Ionic Liquids for the Selective Solvent Extraction of Lithium from Aqueous Solutions: A Theoretical Selection Using COSMO-RS
Abstract
:1. Introduction
2. Model Development and Computation Procedure
2.1. Predictive Method for Selectivity Calculation
2.2. Computation Procedure
3. Results and Discussion
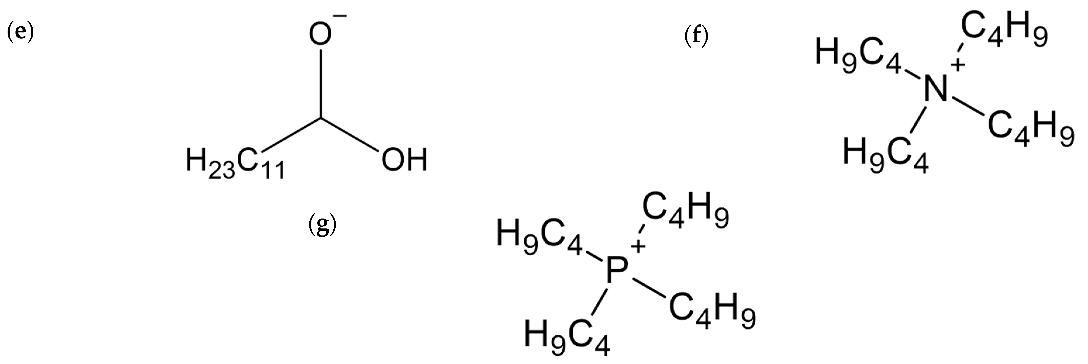
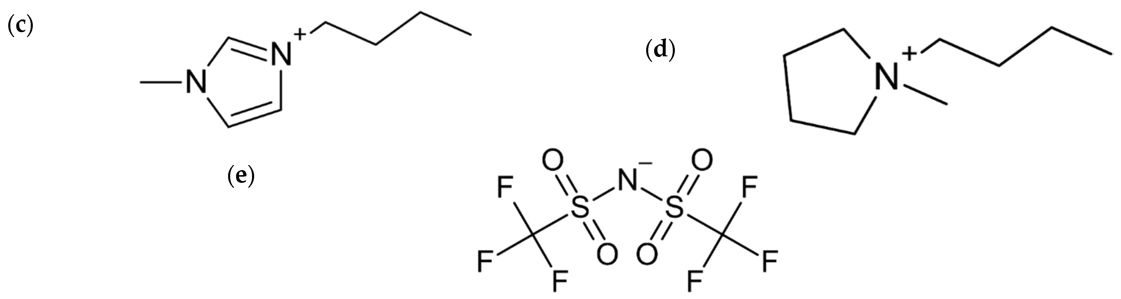
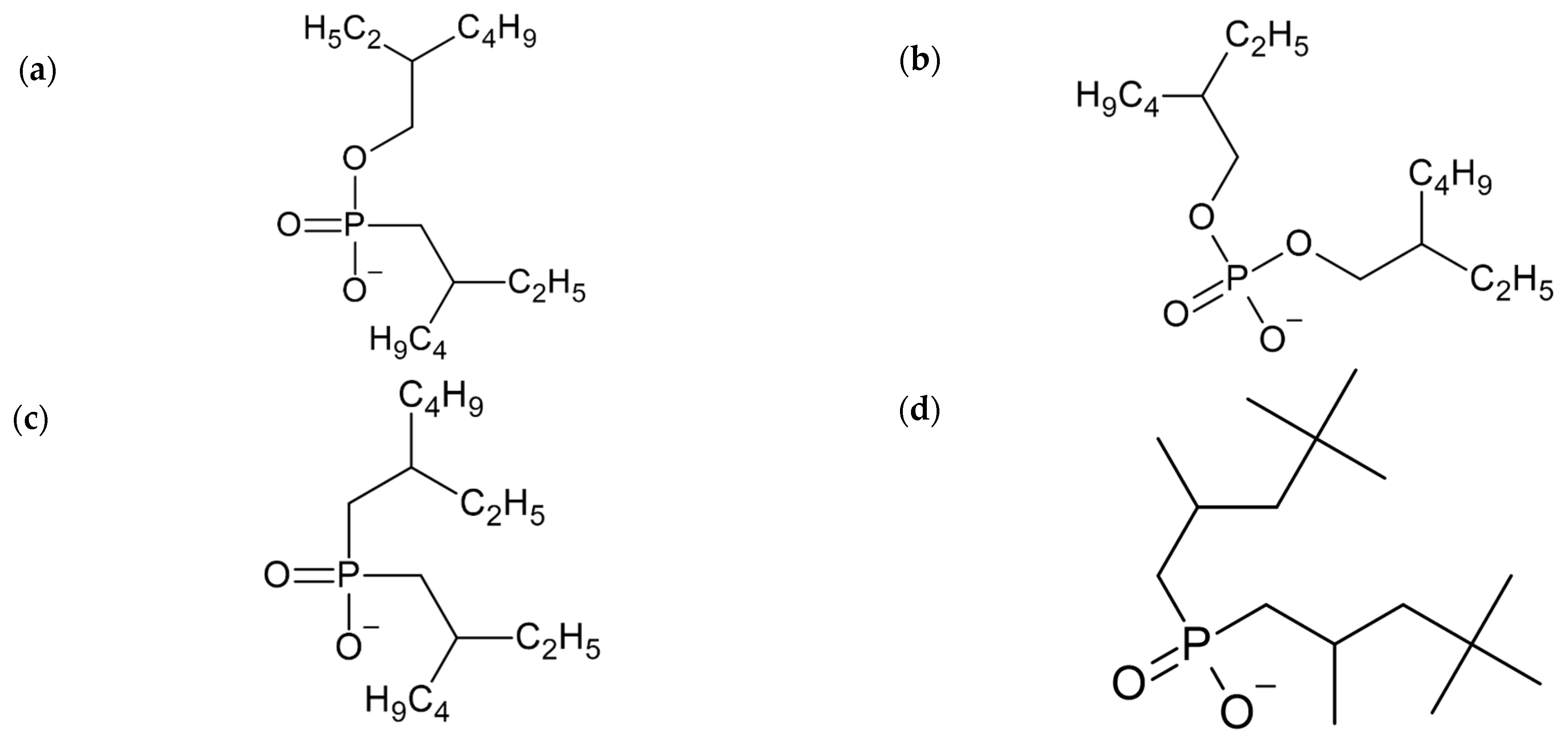
3.1. Effect of IL Anion on The Extraction of Lithium
3.2. Effect of the IL Cation on Extraction and Selectivity
3.3. Proposal of ILs for Selective Extraction of Lithium
4. Conclusions
Author Contributions
Funding
Data Availability Statement
Conflicts of Interest
References
- Li, H.; Li, H.; Liang, J.; Yan, H.; Cai, Z. Study on the Synergistic Extraction of Lithium from Spent Lithium Cobalt Oxide Batteries by Molten Salt Electrolysis and Two-Step Precipitation Method. Crystals 2021, 11, 1163. [Google Scholar] [CrossRef]
- Waengwan, P.; Eksangsri, T. Recovery of Lithium from Simulated Secondary Resources (LiCO3) through Solvent Extraction. Sustainability 2020, 12, 7179. [Google Scholar] [CrossRef]
- Hoshino, T. Preliminary studies of lithium recovery technology from seawater by electrodialysis using ionic liquid membrane. Desalination 2013, 317, 11–16. [Google Scholar] [CrossRef]
- Xu, W.; Liu, D.; He, L.; Zhao, Z. A Comprehensive Membrane Process for Preparing Lithium Carbonate from High Mg/Li Brine. Membranes 2020, 10, 371. [Google Scholar] [CrossRef]
- Liu, G.; Zhao, Z.; Ghahreman, A. Novel approaches for lithium extraction from salt-lake brines: A review. Hydrometallurgy 2019, 187, 81–100. [Google Scholar] [CrossRef]
- Stringfellow, W.T.; Dobson, P.F. Technology for the Recovery of Lithium from Geothermal Brines. Energies 2021, 14, 6805. [Google Scholar] [CrossRef]
- Sun, X.; Hao, H.; Zhao, F.; Liu, Z. Tracing global lithium flow: A trade-linked material flow analysis. Resour. Conserv. Recycl. 2017, 124, 50–61. [Google Scholar] [CrossRef]
- Graham, J.D.; Rupp, J.A.; Brungard, E. Lithium in the Green Energy Transition: The Quest for Both Sustainability and Security. Sustainability 2021, 13, 11274. [Google Scholar] [CrossRef]
- Wang, Y.; Liu, H.; Fan, J.; Liu, X.; Hu, Y.; Hu, Y.; Zhou, Z.; Ren, Z. Recovery of Lithium Ions from Salt Lake Brine with a High Magnesium/Lithium Ratio Using Heteropolyacid Ionic Liquid. ACS Sustain. Chem. Eng. 2018, 7, 3062–3072. [Google Scholar] [CrossRef]
