Raman Spectroscopic Studies of Pyrite at High Pressure and High Temperature
Abstract
:1. Introduction
2. Materials and Methods
2.1. High- and Low-Temperature Experiments
2.2. Simultaneous High-Pressure and High-Temperature Experiments
3. Results and Discussion
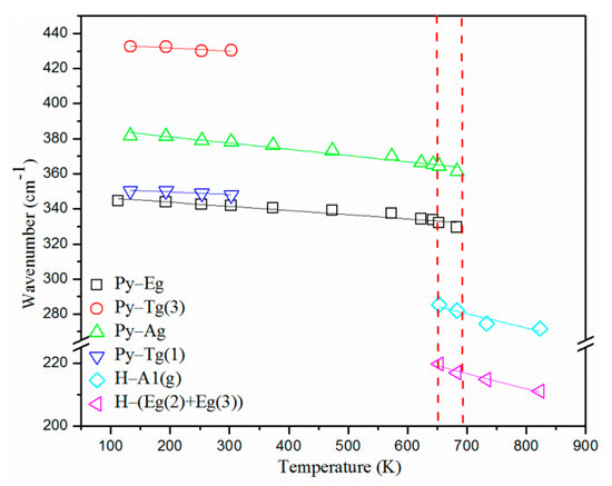
3.1. High- and Low-Temperature Study of Pyrite at Ambient Pressure
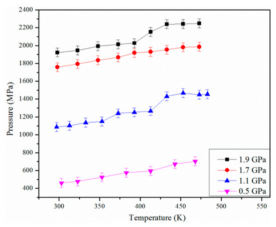
3.2. Simultaneous High-Temperature and High-Pressure Study of Pyrite
4. Conclusions
Author Contributions
Funding
Data Availability Statement
Acknowledgments
Conflicts of Interest
References
- Vogt, H.; Chattopadhyay, T.; Stolz, H.J. Complete first-order Raman spectra of the pyrite structure compounds FeS2, MnS2 and SiP2. J. Phys. Chem. Solids 1983, 44, 869–873. [Google Scholar] [CrossRef]
- Kleppe, A.K.; Jephcoat, A.P. High-pressure Raman spectroscopic studies of FeS2 pyrite. Mineral. Mag. 2004, 68, 433–441. [Google Scholar] [CrossRef]
- Ushioda, S. Raman scattering from phonons in iron pyrite (FeS2). Solid State Commun. 1972, 10, 307–310. [Google Scholar] [CrossRef]
- Anastassakis, E.; Perry, C.H. Light scattering and IR measurements in XS2 pryite-type compounds. J. Chem. Phys. 1976, 64, 3604–3609. [Google Scholar] [CrossRef]
- Mernagh, T.P.; Trudu, A.G. A laser Raman microprobe study of some geologically important sulphide minerals. Chem. Geol. 1993, 103, 113–127. [Google Scholar] [CrossRef]
- Schoenlaub, R.A. Oxidation of pyrite. J. Am. Ceram. Soc. 1969, 52, 40–43. [Google Scholar] [CrossRef]
- Jorgensen, F.; Moyle, F.J. Periodic thermal instability during the isothermal oxidation of pyrite. Metall. Mater. Trans. B 1981, 12, 769–770. [Google Scholar] [CrossRef]
- Music, S.; Popović, S.; Ristić, M. Thermal decomposition of pyrite. J. Radioanal. Nucl. Chem. 1992, 162, 217–226. [Google Scholar] [CrossRef]
- Inge, I.M.; Jan, Y.; Heidi, V.; Dirk, V.F.; Jules, M.; Lucien, C.V.P.; Grazyna, G.; Piotr, W. Study of coal-derived pyrite and its conversion products using atmospheric pressure temperature-programmed reduction (AP-TP). Energy Fuels 1995, 9, 950–955. [Google Scholar]
- Fegley, B., Jr.; Lodders, K.; Treiman, A.H.; Klingelhöfer, G. The rate of pyrite decomposition on the surface of Venus. Icarus 1995, 115, 159–180. [Google Scholar] [CrossRef]
