Mineral Changes to the Tufa Columns of Ikka Fjord, SW Greenland
Abstract
1. Introduction
2. Mineralogical and Geological Background
3. Methods
3.1. Column Sampling Process
3.2. Mineral Analysis
3.3. Seawater Measurements
4. Results
4.1. X-ray Diffraction
4.2. Raman Spectrometry
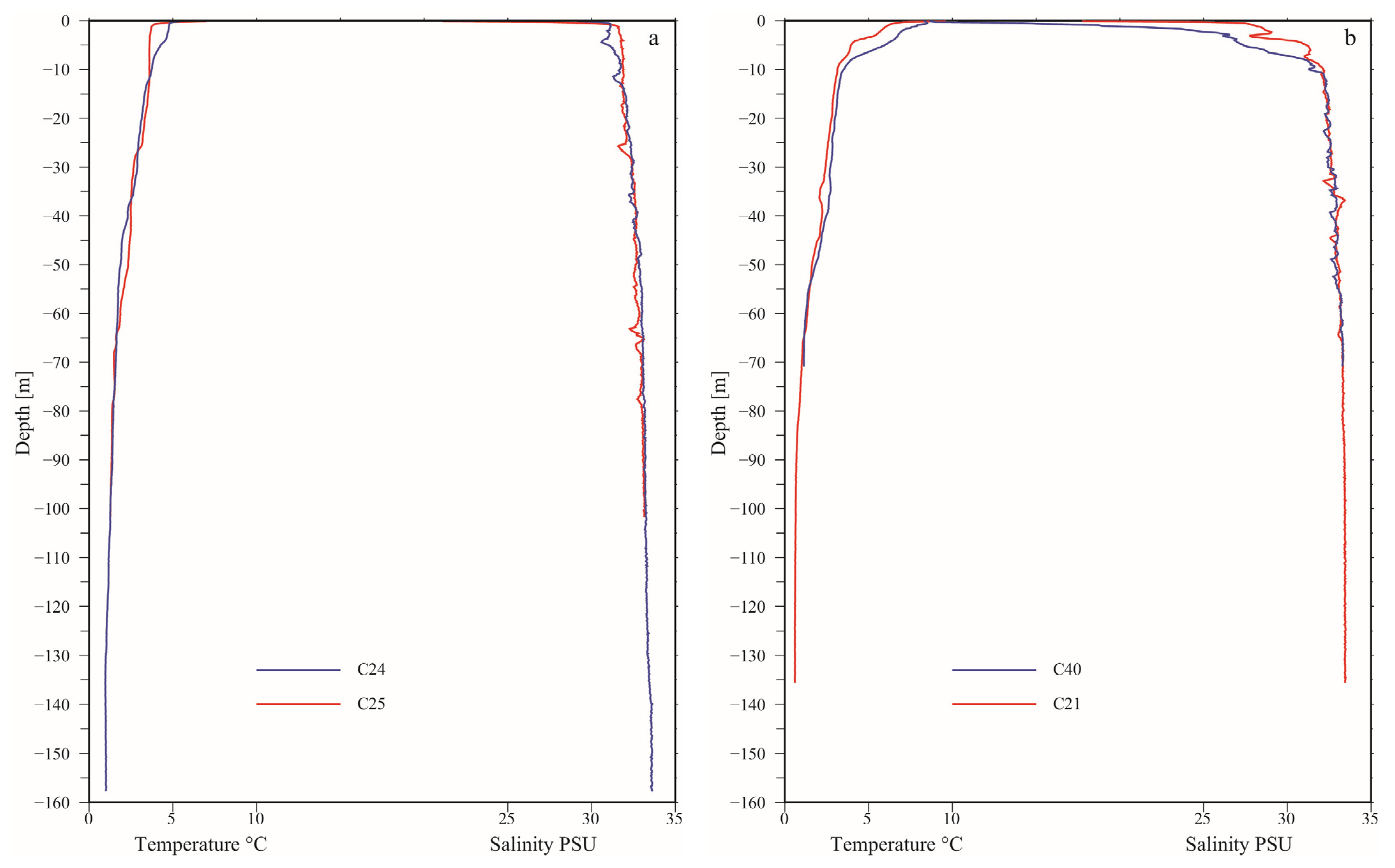
4.3. CTD and Temperature (SCUBA and HOBO) Measurements
4.4. Photo Comparison of Selected Columns from 1995–97 to Present Day
5. Discussion
6. Conclusions
- New growth on the tufa columns of Ikka Fjord still consists of ikaite.
