Assessment of the Effect of Organic Matter on Rare Earth Elements and Yttrium Using the Zhijin Early Cambrian Phosphorite as an Example
Abstract
:1. Introduction
2. Regional Geology
2.1. Paleogeography
2.2. Deposit Geology
3. Materials and Methods
3.1. Sampling
3.2. Compositions of Major Elements, Trace Elements, and REY
3.3. Scanning Electron Microscopy (SEM)
3.4. Analyses of Isotopes and Total Organic Carbon
3.5. In Situ REY Analysis Using LA-ICP-MS
3.6. In Situ Major Element Analysis
4. Results
5. Discussion
5.1. Diagenetic Evaluation

5.2. Decoupling of Carbonate and Organic Carbon Isotopes
5.2.1. Controls on δ13Ccarb

5.2.2. Controls on δ13Corg



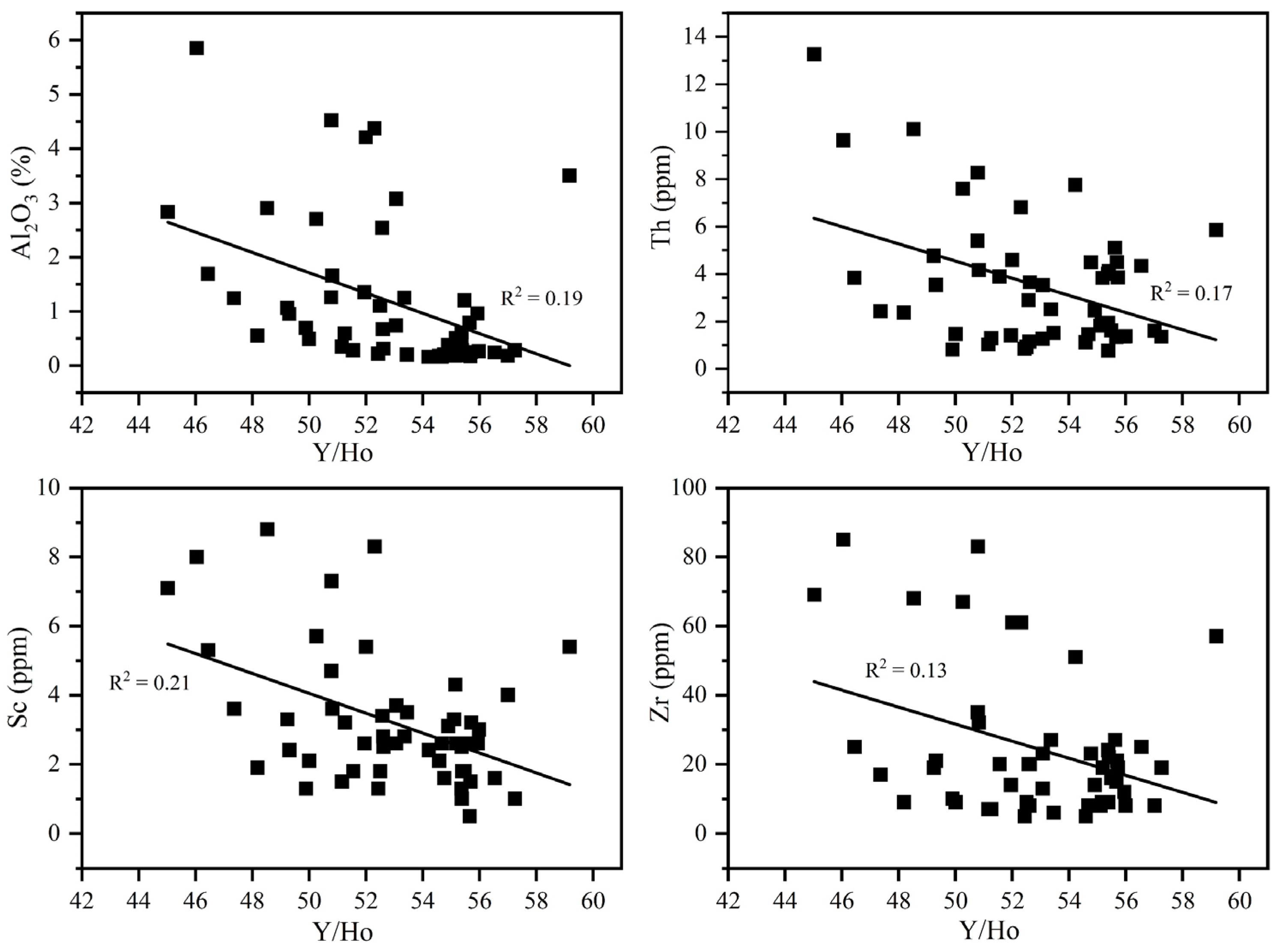
5.3. Effect of Organic Matter on REY Enrichment
6. Conclusions
Supplementary Materials
Author Contributions
Funding
Data Availability Statement
Acknowledgments
Conflicts of Interest
References
- Vogel, J.C. 4—Variability of Carbon Isotope Fractionation during Photosynthesis. In Stable Isotopes and Plant Carbon-Water Relations; Ehleringer, J.R., Hall, A.E., Farquhar, G.D., Eds.; Academic Press: San Diego, CA, USA, 1993; pp. 29–46. [Google Scholar]
- Descolas-Gros, C.; Fontungne, M. Stable carbon isotope fractionation by marine phytoplankton during photosynthesis. Plant Cell Environ. 1990, 13, 207–218. [Google Scholar] [CrossRef]
- Veizer, J.; Ala, D.; Azmy, K.; Bruckschen, P.; Buhl, D.; Bruhn, F.; Carden, G.A.F.; Diener, A.; Ebneth, S.; Godderis, Y.; et al. Sr-87/Sr-86, delta C-13 and delta O-18 evolution of Phanerozoic seawater. Chem. Geol. 1999, 161, 59–88. [Google Scholar] [CrossRef] [Green Version]
- Hayes, J.M.; Strauss, H.; Kaufman, A.J. The abundance of 13C in marine organic matter and isotopic fractionation in the global biogeochemical cycle of carbon during the past 800 Ma. Chem. Geol. 1999, 161, 103–125. [Google Scholar] [CrossRef]
- McFadden, K.A.; Huang, J.; Chu, X.; Jiang, G.; Kaufman, A.J.; Zhou, C.; Yuan, X.; Xiao, S. Pulsed oxidation and biological evolution in the Ediacaran Doushantuo Formation. Proc. Natl. Acad. Sci. USA 2008, 105, 3197–3202. [Google Scholar] [CrossRef] [Green Version]
- Fike, D.A.; Grotzinger, J.P.; Pratt, L.M.; Summons, R.E. Oxidation of the Ediacaran Ocean. Nature 2006, 444, 744–747. [Google Scholar] [CrossRef]
- Rothman, D.H.; Hayes, J.M.; Summons, R.E. Dynamics of the Neoproterozoic carbon cycle. Proc. Natl. Acad. Sci. USA 2003, 100, 8124–8129. [Google Scholar] [CrossRef] [Green Version]
- Ader, M.; Macouin, M.; Trindade, R.; Hadrien, M.; Yang, Z.-Y.; Sun, Z.-M.; Besse, J. A multilayered water column in the Ediacaran Yangtze platform? Insights from carbonate and organic matter paired δ13C. Earth Planet. Sci. Lett. 2009, 288, 213–227. [Google Scholar] [CrossRef]
- Grotzinger, J.P.; Knoll, A.H. Anomalous carbonate precipitates: Is the Precambrian the key to the Permian? Palaios 1995, 10, 578–596. [Google Scholar] [CrossRef] [Green Version]
- Hoffman, P.F.; Kaufman, A.J.; Halverson, G.P.; Schrag, D.P. A Neoproterozoic Snowball Earth. Science 1998, 281, 1342–1346. [Google Scholar] [CrossRef] [Green Version]
- Kennedy, M.J.; Christie-Blick, N.; Sohl, L.E. Are Proterozoic cap carbonates and isotopic excursions a record of gas hydrate destabilization following Earth’s coldest intervals? Geology 2001, 29, 443–446. [Google Scholar] [CrossRef] [Green Version]
- Jiang, G.; Wang, X.; Shi, X.; Xiao, S.; Zhang, S.; Dong, J. The origin of decoupled carbonate and organic carbon isotope signatures in the early Cambrian (ca. 542–520 Ma) Yangtze platform. Earth Planet. Sci. Lett. 2012, 317, 96–110. [Google Scholar] [CrossRef]
- Wang, X.; Jiang, G.; Shi, X.; Xiao, S. Paired carbonate and organic carbon isotope variations of the Ediacaran Doushantuo Formation from an upper slope section at Siduping, South China. Precambrian Res. 2016, 273, 53–66. [Google Scholar] [CrossRef]
