Abstract
In-situ recovery (ISR) has been the only technique used to extract uranium from sandstone-hosted uranium deposits in the Pliocene Goliad Sand in the Texas Coastal Plain. Water plays a crucial role throughout the ISR lifecycle of production and groundwater restoration yet neither the water use nor other environmental footprints have been well documented. The goal of this study is to examine historical records for all six ISR operations completed in the Goliad Sand to identify and quantify parameters that indicate the surface and aquifer disturbances, water use, and radon emissions. Overall, the average mine area was 0.00023 ± 0.00006 acres per pound (ac/lb) U3O8. The average mine pore volume was 48.9 ± 50 gal/lb U3O8 with a minimum affected aquifer volume of 0.51 ± 0.08 cubic feet per pound (cu ft/lb) U3O8. An average of 258 ± 40 gallons (gal) of fluid were disposed per pound (lb) U3O8, with an average of 169 ± 26 gal/lb U3O8 attributed to restoration and 89 ± 36 gal/lb U3O8 attributed to the uranium production phase. The average radon emitted was 1.06 × 10−3 ± 7.4 × 10−4 curies per pound (Ci/lb) U3O8. Goodness-of-fit (R2) values are ≥0.79 for linear regressions of the amount of uranium produced versus mine area, mine pore volumes, mine aquifer volumes, water pumped, and total water disposed. The R2 value for radon emitted was 0.68. However, the water disposed only during the uranium production phase is more strongly correlated to the number of production days (R2 = 0.96) than to uranium production (R2 = 0.84), whereas the volume of water disposed during restoration is more strongly correlated to the “pore volume” (R2 = 0.97) than to uranium production (R2 = 0.90). Pore volume is an industry term used to describe the amount of fluid circulated through the aquifer during the uranium production period and stipulated in bond agreements in order to satisfy groundwater restoration requirements. Models constructed in this study can be used to estimate probable water use and the extent of surface and aquifer disturbances associated with ISR-amenable undiscovered uranium resources in the Goliad Sand. The historical perspective offered by the data compiled and correlations may prove useful to both industry and regulators.
1. Introduction
The nuclear fuel cycle begins with the production of uranium from natural deposits using conventional mining and milling or unconventional in-situ recovery (ISR) operations. Not all uranium deposits are amenable to ISR. Historically, in the Texas Coastal Plain, only ISR operations (Alta Mesa, Kingsville Dome, Mt. Lucas, Palangana Dome, Palangana (also called “La Palangana”), and Rosita) (Figure 1) have extracted uranium from sandstone-hosted uranium deposits within the Pliocene Goliad Sand. These operations produced uranium oxide containing uranium-235, a fuel for nuclear energy. ISR is often referred to as a “mining” technique, however, technically, it is a form of processing akin to milling but takes place “in situ” in the subsurface within a permeable, saturated aquifer hosting the uranium deposit. There are two main phases of ISR—the uranium production phase and the groundwater restoration phase, hereafter referred to simply as production and restoration, respectively (Figure 2).
Figure 1.
(A) Plan-view map of the Texas Coastal Plain with the six ISR operations completed in the Goliad Sand examined in this study in relation to the state of Texas and the United States region and (B) a cross-section map showing the uranium-rich Goliad Sand (modified from Young and others, 2006 [1]), indicated by the solid (yellow) shade.
Figure 2.
A conceptual model of the (A) production and (B) restoration phases of uranium ISR.
During both the production and restoration phases of ISR (Figure 2), the deposit is continually kept saturated and as such, water plays an important role. During the ISR production phase, a leaching fluid, called a lixiviant, is injected into the permeable sandstone-hosted uranium deposits to dissolve the uranium into the groundwater (Figure 2A). The lixiviant is groundwater that has been fortified with chemicals designed to dissolve the uranium by both complexing and oxidizing the uranium, commonly carbonate and oxygen (Figure 2A). In the early days of ISR in Texas until the early 1980s, ammonium-based alkaline solutions were typical but are no longer used because they were difficult to clean up after uranium production ceased [2]. Of the six ISR mines examined, only one mine (Palangana Dome) used ammonium-based solutions and the others used either natural bicarbonate (at natural groundwater concentrations), sodium bicarbonate, or carbon dioxide gas [CO2(g)] along with oxygen gas [O2(g)]. The uranium-enriched groundwater is subsequently pumped to the surface where uranium is concentrated at a processing plant using ion exchange. The uranium concentrate is then treated to precipitate uranium as a cation diuranate (for example, ammonium diuranate or magnesium diuranate) depending on the chemicals used in precipitation. The precipitate is referred to as “yellowcake”, which is the final product of ISR [3]. Note that oftentimes, the uranium production is generically reported as “U3O8” despite the differences in actual stoichiometry of the final uranium oxide product. After the uranium is extracted, the effluent stream from the uranium processing plant is refortified with the complexing agent and oxidant, and the refortified effluent stream is reinjected and recirculated through the deposit until the amount of uranium dissolved by the extraction process is no longer economically recoverable.
Following the uranium production phase, restoration is required to return the groundwater quality to pre-mining baseline conditions, stipulated in the mine permit (Figure 2B). By early 1980, groundwater sweeping, sometimes referred to as “pore-volume flushing” or “pore-volume displacement”, was the most commonly used method of aquifer restoration in South Texas [4]. During groundwater sweeping, contaminated groundwater is pumped to the surface through the ISR production wells and is disposed and replaced by natural inflows of surrounding native groundwater outside of the mine zone or is replaced by treated water which has been chemically adjusted at the surface plant and reinjected into the aquifer [4]. In many cases, after several cycles of groundwater sweep, a polishing reverse osmosis (RO) step with permeate injection and recirculation is implemented [5,6,7,8] (Figure 2B).
The National Research Council suggested that future development of mineral resources such as uranium should consider the footprint of mining, that is, the tradeoffs between extracting natural resources such as water and uranium production [9]. The water footprint of mining is difficult to ascertain because the mining industry has no legal requirement to report water use during production [10]. The Texas Department of Health estimated that the 12 companies operating in 1980 were using an 2 billion gallons per company per year or a total annual volume of 24 billion gallons of uranium-mining fluids in the injection and recovery process [4]. More recently, the normalized water consumption (per pound [lb] of uranium as U3O8) has been estimated at a rate of 250 gallons per pound (gal/lb) of U3O8 [10]. It is not clear if these estimates included the total water from the production phase, the processing plant, and restoration. This distinction is important because in many cases, the amount of water withdrawn does not necessarily reflect consumptive use because the water is recycled at different rates during the production and restoration phases. During the production phase, it is estimated that 1–4 percent of the pumped water (“bleed”) is disposed due to over pumping designed to maintain an inward hydraulic gradient and prevent escape of mining fluids from the wellfield. Mining operations do not recycle the produced bleed water at the same rates so the consumption of water varies [11].
During the restoration phase, the amount of water consumed or disposed depends largely on the restoration process selected [4]. If the groundwater sweep method is used, 100 percent of the withdrawn water is typically sent to Class I deep disposal wells (DDW). If the groundwater sweep is followed by surface treatment such as reverse osmosis (RO), then only the concentrated brine is disposed while the treated permeate (70–90 percent of the treated water) is reinjected into the mine area (Figure 2). The Alta Mesa, Palangana, Palangana Dome, Kingsville Dome and Rosita ISR operations disposed of wastewater into deep disposal wells, whereas wastewater from Mt. Lucas was sent to evaporation ponds and (or) reused in irrigation. Furthermore, the volume of water withdrawn during groundwater sweep is likely to produce a significant improvement in water quality, however, water withdrawals are expected to be large and handling such volumes of water presents a major waste disposal problem [4].
Some authors suggest that in addition to the consumptive use of water, the environmental footprint of mining should also account the for the physical footprint of the surface and the aquifer disturbed during mining [12]. For example, Kasper, et al., (1979) conclude that consumptive water use would have only local effects and would not adversely affect regional water supplies in either the Texas or the Wyoming type ore-bearing formations [13]. Henry, et al., (1981) add that the projected increase of in-situ mining in Texas could have an increasing effect on regional hydrology and recommend detailed preoperational tests and post-restoration monitoring programs to provide more information on the sensitivity of aquifers [14]. As such, the consumptive use of water is also linked to the spatial footprint of the ISR mining process.
A primary radioactive emission from the process streams of the production wellfield is thought to be radon gas [15]. Actual radon released could be lower from in-situ recovery operations than conventional mining due to the lack of open deposit pits, tailings and ore stockpiles, however, it is also likely that during operation the release of radon gas would be above normal baseline for the equivalent region being mined [16,17]. The radon released could be accounted for from the processing plant with minor components from liquid waste storage ponds, the well heads and waste scale buildup (for example, calcite for alkaline ISR) [16,17].
Neither the amount of water used, the spatial extent of ISR per unit of uranium produced nor radon emissions during ISR are well documented. The goal of this study is to better identify relationships between uranium production via ISR and water use, radon release, and the spatial extent of surface and aquifer disturbances that will facilitate their prediction in future ISR operations. These relationships can be applied to estimate environmental footprints for undiscovered uranium resource projections in the Goliad Sands in the Texas Coastal Plain.
2. Materials and Methods
The literature was reviewed to identify publicly available datasets that reflect the water footprint of uranium ISR with priority to a national-scale evaluation. Unlike uranium resource and production numbers, which are systematically reported and compiled by various organizations and made available through the International Atomic Energy Association (IAEA) (for example, through the World Distribution of Uranium Deposits, UDEPO), the Energy Information Administration, and the Department of Energy, the water used in uranium mining is not reported or tracked systematically across the United States (U.S.) by any single entity. Direct or aggregated data on water-use (pumping, injection and disposal/consumption), disturbance and radon emissions quantities associated with uranium production per mine were not identified in the literature or readily accessible company or regulatory reports. However, documents related to the regulatory compliance were identified, compiled, and reviewed and found to contain some piecemeal information on water volumes associated with ISR. Generally, the Nuclear Regulatory Commission (NRC) is responsible for regulating and permitting uranium production operations, unless the NRC relinquishes to the States portions of its regulatory authority to license and regulate by-product and source materials, as in the case of Texas. As such, the Texas Commission on Environmental Quality (TCEQ) and the Railroad Commission of Texas (RRC) have the authority to permit uranium mining operations. Permits related to ISR issued by TCEQ that contain useful information pertaining to the water footprint of ISR include: the mine permit, the production area authorization (PAA), and the Class I underground injection control permit. Unlike the U.S. Environmental Protection Agency (EPA), the TCEQ does not require an Environmental Impact Statement (EIS) but often does require an Environmental Assessment (EA). Whereas, the EISs submitted to EPA in Wyoming, New Mexico, South Dakota, and Nebraska provide information that can be valuable in estimating water use in uranium mining, the EA does not always explicitly state the amount of water expected to be used during mining, but may include one or more of the following projected water parameters: (1) water balances showing estimated flowrates during ISR uranium production and restoration phases, (2) the surface area of the operation, (3) the rate of aquifer bleed, or the excess water pumped to maintain an inward hydraulic gradient that is usually disposed during ISR and restoration, (4) methods used for treatment of the extracted water, (5) water disposal wells, (6) estimates of pore volumes required for mining and groundwater restoration. The ISR industry uses the term “pore volume” to define an indirect measurement of a unit volume of aquifer water affected by ISR [4]. The following sources contained some water parameters that were used to compile information about various aspects of ISR water use and land and aquifer disturbance with specific data compiled and references published in a publicly-available companion document [18]:
- The EPA, online database on aquifer exemptions.
