineral flotation experiments, the flotation recovery rate for scheelite reached 96%, while that for calcite was only 5.5%. In binary mixed mineral experiments using AATS for flotation of a mixed mineral with a WO3 grade of 38.65%, the concentrate grade and recovery of WO3 were significantly higher than those of sodium oleate flotation; they reached 64.63% and 87.47%, respectively, compared to 35.20% and 79.34% for sodium oleate [83]. The authors studied the mechanism for adsorption of AATS on the mineral surface. The cationic collector mainly interacted with the negatively charged scheelite surface through electrostatic interactions and showed less adsorption on the positively charged calcite surface, which provided the selective separation of scheelite and calcite [83]. This collector also exhibited good separation performance in the flotation of wolframite and calcite [84].
Figure 14.
Adsorption model of AATS on the surface of scheelite (adapted with permission from [83]; copyright 2022 American Chemical Society).
Cationic collectors have great potential for flotation of scheelite, but the two obvious drawbacks are poor solubility and excessively viscous foams [49]. In addition, the cationic collectors are expensive and difficult to use in beneficiation plants [20]. The future development directions for cationic collectors are to improve their flotation performances, solubilities, and foam properties and reduce their costs.
3.3. Amphoteric Collectors
Amphoteric collectors refer to collectors with both positively and negatively charged functional groups. The advantages of amphoteric collectors are that they can be used in almost the full pH range, have good hard water resistance, and exhibit better selectivities than fatty acids [85]. The “No. 1 amphoteric collector” used by Xu et al. had good selectivity and ideal foaming performance, which effectively separated scheelite from calcite-containing minerals [86]. Nosov et al. studied an AAK collector (an N-acylaminocaproate based on tall oil products) for the flotation of scheelite. AAK achieved the same collection ability as oleic acid, but AAK was more friendly to the environment [87]. Hu et al. studied the flotation performances of the amphoteric collectors beta-aminopropylphosphonic acid and beta-aminopropyl phosphonate ester with fluorite, barite, and scheelite. The separation results of the mixed minerals showed that under acidic or alkaline conditions and with the addition of inhibitors, beta-aminopropylphosphonic acid achieved better fluorite/barite and fluorite/scheelite separations [88]. Ozcan studied the flotation of scheelite with oleoyl sarcosine as a collector and alkyl oxide as a modifier, obtaining a concentrate WO3 grade of 70.6% with a recovery rate of 70% [89]. Hu et al. synthesized an aminophosphonic acid collector, alpha-benzylaminobenzyl phosphonic acid (BABP), and single-mineral experiments showed that BABP had stronger collecting abilities for several calcium-containing minerals, which decreased in the order fluorite > calcite > scheelite > apatite [90]. Deng et al. used the R31 amphoteric collector for the flotation of scheelite ore with an original ore grade of 0.28%, obtaining a tungsten concentrate grade of 73.10% and a recovery of 81.67% [85,91].
Deng et al. [52] synthesized four novel acylamide-isohydroxamic acid surfactants, namely, N-(6-(hydroxyamino)-6-oxohexyl)-benzamide (NHOB), N-(6-(hydroxyamino)-6-oxohexyl) capramide (NOO), N-(6-(hydroxyamino)-6-oxohexyl) decanamide (NHOD), and N-(4-(hydroxyamino)-4-oxobutyl) octanamide (NOBO). Except for NHOB, the other three collectors showed good selectivities for scheelite and calcite, with NHOD exhibiting the best collecting performance. NHOD effectively separated scheelite from calcite at pH 10. The authors used the distance matching mechanism mentioned above to explain the selectivity between scheelite and calcite. The two O atoms in the hydroxamic acid group of NHOD formed five-membered rings in complexing the W atom. Additionally, the NHOD molecules formed intramolecular hydrogen bonds through the amide groups, which made the arrangements of collectors on the mineral surface more compact. The studies of amphoteric collectors are currently still in the laboratory stage due to their higher costs, but they have good selectivity and biodegradability, which has great prospects for use in carbon reduction background.
3.4. Nonpolar Collectors
Nonpolar collectors are mainly used as auxiliary collectors that adjust the foam structure, enhance the hydrophobicity, promote hydrophobic agglomeration, and thereby improve the recovery rates and grades of concentrates [11]. Common nonpolar collectors include alcohols and ethers.
Zhu et al. studied a combination of sodium oleate and octyl alcohol polyoxyethylene ether (MOA-9), which significantly improved the flotation recovery of scheelite at low temperature compared with the individual cases. The synergistic effect of MOA-9 and sodium oleate improved the surface activity of the sodium oleate and increased its adsorption on the surface of scheelite [37]. Kang et al. mixed the nonpolar surfactant oleamide with sodium oleate and used sodium hexametaphosphate as an inhibitor. The results of pure mineral experiments showed that at appropriate dosages, the flotation recovery rates for scheelite remained at approximately 85%, while the recovery rates for calcite and fluorite were below 20% [92].
Filippov et al. found that mixing isopropyl thioxanthone (PX) with oleic acid improved the flotation abilities of oleic acid alone for fluorapatite and calcite. The coadsorption of PX and oleic acid significantly increased the flotation recovery rates of calcium-bearing minerals. The authors believe that the complex formed by PX and oleic acid had significantly higher adhesion to the mineral surface than the oleic acid dimer, thus increasing the hydrophobicity of the mineral surface [93]. Han et al. studied the effects of monoalcohols with different chain lengths and isomeric structures on the flotation of magnesite and calcite with DDA. The results showed that long-chain and isomeric alcohols promoted DDA flotation. The coadsorption of monoalcohol and DDA compressed the hydration layer and weakened the electrostatic repulsions between the head groups of the ionic collectors. On the other hand, the long-chain and isomeric structures made the hydration layer thinner and more conducive to flotation [94].
Ruan et al. discovered that added nonpolar agents improved the selectivity for apatite, calcite, and quartz. Cottonseed fatty acid salts (CSFA) and the nonionic surfactant NP-4 (nonylphenol polyoxyethylene ether) were coadsorbed on the surfaces of apatite and calcite but competed for adsorption on the quartz surface, thus increasing the selectivity. At the same time, they found that the nonpolar surfactants acted as emulsifiers and reduced the number of collectors needed [95]. Filippov and Filippova reported the effects of nonionic agent concentrations (exol) on the adsorption of sodium oleate on the scheelite and calcite surfaces. The experimental results showed that with increasing nonionic agent concentration, the amount of sodium oleate adsorbed on the scheelite surface first increased and then decreased, while the amount adsorbed on the calcite surface gradually decreased. The authors believed that the presence of nonionic agents prevented the adsorption of sodium oleate on the surface of calcite but enhanced its adsorption on the surface of scheelite [96]. Shepeta et al. obtained the same research results: nonpolar agents enhanced the selectivities of collectors with calcium-bearing minerals. Isomeric fatty alcohols increased the adsorption of oleate on the surface of scheelite by 20% while reducing it by 55% on calcite. When adding isomeric fatty alcohols (Exol-B) for rough flotation of scheelite, the recovery of scheelite in the rough concentrate was improved by 0.95%–3.67% [97].
4. Regulators of Scheelite
4.1. pH Regulators
NaOH, Na2CO3, and CaO are commonly used pH regulators in scheelite flotation. For scheelite ores with high fluorite contents and low calcite contents, NaOH is often used to adjust the pH of the slurry. In skarn-type scheelite ores with higher calcite contents, Na2CO3 is used in what is called the soda ash method [20,85]. In addition to adjusting the pH, Na2CO3 also acts as a dispersant to reduce the effects of ions in the slurry. It reacts chemically with the scheelite and facilitates the adsorption of sodium oleate, thereby improving the beneficiation index of scheelite [11]. Kupka et al. studied the role of sodium carbonate in the flotation of scheelite, finding that kinetics, calcium surface site density, calcium activity, and surface reaction are the reasons for the selective depression of sodium carbonate in scheelite flotation. Moreover, sodium carbonate can enhance their selective depression ability by cooperating with sodium silicate and quebracho [98]. The lime flotation method combines CaO and Na2CO3. The essence of this method is that after adding the lime, the dissolved Ca2+ is absorbed on the surfaces of fluorite and calcite but not easily on the surface of scheelite. Then, after adding Na2CO3, the absorbed Ca2+ forms a precipitate, thus achieving separation of the calcite and fluorite from scheelite during the beneficiation process [85].
4.2. Inhibitors
The inhibitors use in scheelite flotation can be divided into two types: inorganic inhibitors and organic inhibitors. The inorganic inhibitors, mainly water glass, are more widely used. Inorganic inhibitors have better depressing effects on the gangue minerals but are easily influenced by pH and require larger usage amounts. There are relatively few applications of organic inhibitors, but they have wider ranges of sources and varieties. The disadvantage of organic inhibitors is that their effectiveness may be weaker. Therefore, developing highly selective and environmentally friendly organic inhibitors has become an important research direction in scheelite flotation.
4.2.1. Inorganic Inhibitors
Silicates and phosphates are commonly used as inhibitors in scheelite flotation. The silicate inhibitors include water glass, acidified water glass, salted water glass, and fluosilicate, while phosphate inhibitors include sodium hexametaphosphate (SH) and pyrophosphates. It should be noted that the effectiveness of phosphate inhibitors is easily affected by the dissolved ions in the solution, and there are some limitations in their application [99].
- Silicate inhibitors
The water glass commonly used in flotation is the sodium silicate type, Na2O·nSiO2, and n is the modulus of the water glass. The modulus of water glass has an important influence on its depressing effect. When the modulus is low, it is highly alkaline and therefore has a weaker depressing ability, while a high modulus makes it less soluble and dispersed [100]. In scheelite flotation, the modulus of the water glass is generally between 1.5 and 3.5 [11]. In the late 1940s, Soviet expert Petrov invented a special process that significantly improved the grade of scheelite flotation concentrate, namely, the classic Petrov’s heating cleaning process. The process requires heating of the crude concentrate in a solution of Na2SiO3 to above 80 °C to desorb the anion collectors that adsorbed on the gangue minerals. This process exerts good flotation selectivity and has been widely applied in the commercial flotation of scheelite. However, this process is complex and requires high energy consumption [101]. Ai et al. compared the effects of water glasses with different moduli on a tungsten ore from Jiangxi Province. Finally, water glass with a modulus of 2.5 was selected as the inhibitor, sodium carbonate was used as the pH adjuster, and ZL was used as the roughing collector. In the closed-circuit process of “one rough, three scavenging, and two cleaning”, a rough concentrate with a WO3 grade of 6.73% and a recovery rate of 80.76% was obtained in the roughing stage [102].