- Gao, Y.; Zhang, X.; Xu, Y.; Fang, C.; Gong, Y.; Shen, Y. High primary productivity during the Ediacaran Period revealed by the covariation of paired C-isotopic records from South China. Precambrian Res. 2020, 349, 105411. [Google Scholar] [CrossRef]
- Johnston, D.T.; Macdonald, F.A.; Gill, B.; Hoffman, P.; Schrag, D.P. Uncovering the Neoproterozoic carbon cycle. Nature 2012, 483, 320–323. [Google Scholar] [CrossRef]
- Jiang, G.; Wang, X.; Shi, X.; Zhang, S.; Xiao, S.; Dong, J. Organic carbon isotope constraints on the dissolved organic carbon (DOC) reservoir at the Cryogenian–Ediacaran transition. Earth Planet. Sci. Lett. 2010, 299, 159–168. [Google Scholar] [CrossRef]
- Lee, C.; Love, G.D.; Fischer, W.W.; Grotzinger, J.P.; Halverson, G.P. Marine organic matter cycling during the Ediacaran Shuram excursion. Geology 2015, 43, 1103–1106. [Google Scholar] [CrossRef] [Green Version]
- Zhang, X.L.; Zhou, X.; Hu, D.P. High-resolution paired carbon isotopic records from the Meishucun section in South China: Implications for carbon cycling and environmental changes during the Ediacaran-Cambrian transition. Precambrian Res. 2020, 337, 10. [Google Scholar] [CrossRef]
- Guo, Q.; Strauss, H.; Zhu, M.; Zhang, J.; Yang, X.; Lu, M.; Zhao, F. High resolution organic carbon isotope stratigraphy from a slope to basinal setting on the Yangtze Platform, South China: Implications for the Ediacaran–Cambrian transition. Precambrian Res. 2013, 225, 209–217. [Google Scholar] [CrossRef]
- Chang, H.; Chu, X.; Feng, L.; Huang, J.; Chen, Y. Marine redox stratification on the earliest Cambrian (ca. 542–529 Ma) Yangtze Platform. Palaeogeogr. Palaeoclimatol. Palaeoecol. 2018, 504, 75–85. [Google Scholar] [CrossRef]
- Wang, X.; Shi, X.; Jiang, G.; Tang, D. Organic carbon isotope gradient and ocean stratification across the late Ediacaran-Early Cambrian Yangtze Platform. Sci. China Earth Sci. 2014, 57, 919–929. [Google Scholar] [CrossRef]
- Föllmi, K. The phosphorus cycle, phosphogenesis and marine phosphate-rich deposits. Earth-Sci. Rev. 1996, 40, 55–124. [Google Scholar] [CrossRef]
- Shen, Y.; Schidlowski, M.; Chu, X. Biogeochemical approach to understanding phosphogenic events of the terminal Proterozoic to Cambrian. Palaeogeogr. Palaeoclimatol. Palaeoecol. 2000, 158, 99–108. [Google Scholar] [CrossRef]
- Felitsyn, S.; Morad, S. REE patterns in latest Neoproterozoic–early Cambrian phosphate concretions and associated organic matter. Chem. Geol. 2002, 187, 257–265. [Google Scholar] [CrossRef]
- Freslon, N.; Bayon, G.; Toucanne, S.; Bermell, S.; Bollinger, C.; Chéron, S.; Etoubleau, J.; Germain, Y.; Khripounoff, A.; Ponzevera, E. Rare earth elements and neodymium isotopes in sedimentary organic matter. Geochim. Cosmochim. Acta 2014, 140, 177–198. [Google Scholar] [CrossRef] [Green Version]
- Zhu, B.; Jiang, S.Y.; Yang, J.H.; Pi, D.; Ling, H.F.; Chen, Y.Q. Rare earth element and Sr Nd isotope geochemistry of phosphate nodules from the lower Cambrian Niutitang Formation, NW Hunan Province, South China. Palaeogeogr. Palaeoclimatol. Palaeoecol. 2014, 398, 132–143. [Google Scholar] [CrossRef]
- McLennan, S.M. Rare earth elements in sedimentary rocks: Influence of provenance and sedimentary processes. Rev. Mineral. 1989, 21, 169–200. [Google Scholar]
- Abedini, A.; Calagari, A.A. REEs geochemical characteristics of lower Cambrian phosphatic rocks in the Gorgan-Rasht Zone, northern Iran: Implications for diagenetic effects and depositional conditions. J. Afr. Earth Sci. 2017, 135, 115–124. [Google Scholar] [CrossRef]
- Piper, D.Z. Trace Elements and Major-Element Oxides in the Phosphoria Formation at Enoch Valley, Idaho; Permian Sources and Current Reactivities; Open-File Report. 1999. Available online: https://pubs.usgs.gov/of/1999/0163/report.pdf (accessed on 2 April 2021).
