Integration of Lineal Geostatistical Analysis and Computational Intelligence to Evaluate the Batch Grinding Kinetics
Abstract
:1. Introduction
- -
- Reconstruction of the missing information from the response surface.
- -
- Possible meta-models that will represent the response surface with a certainty that it is a global optimum.
- -
- An in-depth analysis of this data and the parameters can be performed.
- -
- -
- Hybrid mathematical optimization (Particle Swarm Optimization) [25] and descriptive statistics.
- -
- Based on these considerations, this paper will attempt to provide knowledge designed to answer the observations that are available in the literature, such as:
- -
- The grinding process is a chaotic system and exhibits a significant degree of uncertainty, which is difficult to model. However, is it possible to characterize the grinding process using GD and to obtain a trend?
- -
- The PMB requires the determination of several experimental parameters. However, is it possible to propose a different methodology to obtain the weight percentage of each size without using the techniques that were previously described in the literature?
2. Methodology
2.1. Phase I: Experimental Evaluation and Traditional Quantification
2.2. Phase II: Geostatistical Evaluation
2.2.1. The Geostatistical Analysis (GA)
2.2.2. Cross-Validation
2.2.3. Geostatistical Analysis Report
2.3. Phase III: Construction of Meta-Model and Final Report
Meta-Model Technique
2.4. Phase IV: Complementary Analysis
- (1)
- “The number of ore samples required to obtain a specified precision of estimate for an unsampled ore deposit”. However, in our case, it would be the number of samples to obtain the best spatial tendency of the comminutions.
- (2)
- “The coefficient of variation is a guide to the form of the statistical distribution that should be applied for data analysis” Within the proposed methodology, can be applied this comment as an additional calculation to confirm an observed trend.
- (3)
- “The coefficient of variation is a useful guide for quality control of sampling”. This last comment may be particularly relevant when there is no prior information to determine the number and time lapses required for sampling.
2.5. Final Report
3. Cases of Studies
3.1. Fase I: Experimental Evaluation and Traditional Quantification
3.2. Phase II: Mathematical Evaluation
- -
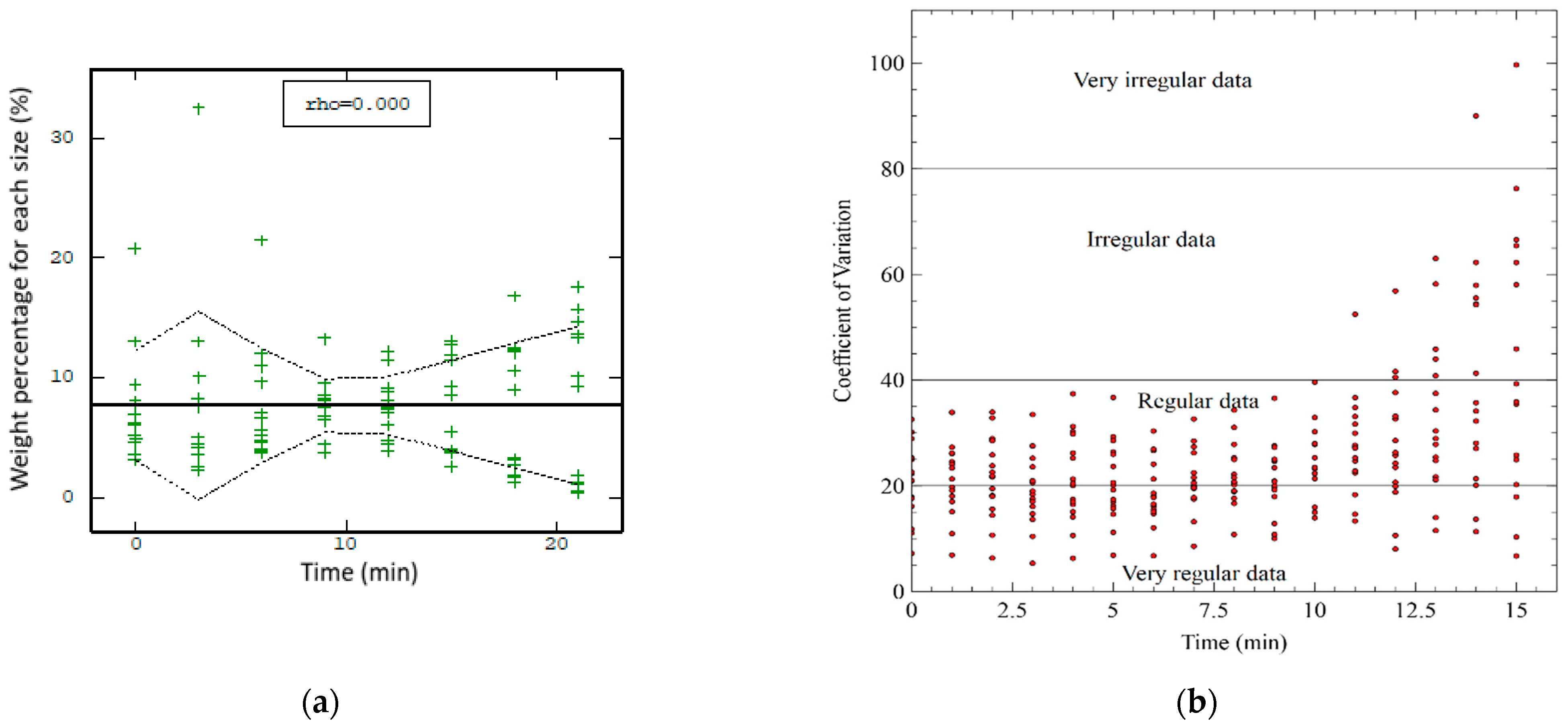