It is generally believed that the depressing effects of water glass are caused by HSiO3− and H2SiO3 [49,100], and that differential adsorption on different mineral surfaces enables the separation of calcium-bearing minerals. Some people believe that colloidal SiO2 is also effective in depressing agents [100,103]. Hu et al. believe that Si(OH)4 and SiO2(OH)22− are adsorbed on the surfaces of minerals and form structures similar to that of a hydroxylated quartz surface, making the mineral more hydrophilic. In addition, silica gel particles and SiO2(OH)22− compete for adsorption, thereby desorbing the previously adsorbed fatty acid collector [100]. Most flotation processes around the world are carried out within the pH range of 7–11. At this time, the main components in the Na2SiO3 solution are Si(OH)4 and SiO(OH)3− [16] (Figure 15). Yan analyzed the chemical properties of the Na2SiO4 solution and combined them with flotation results. It is believed that Si(OH)4 is the main component that depresses calcite, while SiO(OH)3− is the main component that depresses scheelite and fluorite [104].
Under neutral or alkaline conditions and with a certain concentration in aqueous solution, sodium silicate can form polymeric silicic acid Si2O(OH)6 with two dominant components, Si(OH)4 and SiO(OH)3− [105] (Figure 15). Foucaud et al. used DFT to study adsorption of the various components in silicates on the surface of fluorite. Monomeric Si(OH)4 and dimeric Si2O(OH)6 were physically adsorbed on the mineral surface, while SiO(OH)3− was chemically adsorbed on calcium atoms on the mineral surface. Compared with the adsorption energy of dimeric Si2O(OH)6, the absolute value of the adsorption energies for monomeric Si(OH)4 and SiO(OH)3− were higher [16,106]. This could explain why acidified water glass (AWG) had a stronger depressing effect on fluorspar minerals because under acidic conditions, oligomers and polymers are depolymerized into Si(OH)4 and SiO(OH)3− [106]. In recent years, studies have shown that AWG has a stronger depressing ability on fluorspar minerals, especially calcite [75,107,108], but the acidification process may reduce the applicable pH range. Kupka et al. systematically studied the depression effect of acidified water glass on the flotation separation of scheelite, calcium-containing gangue minerals, and silicate minerals [109]. Their research showed that the acidification treatment of water glass significantly improved the selectivity of depression and affected the entrainment of gangue minerals by affecting the aggregation of bubbles in the pulp. The authors believe that oxalic acid may be a better choice for acidification reactions, but that the dosage of oxalic acid needs to be strictly controlled.
Figure 15.
Relationship between pH and the silicate components (The pH range between the two dotted lines is the pH range for achieving the best flotation effect of scheelite in most cases.) (adapted with permission from [106]; copyright 2019 the Royal Society of Chemistry).
Figure 15.
Relationship between pH and the silicate components (The pH range between the two dotted lines is the pH range for achieving the best flotation effect of scheelite in most cases.) (adapted with permission from [106]; copyright 2019 the Royal Society of Chemistry).

Dong et al. used sodium fluorosilicate (Na2SiF6, SFS) as an inhibitor to float and separate scheelite and calcite, and the mechanism differed from that of water glass. The negatively charged F−, Si(OH)22−, SiF62−, and SiO(OH)3− anions in the solution reacted chemically with Ca2+ on the surface of calcite, resulting in the formation of CaSiO3, CaF2, and CaSiF6, which hindered the adsorption of sodium oleate on the surface of calcite and thereby achieved selective separation [110].
- Phosphate type
Phosphates can react with Ca on the mineral surface to form insoluble complexes, thereby reducing the calcium active sites on the surfaces of calcium-bearing minerals and preventing the adsorption of collectors [99]. Sodium hexametaphosphate (SHMP, (NaPO3)6) is the representative phosphate inhibitor. Yin [54] and Liu et al. [40] used sodium oleate and 733 as the collector and SHMP as the inhibitor, and the experimental results showed that SHMP had a strong depressing effect on scheelite flotation. Li et al. compared the depression effects of Na2SiO3, Na3PO4, Na4P2O7, (NaPO3)6, quebracho, tannic acid, and S 808 (sulfonated product of rough phenanthrene) on gangue minerals during flotation separation of scheelite and found that (NaPO3)6 or Na4P2O7 had a good selective inhibitory effect [111]. However, Gao et al. used SHMP as the inhibitor and HXMA-8 as the collector to achieve the flotation separation of scheelite and calcite within the pH range 7–8. The authors believed that the Ca-O bond length was shorter and the bond energy of calcite was higher than those of scheelite, as well as the fact that the reactivity after fracture was also stronger, which made the reactivity of SHMP with the Ca atoms on the surface of calcite stronger. In addition, the Ca density on the surface of calcite was higher than that of scheelite, which may also be the reason for the difference in adsorption of the two types of mineral surfaces [53]. Wang et al. used sodium pyrophosphate (SP, Na4P2O7) as the inhibitor of apatite and sodium oleate as the collector to achieve a selective separation of scheelite and apatite within the pH range 9–12, while water glass failed to separate the two calcium-bearing minerals due to its similar mechanisms of action for the surfaces of scheelite and apatite [112].
Wang et al. used sodium tripolyphosphate (ST, Na5P3O10) as the inhibitor and FX-6 sodium oleate as the collector to float and separate scheelite and calcite. In industrial experiments comparing the use of ST with that of water glass as the inhibitor, the WO3 grade of the scheelite concentrate increased from 1.42% to 1.88% when ST was used as the inhibitor, the recovery rate of scheelite was basically unaffected, and the recovery rate of calcite decreased by 20% [113]. The authors proposed a collecting mechanism of ST and FX-8, which involved preadsorption of ST on the surface of calcite, which made it difficult for more FX-8 to adsorb, thereby achieving selective separation of the scheelite and calcite [113].
Wang et al. conducted a flotation separation experiment of scheelite and apatite by using amino trimethylene phosphonic acid (ATonic acid) as the inhibitor. In the sodium oleate flotation system, the scheelite recovery rate reached 85.22%, while the recovery rate for apatite was 23.6%. Mechanistic analyses showed that ATMP selectively depressed apatite flotation by combining with the calcium positions on the surface of apatite through the phosphate groups [114]. The study did not analyze the ion composition generated by ATMP dissociation, and further discussion regarding the types of species involved in the action of ATMP is carried out in this paper. Its ion compositions at 25 °C and 35 °C are shown in Figure 16, and the equilibrium dissociation equations at 25 °C and 35 °C are shown in Formulas (6)–(12) [115,116]. In the flotation system using the sodium oleate collector, the pH was generally approximately 9–10, at which point the ATMP lost one H+ to form HL5−.
Figure 16.
Distribution curves for the ATMP ions formed at different pHs ((a) T = 25 °C, (b) T = 35 °C).
The structural optimization of HL5− was carried out with Gaussian 09 at the B3LYP/6-311 + G(d,p) level [117], and then the calculation of the surface electrostatic potential was performed with the wave function software Multiwfn 3.7 [118,119] and VMD 1.9.3. The lower the electrostatic potential was, the higher the reactivity of the site. The results showed that the local minimum points of the electrostatic potential were mainly distributed on the deprotonated phosphate surface, and the lowest electrostatic potential was near N, but this cannot be the reaction site. Therefore, we can explain why ATMP exhibited poor inhibition on scheelite; that is, the negatively charged ATMP (HL5−) was not easily adsorbed on the scheelite surface with a more negative surface potential (Figure 17), and the steric hindrance of WO42− was larger, making it difficult for ATMP to interact with the calcium positions on the scheelite surface. Similar thermodynamic analytical methods can be used with inhibitors such as polycarboxylic or polyphosphoric acids to cross-check the flotation results and interpret the experimental results.
Figure 17.
Van der Waals surface electrostatic potential of ATMP (HL5−) (Cyan spheres represent local minima).
4.2.2. Organic Inhibitors
Organic inhibitors generally interact with Ca2+ on the surfaces of the gangue minerals through polar groups (-OH or -COOH) and are adsorbed on the mineral surface by physical or chemical means, and they inhibit the adsorption of anionic collectors on calcium-bearing minerals and enhance their hydrophilicities. Organic inhibitors can be divided into macromolecular inhibitors (such as tannin, carboxymethyl cellulose, starch, sodium humate, and polyacrylic acid) and small molecule inhibitors (such as citric acid, malic acid, succinic acid, lactic acid, and oxalic acid) [11,99,120].
Macromolecular inhibitors generally have molecular weights greater than 10,000 and can be subdivided into polysaccharides, humic acid, tannins, and synthetic polymers [121]. Carboxymethyl cellulose (CMC) is a polymeric organic inhibitor widely used in flotation. Wu compared the inhibitory abilities of methyl cellulose, hydroxyethyl cellulose, and dodecylbenzenesulfonic acid-carboxymethyl cellulose with calcite and fluorite, and the results showed that the inhibition capacity decreased in the order carboxymethyl cellulose > dodecylbenzenesulfonic acid-carboxymethyl cellulose > hydroxyethyl cellulose [122]. Chen et al. investigated the inhibitory effects of sodium alginate (NaAl) on scheelite and fluorite. Due to the larger steric hindrance and electrostatic repulsion of WO42−, the NaAl exhibited limited inhibition of scheelite. However, the weaker electrostatic forces and smaller steric hindrance on the surfaces of fluorite and scheelite enabled the -OH, -COO-, and -O- groups in NaAl to more easily interact with Ca2+. As a result, NaAl was selectively adsorbed onto the surfaces of fluorite and scheelite and achieved selective separation. The possible adsorption mechanisms are shown in Figure 18 [123]. Similar mechanisms have been proposed to explain differential adsorption of other inhibitors, such as sodium dextran sulfate (DSS) [124], sodium phytate (SP, C6H18O24P6) [125], pectin [126], xanthan gum (XG) [127], and hydroxyethyl chitosan [128], on calcium-containing mineral surfaces. It should be noted that the SP mentioned here is a small-molecule inhibitor.
Figure 18.
Possible adsorption mechanisms for negatively charged inhibitors in selective separation of scheelite from calcium-bearing minerals (adapted with permission from [123]; copyright 2017 Elsevier).
Humic acid is a natural high-molecular-weight polyelectrolyte that exists widely in soils and coal minerals and is easily dispersed in solution as a colloid [121]. Ai et al. used sodium humate (SH) as an inhibitor to separate scheelite and fluorite. The carboxyl and phenolic hydroxyl groups of SH were believed to react with the calcium present on the surface of fluorite to form calcium humate. The higher Ca density on the surface of fluorite may be the reason for selective separation of the two minerals [129]. Wang et al. successfully separated scheelite and fluorite by using sulfonated brown coal humic acid derivatives (SBCs) as inhibitors and sodium oleate as a collector. They proposed that the larger spatial hindrance and electrostatic repulsions of WO42− led to differences in SBC adsorption on the scheelite and fluorite surfaces and resulted in different flotation behaviors [130].
