Investigation of the Attenuation and Release of Cu2+ Ions by Polymer-Treated Tailings
Abstract
:1. Introduction
2. Materials and Methods
2.1. Materials
2.2. Slurry and Polymer Preparation
2.3. Inline Polymer Addition
2.4. Cryo-SEM
2.5. BET
2.6. Cation Exchange Capacity (CEC) on ICP-OES
2.7. Methodology for Bottle-Point Method Constant Concentration
2.8. Sorption Isotherm Models
2.9. Kinetic Studies
2.10. Desorption Studies
2.11. Effect of pH on Sorption and Desorption
2.12. Column Leaching Experiments
3. Results
3.1. Morphological Structure Characterisations
3.2. Sorption Kinetics and Isotherms of Copper Ions
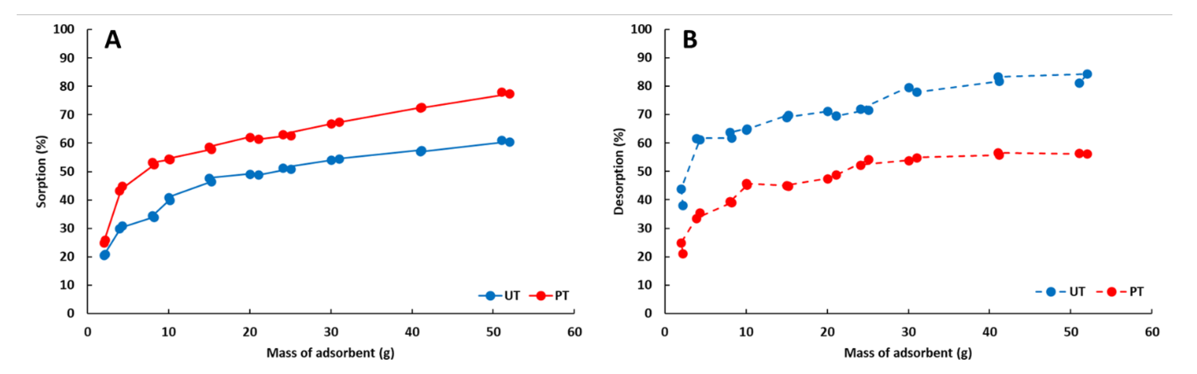
3.3. Effect of Sorbent Mass on Sorption/Desorption of Copper Ions
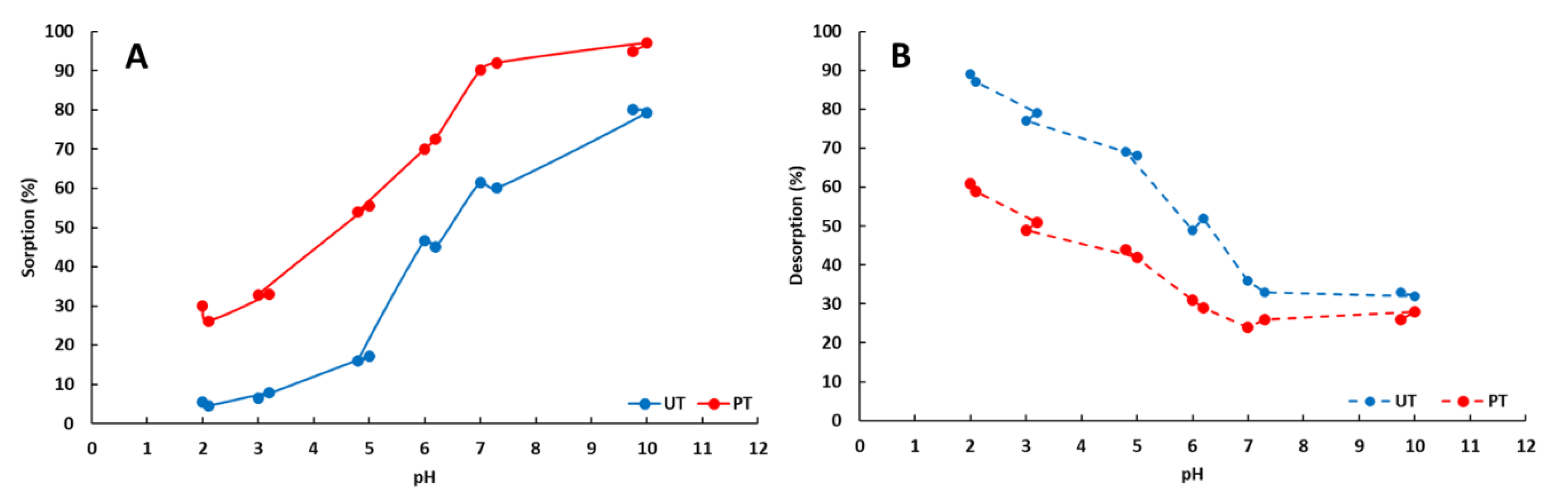
3.4. Effect of the Solution pH on Sorption/Desorption of Copper Ions
3.5. Column Leaching Experiments
4. Discussion
5. Conclusions
Author Contributions
Funding
Conflicts of Interest
References
- Jeong, Y.; Yu, J.; Wang, L.; Lee, K. International Journal of Applied Earth Observations and Geoinformation Bulk scanning method of a heavy metal concentration in tailings of a gold mine using SWIR hyperspectral imaging system. Int. J. Appl. Earth Obs. Geoinf. 2021, 102, 102382. [Google Scholar] [CrossRef]
- Rashed, M.N. Monitoring of contaminated toxic and heavy metals, from mine tailings through age accumulation, in soil and some wild plants at Southeast Egypt. J. Hazard. Mater. 2010, 178, 739–746. [Google Scholar] [CrossRef] [PubMed]
- Jeong, Y.; Yu, J.; Wang, L. Spectral Responses of As and Pb Contamination in Tailings of a Hydrothermal Ore Deposit: A Case Study of Samgwang Mine, South Korea. Remote Sens. 2018, 10, 1830. [Google Scholar] [CrossRef] [Green Version]
- Kemper, T.; Sommer, S. Estimate of Heavy Metal Contamination in Soils after a Mining Accident Using Reflectance Spectroscopy. Environ. Sci. Technol. 2002, 36, 2742–2747. [Google Scholar] [CrossRef]
- Reid, C.; Bécaert, V.; Aubertin, M.; Rosenbaum, R.K.; Deschênes, L. Life cycle assessment of mine tailings management in Canada. J. Clean. Prod. 2009, 17, 471–479. [Google Scholar] [CrossRef]
- Sabah, E.; Cengiz, I. An evaluation procedure for flocculation of coal preparation plant tailings. Water Res. 2004, 38, 1542–1549. [Google Scholar] [CrossRef]
- Qi, C.; Fourie, A.; Chen, Q.; Tang, X.; Zhang, Q.; Gao, R. Data-driven modelling of the flocculation process on mineral processing tailings treatment. J. Clean. Prod. 2018, 196, 505–516. [Google Scholar] [CrossRef]
- Arjmand, R.; Massinaei, M.; Behnamfard, A. Improving flocculation and dewatering performance of iron tailings thickeners. J. Water Process Eng. 2019, 31, 100873. [Google Scholar] [CrossRef]
- Grabsch, A.F.; Fawell, P.D.; Adkins, S.J.; Beveridge, A. The impact of achieving a higher aggregate density on polymer-bridging flocculation. Int. J. Miner. Process. 2013, 124, 83–94. [Google Scholar] [CrossRef]