- Yang, H.; Xiao, J.; Xia, Y.; Xie, Z.; Tan, Q.; Xu, J.; He, S.; Wu, S.; Liu, X.; Gong, X. Phosphorite generative processes around the Precambrian-Cambrian boundary in South China: An integrated study of Mo and phosphate O isotopic compositions. Geosci. Front. 2021, 12, 101187. [Google Scholar] [CrossRef]
- He, S.; Xia, Y.; Xiao, J.; Gregory, D.; Xie, Z.; Tan, Q.; Yang, H.; Guo, H.; Wu, S.; Gong, X. Geochemistry of REY-Enriched Phosphorites in Zhijin Region, Guizhou Province, SW China: Insight into the Origin of REY. Minerals 2022, 12, 408. [Google Scholar] [CrossRef]
- Lumiste, K.; Mänd, K.; Bailey, J.; Paiste, P.; Lang, L.; Lepland, A.; Kirsimäe, K. REE+ Y uptake and diagenesis in Recent sedimentary apatites. Chem. Geol. 2019, 525, 268–281. [Google Scholar] [CrossRef]
- Liao, J.; Sun, X.; Li, D.; Sa, R.; Lu, Y.; Lin, Z.; Xu, L.; Zhan, R.; Pan, Y.; Xu, H. New insights into nanostructure and geochemistry of bioapatite in REE-rich deep-sea sediments: LA-ICP-MS, TEM, and Z-contrast imaging studies. Chem. Geol. 2019, 512, 58–68. [Google Scholar] [CrossRef]
- Deng, Y.; Ren, J.; Guo, Q.; Cao, J.; Wang, H.; Liu, C. Rare earth element geochemistry characteristics of seawater and porewater from deep sea in western Pacific. Sci. Rep. 2017, 7, 16539. [Google Scholar] [CrossRef] [Green Version]
- Haley, B.A.; Klinkhammer, G.P.; McManus, J. Rare earth elements in pore waters of marine sediments. Geochim. Cosmochim. Acta 2004, 68, 1265–1279. [Google Scholar] [CrossRef]
- Yang, H.; Zhao, Z.; Xia, Y.; Xiao, J. REY Enrichment Mechanisms in the early Cambrian Phosphorite from South China. Sediment. Geol. 2021, 426, 106041. [Google Scholar] [CrossRef]
- Liu, Z.-R.R.; Zhou, M.-F. Meishucun phosphorite succession (SW China) records redox changes of the early Cambrian ocean. GSA Bull. 2017, 129, 1554–1567. [Google Scholar] [CrossRef]
- Chen, J.; Yang, R.; Wei, H.; Gao, J. Rare earth element geochemistry of Cambrian phosphorites from the Yangtze Region. J. Rare Earths 2013, 31, 101–112. [Google Scholar] [CrossRef]
- Frei, R.; Xu, L.; Frederiksen, J.A.; Lehmann, B. Signals of combined chromium–cadmium isotopes in basin waters of the Early Cambrian—Results from the Maoshi and Zhijin sections, Yangtze Platform, South China. Chem. Geol. 2021, 563, 120061. [Google Scholar] [CrossRef]
- Pi, D.H.; Liu, C.Q.; Shields-Zhou, G.A.; Jiang, S.Y. Trace and rare earth element geochemistry of black shale and kerogen in the early Cambrian Niutitang Formation in Guizhou province, South China: Constraints for redox environments and origin of metal enrichments. Precambrian Res. 2013, 225, 218–229. [Google Scholar] [CrossRef]
- Steiner, M.; Li, G.; Qian, Y.; Zhu, M.; Erdtmann, B.-D. Neoproterozoic to Early Cambrian small shelly fossil assemblages and a revised biostratigraphic correlation of the Yangtze Platform (China). Palaeogeogr. Palaeoclimatol. Palaeoecol. 2007, 254, 67–99. [Google Scholar] [CrossRef]
- Lingang, X.; Lehmann, B.; Jingwen, M.; Wenjun, Q.; Andao, D. Re-Os Age of Polymetallic Ni-Mo-PGE-Au Mineralization in Early Cambrian Black Shales of South China—A Reassessment. Econ. Geol. 2011, 106, 511–522. [Google Scholar] [CrossRef]
- Derry, L.A.; Brasier, M.D.; Corfield, R.M.; Rozanov, A.Y.; Zhuravlev, A.Y. Sr and C isotopes in Lower Cambrian carbonates from the Siberian craton: A paleoenvironmental record during the ‘Cambrian explosion’. Earth Planet. Sci. Lett. 1994, 128, 671–681. [Google Scholar] [CrossRef]
- Allan, J.R.; Matthews, R.K. Isotope signatures associated with early meteoric diagenesis. Sedimentology 1982, 29, 797–817. [Google Scholar] [CrossRef]
- Li, D.; Ling, H.-F.; Jiang, S.-Y.; Pan, J.-Y.; Chen, Y.-Q.; Cai, Y.-F.; Feng, H.-Z. New carbon isotope stratigraphy of the Ediacaran-Cambrian boundary interval from SW China: Implications for global correlation. Geol. Mag. 2009, 146, 465–484. [Google Scholar] [CrossRef] [Green Version]
- Knauth, L.P.; Kennedy, M.J. The late Precambrian greening of the Earth. Nature 2009, 460, 728–732. [Google Scholar] [CrossRef]
- Grotzinger, J.P.; Fike, D.A.; Fischer, W.W. Enigmatic origin of the largest-known carbon isotope excursion in Earth’s history. Nat. Geosci. 2011, 4, 285–292. [Google Scholar] [CrossRef]
- Dickson, J.; Coleman, M. Changes in carbon and oxygen isotope composition during limestone diagenesis. Sedimentology 1980, 27, 107–118. [Google Scholar] [CrossRef]
- Kaufman, A.J.; Jiang, G.; Christie-Blick, N.; Banerjee, D.M.; Rai, V. Stable isotope record of the terminal Neoproterozoic Krol platform in the Lesser Himalayas of northern India. Precambrian Res. 2006, 147, 156–185. [Google Scholar] [CrossRef] [Green Version]