Tannin, also known as quebracho extract, has been studied for its application in flotation since the 1970s. In their research on tannin inhibition of gangue minerals, Mi et al. found that inhibition decreased in the order fluorite > calcite > quartz > scheelite > barite [131]. Zhang tested polymers synthesized from monomers, such as acrylamide, acrylic acid, and acrylates, with electrokinetic measurements and X-ray photoelectron spectroscopy. Poly sodium acrylic acid was found to adsorb more strongly on the surfaces of fluorite and calcite than on scheelite [19]. Qiu et al. compared the effects of macromolecular inhibitors on the flotation of scheelite, calcite, and fluorite. Of the five macromolecular inhibitors tested, the effectiveness in separating the calcium-containing gangue minerals decreased in the order sodium humate > CMC > tannin > poly sodium acrylic acid > poly acrylamide [132].
Small-molecule inhibitors are widely available, water-soluble, highly selective, and environmentally friendly [121]. Some research results have shown that citric acid is less effective at inhibiting calcite because it has few polar groups [11,133,134], but it does have an inhibitory effect on fluorite. Gao et al. used citric acid (CA) as an inhibitor, NaF as a regulator, and a sulfonic acid collector SOA (CH3(CH2)8CH(SO4H)(CH2)7COOH) to reverse float fluorite. Batch flotation results showed that the calcite removal rate reached 85.18%, while only 11.2% of the fluorite was lost [58]. Hu et al. believed that CA had one -OH and multiple -COOH groups, with the former being hydrophilic and the latter being both close solid functional and hydrophilic. After the reagent interacted with the mineral surface, some of the hydrophobic polar groups were adsorbed onto the mineral surface, while other polar groups faced outward and formed a hydrophilic surface that reduced the floatability of fluorite [135]. Dong et al. attempted to improve the weak inhibitory ability of CA toward calcite by adding Cu2+ to enhance CA adsorption on the calcite surface. Single-mineral flotation experiments showed that with a Cu2+ to CA molar ratio of 1:2 or 1:5 and sodium oleate used as the collector, the flotation recovery rate of scheelite reached approximately 80%, while the recovery of calcite was less than 20%. Cu2+ forms complexes with CA, such as CuL and CuHL, which selectively bind to the oxygen sites on the surface of calcite and inhibit the calcite [136].
Organic inhibitors are sometimes used in combination with inorganic inhibitors to enhance the separation effect. Guo et al. used water glass + GS (a mixture of oxalate salts) and YK-3 as collectors to treat fine-grained, low-grade tungsten ore from Yunnan Province. With an original ore WO3 grade of 0.2%, they obtained a tungsten concentrate with a WO3 grade of 65.22% and a recovery rate of 70.53% [137]. Ai et al. used carboxymethyl cellulose (CMC) as a regulator; Pb(NO3)2 as an activator; and Al2(SO4)3 + Na2SiO3 as a combination inhibitor in a “one roughing, three cleaning, and two scavenging” room temperature flotation process and a “one roughing, four cleaning, and two scavenging” heated closed circuit process. A concentrate with a grade of 61.89% was obtained from raw ore with a WO3 grade of 0.35%, with a recovery rate of 63.83% [138]. Zhu et al. used sodium hexametaphosphate (SHMP) and citric acid (CA) as mixed inhibitors and significantly improved the separation efficiencies of the two minerals with a mixing ratio of 1:4 [139].
4.3. Metallic Salts
Some metal ions, such as Pb2+, modulate the selectivities of scheelite flotation [16]. Han et al. proposed a preassembly technique for metal–organic complexes, in which Pb2+ was mixed with BHA in advance and then added to the flotation process. The flotation results were significantly better than those obtained with sequential addition of the reagents [140,141]. Wei et al. studied the effects of Pb2+ and BHA mixing ratios, as well as those of pH, on the flotation recovery of scheelite, calcite, wolframite, and fluorite. The results showed that there were significant differences in selective adsorption of the scheelite and gangue minerals when the molar ratio of Pb2+ to BHA was 2. At pH 9 to 10.5, the selective adsorption capacity decreased in the order scheelite > calcite > wolframite > fluorite. By adjusting the pH, separation of the tungsten ore and calcium-containing gangue minerals was achieved [140].
The regulation of BHA flotation by Pb2+ may involve one of two activation mechanisms: (1) Pb2+, PbOH+, and Pb(OH)2 in the solution are adsorbed on the mineral surface through electrostatic interactions, with precipitation occurring on the surface via hydroxyl dehydration. The BHA anion forms a five-membered chelate with the Pb on the mineral surface. (2) Metal–BHA complexes are formed in solution and are then adsorbed onto the mineral surface [142,143]. The possible adsorption modes for Pb species on the surface of scheelite are shown in Figure 19.
Figure 19.
Possible adsorption modes for Pb-BHA on the scheelite surface (adapted with permission from [143]; copyright 2018 Elsevier).
Based on the use of metal ion coordination to regulate molecular assembly, Pb-BHA is a novel collector that solves the problems encountered in comprehensive recovery and utilization of high-calcium, low-grade, and strongly weathered scheelite-cassiterite-associated resources [142]. Compared with the traditional GY method, the process of scheelite flotation with Pb-BHA as the collector improved the enrichment ratio and required less water glass and no fatty acid. The average tungsten recovery rate at the Shizhuyuan mine was increased by approximately 10% with this new process, and it can be used to some extent as a replacement for “Petrov’s process” [141,144].
The combination of water glass and metal ions can improve the depression effect of water glass. Ignatkina et al. studied the combined application of water glass and sulfate salts of aluminum, zinc, iron, and magnesium, finding that the combination of iron (II) and water glass (3(4):1) had the best depression effect on calcite. Furthermore, they found that the depression effect of CMC was not as good as that of water glass. Further research revealed that the quality of flotation water can affect the effectiveness of depressants [145]. In order to achieve selective separation of scheelite from fluorite, apatite, and silicate in a certain skarn ore, Filippov compared the depression effects of adding metal salts (FeSO4, Al(NO3)3, and Zn(SO4)) before sodium silicate, as well as organic molecules (starch, lignosulfonate, tannin, carboxymethyl cellulose, and citric acid) on the aforementioned gangue minerals [146]. Research has shown that only the addition of iron sulfate slightly improves the performance of sodium silicate. Among all the depressants studied, the combination of sodium carbonate and sodium silicate achieved the best flotation depression effect. Based on the above research, Wei et al. mixed Al3+ with water glass and found that compared to water glass, the Al-water glass exhibited less adsorption on scheelite but more adsorption on calcite. This enabled selective separation of scheelite and calcite and has been applied at the Shizhuyuan mine, where it surpassed the original Pb-BHA metal ion coordination-regulated molecular assembly technology [147]. Wei et al. explored the inhibition mechanism of the Al-water glass and found that aluminum hydroxide complexes in solution reacted with the hydroxyl groups of silica to form Al-Na2SiO3 polymers. Because they had higher negative charges than Na2SiO3, these polymers were more easily adsorbed on the positively charged calcite surface and were less likely to be adsorbed on scheelite. This increased the hydrophilicity of the calcite surface and achieved selective separation of the two minerals [105]. Possible adsorption mechanisms are shown in Figure 20.
Figure 20.
Possible adsorption mechanisms for Pb-BHA and Al-water glass in the selective separation of scheelite and calcite (adapted from [105]).
Deng [148] and Yao [149,150] suggested that Fe2+, Pb2+, and Zn2+ underwent similar polymerization reactions when mixed with water glass, which increased their inhibitory effects on calcite. Taking Pb2+ as an example, it formed polymers with water glass under natural and alkaline conditions (Equations (13)–(16)) [150]. Researchers have also found that if the metallic ions were added before the water glass, they had strong inhibitory effects on both scheelite and calcite [150], which made separation difficult.
Guan [151] et al. studied the effect of Mn2+ on the sodium oleate–sodium silicate system for scheelite flotation. The experimental results showed that the maximum difference for scheelite and calcite recovery reached 82.84% after the addition of Mn2+. The authors believed that Mn2+ was preadsorbed onto the acid sites of the scheelite and calcite surfaces, thereby increasing the number of adsorption sites for the collector and inhibitor and providing simultaneous enhancement of the collection and depression effects. A possible adsorption mechanism is illustrated in Figure 21.
Figure 21.
A possible mechanism for Mn2+ enhancement in flotation separation of scheelite and calcite (adapted with permission from [151]; copyright 2022 Elsevier).
Some organic inhibitors can also be mixed with metal ions to enhance the inhibition effect. For example, Dong et al. used a mixture of tartaric acid and Fe3+ as the inhibitor, which significantly improved the separation of scheelite and calcite. The authors believed that metal ions were preadsorbed onto the surface of calcite, which increased the amount of tartaric acid adsorbed [152].
Metal ions (e.g., Al3+ and Pb2+) can form complexes with collectors, activate the collectors and improve their flotation performance, and also enhance the inhibition effects of inhibitors. Since the ratio of metal ions to collectors has a great influence on the flotation result and the addition of lead ions poses the risk of environmental pollution, in flotation operations, metal ions and collectors or inhibitors often need to have a certain combination ratio to achieve good recovery of the target ore. The proportion of different metal ions needs to be determined through extensive experimental exploration. When combined with collectors, complexes prepared in different ratios of Pb2+ and BHA exhibited different collection abilities for different minerals. When the ratio of Pb2+ to BHA was 1:2–2:1, the complex collector exhibited good collection ability [153]. When combined with inhibitors, such as Cu2+ and citric acid (CA), the optimal ratio of Cu2+ to CA was 1:2 or 1:5, which achieved the selective inhibition of calcite [136]. Regardless of whether they are used in combination with collectors or inhibitors, there is obviously an optimal range for the amount of metal ions that needs to be verified through experiments. The main reason for this is that under different ratios of metal ion/collector or inhibitor, the existing forms of the generated complexes and the residual metal ion concentrations are different, resulting in different flotation behaviors of scheelite and gangue minerals. Research on the activation of scheelite flotation by metal ions is currently of considerable interest, and it has enormous potential for improving the beneficiation indicators in future practical applications.