- IAEA: Various documents on Uranium Resource Production from ISR,
- Various documents submitted to and obtained from the TCEQ and predecessors including: Class III injection Permits, Class I Disposal Well Injection Permits, Class I Disposal Well Operating Reports, Mine Permit Applications, area permits to construct and operate Class III underground injection wells for ISR of uranium and aquifer restoration under Chapter 27 Texas Water Code, production area authorizations (PAAs) to operate Class III underground injection wells for in-situ recovery of uranium and groundwater Restoration Table Amendment Requests.
- Form 10-K, Annual Report Pursuant to Section 13 or 15(d) of the Securities Exchange Act of 1934 filed with the U.S. Securities and Exchange Commission (SEC) also contain information about uranium production and, in some cases, water use.
2.1. Surface Area Disturbance
Surface area values related to in-situ recovery (Figure 3) are reported in Mine Permit Applications to the Texas Department of Water Resources or the TCEQ or in the Production Area Authorization (PAA) applications. These areas are described as the lease area, permit area, mine area, production area and aquifer exemption area. The TCEQ defines the mine area by the line drawn through the ring of monitoring wells; the permit area—the area owned or under lease by the permittee, which includes the buffer areas, mine areas and production areas. The lease area is the largest boundary and refers to the acreage leased; the production area is the line drawn around the outer perimeter of all injection and recovery wells used for mining [19]. In some cases, the records are transient such that the production areas, mine areas, and/or aquifer exemptions change over time, usually due to expansion as new uranium resource discoveries are made or contraction due to scaling back of operations. Thus, each report may not represent the final values for each area.
Figure 3.
Nomenclature and relationships of the different “area types” associated with a uranium in-situ recovery mine.
2.2. Subsurface Aquifer Disturbance
Water is extracted and injected into the subsurface during ISR. In Texas, the practice of injection is regulated by the EPA under its Underground Injection Control (UIC) program. The TCEQ regulates the UIC program in Texas and issues permits for Class III injection wells for production and Class I disposal wells, prior to injection for both uranium production and disposal. ISR operators generally do not report the amount of water withdrawn from or injected into the Class III wells, but an aquifer exemption is required prior to injection into a Class III well [20]. An aquifer exemption is a waiver of protection under the Safe Drinking Water Act for an aquifer, or a portion of an aquifer, based on certain criteria [21]. For example, an aquifer may be exempted if it is: (1) not currently being used—and will not be used in the future—as a drinking water source or (2) it is not reasonably expected to supply a public-water system due to a high total dissolved solids content. Without an aquifer exemption, certain types of energy production, mining, or waste disposal into underground sources of drinking water are prohibited [8]. The exempted aquifer area and thickness of exemption were downloaded from the EPA’s UIC Aquifer Exemption Database [20] and are multiplied to obtain the “exempted aquifer volume”. The exempted aquifer volume was further multiplied by the porosity to obtain the “exempted aquifer water volume”.
2.3. Normalizing Footprints to Uranium Production
The footprints of the amount of water disposed are not directly reported relative to the amount of uranium (as U3O8) produced so several sources were reviewed to provide the amounts of uranium production. The IAEA published documents related to the production of uranium processing and provided a detailed summary of ISR operations such as uranium annual and total production, mineralogy, descriptions of the ISR operations, operating years and pumping rates [3,22]. The SEC, Form 10-K, Annual Report Pursuant to Section 13 or 15(d) of the Securities Exchange Act of 1934 also provides an overview of uranium production and other information about the history and plans for some ISR sites.
2.4. Total Water Consumption
Liquid waste can be disposed into deep wells or evaporation ponds. Class I disposal wells are permitted by the TCEQ in accordance with the Texas Water Code Sec. 27.001 (cited as the Injection Well Act). Some disposal records have been compiled by the TCEQ’s UIC Compliance team identified in Operating Reports and Quarterly Operating Reports submitted to the TCEQ as part of quarterly operating reports from the facilities found in the TCEQ’s Central Files room in Austin, Texas [23]. These records were cross-linked with a list of permitted Class I waste disposal wells (WDWs) that associate the WDW number to an ISR operation, ISR project, company name, disposal formation and disposal depth [4].The permit to conduct wastewater injection stipulates the acceptable permitted waste types, which typically include waste generated during closure of the well and facilities, lixiviant bleed, lab waste, resin water, filter press wash stream, reverse osmosis brine stream, restoration wastewater, and other associated waste such as groundwater and rainfall that may be contaminated [24].
The amount of water disposed is assumed to be consumed because this water is no longer available for future use after deep-well injection [25]. Companies report water disposal into Class I deep-disposal wells to the TCEQ in their annual and quarterly Class I operating reports. These reports were requested and received from the TCEQ’s Central Records Facility in Austin, TX. Disposal water volumes compiled from these reports were summed to obtain the cumulative water disposal. Many of these quarterly reports provided by TCEQ are not continuous and/or are piecemeal, therefore, summation of quantities does not represent total water usage but rather minimum total water consumption. Annual operating reports, where available, usually provide a more complete tabulation of the total water consumed.
The Uranium Producers of America (UPA) has also compiled an “Approximate Water Consumption (million gallons)” for several ISR operations in the U.S., as part of a comment to a proposed EPA Ruling on Groundwater Restoration and ISR [25]. However, the comments by UPA clarify that these data actually represent the quantity of groundwater that is ‘utilized’ during the restoration process, and suggest that a valid estimate of 50 percent of the listed quantity was actually consumed and disposed of assuming a restoration process of groundwater sweep followed by reverse osmosis (RO) [25].
2.5. Volumes Extracted for Restoration
Groundwater restoration is tracked by the TCEQ through its mine permit program. The amount of water extracted or processed during restoration and type of restoration are reported in the mining companies’ restoration amendment requests. Typically, during restoration, at least the first few pore volumes containing the most heavily-contaminated water are treated by groundwater sweep and usually disposed of through deep wells because most treatment methods are generally inefficient in treating water containing higher concentrations of contaminants [4]. The groundwater sweep is often followed by surface treatment, commonly via reverse osmosis. Restoration is intended to achieve a baseline groundwater quality, but it was commonplace that following the predicated level of reclamation, baseline values are not achieved [26,27] so that companies apply for an amendment to their restoration plan that results in relaxed groundwater standards so that the mining operation can meet the water quality goals and apply for mine closure. These restoration table amendment requests provide information on the quantities of water used during restoration and the efficacy of the restoration. Water used during restoration may be reported in Restoration Progress Reports (Alta Mesa), Restoration Certificates or Formal Restoration Justification for Ceasing Restoration (Kingsville Dome, Mt. Lucas, Palangana Dome, Rosita) for sites that have been under restoration. At the time of this study, restoration had not yet been completed for Palangana. Restoration certificates are generally applicable to earlier projects under older rules before the requirement of a formal restoration justification report [28]. These files contain the following information that was used to delineate the amount of water used during historical ISR mine restoration: (1) pore volume estimate in the production area, (2) monthly estimates of water pumped, (3) total water pumped, treated or extracted during restoration, (4) groundwater restoration method(s) employed and percentage of water used per method, and (5) dates of restoration. The amount of water disposed during restoration is not provided in these reports in all cases. On the other hand, in the Texas restoration amendment request reports, the amount of water removed for processing (treatment) during restoration is often reported to emphasize that sufficient due diligence in groundwater restoration was performed and that further groundwater restoration would be too costly to provide justification for ending restoration by relaxing the groundwater standards. If groundwater sent to disposal wells is not explicitly reported, the amount of water disposed of is computed by multiplying the amount “extracted”, “treated”, “used” or “pumped” by 100 percent (groundwater sweep) or 25–35 percent (reverse osmosis), or 50 percent (groundwater sweep/RO) [25].
2.6. Volumes Used during Uranium Production
The ISR uranium production phase involves re-circulation of water through a mineralized aquifer. Water use during this phase is from the processing plant and the bleed [29]. The bleed is the amount of water continuously pumped and removed from the wellfield in excess of what is injected in order to maintain a hydrostatic cone of depression over the life of the ISR operation, including during production, restoration, standby, and the groundwater stabilization period following mining. In the six mines examined, the bleed rates were not explicitly provided and the period that each phase of operations overlap for each wellfield are somewhat variable and are not delineated according to the ISR phase. As such, the water disposed due to the aquifer bleed cannot be explicitly calculated. Since the total disposal and the disposal attributed to the restoration phase are available as previously described, the difference is equal to the water use during all other non-restoration phases during the life cycle of ISR and are thus considered as the water used or disposed of during the uranium production phase for all the ISR operations except for Mt. Lucas and Palangana Dome. The water used during the uranium production phase at Palangana Dome is computed by summing all the volumes disposed prior to the onset of restoration, which are reported in the Class I Disposal Well Operation Reports. For the Mt. Lucas mine, the amount of water disposed during mining is calculated based on the total percentage of groundwater anticipated to be committed during normal facility operations (2.5 percent of the total flowrate of about 4 million gallons per day, MGD, [30]), which is diverted to the waste pond [31].
2.7. Linear Regressions
The data were plotted as a function of uranium production, as pounds (lb U3O8). A trendline was added using a model Y = m × X, without a constant term, where Y is the indicator of interest, X is pounds of U3O8 and m is the slope of the line. This model assumes Y must be 0 when X = 0, that is, there is no water use, disposal, or disturbance if there is no uranium production via ISR. Linear regressions were also provided for other variables for which data were available, namely pore volume and production time, to determine how these parameters were related to the environmental footprints.
2.8. Hydrogeologic Setting
All six of the ISR mines examined in this study (Figure 1) are located within the Rio Grande Embayment in the Texas Coastal Plain, Texas (U.S.) and completed in the Pliocene Goliad Sand, the youngest uranium hosting Tertiary unit (Figure 4) [32]. At Kingsville Dome (Kleberg County), Palangana Dome (Duval County) and possibly Alta Mesa (Brooks County), uranium is found as roll-front type deposits in fluvial-deltaic sediments of the Goliad Sand in association with salt domes. Similarly, uranium deposits at Rosita (Duval County) and Mt. Lucas (Live Oak County) are of the roll-front type [32].
Figure 4.
A generalized geologic stratigraphic column of the study area in the Texas Coastal Plain including the Goliad Sand, which is the host for uranium roll-front type deposits mined by the sixed ISR operations in this study. 1 Modified from [34,35,38,39]. 2 Modified from [34,35,40,41].
The Goliad Sand consists of poorly consolidated clay, sandstone, marl, caliche, limestone, and conglomerate [33]. Fluvial deposits within the Goliad Sand consist of very fine to medium sand, gravelly coarse sand, sandy gravel, and pebble-to-cobble-sized gravel [34,35,36]. The Goliad Sand dips towards the coast, ranging in thickness from about 65 m at outcrop to about 670 m near the coast [34,35]. The Goliad Sand is one of the geologic units that contains the Evangeline Aquifer, which is part of the Gulf Coast Aquifer System located along the Gulf of Mexico coast (Figure 4) [1]. More details are provided in Baker (1979), Morton et al. (1988), Young et al. (2006, 2010, 2012), Hall et al. (2017), Dahlkamp (2010) and references therein [1,32,34,35,36,37,38]. See Figure 4 for the geologic and hydrogeologic units within the area including the Goliad Sand.