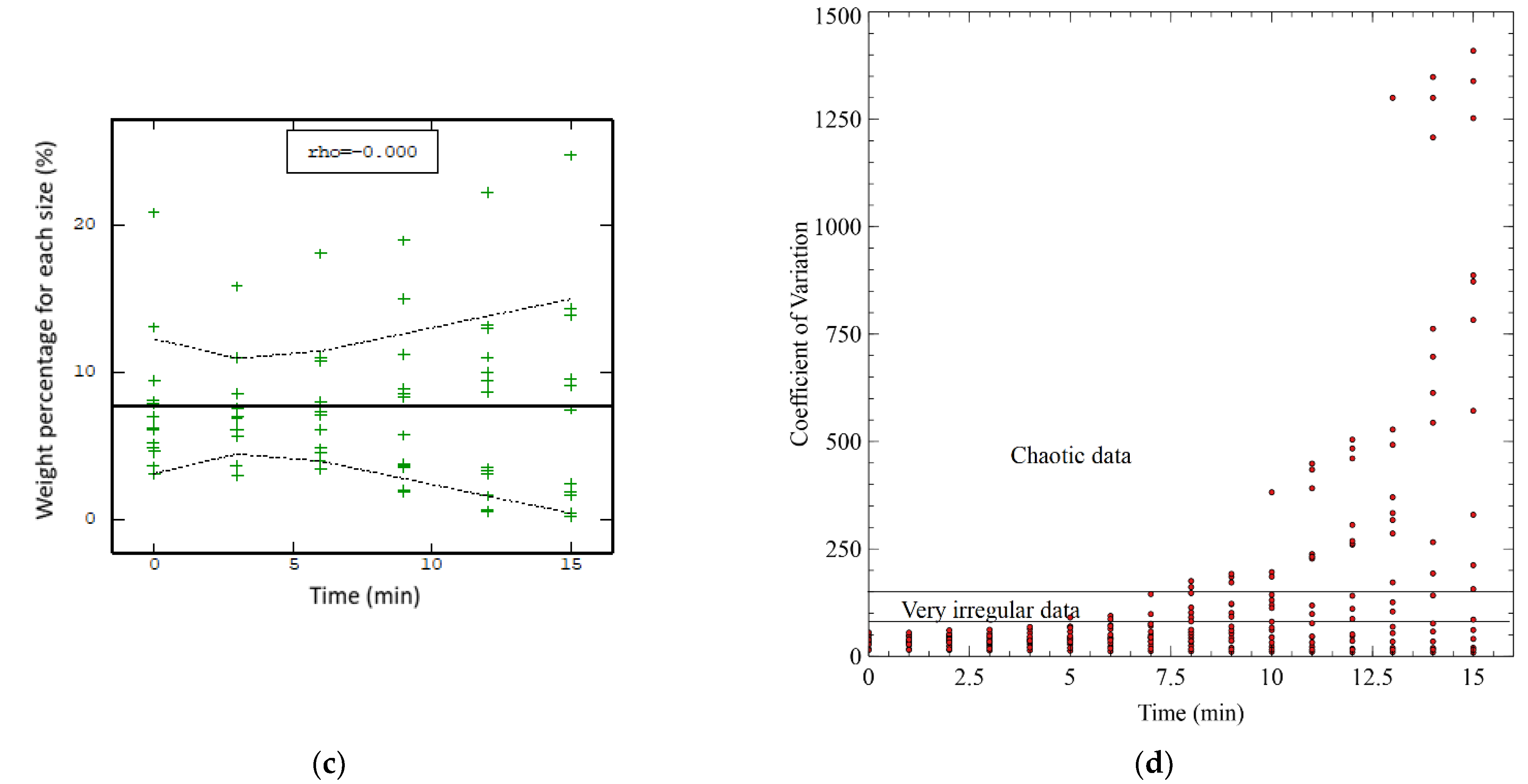
- The general parameters, such as the mean, variance, and the upper quartile, do not show a significant difference between the two cases. This could obviously generate appreciation errors due to insufficient analysis and could lead to hasty conclusions being made.
- -
- It is only when partially accumulated histograms are observed that a more noticeable difference could be seen. This is the case when there is a greater accumulation of information on small sample sizes (mesh 140# Ty to −325# Ty).
- -
- It is important to remark that these two results cannot be extrapolated to other cases, as shown in Figure A1 and Figure A2. In each particular case, the basic statistical data and their respective histograms differ considerably; therefore, this is evidence of the effect of the implications of the ball collar chosen [57,58,59].
Three-Dimensional Analysis
3.3. Fase III: Construction of a Meta-Model and Final Report
3.4. Phase IV: Complementary Analysis
3.5. Final Report
4. Conclusions
Author Contributions
Funding
Institutional Review Board Statement
Informed Consent Statement
Data Availability Statement
Acknowledgments
Conflicts of Interest
Appendix A
| Grinding Time (min) | |||||||
|---|---|---|---|---|---|---|---|
| Size (µm) | 0 | 3 | 6 | 9 | 12 | 15 | 18 |
| 850 | 53.14 | 28.99 | 16.66 | 8.89 | 3.86 | 1.33 | 0.26 |
| 600 | 13.08 | 13.24 | 10.10 | 6.15 | 2.91 | 0.92 | 0.23 |
| 425 | 8.16 | 11.00 | 10.69 | 8.51 | 5.09 | 1.92 | 0.46 |
| 300 | 5.42 | 8.19 | 9.57 | 10.10 | 8.58 | 4.67 | 1.60 |
| 250 | 2.44 | 3.62 | 4.51 | 5.36 | 5.67 | 4.50 | 2.20 |
| 212 | 1.68 | 2.75 | 3.61 | 4.45 | 5.11 | 4.98 | 3.31 |
| 150 | 2.93 | 5.45 | 8.28 | 8.78 | 10.43 | 12.14 | 11.79 |
| 106 | 2.26 | 4.84 | 6.99 | 7.76 | 8.59 | 11.96 | 14.61 |
| 90 | 2.16 | 3.95 | 7.36 | 12.06 | 15.00 | 10.14 | 13.98 |
| 74 | 2.06 | 3.07 | 6.51 | 9.65 | 12.26 | 11.78 | 13.26 |
| 53 | 1.80 | 4.06 | 5.21 | 6.59 | 9.39 | 7.86 | 9.33 |
| 43 | 0.83 | 3.61 | 5.35 | 6.48 | 7.33 | 13.90 | 13.69 |
| 33 | 3.76 | 7.13 | 5.08 | 5.16 | 5.79 | 13.89 | 15.25 |
| Grinding Time (min) | ||||||
|---|---|---|---|---|---|---|
| Size (µm) | 0 | 3 | 6 | 9 | 12 | 15 |
| 850 | 20.80 | 8.12 | 2.18 | 0.45 | 0.07 | 0.01 |
| 600 | 9.48 | 6.75 | 2.68 | 0.57 | 0.10 | 0.02 |
| 425 | 8.09 | 8.21 | 4.84 | 1.35 | 0.27 | 0.05 |
| 300 | 6.99 | 8.27 | 7.69 | 3.24 | 0.96 | 0.24 |
| 250 | 3.62 | 4.00 | 4.71 | 3.18 | 1.28 | 0.41 |