5. Discussion and Perspectives
Based on the literature, Table 1 summarizes the advantages and slight disadvantages of flotation chemicals in scheelite flotation. The commonly used flotation collectors for scheelite in industrial production are fatty acids and chelating collectors. The fatty acid collectors have poor selectivities and are easily influenced by pH and calcium-magnesium ions in the water, which limit further application. Chelating collectors have strong selectivities, especially with the introduction of activator metal ions, such as with Pb-BHA. However, their collection abilities are weak, and they have large environmental impacts and high production costs. Cationic collectors theoretically have better selectivity for scheelite but are currently confined to laboratory studies and are expensive. Sodium silicate is still the most widely used inhibitor in scheelite flotation, but its high dosage restricts further development. Organic inhibitors have more abundant sources and less environmental impacts; they show great potential for industrial application in the future, but their inhibitory abilities need improvement. The introduction of metallic salts significantly improves the flotation efficiency and enhances the selectivity of the reagents, but it is difficult to control the amounts of metal ions used.
Table 1.
Advantages and disadvantages of flotation reagents for scheelite.
Table 1.
Advantages and disadvantages of flotation reagents for scheelite.
| Type of Reagent | Type | Typical Representatives | Advantages | Disadvantages | |
|---|---|---|---|---|---|
| Collector | Anionic collectors | Fatty acid | Sodium oleate [13,29,30,31,32] | Low price, strong collection ability, wide application | Poor selectivity, poor hard water resistance |
| Chelating agent | BHA [50] | Good selectivity | Poor collection ability, large environmental impact, high production costs | ||
| Sulfonic acid collectors | SDBS [64], MES [36] | Good water solubility, hard water resistance, good low-temperature flotation performance | High price, poor collection ability, cannot be used singularly in actual production | ||
| Phosphonic acid collectors | LP [70] | Good selectivity, excellent foaming properties | |||
| Cationic collectors | DDA [73] | Good selectivity, strong collection ability | High price, low solubility, too sticky foam, recover quartz or silicate minerals | ||
| Amphoteric collectors | BABP [90], NHOD [52] | pH adaptable, hard water resistant, better selectivity | High price | ||
| Nonpolar collectors | MOA-9 [37], NP-4 [95] | Enhance the hydrophobicity, promote hydrophobic agglomeration, improved selectivity | Often used as an auxiliary recovery agent, cannot be used alone | ||
| Regulators | pH regulators | Na2CO3 [11] | Promote the dispersion of slurry, eliminate calcium and magnesium ions | - | |
| Inhibitor | Inorganic | Water glass [100,101,102,103,104,105,106,107,108] | Low price, mature process | Large reagent dosages | |
| Organic | Tannin [131], citric acid [62] | Wide source, low price | Poor inhibitory effect | ||
| Metallic salts | Pb2+ [150], Al3+ [105] | Improved selectivity | Environmental pollution | ||
Based on the foregoing mechanisms proposed for scheelite flotation collectors, the current four main mechanisms for separating scheelite and calcium-bearing gangue can be summarized. Moreover, Table 2 summarizes the flotation results of scheelite and common gangue minerals (calcite and fluorite) using different flotation agents.
- Inorganic inhibitors + fatty acid collectors. Inorganic inhibitors such as sodium silicate and Al-silicate, which are negatively charged, are easily adsorbed onto the calcium-binding sites on the surfaces of positively charged calcium-bearing minerals such as calcite and fluorite through electrostatic interactions. This limits additional adsorption of the fatty acid collectors, resulting in selective separation.
- Organic inhibitors + fatty acid collectors. Due to the different surface electrical properties and acid ion volumes of the scheelite and calcium-bearing minerals, negatively charged organic inhibitors with large volumes and hydroxyl or carboxyl groups are not easily adsorbed onto the negatively charged surface of scheelite, which has greater spatial hindrance. This achieves the purpose of selectively inhibiting the calcium-bearing minerals with little impact on scheelite flotation.
- Chelating collectors. Chelating collectors have good selectivities, and the currently proposed mechanisms include Ca chelation and W chelation. The latest theory is the distance matching mechanism, which suggests that the distance between the two O atoms in hydroxamic acid (2.842 Å) are matched better with the distance between the two O atoms of WO42− in the scheelite (2.899 Å) but differs significantly from the distance between the two O atoms of CO32− in the calcite (2.224 Å). Therefore, there are differences in the flotation behaviors of scheelite and calcite.
- Metal complexes. The complexes formed by mixing metal ions with chelating collectors, such as Pb-BHA, show good selectivity for scheelite in actual mineral flotation, but in single-mineral flotation, the flotation recoveries of scheelite and calcite are similar. It is widely believed that the complex formed by Pb-BHA can specifically interact with WO42− on the surface of scheelite, and Pb-BHA is similar to a cationic collector, which can more easily be adsorbed on the negative surface of scheelite.
- Cationic collectors. Within the general pH range studied, the scheelite surface is negatively charged, while the calcium-bearing minerals such as calcite and fluorite are positively charged. The different surface electrical properties of the minerals allow the cationic collectors to separate scheelite from the calcium-bearing minerals through electrostatic interactions and hydrogen bonding. In prior studies, the cationic collectors often achieved good separation results for single minerals.
- Fatty acid is still the main collector used in scheelite flotation due to its low cost and strong recovery ability, which allows for the development of numerous inhibitors with high selectivity. A metal compatibility collector, such as Pb-BHA, is also promising due to the low dosage of inhibitor and good selectivity; the synthesis of a new type of high-selective collector will also become an important research direction: for example, some new types of chelating-type collectors, Geimini-type cationic collector, and so on. Simultaneously, the greening of flotation chemicals should also be taken into consideration.
- In addition to flotation agents, the particle size of the ore is an important factor of flotation, especially in the commercial flotation of scheelite. Fine slurry declines the flotation efficiency. Mineral particles with a diameter of 20~150 μm can be effectively beneficiated by flotation, whereas the flotation separation of particles smaller than 20 μm is difficult due to their small mass, large surface charge, and high surface energy. Currently, the main methods to solve the flotation of fine scheelite with abundant mud are pre-desliming [154], shear flocculation [155], flotation column [156], selective flocculation [157], and magnetic flocculation [158], etc. Although the main purpose of this paper is to review the reagents related to scheelite flotation, the flotation of micro-fine scheelite is still worth studying.
Table 2.
Comparison of single-mineral flotation recovery rates using different types of collectors.
Table 2.
Comparison of single-mineral flotation recovery rates using different types of collectors.
| Mineral | Reagent Condition | |||||
|---|---|---|---|---|---|---|
| Fatty Acid Collectors | Inorganic Inhibitors + Fatty Acid Collectors | Organic Inhibitors + Fatty Acid Collectors | Chelating Collectors | Metal Compatibility Collector | Cationic Collectors | |
| NaOl [159] | NaOl + water glass [159] | NaOl + DSS [124] | NHOD [52] | Pb-BHA [160] | HDDA [77,81] | |
| Scheelite | ≈88% | ≈80% | ≈88% | ≈90% | ≈90% | ≈95% |
| Calcite | ≈97% | ≈40% | ≈7% | ≈35% | ≈90% | ≈10% |
| Fluorite | ≈88% | ≈15% | ≈20% | - | ≈20% | - |
DSS denotes dextran sulfate sodium; NHOD denotes N-(6-(hydroxyamino)-6-oxohexyl) octanamide (NHOO), N-(6-(hydroxyamino)-6-oxohexyl) decanamide; HDDA denotes hexane-1,6-bis (dodecyldimethylammonium bromide).
6. Conclusions
- Research on the flotation collectors for scheelite has mainly been focused on anionic collectors, especially fatty acid and chelating collectors. Fatty acid collectors exhibit good collecting performance and are widely used and inexpensive, but their selectivities are poor and often require combined usage or molecular structure modifications with other reagents. Chelating collectors have good selectivity, but their collecting efficiencies are not as good as those of the fatty acid collectors. The development of new chelating collectors is a major research goal, mainly by modifying the hydrophobic chains or combining them with fatty acid collectors to improve their flotation performance.
- Water glass is still the most widely used inhibitor in scheelite flotation, but it requires a large dosage. Organic inhibitors have a wide range of sources, minimal impacts on the environment, and broad application prospects in the future.
- Metal ions (e.g., Al3+ and Pb2+) have been found to enhance the efficiencies of both collectors and inhibitors and significantly improve their abilities to separate scheelite from calcium-bearing gangue minerals, with typical representatives being Pb-BHA and Al-Na2SiO3. The search for metal ions with better activation effects is of interest in this field.
- The current mechanisms for separation of scheelite and calcium-bearing gangue are focused on the following methods: inorganic inhibitors + fatty acid collectors, organic inhibitors + fatty acid collectors, chelating collectors, and cationic collectors. The main effects explaining the different flotation behaviors are the differences in surface electric properties and different spatial hindrance of the scheelite and calcium-bearing minerals.
The world has an abundance of scheelite, but it generally has low grades and is accompanied by complex associated minerals. Therefore, future developments in scheelite flotation require green and highly selective reagent systems, reduced inhibitor dosages, and greater adaptability of the reagent systems to minerals.
Author Contributions
Conceptualization, K.J., X.S. and Y.L.; methodology, K.J.; investigation, K.J., G.L., R.D. and Y.L.; writing—original draft preparation, Y.L. and K.J.; data curation, Y.L.; writing—review and editing, K.J. and G.L.; funding acquisition, K.J. and Y.C. All authors have read and agreed to the published version of the manuscript.
Funding
The authors acknowledge funding from the National Natural Science Foundation of China (No. 52004251), the Open Foundation of State Key Laboratory of Mineral Processing (No. BGRIMM-KJSKL-2020-08), the Key Technology Research and Development Program of Henan Province (No. 202102310216), the China and Henan Postdoctoral Science Foundation (No. 2022T150591 and No. 201903016), the “Frontier Exploration” Project of Longmen Laboratory (No. LMQYTSKT002), the Project of Zhongyuan Critical Metals Laboratory (GJJSGFYQ202324 and GJJSGFZD202304), and the “Double Tops” construction project of Zhengzhou University.
Data Availability Statement
Data sharing is not applicable.
Acknowledgments
We thank the Green Catalysis Center in Zhengzhou University, the Henan Supercomputer Center in Zhengzhou University, and the National Supercomputing Center in Zhengzhou for calculation work.
Conflicts of Interest
The authors declare no conflict of interest.
References
- Han, Z.; Golev, A.; Edraki, M. A Review of Tungsten Resources and Potential Extraction from Mine Waste. Minerals 2021, 11, 701. [Google Scholar] [CrossRef]
- Koutsospyros, A.; Braida, W.; Christodoulatos, C.; Dermatas, D.; Strigul, N. A review of tungsten: From environmental obscurity to scrutiny. J. Hazard Mater. 2006, 136, 1–19. [Google Scholar] [CrossRef] [PubMed]
- U.S. Geological Survey. U.S. Geologlcal Survey Minerals Yearbook-2018; U.S. Geological Survey: Reston, VA, USA, 2018.