- Mishra, B.B.; Devi, N. Solvent extraction and separation of europium (III) using a phosphonium ionic liquid and an organophosphorus extractant—A comparative study. J. Mol. Liq. 2018, 271, 389–396. [Google Scholar] [CrossRef]
- Zante, G.; Masmoudi, A.; Barillon, R.; Trébouet, D.; Boltoeva, M. Separation of lithium, cobalt and nickel from spent lithium-ion batteries using TBP and imidazolium-based ionic liquids. J. Ind. Eng. Chem. 2020, 82, 269–277. [Google Scholar] [CrossRef]
- Shi, C.; Duan, D.; Jia, Y.; Jing, Y. A highly efficient solvent system containing ionic liquid in tributyl phosphate for lithium ion extraction. J. Mol. Liq. 2014, 200, 191–195. [Google Scholar] [CrossRef]
- Gao, D.; Yu, X.; Guo, Y.; Wang, S.; Liu, M.; Deng, T.; Chen, Y.; Belzile, N. Extraction of lithium from salt lake brine with triisobutyl phosphate in ionic liquid and kerosene. Chem. Res. Chin. Univ. 2015, 31, 621–626. [Google Scholar] [CrossRef]
- Zhang, L.; Shi, D.; Li, L.; Peng, X.; Song, F.; Rui, H. Solvent extraction of lithium from ammoniacal solution using thenoyltrifluoroacetone and neutral ligands. J. Mol. Liq. 2019, 274, 746–751. [Google Scholar] [CrossRef]
- Zhou, Z.; Liang, S.; Qin, W.; Fei, W. Extraction Equilibria of Lithium with Tributyl Phosphate, Diisobutyl Ketone, Acetophenone, Methyl Isobutyl Ketone, and 2-Heptanone in Kerosene and FeCl3. Ind. Eng. Chem. Res. 2013, 52, 7912–7917. [Google Scholar] [CrossRef]
- Zhang, L.; Li, L.; Shi, D.; Peng, X.; Song, F.; Nie, F.; Han, W. Recovery of lithium from alkaline brine by solvent extraction with β-diketone. Hydrometallurgy 2018, 175, 35–42. [Google Scholar] [CrossRef]
- Nguyen, T.H.; Lee, M.S. A Review on the Separation of Lithium Ion from Leach Liquors of Primary and Secondary Resources by Solvent Extraction with Commercial Extractants. Processes 2018, 6, 55. [Google Scholar] [CrossRef] [Green Version]
- Pranolo, Y.; Zhu, Z.; Cheng, C.Y. Separation of lithium from sodium in chloride solutions using SSX systems with LIX 54 and Cyanex 923. Hydrometallurgy 2015, 154, 33–39. [Google Scholar] [CrossRef]
- Shi, C.; Jing, Y.; Xiao, J.; Wang, X.; Yao, Y.; Jia, Y. Solvent extraction of lithium from aqueous solution using non-fluorinated functionalized ionic liquids as extraction agents. Sep. Purif. Technol. 2017, 172, 473–479. [Google Scholar] [CrossRef]
- Li, Z.; Mercken, J.; Li, X.; Riaño, S.; Binnemans, K. Efficient and Sustainable Removal of Magnesium from Brines for Lithium/Magnesium Separation Using Binary Extractants. ACS Sustain. Chem. Eng. 2019, 7, 19225–19234. [Google Scholar] [CrossRef]