| 212 | 3.14 | 3.25 | 4.20 | 3.64 | 1.95 | 0.72 |
| 150 | 4.86 | 6.44 | 8.44 | 9.60 | 7.14 | 4.59 |
| 106 | 6.21 | 6.32 | 7.57 | 9.99 | 12.73 | 9.70 |
| 90 | 5.18 | 8.02 | 6.01 | 7.37 | 12.25 | 16.81 |
| 74 | 4.59 | 6.93 | 6.71 | 7.73 | 10.25 | 11.26 |
| 53 | 6.06 | 6.39 | 8.44 | 11.18 | 11.05 | 13.14 |
| 43 | 7.90 | 11.14 | 12.09 | 14.64 | 15.65 | 17.45 |
| 33 | 13.06 | 16.17 | 24.45 | 27.07 | 26.29 | 25.61 |


| Time (min) | P80 (µm) | |
|---|---|---|
| ore-A | ore-B | |
| 3 | 486 | |
| 4 | 864 | |
| 8 | 463 | |
| 9 | 162 | |
| 12 | 234 | |
| 15 | 102 | |











References
- Fuerstenau, M.C.; Chander, S.; Woods, R. Sulfide Mineral Flotation. In Froth Flotation: A Century of Innovation; Society for Mining, Metallurgy, and Exploration: Littleton, CO, USA, 2007. [Google Scholar]
- Méndez, D.A.; Gálvez, E.D.; Cisternas, L.A. Modeling of grinding and classification circuits as applied to the design of flotation processes. Comput. Chem. Eng. 2009, 33, 97–111. [Google Scholar] [CrossRef]
- Norori-McCormac, A.; Brito-Parada, P.R.; Hadler, K.; Cole, K.; Cilliers, J.J. The effect of particle size distribution on froth stability in flotation. Sep. Purif. Technol. 2017, 184, 240–247. [Google Scholar] [CrossRef]
- Savassi, O.N. Estimating the recovery of size-liberation classes in industrial flotation cells: A simple technique for minimizing the propagation of the experimental error. Int. J. Miner. Process. 2006, 78, 85–92. [Google Scholar] [CrossRef]
- Gray, N.F. Environmental impact and remediation of acid mine drainage: A management problem. Environ. Geol. 1997, 30, 62–71. [Google Scholar] [CrossRef]
- Park, I.; Tabelin, C.B.; Jeon, S.; Li, X.; Seno, K.; Ito, M.; Hiroyoshi, N. A review of recent strategies for acid mine drainage prevention and mine tailings recycling. Chemosphere 2019, 588–606. [Google Scholar] [CrossRef] [PubMed]
- Wills, B.A.; Finch, J. Wills’ Mineral Processing Technology. An Introduction to the Practical Aspects of Ore Treatment and Minera is Recovery, 8th ed.; Elsevier: Waltham, MA, USA, 2016; ISBN 9780750644501. [Google Scholar]
- Jeldres, R.I.; Fawell, P.D.; Florio, B.J. Population balance modelling to describe the particle aggregation process: A review. Powder Technol. 2018, 190–207. [Google Scholar] [CrossRef]
- Ramkrishna, D.; Singh, M.R. Population Balance Modeling: Current Status and Future Prospects. Annu. Rev. Chem. Biomol. Eng. 2014, 5, 123–146. [Google Scholar] [CrossRef] [Green Version]