- Anstey, D.; Guang, R. Relationship between In-line polymer dose and tailings index. In Proceedings of the Tailings and Mine Waste conference, Banff, AB, Canada, 5–8 November 2017; pp. 1–10. [Google Scholar]
- Fawell, P.; Adkins, S.; Costine, A. Reagents. In Paste and Thickened Tailings—A Guide, 3rd ed.; Australian Centre for Geomechanics: Perth, WA, Australia, 2015; Chapter 6; pp. 87–108. [Google Scholar] [CrossRef]
- Paunovic, P.; Dimitrov, A.T.; Jordanov, S.H. Leaching of Mine Tailings in Semi-Industrial Conditions. In Proceedings of the XIth Annual Conference Union Metall, Skopje, North Macedonia, 07–10 May 2007; pp. 36–41. [Google Scholar]
- Chen, H.; Dai, G.; Zhao, J.; Zhong, A.; Wu, J.; Yan, H. Removal of copper(II) ions by a biosorbent-Cinnamomum camphora leaves powder. J. Hazard. Mater. 2010, 177, 228–236. [Google Scholar] [CrossRef]
- Jiang, M.; Wang, Q.; Jin, X.; Chen, Z. Removal of Pb(II) from aqueous solution using modified and unmodified kaolinite clay. J. Hazard. Mater. 2009, 170, 332–339. [Google Scholar] [CrossRef]
- Hierro, I.; Fajardo, M.; Sierra, I.; Pe, D. Mesoporous silica functionalized with 2-mercaptopyridine: Synthesis, characterization and employment for Hg (II) adsorption. Microporous Mesoporous Mater. 2006, 89, 58–68. [Google Scholar] [CrossRef]
- Jiang, M.; Jin, X.; Lu, X.Q.; Chen, Z. Adsorption of Pb(II), Cd(II), Ni(II) and Cu(II) onto natural kaolinite clay. Desalination 2010, 252, 33–39. [Google Scholar] [CrossRef]
- Suraj, G.; Iyer, C.S.P.; Lalithambika, M. Adsorption of cadmium and copper by modified kaolinites. Appl. Clay Sci. 1998, 13, 293–306. [Google Scholar] [CrossRef]
- Limousin, G. Sorption isotherms: A review on physical bases, modeling and measurement. Appl. Geochem. 2007, 22, 249–275. [Google Scholar] [CrossRef]
- Millar, G.J.; Outram, J.G.; Couperthwaite, S.J.; Leung, C.W. Separation and Puri fi cation Technology Methodology of isotherm generation: Multicomponent K+ and H+ ion exchange with strong acid cation resin. Sep. Purif. Technol. 2020, 251, 117360. [Google Scholar] [CrossRef]
- Ho, Y.S.; Porter, J.F.; Mckay, G. Equilibrium isotherm studies for the sorption of divalent metal ions onto peat: Copper, nickel and lead single component systems. Water. Air. Soil Pollut. 2002, 14, 1–33. [Google Scholar] [CrossRef]
- Lee, B.J.; Schlautman, M.A. Effects of Polymer Molecular Weight on Adsorption and Flocculation in Aqueous Kaolinite Suspensions Dosed with Nonionic Polyacrylamides. Water 2015, 7, 5896–5909. [Google Scholar] [CrossRef] [Green Version]
- Arinaitwe, E.; Pawlik, M. A role of flocculant chain flexibility in flocculation of fine quartz. Part I. Intrinsic viscosities of polyacrylamide-based flocculants. Int. J. Miner. Process. 2013, 124, 50–57. [Google Scholar] [CrossRef]
