Apatite, Ca10(PO4)6(OH,F,Cl)2: Structural Variations, Natural Solid Solutions, Intergrowths, and Zoning
Abstract
1. Introduction
2. Crystal Structure of Ap, Ca10(PO4)6(OH,F,Cl)2
3. Experimental Methods
3.1. Electron-Probe Microanalysis (EPMA)
3.2. Synchrotron High-Resolution Powder X-ray Diffraction (HRPXRD)
3.3. Rietveld Structural Refinement
4. Results and Discussion
4.1. Chemical Analyses
4.2. High-Resolution Powder X-ray Diffraction (HRPXRD) Traces and Intergrowths in Apatite-Group Minerals
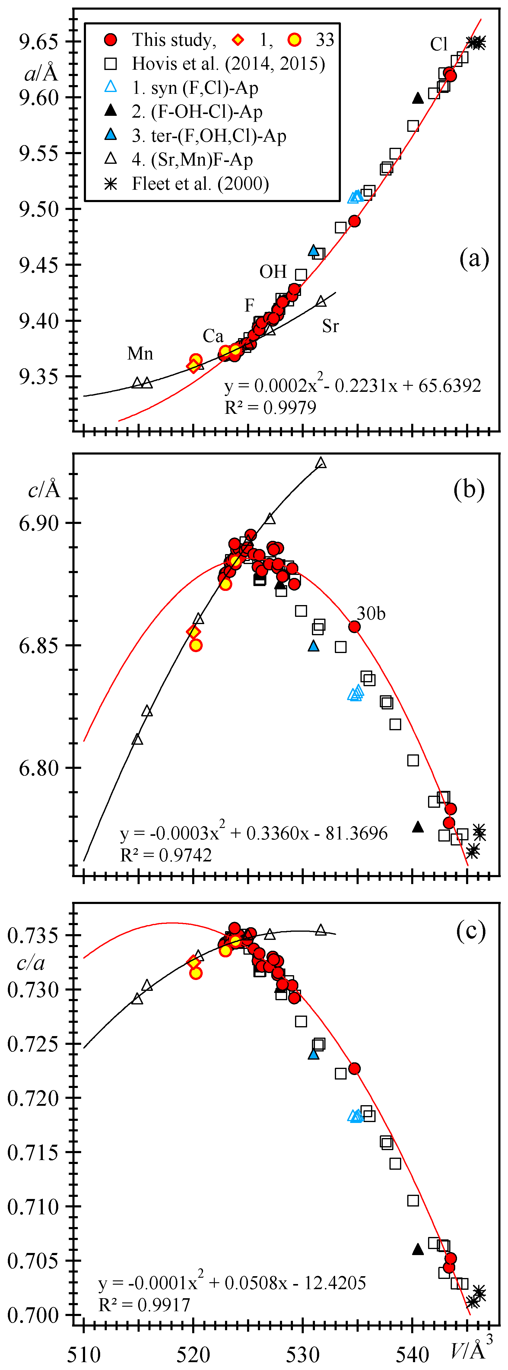
4.3. Variations of Unit-Cell Parameters across Natural Apatite Solid Solutions
4.4. Crystal Structure of Natural Apatite Solid Solutions
4.5. Variations of Structural Parameters across Natural Apatite Solid Solutions
5. Concluding Remarks
Supplementary Materials
Author Contributions
Funding
Acknowledgments
Conflicts of Interest
References
- McConnell, D. Apatite: Its Crystal Chemistry, Mineralogy, Utilization, and Geologic and Biologic Occurrences; Springer: New York, NY, USA, 1973. [Google Scholar]
- Murayama, J.K.; Nakai, S.; Kato, M.; Kumazawa, M. A dense polymorph of Ca3(PO4)2: A high pressure phase of apatite decomposition and its geochemical significance. Phys. Earth Planet. Inter. 1986, 44, 293–303. [Google Scholar] [CrossRef]
- Baikie, T.; Schreyer, M.K.; Wong, C.L.; Pramana, S.S.; Klooster, W.T.; Ferraris, C.; McIntyre, G.J.; White, T.J. A multi-domain gem-grade Brazilian apatite. Am. Mineral. 2012, 97, 1574–1581. [Google Scholar] [CrossRef]
- Hovis, G.L.; Harlov, D. Solution calorimetric investigation of fluorchlorapatite crystalline solutions. Am. Mineral. 2010, 95, 946–952. [Google Scholar] [CrossRef]
- Pan, Y.; Fleet, M.E. Composition of the apatite-group minerals: Substitution mechanism and controlling factors. In Phosphates Geochemical, Geobiological, and Materials Importance; Kohn, M.L., Rakovan, J., Hughes, J.M., Eds.; Reviews in Mineralogy and Geochemistry, Mineralogical Society of America: Chantilly, VA, USA, 2002; Volume 48, pp. 13–49. [Google Scholar]
- White, T.J.; Ferraris, C.; Kim, J.; Madhavi, S. Apatite—An adaptive framework structure. In Micro- and Mesoporous Mineral Phases; Ferraris, G., Merlino, S., Eds.; Reviews in Mineralogy and Geochemistry, Mineralogical Society of America: Chantilly, VA, USA, 2005; Volume 57, p. 307. [Google Scholar]
- Akizuki, M.; Nisidoh, H.; Kudoh, Y.; Watanabe, T.; Kurata, K. Sector growth and symmetry of (F,OH) apatite from the Asio mine, Japan. Mineral. Mag. 1994, 58, 307–314. [Google Scholar] [CrossRef]
- Rakovan, J.; Reeder, R.J. Differential incorporation of trace elements and dissymmetrization in apatite: The role of surface structure during growth. Am. Mineral. 1994, 79, 892–903. [Google Scholar]