3. Results
The following indicators were identified that quantify part of ISR’s environmental footprint for each ISR mine: (1) the water pumped during uranium production, (2) the mine surface area, (3) the physical aquifer volume that is exempted from requirements of the Clean Water Act, (4) the volume of water contained within the pore spaces of the exempted volume, (5) the mine aquifer volume, (6) the water within the pore spaces of the mine volume, (7) the volume of disposed water, (8) the volumes of water pumped and disposed during the uranium production and during groundwater restoration phases and (9) the radon emitted. Data extracted from a review of regulatory reporting documents, a literature review and their specific references are freely available online [18]. These indicators were collected for the six ISR operations that have historically produced uranium from the Goliad Sand listed in Table A1: Alta Mesa, Mt. Lucas, Kingsville Dome, Palangana Dome, Palangana and Rosita.
3.1. Water Pumped during Uranium Production
Table A1 and Figure 5 show the volumes of water pumped during the uranium production phase of each ISR operation, which are estimated based on the total production time and the rate of pumping reported for the production plant [22]. Not all the volumes of water are disposed. Generally, 96 percent or greater of the water pumped is thought to be reinjected (recycled) during the uranium production phase. The average amount of water pumped for all six mines normalized to production is ~6900 ± 4815 gal/lb U3O8 produced. If 4 percent of this pumped amount is disposed (96 percent recycled), the average amount of water pumped is consistent with previous estimates of around 250 gal/lb U3O8 disposed [10]. Pumping rates provide an indicator of the magnitude of ISR operations and water consumed and can be used to understand the costs related to pumping. The water reinjected, however, likely has a different composition than the original groundwater due to chemical treatments and interactions of the lixiviant with the aquifer and the orebody.
Figure 5.
Volume of water pumped during the uranium production phase as a function of uranium produced (as lb U3O8) for the six ISR operations listed in Table A1. Compiled data used to construct these graphs as well as associated references are publicly available online [18]. Note BG = billion gallons. Black line is the linear trend line and blue lines are the 95 percent confidence intervals.
3.2. Mine Area
Although there are several spatial parameters associated with ISR (Table A2), Everest Minerals, the operator of the Mt. Lucas ISR facility, estimated that the total surface area “used” and “affected” would be 200 acres (ac), which appears to be mostly equivalent to the mine area based on the initial acreage reported in the Environmental Assessment [31]. The potential for surface contamination exists from normally anticipated spills, leaks and weeps in wellfield plumbing [31,42]. Accordingly, Everest Minerals planned to remove the soil from the entire field affected by operations within the affected area to an average depth of two centimeters (cm) and transfer it to a licensed disposal site [31]. The operator of the Rosita ISR operation estimated that soil would be removed at a depth of 1 cm for 10 percent of wellfield soil [42]. The mine area, which is the surface area within the monitoring well ring, encompasses the production area, the wellfield area and the buffer surrounding the production and injection wells. The mine and production areas are plotted in Figure 6A,B, respectively, as a function of uranium production. The mine area normalized to the uranium production (assumed to be equal to the mine area divided by the total production) averages approximately 2.3 × 10−4 ± 6 × 10−4 ac/lb U3O8 (or 0.23 ac/1000 lb) for the six ISR operations completed in the Goliad Sand. The normalized production area is 4.6 × 10−5 ± 2.6 × 10−5 ac/lb U3O8).
Figure 6.
(A) Mine area and (B) production area as a function of uranium produced (as lb U3O8) for the six ISR operations listed in Table A1. Compiled data used to construct these graphs as well as associated references are publicly available online [18]. Note: ac = acres. Black line is the linear trend line and blue lines are the 95 percent confidence intervals.
3.3. Aquifer Exemptions
For each ISR operation, Table A3 lists the areas and thicknesses of the portions of aquifers exempted from the Clean Water Act regulations obtained from the EPA [20] and the computed volumes of the exempted aquifer and estimated water within each exempted volume. The methods used to establish the aquifer exemption area boundaries may or may not follow the dimensions of the aquifer, mining area, or other hydrologic or geologic boundary that could prevent movement of groundwater outside of the exempted aquifer [20]. The exempted aquifer volumes reported for the six ISR operations in this study are plotted in Figure 7. The exempted thickness listed may, in some cases, match the entire thickness of the aquifer unit and in other cases, the exempted thickness is only a portion of the saturated thickness [43]. On average, the portions of the aquifer exempted from the Clean Water Act and the pore spaces within the exempted aquifer are about 1.4 ± 2.5 acre-feet per pound (ac-ft/lb) of U3O8 and 120,000 ± 200,000 gal/lb U3O8, respectively, with both values ranging nearly three orders of magnitude for the six ISR operations completed in the Goliad Sand.
Figure 7.
Exempted aquifer volume as a function of uranium produced (as lb U3O8) for the six ISR operations listed in Table A1. This volume is the total physical volume of aquifer computed by multiplying the exempted area by the exempted aquifer thickness. Compiled data used to construct these graphs as well as associated references are publicly available online [18]. Note: ac-ft = acre-feet. Black line is the linear trend line and blue lines are the 95 percent confidence intervals.
3.4. Minimum Affected Aquifer Volume
Typically, only a portion of the exempted aquifer is penetrated with injection and production wells that are configured to the orebody to optimize uranium extraction. As such, only a fraction of the exempted aquifer is thought to be affected. The wellfields, which include the injection and production wells, are the areas where most activities that disturb the surface and subsurface take place leaving a majority of the permitted area undisturbed and unaffected by surface operations [8]. The physical dimensions of the ore zone region are based on the area of wellfield patterns and the thickness of the mined ore zone. The pore volume represents the volume of water that fills the void space inside a certain volume of rock or sediment. The defined thickness may have some variation in that regulators can decide to consider the full aquifer thickness, the ore zone thickness or the portion of the aquifer open to the well screens [7]. Consideration could be influenced by what is known about the vertical mixing of the leaching fluids during the mining phase of operations [7].
The State Engineer of New Mexico helped to establish legal precedent for consumptive water use in ISR by accepting the premise that rather than simple consumption of extracted water, the ISR process largely recirculates the known [pore] volume or “corpus” of groundwater over the life of a mine within the confines of the mineralized portion of the aquifer, which contains the ore [29]. The corpus of groundwater is based on the idea that the mine zone acts as much like a tank where the lixiviant (largely consisting of groundwater with added chemicals) is circulated in and out of the tank [29]. This basis, however, does not necessarily account for the extent of the aquifer unit confined within the upper and lower aquitards, that is, the entire saturated thickness, nor the horizontal extent to which affected water could potentially flow. However, it does give an impression of the potential minimum affected aquifer. The premise further assumes that all water in the ore zone region is available for flow, but in reality, the “pore volume” or “corpus” concept only applies to porous portions of the subsurface mining zone.
Typically, a pore volume is calculated by multiplying the surface area of a wellfield (the area covered by injection and recovery wells) by the thickness of the production zone being exploited and the estimated or measured porosity of the aquifer material [8]. However, for restoration purposes, a pore volume may be defined to include the total fluid volume within the ore zone and the fluid volume within any zones of lixiviant excursion from the orebody [4]. The amount of water that may be handled during restoration operations to return the injection zone to pre-mining conditions is often reported as the number of pore volumes after the pore volume is defined in gallons [44].
The mathematical formulas used to calculate pore volumes are not commonly reported, but in some cases, variations in formulas were found in different ISR operations and also within the same ISR operation from year to year. For example, in 1983, the pore volumes (PVs) were calculated at Mt. Lucas, as follows [45]:
Pore volume = Affected area × affected aquifer thickness × porosity
Later, at the Mt. Lucas ISR operation, the pore volumes were calculated differently to account for the possibility of vertical and horizontal excursions. The calculation also reduced the thickness under consideration from the entire aquifer thickness to only the screen length of injection wells and specified that the affected area only included the area under the pattern, presumably of injection and production wells as [46]:
PV (ac-ft) = Acreage under pattern × 110% (for horizontal migration) × average screen length × 130% (for vertical migration) × porosity
Six pore volumes were estimated to achieve restoration utilizing groundwater sweep at Mt. Lucas. Likewise, an estimated six PVs were also estimated for restoring the groundwater at the Palangana ISR operation but using a different equation [24]:
PV = Area under the pattern × flare factor of 1.75 × effective porosity × open interval
Equation (3) accounts for flare or the amount of aquifer water outside of the pore volume that has been impacted by lixiviant flow during the recovery phase [8]. Flare is normal and is sometimes included in the computation of the pore volume by the use of both horizontal and vertical proportionality “flare factors”. This equation also specifies an effective porosity instead of total porosity, which is usually smaller because it represents only the porosity of connected pore spaces and excludes pore space which cannot flow fluids. The pore volume provides only a relative indicator of the impacted subsurface because it may not fully account for the movement of fluids outside of the production zone that could be due to: (1) excursions, (2) the potential for a leaky aquifer or missing confining layers, (3) drawdown impacts from pumping, (4) mounding from injection, (5) the radius of influence, (6) heterogeneity or faulting, or (7) the saturated thickness versus the total thickness of the ore zone in which the well is completed. In any case, it provides a relative indicator of the minimum amount of pore water affected during ISR. Not accounting for flare, the bulk rock volume of the minimum subsurface aquifer potentially affected could be estimated by arranging Equation (1) as:
Minimum affected area × minimum affected aquifer thickness =
pore volume/porosity
pore volume/porosity
Minimum affected volume = pore volume/porosity
Figure 8 shows plots of the mine pore volume and minimum affected aquifer volume as a function of uranium production. Table A4 shows the minimum estimated pore volumes reported by the operators for each ISR operation and the minimum volumes of potentially affected aquifer for Goliad Sand ISR operations computed using Equation (5). The extents of minimum aquifer volumes affected range from 11 to 40 million cubic feet (cu ft) with an average of 0.51 ± 0.08 cu ft/lb U3O8 normalized minimum aquifer volumes affected.
Figure 8.
(A) Mine pore volume and (B) minimum affected aquifer volume as a function of uranium produced (as lb U3O8) for Kingsville Dome, Mt. Lucas, Palangana Dome, Palangana and Rosita. Alta Mesa was not included because a pore volume was not reported. Compiled data used to construct these graphs as well as associated references are publicly available online [18]. Note: MG = million gallons, cu ft = cubic feet. Black line is the linear trend line and blue lines are the 95 percent confidence intervals.
3.5. Water Disposal into Deep Disposal Wells
In addition to using the pore volume to describe the amount of lixiviant circulation needed to leach an orebody, the operator also uses the pore volume to describe the unit number of water removals, circulations, and treatments needed to flow through a depleted orebody to achieve restoration [8]. As such, the computation of the pore volume ultimately influences the amount of water consumed or sent to disposal wells.
Table A5 and Figure 9 reflect the minimum volumes of water injected into disposal wells. Alta Mesa, Kingsville Dome, Rosita, Palangana Dome, and Palangana used Class I wells to dispose of wastewater. Mt. Lucas did not employ a deep disposal well, but rather sent all waste streams to a settling pond where the water was treated with barium chloride to promote precipitation of a barium-radium-sulfate to reduce radium levels. The radium-containing sludge was then disposed of while the treated waters were used for irrigation. So, technically, the bulk of the wastewater was beneficially reused at Mt. Lucas assuming the wastewater was treated to meet standards of use, and hence, is not considered waste unlike the water disposed into a disposal well. These disposal volumes include all wastes from both the production and restoration phases as well as waste from other parts of the ISR operations such as from the processing plant.
Figure 9.
Minimum total volume of water disposed as a function of uranium produced (as lb U3O8) for the six ISR operations listed in Table A1. Compiled data used to construct these graphs as well as associated references are publicly available online [18]. Note: MG = million gallons. Black line is the linear trend line and blue lines are the 95 percent confidence intervals.