- Jiang, G.; Kaufman, A.J.; Christie-Blick, N.; Zhang, S.; Wu, H. Carbon isotope variability across the Ediacaran Yangtze platform in South China: Implications for a large surface-to-deep ocean δ13C gradient. Earth Planet. Sci. Lett. 2007, 261, 303–320. [Google Scholar] [CrossRef] [Green Version]
- Shields, G.; Stille, P. Diagenetic constraints on the use of cerium anomalies as palaeoseawater redox proxies: An isotopic and REE study of Cambrian phosphorites. Chem. Geol. 2001, 175, 29–48. [Google Scholar] [CrossRef]
- Zhang, H.; Fan, H.; Wen, H.; Han, T.; Zhou, T.; Xia, Y. Controls of REY enrichment in the early Cambrian phosphorites. Geochim. Cosmochim. Acta 2022, 324, 117–139. [Google Scholar] [CrossRef]
- Jacobsen, S.B.; Kaufman, A.J. The Sr, C and O isotopic evolution of Neoproterozoic seawater. Chem. Geol. 1999, 161, 37–57. [Google Scholar] [CrossRef]
- Kaufman, A.J.; Knoll, A.H. Neoproterozoic variations in the C-isotopic composition of seawater: Stratigraphic and biogeochemical implications. Precambrian Res. 1995, 73, 27–49. [Google Scholar] [CrossRef]
- Derry, L.A. On the significance of δ13C correlations in ancient sediments. Earth Planet. Sci. Lett. 2010, 296, 497–501. [Google Scholar] [CrossRef]
- Derry, L.A. A burial diagenesis origin for the Ediacaran Shuram–Wonoka carbon isotope anomaly. Earth Planet. Sci. Lett. 2010, 294, 152–162. [Google Scholar] [CrossRef]
- Chang, C.; Hu, W.; Fu, Q.; Cao, J.; Wang, X.; Yao, S. Characterization of trace elements and carbon isotopes across the Ediacaran-Cambrian boundary in Anhui Province, South China: Implications for stratigraphy and paleoenvironment reconstruction. J. Asian Earth Sci. 2016, 125, 58–70. [Google Scholar] [CrossRef]
- Guo, Q.; Strauss, H.; Liu, C.; Zhao, Y.; Yang, X.; Peng, J.; Yang, H. A negative carbon isotope excursion defines the boundary from Cambrian Series 2 to Cambrian Series 3 on the Yangtze Platform, South China. Palaeogeogr. Palaeoclimatol. Palaeoecol. 2010, 285, 143–151. [Google Scholar] [CrossRef]
- Kimura, H.; Matsumoto, R.; Kakuwa, Y.; Hamdi, B.; Zibaseresht, H. The Vendian-Cambrian δ13C record, North Iran: Evidence for overturning of the ocean before the Cambrian Explosion. Earth Planet. Sci. Lett. 1997, 147, E1–E7. [Google Scholar] [CrossRef]
- Jin, M.; Tan, X.; Tong, M.; Zeng, W.; Liu, H.; Zhong, B.; Liu, Q.; Lian, C.; Zhou, X.; Xu, H.; et al. Karst paleogeomorphology of the fourth Member of Sinian Dengying Formation in Gaoshiti-Moxi area, Sichuan Basin, SW China: Restoration and geological significance. Pet. Explor. Dev. 2017, 44, 58–68. [Google Scholar] [CrossRef]
- Ding, Y.; Li, Z.; Liu, S.; Song, J.; Zhou, X.; Sun, W.; Zhang, X.; Li, S.; Ran, B.; Peng, H.; et al. Sequence stratigraphy and tectono-depositional evolution of a late Ediacaran epeiric platform in the upper Yangtze area, South China. Precambrian Res. 2021, 354, 106077. [Google Scholar] [CrossRef]
- Mao, T.; Yang, R.; Gao, J.; Mao, J. Study of sedimentary feature of Cambrian phosphorite and ore-controlling feature of old Karst surface of the Dengying Formation in Zhijin, Guizhou. Acta Geol. Sin. 2015, 89, 2374–2388, (In Chinese Abstract). [Google Scholar]
- Clayton, C. Effect of maturity on carbon isotope ratios of oils and condensates. Org. Geochem. 1991, 17, 887–899. [Google Scholar] [CrossRef]
- Goldberg, T.; Strauss, H.; Guo, Q.; Liu, C. Reconstructing marine redox conditions for the Early Cambrian Yangtze Platform: Evidence from biogenic sulphur and organic carbon isotopes. Palaeogeogr. Palaeoclimatol. Palaeoecol. 2007, 254, 175–193. [Google Scholar] [CrossRef]
- Dean, W.E.; Arthur, M.A.; Claypool, G.E. Depletion of 13C in Cretaceous marine organic matter: Source, diagenetic, or environmental sigal? Mar. Geol. 1986, 70, 119–157. [Google Scholar] [CrossRef]
- Delaux, P.-M.; Nanda, A.K.; Mathé, C.; Sejalon-Delmas, N.; Dunand, C. Molecular and biochemical aspects of plant terrestrialization. Perspect. Plant Ecol. Evol. Syst. 2012, 14, 49–59. [Google Scholar] [CrossRef]
- Basu, A. Weathering before the advent of land plants: Evidence from unaltered detrital K-feldspars in Cambrian-Ordovician arenites. Geology 1981, 9, 132–133. [Google Scholar] [CrossRef]
- Bau, M.; Moller, P.; Dulski, P. Yttrium and lanthanides in eastern Mediterranean seawater and their fractionation during redox-cycling. Mar. Chem. 1997, 56, 123–131. [Google Scholar] [CrossRef]
- Nozaki, Y.; Zhang, J.; Amakawa, H. The fractionation between Y and Ho in the marine environment. Earth Planet. Sci. Lett. 1997, 148, 329–340. [Google Scholar] [CrossRef]
- Webb, G.E.; Kamber, B.S. Rare earth elements in Holocene reefal microbialites: A new shallow seawater proxy. Geochim. Cosmochim. Acta 2000, 64, 1557–1565. [Google Scholar] [CrossRef]