- Antao, S.M.; Mohib, S.; Zaman, M.; Marr, R.A. Ti-rich andradites: Chemistry, structure, multi-phases, optical anisotropy, and oscillatory zoning. Can. Mineral. 2015, 53, 133–158. [Google Scholar] [CrossRef]
- Antao, S.M.; Zaman, M.; Gontijo, V.L.; Camargo, E.S.; Marr, R.A. Optical anisotropy, zoning, and coexistence of two cubic phases in andradites from Quebec and New York. Contrib. Mineral. Petrol. 2015, 169, 10. [Google Scholar] [CrossRef]
- Nriagu, J.O.; Moore, P.B. Phosphate Minerals; Springer: New York, NY, USA, 1984. [Google Scholar]
- Wyckoff, R.W.G. Inorganic compounds Rx(MX4)y, Rx(MnXp)y, Hydrates and Ammoniates. In Crystal Structures; John Wiley and Sons: New York, NY, USA, 1965; Volume 3, pp. 228–234. [Google Scholar]
- Brown, P.W.; Constantz, B. Hydroxyapatite and Related Materials; CRC Press: Boca Raton, FL, USA, 1994. [Google Scholar]
- Elliott, J.C. Structure and Chemistry of the Apatites and Other Calcium Orthophosphates; Elsevier: Amsterdam, The Netherlands, 1994. [Google Scholar]
- Hughes, J.M.; Rakovan, J. The crystal structure of apatite Ca5(PO4)3(F, OH, Cl). Rev. Mineral. Geochem. 2002, 48, 1–12. [Google Scholar] [CrossRef]
- Beevers, C.A.; McIntyre, D.B. The atomic structure of fluor-apatite and its relation to that of tooth and bone material. Mineral. Mag. 1946, 27, 254–257. [Google Scholar]
- Sudarsanan, K.; Mackie, P.E.; Young, R.A. Comparison of synthetic and mineral fluorapatite, Ca5(PO4)3,F, in crystallographic detail. Mater. Res. Bull. 1972, 7, 1331–1338. [Google Scholar] [CrossRef]
- Elliott, J.C.; Mackie, P.E.; Young, R.A. Monoclinic hydroxylapatite. Science 1973, 180, 1055–1057. [Google Scholar] [CrossRef] [PubMed]
- Mackie, P.E.; Elliott, J.C.; Young, R.A. Monoclinic structure of synthetic Ca5(PO4)3CI, chlorapatite. Acta Crystallogr. 1972, B28, 1840–1948. [Google Scholar] [CrossRef]
- Hughes, J.M.; Cameron, M.; Crowley, K.D. Structural variations in natural F,OH, and Cl apatites. Am. Mineral. 1989, 74, 870–876. [Google Scholar]
- Sudarsanan, K.; Young, R.A. Significant precision in crystal structural details: Holly Springs hydroxyapatite. Acta Crystallogr. 1969, B25, 1534–1543. [Google Scholar] [CrossRef]
- Shannon, R.D. Revised effective ionic radii and systematic studies of interatomic distances in halides and chalcogenides. Acta Crystallogr. 1976, A32, 751–767. [Google Scholar] [CrossRef]
- Kay, M.I.; Young, R.A.; Posner, A.S. Crystal structure of hydroxyapatite. Nature 1964, 204, 1050–1052. [Google Scholar] [CrossRef]
- Lee, P.L.; Shu, D.; Ramanathan, M.; Preissner, C.; Wang, J.; Beno, M.A.; Von Dreele, R.B.; Ribaud, L.; Kurtz, C.; Antao, S.M.; et al. A twelve-analyzer detector system for high-resolution powder diffraction. J. Synchrotron Radiat. 2008, 15, 427–432. [Google Scholar] [CrossRef]