3.5.1. Water Pumped and Disposed during Restoration
The amount of water consumed during restoration is not explicitly reported. The amount of water “removed from the aquifer” and sometimes disposed into waste disposal wells, however, is sometimes stipulated in formal Restoration Reports or in Applications for a Restoration Table Amendment found in the Production Area Authorization permit. When granted, the amendment usually results in relaxing of target groundwater concentrations for certain problematic contaminants on the basis that further restoration using reverse osmosis (RO) is too expensive and will consume large amounts of groundwater. While the amount of water “removed”, or “pumped”, is often cited in the Restoration Table Amendment request, these amounts are not necessarily sent to disposal. All (100 percent) of this water is disposed of only when the groundwater sweep restoration method is used and only an estimated 25–30 percent of the water pumped and treated with reverse osmosis is actually consumed or disposed; the remainder is typically reinjected or otherwise recycled in the ISR process. That said, reverse osmosis was cited as the best technology available for groundwater cleanup at Rosita and several ISR sites outside of the Goliad Sand, including the Holiday-El Mesquite, Vasquez, O’Hern to name a few, albeit the most expensive. Table A6 reflects the minimum amounts of water reported as “removed for restoration” in the restoration reports as well as the amount of water re-injected and the net water disposed. In many cases only the first pore volumes pumped are disposed prior to RO and thereafter, water is treated and anywhere from 70 to 80 percent is reinjected/recycled (if RO is used) during the cleanup process. Figure 10 shows the amounts of water treated and disposed during restoration, both of which are more strongly correlated to the number of pore volumes than to the total uranium production.
Figure 10.
The amount of water (A) extracted and (B) disposed during groundwater restoration as a function of uranium produced (as lb U3O8) for Alta Mesa, Kingsville Dome, Mt. Lucas, Palangana Dome and Rosita (restoration not yet begun on Palangana) and the amount of water (C) extracted and (D) disposed during groundwater restoration as a function of mine pore volume for Kingsville Dome, Mt. Lucas, Palangana Dome and Rosita (pore volume not reported for Alta Mesa). Compiled data used to construct these graphs as well as associated references are publicly available online [18]. Note: MG = million gallons. Black line is the linear trend line and blue lines are the 95 percent confidence intervals.
3.5.2. Water Disposed during Uranium Production
The fraction of water volume consumed during the uranium production phase differs from the restoration phase. During the production phase, water disposal usually includes the aquifer bleed and wastes from the plant. The bleed is a small portion of the barren solution that is continually diverted from the ion exchange circuit to provide a net production volume greater than injection volume to insure a steady influx of ground water into the wellfield area. The bleed is continuously extracted over the life of the mine [47]. Bleed volume was disposed of via the deep disposal wells in the Goliad Sand ISR operations, except for Mt. Lucas Mine. At Mt. Lucas, the barren fluid diverted from the recycle circuit was used for irrigation [45]. The volume of water disposed during the production phase is not explicitly identified in the Class I operating reports or Class III annual reports. Likewise, bleed volume, bleed rate or plant waste volumes are not systematically reported.
In Table 1, the amount of water disposed during the uranium production phase is estimated for Alta Mesa, Kingsville Dome and Rosita by subtracting the total estimated fluids disposed during restoration (Table A6) from the total fluids disposed (Table A5). The total waste water from the Mt. Lucas is calculated from an estimate of the total percentage of groundwater anticipated to be committed during normal facility operations (2.5 percent of the total flowrate) [31] with the flowrate of just over 4 million gallons per day (MGD) between 1983 and 1987 [22], during which the ISR facility operated. At Palangana, restoration had not begun at the time of the analysis, so all water sent to the disposal well is assumed to be due to mining, which was identified through examination of operator reports, restoration amendment requests compared to dates of when restoration began. Figure 11 illustrates that the amount of water used during uranium production is more closely correlated to the amount of total production days rather than the total volume of uranium produced.
Table 1.
Summary of minimum water disposed throughout the mine life, during production and during restoration normalized to U3O8 produced.
Figure 11.
Water disposed during the uranium production phase as a function of (A) amount of uranium produced (as lb U3O8) and (B) production days for all six ISR operations. Compiled data used to construct these graphs as well as associated references are publicly available online [18]. Note: MG = million gallons. Black line is the linear trend line and blue lines are the 95 percent confidence intervals.
The amounts of water used during production and groundwater restoration normalized by the amount of uranium produced are shown in Table 1. Notice that the current phase of each mine differs. Palangana Dome and Mt. Lucas have been remediated; Kingsville Dome, Rosita and Alta Mesa have been remediated and are in standby, and Palangana has been mined but not completely remediated. The water volumes disposed in Table 1, Table A5 and Table A6 are considered minimum volumes because: (1) the values do not include all water disposed of for these mines and (2) further water use is expected for the mine units that are on standby and partially restored as of 2020. Generally, the overall average water use is higher for the restoration phase, as suggested in previous studies [10], but in some cases, water use during mining is greater than during restoration. Table 1 illustrates that the six ISR uranium mines hosted in the Goliad Sand collectively consumed at least 3.7 billion gallons of water so far to extract roughly 14.5 million pounds of U3O8, based on production and disposal records for disposal wells related to ISR operation. Table 1 also shows that the water disposal is highest for the Palangana Dome facility, which initially invoked ammonium-based lixiviant solutions, but eventually were discontinued because ammonium-based lixiviants posed groundwater restoration difficulties. When the water use volumes for the Palangana Dome were excluded from consideration, an overall average normalized disposal volume per uranium production of 258 ± 40 gallons of fluid is disposed per lb U3O8, with an average of 169 ± 26 gal/lb U3O8 attributed to restoration and 89 ± 36 gal/lb U3O8 (excluding both Palangana Dome because it used an ammonium-based lixiviant and Palangana Mine because it has not yet undergone restoration) attributed to the mining phase are computed for the overall water use in ISR production and restoration. Because Palangana has not yet undergone restoration, any water that is bled from the wellfields during standby would be considered part of the uranium production water use in this study such that the average water use during mining will be larger than reported here. In any case, the average value of 258 gal/lb U3O8 disposed during both restoration and mining is about 3.7 percent of the total average water pumped, which is consistent with a recirculation rate of greater than 95 percent as stated in Section 3.1. This value also compares favorably to previously estimated disposal volumes in historical uranium ISR operations in Texas of 250 gal/lb of uranium (1894 m3/ton U), which was estimated using a water utilization rate for uranium mining of 280 ac-ft in each of three counties (Kleberg, Duval, and Brooks) [10]. This study acknowledged that the number of operating mines is limited and suggested that the actual water consumption can be much lower if no restoration is being done [10].
3.6. Radon
Radon is a contaminant at ISR mines. While ISR may not have significant radon releases compared to open pit or underground uranium mining and milling, radon releases do occur, thought to stem mainly from the processing activities at the surface. Documented radon releases were identified for only three of the six Goliad Sand ISR operations [48], listed in Table A7. Kingsville Dome releases are estimated as a maximum of 6958 curies per year (Ci/y) (~2.4 × 10−3 Ci/lb U3O8 average) [48]. The Alta Mesa ISR operation releases are estimated as a maximum of 740 Ci/y (~0.61 × 10−3 Ci/lb U3O8 average) based on the operator radiological assessment, which modeled emissions from a central processing facility, ponds and wellfield venting [48]. Mt Lucas ISR releases were estimated based on the radon source (that is, uranium) at 0.13 × 10−3 Ci/lb U3O8 (not measured but calculated prior to mining and considered here to be an average). The Mt. Lucas mine operators invoked the following assumptions used for calculating radon-222 emissions [31]:
- Leaching of uranium in the ore zone mobilizes all the radon gas present with the dissolved uranium.
- All the radon gas dissolved in the pregnant solution will be released to the atmosphere.
- Radon-222 and its daughters are in secular equilibrium with uranium-238.
- The major source of radon-222 emissions in a uranium solution mining project is the wellfield surge tanks. Conservatively, it is assumed that only one covered surge tank with a pipe type vent will be located at the processing facility.
The resulting radon-222 release at Mt. Lucas [31] was estimated as 0.13 × 10−3 Ci per lb of U3O8 calculated as:
Radon emissions (Ci) = (0.848 g U/g U3O8) × (0.9927 g U-238/g U) × (0.333 µCi/g U-238) × (1 × 10−6 Ci/µCi)
Previously, it was found that the release rate of radon-222 from open top surge tanks ranged from 50 to 75 percent of the radon-222 in solution [31]. Palangana Dome, Palangana and Rosita estimates in Table A7 are based on the average estimated radon release rates of Alta Mesa, Kingsville Dome and Mt. Lucas of 1.06 × 10−3 Ci/lb U3O8. These radon releases may have been modeled or calculated based on radium or uranium concentrations in the source material. Therefore, not all the radon potentially generated by the source material may have actually been released at the site. Because these estimates are influenced by design of the surface equipment and other factors, radon estimates may differ at other sites and in the future as technology changes. The average normalized radon release for all six mines listed in Table A7 is 1.06 × 10−3 ± 7.4 × 10−4 Ci/lb U3O8.
Figure 12 shows the linear regression of estimated radon emissions in Table A7 and can be used to compute radon emissions at other ISR sites completed in the study area as:
Radon emissions (Ci) = 1279 Ci/million lb U3O8 × Uranium Production (million lb U3O8)
As such, the estimated radon release per pound of U3O8 of 0.0013 Ci/lb U3O8 (or 1279 Ci/million lb U3O8) is just over twice the normalized radon release estimate of 54 gigabecquerel/tonne U3O8 for ISR mines in Australia (equivalent to 0.00066 Ci/lb U3O8) [16]. Note that these values are also considerably lower than the 1088 GBq/t U3O8 estimate for underground uranium mining [16].
4. Discussion
Figure 5 through 12 display the indicators of historical water use and disturbance plotted as a function of the amount of uranium produced per ISR operation but in some cases, also show better correlation to other factors. The correlation heatmap in Figure 13 illustrates the goodness-of-fit (R2) values for the various linear regressions of the environmental footprint indicators to understand relationship to parameters other than U3O8, such as pore volume and number of uranium production days. The water pumped during uranium production phase (R2 = 0.93), the water disposed during uranium production phase (R2 = 0.84), the mine area (R2 = 0.94), the mine pore volume (R2 = 0.91) and the minimum affected aquifer volume (R2 = 0.82) are linearly correlated to the amount of uranium produced. The strong linear correlation of mine area to uranium produced is likely because the mine area is defined by the placement of the wells, which are optimized to the location of the uranium mineralized orebody. Likewise, the pore volume was calculated by operators based on the production area, which is typically inset by 400 feet from the monitoring wells that define the boundary of the mine area so it may explain the strong linear correlation with uranium production.
Figure 13.
A heatmap of goodness-of-fit (R2) values of the linear regressions for the various environmental footprints as a function of pounds of U3O8, pore volume and production days. Cooler shades indicate higher R2 values.
The minimum affected aquifer volume in this analysis was estimated from the pore volume and the approximate average aquifer porosity but does not account for the differences in methods used to compute pore volumes by each of the operators. This simplification could account for the slightly less robust linear correlation of the minimum affected aquifer volume (R2 = 0.82) with uranium production. In contrast, the exempted aquifer areas and thicknesses are not always based on an exact relationship to the orebody, but instead, may be related to lease boundaries or the potential for future expansion. This lack of direct relationship to the orebody may account for the poor linear correlation of the aquifer exempted volumes with uranium production (R2 = 0.39).