- Gupta, V.K.; Sharma, S. Analysis of ball mill grinding operation using mill power specific kinetic parameters. Adv. Powder Technol. 2014, 25, 625–634. [Google Scholar] [CrossRef]
- Hasan, M.; Palaniandy, S.; Hilden, M.; Powell, M. Simulating product size distribution of an industrial scale VertiMill® using a time-based population balance model. Miner. Eng. 2018, 127, 312–317. [Google Scholar] [CrossRef]
- Herbst, J.A.; Fuerstenau, D.W. Scale-up procedure for continuous grinding mill design using population balance models. Int. J. Miner. Process. 1980, 7, 1–31. [Google Scholar] [CrossRef]
- Powell, M.S.; Morrison, R.D. The future of comminution modelling. Int. J. Miner. Process. 2007, 84, 228–239. [Google Scholar] [CrossRef]
- Bilgili, E.; Scarlett, B. Population balance modeling of non-linear effects in milling processes. Powder Technol. 2005, 153, 59–71. [Google Scholar] [CrossRef]
- Choi, H.; Lee, J.; Hong, H.; Gu, J.; Lee, J.; Yoon, H.; Choi, J.; Jeong, Y.; Song, J.; Kim, M.; et al. New evaluation method for the kinetic analysis of the grinding rate constant via the uniformity of particle size distribution during a grinding process. Powder Technol. 2013, 247, 44–46. [Google Scholar] [CrossRef] [Green Version]
- Marcelo Tavares, L. A Review of Advanced Ball Mill Modelling †. KONA Powder Part. J. 2016, 34, 106–124. [Google Scholar] [CrossRef] [Green Version]
- Wang, N.; Ge, P. Study of metamodeling techniques and their applications in engineering design. In Proceedings of the ASME International Mechanical Engineering Congress and Exposition, Columbus, OH, USA, 14–19 November 1999; ASME: Fairfield, NJ, USA; Nashville, TN, USA, 1999; Volume 10, pp. 89–95. [Google Scholar]
- Jin, R.; Chen, W.; Simpson, T.W. Comparative studies of metamodelling techniques under multiple modelling criteria. Struct. Multidiscip. Optim. 2001, 23, 1–13. [Google Scholar] [CrossRef]
- Wang, G.G.; Shan, S. Review of metamodeling techniques in support of engineering design optimization. J. Mech. Des. Trans. ASME 2007, 129, 370–380. [Google Scholar] [CrossRef]
- Kelly, E.; Spottiswood, D. Introduction to Mineral Processing; John Wiley & Sons: New York, NY, USA, 1982; ISBN 978-0471033790. [Google Scholar]
- Iooss, B.; Lemaître, P.; Iooss, B.; Lemaître, P. A review on global sensitivity analysis methods. In Uncertainty Management in Simulation-Optimization of Complex Systems; Dellino, G., Meloni, C., Eds.; Operations Research/Computer Science Interfaces Series; Springer: Boston, MA, USA, 2015. [Google Scholar]