- Wang, J.; Toby, B.H.; Lee, P.L.; Ribaud, L.; Antao, S.M.; Kurtz, C.; Ramanathan, M.; Von Dreele, R.B.; Beno, M.A. A dedicated powder diffraction beamline at the advanced photon source: Commissioning and early operational results. Rev. Sci. Instrum. 2008, 79, 085105. [Google Scholar] [CrossRef]
- Antao, S.M.; Hassan, I.; Wang, J.; Lee, P.L.; Toby, B.H. State-of-the-art high-resolution powder X-ray diffraction (HRPXRD) illustrated with Rietveld structure refinement of quartz, sodalite, tremolite, and meionite. Can. Mineral. 2008, 46, 1501–1509. [Google Scholar] [CrossRef]
- Skinner, L.B.; Benmore, C.J.; Antao, S.M.; Soignard, E.; Amin, S.A.; Bychkov, E.; Rissi, E.; Parise, J.B.; Yarger, J.L. Structural changes in vitreous GeSe4 under pressure. J. Phys. Chem. C 2011, 116, 2212–2217. [Google Scholar] [CrossRef]
- Ehm, L.; Antao, S.M.; Chen, J.H.; Locke, D.R.; Michel, F.M.; Martin, C.D.; Yu, T.; Parise, J.B.; Lee, P.L.; Chupas, P.J.; et al. Studies of local and intermediate range structure in crystalline and amorphous materials at high pressure using high-energy X-rays. Powder Diffr. 2007, 22, 108–112. [Google Scholar] [CrossRef]
- Zaman, M.; Schubert, M.; Antao, S. Elevated radionuclide concentrations in heavy mineral-rich beach sands in the Cox’s Bazar region, Bangladesh and related possible radiological effects. Isot. Environ. Health Stud. 2012, 48, 512–525. [Google Scholar] [CrossRef] [PubMed]
- Martin, C.D.; Antao, S.M.; Chupas, P.J.; Lee, P.L.; Shastri, S.D.; Parise, J.B. Quantitative high-pressure pair distribution function analysis of nanocrystalline gold. Appl. Phys. Lett. 2005, 86, 061910. [Google Scholar] [CrossRef]
- Hassan, I.; Antao, S.M.; Parise, J.B. Haüyne: Phase transition and high-temperature structures obtained from synchrotron radiation and Rietveld refinements. Mineral. Mag. 2004, 68, 499–513. [Google Scholar] [CrossRef]
- Hassan, I.; Antao, S.M.; Hersi, A.A. Single-crystal XRD, TEM, and thermal studies of the satellite reflections in nepheline. Can. Mineral. 2003, 41, 759–783. [Google Scholar] [CrossRef]
- Antao, S.M.; Hassan, I.; Mulder, W.H.; Lee, P.L. The R-3c→R-3m transition in nitratine, NaNO3, and implications for calcite, CaCO3. Phys. Chem. Miner. 2008, 35, 545–557. [Google Scholar] [CrossRef]
- Antao, S.M.; Cruickshank, L.A. Crystal structure refinements of tetragonal (OH,F)-rich spessartine and henritermierite garnets. Acta Crystallogr. 2018, B74, 104–114. [Google Scholar] [CrossRef]
- Rietveld, H.M. A profile refinement method for nuclear and magnetic structures. J. Appl. Crystallogr. 1969, 2, 65–71. [Google Scholar] [CrossRef]
- Larson, A.C.; Von Dreele, R.B. General Structure Analysis System (GSAS); Los Alamos National Laboratory Report LAUR 86-748; Los Alamos National Laboratory: Los Alamos, NM, USA, 1987.
