Mechanical Properties and Acoustic Emission Characteristics of Water-Bearing Coal Specimens under a Coupled Compression–Shear Load
Abstract
1. Introduction
2. Materials and Methods
2.1. Specimen Preparation
2.2. Test Equipment and Methods
2.3. AE Techniques
3. Results and Discussion
3.1. Variation Law of Mechanical Characteristic Parameters
- (1)
- Peak stress σc
- (2)
- Elastic modulus E
- (3)
- Peak shear stress τc
3.2. Macroscopic Failure Characteristics
4. Analysis of AE Behavior
4.1. Crack Evolution Law
4.2. Evolution Law of CC Threshold, CI Threshold, and CD Threshold
5. Conclusions
- (1)
- When the moisture content was less than 7.55%, the peak shear stress increased according to the inclination angle. Still, when the moisture content was 10.08%, the peak shear stress first increased and then decreased according to the inclination angle. The stress showed an obvious moisture content weakening effect; the peak stress and elastic modulus of coal specimens showed significant moisture content and inclination angle weakening effects. The progressive decrease in the peak stress and elastic modulus was especially susceptible to a high moisture content and a considerable inclination angle.
- (2)
- Microcrack expansion and penetration in the coal specimens were controlled by shear cracks. Under a low moisture content (ω = 0%, 2.42%), the macroscopic fracture mode of the coal specimens progressively shifted from tensile to shear failure as the loading inclination increased. At a medium moisture content (ω = 5.53%), the coal specimen mostly showed a combination of tension and shear failures. At a high moisture content (ω = 7.55%, 10.08%), the coal specimen mostly showed a shear-based failure. The higher the ratio, the better the integrity of the coal specimen when it is damaged. The crack mode indicated by the AE characteristic parameters was consistent with the coal specimen’s macroscopic damage characteristics.
- (3)
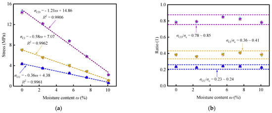
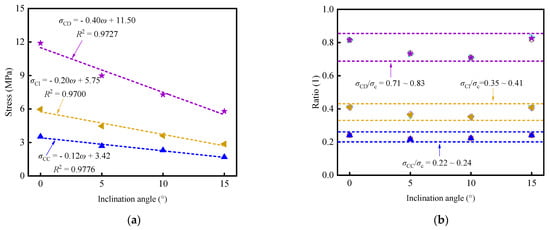
- When the moisture content was 7.55%, the CC threshold, CI threshold, and CD threshold decreased as the angle of inclination increased, but their ratio to the peak stress stayed in the range of 0.22~0.24, 0.35~0.41, and 0.71~0.83, respectively. This means that they did not change with the angle of inclination. At a 10° inclination angle, the CC threshold, CI threshold, and CD threshold all decreased with increasing moisture content, but their ratios to the peak stress remained constant in the range of 0.23~0.24, 0.36~0.41, and 0.78~0.85, respectively.
Author Contributions
Funding
Institutional Review Board Statement
Informed Consent Statement
Data Availability Statement
Conflicts of Interest
References
- Yao, Q.; Chen, T.; Ju, M.; Liang, S.; Liu, Y.; Li, X. Effects of Water Intrusion on Mechanical Properties of and Crack Propagation in Coal. Rock Mech. Rock Eng. 2016, 49, 4699–4709. [Google Scholar] [CrossRef]
- Yao, Q.; Chen, T.; Tang, C.; Sedighi, M.; Huang, Q. Influence of moisture on crack propagation in coal and its failure modes. Eng. Geol. 2019, 258, 105156. [Google Scholar] [CrossRef]
- Gu, D.Z.; Yan, Y.G.; Zhang, Y.; Wang, E.Z.; Cao, Z.G. Experimental study and numerical simulation for dynamic response of coal pillars in coal mine underground reservoir. J. China Coal Soc. 2016, 14, 1589–1597. [Google Scholar]