- Blengini, G.A.; Nuss, P.; Dewulf, J.; Nita, V.; Peirò, L.T.; Vidal-Legaz, B.; Latunussa, C.; Mancini, L.; Blagoeva, D.; Pennington, D.; et al. EU methodology for critical raw materials assessment: Policy needs and proposed solutions for incremental improvements. Resour. Policy 2017, 53, 12–19. [Google Scholar] [CrossRef]
- Gian Andrea, B.; Cynthia, E.L.; Umberto, E.; Cristina, T.d.M.; Dominic, W.; Konstantinos, G.; Claudiu, P.; Samuel, C.; Lucia, M.; Manuela, U.; et al. Study on the EU’s list of Critical Raw Materials; European Union: Brussels, Belgium, 2020. [Google Scholar]
- Srivastava, N. Trade in critical minerals: Revisiting the legal regime in times of energy transition. Resour. Policy 2023, 82, 103491. [Google Scholar] [CrossRef]
- U.S. Geological Survey. 2022 Final List of Critical Minerals (USA); U.S. Geological Survey: Reston, VA, USA, 2022.
- Chen, Y.; Huo, G.; Guo, X.; Wang, Q. Wolframite concentrate conversion kinetics and mechanism in hydrochloric acid. Miner. Eng. 2022, 179, 107422. [Google Scholar] [CrossRef]
- Yang, X. Beneficiation studies of tungsten ores–A review. Miner. Eng. 2018, 125, 111–119. [Google Scholar] [CrossRef]
- Chen, R.; Zhang, Y.; Li, Y. Research progress of reagent combination in scheelite flotation. Min. Met. 2018, 27, 24–29. [Google Scholar]
- Li, X.; Zhang, Y.; Guan, Z.; Yang, H. Research progress of scheelite flotation reagents. Conserv. Util. Miner. Resour. 2022, 42, 14–24. [Google Scholar] [CrossRef]
- U.S. Geological Survey. Mineral Commodity Summaries; U.S. Geological Survey: Reston, VA, USA, 2023.
- Kupka, N.; Rudolph, M. Froth flotation of scheelite—A review. Int. J. Min. Sci. Technol. 2018, 28, 373–384. [Google Scholar] [CrossRef]
- Yin, W.; Wang, J. Effects of particle size and particle interactions on scheelite flotation. Trans. Nonferrous Met. Soc. China 2014, 24, 3682–3687. [Google Scholar] [CrossRef]
- Yao, X.; Yu, X.; Wang, L.; Zeng, Y.; Mao, L.; Liu, S.; Xie, H.; He, G.; Huang, Z.; Liu, Z. Preparation of cinnamic hydroxamic acid collector and study on flotation characteristics and mechanism of scheelite. Int. J. Min. Sci. Technol. 2023, 33, 773–781. [Google Scholar] [CrossRef]
- Foucaud, Y.; Filippov, L.; Filippova, I.; Badawi, M. The challenge of tungsten Skarn processing by froth flotation: A review. Front. Chem. 2020, 8, 230. [Google Scholar] [CrossRef] [PubMed]
- Anthony, J.W.; Bideaux, R.A.; Bladh, K.W.; Nichols, M.C. (Eds.) Handbook of Mineralogy; Mineralogical Society of America: Chantilly, VA, USA, 1990. [Google Scholar]
- Wang, R.; Han, H.; Sun, W.; Sun, W.; Wei, Z.; Fu, J. Surface transformation of calcium minerals and Its application in flotation. Met. Mine 2021, 52–59. [Google Scholar] [CrossRef]
- Zhang, Y. Research on the Performance and Mechanisms of Depressants for Separatig Scheelite from Calcareous Gangue Minerals by Flotation. Ph.D. Thesis, Central South University, Changsha, China, 2012. [Google Scholar]
- Li, T.; Qiu, X.; Zhou, X. The current research status of flotation reagents for scheelite. Mater. Res. Appl. 2018, 12, 8–12. [Google Scholar]
- Chen, C.; Zhu, H.; Sun, W.; Hu, Y.; Qin, W.; Liu, R. Synergetic effect of the mixed anionic/non-ionic collectors in low temperature flotation of scheelite. Minerals 2017, 7, 87–94. [Google Scholar] [CrossRef]
- Zhang, Q.; Liu, R.; Cao, X.; Sun, W.; Yang, Y. Relationship between structure and property of collecting agent for fatty acids scheelite. Nonferrous Met. Sci. Eng. 2013, 4, 85–90. [Google Scholar] [CrossRef]
- Wei, Z.; Sun, W.; Han, H.; Wang, J.; Wang, R.; Kang, J. New technology and practice of tungsten ore flotation. Met. Mine 2021, 60–72. [Google Scholar] [CrossRef]
- Sun, W.; Han, H.; Wang, J.; Cheng, Y.; Wang, R.; Mu, Y. The action mechanism of Ca-oleate colloid collector during the flotation of calcium-containing minerals. Conserv. Util. Miner. Resour. 2022, 42, 1–7. [Google Scholar] [CrossRef]
- Hu, H.; Zhou, X.; Qiu, X.; He, X. On the application of floatation reagents of scheelite. China Tungsten Ind. 2010, 25, 19–22. [Google Scholar]
- Rudolph, M.; Hartmann, R. Specific surface free energy component distributions and flotabilities of mineral microparticles in flotation—An inverse gas chromatography study. Colloids Surf. A Physicochem. Eng. Asp. 2017, 513, 380–388. [Google Scholar] [CrossRef]
- Wang, C.; Deng, J.; Wang, J.; Sun, L.; Sun, W.; Xiao, Q.; Cao, Y.; Gao, Z. Crystal chemistry and flotation principle of scheelite. Met. Mine 2021, 6, 15–25. [Google Scholar] [CrossRef]
- De Leeuw, N.H.; Parker, S.C.; Rao, K.H. Modeling the competitive Adsorption of Water and methanoic acid on calcite and fluorite surfaces. Langmuir 1998, 14, 5900–5906. [Google Scholar] [CrossRef]
- Hu, Y.; Gao, Z.; Sun, W.; Liu, X. Anisotropic surface energies and adsorption behaviors of scheelite crystal. Colloids Surf. A Physicochem. Eng. Asp. 2012, 415, 439–448. [Google Scholar] [CrossRef]
- Antti, B.M.; Forssberg, E. Pulp chemistry in industrial mineral flotation. Studies of surface complex on calcite and apatite surfaces using FTIR spectroscopy. Miner. Eng. 1989, 2, 217–227. [Google Scholar] [CrossRef]
- Sun, W.; Han, H.; Sun, W.; Wang, R.; Wei, Z. Novel insights into the role of colloidal calcium dioleate in the flotation of calcium minerals. Miner. Eng. 2022, 175, 107274–107281. [Google Scholar] [CrossRef]
- Wang, Z.; Wang, L.; Zheng, Y.; Xiao, J. Role of calcium dioleate in the flotation of powellite particles using oleate. Miner. Eng. 2019, 138, 95–100. [Google Scholar] [CrossRef]
- Foucaud, Y.; Collet, A.; Filippova, I.V.; Badawi, M.; Filippov, L.O. Synergistic effects between fatty acids and non-ionic reagents for the selective flotation of scheelite from a complex tungsten skarn ore. Miner. Eng. 2022, 182, 107566. [Google Scholar] [CrossRef]
- Filippov, L.O.; Foucaud, Y.; Filippova, I.V.; Badawi, M. New reagent formulations for selective flotation of scheelite from a skarn ore with complex calcium minerals gangue. Miner. Eng. 2018, 123, 85–94. [Google Scholar] [CrossRef]
- Samatova, L.A.; Shepeta, E.D.; Kondrat’ev, S.A. Flotation properties of FX-6 collector in scheelite-sulfide ore concentration. J. Min. Sci. 2015, 51, 369–373. [Google Scholar] [CrossRef]
- Gao, Z.; Bai, D.; Sun, W.; Cao, X.; Hu, Y. Selective flotation of scheelite from calcite and fluorite using a collector mixture. Miner. Eng. 2015, 72, 23–26. [Google Scholar] [CrossRef]
- Zhu, H.; Qin, W.; Chen, C.; Liu, R. Interactions between sodium oleate and polyoxyethylene ether and the application in the low-temperature flotation of scheelite at 283 K. J. Surfactants Deterg. 2016, 19, 1289–1295. [Google Scholar] [CrossRef]
- Huang, G.; Feng, Q.; Ou, L.; Wu, X.; Lu, Y.; Zhang, G. A comparative study of recovering fine scheelite in tailings by flotation cell and flotation column. J. Solid Waste Technol. Manag. 2010, 36, 61–68. [Google Scholar] [CrossRef]
- Meng, X.; Yu, X.; Gao, Q. Experiment research on technology of processing low grade scheelite. Non-Ferrous Min. Metall. 2007, 23, 15–17. [Google Scholar]
- Liu, C.; Feng, Q.; Zhang, G.; Chen, W.; Chen, Y. Effect of depressants in the selective flotation of scheelite and calcite using oxidized paraffin soap as collector. Int. J. Miner. Process. 2016, 157, 210–215. [Google Scholar] [CrossRef]
- Wang, J.; Wei, Z.; Han, H.; Sun, W.; Gao, Z.; Xiang, G.; Wu, S.; Kang, J.; Jiang, X. Design and Assembly of Flotation Reagents of Tungsten Minerals. Met. Mine 2021, 6, 26–43. [Google Scholar] [CrossRef]
- Wan, H.; Cao, H.; Li, X. Processing technology of a refractory copper-bearing high-sulfur scheelite. China Tungsten Ind. 2020, 35, 29–35. [Google Scholar]
- Abdalla, M.A.M.; Peng, H.; Younus, H.A.; Wu, D.; Abusin, L.; Shao, H. Effect of synthesized mustard soap on the scheelite surface during flotation. Colloids Surf. A-Physicochem. Eng. Asp. 2018, 548, 108–116. [Google Scholar] [CrossRef]
- Sun, H.; Wang, S.; Fei, L.; Cao, Z.; Zhong, H.; Ma, X. The selective flotation separation of rhodochrosite against quartz and calcite with dicarboxylic amino acid-based surfactants as a novel collector. Miner. Eng. 2022, 182, 107559. [Google Scholar] [CrossRef]
- Jia, K.; Lu, Y.; Liu, J.; Cheng, S.; Liu, S.; Cao, Y.; Li, G. Selective flotation separation of hemimorphite from quartz using the biosurfactant sodium N-lauroylsarcosinate as a novel collector. Miner. Eng. 2023, 198, 108073. [Google Scholar] [CrossRef]