- Corradi, A.B.; Leonelli, C.; Manfredini, T.; Romagnoli, M. Quantitative determination of pyrite in, ceramic clay raw materials by DTA. Thermochim. Acta 1996, 287, 101–109. [Google Scholar] [CrossRef]
- Yi, P.; Yu, Q.; Zong, H. Thermodynamic analysis for chemical desulfurization of pyrite in coal. Coal Convers. 1999, 22, 47–52. [Google Scholar]
- Li, H.; Zhang, S. Detection of mineralogical changes in pyrite using measurements of temperature- dependence susceptibilities. Chin. J. Geophys. 2005, 48, 1384–1391. [Google Scholar] [CrossRef]
- Merkel, S.; Jephcoat, A.P.; Shu, J.; Mao, H.; Gillet, P.; Hemley, R.J. Equation of state, elasticity, and shear strength of pyrite under high pressure. Phys. Chem. Miner. 2002, 29, 1–9. [Google Scholar] [CrossRef]
- Cervantes, P.; Slanic, Z.; Bridges, F.; Knittle, E.; Williams, Q. The band gap and electrical resistivity of FeS2-pyrite at high pressures. J. Phys. Chem. Solids 2002, 63, 1927–1933. [Google Scholar] [CrossRef]
- Yuan, X.; Zheng, H. In situ Raman spectroscopic studies of FeS2 pyrite up to 675 K and 2100 MPa using a hydrothermal diamond anvil cell. Mineral. Mag. 2015, 79, 1–10. [Google Scholar] [CrossRef]
- Liu, K.; Dai, L.; Li, H.; Hu, H.; Wu, L.; Zhuang, Y.; Pu, C.; Yang, L. Migration of impurity level reflected in the electrical conductivity variation for natural pyrite at high temperature and high pressure. Phys. Chem. Miner. 2018, 45, 85–92. [Google Scholar] [CrossRef]
- Bassett, W.A. High pressure-temperature aqueous systems in the hydrothermal diamond anvil cell (HDAC). Eur. J. Mineral. 2003, 15, 773–780. [Google Scholar] [CrossRef]
- Schmidt, C.; Ziemann, M.A. In-situ Raman spectroscopy of quartz: A pressure sensor for hydrothermal diamond-anvil cell experiments at elevated temperatures. Am. Mineral. 2000, 85, 1725–1734. [Google Scholar] [CrossRef]
- Lutz, H.D.; Zwinscher, J. Lattice dynamics of pyrite FeS2 -polarizable-ion model. Phys. Chem. Miner. 1996, 23, 497–502. [Google Scholar] [CrossRef]
- Database of Raman Spectra. X-ray Diffraction and Chemistry Data for Minerals. Available online: https://rruff.info/hematite/display=default/R050300 (accessed on 10 January 2022).