- However, older parts of actively growing columns now consist of monohydrocalcite and minor aragonite. Calcite only appears in trace amounts (<4 wt%). This suggests a slow dehydration of ikaite to monohydrocalcite, and from monohydrocalcite to aragonite in response to warming seawater > 6 °C, which is considered the long-term stability temperature threshold for ikaite in Ikka Fjord. The Mg2+ of seawater inhibits calcite and favours ikaite, monohydrocalcite, and aragonite.
- Elevated seawater temperatures > 6 °C of inner Ikka Fjord were found only for shorter time periods in the summer of 2021 and in the upper part of the water column surrounding the column garden. This contrasts with the warmer seawater temperatures of 6–9 °C for the whole water column measured in June and September 2019. An exchange of seawater with new cold seawater from the outer fjord, crossing all shallow submarine thresholds of the inner fjord, must have happened in between 2019 and 2021.
- The visual changes to columns compared to 1995–97 is striking and worrying. Co-lumns are devoid of the fresh ikaite powder at their tips, and a colour change from white to yellow has taken place. Biological life on the surface of the columns is absent or diminished, and the columns have thereby lost their spectacular coral reef appearances of the nineties.
- We recommend a continuous monitoring of Ikka Fjord on maximum 5 years interval with respect to the mineralogy of the tufa columns and of the biological life inhabiting the columns. Monthly CTD measurements in inner and outer Ikka Fjord are recommended to monitor changes in seawater temperatures. Supplemented every five years by a new mapping survey of the number and distribution of tufa columns.
Supplementary Materials
Author Contributions
Funding
Data Availability Statement
Acknowledgments
Conflicts of Interest
References
- Buchardt, B.; Seaman, P.; Stockmann, G.; Vous, M.; Wilken, U.; Düwel, L.; Kristiansen, A.; Jenner, C.; Whiticar, M.J.; Kristensen, R.M.; et al. Submarine columns of ikaite tufa. Nature 1997, 390, 129–130. [Google Scholar] [CrossRef]
- Pauly, H. Ikait, nyt mineral der danner skær. Nat. Verden 1963, 41, 12. [Google Scholar]
- Pauly, H. “Ikaite”, A New Mineral from Greenland. Arctic 1963, 16, 263–264. [Google Scholar] [CrossRef]
- Johnston, J.; Merwin, H.E.; Williamson, E.D. The several forms of calcium carbonate. Am. J. Sci.-Fourth Ser. 1916, 41, 473–493. [Google Scholar] [CrossRef]
- Stockmann, G.; Wilken, U. Ikkasøjlerne—En Undersøisk Oase i Arktis; Dansk Polarcenter: Copenhagen, Denmark, 2007; p. 86. ISBN 978-87-90369-04-0. [Google Scholar]
- Buchardt, B.; Israelsson, C.; Seaman, P.; Stockmann, G. Ikaite tufa towers in Ikka Fjord, Southwest Greenland: Their formation by mixing of seawater and alkaline spring water. J. Sed. Res. 2001, 71, 176–189. [Google Scholar] [CrossRef]
- Dahl, K.; Buchardt, B. Monohydrocalcite in the Arctic Ikka Fjord, SW Greenland: First Reported Marine Occurrence. J. Sed. Res. 2006, 76, 460–471. [Google Scholar] [CrossRef]
- Seaman, P.; Buchardt, B. The Columns of Ikaite Tufa in Ikka Fjord; Monogr. Greenland 2006, 44, 39. [Google Scholar]
- Hansen, M.O.; Buchardt, B.; Kühl, M.; Elberling, B. The fate of the submarine ikaite tufa columns in southwest Greenland under changing climate conditions. J. Sed. Res. 2011, 81, 553–561. [Google Scholar] [CrossRef]
- Trampe, E.C.; Larsen, J.E.; Glaring, M.A.; Stougaard, P.; Kühl, M. In situ dynamics of O2, pH, light, and photosynthesis in ikaite tufa columns (Ikka fjord, Greenland)—A unique microbial habitat. Front. Microbiol. 2016, 7, 722. [Google Scholar] [CrossRef]
- Seaman, P.; Sturkell, E.; Gyllencreutz, R.; Stockmann, G.; Geirsson, H. New Multibeam Mapping of the unique Ikaite columns in Ikka Fjord, SW Greenland. Mar. Geol. 2022, 444, 106710. [Google Scholar] [CrossRef]
- Rantanen, M.; Karpechko, A.Y.; Lipponen, A.; Nordling, K.; Hyvärinen, O.; Ruosteenoja, K.; Vihma, T.; Laaksonen, A. The Arctic has warmed nearly four times faster than the globe since 1979. Commun. Earth Environ. 2022, 3, 168. [Google Scholar] [CrossRef]
- Government of Greenland. Selvstyrets Bekendtgørelse nr. 4, om Fredning af et Område ved Ivittuut og Kangilinnguit. Available online: http://lovgivning.gl/lov?rid=%7B80A814FF-16FE-42E1-BCF0-6F0E7ED70768%7D (accessed on 12 April 2010).