- Sun, W.; Liu, W.; Dai, S.; Duan, H.; Liu, W. Inserting EO groups to improve the performance of fatty acid collectors: Flotation and adsorption study performed with calcite, dolomite, and quartz. Sep. Purif. Technol. 2021, 272, 118952. [Google Scholar] [CrossRef]
- Wu, H.; Qi, G.; Lin, H. Application of a new collector ZL in scheelite flotation. China Tungsten Ind. 2019, 34, 25–30. [Google Scholar]
- Zhou, X.; Deng, L. Application of the new-type composite collector TA in flotation technology of a scheelite ore in hunan. Multipurp. Util. Miner. Resour. 2008, 6, 22–24. [Google Scholar]
- Li, W. Research progress of scheelite flotation reagents. World Nonferrous Met. 2019, 14, 245–247. [Google Scholar]
- Zhao, G.; Zhong, H.; Qiu, X.; Wang, S.; Gao, Y.; Dai, Z.; Huang, J.; Liu, G. The DFT study of cyclohexyl hydroxamic acid as a collector in scheelite flotation. Miner. Eng. 2013, 49, 54–60. [Google Scholar] [CrossRef]
- Qiu, X.; Cheng, D.; Wang, D. Reaction mechanism between benzoylhydroxamic acid and scheelite. Min. Metall. Eng. 2001, 21, 39–42. [Google Scholar]
- Deng, L.; Zhao, G.; Zhong, H.; Wang, S.; Liu, G. Investigation on the selectivity of N-((hydroxyamino)-alkyl) alkylamide surfactants for scheelite/calcite flotation separation. J. Ind. Eng. Chem. 2016, 33, 131–141. [Google Scholar] [CrossRef]
- Gao, Y.; Gao, Z.; Sun, W.; Yin, Z.; Wang, J.; Hu, Y. Adsorption of a novel reagent scheme on scheelite and calcite causing an effective flotation separation. J. Colloid Interface Sci. 2018, 512, 39–46. [Google Scholar] [CrossRef]
- Yin, W.; Wang, J.; Sun, Z. Structure–activity relationship and mechanisms of reagents used in scheelite flotation. Rare Met. 2014, 34, 882–887. [Google Scholar] [CrossRef]
- Xiao, Q.; Li, C.; Kang, G. Study on technological flowsheets for flotation process of shizhuyuan polymetallic ore with CF method. Min. Met. 1996, 5, 26–32. [Google Scholar]
- Zhang, Z.; Zhang, X.; Ye, Z.; Dai, Z.; Tong, J.; Guo, J. The study on new technique for flotation of wolfram from shizhuyuan polymetallic ores using GY method. Min. Metall. Eng. 1999, 19, 22–25. [Google Scholar]
- Han, Z.; Guan, Z.; Lu, Y.; Wang, G. Experimental study on recovering a certain tungsten ore using combination collectors. Min. Metall. Eng. 2009, 29, 50–54. [Google Scholar]
- Chen, M.; Song, B.; Zhao, R.; Yuan, Q.; Yao, L. Experimental study on flotation of skarn scheelite in gejiu city, yunnan province with a new hydroxamic acid collector. Conserv. Util. Miner. Resour. 2022, 42, 8–13. [Google Scholar] [CrossRef]
- Zhou, Y.; Wu, Y. The current research situation and countermeasures of scheelite flotation. China Tungsten Ind. 2013, 28, 19–24. [Google Scholar]
- Sørensen, E. On the adsorption of some anionic collectors on fluoride minerals. J. Colloid Interface Sci. 1973, 45, 601–607. [Google Scholar] [CrossRef]
- GonzalezMartin, M.L.; Bruque, J.M.; GonzalezCaballero, F.; PereaCarpio, R.; Janczuk, B. The mechanism of adsorption of sodium dodecylsulfonate on fluorite and its surface free energy. Appl. Surf. Sci. 1996, 103, 395–402. [Google Scholar] [CrossRef]
- Gao, Z.; Gao, Y.; Zhu, Y.; Hu, Y.; Sun, W. Selective Flotation of Calcite from Fluorite: A Novel Reagent Schedule. Minerals 2016, 6, 114–121. [Google Scholar] [CrossRef]
- Chen, Z.; Ren, Z.; Gao, H.; Zheng, R.; Jin, Y.; Niu, C. Flotation studies of fluorite and barite with sodium petroleum sulfonate and sodium hexametaphosphate. J. Mater. Res. Technol. 2019, 8, 1267–1273. [Google Scholar] [CrossRef]
- Wang, J.; Yin, W.z.; Zhang, Y.; Liang, X.; Sun, Z. Mechanism and effect of mixed sodium oleate sodium dodecyl benzene sulfonate on the scheelite flotation. Nonferrous Met. (Miner. Process. Sect.) 2018, 106–110. [Google Scholar]
- Zhang, Z. Synthesis and Application of Novel Flotation Collectors of Tungsten and Molybdenum. Master’s Thesis, Henan University Science and Technology, Luoyang, China, 2010. [Google Scholar]
- Zhao, Y. Application of sulfonic and sulfinic acid surfactants in flotation. Nonferrous Met. (Smelt. Sect.) 1977, 21–32. [Google Scholar]
- Gouri Charan, T.; Rao, G.V. Recovery of low grade scheelite by spherical agglomeration. Min. Metall. Explor. 1990, 7, 79–83. [Google Scholar] [CrossRef]
- Rao, G.V. An approach for recovery of low-grade scheelite fines from gold plant tailings dump of Kolar, India. Trans. Indian Inst. Met. 1992, 45, 275–281. [Google Scholar]
- Marinakis, K.I.; Kelsall, G.H. The surface chemical properties of scheelite (CaWO4) II. Collector adsorption and recovery of fine scheelite particles at the iso-octane/water interface. Colloids Surf. 1987, 26, 243–255. [Google Scholar] [CrossRef]
- Lu, Y.; Lin, Q.; Wang, D. A new type of reagent for flotation separation of fluorite, scheelite and garnet-LP Series collectors. Non-Ferrous Min. Metall. 1993, 20–25. [Google Scholar]
- Gao, Z.; Hu, Y.; Sun, W.; Drelich, J.W. Surface-Charge Anisotropy of Scheelite Crystals. Langmuir 2016, 32, 6282–6288. [Google Scholar] [CrossRef]
- Hiçyìlmaz, C.; Atalay, Ü.; Özbayoglu, G. Selective flotation of scheelite using amines. Miner. Eng. 1993, 6, 313–320. [Google Scholar] [CrossRef]
- Gao, Z.; Sun, W.; Hu, Y. New insights into the dodecylamine adsorption on scheelite and calcite: An adsorption model. Miner. Eng. 2015, 79, 54–61. [Google Scholar] [CrossRef]
- Wang, J.; Gao, Z.; Gao, Y.; Hu, Y.; Sun, W. Flotation separation of scheelite from calcite using mixed cationic/anionic collectors. Miner. Eng. 2016, 98, 261–263. [Google Scholar] [CrossRef]
- Dong, L.; Jiao, F.; Qin, W.; Zhu, H.; Jia, W. Effect of acidified water glass on the flotation separation of scheelite from calcite using mixed cationic/anionic collectors. Appl. Surf. Sci. 2018, 444, 747–756. [Google Scholar] [CrossRef]
- Dong, L.; Zhu, H.; Jiao, F.; Qin, W.; Jia, W. Effect of calcium ions on scheelite flotation using mixed collectors. Sep. Sci. Technol. 2018, 54, 153–162. [Google Scholar] [CrossRef]
- Ni, C.; Liu, C.; Fang, X.; Ren, Z.; Yang, L.; Shao, P.; Luo, X.; Zeng, G.; Duan, L.; Liu, T. A novel collector with wide pH adaptability and high selectivity towards flotation separation of scheelite from calcite. Miner. Eng. 2020, 158, 106606–106608. [Google Scholar] [CrossRef]
- Yang, F.; Sun, W.; Hu, Y.; Long, S. Cationic flotation of scheelite from calcite using quaternary ammonium salts as collector: Adsorption behavior and mechanism. Miner. Eng. 2015, 81, 18–28. [Google Scholar] [CrossRef]
- Yang, F. Application of Quaternary Ammonium Salts as Collector in Flotation of Scheelite and Research of the reaction Mechanism. Ph.D. Thesis, Central South University, Changsha, China, 2013. [Google Scholar]
- Huang, Z.; Zhang, S.; Cheng, C.; Wang, H.; Liu, R.; Hu, Y.; He, G.; Yu, X.; Fu, W. Recycling Lepidolite from Tantalum–Niobium Mine Tailings by a Combined Magnetic–Flotation Process Using a Novel Gemini Surfactant: From Tailings Dams to the “Bling” Raw Material of Lithium. ACS Sustain. Chem. Eng. 2020, 8, 18206–18214. [Google Scholar] [CrossRef]
- Ni, C. Study on the Application and Mechanism of Gemini Quaternary Ammonium in Scheelite Flotation Separation and Wastewater Treatment. Master’s Thesis, Nanchang Hangkong University, Nanchang, China, 2021. [Google Scholar]
- Liu, C.; Ni, C.; Yao, J.; Chang, Z.; Wang, Z.; Zeng, G.; Luo, X.; Yang, L.; Ren, Z.; Shao, P.; et al. Hydroxypropyl amine surfactant: A novel flotation collector for efficient separation of scheelite from calcite. Miner. Eng. 2021, 167, 106898. [Google Scholar] [CrossRef]
- Huang, Z.; Shuai, S.; Burov, V.E.; Poilov, V.Z.; Li, F.; Wang, H.; Liu, R.; Zhang, S.; Cheng, C.; Li, W.; et al. Adsorption of Trisiloxane Surfactant for Selective Flotation of Scheelite from Calcite at Room Temperature. Langmuir 2022, 38, 9010–9020. [Google Scholar] [CrossRef] [PubMed]
- Shuai, S.; Huang, Z.; Burov, V.E.; Poilov, V.Z.; Li, F.; Wang, H.; Liu, R.; Zhang, S.; Cheng, C.; Li, W.; et al. Flotation separation of wolframite from calcite using a new trisiloxane surfactant as collector. Int. J. Min. Sci. Technol. 2023, 33, 379–387. [Google Scholar] [CrossRef]
- Wang, Q.; Zhang, X.; Li, K.; Wu, L. Research progress of flotation reagents for scheelite. China Tungsten Ind. 2015, 30, 21–27. [Google Scholar]
- Xu, S.; Meng, S.; Guo, D. Flotation of scheelite with amphoteric collectors. Nonferrous Metals (Miner. Process. Sect.) 1986, 24–28. [Google Scholar]