An understanding of the relative contributions of historical water disposal between restoration and production allows us to examine factors that affect water use. The amount of water disposed during the uranium production phase is more strongly correlated to duration of the uranium production phase (R2 = 0.96) than to the amount of uranium produced (R2 = 0.84). This relationship is logical because during the production phase, the amount of water disposed consists of the aquifer bleed and the plant processing operations, which are designed for a specific flowrate. Again, a minimum bleed or over-pumping to maintain a hydrostatic cone of depression during both production and restoration is required, which is often reported between 1 and 4 percent of the design flowrate. Because the bleed water sent to disposal is a fraction of the amount of water continuously pumped, the longer the mine life, the more pumping and the more wastewater sent to disposal. The total water pumped during uranium production phase is linearly correlated to the amount of uranium produced (R2 = 0.93) and the production days (R2 = 0.94), which accounts for the pumping rate. These observations reflect that the dynamic leaching of ores varies at each uranium operation. The amount of uranium can be used to predict the total water pumped during the uranium production phase, which can then be used to ultimately predict water disposal during the uranium production phase, if the recycling rate is known.
Figure 13 also shows that the water volume extracted (processed) (R2 = 0.93) and the total water disposed (R2 = 0.90) during the groundwater restoration phase are linearly correlated to uranium production. However, the amount of water disposed during restoration of a given production area is more strongly linearly correlated to the pore volume of the mine unit (R2 = 0.97) than to the amount of uranium produced (R2 = 0.90). As previously mentioned, the pore volume is the common measurement used to describe the water present in the pore spaces of the aquifer unit hosting the uranium orebody commonly used by operators. This result suggests that water use during restoration and total water use could be related to the liquid-to-solid ratio. Interestingly, while there is variation in computations made for pore volumes, the minimum affected aquifer volumes per unit of uranium produced are similar among ISR operations.
It was unexpected that there would not be such a strong correlation between pore volume and volumes of water sent to disposal given the disparity in the methods used to compute the pore volumes for each operation. A possible alternative reason for the strong correlation given the differences in computing the pore volumes from operation to operation is that the number of pore volumes treated during groundwater restoration is predetermined during the mine design and stipulated in permits or bond agreements before mining so that the restoration ends when the stipulated number of pore volumes have been processed. In five of the six operations, regulators granted a request to cease restoration operations, reduce bleed, and amend the restoration table to pre-mining baseline groundwater quality targets. This decision was based on a demonstration that an appropriate effort had been made to achieve restoration and further restoration would result in consumption of water and energy without additional benefit and/or the formation water present in the exempted portion of the aquifer would be suitable for any use to which it was reasonably suited prior to mining activity. Such restoration amendment table requests are granted in accordance with Texas Administrative Code 30TAC§331.107. Thus, prediction of water use during restoration should be made in light of regulatory requirements, flexibilities, and bond agreements.
Based on the R2 values, it appears that the consumptive restoration volumes (R2 = 0.90) can be predicted much better than consumptive production volumes (R2 = 0.84) per lb U3O8. While flowrate and time may be a better predictor of water disposed during production, before ISR mining begins in a specific location, it is difficult to know what flow rates will be achieved in actual operation. Total production time and flowrates may be difficult to predict prior to mining because of metallurgical extraction efficiency for a given lixiviant chemistry, likely heterogeneities in the subsurface and uranium market conditions. These uncertainties are likely contributing to the much greater standard deviation of water consumption per lb of U3O8 for production than for restoration, as reflected in Table 1. Restorative water consumption, on the other hand, is better predicted by mine pore volume, which is a variable that should be reasonably well known before mining (once an ore zone is mapped out), so it may be possible to predict this quantity with reasonable accuracy before mining operations. However, neither the flowrates, the time of production, nor the orebody delineations are known prior to the discovery of an orebody, as in the case of an undiscovered uranium resource assessment where only the amounts of U3O8 are projected.
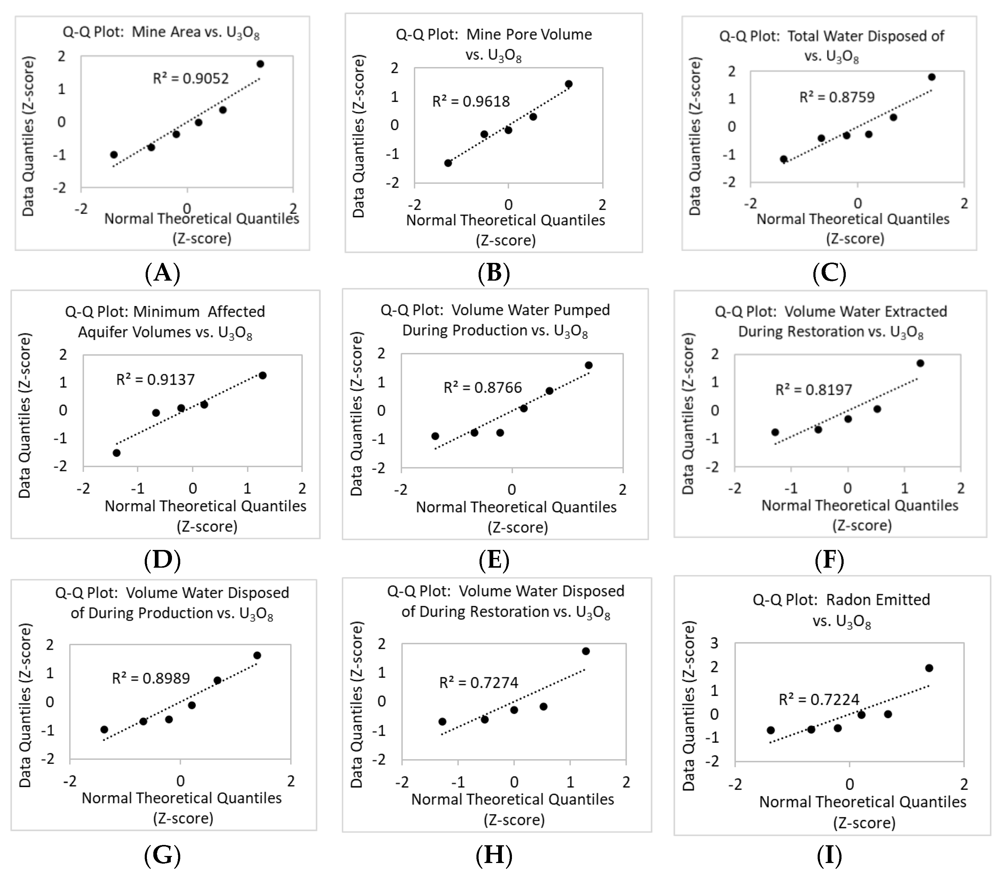
Models of the relationship between quantities of environmental footprints versus uranium production were derived from linear regressions in Equations (8)–(16) in order to project environmental footprints when the only the estimated amount of uranium is reported as part of resource assessments. The quantile-quantile (Q-Q) plots in Appendix B (Figure A1) illustrate that the residuals of the linear models of mine area, total water disposed, mine pore volume, minimum affected aquifer volume, water pumped during the uranium production and restoration phases, water disposed during production and restoration and radon emitted in equations (8)–(16) follow a normal distribution. Although the small number of points makes the results unstable (that is, additional data could change the linear fits), these models can provide a reasonable approximation of the likely quantities for the reported amount of undiscovered uranium resources (as lb U3O8) projected in the Goliad Sands [49]:
Mine Area (ac) = 0.0002 × lb U3O8 R2 = 0.94
Total Water Disposed (gal) = 216.6 × lb U3O8 R2 = 0.80
Mine Pore Volume (gal) = 23.3 × lb U3O8 R2 = 0.91
Minimum Affected Aquifer Volume (cu ft) = 10.6 × lb U3O8 R2 = 0.77
Water Pumped During Uranium Production (gal) = 4244.7 × lb U3O8 R2 = 0.93
Water Extracted During Restoration (gal) = 530.7 × lb U3O8 R2 = 0.93
Water Disposed During Uranium Production (non-restoration) (gal) = 84.1 × lb U3O8 R2 = 0.84
Water Disposed During Restoration (gal) = 184.8 × lb U3O8 R2 = 0.90
Radon Emitted (Ci) = 0.0013 × lb U3O8 R2 = 0.68
Because these equations were derived based on data for the six ISR operations that produced uranium from the Goliad Sand in the Texas Coastal Plain from the 1970s to about 2016, trends could be different in other regions due to differences in leaching solutions, geology, and mineralogy. The geologic environment is not inert with respect to the lixiviant and geochemical barriers also could have an important role in ISR. Additionally, mining methods, restoration methods, market conditions and regulations could differ from region to region and could also change over time. All these factors could influence the magnitude of the environmental footprints examined in this study and limit the use of these models.
5. Conclusions
Documenting water use, disturbed surface area, water treated and disturbed subsurface volumes per pound of uranium is complex at ISR facilities because:
- in general, quantities of water use, disturbed surface area, water treated, disturbed subsurface volume and radon emissions may not be systematically reported or if they are, may not be reported for all phases throughout the life of the operation, that is, production and groundwater restoration;
- if reported, these parameters are not reported in conjunction with uranium production values;
- each operation implements a different water balance with differing pumping rates, injection rates, treatments and recycling rates and many times, production water use co-occurs with restoration at a given mine with several production fields operating concurrently or at different stages of the life cycle;
- oftentimes, water pumping, if reported, is typically reported per wellfield, but uranium production rates are not provided per wellfield;
- each operation uses different reporting formats and/or calculations;
- different water balances are employed in each operation, that is, with different levels of disposal and recycling, depending on pumping and disposal rates and technologies used for wastewater treatment;
- radon emissions could be influenced by the process facility design;
- each ISR operation is implemented within a “mine permit” but for different production areas within a site, and it is not unusual for the production phase to be implemented at one production area under a mine permit, while another production area under the same permit is undergoing groundwater restoration;
- comprehensive lists of water disposal records and mine production are not readily available;
- water disposal records are reported per permitted waste disposal well and attributed to a company name, and not necessarily to a ISR operation name;
- water disposal is often reported in restoration reports as “pore volumes” and not in volumetric units such as gallons;
- historically, ISR operations in Texas have not consistently computed the pore volume;
- the number of pore volumes stipulated in the surety bond agreement to restore the aquifer after the uranium production phase may differ for each ISR operation;
- in some cases, there are more than one waste disposal well listed per mine name;
- a mine name could be associated with different owners;
- records are piecemeal and parameters may change over time as the operations grow or cease such that data in any given report may not reflect the actual final parameters that define a site or a complete set of data.
Despite these challenges, this work highlighted specific sources of data and methods that can compute minimum footprints of historical ISR operations in the Goliad Sand including the minimum amounts of water consumed, water extracted, mine areas and minimum affected aquifer volumes. This work also identified two important factors that influence water usage. First, the production time and production flowrate of the ISR operation are important indicators of the amount of water that is used in non-restoration activities because they are related to the total amount of water pumped and processed during the uranium production phase and thus, the amount of bleed and plant wastewater sent to disposal wells. Second, the pore volume is important for ascertaining the amount of water used during restoration because it is used as a basis for determining the amount of wastewater treated and disposed. These relationships can be useful for predicting future environmental footprints in the Goliad Sand due to ISR within the vicinity of historical operations. By learning about the historical environmental footprints of uranium ISR, the environmental footprints of future uranium extraction via ISR can be improved by potentially identifying opportunities for water recycling, reuse, and repurposing.
Author Contributions
T.J.G. contributed to: conceptualization, methodology, validation, formal analysis, investigation, data curation, writing—original draft preparation, writing—review and editing, visualization, supervision, project administration, and funding acquisition. A.M.S. contributed to: conceptualization, methodology, validation, formal analysis, investigation, data curation, and writing—review and editing. V.G.S. contributed to: conceptualization, methodology, investigation, data curation, and writing—review and editing. A.P.T. contributed to: formal analysis, writing—review and editing. All authors have read and agreed to the published version of the manuscript.