- Bai, R.; Wang, J.; Wang, D.; Zhang, Y.; Cui, J. Selective separation of lithium from the high magnesium brine by the extraction system containing phosphate-based ionic liquids. Sep. Purif. Technol. 2021, 274, 119051. [Google Scholar] [CrossRef]
- Wang, X.; Jing, Y.; Liu, H.; Yao, Y.; Shi, C.; Xiao, J.; Wang, S.; Jia, Y. Extraction of lithium from salt lake brines by bis[(trifluoromethyl)sulfonyl]imide-based ionic liquids. Chem. Phys. Lett. 2018, 707, 8–12. [Google Scholar] [CrossRef]
- Zhao, X.; Wu, H.; Duan, M.; Hao, X.; Yang, Q.; Zhang, Q.; Huang, X. Liquid-liquid extraction of lithium from aqueous solution using novel ionic liquid extractants via COSMO-RS and experiments. Fluid Phase Equilibria 2018, 459, 129–137. [Google Scholar] [CrossRef]
- Klamt, A.; Eckert, F. COSMO-RS: A novel and efficient method for the a priori prediction of thermophysical data of liquids. Fluid Phase Equilibria 2000, 172, 43–72. [Google Scholar] [CrossRef] [Green Version]
- Ali, S.M.; Pahan, S.; Bhattacharyya, A.; Mohapatra, P.K. Complexation thermodynamics of diglycolamide with f-elements: Solvent extraction and density functional theory analysis. Phys. Chem. Chem. Phys. 2016, 18, 9816–9828. [Google Scholar] [CrossRef] [PubMed]
- Hu, F.; Hu, H.; Yang, J.; Luo, Y.; Lundstrom, M.; Ji, G.; Hu, J. Preferential extraction of Ni(II) over Co(II) by arylsulphonic acid in the presence of pyridinecarboxylate ester: Experimental and DFT calculations. J. Mol. Liq. 2019, 291, 111253. [Google Scholar] [CrossRef]
- Pahan, S.; Boda, A.; Ali, S.M. Density functional theoretical analysis of structure, bonding, interaction and thermodynamic selectivity of hexavalent uranium (UO22+) and tetravalent plutonium (Pu4+) ion complexes of tetramethyl diglycolamide (TMDGA). Theor. Chim. Acta 2015, 134, 41. [Google Scholar] [CrossRef]
- Olea, F.; Rosales, G.; Quintriqueo, A.; Romero, J.; Pizarro, J.; Ortiz, C.; Quijada-Maldonado, E. Theoretical prediction of selectivity in solvent extraction of La(III) and Ce(III) from aqueous solutions using β-diketones as extractants and kerosene and two imidazolium-based ionic liquids as diluents via quantum chemistry and COSMO-RS calculations. J. Mol. Liq. 2021, 325, 114655. [Google Scholar] [CrossRef]
- Shi, C.; Jing, Y.; Xiao, J.; Wang, X.; Jia, Y. Liquid-liquid extraction of lithium using novel phosphonium ionic liquid as an extractant. Hydrometallurgy 2017, 169, 314–320. [Google Scholar] [CrossRef]
- Shi, C.; Jing, Y.; Jia, Y. Solvent extraction of lithium ions by tri-n-butyl phosphate using a room temperature ionic liquid. J. Mol. Liq. 2016, 215, 640–646. [Google Scholar] [CrossRef]