- Toby, B.H. EXPGUI, a graphical user interface for GSAS. J. Appl. Crystallogr. 2001, 34, 210–213. [Google Scholar] [CrossRef]
- Cagliotti, G.; Paoletti, A.; Ricci, F.P. Choice of collimators for a crystal spectrometer for neutron diffraction. Nucl. Instrum. 1958, 3, 223–228. [Google Scholar] [CrossRef]
- Thompson, P.; Cox, D.E.; Hastings, J.B. Rietveld refinement of Debye-Scherrer synchrotron X-ray data from alumina. J. Appl. Crystallogr. 1987, 20, 79–83. [Google Scholar] [CrossRef]
- Antao, S.M. The mystery of birefringent garnet: Is the symmetry lower than cubic? Powder Diffr. 2013, 28, 281–288. [Google Scholar] [CrossRef]
- Antao, S.M.; Hassan, I. A two-phase intergrowth of genthelvite from Mont Saint-Hilaire, Quebec. Can. Mineral. 2010, 48, 1217–1223. [Google Scholar] [CrossRef]
- Antao, S.M.; Klincker, A.M. Crystal structure of a birefringent andradite-grossular from Crowsnest Pass, Alberta, Canada. Powder Diffr. 2014, 29, 20–27. [Google Scholar] [CrossRef]
- Antao, S.M. Is near-endmember birefringent grossular non-cubic? New evidence from synchrotron diffraction. Can. Mineral. 2013, 51, 771–784. [Google Scholar]
- Antao, S.M. Crystal structure of morimotoite from Ice River, Canada. Powder Diffr. 2014, 29, 325–330. [Google Scholar] [CrossRef]
- Antao, S.M.; Round, S.A. Crystal chemistry of birefringent spessartine. Powder Diffr. 2014, 29, 233–240. [Google Scholar] [CrossRef]
- Antao, S.M.; Cruickshank, L.A. Two cubic phases in kimzeyite garnet from the type locality Magnet Cove, Arkansas. Acta Crystallogr. 2016, B72, 846–854. [Google Scholar] [CrossRef]
- Bauer, M.; Klee, W.E. The monoclinic-hexagonal phase transition in chlorapatite. Eur. J. Mineral. 1993, 5, 307–316. [Google Scholar] [CrossRef]
- Ferraris, C.; White, T.J.; Plévert, J.; Wegner, R. Nanometric modulation in apatite. Phys. Chem. Miner. 2005, 32, 485–492. [Google Scholar] [CrossRef]
- Kelly, S.R.; Rakovan, J.; Hughes, J.M. Column anion arrangements in chemically zoned ternary chlorapatite and fluorapatite from Kurokura, Japan. Am. Mineral. 2017, 102, 720–727. [Google Scholar] [CrossRef]
- Hughes, J.M.; Nekvasil, H.; Ustunisik, G.; Lindsley, D.H.; Coraor, A.E.; Vaughn, J.; Phillips, B.L.; McCubbin, F.M.; Woerner, W.R. Solid solution in the fluorapatite-chlorapatite binary system: High-precision crystal structure refinements of synthetic F-Cl apatite. Am. Mineral. 2014, 99, 369–376. [Google Scholar] [CrossRef]
- Hughes, J.M.; Cameron, M.; Crowley, K.D. Crystal structures of natural ternary apatites: Solid solution in the Ca5(PO4)3X (X = F, OH, Cl) system. Am. Mineral. 1990, 75, 295–304. [Google Scholar]