- Nosov, I.A. Possibility of using acylamino acid collector in flotation of scheelite ores. J. Min. Sci. 1996, 32, 423–426. [Google Scholar] [CrossRef]
- Hu, Y.; Wang, D. Research on flotation of fluorite, barite and scheelite with a New type of amphoteric collector. Nonferrous Metals (Miner. Process. Sect.) 1989, 10–14. [Google Scholar]
- Ozcan, O.; Bulutcu, A.N.; Sayan, P.; Recepoglu, O. Scheelite flotation-a new scheme using oleoyl sarcosine as collector and alkyl oxine as modifier. Int. J. Miner. Process. 1994, 42, 111–120. [Google Scholar] [CrossRef]
- Hu, Y.; Xu, Z. Interactions of amphoteric amino phosphoric acids with calcium-containing minerals and selective flotation. Int. J. Miner. Process. 2003, 72, 87–94. [Google Scholar] [CrossRef]
- Deng, L.; Zhou, X. Flotation studies on low-grade scheelite with R31 as Collector. Conserv. Util. Miner. Resour. 2007, 8, 19–22. [Google Scholar]
- Kang, J.; Hu, Y.; Sun, W.; Gao, Z.; Liu, R. Utilization of sodium hexametaphosphate for separating Scheelite from calcite and fluorite using an anionic–nonionic collector. Minerals 2019, 9, 705–720. [Google Scholar] [CrossRef]
- Filippov, L.O.; Filippova, I.V.; Lafhaj, Z.; Fornasiero, D. The role of a fatty alcohol in improving calcium minerals flotation with oleate. Colloids Surf. A Physicochem. Eng. Asp. 2019, 560, 410–417. [Google Scholar] [CrossRef]
- Han, C.; Zhang, H.; Tan, R.; Shen, Y.; Wei, D.; Liu, W. Effects of monohydric alcohols of varying chain lengths and isomeric structures on magnesite and dolomite flotation by dodecylamine. Powder Technol. 2020, 374, 233–240. [Google Scholar] [CrossRef]
- Ruan, Y.; Deng, B.; He, D.; Chi, R. Synergetic effect of cottonseed fatty acid salt and nonionic surfactant NP-4 in the froth flotation of siliceous-calcareous phosphate rock. Colloids Surf. A Physicochem. Eng. Asp. 2021, 622, 126650. [Google Scholar] [CrossRef]
- Filippova, I.V.; Filippov, L.O.; Duverger, A.; Severov, V.V. Synergetic effect of a mixture of anionic and nonionic reagents: Ca mineral contrast separation by flotation at neutral pH. Miner. Eng. 2014, 66–68, 135–144. [Google Scholar] [CrossRef]
- Shepeta, E.D.; Ignatkina, V.A.; Kondrat’ev, S.A.; Samatova, L.A. Flotation of calcium minerals with combination of reagents of different molecular structure. J. Min. Sci. 2019, 55, 970–983. [Google Scholar] [CrossRef]
- Kupka, N.; Rudolph, M. Role of sodium carbonate in scheelite flotation—A multi-faceted reagent. Miner. Eng. 2018, 129, 120–128. [Google Scholar] [CrossRef]
- Zhao, K.; Dai, H.; Gong, Z.; Lu, M.; Wang, F.; Wu, L.; Xie, P.; Zhao, M. Research progress of scheelite flotation behavior. Nonferrous Met. (Miner. Process. Sect.) 2022, 6, 155–164. [Google Scholar]
- Sun, W.; Song, S. The application and analysis of water glass in the scheelite flotation. China Tungsten Ind. 2013, 28, 22–25. [Google Scholar]
- Han, H.; Xiao, Y.; Hu, Y.; Sun, W.; Nguyen, A.V.; Tang, H.; Gui, X.; Xing, Y.; Wei, Z.; Wang, J. Replacing Petrov’s process with atmospheric flotation using Pb-BHA complexes for separating scheelite from fluorite. Miner. Eng. 2020, 145. [Google Scholar] [CrossRef]
- Ai, G.; Yi, C.; Wu, H. Experimental flotation on a scheelite ore of Jiangxi. China Tungsten Ind. 2016, 31, 3–8. [Google Scholar]
- Kupka, N.; Babel, B.; Rudolph, M. The potential role of colloidal silica as a depressant in scheelite flotation. Minerals 2020, 10, 144–152. [Google Scholar] [CrossRef]
- Yan, W.; Xiong, L.; Chen, X. Application environment and mechanism of water glass in scheelite flotation. China Tungsten Ind. 2014, 29, 20–25. [Google Scholar]
- Wei, Z.; Hu, Y.; Han, H.; Sun, W.; Wang, R.; Sun, W.; Wang, J.; Gao, Z.; Wang, L.; Zhang, C.; et al. Selective separation of scheelite from calcite by self-Assembly of H2SiO3 polymer using Al3+ in Pb-BHA flotation. Minerals 2019, 9, 43–57. [Google Scholar] [CrossRef]
- Foucaud, Y.; Badawi, M.; Filippov, L.O.; Barres, O.; Filippova, I.V.; Lebegue, S. Synergistic adsorptions of Na2CO3 and Na2SiO3 on calcium minerals revealed by spectroscopic and ab initio molecular dynamics studies. Chem. Sci. 2019, 10, 9928–9940. [Google Scholar] [CrossRef]
- Zhou, W.; Moreno, J.; Torres, R.; Valle, H.; Song, S. Flotation of fluorite from ores by using acidized water glass as depressant. Miner. Eng. 2013, 45, 142–145. [Google Scholar] [CrossRef]
- Feng, B.; Luo, X.; Wang, J.; Wang, P. The flotation separation of scheelite from calcite using acidified sodium silicate as depressant. Miner. Eng. 2015, 80, 45–49. [Google Scholar] [CrossRef]
- Kupka, N.; Möckel, R.; Rudolph, M. Acidified water glass in the selective flotation of scheelite from calcite, Part I: Performance and impact of the acid type. Physicochem. Probl. Miner. Process. 2019, 56, 238–251. [Google Scholar]
- Dong, L.; Jiao, F.; Qin, W.; Zhu, H.; Jia, W. Selective depressive effect of sodium fluorosilicate on calcite during scheelite flotation. Miner. Eng. 2019, 131, 262–271. [Google Scholar] [CrossRef]
- Li, C.; Lü, Y. Selective flotation of scheelite from calcium minerals with sodium oleate as a collector and phosphates as modifiers. II. The mechanism of the interaction between phosphate modifiers and minerals. Int. J. Miner. Process. 1983, 10, 219–235. [Google Scholar] [CrossRef]
- Wang, J.; Yin, W.z.; Sun, Z. Selective inhibition and mechanism of scheelite and apatitle flotation. Nonferrous Met. Eng. 2019, 9, 66–69. [Google Scholar]
- Wang, X.; Jia, W.; Yang, C.; He, R.; Jiao, F.; Qin, W.; Cui, Y.; Zhang, Z.; Li, W.; Song, H. Innovative application of sodium tripolyphosphate for the flotation separation of scheelite from calcite. Miner. Eng. 2021, 170, 106981–106990. [Google Scholar] [CrossRef]
- Wang, X.; Song, Q.; Xie, R.; Liu, J.; Zhu, Y. Selective flotation separation of scheelite from apatite by application of ATMP as an efficient depressant. J. Mol. Liq. 2023, 378, 121604. [Google Scholar] [CrossRef]
- Wen, R.M.; Deng, S.Q.; Zhu, Z.L.; Fan, W.; Zhang, Y.F. Studies on complexation of ATMP, PBTCA, PAA and PMAAA with Ca2+ in aqueous solutions. Chem. Res. Chin. Univ. 2004, 20, 36–39. [Google Scholar]
- Pairat, R.; Sumeath, C.; Browning, F.H.; Fogler, H.S. Precipitation and dissolution of calcium-ATMP precipitates for the inhibition of scale formation in porous media. Langmuir 1997, 13, 1791–1798. [Google Scholar] [CrossRef]
- Zhu, S.; Asim Khan, M.; Wang, F.; Bano, Z.; Xia, M. Rapid removal of toxic metals Cu2+ and Pb2+ by amino trimethylene phosphonic acid intercalated layered double hydroxide: A combined experimental and DFT study. Chem. Eng. J. 2020, 392, 123711. [Google Scholar] [CrossRef]
- Lu, T.; Chen, F. Multiwfn: A multifunctional wavefunction analyzer. J. Comput. Chem. 2012, 33, 580–592. [Google Scholar] [CrossRef]
- Lu, T.; Chen, F. Quantitative analysis of molecular surface based on improved Marching Tetrahedra algorithm. J. Mol. Graph. Model. 2012, 38, 314–323. [Google Scholar] [CrossRef]
- Sun, W.; Hu, Y.; Qin, W.; Xu, J. The status about research of flotation reagent for wolfram. Conserv. Util. Miner. Resour. 2000, 6, 42–46. [Google Scholar] [CrossRef]
- Guo, W.; Feng, B.; Zhong, Z.; Weng, C.; Luo, X. Research progress on the depressants for flotation separation of scheelite and calcium-bearing gangue. Conserv. Util. Miner. Resour. 2017, 8, 113–118. [Google Scholar] [CrossRef]
- Wu, H. Adsorption Behavior and Mechanism of Cellulose Inhibitors in the System of Scheelite Flotation. Master’s Thesis, Jiangxi University of Science and Technology, Ganzhou, China, 2018. [Google Scholar]
- Chen, W.; Feng, Q.; Zhang, G.; Yang, Q.; Zhang, C. The effect of sodium alginate on the flotation separation of scheelite from calcite and fluorite. Miner. Eng. 2017, 113, 1–7. [Google Scholar] [CrossRef]
- Chen, W.; Feng, Q.; Zhang, G.; Yang, Q.; Zhang, C.; Xu, F. The flotation separation of scheelite from calcite and fluorite using dextran sulfate sodium as depressant. Int. J. Miner. Process. 2017, 169, 53–59. [Google Scholar] [CrossRef]
- Chen, W.; Feng, Q.; Zhang, G.; Yang, Q. Investigations on flotation separation of scheelite from calcite by using a novel depressant: Sodium phytate. Miner. Eng. 2018, 126, 116–122. [Google Scholar] [CrossRef]
- Jiao, F.; Dong, L.; Qin, W.; Liu, W.; Hu, C. Flotation separation of scheelite from calcite using pectin as depressant. Miner. Eng. 2019, 136, 120–128. [Google Scholar] [CrossRef]
- Dong, L.; Jiao, F.; Qin, W.; Liu, W. Selective flotation of scheelite from calcite using xanthan gum as depressant. Miner. Eng. 2019, 138, 14–23. [Google Scholar] [CrossRef]