- Marland, G. The stability of CaCO3∙6H2O (ikaite). Geochim. Cosmochim. Acta 1975, 39, 83–91. [Google Scholar] [CrossRef]
- Plummer, L.N.; Busenberg, E. The solubilities of calcite, aragonite and vaterite in CO2-H2O solutions between 0 and 90 °C, and an evaluation of the aqueous model for the system CaCO3-CO2-H2O. Geochim. Cosmochim. Acta 1982, 46, 1011–1040. [Google Scholar] [CrossRef]
- Bischoff, J.L.; Fitzpatrick, J.A.; Rosenbauer, R.J. The Solubility and Stabilization of Ikaite (CaCO3•6H2O) from 0° to 25 °C: Environmental and Paleoclimatic Implications for Thinolite Tufa. J. Geol. 1993, 101, 21–33. [Google Scholar] [CrossRef]
- Trampe, E.C.; Richard, W.; Castenholz, J.; Larsen, E.; Michael Kühl, M. Phototrophic microbes form endolithic biofilms in ikaite tufa columns (SW Greenland). Environ. Microbiol. 2017, 19, 4754–4770. [Google Scholar] [CrossRef]
- Stockmann, G.; Tollefsen, E.; Skelton, A.; Brüchert, V.; Balic-Zunic, T.; Langhof, J.; Skogby, H.; Karlsson, A. Control of a Calcite inhibitor (phosphate) and Temperature on Ikaite precipitation in Ikka Fjord, Southwest Greenland. Appl. Geochem. 2018, 89, 11–22. [Google Scholar] [CrossRef]
- Stockmann, G.J.; Ranta, E.; Trampe, E.; Sturkell, E.; Seaman, P. Carbon mineral storage in seawater: Ikaite (CaCO3·6H2O) columns in Greenland. Energy Procedia 2018, 146, 59–67. [Google Scholar] [CrossRef]
- Tollefsen, E.; Stockmann, G.; Skelton, A.; Mörth, C.-M.; Dupraz, D.; Sturkell, E. Chemical controls on ikaite formation. Mineral. Mag. 2018, 82, 1119–1129. [Google Scholar] [CrossRef]
- Ranta, E.; Stockmann, G.; Wagner, T.; Fusswinkel, T.; Sturkell, E.; Tollefsen, E.; Skelton, A. Fluid-rock reactions in the 1.3 Ga siderite carbonatite of the Grønnedal-Íka alkaline complex, Southwest Greenland. Contrib. Mineral. Petr. 2018, 173, 78. [Google Scholar] [CrossRef]
- Tollefsen, E.; Stockmann, G.; Skelton, A.; Lundqvist, L.; Sturkell, E. Secondary alteration of the Grønnedal-Ika igneous complex and the genesis of ikaite, CaCO3•6H2O, SW Greenland. Chem. Geol. 2019, 510, 18–30. [Google Scholar] [CrossRef]
- Aðalsteinsdóttir, S.M. The Low-Temperature Weathering of the Grønnedal-Íka Carbonatite-Alkaline Silicate Igneous Complex in Southwest Greenland. Master’s thesis, Faculty of Earth Sciences, University of Iceland, Reykjavík, Iceland, 2021; p. 82. [Google Scholar]
- Seaman, P.G. The Development of Ikaite in a Fjord Environment with Special Reference to Ikka Fjord. Unpublished. Ph.D. Thesis, Imperial College of Science, Technology and Medicine, University of London, London, UK, 1998; p. 263. [Google Scholar]
- Emeleus, C.H. The Grønnedal–Ika alkaline complex, South Greenland: Copenhagen. Medd. Grønland 1964, 186, 1–75. [Google Scholar]