- Cressie, N. STATISTICS FOR SPATIAL DATA. Terra Nov. 1992, 4, 613–617. [Google Scholar] [CrossRef]
- Srivastava, R.M. Geostatistics: A toolkit for data analysis, spatial prediction and risk management in the coal industry. Int. J. Coal Geol. 2013, 112, 2–13. [Google Scholar] [CrossRef]
- Mullur, A.A.; Messac, A. Extended Radial Basis Functions: More Flexible and Effective Metamodeling. AIAA J. 2008, 43, 1306–1315. [Google Scholar] [CrossRef]
- Chopard, B.; Tomassini, M. Particle swarm optimization. In An Introduction to Metaheuristics for Optimization; Natural Computing Series; Springer: Cham, Switzerland, 2018; pp. 97–102. ISBN 0780327683. [Google Scholar]
- Li, J.; Heap, A.D. Spatial interpolation methods applied in the environmental sciences: A review. Environ. Model. Softw. 2014, 53, 173–189. [Google Scholar] [CrossRef]
- Costa, A.C.; Soares, A. Homogenization of Climate Data: Review and New Perspectives Using Geostatistics Homogenization of Climate Data: Review and New Perspectives Using Geostatistics. Math. Geosci. 2009, 41, 291–305. [Google Scholar] [CrossRef]
- Li, J.; Heap, A.D. A review of comparative studies of spatial interpolation methods in environmental sciences: Performance and impact factors. Ecol. Inform. 2011, 6, 228–241. [Google Scholar] [CrossRef]
- Amiri, A.; Gerdtham, U.-G. Relationship between Exports, Imports, and Economic Growth in France: Evidence from Cointegration Analysis and Granger Causality with Using Geostatistical Models; University Library of Munich: Munich, Germany, 2011. [Google Scholar]
- Lucay, F.A.; Sales-cruz, M.; Gálvez, E.D.; Cisternas, L.A. Modeling of the Complex Behavior through an Improved Response Surface. Miner. Process. Extr. Metall. Rev. 2021, 42, 285–311. [Google Scholar] [CrossRef]
- Cahn, M.L.; Conner, M.M.; Schmitz, O.J.; Stephenson, T.R.; Wehausen, J.D.; Johnson, H.E. Disease, population viability, and recovery of endangered Sierra Nevada bighorn sheep. J. Wildl. Manag. 2012, 75, 1753–1766. [Google Scholar] [CrossRef]
- Chilès, J.P. The Generalized Variogram; Center of Geosciences and Geoengineering/Geostatistics: Fontainebleau, France, 2012. [Google Scholar]
- Hengl, T. A Practical Guide to Geostatistical Mapping of Environmental Variables; JRC: Ispra, Italy, 2008. [Google Scholar]