Funding
This research was funded by the U.S. Geological Survey, specifically, the Energy Resources Program within the USGS Energy and Minerals Mission Area and the Environmental Health Program within the USGS Ecosystems Mission Area.
Data Availability Statement
Compiled data used to construct these graphs and references are publicly available online [18].
Acknowledgments
We gratefully acknowledge the support of staff at the Texas Commission on Environmental Quality with identifying and acquiring reports. We also thank ISR industry experts for their valuable discussions on ISR operations. The staff at the Texas Railroad Commission also provided valuable insight and data on uranium mining. We appreciate the assistance from EPA representatives from the Office of Ground Water & Drinking Water for assistance in acquiring and checking data related to the aquifer exemptions and the EPA Region 6 for helpful discussions on Class I disposal wells in Texas. EPA’s Office of Air also helped with identifying industry documentation regarding water use in ISR. Any use of trade, firm, or product names is for descriptive purposes only and does not imply endorsement by the U.S. Government.
Conflicts of Interest
The authors declare no conflict of interest.
Appendix A
The Appendix A contains tables used to construct the figures in the main text: Table A1 Overview of the six ISR operations completed in the Goliad Sand in the Texas Coastal Plain examined in this study; Table A2 Minimum areas associated with ISR operations; Table A3 Quantities of aquifer exemptions for the Goliad Sand ISR operations; Table A4 Minimum volume of potentially affected aquifer for ISR operations completed in the Goliad Sand; Table A5 Minimum Volumes of Wastewater Injected into Class I Deep Disposal Wells; Table A6 Minimum amounts of water removed and disposed during restoration; Table A7 Radon releases at ISR facilities.
Table A1.
Overview of the six ISR operations completed in the Goliad Sand in the Texas Coastal Plain examined in this study.
Table A1.
Overview of the six ISR operations completed in the Goliad Sand in the Texas Coastal Plain examined in this study.
| ISR Operation Name | Production Period(s) | Approx. Production Time (d) | Production U3O8 (lb) | Average Recovery Factor | Flow Rate of Leaching Solution (gal/Day) [22] | Water Pumped during Production (BG) 6 | Water Pumped Normalized to Production (gal/lb U3O8) |
|---|---|---|---|---|---|---|---|
| Alta Mesa 1 | 2006 to 2012 | 2190 | 4,621,600 | 81% | 7,291,149 | 16 | 3455 |
| PAA-1 | 1,610,000 | 84% | |||||
| PAA-2 | 1,498,200 | 74% | |||||
| PAA-3 | 290,400 | 111% | |||||
| PAA-4 | 850,000 | 87% | |||||
| PAA-5 | 35,000 | 58% | |||||
| PAA-6 | 338,000 | NA | |||||
| PAA-7 | |||||||
| Kingsville Dome 2 | 1988 to 1990, 1996 to 1999, 2006 to 2009 | 2920 | 4,240,200 | 7,608,155 | 22 | 5239 | |
| Mt. Lucas | 1983 to 1987 | 1460 | 2,069,425 | 4,057,683 | 5.9 | 2863 | |
| Palangana | November 2010 to July 2014 | 1369 | 560,000 | 43% | 3,487,071 | 4.8 | 8525 |
| Palangana Dome 3 | 1977 to 1980, 1985 to 1986 | 1460 | 340,000 | 33% | 4,311,288 | 6.2 | 18,513 |
| Rosita 4,5 | 1990 to 1992, 1995 to 1999, 2009 | 2312 | 2,650,200 | 44% | 5,072,103 | 12 | 4425 |
Compiled data used to construct this table as well as associated references are publicly available online [18]. Notes: 1 Alta Mesa PAA was on standby at the time of the data collection. 2 Kingsville Dome: Production includes all production area authorizations (PAAs), 3 All operations used non-ammonium based lixiviants except for Palangana Dome, 4 Rosita (PAA-1, PAA-2) produced (PAA-3,PAA-4 not produced as of 2016), 5 recovery factor for Rosita not explicitly given but is estimated as U3O8 produced/initial estimate, 6 BG = billion gallons.
Table A2.
Minimum areas associated with ISR operations.
Table A2.
Minimum areas associated with ISR operations.
| Mine/Production Area Authorization | Production Area (ac) | Wellfield Area or Area Under Pattern (ac) | Mine Area (ac) | Permit Area (ac) | Lease Area (ac) | Mine Area (ac/lb U3O8) |
|---|---|---|---|---|---|---|
| Alta Mesa | 204 | 1394 | 2312 | 0.00023 | ||
| PAA-1 | 244 | |||||
| PAA-2 | 40 | 188 | ||||
| PAA-3 | 18 | 91 | ||||
| PAA-4 | 15 | 133 | ||||
| PAA-5 | 40 | 230 | ||||
| PAA-6 | 91 | 259 | ||||
| PAA-7 | 91 | 250 | ||||
| Kingsville Dome | 124 | 513 | 2135 | 2857 | 0.00012 | |
| PAA-1 | 70 | 155 | ||||
| PAA-2 | 39 | 208 | ||||
| PAA-3 | 20 | 157 | ||||
| Mt. Lucas | 117 | 27 | 382 | 6023 | 4360 | 0.00018 |
| PAA-1 East | 15 | 2.7 | 24 | |||
| PAA-2 (EA) East | 10 | 2.8 | 28 | |||
| PAA-3 (H) East | 22 | 2.4 | 72 | |||
| PAA-4 (HM) East | 11 | 4.6 | 30 | |||
| PAA-5 (Lillian) East | 10 | 1.5 | 30 | |||
| PAA-6 (“M”) West | 6 | 3.8 | 39 | |||
| PAA-7 (“J”) West | 32 | 5.3 | 121 | |||
| PAA-8 (“South J”) | 6 | 2.1 | 38 | |||
| PAA-9 (“J1”) West | 5 | 1.8 | ||||
| Palangana | 16 | 195 | 6151 | 8791 | 0.00035 | |
| PAA-1 | 11 | 85 | ||||
| PAA-2 | 5 | 55 | ||||
| PAA-3 | 55 | |||||
| PAA-4 | 13 | 95 * | ||||
| Palangana Dome | 31 | 86 | 162 | 6272 | 0.00025 | |
| PAA-1 | 86 | |||||
| Rosita | 50 | 555 | 2278 | 0.00021 | ||
| PAA-1 | 24 | 173 | ||||
| PAA-2 | 26 | 382 |
Compiled data used to construct this table as well as associated references are publicly available online [18]. Notes: * predicted.
Table A3.
Quantities of aquifer exemptions for the Goliad Sand ISR operations.
Table A3.
Quantities of aquifer exemptions for the Goliad Sand ISR operations.
| Injection Well ID | Approx. Ore Porosity (%) | Aquifer Exempted Area (ac) | Exempted Thickness (ft) | Average Dissolved Solids of Groundwater in Mine Area (mg/L) | Exempted Volume 3,4 (ac-ft) | Exempted Pore Water Volume 5 (gal) | Exempted Aquifer Volume per Production (ac-ft/lb U3O8) 6 | Exempted Aquifer Water Volume per Production (gal/lb U3O8) |
|---|---|---|---|---|---|---|---|---|
| Alta Mesa, original 1 | 1840 | 400 | 870, 1000 | 736,000 | 81,541,054,336 | 0.55 | 61,483 | |
| Alta Mesa, revised 1 | 28–40 | 5457 | 470 | 2,564,790 | 284,151,740,150 | |||
| Kingsville Dome (original) 1 | 547 | 200 | 900 to 1300 | 109,400 | 11,050,924,380 | 0.22 | 22,442 | |
| Kingsville Dome Ext 2 | 30, 32 | 2135 | 390 | 832,650 | 84,109,252,145 | |||
| Mt Lucas | 28, 27, 23 | 6023 | 375 | 850 | 2,258,625 | 191,353,790,765 | 1.09 | 92,467 |
| Palangana 2 | 25 | 6272 | 585 | 1000 to 1100 | 3,669,120 | 298,896,972,192 | 6.55 | 533,745 |
| Palangana Dome 2 | 10–30, 23 | 200 | 326 | 878 | 65,200 | 4,567,784,925 | 0.19 | 13,435 |
| Rosita 1,3 | 200 | 170 | 1800 | 34,000 | 3,323,684,280 | 0.04 | 3762 | |
| Rosita 1,3 | 30 | 1000 | 40 | 40,000 | 3,910,216,800 | |||
| Rosita Ext 1,3 | 70 | 400 | 28,000 | 2,737,151,760 |
Notes: 1 The multiple listing for Rosita and Kingsville Dome represent various extensions and therefore the areas and volumes should be added for a total whereas the second listing for Alta Mesa is an update therefore only the updated (second) value(s) should be used in the total. 2 Two EPA aquifer exemptions are listed as “Palangana” but are considered to be separate operations—Palangana Dome (operated prior to 1990) and Palangana Mine (currently in operation); each were delineated by comparison to TCEQ records and mine permit number. 3 An average of range of thicknesses is used to compute the volume. 4 Computed as: Exempted volume = Exempted thickness x exempted aquifer area. 5 Computed as Exempted Pore volume = exempted volume x porosity. 6 Unit conversion: 1 ac-ft = 325,851.43 gal. Compiled data used to construct this table as well as associated references are publicly available online [18].
Table A4.
Minimum volume of potentially affected aquifer for ISR operations completed in the Goliad Sand.
Table A4.
Minimum volume of potentially affected aquifer for ISR operations completed in the Goliad Sand.
| Minimum 1 Estimated Pore Volume 2 (MG) | Porosity Values Reported 2 | Minimum Associated Aquifer Volume 3 (Million cu ft) | Normalized Minimum Associated Subsurface Aquifer Volume 4 (cu ft/lb U3O8) | |
|---|---|---|---|---|
| Alta Mesa | Unknown | 28%–40% | Unknown | Unknown |
| Kingsville Dome | 93 | 30%, 32% | 40 | 0.43 |
| Mt. Lucas | 51 | 28%, 27%, 23% | 26 | 0.51 |
| Palangana | 21 | 25% | 11 | 0.53 |
| Palangana Dome | 47 | 10%–30%, 23% | 29 | 0.62 |
| Rosita | 63 | 30% | 28 | 0.45 |
Notes: 1 minimum is stipulated because not all production area estimated pore volumes were obtained, 2 Calculated by summing pore volumes listed in Table A6 and reported in million gallons (MG). 3 associated aquifer volume calculated by dividing the average pore volume by the porosity, 4 normalized minimum associated subsurface volume computed by dividing the subsurface minimum associated aquifer volume by the production values listed in Table A1. Compiled data used to construct this table as well as associated references are publicly available online [18].
Table A5.
Minimum Volumes of Wastewater Injected into Class I Deep Disposal Wells.
Table A5.
Minimum Volumes of Wastewater Injected into Class I Deep Disposal Wells.
| Mine Name | Disposal Well | Start Date | End Date | Minimum 1 Water Volume Disposed (MG) | Disposal Depth (ft) | Disposal Formation |
|---|---|---|---|---|---|---|
| Alta Mesa | WDW-365 | 31 January 2004 | 30 September 2017 | 279 | 4381–5381 | Frio |
| Alta Mesa | WDW-366 | 30 April 2007 | 30 September 2017 | 229 | Permit not found | Permit not found |
| Kingsville Dome | WDW-248 | 24 June 1988 | 31 December 2015 | 1312 | 4200–5300 | Upper Frio |
| Kingsville Dome | WDW-247 | No records found | No records found | No records found | Permit not found | Permit not found |
| Mt. Lucas | WDW-194 | No records found | No records found | No records found | 5200–5900 | Yegua |
| Palangana | WDW-418 | No records found | No records found | No records found | Permit not found | Permit not found |
| Palangana | WDW-419 | 31 December 2010 | 30 June 2017 | 158 | 5470–6900 | Jackson, Yegua |
| Palangana Dome | WDW-134 | July 1978 | March 1991 | 491 | 5968–6597 | Yegua |
| Rosita | WDW-250 | October 1990 | December 2015 | 743 | 4100–5400 | Yegua |
Compiled data used to construct this table as well as associated references are publicly available online [18]. Notes: 1 “minimum” is stipulated because not all disposal records were acquired.