- Reid, D.; Fourie, A. Laboratory assessment of the effects of polymer treatment on geotechnical properties of low-plasticity soil slurry. Can. Geotech. J. 2016, 53, 1718–1730. [Google Scholar] [CrossRef]
- Owen, A.T.; Fawell, P.D.; Swift, J.D.; Farrow, J.B. The impact ofpolyacrylamide flocculant solution age on flocculation performance. Int. J. Miner. Process. 2002, 67, 123–144. [Google Scholar] [CrossRef]
- Boshrouyeh Ghandashtani, M.; Costine, A.; Edraki, M.; Baumgartl, T. The impacts of high salinity and polymer properties on dewatering and structural characteristics of flocculated high-solids tailings. J. Clean. Prod. 2022, 342, 130726. [Google Scholar] [CrossRef]
- Costine, A.; Fawell, P.; Chryss, A.; Dahl, S.; Bellwood, J. Development of test procedures based on chaotic advection for assessing polymer performance in high-solids tailings applications. Processes 2020, 8, 731. [Google Scholar] [CrossRef]
- Yu, L.; Yakubov, G.E.; Gilbert, E.P.; Sewell, K.; van de Meene, A.M.L.; Stokes, J.R. Multi-scale assembly of hydrogels formed by highly branched arabinoxylans from Plantago ovata seed mucilage studied by USANS/SANS and rheology. Carbohydr. Polym. 2019, 207, 333–342. [Google Scholar] [CrossRef] [PubMed] [Green Version]
- Liu, D.; Edraki, M.; Berry, L. Investigating the settling behaviour of saline tailing suspensions using kaolinite, bentonite, and illite clay minerals. Powder Technol. 2018, 326, 228–236. [Google Scholar] [CrossRef] [Green Version]
- Clesceri, L.S.; Greenberg, A.E.; Eaton, A.D. Anionic Surfactants as MBAS, 20th ed.; Port City Press: Baltimore, MD, USA, 1999. [Google Scholar]
- Çay, S.; Uyanik, A.; Özaşik, A. Single and binary component adsorption of copper(II) and cadmium(II) from aqueous solutions using tea-industry waste. Sep. Purif. Technol. 2004, 38, 273–280. [Google Scholar] [CrossRef]
- Mckay, G.; Mesdaghinia, A.; Nasseri, S.; Hadi, M.; Solaimany, M. Optimum isotherms of dyes sorption by activated carbon: Fractional theoretical capacity & error analysis. Chem. Eng. J. 2014, 251, 236–247. [Google Scholar] [CrossRef]
- Lee, I.; Kuan, Y.; Chern, J. Equilibrium and kinetics of heavy metal ion exchange. J. Chinese Inst. Chem. Eng. 2007, 38, 71–84. [Google Scholar] [CrossRef]
- Donald, L. Sparks. In Kinetics of Soil Chemical Processes; Elsevier: San Diego, CA, USA, 1989. [Google Scholar]
- Koopal, L.K.; van Riemsdijk, W.H.; de Wit, J.C.M.; Benedetti, M.F. Analytical Isotherm Equations for Multicomponent Adsorption to Heterogeneous Surfaces. J. Colloid Interface Sci. 1994, 166, 51–60. [Google Scholar] [CrossRef]
- Al-Ghouti, M.A.; Da’ana, D.A. Guidelines for the use and interpretation of adsorption isotherm models: A review. J. Hazard. Mater. 2020, 393, 122383. [Google Scholar] [CrossRef]
- Foo, K.Y.; Hameed, B.H. Insights into the modeling of adsorption isotherm systems. Chem. Eng. J. 2010, 156, 2–10. [Google Scholar] [CrossRef]