- Logan, G.A.; Hayes, J.M.; Hieshima, G.B.; Summons, R.E. Terminal Proterozoic Reorganization of Biogeochemical Cycles. Nature 1995, 376, 53–56. [Google Scholar] [CrossRef]
- McArthur, J.; Tyson, R.; Thomson, J.; Mattey, D. Early diagenesis of marine organic matter: Alteration of the carbon isotopic composition. Mar. Geol. 1992, 105, 51–61. [Google Scholar] [CrossRef]
- Strauss, H.; Marais, D.J.D.; Hayes, J.; Summons, R.E. Proterozoic Organic Carbon—Its Preservation and Isotopic Record. In Early Organic Evolution; Springer: Berlin/Heidelberg, Germany, 1992; pp. 203–211. [Google Scholar]
- Guo, Q.; Strauss, H.; Liu, C.; Goldberg, T.; Zhu, M.; Pi, D.; Heubeck, C.; Vernhet, E.; Yang, X.; Fu, P. Carbon isotopic evolution of the terminal Neoproterozoic and early Cambrian: Evidence from the Yangtze Platform, South China. Palaeogeogr. Palaeoclimatol. Palaeoecol. 2007, 254, 140–157. [Google Scholar] [CrossRef]
- Yuan, Y.; Cai, C.; Wang, T.; Xiang, L.; Jia, L.; Chen, Y. Redox condition during Ediacaran–Cambrian transition in the Lower Yangtze deep water basin, South China: Constraints from iron speciation and δ 13 C org in the Diben section, Zhejiang. Chin. Sci. Bull. 2014, 59, 3638–3649. [Google Scholar] [CrossRef]
- Nozaki, Y.; Alibo, D.S. Importance of vertical geochemical processes in controlling the oceanic profiles of dissolved rare earth elements in the northeastern Indian Ocean. Earth Planet. Sci. Lett. 2003, 205, 155–172. [Google Scholar] [CrossRef]
- Degens, E. Biogeochemistry of Stable Carbon Isotopes. In Organic Geochemistry; Springer: Berlin/Heidelberg, Germany, 1969; pp. 304–329. [Google Scholar]
- Summons, R.E.; Jahnke, L.L.; Roksandic, Z. Carbon isotopic fractionation in lipids from methanotrophic bacteria: Relevance for interpretation of the geochemical record of biomarkers. Geochim. Cosmochim. Acta 1994, 58, 2853–2863. [Google Scholar] [CrossRef]
- Summons, R.E.; Franzmann, P.D.; Nichols, P.D. Carbon isotopic fractionation associated with methylotrophic methanogenesis. Org. Geochem. 1998, 28, 465–475. [Google Scholar] [CrossRef]
- Wen, H.; Fan, H.; Zhang, Y.; Cloquet, C.; Carignan, J. Reconstruction of early Cambrian ocean chemistry from Mo isotopes. Geochim. Cosmochim. Acta 2015, 164, 1–16. [Google Scholar] [CrossRef]
- Fan, H.; Wen, H.; Zhu, X. Marine redox conditions in the Early Cambrian ocean: Insights from the Lower Cambrian phosphorite deposits, South China. J. Earth Sci. 2016, 27, 282–296. [Google Scholar] [CrossRef]
- Jiang, S.; Yang, J.; Ling, H.; Feng, H.; Chen, Y.; Chen, J. Re-Os isotopes and PGE geochemistry of black shales and intercalated Ni-Mo polymetallic sulfide bed from the Lower Cambrian Niutitang Formation, South China. Prog. Nat. Sci. 2003, 13, 788–794. [Google Scholar] [CrossRef]
- Shields-Zhou, G.; Zhu, M. Biogeochemical changes across the Ediacaran-Cambrian transition in South China. Precambrian Res. 2013, 225, 1–6. [Google Scholar] [CrossRef]
- Ducklow, H.W.; Hansell, D.A.; Morgan, J.A. Dissolved organic carbon and nitrogen in the Western Black Sea. Mar. Chem. 2007, 105, 140–150. [Google Scholar] [CrossRef]
- Cauwet, G.; Déliat, G.; Krastev, A.; Shtereva, G.; Becquevort, S.; Lancelot, C.; Momzikoff, A.; Saliot, A.; Cociasu, A.; Popa, L. Seasonal DOC accumulation in the Black Sea: A regional explanation for a general mechanism. Mar. Chem. 2002, 79, 193–205. [Google Scholar] [CrossRef]
- Shields, G.A.; Webb, G.E. Has the REE composition of seawater changed over geological time? Chem. Geol. 2004, 204, 103–107. [Google Scholar] [CrossRef]
- Ilyin, A.V. Rare-earth geochemistry of ‘old’ phosphorites and probability of syngenetic precipitation and accumulation of phosphate. Chem. Geol. 1998, 144, 243–256. [Google Scholar] [CrossRef]
- Zhang, Z.; Jiang, Y.; Niu, H.; Xing, J.; Yan, S.; Li, A.; Weng, Q.; Zhao, X. Enrichment of rare earth elements in the early Cambrian Zhijin phosphorite deposit, SW China: Evidence from francolite micro-petrography and geochemistry. Ore Geol. Rev. 2021, 138, 104342. [Google Scholar] [CrossRef]
- Liao, J.; Sun, X.; Wu, Z.; Sa, R.; Guan, Y.; Lu, Y.; Li, D.; Liu, Y.; Deng, Y.; Pan, Y. Fe-Mn (oxyhydr) oxides as an indicator of REY enrichment in deep-sea sediments from the central North Pacific. Ore Geol. Rev. 2019, 112, 103044. [Google Scholar] [CrossRef]
- Paul, S.A.; Volz, J.B.; Bau, M.; Köster, M.; Kasten, S.; Koschinsky, A. Calcium phosphate control of REY patterns of siliceous-ooze-rich deep-sea sediments from the central equatorial Pacific. Geochim. Cosmochim. Acta 2019, 251, 56–72. [Google Scholar] [CrossRef]