- He, Q.; Li, Y.; She, S. Mechanical Properties of Basalt Specimens under Combined Compression and Shear Loading at Low Strain Rates. Rock Mech. Rock Eng. 2019, 52, 4101–4112. [Google Scholar] [CrossRef]
- He, Q.; Li, Y.; Xu, J.; Zhang, C. Prediction of Mechanical Properties of Igneous Rocks under Combined Compression and Shear Loading through Statistical Analysis. Rock Mech. Rock Eng. 2020, 53, 841–859. [Google Scholar] [CrossRef]
- Wu, P.; Chen, L.; Chen, Y.L.; Mao, X.B.; Pu, H.; Zhang, K.; Wang, X.F.; Zhang, W. Experimental Study on Mechanical Properties and Microcrack Fracture of Coal Specimens under the Coupling of Loading Rate and Compression—Shear Loads. Int. J. Geomech. 2022, 22, 1–15. [Google Scholar] [CrossRef]
- Chen, L.; Wu, P.; Chen, Y.L.; Zhang, W. Experimental Study on Physical-mechanical Properties and Fracture Behaviors of Saturated Yellow Sandstone Considering Coupling Effect of Freeze-Thaw and Specimen Inclination. Sustainability 2020, 12, 1029. [Google Scholar] [CrossRef]
- Zhou, Z.; Cai, X.; Cao, W.; Li, X.; Xiong, C. Influence of Water Content on Mechanical Properties of Rock in Both Saturation and Drying Processes. Rock Mech. Rock Eng. 2016, 49, 3009–3025. [Google Scholar] [CrossRef]
- Zhao, K.; Yang, D.; Zeng, P.; Huang, Z.; Teng, T. Effect of water content on the failure pattern and acoustic emission characteristics of red sandstone. Int. J. Rock Mech. Min. Sci. 2021, 142, 104709. [Google Scholar] [CrossRef]
- Zhu, J.; Deng, J.; Huang, Y.; He, Z. Influence of Water on the Fracture Process of Marble with Acoustic Emission Monitoring. KSCE J. Civ. Eng. 2019, 23, 3239–3249. [Google Scholar] [CrossRef]
- Ma, C.; Li, H.; Niu, Y. Experimental study on damage failure mechanical characteristics and crack evolution of water-bearing surrounding rock. Environ. Earth Sci. 2018, 77, 23. [Google Scholar] [CrossRef]
- Wang, Q.; Fu, Q. Research on Mechanical Properties of Port Rock under Different Water Conditions. J. Coast. Res. 2020, 105, 223–227. [Google Scholar] [CrossRef]
- Li, D.; Wong, L.; Liu, G.; Zhang, X. Influence of water content and anisotropy on the strength and deformability of low porosity meta-sedimentary rocks under triaxial compression. Eng. Geol. 2012, 126, 46–66. [Google Scholar] [CrossRef]
- Wang, H.; Tao, Y.; Wang, D.; Sun, X.; Gao, J. Experimental Study on Mechanical Properties of Briquette Coal Samples with Different Moisture Content. Geofluids 2021, 2021, 6634378. [Google Scholar]
- Yao, Q.; Tang, C.; Xia, Z.; Liu, X.; Hui, X. Mechanisms of failure in coal samples from underground water reservoir. Eng. Geol. 2020, 267, 105494. [Google Scholar] [CrossRef]
- Wang, W.; Yao, Q.; Tang, C.; Li, X.; Xu, Q. Experimental study on the shear characteristics and weakening mechanism of water-bearing rock joints. Bull. Eng. Geol. Environ. 2021, 80, 7653–7668. [Google Scholar] [CrossRef]
- Tang, C.J.; Yao, Q.L.; Li, Z.Y.; Zhang, Y.; Ju, M.H. Experimental study of shear failure and crack propagation in water-bearing coal samples. Energy Sci. Eng. 2019, 7, 2193–2204. [Google Scholar] [CrossRef]
- Xu, N.; Chen, W.W.; Xin, S.; Templeton, D.W. Dynamic Failure of Borosilicate Glass under Compression/Shear Loading Experiments. J. Am. Ceram. Soc. 2010, 90, 2556–2562. [Google Scholar]