- Boshrouyeh Ghandashtani, M.; Edraki, M.; Costine, A.; Baumgartl, T. Investigation of geotechnical, hydromechanical, and chemical behaviour of polymer-treated tailings. In Proceedings of the Paste 2021: 24th International Conference on Paste, Thickened and Filtered Tailings, Perth, WA, Australia, 21–23 September 2021; Fourie, A.B., Reid, D., Eds.; Australian Centre for Geomechanics PP—Perth: Perth, WA, Australia, 2021; pp. 79–90. [Google Scholar] [CrossRef]
- Jeldres, R.I.; Piceros, E.C.; Leiva, W.H.; Toledo, P.G.; Herrera, N. Viscoelasticity and yielding properties of flocculated kaolinite sediments in saline water, Colloids Surfaces A Physicochem. Eng. Asp. 2017, 529, 1009–1015. [Google Scholar] [CrossRef]
- Thommes, M.; Kaneko, K.; Neimark, A.V.; Olivier, J.P.; Rodriguez-Reinoso, F.; Rouquerol, J.; Sing, K.S.W. Physisorption of gases, with special reference to the evaluation of surface area and pore size distribution (IUPAC Technical Report). Pure Appl. Chem. 2015, 87, 1051–1069. [Google Scholar] [CrossRef] [Green Version]
- Rouquerol, F.; Rouquerol, J.; Sing, K.S.W.; Maurin, G.; Llewellyn, P. Adsorption by Powders and Porous Solids, Second; Academic Press: Cambridge, MA, USA, 2014. [Google Scholar]
- Lowell, S.; Shields, J.E.; Thomas, M.A.; Thommes, M. Characterization of Porous Solids and Powders: Surface Area, Pore Size and Density; Springer: Berlin/Heidelberg, Germany, 2004. [Google Scholar]
- Shahmohammadi-Kalalagh, S.; Babazadeh, H.; Nazemi, A.H.; Manshouri, M. Isotherm and Kinetic Studies on Adsorption of Pb, Zn and Cu By Kaolinite. Casp. J. Environ. Sci. 2011, 9, 243–255. [Google Scholar]
- Hui, K.S.; Chao, C.Y.H.; Kot, S.C. Removal of mixed heavy metal ions in wastewater by zeolite 4A and residual products from recycled coal fly ash. J. Hazard. Mater. 2005, 127, 89–101. [Google Scholar] [CrossRef]
- Jeldres, R.; Yang, T.; Costine, A.; Fawell, P.; Bellwood, J. The impact of high salinity and seawater on aggregate structures in clay tailings flocculation. In Proceedings of the 23rd International Conference on Paste, Thickened and Filtered Tailings—PASTE, Santiago, Chile, 10–12 June 2020; pp. 1–8. [Google Scholar] [CrossRef]
- Ouyang, D.; Zhuo, Y.; Hu, L.; Zeng, Q.; Hu, Y.; He, Z. Research on the adsorption behavior of heavy metal ions by porous material prepared with silicate tailings. Minerals 2019, 9, 291. [Google Scholar] [CrossRef] [Green Version]
- Wang, W.; Tian, G.; Zhang, Z.; Wang, A. A simple hydrothermal approach to modify palygorskite for high-efficient adsorption of Methylene blue and Cu(II) ions. Chem. Eng. J. 2015, 265, 228–238. [Google Scholar] [CrossRef]
- Duan, P.; Yan, C.; Zhou, W.; Ren, D. Development of fly ash and iron ore tailing based porous geopolymer for removal of Cu(II) from wastewater. Ceram. Int. 2016, 42, 13507–13518. [Google Scholar] [CrossRef]