- Clark, I.; Place, A.L.G.; Oen, L.S. The Art of Cross Validation in Geostatistical Applications. In 19th Application of Computers and Operations Research in the Mineral Industry; Society of Mining Engineers: Littleton, CO, USA, 1986; pp. 211–220. [Google Scholar]
- Goel, T.; Haftka, R.T.; Shyy, W.; Queipo, N.V. Ensemble of surrogates. Struct. Multidiscip. Optim. 2007, 33, 199–216. [Google Scholar] [CrossRef]
- Ojha, V.K.; Abraham, A.; Snášel, V. Metaheuristic design of feedforward neural networks: A review of two decades of research. Eng. Appl. Artif. Intell. 2017, 60, 97–116. [Google Scholar] [CrossRef] [Green Version]
- Simpson, T.W.; Peplinski, J.D.; Koch, P.N.; Allen, J.K. Metamodels for computer-based engineering design: Survey and recommendations. Eng. Comput. 2001, 17, 129–150. [Google Scholar] [CrossRef] [Green Version]
- Acar, E.; Rais-Rohani, M. Ensemble of metamodels with optimized weight factors. Struct. Multidiscip. Optim. 2009, 37, 279–294. [Google Scholar] [CrossRef]
- Ouyang, Q.; Lu, W.; Miao, T.; Deng, W.; Jiang, C.; Luo, J. Application of ensemble surrogates and adaptive sequential sampling to optimal groundwater remediation design at DNAPLs-contaminated sites. J. Contam. Hydrol. 2017, 207, 31–38. [Google Scholar] [CrossRef]
- Lim, D.; Ong, Y.S.; Jin, Y.; Sendhoff, B. A study on metamodeling techniques, ensembles, and multi-surrogates in evolutionary computation. In Proceedings of the GECCO 2007: Genetic and Evolutionary Computation Conference, London, UK, 7–11 July 2007; pp. 1288–1295. [Google Scholar]
- Powell, M.J.D. Radial basis functions for multivariable interpolation: A review. In Algorithms for Approximation; Clarendon Press: New York, NY, USA, 1987; pp. 143–167. ISBN 0198536127. [Google Scholar]
- Venter, G.; Haftka, R.T.; Starnes, J.H. Construction of response surfaces for design optimization applications. In Proceedings of the 6th Symposium on Multidisciplinary Analysis and Optimization, Bellevue, WA, USA, 4–6 September 1996; pp. 548–564. [Google Scholar]
- Wang, H.; Hu, D. Comparison of SVM and LS-SVM for regression. In Proceedings of the 2005 International Conference on Neural Networks and Brain (ICNN), Beijing, China, 13–15 October 2015; pp. 279–283. [Google Scholar]
- Zhang, Z. Customizing Kernels in Support Vector Machines. Master’s Thesis, University of Waterloo, Waterloo, ON, Canada, 2007. [Google Scholar]