- Tan, S.; Yao, X.; Long, S.; Zhang, X.; Zang, S. Static and dynamic strength of soda-lime glass under combined compression-shear loading. J. Non-Cryst. Solids 2019, 516, 14–25. [Google Scholar] [CrossRef]
- Xu, S.; Huang, J.; Wang, P.; Zhang, C.; Zhou, L.; Hu, S. Investigation of rock material under combined compression and shear dynamic loading: An experimental technique. Int. J. Impact Eng. 2015, 86, 206–222. [Google Scholar] [CrossRef]
- Xu, Y.; Dai, F. Dynamic Response and Failure Mechanism of Brittle Rocks under Combined Compression-Shear Loading Experiments. Rock Mech. Rock Eng. 2018, 51, 747–764. [Google Scholar] [CrossRef]
- Tounsi, R.; Markiewicz, E.; Haugou, G.; Chaari, F.; Zouari, B. Dynamic behaviour of honeycombs under mixed shear-compression loading: Experiments and analysis of combined effects of loading angle and cells in-plane orientation. Int. J. Solids Struct. 2016, 80, 501–511. [Google Scholar] [CrossRef]
- Zhao, P.D.; Lu, F.Y.; Chen, R.; Lin, Y.L.; Li, J.L.; Lu, L.; Sun, G.L. A new technique for combined dynamic compression-shear test. Dyn. Behav. Mater. 2011, 1, 417–424. [Google Scholar]
- Chen, L.; Mao, X.B.; Wu, P. Effect of High Temperature and Inclination Angle on Mechanical Properties and Fracture Behavior of Granite at Low Strain Rate. Sustainability 2020, 12, 1255. [Google Scholar] [CrossRef]
- Chen, Y.; Cui, H.; Pu, H.; Wu, P.; Zhang, K. Study on Mechanical Properties and Cracking Mode of Coal Samples under Compression—Shear Coupled Load Considering the Effect of Loading Rate. Appl. Sci. 2020, 10, 7082. [Google Scholar] [CrossRef]
- Ashab, A.; Ruan, D.; Lu, G.X.; Wong, Y.C. Combined Compression-Shear Behavior of Aluminum Honeycombs. Key Eng. Mater. 2014, 626, 127–132. [Google Scholar] [CrossRef]
- Ashab, A.; Ruan, D.; Lu, G.; Wong, Y.C. Quasi-static and dynamic experiments of aluminum honeycombs under combined compression-shear loading. Mater. Des. 2016, 97, 183–194. [Google Scholar] [CrossRef]
- Zhang, J.; Jin, T.; Wang, Z.; Zhao, L. Experimental investigation on yield behavior of PMMA under combined shear-compression loading. Results Phys. 2016, 6, 265–269. [Google Scholar] [CrossRef][Green Version]
- Jin, T.; Zhou, Z.; Wang, Z.; Wu, G.; Liu, Z.; Shu, X. Quasi-static failure behaviour of PMMA under combined shear–compression loading. Polym. Test. 2015, 42, 181–184. [Google Scholar] [CrossRef]
- Ling, C.; Jan, I.; Philip, C.; Gilchrist, M.D. Deformation response of EPS foam under combined compression-shear loading. Part I: Experimental design and quasi-static tests. Int. J. Mech. Sci. 2018, 144, 480–489. [Google Scholar] [CrossRef]
- Aydan, Ö.; Ito, T.; Özbay, U.; Kwasniewski, M.; Sharira, K.; Okuno, T.; Özgenoğlu, A.; Malan, D.F.; Okada, T. ISRM Suggested Methods for Determining the Creep Characteristics of Rock. In The ISRM Suggested Methods for Rock Characterization, Testing and Monitoring: 2007–2014; Springer: Cham, Switzerland, 2015; pp. 115–130. [Google Scholar]
- Song, Z.P.; Wang, J.X.; Jiang, A.N.; Liu, X.R.; Zhang, X.G. Trasonic tests on schist with saturated cracks under uniaxial compression. Chin. J. Rock Mech. Eng. 2014, 12, 2377–2383. [Google Scholar]