- Han, G.; Li, F.; Tang, Y. Organic matter impact on distribution of rare earth elements in soil under different land uses. CLEAN-Soil Air Water 2017, 45, 1600235. [Google Scholar] [CrossRef]
- Tang, J.; Johannesson, K.H. Ligand extraction of rare earth elements from aquifer sediments: Implications for rare earth element complexation with organic matter in natural waters. Geochim. Cosmochim. Acta 2010, 74, 6690–6705. [Google Scholar] [CrossRef]
- Grybos, M.; Davranche, M.; Gruau, G.; Petitjean, P. Is trace metal release in wetland soils controlled by organic matter mobility or Fe-oxyhydroxides reduction? J. Colloid Interface Sci. 2007, 314, 490–501. [Google Scholar] [CrossRef]





| No. | Depth (m) | Lithology | δ13Ccarb | δ18O | δ13Corg | ∆13C | TOC |
|---|---|---|---|---|---|---|---|
| MTC-1 | 49.65 | Phosphorite | −1.13 | −7.41 | −33.62 | 32 | 0.60 |
| MTC-2 | 49.65 | Phosphorus dolomite | −1.31 | −7.12 | −29.96 | 29 | 0.19 |
| MTC-3 | 50.74 | Phosphorite | −0.77 | −7.31 | −32.30 | 32 | 0.54 |
| MTC-4 | 50.74 | P-bearing dolomite | −0.85 | −7.87 | −30.91 | 30 | 0.18 |
| MTC-5 | 51.83 | Phosphorus dolomite | −0.57 | −7.17 | −33.85 | 33 | 0.97 |
| MTC-6 | 51.83 | P-bearing dolomite | −0.84 | −2.63 | −29.35 | 29 | 0.14 |
| MTC-7 | 52.92 | Phosphorite | −0.20 | −8.22 | −30.48 | 30 | 1.09 |
| MTC-8 | 52.92 | P-bearing dolomite | −0.60 | −4.32 | −33.61 | 33 | 0.90 |
| MTC-9 | 54.01 | Phosphorus dolomite | −0.65 | −4.99 | −33.23 | 33 | 0.84 |
| MTC-10 | 54.01 | P-bearing dolomite | −0.55 | −2.65 | −30.21 | 30 | 0.16 |
| MTC-11 | 55.10 | Phosphorite | 0.12 | −8.81 | −30.29 | 30 | 0.83 |
| MTC-12 | 56.19 | Phosphorite | 0.44 | −7.47 | −30.82 | 31 | 0.95 |
| MTC-13 | 56.19 | P-bearing dolomite | −0.26 | −3.72 | −30.57 | 30 | 0.14 |
| MTC-14 | 57.28 | Phosphorite | −0.11 | −7.44 | −31.03 | 31 | 0.98 |
| MTC-15 | 57.28 | P-bearing dolomite | 0.39 | −1.83 | −30.04 | 30 | 0.15 |
| MTC-16 | 58.37 | Phosphorite | 0.41 | −8.84 | −32.07 | 32 | 1.04 |
| MTC-17 | 58.37 | P-bearing dolomite | 0.35 | −8.14 | −31.21 | 32 | 0.19 |
| MTC-18 | 59.46 | Phosphorus dolomite | −0.02 | −9.15 | −33.26 | 33 | 0.78 |
| MTC-19 | 59.46 | P-bearing dolomite | 0.19 | −8.68 | −33.53 | 34 | 0.53 |
| MTC-20 | 60.55 | Phosphorite | −0.41 | −10.18 | −33.42 | 33 | 1.27 |
| MTC-21 | 60.55 | P-bearing dolomite | −0.34 | −9.84 | −32.78 | 32 | 0.33 |
| MTC-22 | 61.64 | Phosphorite | −0.61 | −9.93 | −33.61 | 33 | 0.84 |
| MTC-23 | 61.64 | P-bearing dolomite | 0.05 | −11.28 | −33.38 | 33 | 0.36 |
| MTC-24 | 61.99 | Phosphorite | −0.62 | −10.86 | −31.72 | 31 | 0.24 |
| MTC-25 | 61.99 | P-bearing dolomite | 0.40 | −12.57 | −30.53 | 31 | 0.08 |
| MTC-26 | 62.16 | Phosphorite | −1.21 | −12.87 | −30.56 | 29 | 0.21 |
| MTC-27 | 62.16 | Phosphorus dolomite | 0.16 | −11.84 | −30.53 | 31 | 0.11 |
| MTC-28 | 63.19 | Phosphorite | −1.29 | −12.63 | −30.47 | 29 | 0.20 |
| MTC-29 | 63.19 | Phosphorus dolomite | 0.10 | −11.58 | −31.39 | 31 | 0.14 |
| MTC-30 | 64.22 | Phosphorite | −1.37 | −12.99 | −30.91 | 30 | 0.26 |
| MTC-31 | 64.22 | P-bearing dolomite | 0.62 | −11.20 | −32.76 | 33 | 0.17 |
| MTC-32 | 65.25 | Phosphorite | −0.05 | −11.60 | −33.52 | 33 | 0.78 |
| MTC-33 | 65.25 | P-bearing dolomite | 0.69 | −11.18 | −31.84 | 33 | 0.39 |
| MTC-34 | 66.28 | Phosphorite | −1.16 | −13.17 | −32.94 | 32 | 0.56 |
| MTC-35 | 66.28 | Phosphorus dolomite | 0.68 | −11.13 | −33.56 | 34 | 0.44 |
| MTC-36 | 67.31 | Phosphorite | −1.27 | −13.35 | −33.02 | 32 | 0.80 |
| MTC-37 | 67.31 | Phosphorus dolomite | 0.66 | −10.98 | −33.20 | 34 | 0.61 |
| MTC-38 | 68.34 | Phosphorite | −0.14 | −11.26 | −30.25 | 30 | 0.17 |
| MTC-39 | 68.34 | Phosphorus dolomite | 0.54 | −11.02 | −26.34 | 27 | 0.12 |
| MTC-40 | 69.37 | Phosphorite | −0.29 | −11.59 | −30.26 | 30 | 0.17 |
| MTC-41 | 69.37 | Phosphorus dolomite | 0.20 | −10.76 | −28.86 | 29 | 0.11 |
| MTC-42 | 70.40 | Phosphorite | −0.53 | −11.89 | −30.39 | 30 | 0.17 |
| MTC-43 | 70.40 | P-bearing dolomite | 0.50 | −10.85 | −32.99 | 33 | 0.17 |
| MTC-44 | 71.43 | Phosphorite | −1.51 | −13.52 | −31.52 | 30 | 0.25 |
| MTC-45 | 71.43 | P-bearing dolomite | 0.38 | −10.27 | −29.67 | 30 | 0.11 |
| MTC-46 | 72.46 | Phosphorite | −1.13 | −11.73 | −31.89 | 31 | 0.26 |
| MTC-47 | 72.46 | P-bearing dolomite | −0.01 | −9.76 | −29.06 | 29 | 0.11 |
| MTC-48 | 73.49 | Phosphorite | −0.79 | −10.91 | −32.38 | 32 | 0.45 |
| MTC-49 | 73.49 | Phosphorus dolomite | 0.06 | −9.90 | −30.75 | 31 | 0.12 |
| MTC-50 | 74.52 | Phosphorite | −0.86 | −10.56 | −30.96 | 30 | 0.20 |
| MTC-51 | 74.52 | Phosphorus dolomite | −0.60 | −9.52 | −30.64 | 30 | 0.07 |
| MTC-52 | 75.55 | Phosphorus dolomite | −3.54 | −12.99 | −31.56 | 28 | 0.21 |
| MSC-1 | 34.0 | Phosphorite | −1.23 | −6.88 | −30.01 | 29 | 0.02 |