- Melo, D.Q.; Neto, V.O.S.; Oliveira, J.T.; Barros, A.L.; Gomes, E.C.C.; Raulino, G.S.C.; Longuinotti, E.; Nascimento, R.F. Adsorption equilibria of Cu2+, Zn2+, and Cd 2+ on EDTA-functionalized silica spheres. J. Chem. Eng. Data 2013, 58, 798–806. [Google Scholar] [CrossRef]
- Zhou, Y.; Yang, Y.; Liu, G.; He, G.; Liu, W. Adsorption mechanism of cadmium on microplastics and their desorption behavior in sediment and gut environments: The roles of water pH, lead ions, natural organic matter and phenanthrene. Water Res. 2020, 184, 116209. [Google Scholar] [CrossRef]
- Shahbazi, A.; Younesi, H.; Badiei, A. Functionalized SBA-15 mesoporous silica by melamine-based dendrimer amines for adsorptive characteristics of Pb(II), Cu(II) and Cd(II) heavy metal ions in batch and fixed bed column. Chem. Eng. J. 2011, 168, 505–518. [Google Scholar] [CrossRef]
- Milićević, S.; Vlahović, M.; Kragović, M.; Martinović, S.; Milošević, V.; Jovanović, I.; Stojmenović, M. Removal of copper from mining wastewater using natural raw material—comparative study between the synthetic and natural wastewater samples. Minerals 2020, 10, 753. [Google Scholar] [CrossRef]
- Esmaeili, A.; Mobini, M.; Eslami, H. Removal of heavy metals from acid mine drainage by native natural clay minerals, batch and continuous studies. Appl. Water Sci. 2019, 9, 1–6. [Google Scholar] [CrossRef] [Green Version]
- Benzaoui, T.; Selatnia, A.; Djabali, D. Adsorption of copper (II) ions from aqueous solution using bottom ash of expired drugs incineration. Adsorpt. Sci. Technol. 2017, 36, 114–129. [Google Scholar] [CrossRef]
- Scheufele, F.B.; Módenes, A.N.; Borba, C.E.; Ribeiro, C.; Espinoza-Quiñones, F.R.; Bergamasco, R.; Pereira, N.C. Monolayer–multilayer adsorption phenomenological model: Kinetics, equilibrium and thermodynamics. Chem. Eng. J. 2016, 284, 1328–1341. [Google Scholar] [CrossRef]
- Xu, L.; Zhang, J.; Ding, J.; Liu, T.; Shi, G.; Li, X.; Dang, W.; Cheng, Y.; Guo, R. Pore Structure and Fractal Characteristics of Different Shale Lithofacies in the Dalong Formation in the Western Area of the Lower Yangtze Platform. Minerals 2020, 10, 72. [Google Scholar] [CrossRef] [Green Version]
- Asadullah, M.; Kabir, M.S.; Ahmed, M.B.; Razak, N.A.; Rasid, N.S.A.; Aezzira, A. Role of microporosity and surface functionality of activated carbon in methylene blue dye removal from water. Korean J. Chem. Eng. 2013, 30, 2228–2234. [Google Scholar] [CrossRef]
- Ekundayo, J.M.; Rezaee, R. Volumetric Measurements of Methane-Coal Adsorption and Desorption Isotherms—Effects of Equations of State and Implication for Initial Gas Reserves. Energies 2019, 12, 2022. [Google Scholar] [CrossRef] [Green Version]
- Ismail, L.; AbdelKhalek, M. Adsorption Study of Some Heavy Metal Ions on Modified Kaolinite Clay. Int. J. Adv. Eng. Technol. 2016, 3, 152–163. [Google Scholar]