- Gao, D.; Guo, Y.; Yu, X.; Wang, S.; Deng, T. Extracting Lithium from the High Concentration Ratio of Magnesium and Lithium Brine Using Imidazolium-Based Ionic Liquids with Varying Alkyl Chain Lengths. J. Chem. Eng. Jpn. 2016, 49, 104–110. [Google Scholar] [CrossRef]
- Zhou, W.; Li, Z.; Xu, S. Extraction of Lithium from Magnesium-Rich Solution Using Tri-n-butyl Phosphate and Sodium Hexafluorophosphate. J. Sustain. Met. 2021, 7, 1368–1378. [Google Scholar] [CrossRef]
- Haynes, W. Handbook of Chemistry and Physics; CRC Press: Boca Raton, FL, USA, 2017; p. 12. [Google Scholar]
- Brown, I.D. What factors determine cation coordination numbers? Acta Crystallogr. Sect. B Struct. Sci. 1988, 44, 545–553. [Google Scholar] [CrossRef]
- Giffin, G.A.; Moretti, A.; Jeong, S.; Passerini, S. Complex Nature of Ionic Coordination in Magnesium Ionic Liquid-Based Electrolytes: Solvates with Mobile Mg2+ Cations. J. Phys. Chem. C 2014, 118, 9966–9973. [Google Scholar] [CrossRef]
- Li, Z.; Binnemans, K. Opposite selectivities of tri- n -butyl phosphate and Cyanex 923 in solvent extraction of lithium and magnesium. AIChE J. 2021, 67, e17219. [Google Scholar] [CrossRef]
- Masmoudi, A.; Zante, G.; Trébouet, D.; Barillon, R.; Boltoeva, M. Understanding the Mechanism of Lithium Ion Extraction Using Tributyl Phosphate in Room Temperature Ionic Liquid. Solvent Extr. Ion Exch. 2020, 38, 777–799. [Google Scholar] [CrossRef]
- Weigend, F.; Ahlrichs, R. Balanced basis sets of split valence, triple zeta valence and quadruple zeta valence quality for H to Rn: Design and assessment of accuracy. Phys. Chem. Chem. Phys. 2005, 7, 3297–3305. [Google Scholar] [CrossRef]
- Jana, G.; Jha, R.; Pan, S.; Chattaraj, P.K. Microsolvation of lithium–phosphorus double helix: A DFT study. Theor. Chim. Acta 2019, 138, 75. [Google Scholar] [CrossRef]
- Ganesamoorthy, C.; Wölper, C.; Nizovtsev, A.S.; Schulz, S. Synthesis and Structural Characterization of Magnesium-Substituted Polystibides [(LMg)4Sb8]. Angew. Chem. Int. Ed. 2016, 55, 4204–4209. [Google Scholar] [CrossRef]
- Nhung, N.T.A. Quantum Chemical Assessment of Magnesium Hydride Complexes with Bistriphenylphosphine of Group 14 Elements [H2Mg-{E(PPh3)2}] (E = C to Pb). Vietnam J. Chem. 2018, 56, 445–451. [Google Scholar]
- Arrowsmith, M.; Auerhammer, D.; Bertermann, R.; Braunschweig, H.; Celik, M.A.; Erdmannsdörfer, J.; Krummenacher, I.; Kupfer, T. From Borane to Borylene without Reduction: Ambiphilic Behavior of a Monovalent Silylisonitrile Boron Species. Angew. Chem. Int. Ed. 2017, 56, 11263–11267. [Google Scholar] [CrossRef] [PubMed] [Green Version]