| MSC-2 | 33.5 | Phosphorite | −1.64 | −6.28 | −30.30 | 29 | 0.03 |
| MSC-3 | 33.0 | Phosphorite | −1.13 | −5.22 | −30.48 | 29 | 0.04 |
| MSC-4 | 32.5 | Phosphorite | −1.54 | −6.27 | −31.84 | 30 | 0.02 |
| MSC-5 | 31.9 | Phosphorite | −2.08 | −6.67 | −31.69 | 30 | 0.01 |
| MSC-6 | 31.5 | Phosphorite | −2.54 | −7.35 | −31.38 | 29 | 0.02 |
| MSC-7 | 31.0 | Phosphorite | −3.68 | −7.84 | −32.02 | 28 | 0.03 |
| MSC-8 | 30.5 | Phosphorite | −3.67 | −7.38 | −32.64 | 29 | 0.03 |
| MSC-9 | 30.0 | Phosphorite | −5.23 | −10.17 | −31.78 | 27 | 0.03 |
| MSC-10 | 29.5 | Phosphorite | −4.17 | −9.00 | −32.38 | 28 | 0.02 |
| MSC-11 | 29.0 | Phosphorite | −3.67 | −6.47 | −31.74 | 28 | 0.02 |
| MSC-12 | 28.0 | Phosphorite | −3.94 | −10.21 | −30.85 | 27 | 0.02 |
| MSC-14 | 27.0 | Phosphorite | −2.10 | −6.63 | −28.45 | 26 | 0.04 |
| MSC-15 | 26.0 | Phosphorite | −2.30 | −7.27 | −28.77 | 26 | 0.03 |
| MSC-18 | 24.7 | Phosphorite | −3.83 | −10.37 | −32.33 | 28 | 0.02 |
| MSC-19 | 24.2 | Phosphorite | −3.74 | −10.17 | −32.95 | 29 | 0.02 |
| MSC-20 | 23.7 | Phosphorite | −3.84 | −10.49 | −28.08 | 24 | 0.03 |
| MSC-21 | 23.3 | Phosphorite | −4.00 | −10.73 | −25.50 | 22 | 0.03 |
| MSC-22 | 22.9 | Phosphorite | −2.70 | −9.17 | −29.02 | 26 | 0.03 |
| MSC-23 | 22.6 | Phosphorite | −3.00 | −10.06 | −30.15 | 27 | 0.03 |
| MSC-24 | 22.3 | Phosphorite | −3.30 | −10.57 | −29.46 | 26 | 0.01 |
| MSC-25 | 22.0 | Phosphorite | −2.22 | −9.27 | −28.21 | 26 | 0.03 |
| MSC-26 | 21.6 | Phosphorite | −2.43 | −9.82 | −31.17 | 29 | 0.01 |
| MSC-27 | 21.3 | Phosphorite | −2.35 | −9.85 | −31.53 | 29 | 0.05 |
| MSC-28 | 21.1 | Phosphorite | −1.84 | −10.21 | −30.06 | 28 | 0.03 |
| MSC-29 | 20.9 | Phosphorite | −1.86 | −9.75 | −30.79 | 29 | 0.02 |
| Lithology | Phosphorus-Bearing Dolomites | n = 16 | Phosphorus Dolomites | n = 13 | Phosphorites | n = 23 | |||
|---|---|---|---|---|---|---|---|---|---|
| Min. | Max | Average | Min. | Max | Average | Min. | Max. | Average | |
| P2O5 | 1.88 | 9.66 | 5.72 | 10.3 | 18.1 | 14.0 | 19.1 | 37.0 | 29.8 |
| La | 28.0 | 115 | 68.1 | 80.2 | 200 | 138 | 124 | 437 | 316 |
| Ce | 19.5 | 82.2 | 44.9 | 59.2 | 154 | 90.9 | 83.1 | 269 | 199 |
| Pr | 4.74 | 19.5 | 11.7 | 15.8 | 39.2 | 24.2 | 21.7 | 71.8 | 54.2 |
| Nd | 19.4 | 84.1 | 50.5 | 72.2 | 169 | 105 | 96.7 | 313 | 233 |
| Sm | 3.78 | 16.5 | 9.32 | 13.3 | 31.3 | 19.4 | 17.2 | 56.5 | 42.2 |
| Eu | 0.76 | 3.36 | 2.04 | 2.90 | 6.28 | 4.28 | 3.89 | 12.4 | 9.26 |
| Gd | 4.63 | 18.3 | 11.1 | 15.5 | 36.4 | 23.2 | 20.8 | 67.5 | 50.6 |
| Tb | 0.63 | 2.61 | 1.54 | 2.19 | 4.99 | 3.18 | 2.97 | 9.22 | 6.86 |
| Dy | 4.02 | 16.4 | 9.50 | 14.0 | 29.4 | 19.6 | 19.1 | 55.4 | 41.9 |
| Y | 45.4 | 199 | 109 | 163 | 320 | 225 | 241 | 637 | 475 |
| Ho | 0.91 | 3.64 | 2.09 | 2.95 | 6.49 | 4.23 | 4.21 | 11.8 | 8.99 |
| Er | 2.70 | 10.1 | 5.72 | 8.17 | 16.3 | 11.0 | 11.3 | 30.5 | 23.3 |
| Tm | 0.38 | 1.22 | 0.70 | 0.92 | 1.85 | 1.30 | 1.32 | 3.55 | 2.71 |
| Yb | 2.16 | 6.41 | 3.72 | 4.55 | 8.81 | 6.31 | 5.97 | 16.8 | 12.7 |
| Lu | 0.30 | 0.88 | 0.50 | 0.59 | 1.04 | 0.82 | 0.75 | 2.25 | 1.65 |
| ∑REY | 137 | 558 | 330 | 481 | 990 | 676 | 654 | 1969 | 1477 |
| Elements | Dolomite-1 | Dolomite-2 | Dolomite-3 | Dolomite-4 | Dolomite-5 | Dolomite-6 | Dolomite-7 | Dolomite-8 | Average | Dolomite Cement-1 | Dolomite Cement-2 | Dolomite Cement-3 | Dolomite Cement-4 | Dolomite Cement-5 | Average |
|---|---|---|---|---|---|---|---|---|---|---|---|---|---|---|---|
| Na2O | 0.020 | 0.028 | 0.022 | 0.022 | 0.005 | 0.020 | 0.023 | 0.021 | 0.020 | 0.030 | 0.053 | 0.046 | 0.035 | 0.043 | 0.041 |
| MgO | 27.3 | 26.8 | 27.2 | 27.2 | 27.4 | 26.6 | 26.7 | 28.6 | 27.2 | 26.5 | 28.1 | 28.5 | 27.7 | 28.2 | 27.8 |
| Al2O3 | 0.029 | 0.080 | 0.445 | 0.053 | 0.149 | 0.030 | 0.083 | 0.458 | 0.166 | 0.030 | 0.047 | 0.045 | 0.053 | 0.036 | 0.042 |
| SiO2 | 0.178 | 0.668 | 1.22 | 0.589 | 4.00 | 0.244 | 7.35 | 16.6 | 3.86 | 0.056 | 0.195 | 0.344 | 0.224 | 0.037 | 0.171 |
| P2O5 | 0.014 | 0.029 | 0.030 | 0.025 | 0.108 | 0.010 | 0.130 | 0.056 | 0.050 | 0.042 | 0.027 | 0.042 | 0.021 | 0.019 | 0.030 |
| K2O | 0.002 | 0.015 | 0.141 | 0.008 | 0.051 | 0.001 | 0.019 | 0.135 | 0.047 | 0.007 | 0.013 | 0.013 | 0.016 | 0.011 | 0.012 |
| CaO | 41.5 | 41.8 | 42.1 | 41.8 | 42.4 | 41.8 | 41.8 | 41.8 | 41.9 | 42.4 | 44.0 | 44.0 | 44.0 | 44.0 | 43.7 |
| TiO2 | 0.000 | 0.006 | 0.060 | 0.000 | 0.007 | 0.000 | 0.002 | 0.004 | 0.010 | 0.000 | 0.001 | 0.001 | 0.003 | 0.000 | 0.001 |
| MnO | 0.434 | 0.419 | 0.468 | 0.389 | 0.391 | 0.403 | 0.441 | 0.383 | 0.416 | 0.161 | 0.190 | 0.182 | 0.171 | 0.172 | 0.175 |
| FeO | 1.66 | 1.41 | 2.05 | 1.15 | 1.11 | 1.45 | 1.92 | 0.782 | 1.44 | 0.391 | 0.389 | 0.410 | 0.380 | 0.412 | 0.396 |