- Tollefsen, E.; Balic-Zunic, T.; Mörth, C.-M.; Brüchert, V.; Choo Lee, C.; Skelton, A. Ikaite nucleation at 35 °C challenges the use of glendonite as a paleotemperature indicator. Sci. Rep. 2020, 10, 8141. [Google Scholar] [CrossRef] [PubMed]
- Rietveld, H. A profile refinement method for nuclear and magnetic structures. J. Appl. Crystallogr. 1969, 2, 65. [Google Scholar] [CrossRef]
- Young, R.A. The Rietveld Method; Oxford Science Publications: Oxford, UK, 1993; p. 298. [Google Scholar]
- Bruker-AXS. TOPAS, Powder Diffraction Profile Refinement Program; Bruker AXS GmbH: Karlsruhe, Germany, 2016. [Google Scholar]
- FIZ. Inorganic Crystal Structure Database; Leibniz Institute for Information Infrastructure: Karlsruhe, Germany, 2020. [Google Scholar]
- Sánchez-Pastor, N.; Oehlerich, M.; Astilleros, J.M.; Kaliwoda, M.; Mayr, C.C.; Fernández-Díaz, L.; Schmahl, W.W. Crystallization of ikaite and its pseudomorphic transformation into calcite: Raman spectroscopy evidence Geochim. Cosmochim. Acta 2016, 175, 271–281. [Google Scholar] [CrossRef]
- Thorbjørn, L.; Petersen, G.H. The Epifauna on the Carbonate Reefs in the Arctic Ikka Fjord, SW Greenland. Ophelia 2003, 57, 177–202. [Google Scholar] [CrossRef]
- Brooks, R.; Clark, L.M.; Thurston, E.F. Calcium carbonate and its hydrates. Philos. Trans. R. Soc. 1950, A243, 145–167. [Google Scholar]
- Rodríguez-Ruiz, I.; Veesler, S.; Gómez-Morales, J.; Delgado-López, J.-M.; Grauby, O.; Hammadi, Z.; Candoni, N.; García-Ruiz, J.M. Transient calcium carbonate hexahydrate (ikaite) nucleated and stabilized in confined nano- and picovolumes. Cryst. Growth 2014, 14, 792–802. [Google Scholar] [CrossRef]
- Purgstaller, B.; Dietzel, M.; Baldermann, A.; Mavromatis, V. Control of temperature and aqueous Mg2+/Ca2+ ratio on the (trans-) formation of ikaite. Geochim. Cosmochim. Acta 2017, 217, 128–143. [Google Scholar] [CrossRef]
- Besselink, R.; Rodriguez-Blanco, J.D.; Stawski, T.M.; Benning, L.G.; Tobler, D.J. How short-lived Ikaite affects calcite crystallization. Cryst. Growth Des. 2017, 17, 6224–6230. [Google Scholar] [CrossRef]
- Strohm, S.B.; Inckemann, S.E.; Gao, K.; Schweikert, M.; Lemloh, M.L.; Schmahl, W.W.; Jordan, G. On the nucleation of ikaite (CaCO3x6H2O)—A comparative study in the presence and absence of mineral surfaces. Chem. Geol. 2022, 611, 121089. [Google Scholar] [CrossRef]
- Mangin, D.; Puel, F.; Veesler, S. Polymorphism in processes of crystallization in solution: A practical review. Org. Process Res. Dev. 2009, 13, 1241–1253. [Google Scholar] [CrossRef]
- Danish Meteorological Institute. Weather Archive for Data from Qaqortoq, SW Greenland. Available online: https://www.dmi.dk/vejrarkiv/ (accessed on 8 September 2022).