- Hughes, J.M.; Cameron, M.; Mariano, A.N. Rare-earth element ordering and structural variations in natural rare-earth-bearing apatites. Am. Mineral. 1991, 76, 1165–1173. [Google Scholar]
- Hughes, J.M.; Ertl, A.; Bernhardt, H.-J.; Rossman, G.R.; Rakovan, J. Mn-rich fluorapatite from Austria: Crystal structure, chemical analysis, and spectroscopic investigations. Am. Mineral. 2004, 89, 629–632. [Google Scholar] [CrossRef]
- Rakovan, J.; Hughes, J.M. Strontium in the apatite structure: Strontian fluorapatite and belovite-(Ce). Can. Mineral. 2000, 38, 839–845. [Google Scholar] [CrossRef]
- Fleet, M.E.; Liu, X.; Pan, Y. Rare-earth elements in chlorapatite [Ca10(PO4)6Cl2]: Uptake, site preference, and degradation of monoclinic structure. Am. Mineral. 2000, 85, 1437–1446. [Google Scholar] [CrossRef]
- Hovis, G.L.; Abraham, T.; Hudacek, W.; Wildermuth, S.; Scott, B.; Altomare, C.; Medford, A.; Conlon, M.; Morris, M.; Leaman, A.; et al. Thermal expansion of F-Cl apatite crystalline solutions. Am. Mineral. 2015, 100, 1040–1046. [Google Scholar] [CrossRef]
- Hovis, G.L.; Scott, B.T.; Altomare, C.M.; Leaman, A.R.; Morris, M.D.; Tomaino, G.T. Thermal expansion of fluorapatite-hydroxylapatite crystalline solutions. Am. Mineral. 2014, 99, 2171–2175. [Google Scholar] [CrossRef][Green Version]
- Mackie, P.E.; Young, R.A. Location of Nd dopant in fluorapatite, Ca5(PO4)3F:Nd. J. Appl. Crystallogr. 1973, 6, 26–31. [Google Scholar] [CrossRef]
- Fleet, M.E.; Pan, Y. Site preference of rare earth elements in fluorapatite. Am. Mineral. 1995, 80, 329–335. [Google Scholar] [CrossRef]
- Fleet, M.E.; Pan, Y. Site preference of rare earth elements in fluorapatite: Binary (LREE+HREE)-substituted crystals. Am. Mineral. 1997, 82, 870–877. [Google Scholar] [CrossRef]












| No. | Localities | wt.% | a/Å | c/Å | V/Å3 | χ2 | *R (F2) | Nobs | Npts | λ/Å |
|---|---|---|---|---|---|---|---|---|---|---|
| 1 | Strickland Quary, CT, USA (NHMLAC4493) | 100 | 9.35897(1) | 6.85549(1) | 520.026(1) | 1.798 | 0.0502 | 1702 | 48065 | 0.41279(2) |
| 2 | Golconda Mine, Coroaci, MG, Brazil | 100 | 9.36862(1) | 6.87927(1) | 522.907(1) | 2.284 | 0.0634 | 1688 | 47900 | 0.41330(2) |
| 3 | Chongyi, Jiangxi Province, China | 100 | 9.36940(1) | 6.87969(1) | 523.025(1) | 2.977 | 0.0608 | 1683 | 47900 | 0.41330(2) |
| 4a | Dara Pech, Kunar, Afg: phase-4a (F-Ap) | 43.6(3) | 9.36892(2) | 6.87739(1) | 522.797(1) | 2.608 | 0.0709 | 3378 | 47906 | 0.41374(2) |
| 4b | Dara Pech, Kunar, Afg: phase-4b (OH-Ap) | 56.4(2) | 9.37018(2) | 6.88303(1) | 523.367(1) | |||||
| 5 | Ashio Mine, Tochi, Japan (NMHLAC4478) | 100 | 9.37058(1) | 6.88356(1) | 523.452(1) | 1.228 | 0.0327 | 1707 | 47975 | 0.41279(2) |