- Perdew, J.P. Density-functional approximation for the correlation energy of the inhomogeneous electron gas. Phys. Rev. B 1986, 33, 8822–8824. [Google Scholar] [CrossRef] [PubMed]
- Caldeweyher, E.; Mewes, J.-M.; Ehlert, S.; Grimme, S. Extension and evaluation of the D4 London-dispersion model for periodic systems. Phys. Chem. Chem. Phys. 2020, 22, 8499–8512. [Google Scholar] [CrossRef] [PubMed]
- Serena software. PCModel V10.0, Molecular Modeling Software; Serena Software: Bloomington, IN, USA, 2004. [Google Scholar]
- Smirnov, P.R.; Trostin, V.N. Structure of the nearest surrounding of the Li+ ion in aqueous solutions of its salts. Russ. J. Gen. Chem. 2006, 76, 175–182. [Google Scholar] [CrossRef]
- Di Tommaso, D.; de Leeuw, N.H. Structure and dynamics of the hydrated magnesium ion and of the solvated magnesium carbonates: Insights from first principles simulations. Phys. Chem. Chem. Phys. 2010, 12, 894–901. [Google Scholar] [CrossRef]
- Umebayashi, Y.; Mori, S.; Fujii, K.; Tsuzuki, S.; Seki, S.; Hayamizu, K.; Ishiguro, S.-I. Raman Spectroscopic Studies and Ab Initio Calculations on Conformational Isomerism of 1-Butyl-3-methylimidazolium Bis-(trifluoromethanesulfonyl)amide Solvated to a Lithium Ion in Ionic Liquids: Effects of the Second Solvation Sphere of the Lithium Ion. J. Phys. Chem. B 2010, 114, 6513–6521. [Google Scholar] [CrossRef]
- Fujii, K.; Hamano, H.; Doi, H.; Song, X.; Tsuzuki, S.; Hayamizu, K.; Seki, S.; Kameda, Y.; Dokko, K.; Watanabe, M.; et al. Unusual Li+Ion Solvation Structure in Bis(fluorosulfonyl)amide Based Ionic Liquid. J. Phys. Chem. C 2013, 117, 19314–19324. [Google Scholar] [CrossRef]
- Nordness, O.; Brennecke, J.F. Ion Dissociation in Ionic Liquids and Ionic Liquid Solutions. Chem. Rev. 2020, 120, 12873–12902. [Google Scholar] [CrossRef]
- Kameta, N.; Imura, H. Effect of Tris(acetylacetonato)chromium(III) as a Complex Ligand on the Extraction of Lanthanoid(III) with 2-Thenoyltrifluoroacetone. Bull. Chem. Soc. Jpn. 2001, 74, 1641–1647. [Google Scholar] [CrossRef]
- Imura, H.; Ebisawa, M.; Kato, M.; Ohashi, K. Novel synergism by complex ligands in solvent extraction of rare earth metals(III) with β-diketones. J. Alloy. Compd. 2006, 408-412, 952–957. [Google Scholar] [CrossRef]
- Li, R.; Wang, W.; Wang, Y.; Wei, X.; Cai, Z.; Zhou, Z. Novel ionic liquid as co-extractant for selective extraction of lithium ions from salt lake brines with high Mg/Li ratio. Sep. Purif. Technol. 2021, 277, 119471. [Google Scholar] [CrossRef]