| La | 7.45 | 9.56 | 5.76 | 11.3 | 4.65 | 6.89 | 8.01 | 7.60 | 7.66 | 8.79 | 16.4 | 20.1 | 10.7 | 12.0 | 13.6 |
| Ce | 3.96 | 4.82 | 3.25 | 5.84 | 2.69 | 3.63 | 4.61 | 4.22 | 4.13 | 4.74 | 8.75 | 11.0 | 5.68 | 6.04 | 7.25 |
| Pr | 0.714 | 0.957 | 0.614 | 1.11 | 0.522 | 0.726 | 0.979 | 0.800 | 0.802 | 1.23 | 2.30 | 2.96 | 1.50 | 1.68 | 1.93 |
| Nd | 2.89 | 3.42 | 2.24 | 4.11 | 2.10 | 2.59 | 4.04 | 3.47 | 3.11 | 5.48 | 9.80 | 12.5 | 5.97 | 6.93 | 8.13 |
| Sm | 0.443 | 0.635 | 0.392 | 0.665 | 0.294 | 0.443 | 0.649 | 0.509 | 0.504 | 1.00 | 1.80 | 2.30 | 1.20 | 1.09 | 1.48 |
| Eu | 0.160 | 0.198 | 0.152 | 0.192 | 0.091 | 0.119 | 0.213 | 0.173 | 0.162 | 0.236 | 0.272 | 0.359 | 0.222 | 0.195 | 0.257 |
| Gd | 0.581 | 0.833 | 0.570 | 0.846 | 0.434 | 0.827 | 0.834 | 0.710 | 0.704 | 1.43 | 2.28 | 2.91 | 1.52 | 1.68 | 1.97 |
| Tb | 0.122 | 0.144 | 0.103 | 0.149 | 0.084 | 0.155 | 0.149 | 0.135 | 0.130 | 0.271 | 0.373 | 0.456 | 0.248 | 0.293 | 0.328 |
| Dy | 0.953 | 1.17 | 0.968 | 1.28 | 0.632 | 1.04 | 1.30 | 1.16 | 1.06 | 2.03 | 2.88 | 3.58 | 1.89 | 2.42 | 2.56 |
| Y | 15.7 | 18.8 | 13.2 | 20.0 | 9.19 | 15.3 | 17.4 | 16.2 | 15.7 | 28.0 | 38.0 | 41.1 | 26.0 | 29.3 | 32.5 |
| Ho | 0.325 | 0.323 | 0.271 | 0.366 | 0.188 | 0.328 | 0.335 | 0.294 | 0.304 | 0.526 | 0.73 | 0.822 | 0.520 | 0.560 | 0.631 |
| Er | 1.13 | 1.27 | 1.04 | 1.23 | 0.632 | 1.15 | 1.34 | 1.06 | 1.11 | 1.90 | 2.46 | 2.81 | 1.70 | 1.80 | 2.13 |
| Tm | 0.215 | 0.221 | 0.201 | 0.194 | 0.114 | 0.258 | 0.244 | 0.172 | 0.202 | 0.275 | 0.386 | 0.395 | 0.237 | 0.249 | 0.308 |
| Yb | 1.90 | 1.70 | 1.61 | 1.45 | 0.910 | 2.04 | 2.10 | 1.49 | 1.65 | 1.96 | 2.61 | 2.63 | 1.65 | 1.86 | 2.14 |
| Lu | 0.271 | 0.229 | 0.258 | 0.242 | 0.164 | 0.342 | 0.316 | 0.214 | 0.255 | 0.276 | 0.391 | 0.367 | 0.241 | 0.282 | 0.311 |
| REY | 36.8 | 44.2 | 30.6 | 49.0 | 22.7 | 35.9 | 42.6 | 38.2 | 37.5 | 58.1 | 89.4 | 104 | 59.3 | 66.4 | 75.5 |
| ErN/LuN | 0.634 | 0.843 | 0.611 | 0.771 | 0.586 | 0.512 | 0.642 | 0.753 | 1.05 | 0.957 | 1.16 | 1.07 | 0.968 | ||
| Gd/Gd* | 0.816 | 0.967 | 0.893 | 0.981 | 0.970 | 1.19 | 0.917 | 0.910 | 1.11 | 1.41 | 1.41 | 1.27 | 1.38 |
| Samples | Mg | Ca | Mn | Fe | Total |
|---|---|---|---|---|---|
| Dolomite | 21.3 | 29.6 | 0.279 | 0.757 | 51.9 |
| Dolomite | 21.0 | 29.9 | 0.268 | 0.733 | 51.9 |
| Dolomite | 21.0 | 29.7 | 0.264 | 0.803 | 51.8 |
| Dolomite | 22.0 | 30.3 | 0.153 | 0 | 52.4 |
| Dolomite | 20.9 | 29.8 | 0.391 | 1.37 | 52.4 |
| Dolomite | 21.3 | 29.6 | 0.279 | 0.757 | 51.9 |
| Dolomite | 21.0 | 29.9 | 0.268 | 0.733 | 51.9 |
| Dolomite | 21.0 | 29.7 | 0.264 | 0.803 | 51.8 |
| Dolomite | 22.0 | 30.3 | 0.153 | 0 | 52.4 |
| Dolomite | 21.0 | 29.9 | 0.354 | 0.922 | 51.9 |
| Dolomite | 21.0 | 29.9 | 0.284 | 1.25 | 52.5 |
| Dolomite | 21.1 | 30.0 | 0.307 | 0.983 | 52.4 |
| Dolomite | 20.4 | 31.4 | 0.163 | 0.218 | 52.1 |
| Dolomite | 21.8 | 30.5 | 0.128 | 0.259 | 52.7 |
| Dolomite | 21.6 | 30.9 | 0.204 | 0.188 | 52.9 |
| Dolomite | 19.5 | 33.2 | 0.131 | 0.067 | 52.8 |
| Dolomite | 19.6 | 32.7 | 0.132 | 0.051 | 52.6 |
| Dolomite | 21.5 | 30.8 | 0.120 | 0.175 | 52.6 |
| Dolomite | 21.5 | 30.8 | 0.116 | 0.253 | 52.6 |
| Average | 21.1 | 30.5 | 0.224 | 0.543 | 52.3 |
Publisher’s Note: MDPI stays neutral with regard to jurisdictional claims in published maps and institutional affiliations. |
© 2022 by the authors. Licensee MDPI, Basel, Switzerland. This article is an open access article distributed under the terms and conditions of the Creative Commons Attribution (CC BY) license (https://creativecommons.org/licenses/by/4.0/).
Share and Cite
Wu, S.; Yang, H.; Fan, H.; Xia, Y.; Meng, Q.; He, S.; Gong, X. Assessment of the Effect of Organic Matter on Rare Earth Elements and Yttrium Using the Zhijin Early Cambrian Phosphorite as an Example. Minerals 2022, 12, 876. https://doi.org/10.3390/min12070876
Wu S, Yang H, Fan H, Xia Y, Meng Q, He S, Gong X. Assessment of the Effect of Organic Matter on Rare Earth Elements and Yttrium Using the Zhijin Early Cambrian Phosphorite as an Example. Minerals. 2022; 12(7):876. https://doi.org/10.3390/min12070876
Chicago/Turabian StyleWu, Shengwei, Haiying Yang, Haifeng Fan, Yong Xia, Qingtian Meng, Shan He, and Xingxiang Gong. 2022. "Assessment of the Effect of Organic Matter on Rare Earth Elements and Yttrium Using the Zhijin Early Cambrian Phosphorite as an Example" Minerals 12, no. 7: 876. https://doi.org/10.3390/min12070876
APA StyleWu, S., Yang, H., Fan, H., Xia, Y., Meng, Q., He, S., & Gong, X. (2022). Assessment of the Effect of Organic Matter on Rare Earth Elements and Yttrium Using the Zhijin Early Cambrian Phosphorite as an Example. Minerals, 12(7), 876. https://doi.org/10.3390/min12070876