Table A6.
Minimum amounts of water removed and disposed during restoration.
Table A6.
Minimum amounts of water removed and disposed during restoration.
| Name | Wellfield, Zone, or Production Area | Gallons per Pore Volume of the Mine Area | Restoration | |||||
|---|---|---|---|---|---|---|---|---|
| Cumulative Water Extracted (gal) | Cumulative Water Injected (gal) | Disposal Method | Water Disposed (MG) | % of Treated Water Disposed | Pore Volumes Consumed | |||
| Alta Mesa | PAA-1 | Not available | 912,909,140 | 735,467,720 | Deep Well Disposal (Extract-Injected) | 284 | 31% | NA |
| Mt. Lucas (Estimated) 1 | PAA-1 (East E) | 5,451,494 | Information not found, possibly because restoration amendment not requested | |||||
| Mt. Lucas 1,2 | PAA-2 (East EA) | 8,310,000 | 85,000,000 | 30,996,300 | Sweep, RO + Reinject + Land Application | 54 | 64% | 6.5 |
| Mt Lucas (Estimated) 1,2 | PAA-3 (East H) | 5,093,058 | Information not found | |||||
| Mt. Lucas 1,2 | PAA-4 (East HM) | 8,574,491 | 80,000,000 | 42,700,965 | Sweep, Remove and Replace with Overlying Aquifer Groundwater | 37 | 47% | 4.4 |
| Mt. Lucas 1,2 | PAA-5 (East Lillian) | 2,333,333 | 14,000,000 | 5,623,333 | Sweep, RO + Reinject + Land Application | 8 | 60% | 3.6 |
| Mt. Lucas 1,2 | PAA-6 (West M) | 7,142,857 | 64,000,000 | 31,571,429 | Sweep, Remove and Replace with Overlying Aquifer Groundwater | 32 | 51% | 4.5 |
| Mt. Lucas 1,2 | PAA-7 (West J) | 7,109,557 | 183,000,000 | 50,975,524 | Sweep, RO + Reinject + Land Application | 132 | 72% | 18.6 |
| Mt. Lucas 1,2 | PAA-8 (West South J) | 3,398,471 | 80,000,000 | 45,267,630 | Sweep, RO + Reinject + Land Application | 35 | 43% | 10.2 |
| Mt. Lucas (Estimated) 1 | PAA-9 (West J-1) | 3,144,466 | Information not found | |||||
| Kingsville Dome 3 | PAA 1 (total) | 27,279,412 | 742,000,000 | Not reported | WDW248 (1/3 of Extracted vol) | 245 | 33% | 9.0 |
| Kingsville Dome 3 | PPA 2 (total) | 31,566,456 | 997,500,000 | Not reported | WDW248 (1/3 of Extracted vol) | 329 | 33% | 10.4 |
| Kingsville Dome 3,4 | PAA 3 | 33,923,975 | 860,500,000 | Not reported | Information not found | 284 | 33% | 8.4 |
| Palangana 5 | PAA03070-004 | 20,755,295 | Restoration has not yet begun | WDW418 WDW419 | NA—Restoration has not yet begun | |||
| Palangana Dome | PAA-1 | 46,800,000 | 584,540,091 | 205,548,913 | WDW-134 (79,495,750 gal) and via irrigation or DDW (300,605,409 gal) | 379 | 65% | 8.1 |
| Rosita 3 | PAA-1 (total) | 35,766,423 | 490,000,000 | Not reported | WDW250 (1/3 of Extracted vol) | 162 | 33% | 4.5 |
| Rosita 3 | PAA-2 (total) | 26,911,765 | 732,000,000 | Not reported | WDW250 (1/3 of Extracted vol) | 242 | 33% | 9.0 |
Compiled data used to construct this table as well as associated references are publicly available online [18]. Notes: 1 The fate of extracted water not explicitly stated in Restoration Amendment Justification reports, 2 Only the PVs and/or total cumulative volumes extracted for processing and processing method are reported. If groundwater sweep, 100% disposal is assumed; if RO, 30% disposal is assumed as per referenced documents or if a water consumption rate is given then that is multiplied by the total time pumped/treated. 3 Disposal values not explicitly stated, but references indicated 33% of volumes extracted and treated were disposed. 4 Extracted and disposal volumes not explicitly stated. Reference [50] states a total of 2.6 billion gallons treated. Calculated PAA-3 treatment = 2.6 × 109 gal − (PAA-1 vol + PAA-2 vol). 5 Restoration had not begun at the time of data compilation.
Table A7.
Radon releases at ISR facilities.
Table A7.
Radon releases at ISR facilities.
| Operation | Production Years | Documented Maximum Release (Ci/y) 1 | Documented Average Annual Release (Ci/y) 1 | U3O8 Production (lb) | Normalized Rn Release (Ci/lb U3O8) 2,3 | Total Rn Release (Ci) |
|---|---|---|---|---|---|---|
| Alta Mesa | 6 | 740 | 472 | 4,621,600 | 0.00061 | 2832 |
| Kingsville Dome | 8 | 6958 | 1291 | 4,240,200 | 0.0024 | 10,328 |
| Mt. Lucas | 4 | 2,069,425 | 0.00013 | 551 | ||
| Palangana Dome | 4 | 340,000 | 0.00106 | 650 | ||
| Palangana | 4 | 560,000 | 0.00106 | 1070 | ||
| Rosita | 6 | 2,650,200 | 0.00106 | 5065 |
1 Calculated Average annual release rate [48]. 2 Mt. Lucas radon estimates are calculated as follows [31]: Radon-222 release rate = (0.848 g U/g octoxide) × (0.9927 g U − 238/g U) × (0.333 µCi/g U-238), which equated to a radon emanation rate of 0.00013 Ci per lb of U3O8 = 130,000,000 pCi/lb U3O8. 3 Palangana Dome, Palangana and Rosita estimates based on the average Ra release rates of Alta Mesa, Kingsville Dome and Mt. Lucas.
Appendix B
The following are the quantile-quantile (Q-Q) plots (Figure A1) that illustrate that the residuals of the models to compute mine area, total water disposed, mine pore volume, minimum affected aquifer volume, water pumped and disposed during the uranium production and restoration phases and radon emitted in Equations (8)–(16) listed in the Section 4 follow a normal distribution.
Figure A1.
Q-Q plots for (A) mine area, (B) mine pore volume, (C) total water disposed of, (D) minimum affected aquifer volume, (E) water pumped during uranium production, (F) water extracted during groundwater restoration, (G) water disposed of during uranium production, (H) water disposed of during groundwater restoration and (I) radon emitted as a function of uranium produced (as lb U3O8). Plots include data for the six ISR operations listed in Table A1 except for plots (B) and (D), which include only Kingsville Dome, Mt. Lucas, Palangana Dome, Palangana, and Rosita and plots (F) and (H), which include only Alta Mesa, Kingsville Dome, Mt. Lucas, Palangana Dome, and Rosita.
Figure A1.
Q-Q plots for (A) mine area, (B) mine pore volume, (C) total water disposed of, (D) minimum affected aquifer volume, (E) water pumped during uranium production, (F) water extracted during groundwater restoration, (G) water disposed of during uranium production, (H) water disposed of during groundwater restoration and (I) radon emitted as a function of uranium produced (as lb U3O8). Plots include data for the six ISR operations listed in Table A1 except for plots (B) and (D), which include only Kingsville Dome, Mt. Lucas, Palangana Dome, Palangana, and Rosita and plots (F) and (H), which include only Alta Mesa, Kingsville Dome, Mt. Lucas, Palangana Dome, and Rosita.

References
- Young, S.C.; Knox, P.R.; Kelley, V.; Budge, T.; Deeds, N.; Galloway, W.E.; Baker, E.T. Stratigraphy, Lithology, and Hydraulic Properties of the Chicot and Evangeline Aquifers in the LSWP Study Area, Central Texas Coast. In Aquifers of the Gulf Coast of Texas; Report, 365; Mace, R.E., Davidson, S.C., Angle, E.S., Mullican, W.F.I., Eds.; Texas Water Development Board: Austin, TX, USA, 2006; pp. 129–138. Available online: https://www.twdb.texas.gov/publications/reports/numbered_reports/doc/R365/Report365.asp (accessed on 9 March 2022).
- Buma, G.; Johnson, P.H.; Bienek, G.K.; Watson, C.G.; Noyes, H.; Capuano, R. Analysis of Groundwater Criteria and Recent Restoration Attempts after In Situ Uranium Leaching; Resource Engineering and Development, Inc.: Midvale, UT, USA, 1981; p. 302. [Google Scholar]
- IAEA. Significance of Mineralogy in the Development of Flowsheets for Processing Uranium Ores; STI/DOC/10/196; International Atomic Energy Association: Vienna, Austria, 1980. [Google Scholar]
- Knape, B.K. Underground Injection Operations in Texas: A Classification and Assessment of Underground Injection Activities; Report 291; Texas Department of Water Resources: Austin, TX, USA, 1984; p. 252.
- DOE/EIA. Decommissioning of U.S. Uranium Production Facilities; U.S. Department of Energy: Washington, DC, USA, 1995.
- Mackin, P.C.; Daruwalla, D.; Winterle, J.; Smith, M.; Pickett, D.A. A Baseline Risk-Informed Performance-Based Approach for In Situ Leach Uranium Extraction Licensees; Center for Nuclear Waste Regulatory Analyses: San Antonio, TX, USA, 2001; 197p. [Google Scholar]
- Davis, J.A.; Curtis, G.P. Consideration of Geochemical Issues in Groundwater Restoration at Uranium In-Situ Leach Mining Facilities; NUREG/CR-6870; U.S. Nuclear Regulatory Commission, Division of Fuel, Engineering, and Radiological Research & U.S. Geological Survey: Washington, DC, USA, 2007.
- U.S. Nuclear Regulatory Commission. Generic Environmental Impact Statement for In-Situ Leach Uranium Milling Facilities; Final Report; U.S. Nuclear Regulatory Commission: Rockville, MD, USA, 2009; Volume 1–2, p. 1295.
- National Academy of Science. Evolutionary and Revolutionary Technologies for Mining; National Academy Press: Washington, DC, USA, 2002; p. 102. [Google Scholar]
- Nicot, J.-P.; Hebel, A.K.; Ritter, S.M.; Walden, S.; Baier, R.; Galusky, P.; Beach, J.; Kyle, R.; Symank, L.; Breton, C. Current and Projected Water Use in the Texas Mining and Oil and Gas Industry; Bureau of Economic Geology: Austin, TX, USA, 2011; p. 381. [Google Scholar]
- Marlowe, J.I. Environmental Overview of Unconventional Extraction of Uranium; Final Report Nov 80–Feb 81; PB-84-141167 United StatesWed Feb 06 18:37:12 EST 2008NTIS, PC A07/MF A01.EDB-84-048949English; Wapora, Inc.: Chevy Chase, MD, USA, 1984; 132p. [Google Scholar]
- Younger, P.L. The water footprint of mining operations in space and time—A new paradigm for sustainability assessments? In Proceedings of the Australasian Institute of Mining and Metallurgy Publication Series, Brisbane, Australia, 14–16 November; pp. 13–21.