- National Snow & Ice Data Center. Available online: http://nsidc.org/greenland-today/ (accessed on 8 September 2022).
- Nielsen, M.R.; Sand, K.K.; Rodriguez-Blanco, J.D.; Bovet, N.; Generosi, J.; Dalby, K.N.; Stipp, S.L. Inhibition of calcite growth: Combined effects of Mg2+ and SO42−. Cryst. Growth Des. 2016, 16, 6199–6207. [Google Scholar] [CrossRef]
- Bots, P.; Benning, L.G.; Rickaby, R.E.M.; Shaw, S. The role of SO4 in the switch from calcite to aragonite seas. Geology 2011, 39, 331–334. [Google Scholar] [CrossRef]
- Stoffers, P.; Fischbeck, R. Monohydrocalcite in the sediments of Lake Kivu (East Africa). Sedimentology 1974, 21, 163–170. [Google Scholar] [CrossRef]
- Taylor, G.F. The occurrence of monohydrocalcite in two small lakes in the South-East of South Australia. Am. Mineral. 1975, 60, 690–697. [Google Scholar]
- Kamiya, K.; Sakka, S.; Terada, K. Aragonite formation through precipitation of calcium carbonate monohydrate. Mater. Res. Bull. 1977, 12, 1095–1102. [Google Scholar] [CrossRef]
- Munemoto, T.; Fukushi, K. Transformation kinetics of monohydrocalcite to aragonite in aqueous solutions. J. Mineral. Petrol. Sci. 2008, 103, 345–349. [Google Scholar] [CrossRef]
- Fukushi, K.; Munemoto, T.; Sakai, M.; Yagi, S. Monohydrocalcite: A promising remediation material for hazardous anions. Sci. Technol. Adv. Mater. 2011, 12, 064702. [Google Scholar] [CrossRef]
- Rodriguez-Blanco, J.D.; Shaw, S.; Bots, P.; Roncal-Herrero, T.; Benning, L.G. The role of Mg in the crystallization of monohydrocalcite. Geochim. Cosmochim. Acta 2014, 127, 204–220. [Google Scholar] [CrossRef]
- Vickers, M.L.; Vickers, M.; Rickaby, R.E.M.; Wu, H.; Bernasconi, S.M.; Ullmann, C.V.; Bohrmann, G.; Spielhagen, R.F.; Kassens, H.; Schultz, B.P.; et al. The ikaite to calcite transformation: Implications for palaeoclimate studies. Geochim. Cosmochim. Acta 2022, 334, 201–216. [Google Scholar] [CrossRef]
- Hesse, K.F.; Küppers, H.; Suess, E. Refinement of the structure of Ikaite, CaCO3·6H2O. Z. Krist.-Cryst. Mater. 1983, 163, 227–231. [Google Scholar]
- Hull, H.; Turnbull, A.G. A thermochemical study of monohydrocalcite. Geochim. Cosmochim. Acta 1973, 37, 685–694. [Google Scholar] [CrossRef]
- Effenberger, H. Kristallstruktur und infrarot-absorptionsspektrum von synthetischem monohydrocalcit, CaCO3·H2O. Monatsh. Fur Chem./Chem. Mon. 1981, 112, 899–909. [Google Scholar] [CrossRef]
- Perdikouri, C.; Kasioptas, A.; Putnis, C.V.; Putnis, A. The effect of fluid composition on the mechanism of the aragonite to calcite transition. Mineral. Mag. 2008, 72, 111–114. [Google Scholar] [CrossRef]