| 6 | Portugal-c | 100 | 9.36938(1) | 6.88393(1) | 523.346(1) | 1.916 | 0.0680 | 1836 | 47975 | 0.41283(2) |
| 7 | Portugal-b | 100 | 9.37048(1) | 6.88450(1) | 523.512(1) | 1.763 | 0.0460 | 1804 | 47975 | 0.41283(2) |
| 8a | Portugal-a: phase-8a (F-Ap) | 47.1(2) | 9.37216(1) | 6.88002(1) | 523.360(1) | 4.109 | 0.0776 | 3402 | 47474 | 0.41283(2) |
| 8b | Portugal-a: phase-8b (F-Ap) | 52.9(2) | 9.37216(1) | 6.88602(1) | 523.816(1) | |||||
| 9 | Sapo Mine, MG, Brazil (Ap6) | 100 | 9.37453(1) | 6.88315(1) | 523.862(1) | 1.845 | 0.0484 | 1797 | 47975 | 0.41283(2) |
| 10 | Golconda Mine, Coroaci, MG, Brazil (BR1) | 100 | 9.37190(1) | 6.88527(1) | 523.729(1) | 1.578 | 0.0520 | 1766 | 47906 | 0.41351(2) |
| 11 | Ontario, Canada | 100 | 9.37124(1) | 6.88901(1) | 523.940(1) | 2.857 | 0.0549 | 1744 | 47906 | 0.41330(2) |
| 12 | unknown | 100 | 9.37305(1) | 6.88929(1) | 524.163(1) | 1.999 | 0.0505 | 1695 | 47906 | 0.41330(2) |
| 13 | Sceptre Claims, Emerald Lake, Yukon, Canada | 100 | 9.37674(1) | 6.88587(1) | 524.316(1) | 2.834 | 0.0524 | 1701 | 47299 | 0.41330(2) |
| 14 | Madagascar (4856) | 100 | 9.37854(1) | 6.88853(1) | 524.720(1) | 1.777 | 0.0554 | 1731 | 47975 | 0.41279(2) |
| 15 | unknown (UC9075) | 100 | 9.37958(1) | 6.88978(1) | 524.931(1) | 3.188 | 0.0534 | 1705 | 46080 | 0.41330(2) |
| 16 | Otter Lake, Quebec, Canada (UC8761) | 100 | 9.37890(1) | 6.89495(1) | 525.249(1) | 2.861 | 0.0566 | 1733 | 46080 | 0.41330(2) |
| 17 | Slyudijanka, Irkutsk, Russia (NMHLAC4460) | 100 | 9.38673(1) | 6.88710(1) | 525.527(1) | 1.905 | 0.0468 | 1719 | 47547 | 0.41279(2) |
| 18 | Durango, Mexico, USA (W15) | 100 | 9.39369(1) | 6.88199(1) | 525.918(1) | 1.758 | 0.0591 | 1673 | 47989 | 0.41416(2) |
| 19 | Perth, Ontario, Canada (UC9308) | 100 | 9.39154(1) | 6.88674(1) | 526.040(1) | 3.132 | 0.0548 | 1721 | 47900 | 0.41330(2) |
| 20 | New Mexico, USA (vc) | 100 | 9.39792(1) | 6.88037(1) | 526.267(1) | 6.724 | 0.0783 | 1607 | 46873 | 0.41283(2) |
| 21 | Godfrey, Ontario, Canada (UC6513) | 100 | 9.40215(1) | 6.88309(1) | 526.949(1) | 4.156 | 0.0623 | 1756 | 47376 | 0.41330(2) |
| 22 | Ipirá Mine, Bahia, Brazil | 100 | 9.40013(1) | 6.89006(1) | 527.256(1) | 3.140 | 0.0774 | 1697 | 47900 | 0.41330(2) |
| 23 | Morocco (Ap12) | 100 | 9.40979(1) | 6.88159(1) | 527.690(1) | 4.403 | 0.0565 | 2151 | 47975 | 0.41283(2) |
| 24 | Ipirá Mine, Bahia, Brazil (Ap7) | 100 | 9.40461(1) | 6.88963(1) | 527.729(1) | 2.964 | 0.0743 | 1789 | 47975 | 0.41283(2) |
| 25 | Madagascar (0013) | 100 | 9.40929(1) | 6.88314(1) | 527.753(1) | 2.367 | 0.0655 | 1701 | 47900 | 0.41399(2) |
| 26 | Morocco (Ap14) | 100 | 9.41649(1) | 6.87817(1) | 528.180(1) | 2.262 | 0.0522 | 1777 | 47975 | 0.41283(2) |