- Lucay, F.A.; Cisternas, L.A.; Gálvez, E.D. An LS-SVM classifier based methodology for avoiding unwanted responses in processes under uncertainties. Comput. Chem. Eng. 2020, 138. [Google Scholar] [CrossRef]
- Kennedy, J.; Eberhart, R. Particle swarm optimization. In Proceedings of the IEEE International Conference on Neural Networks, Perth, Australia, 27 November–1 December 1995; pp. 1942–1948. [Google Scholar]
- Ab Wahab, M.N.; Nefti-Meziani, S.; Atyabi, A. A comprehensive review of swarm optimization algorithms. PLoS ONE 2015, 1–36. [Google Scholar] [CrossRef] [PubMed] [Green Version]
- Kothari, V.; Anuradha, J.; Shah, S.; Mittal, P. A survey on particle swarm optimization in feature selection. In Communications in Computer and Information Science; Springer: Berlin, Germany, 2012; pp. 192–201. [Google Scholar]
- Sosa Martinez, J.C.; Ospina Forero, L.E.; Berdugo Camacho, E.P. Estadística Descriptiva y Probabilidades; Universidad Externado de Colombia: Bogota, Colombia, 2013; ISBN 9587720709. [Google Scholar]
- Orche, E. Manual de Evaluación de Yacimientos Minerales; Jimeno, C.L., Ed.; ENTORNO GRAFICO: Madrid, Spain, 1999. [Google Scholar]
- Bedain, A.G.; Mossholder, K.W. On the use of the coefficient of variation as a measure of diversity. Organ. Res. Methods 2000, 3, 285–297. [Google Scholar] [CrossRef]
- Jalilibal, Z.; Amiri, A.; Castagliola, P.; Khoo, M.B.C. Monitoring the coefficient of variation: A literature review. Comput. Ind. Eng. 2021, 161, 107600. [Google Scholar] [CrossRef]
- Groesbeck, C.N.; Goodband, R.D.; Tokach, M.D.; Nelssen, J.L.; DeRouchey, J.M.; Dritz, S.S. Effects of salt particle size and sample preparation on results of mixer-efficiency testing. Kansas Agric. Exp. Stn. Res. Rep. 2004, 177–181. [Google Scholar] [CrossRef] [Green Version]
- Koch, S.J.; Link, R.F. The Coefficient of variation - A guide to the Sampling of Ore Deposits. Econ. Geol. 1971, 66, 293–301. [Google Scholar] [CrossRef]
- Finsterle, S.; Kowalsky, M.B. iTOUGH2-GSLIB User’s Guide, Report LBNL/PUB-3191; Lawrence Berkeley National Laboratory: Berkeley, CA, USA, 2007. [Google Scholar]
- Lucay, F.A.; Garcia-Morales, M.; Muñoz-Calderon, D.; Sepúlveda, F.D.; Acosta, R. Developing of Metamodel for Grinding Process using Geostatistical and Support Vector Machine. In Proceedings of the Procemin-Geomet 2019, Santiago, Chile, 20–22 November 2019; Gecamin Digital Publication: Santiago, Chile, 2019. [Google Scholar]