- Choens, R.C.; Chester, F.M. Characterizing Damage Evolution and Yield in Sandstone under Triaxial Loading as a Function of Changing Effective Pressure; Texas A & M University: College Station, TX, USA, 2011. [Google Scholar]
- Yao, Q.; Zheng, C.; Tang, C.; Xu, Q.; Li, X. Experimental Investigation of the Mechanical Failure Behavior of Coal Specimens with Water Intrusion. Front. Earth Sci. 2020, 7, 348. [Google Scholar] [CrossRef]
- Ohtsu, M.; Tomoda, Y.; Suzuki, T. Damage evaluation and corrosion detection in concrete by acoustic emission. In Fracture Mechanics of Concrete and Concrete Structure-Design; Carpinteri, A., Gambarova, P.G., Ferro, G., Plizzari, G., Eds.; Taylor and Francis Group: London, UK, 2007. [Google Scholar]
- Wang, X.; Wen, Z.; Jiang, Y.; Huang, H. Experimental Study on Mechanical and Acoustic Emission Characteristics of Rock-Like Material under Non-Uniformly Distributed Loads. Rock Mech. Rock Eng. 2018, 51, 729–745. [Google Scholar] [CrossRef]
- Kim, J.; Lee, K.; Cho, W.; Choi, H.; Cho, G. A Comparative Evaluation of Stress—Strain and Acoustic Emission Methods for Quantitative Damage Assessments of Brittle Rock. Rock Mech. Rock Eng. 2015, 48, 495–508. [Google Scholar] [CrossRef]
- Zhao, X.G.; Cai, M.; Wang, J.; Li, P.F.; Ma, L.K. Objective Determination of Crack Initiation Stress of Brittle Rocks under Compression Using AE Measurement. Rock Mech. Rock Eng. 2015, 48, 2473–2484. [Google Scholar] [CrossRef]
- Chang, S.; Lee, C. Estimation of cracking and damage mechanisms in rock under triaxial compression by moment tensor analysis of acoustic emission. Int. J. Rock Mech. Min. Sci. 2004, 41, 1069–1086. [Google Scholar] [CrossRef]
- Brace, W.F.; Paulding, B.W.; Scholz, C. Dilatancy in the fracture of crystalline rocks. J. Geophys. Res. 1966, 71, 3939–3953. [Google Scholar] [CrossRef]
- Eberhardt, E.; Stead, D.; Stimpson, B. Quantifying progressive pre-peak brittle fracture damage in rock during uniaxial compression. Int. J. Rock Mech. Min. Sci. 1999, 36, 361–380. [Google Scholar] [CrossRef]
- Hallbauer, D.K.; Wagner, H.; Cook, N. Some observations concerning the microscopic and mechanical behaviour of quartzite specimens in stiff, triaxial compression tests. Int. J. Rock Mech. Min. Sci. Geomech. Abstr. 1973, 10, 713–726. [Google Scholar] [CrossRef]
- Walsh, J.B. The effect of cracks on the uniaxial elastic compression of rocks. J. Geophys. Res. 1965, 70, 399–411. [Google Scholar] [CrossRef]
- Eberhardt, E.; Stimpson, B.; Stead, D. Effects of Grain Size on the Initiation and Propagation Thresholds of Stress-Induced Brittle Fractures. Rock Mech. Rock Eng. 1999, 32, 81–99. [Google Scholar] [CrossRef]
- Bieniawski, Z.T. Mechanism of brittle fracture of rock: Part II. Int. J. Rock Mech. Min. Ences Geomech. Abstr. 1967, 4, 407–423. [Google Scholar] [CrossRef]
- Zhang, Z.Z.; Gao, F. Experimental investigation on the energy evolution of dry and water-saturated red sandstones. Int. J. Min. Sci. Technol. 2015, 25, 383–388. [Google Scholar] [CrossRef]
- Zong, Y.; Han, L.; Wei, J.; Wen, S. Mechanical and damage evolution properties of sandstone under triaxial compression. Int. J. Min. Sci. Technol. 2016, 26, 601–607. [Google Scholar] [CrossRef]
- Benz, T.; Schwab, R. A quantitative comparison of six rock failure criteria. Int. J. Rock Mech. Min. Sci. 2008, 45, 1176–1186. [Google Scholar] [CrossRef]