- Feng, B.; Peng, J.; Guo, W.; Luo, G.; Zhang, W.; Wang, H. The depression behavior and mechanism of carboxymethyl chitosan on calcite flotation. J. Mater. Res. Technol. 2019, 8, 1036–1040. [Google Scholar] [CrossRef]
- Ai, G.; Liu, C.; Zhang, W. Utilization of sodium humate as selective depressants for calcite on the flotation of scheelite. Sep. Sci. Technol. 2018, 53, 2136–2143. [Google Scholar] [CrossRef]
- Wang, X.; Jiao, F.; Qin, W.; Yang, C.; Cui, Y.; Wang, Y.; Zhang, Z.; Song, H. Sulfonated brown coal: A novel depressant for the selective flotation of scheelite from calcite. Colloids Surf. A Physicochem. Eng. Asp. 2020, 602, 125006. [Google Scholar] [CrossRef]
- Man, S. Research on the application of tannin in mineral processing. Non-Ferrous Min. Metall. 1991, 12–17. [Google Scholar]
- Qiu, T.; Song, Y.; Qiu, X.; Li, X. Performance of organic depressants in scheelite flotation system. Chin. J. Nonferrous Met. 2017, 27, 1527–1534. [Google Scholar] [CrossRef]
- Liu, Y.; Liu, Q. Flotation separation of carbonate from sulfide minerals, I: Flotation of single minerals and mineral mixtures. Miner. Eng. 2004, 17, 855–863. [Google Scholar] [CrossRef]
- Liu, Y.; Liu, Q. Flotation separation of carbonate from sulfide minerals, II: Mechanisms of flotation depression of sulfide minerals by thioglycollic acid and citric acid. Miner. Eng. 2004, 17, 865–878. [Google Scholar] [CrossRef]
- Hu, Y.; Sun, W.; Jiang, Y.; Xu, J. Inhibition Effect and Mechanism of Citric Acid in Flotation Separation of Scheelite and Fluorite. Met. Ore Dress. Abroad 1998, 27–29. [Google Scholar]
- Dong, L.; Qiao, L.; Zheng, Q.; Shen, P.; Qin, W.; Jiao, F.; Liu, D. Enhanced adsorption of citric acid at the calcite surface by adding copper ions: Flotation separation of scheelite from calcite. Colloids Surf. A Physicochem. Eng. Asp. 2023, 663, 131036. [Google Scholar] [CrossRef]
- Guo, Y.; Wang, Q.; Wei, D.; Ye, C.; Wei, H. Normal temperature flotation of a low grade scheelite ore from yunnan. Conserv. Util. Miner. Resour. 2015, 6, 29–33. [Google Scholar] [CrossRef]
- Ai, G.; Xu, X.; Wu, H.; Qiu, X. Experimental research on beneficiation of a low-grade scheelite in Jiangxi. Nonferrous Met. Eng. 2017, 7, 44–48. [Google Scholar]
- Zhu, W.; Dong, L.; Jiao, F.; Qin, W.; Wei, Q. Use of sodium hexametaphosphate and citric acid Mixture as depressant in the flotation separation of scheelite from calcite. Minerals 2019, 9, 560–576. [Google Scholar] [CrossRef]
- Wei, Z.; Han, H.; Hu, Y.; Zhu, Y.; Sun, W.; Wang, J.; Lin, S.; Cheng, P.; Li, C.; Chen, Y. Flotation of wolframite and scheelite at the room temperature based on Pb-BHA coordination collector. Nonferrous Met. Eng. 2017, 7, 70–75. [Google Scholar]
- Hu, Y.; Han, H.; Tian, M.; Sun, W.; Wang, J.; Wei, Z.; Wang, R. The application of metal -coordinated complexes in the flotation of oxide minerals and fundamental research of the adsorption mechanism. Conserv. Util. Miner. Resour. 2018, 2, 42–53. [Google Scholar] [CrossRef]
- Sun, W.; Han, H.; Hu, Y.; Sun, W.; Zhu, Y.; Gui, X.; Cao, X.; Xing, Y.; Li, C.; Wei, Z. Flotation theory and research progress of metal ion coordination regulation molecule assembly. Chin. J. Nonferrous Met. 2020, 30, 927–941. [Google Scholar]
- Han, H.; Hu, Y.; Sun, W.; Li, X.; Chen, K.; Zhu, Y.; Nguyen, A.V.; Tian, M.; Wang, L.; Yue, T.; et al. Novel catalysis mechanisms of benzohydroxamic acid adsorption by lead ions and changes in the surface of scheelite particles. Miner. Eng. 2018, 119, 11–22. [Google Scholar] [CrossRef]
- Han, H.; Liu, W.; Hu, Y.; Sun, W.; Li, X. A novel flotation scheme: Selective flotation of tungsten minerals from calcium minerals using Pb-BHA complexes in Shizhuyuan. Rare Met. 2017, 36, 533–540. [Google Scholar] [CrossRef]
- Ignatkina, V.A.; Shepeta, E.D.; Samatova, L.A.; Bocharov, V.A. An Increase in Process Characteristics of Flotation of Low-Grade Fine-Disseminated Scheelite Ores. Russ. J. Non-Ferrous Met. 2019, 60, 609–616. [Google Scholar] [CrossRef]
- Foucaud, Y.; Filippova, I.V.; Filippov, L.O. Investigation of the depressants involved in the selective flotation of scheelite from apatite, fluorite, and calcium silicates: Focus on the sodium silicate/sodium carbonate system. Powder Technol. 2019, 352, 501–512. [Google Scholar] [CrossRef]
- Wei, Z.; Hu, Y.; Han, H.; Sun, W.; Wang, R.; Wang, J. Selective flotation of scheelite from calcite using Al-Na2SiO3 polymer as depressant and Pb-BHA complexes as collector. Miner. Eng. 2018, 120, 29–34. [Google Scholar] [CrossRef]
- Deng, R.; Yang, X.; Hu, Y.; Ku, J.; Zuo, W.; Ma, Y. Effect of Fe(II) as assistant depressant on flotation separation of scheelite from calcite. Miner. Eng. 2018, 118, 133–140. [Google Scholar] [CrossRef]
- Yao, W.; Li, M.; Zhang, M.; Cui, R.; Shi, J.; Ning, J. Effect of Zn2+ and its addition sequence on flotation separation of scheelite from calcite using water glass. Colloids Surf. A Physicochem. Eng. Asp. 2020, 588, 124394–124402. [Google Scholar] [CrossRef]
- Yao, W.; Li, M.; Zhang, M.; Cui, R.; Shi, J.; Ning, J. Decoupling the effects of solid and liquid phases in a Pb-water glass mixture on the selective flotation separation of scheelite from calcite. Miner. Eng. 2020, 154, 106423. [Google Scholar] [CrossRef]
- Guan, Z.; Lu, K.; Zhang, Y.; Yang, H.; Li, X. Mechanism of manganese ion interaction with the surface of scheelite and calcite and its effect on flotation separation. Colloids Surf. A Physicochem. Eng. Asp. 2022, 648, 129397. [Google Scholar] [CrossRef]
- Dong, L.; Jiao, F.; Qin, W.; Wei, Q. Utilization of iron ions to improve the depressive efficiency of tartaric acid on the flotation separation of scheelite from calcite. Miner. Eng. 2021, 168, 106925–106933. [Google Scholar] [CrossRef]
- Han, H.; Hu, Y.; Sun, W.; Li, X.; Cao, C.; Liu, R.; Yue, T.; Meng, X.; Guo, Y.; Wang, J.; et al. Fatty acid flotation versus BHA flotation of tungsten minerals and their performance in flotation practice. Int. J. Miner. Process. 2017, 159, 22–29. [Google Scholar] [CrossRef]
- Foucaud, Y.; Filippova, I.; Dehaine, Q.; Hubert, P.; Filippov, L. Integrated approach for the processing of a complex tungsten Skarn ore (Tabuaco, Portugal). Miner. Eng. 2019, 143, 105896. [Google Scholar] [CrossRef]
- Sivamohan, R. Influence of common variables on the shear flocculation of, and oleate adsorption/abstraction by, very fine fluorite and scheelite. In Production and Processing of Fine Particles; Plumpton, A.J., Ed.; Pergamon: Amsterdam, The Netherlands, 1988; pp. 337–351. [Google Scholar]
- Tao, X.; Liu, Y.; Jiang, H.; Chen, R. Microbubble generation with shear flow on large-area membrane for fine particle flotation. Chem. Eng. Process.-Process Intensif. 2019, 145, 107671. [Google Scholar] [CrossRef]
- Cheng, K.; Wu, X.; Tang, H.; Zeng, Y. The flotation of fine hematite by selective flocculation using sodium polyacrylate. Miner. Eng. 2022, 176, 107273. [Google Scholar] [CrossRef]
- Fu, J.; Han, H.; Wei, Z.; Sun, W.; Yue, T. Recovery of ultrafine scheelite particles by magnetic seeding flocculation and its mechanism. Colloids Surf. A Physicochem. Eng. Asp. 2021, 628, 127266. [Google Scholar] [CrossRef]
- Yao, W.; Li, M.; Zhang, M.; Cui, R.; Shi, J.; Ning, J. Effects of Pb2+ ions on the flotation behavior of scheelite, calcite, and fluorite in the presence of water glass. Colloids Surf. A Physicochem. Eng. Asp. 2022, 632, 127826. [Google Scholar] [CrossRef]
- Wang, R.; Wei, Z.; Han, H.; Sun, W.; Hu, Y.; Wang, J.; Wang, L.; Liu, H.; Yang, Y.; Zhang, C.; et al. Fluorite particles as a novel calcite recovery depressant in scheelite flotation using Pb-BHA complexes as collectors. Miner. Eng. 2019, 132, 84–91. [Google Scholar] [CrossRef]
Disclaimer/Publisher’s Note: The statements, opinions and data contained in all publications are solely those of the individual author(s) and contributor(s) and not of MDPI and/or the editor(s). MDPI and/or the editor(s) disclaim responsibility for any injury to people or property resulting from any ideas, methods, instructions or products referred to in the content. |
© 2023 by the authors. Licensee MDPI, Basel, Switzerland. This article is an open access article distributed under the terms and conditions of the Creative Commons Attribution (CC BY) license (https://creativecommons.org/licenses/by/4.0/).


