- Shim, S.; Duffy, T. Raman spectroscopy of Fe2O3 to 62 GPa. Am. Mineral. 2002, 87, 318–326. [Google Scholar] [CrossRef]








| Pyrite | S (%) | Fe (%) | Hg (%) | Mo (%) | Au (%) | Co (%) | Pb (%) | Zn (%) | Total (%) |
|---|---|---|---|---|---|---|---|---|---|
| No.1 | 52.43 | 46.37 | 1.08 | 0.47 | 0.00 | 0.10 | 0.11 | 0.06 | 100.62 |
| No.2 | 52.77 | 46.49 | 0.56 | 0.57 | 0.20 | 0.11 | 0.10 | 0.06 | 100.87 |
| No.3 | 52.64 | 45.97 | 0.66 | 0.51 | 0.34 | 0.09 | 0.07 | 0.00 | 100.28 |
| No.4 | 52.54 | 46.18 | 0.00 | 0.50 | 0.05 | 0.09 | 0.12 | 0.18 | 99.67 |
| average | 52.60 | 46.25 | 0.57 | 0.51 | 0.15 | 0.10 | 0.10 | 0.07 | 100.36 |
| ν0 (cm−1) (This Study) | ν0 (cm−1) (Kleppe and Jephcoat [2]) | Comments | Symmetries and Assignments |
|---|---|---|---|
| 342 | 344 | Eg, S2 libration | |
| 348 | 350 | Weak and need peak separation | Tg(1), coupled libration and stretch |
| 378 | 379 | 377 cm−1 is covered by 379 cm−1 | Ag, S–S in phase stretching Tg(2), S–S out-of-phase stretching |
| 429 | 430 | Appear in certain orientations and lower temperature | Tg(3), coupled libration and stretch |
| νi (cm−1) | Δν | a × 105 | b × 102 | c | R2 |
|---|---|---|---|---|---|
| Eg: 329.94 | −14.432 | −4 | 1.09 | 342.91 | 0.9780 |
| Tg(1): 347.87 | −2.393 | −9 | 2.72 | 347.97 | 0.8504 |
| Ag: 361.25 | −20.302 | −5 | 0.78 | 381.01 | 0.9907 |
| Tg(3): 430.28 | −2.405 | 7 | −4.66 | 437.99 | 0.8599 |
| H-(Eg(2) + Eg(3)): 274.19 | −11.201 | −4 | 1.09 | 342.91 | 0.9780 |
| H-A1g(1): 211.04 | −8.675 | 20 | −32.84 | 353.89 | 0.9709 |
| νi (cm−1) | Δν | a (cm−1/K) | c | R2 |
|---|---|---|---|---|
| Eg: 329.94 | −14.432 | −0.0245 | 348.49 | 0.9394 |
| Tg(1): 347.87 | −2.393 | −0.0129 | 352.05 | 0.7549 |
| Ag: 361.25 | −20.301 | −0.0366 | 388.13 | 0.9654 |
| Tg(3): 430.28 | −2.405 | −0.0181 | 435.09 | 0.8289 |
| H-(Eg(2) + Eg(3)): 274.19 | −11.201 | −0.0788 | 336.08 | 0.8123 |
| H-A1g(1): 211.04 | −8.675 | −0.0505 | 251.91 | 0.9426 |
Publisher’s Note: MDPI stays neutral with regard to jurisdictional claims in published maps and institutional affiliations. |
© 2022 by the authors. Licensee MDPI, Basel, Switzerland. This article is an open access article distributed under the terms and conditions of the Creative Commons Attribution (CC BY) license (https://creativecommons.org/licenses/by/4.0/).
Share and Cite
Chen, J.; Li, H.; Yuan, Y.; Zhang, M.; Shuai, S.; Wan, J. Raman Spectroscopic Studies of Pyrite at High Pressure and High Temperature. Minerals 2022, 12, 332. https://doi.org/10.3390/min12030332
Chen J, Li H, Yuan Y, Zhang M, Shuai S, Wan J. Raman Spectroscopic Studies of Pyrite at High Pressure and High Temperature. Minerals. 2022; 12(3):332. https://doi.org/10.3390/min12030332
Chicago/Turabian StyleChen, Juan, Heping Li, Yi Yuan, Mengxue Zhang, Shuhang Shuai, and Jingjing Wan. 2022. "Raman Spectroscopic Studies of Pyrite at High Pressure and High Temperature" Minerals 12, no. 3: 332. https://doi.org/10.3390/min12030332
APA StyleChen, J., Li, H., Yuan, Y., Zhang, M., Shuai, S., & Wan, J. (2022). Raman Spectroscopic Studies of Pyrite at High Pressure and High Temperature. Minerals, 12(3), 332. https://doi.org/10.3390/min12030332