- Nicksiar, M.; Martin, C.D. Factors Affecting Crack Initiation in Low Porosity Crystalline Rocks. Rock Mech. Rock Eng. 2014, 47, 1165–1181. [Google Scholar] [CrossRef]




















| Inclination Angle (°) | 0 | 5 | 10 | 15 | |
|---|---|---|---|---|---|
| σCC (MPa)/Ratio(1) | Cumulative AE count | 3.52/0.24 | 2.67/0.22 | 2.29/0.22 | 1.69/0.24 |
| Cumulative AE energy | 3.52/0.24 | 2.67/0.22 | 2.29/0.22 | 1.69/0.24 | |
| Average value | 3.52/0.24 | 2.67/0.22 | 2.29/0.22 | 1.69/0.24 | |
| σCI (MPa)/Ratio(1) | Cumulative AE count | 5.97/0.41 | 4.41/0.36 | 3.59/0.35 | 2.88/0.41 |
| Cumulative AE energy | 5.97/0.41 | 4.52/0.37 | 3.62/0.35 | 2.85/0.41 | |
| Average value | 5.97/0.41 | 4.47/0.36 | 3.61/0.35 | 2.87/0.41 | |
| σCD(MPa)/Ratio(1) | Cumulative AE count | 11.91/0.82 | 8.96/0.73 | 7.28/0.71 | 5.84/0.83 |
| Cumulative AE energy | 11.90/0.82 | 9.01/0.74 | 7.28/0.71 | 5.75/0.82 | |
| Average value | 11.91/0.82 | 8.99/0.73 | 7.28/0.71 | 5.80/0.83 | |
| Moisture Content (%) | 0 | 2.42 | 5.53 | 7.55 | 10.08 | |
|---|---|---|---|---|---|---|
| σCC (MPa)/Ratio(1) | Cumulative AE count | 4.33/0.24 | 3.48/0.23 | 2.52/0.24 | 1.69/0.24 | 0.64/0.23 |
| Cumulative AE energy | 4.33/0.24 | 3.48/0.23 | 2.52/0.24 | 1.69/0.24 | 0.64/0.23 | |
| Average value | 4.33/0.24 | 3.48/0.23 | 2.52/0.24 | 1.69/0.24 | 0.64/0.23 | |
| σCI (MPa)/Ratio(1) | Cumulative AE count | 7.08/0.39 | 5.58/0.36 | 4.08/0.39 | 2.88/0.41 | 1.07/0.38 |
| Cumulative AE energy | 7.01/0.38 | 5.55/0.36 | 3.96/0.38 | 2.85/0.41 | 1.11/0.39 | |
| Average value | 7.05/0.38 | 5.57/0.36 | 4.02/0.39 | 2.87/0.41 | 1.09/0.39 | |
| σCD(MPa)/Ratio(1) | Cumulative AE count | 14.49/0.79 | 12.12/0.79 | 8.83/0.85 | 5.84/0.83 | 2.20/0.78 |
| Cumulative AE energy | 14.27/0.78 | 12.21/0.79 | 8.76/0.85 | 5.75/0.82 | 2.22/0.78 | |
| Average value | 14.38/0.78 | 12.17/0.79 | 8.80/0.85 | 5.80/0.83 | 2.21/0.78 | |
Publisher’s Note: MDPI stays neutral with regard to jurisdictional claims in published maps and institutional affiliations. |
© 2022 by the authors. Licensee MDPI, Basel, Switzerland. This article is an open access article distributed under the terms and conditions of the Creative Commons Attribution (CC BY) license (https://creativecommons.org/licenses/by/4.0/).
Share and Cite
Wang, L.; Wu, P.; Li, M.; Mao, X.; Chen, L. Mechanical Properties and Acoustic Emission Characteristics of Water-Bearing Coal Specimens under a Coupled Compression–Shear Load. Minerals 2022, 12, 704. https://doi.org/10.3390/min12060704
Wang L, Wu P, Li M, Mao X, Chen L. Mechanical Properties and Acoustic Emission Characteristics of Water-Bearing Coal Specimens under a Coupled Compression–Shear Load. Minerals. 2022; 12(6):704. https://doi.org/10.3390/min12060704
Chicago/Turabian StyleWang, Lan, Peng Wu, Ming Li, Xianbiao Mao, and Liang Chen. 2022. "Mechanical Properties and Acoustic Emission Characteristics of Water-Bearing Coal Specimens under a Coupled Compression–Shear Load" Minerals 12, no. 6: 704. https://doi.org/10.3390/min12060704
APA StyleWang, L., Wu, P., Li, M., Mao, X., & Chen, L. (2022). Mechanical Properties and Acoustic Emission Characteristics of Water-Bearing Coal Specimens under a Coupled Compression–Shear Load. Minerals, 12(6), 704. https://doi.org/10.3390/min12060704