- Heyes, G.W.; Kelsall, D.F.; Stewart, P.S.B. Continuous grinding in a small wet rod mill Part I. Comparison with a small ball mill. Powder Technol. 1973, 7, 319–325. [Google Scholar] [CrossRef]
- Hlabangana, N.; Danha, G.; Muzenda, E. Effect of ball and feed particle size distribution on the milling efficiency of a ball mill: An attainable region approach. S. Afr. J. Chem. Eng. 2018, 25. [Google Scholar] [CrossRef]
- Panjipour, R.; Barani, K. The effect of ball size distribution on power draw, charge motion and breakage mechanism of tumbling ball mill by discrete element method (DEM) simulation. Physicochem. Probl. Miner. Process. 2018, 54, 258–269. [Google Scholar] [CrossRef]
- Delgado, J.; Lucay, F.A.; Sepúlveda, F.D. Experimental uncertainty analysis for the particle size distribution for better understanding of batch grinding process. Minerals 2021, 11, 862. [Google Scholar] [CrossRef]
- Coleman, H.W.; Steele, W.G. Experimentation, Validation, and Uncertainty Analysis for Engineers, 4th ed.; John Wiley & Sons: Hoboken, NJ, USA, 2018; ISBN 9781119417989. [Google Scholar]















Publisher’s Note: MDPI stays neutral with regard to jurisdictional claims in published maps and institutional affiliations. |
© 2022 by the authors. Licensee MDPI, Basel, Switzerland. This article is an open access article distributed under the terms and conditions of the Creative Commons Attribution (CC BY) license (https://creativecommons.org/licenses/by/4.0/).
Share and Cite
Lucay, F.A.; Delgado, J.; Sepúlveda, F.D. Integration of Lineal Geostatistical Analysis and Computational Intelligence to Evaluate the Batch Grinding Kinetics. Minerals 2022, 12, 823. https://doi.org/10.3390/min12070823
Lucay FA, Delgado J, Sepúlveda FD. Integration of Lineal Geostatistical Analysis and Computational Intelligence to Evaluate the Batch Grinding Kinetics. Minerals. 2022; 12(7):823. https://doi.org/10.3390/min12070823
Chicago/Turabian StyleLucay, Freddy A., José Delgado, and Felipe D. Sepúlveda. 2022. "Integration of Lineal Geostatistical Analysis and Computational Intelligence to Evaluate the Batch Grinding Kinetics" Minerals 12, no. 7: 823. https://doi.org/10.3390/min12070823
APA StyleLucay, F. A., Delgado, J., & Sepúlveda, F. D. (2022). Integration of Lineal Geostatistical Analysis and Computational Intelligence to Evaluate the Batch Grinding Kinetics. Minerals, 12(7), 823. https://doi.org/10.3390/min12070823