- Hashim, M.A.; Mukhopadhyay, S.; Sahu, J.N.; Sengupta, B. Remediation technologies for heavy metal contaminated groundwater. J. Environ. Manag. 2011, 92, 2355–2388. [Google Scholar] [CrossRef]
- Ogbu, I.; Akpomie, K.; Osunkunle, A.; Eze, S. Sawdust-kaolinite composite as efficient sorbent for heavy metal ions. Bangladesh J. Sci. Ind. Res. 2019, 54, 99–110. [Google Scholar] [CrossRef] [Green Version]
- Barka, N.; Abdennouri, M.; El Makhfouk, M.; Qourzal, S. Biosorption characteristics of cadmium and lead onto eco-friendly dried cactus (Opuntia ficus indica) cladodes. J. Environ. Chem. Eng. 2013, 1, 144–149. [Google Scholar] [CrossRef]
- Low, K.S.; Lee, C.K.; Lee, K.P. Sorption of copper by dye-treated oil-palm fibres. Bioresour. Technol. 1993, 44, 109–112. [Google Scholar] [CrossRef]
- Rai, R.K.; Singh, V.P.; Upadhyay, A. Soil Analysis. In Planning and Evaluation of Irrigation Projects; Academic Press: Cambridge, MA, USA, 2017; Chapter 17; pp. 505–523. [Google Scholar] [CrossRef]










| SiO2 (%) | Al2O3 (%) | Fe2O3 (%) | TiO2 (%) | |
|---|---|---|---|---|
| Kaolinite-NY prestige | 49.2 | 35 | 0.94 | 0.96 |
| Silica 200 G | 99.6 | 0.17 | 0.02 | 0.03 |
| Silica fine sand | 98.5 | 0.1 | 0.3 | 0.9 |
| Sample | qexp (mg/g) | Pseudo-First-Order | Pseudo-Second-Order | ||||||
|---|---|---|---|---|---|---|---|---|---|
| qe (mg/g) | K1 | SNE | R2 | qe (mg/g) | K2 | SNE | R2 | ||
| UT | 1.4 | 1.34 | 0.14 | 4.18 | 0.97 | 1.85 | 0.09 | 3.96 | 0.93 |
| PT | 2.05 | 1.32 | 0.18 | 4.25 | 0.91 | 2.12 | 0.07 | 4.02 | 0.98 |
Publisher’s Note: MDPI stays neutral with regard to jurisdictional claims in published maps and institutional affiliations. |
© 2022 by the authors. Licensee MDPI, Basel, Switzerland. This article is an open access article distributed under the terms and conditions of the Creative Commons Attribution (CC BY) license (https://creativecommons.org/licenses/by/4.0/).
Share and Cite
Boshrouyeh Ghandashtani, M.; Edraki, M.; Baumgartl, T.; Costine, A.; Amari, S. Investigation of the Attenuation and Release of Cu2+ Ions by Polymer-Treated Tailings. Minerals 2022, 12, 846. https://doi.org/10.3390/min12070846
Boshrouyeh Ghandashtani M, Edraki M, Baumgartl T, Costine A, Amari S. Investigation of the Attenuation and Release of Cu2+ Ions by Polymer-Treated Tailings. Minerals. 2022; 12(7):846. https://doi.org/10.3390/min12070846
Chicago/Turabian StyleBoshrouyeh Ghandashtani, Mohammad, Mansour Edraki, Thomas Baumgartl, Allan Costine, and Samar Amari. 2022. "Investigation of the Attenuation and Release of Cu2+ Ions by Polymer-Treated Tailings" Minerals 12, no. 7: 846. https://doi.org/10.3390/min12070846
APA StyleBoshrouyeh Ghandashtani, M., Edraki, M., Baumgartl, T., Costine, A., & Amari, S. (2022). Investigation of the Attenuation and Release of Cu2+ Ions by Polymer-Treated Tailings. Minerals, 12(7), 846. https://doi.org/10.3390/min12070846