| 27 | Unknown (UC1500) | 100 | 9.41703(1) | 6.87845(1) | 528.262(1) | 3.444 | 0.0767 | 1698 | 45907 | 0.41330(2) |
| 28 | Snarum, Norway (NMHLAC55112) | 100 | 9.42195(5) | 6.88126(4) | 529.030(5) | 3.263 | 0.0447 | 1855 | 46219 | 0.41279(2) |
| 29a | Morocco (Ap13) (F-Ap): phase-29a | 55.0(2) | 9.41633(1) | 6.87809(1) | 528.156(1) | 1.424 | 0.0483 | 3666 | 47975 | 0.41283(2) |
| 29b | Morocco (Ap13) (F-Ap): phase-29b | 45.0(2) | 9.42812(3) | 6.87489(2) | 529.232(3) | |||||
| 30a | Sarnum, Norway (7/56-1): phase-30a (Cl-Ap) | 92.6(4) | 9.621766(6) | 6.77735(1) | 543.376(1) | 2.091 | 0.0620 | 3619 | 47685 | 0.41330(2) |
| 30b | Sarnum, Norway (7/56-1): phase-30b (OH-Ap) | 7.4(1) | 9.48894(13) | 6.85755(9) | 534.73(1) | |||||
| 31a | Kola Penin., Russia (NHMLAC4476): Ph 31a (F-Ap) | 89.7(1) | 9.36816(3) | 6.89137(3) | 523.774(3) | 1.535 | 0.0619 | 3494 | 47524 | 0.41279(2) |
| 31b | Kola Penin., Russia (NHMLAC4476): Ph 31b (OH-Ap) | 10.3(1) | 9.4018(1) | 6.8889(2) | 527.35(2) | |||||
| 32 | Snarum, Norway (NMHLAC55114) | 100 | 9.61883(1) | 6.78310(1) | 543.505(1) | 1.478 | 0.0610 | 1814 | 47975 | 0.41279(2) |
| 33a | Sapo Mine, MG, BZ: phase-33a (F-Ap) | 68.1(1) | 9.37207(1) | 6.87491(2) | 522.960(2) | 3.908 | 0.0693 | 4998 | 47450 | 0.41330(2) |
| 33b | Sapo Mine, MG, BZ: phase-33b (F-Ap) | 14.5(1) | 9.37367(2) | 6.88436(1) | 523.858(2) | |||||
| 33c | Sapo Mine, MG, BZ: phase-33c (F-Ap) | 17.4(1) | 9.36464(2) | 6.85001(4) | 520.240(4) |
Publisher’s Note: MDPI stays neutral with regard to jurisdictional claims in published maps and institutional affiliations. |
© 2022 by the authors. Licensee MDPI, Basel, Switzerland. This article is an open access article distributed under the terms and conditions of the Creative Commons Attribution (CC BY) license (https://creativecommons.org/licenses/by/4.0/).
Share and Cite
Hazrah, K.S.; Antao, S.M. Apatite, Ca10(PO4)6(OH,F,Cl)2: Structural Variations, Natural Solid Solutions, Intergrowths, and Zoning. Minerals 2022, 12, 527. https://doi.org/10.3390/min12050527
Hazrah KS, Antao SM. Apatite, Ca10(PO4)6(OH,F,Cl)2: Structural Variations, Natural Solid Solutions, Intergrowths, and Zoning. Minerals. 2022; 12(5):527. https://doi.org/10.3390/min12050527
Chicago/Turabian StyleHazrah, Kaveer S., and Sytle M. Antao. 2022. "Apatite, Ca10(PO4)6(OH,F,Cl)2: Structural Variations, Natural Solid Solutions, Intergrowths, and Zoning" Minerals 12, no. 5: 527. https://doi.org/10.3390/min12050527
APA StyleHazrah, K. S., & Antao, S. M. (2022). Apatite, Ca10(PO4)6(OH,F,Cl)2: Structural Variations, Natural Solid Solutions, Intergrowths, and Zoning. Minerals, 12(5), 527. https://doi.org/10.3390/min12050527