- Olea, F.; Merlet, G.; Araya-López, C.; Cabezas, R.; Villarroel, E.; Quijada-Maldonado, E.; Romero, J. Separation of vanillin by perstraction using hydrophobic ionic liquids as extractant phase: Analysis of mass transfer and screening of ILs via COSMO-RS. Sep. Purif. Technol. 2021, 274, 119008. [Google Scholar] [CrossRef]







| IL | Log (Kglobal) | % E |
|---|---|---|
| 216.50 | 34.6 | |
| 220.22 | 24.9 | |
| [ | 219.14 | 6.6 |
| ] | 219.05 | 6.1 |
| ] | 219.98 | 21.8 |
| 217.42 | 11.7 |
| IL | Log(Kglobal. Li+) | % Extraction Li+ | Theoretical | Experimental | Theoretical | Experimental |
|---|---|---|---|---|---|---|
| [BPy][T] | 185.77 | 90.67 | 159.544 | 25.638 | 37.17 | 75.35 |
| [BMIm][T] | 185.29 | 88.23 | 159.545 | 26.299 | 37.65 | 71.43 |
| [][T] | 182.60 | 87.59 | 159.540 | 21.026 | 40.38 | 51.10 |
| [P][T] | 179.71 | 83.76 | 159.542 | 23.129 | 49.57 | 45.26 |
Publisher’s Note: MDPI stays neutral with regard to jurisdictional claims in published maps and institutional affiliations. |
© 2022 by the authors. Licensee MDPI, Basel, Switzerland. This article is an open access article distributed under the terms and conditions of the Creative Commons Attribution (CC BY) license (https://creativecommons.org/licenses/by/4.0/).
Share and Cite
Olea, F.; Durán, G.; Díaz, G.; Villarroel, E.; Araya-López, C.; Cabezas, R.; Merlet, G.; Romero, J.; Quijada-Maldonado, E. Ionic Liquids for the Selective Solvent Extraction of Lithium from Aqueous Solutions: A Theoretical Selection Using COSMO-RS. Minerals 2022, 12, 190. https://doi.org/10.3390/min12020190
Olea F, Durán G, Díaz G, Villarroel E, Araya-López C, Cabezas R, Merlet G, Romero J, Quijada-Maldonado E. Ionic Liquids for the Selective Solvent Extraction of Lithium from Aqueous Solutions: A Theoretical Selection Using COSMO-RS. Minerals. 2022; 12(2):190. https://doi.org/10.3390/min12020190
Chicago/Turabian StyleOlea, Felipe, Guillermo Durán, Georgina Díaz, Eduardo Villarroel, Claudio Araya-López, Rene Cabezas, Gastón Merlet, Julio Romero, and Esteban Quijada-Maldonado. 2022. "Ionic Liquids for the Selective Solvent Extraction of Lithium from Aqueous Solutions: A Theoretical Selection Using COSMO-RS" Minerals 12, no. 2: 190. https://doi.org/10.3390/min12020190
APA StyleOlea, F., Durán, G., Díaz, G., Villarroel, E., Araya-López, C., Cabezas, R., Merlet, G., Romero, J., & Quijada-Maldonado, E. (2022). Ionic Liquids for the Selective Solvent Extraction of Lithium from Aqueous Solutions: A Theoretical Selection Using COSMO-RS. Minerals, 12(2), 190. https://doi.org/10.3390/min12020190