- Kasper, D.R.; Hartin, H.W.; Munsey, L.D.; Bhappu, R.B.; Chase, C.K. Environmental Assessment of In Situ Mining; Open File Report 101-80; U.S. Bureau of Mines: Washington, DC, USA, 1979; p. 292.
- Henry, C.D.; Galloway, W.E.; Smith, G.E. Considerations in the Extraction of Uranium from a Fresh-Water Aquifer Miocene Oakville Sandstone, South Texas; Report of Investigations No. 126; Bureau of Economic Geology: Austin, TX, USA, 1982. [Google Scholar]
- Biwer, B.M.; LePoire, D.J.; Kamboj, S.; Chang, Y.-S. Technical Manual and User’s Guide for MILDOS-AREA Version 4; U.S. Nuclear Regulatory Commission: Argonne, IL, USA, 2016; p. 198.
- Mudd, G.M. Radon releases from Australian uranium mining and milling projects: Assessing the UNSCEAR approach. J. Environ. Radioact. 2008, 99, 288–315. [Google Scholar] [CrossRef] [PubMed]
- Brown, S.H.; Smith, R.C. A model for determining the overall radon release rate and annual source term for a commercial in-situ leach uranium facility. In Proceedings of the International Conference on Radiation Hazards in Mining: Control, Measurement and Medical Aspects, Colorado School of Mines, Golden, CO, USA, 4–9 October 1981; pp. 794–800. [Google Scholar]
- Gallegos, T.J.; Stengel, V.G.; Scott, A.; Qi, S.L. Data Compiled on historical water use, spatial land disturbance, aquifer disturbance and uranium produced by In Situ Recovery of Uranium from Sandstone Hosted Uranium Deposits in the South Texas Coastal Plain, USA; U.S. Geological Survey Data Release. 2022. Available online: https://doi.org/10.5066/P9U7QKC1 (accessed on 9 March 2022).
- Texas Commission on Environmental Quality. Permit to Conduct Underground Injection under Provisions of Chapter 26, Texas Water Code; Permit No. 02381 for Everest Minerals Corporation Mt. Lucas Mining Project; Texas Commission on Environmental Quality: Austin, TX, USA, 12 January 1981; p. 19.
- U.S. Environmental Protection Agency. Underground Injection Control (UIC) Aquifer Exemption Data. Available online: https://www.epa.gov/uic/aquifer-exemption-data (accessed on 5 March 2019).
- U.S. Environmental Protection Agency. Aquifer Exemptions in the Underground Injection Control Program. Available online: https://www.epa.gov/uic/aquifer-exemptions-underground-injection-control-program (accessed on 15 November 2021).
- IAEA. An Overview of Operations-Annexes Companion CD: IAEA Nuclear Energy Series: In Situ Leach Uranium Mining; International Atomic Energy Agency: Vienna, Austria, 2016; p. 153. [Google Scholar]
- Heitzenrater, R. Texas Commission on Environmental Quality Class III Injection Volumes. 2017. Available online: https://www.tceq.texas.gov/assets/public/permitting/waste/ihw/FY2017%20RCRA%20UIC%20QAPP%20Final.pdf (accessed on 9 March 2022).
- Texas Commission on Environmental Quality. Permit to conduct Class I Underground Injection under Provisions of Chapters 26 & 27 Texas Water Code; Permit WDW-248 Issued to URI, Inc.; Texas Commission on Environmental Quality: Austin, TX, USA, 4 May 2006; p. 8.
- Uranium Producers of America. Comments on Docket ID Number EPAHQ-OAR-2012-0788; FRL-9909-20-OAR RIN 2060-AP43 Health and Environmental Protection Standards for Uranium and Thorium Mill Tailings Proposed Rule; Federal Register; Volume 80, Number 16, Monday, 26 January 2015/Proposed Rule. 27 May 2015; Environmental Protection Agency: Washington, DC, USA, 2015.
- Walton-Day, K.; Blake, J.M.; Seal, R.R.; Gallegos, T.J.; Dupre, J.; Becher, K. Geo-enviromental Model for Roll-type Uranium Deposits in the Texas Gulf Coast. Minerals, 2022; in review. [Google Scholar]
- Hall, S. Groundwater Restoration at Uranium In-Situ Recovery Mines, South Texas Coastal Plain; U.S. Geological Survey Open File Report 2009-1143; U.S. Geological Survey: Reston, VI, USA, 2009; p. 31.
- Pelizza, M. Personal Communication Regarding Water Use During In Situ Recovery of Uranium in Texas; Uranium Resources, Inc.: Centennial, CO, USA, 2016. [Google Scholar]
- Pelizza, M.S.; McCarn, D.W. Licensing of in situ leach recovery operations for the Crownpoint and Church Rock uranium deposits, New Mexico: A case study, Recent developments in uranium resources and production with emphasis on in situ leach mining. In IAEA-TECDOC-1396; IAEA: Vienna, Austria, 2004; pp. 153–173. [Google Scholar]
- IAEA. IAEA Nuclear Energy Series: In Situ Leach Uranium Mining: An Overview of Operations; International Atomic Energy Agency: Vienna, Austria, 2016; p. 76. [Google Scholar]
- Everest Minerals Corporation. Environmental Assessment Related to Mt. Lucas Project Live Oak County, Texas; Division of Environmental Programs, Bureau of Radiation Control, Texas Department of Health: Arlington, TX, USA, 1981.
- Dahlkamp, F.J. Uranium Deposits of the World: USA and Latin America; Springer: Berlin/Heidelberg, Germany, 2010. [Google Scholar]
- U.S. Geological Survey. Geologic Database of Texas. Available online: https://databasin.org/datasets/83f6b3c68aaa4fdb8f2f22e7aeb7818f/ (accessed on 18 February 2022).
- Young, S.C.; Ewing, T.; Hamlin, S.; Baker, E.; Lupton, D. Updating the Hydrogeologic Framework of the Northern Portion of the Gulf Coast Aquifer; Texas Water Development Board. 2012; p. 285. Available online: https://www.twdb.texas.gov/publications/reports/contracted_reports/doc/1004831113_GulfCoast.pdf (accessed on 12 October 2021).
- Young, S.C.; Knox, P.R.; Baker, E.; Budge, T.; Hamlin, S.; Galloway, B.; Kalbouss, R.; Deeds, N. Hydrostratigraphy of the Gulf Coast Aquifer from the Brazos River to the Rio Grande; Texas Water Development Board. 2010; p. 203. Available online: https://www.twdb.texas.gov/publications/reports/contracted_reports/doc/0804830795_Gulf_coast_hydrostrati.graphy_wcover.pdf (accessed on 12 October 2021).
- Morton, R.A.; Jirik, L.A.; Galloway, W.E. Middle-Upper Miocene Depositional Sequences of the Texas Coastal Plain and Continental Shelf; Bureau of Economic Geology Report of Investigations No. 174; The University of Texas at Austin: Austin, TX, USA, 1988; p. 40. [Google Scholar]
- Hall, S.M.; Mihalasky, M.J.; Tureck, K.R.; Hammarstrom, J.M.; Hannon, M.T. Genetic and grade and tonnage models for sandstone-hosted roll-type uranium deposits, Texas Coastal Plain, USA. Ore Geol. Rev. 2017, 80, 716–753. [Google Scholar] [CrossRef]
- Baker, E.T., Jr. Stratigraphic and Hydrogeologic Framework of Part of the Coastal Plain of Texas; Texas Department of Water Resources Report 236; Texas Department of Water Resources: Austin, TX, USA, 1979; p. 43.
- Eargle, D.H. Nomenclature of Formations of Claiborne Group, Middle Eocene, Coastal Plain of Texas; Contributions to General Geology, 1967; U.S. Geological Survey Bulletin 1251-D; United States Government Printing Office: Washington, DC, USA, 1968; pp. D1–D25. [Google Scholar] [CrossRef]
- George, P.G.; Mace, R.E.; Petrossian, R. Aquifers of Texas; Report 380; Texas Water Development Board: Austin, TX, USA, 2011; p. 182. [Google Scholar]
- Ryder, P.D. Ground water atlas of the United States: Segment 4, Oklahoma, Texas, U.S. Geological Survey Hydrologic Atlas 730–E; U.S. Geological Survey: Reston, VI, USA, 1996; p. 30. Available online: https://pubs.er.usgs.gov/publication/ha730E (accessed on 9 March 2022).
- Uranium Resources Inc. Environmental Assessment: Rogers In Situ Uranium Leach Project; IAEA: Vienna, Austria, 1986. [Google Scholar]
- Dean, J.; U.S. Environmental Protection Agency. Personal Communication Regarding the Aquifer Exemption Data in Texas; EPA: Washington, DC, USA, 2018.
- Grene, C.J. Underground Injection Control Technical Assistance Manual: Subsurface Disposal and Solution Mining; Report 274; Texas Department of Water Resources: Austin, TX, USA, 1983.
- Everest Minerals Corporation; Mt. Lucas/Mt. Lucas West of Everest Minerals Corporation. Application for Amendement to the Texas Department of Water Resources; Permit No. 02381 Production Area No. 8; Division of Environmental Programs, Bureau of Radiation Control, Texas Department of Health: Corpus Christi, TX, USA, 1983; p. 113. [Google Scholar]
- Everest Exploration, Inc. Application for Production Area Authorization In Situ Uranium Mining Class III Injection Wells; UR02318-081; Texas Department of Water Resources: Corpus Christi, TX, USA, 1986; p. 117. [Google Scholar]
- Clay, J. Personal Communication Regarding Water Use During In Situ Recovery of Uranium in Wyoming; Cameco, Inc.: Saskatoon, SK, Canada, 2014. [Google Scholar]
- SC&A, Inc. Technical and Regulatory Support to Develop a Rulemaking to Potentially Modify the NESHAP Subpart W Standard for Radon Emissions from Operating Mill Tailings (40 CFR 61.250); Report prepared for EPA, Contract Number EP-D-10-042, Work Assignments No. 1-09 & 2-03, Support to Develop a Background Information Document (BID); SC&A, Inc.: Vienna, VA, USA, 2016; p. 142. [Google Scholar]
- Mihalasky, M.J.; Hall, S.M.; Hammarstrom, J.M.; Tureck, K.R.; Hannon, M.T.; Breit, G.N.; Zielinski, R.A.; Elliott, B. Assessment of undiscovered sandstone-hosted uranium resources in the Texas Coastal Plain, 2015; U.S. Geological Survey Fact Sheet: 2015-3069; U.S. Geological Survey: Reston, VA, USA, 2015; p. 4.
- Uranium Resources, Inc. United States Securities and Exchange Commission. Form 10-K, Annual Report Pursuant to Section 13 or 15(D) of The Securities Exchange Act of 1934; For the Fiscal Year Ended 31 December 2016; Uranium Resources, Inc.: Centennial, CO, USA, 2016; p. 101. [Google Scholar]
Publisher’s Note: MDPI stays neutral with regard to jurisdictional claims in published maps and institutional affiliations. |
© 2022 by the authors. Licensee MDPI, Basel, Switzerland. This article is an open access article distributed under the terms and conditions of the Creative Commons Attribution (CC BY) license (https://creativecommons.org/licenses/by/4.0/). Writings prepared by U.S. Government employees as part of their official duties, including this paper, cannot be copyrighted and are in the public domain.