| Sample ID | Depth (m) | Temp. (°C) | Ikaite | Monohydrocalcite | Calcite | Aragonite |
|---|---|---|---|---|---|---|
| 2019-1-1A | 13.3 | 6 | 68.5 (7) | 29.4 (7) | 2.2 (5) | |
| 2019-1-1B | 13.3 | 6 | 77.4 (7) | 22.6 (7) | ||
| 2019-1-2A | 10.3 | 8 | 93.3 (4) | 6.7 (4) | ||
| 2019-1-2B | 10.3 | 8 | 100 | |||
| 2019-1-2C | 10.3 | 8 | 99.9 (5) | 0.1 (5) | ||
| 2019-1-2D | 10.3 | 8 | 100 | |||
| 2019-1-3A | 6.0 | 7 | 100 | |||
| 2019-1-3B | 6.0 | 7 | 100 | |||
| 2019-1-3C | 6.0 | 7 | 100 | |||
| 2019-1-3D | 6.0 | 7 | 99.8 (3) | 0.2 (3) | ||
| 2019-1-3E | 6.0 | 7 | 100 | |||
| 2019-1-3F | 6.0 | 7 | 100 | |||
| 2019-2-1A | 10.0 | 7 | 100 | |||
| 2019-2-1B | 10.0 | 7 | 100 | |||
| 2019-2-1C | 10.0 | 7 | 100 | |||
| 2019-2-2A | 6.5 | 7 | 95.4 (4) | 4.6 (4) | ||
| 2019-2-2B | 6.5 | 7 | 79.6 (5) | 0.5 (2) | 19.9 (5) | |
| 2019-2-2C | 6.5 | 7 | 100 | |||
| 2019-2-3A | 2.7 | 9 | 100 | |||
| 2019-2-3B | 2.7 | 9 | 100 | |||
| 2019-2-3C | 2.7 | 9 | 99.8 (5) | 0.2 (5) | ||
| 2019-2-3D | 2.7 | 9 | 95.7 (8) | 2.3 (8) | 2.0 (3) | |
| 2019-3-1A | 13.3 | 8 | 98.2 (6) | 1.8 (6) | ||
| 2019-3-1B | 13.3 | 8 | 99.1 (2) | 0.6 (2) | 0.3 (1) | |
| 2019-3-2A | 10.1 | 8 | 99.7 (1) | 0.3 (1) | ||
| 2019-3-2B | 10.1 | 8 | 99.3 (1) | 0.5 (1) | 0.2 (1) | |
| 2019-3-2C | 10.1 | 8 | 99.8 (1) | 0.2 (1) | ||
| 2019-3-2D | 10.1 | 8 | 100 | |||
| 2019-3-2E | 10.1 | 8 | 100 | |||
| 2019-3-2F | 10.1 | 8 | 100 | |||
| 2019-3-3A | 3.9 | 9 | 94.9 (3) | 4.7 (3) | 0.4 (1) | |
| 2019-3-3B | 3.9 | 9 | 95.5 (4) | 1.7 (1) | 0.9 (1) | 1.9 (4) |
| 2019-3-3C | 3.9 | 9 | 99.4 (1) | 0.6 (1) | ||
| 2019-3-3D | 3.9 | 9 | 98.2 (5) | 0.2 (1) | 1.6 (5) | |
| 2022-1a-r | 12.0 | n.d. | 100 | |||
| 2022-1b-c ** | 12.0 | n.d. | 99.9 (8) | 0.1 (8) | ||
| 2022-2a-r | 4.5 | n.d. | 99.2 (2) | 0.8 (2) | ||
| 2022-2b-c | 4.5 | n.d. | 73.4 (2) | 26.6 (2) | ||
| 2022-3a-r | 13.0 | n.d. | 93.7 (4) | 3.9 (4) | 2.4 (3) | |
| 2022-3b-c | 13.0 | n.d. | 87.0 (5) | 1.6 (2) | 11.4 (5) | |
| 2022-4a-r | 14–15 | n.d. | 100 |
Publisher’s Note: MDPI stays neutral with regard to jurisdictional claims in published maps and institutional affiliations. |
© 2022 by the authors. Licensee MDPI, Basel, Switzerland. This article is an open access article distributed under the terms and conditions of the Creative Commons Attribution (CC BY) license (https://creativecommons.org/licenses/by/4.0/).
Share and Cite
Stockmann, G.J.; Seaman, P.; Balic-Zunic, T.; Peternell, M.; Sturkell, E.; Liljebladh, B.; Gyllencreutz, R. Mineral Changes to the Tufa Columns of Ikka Fjord, SW Greenland. Minerals 2022, 12, 1430. https://doi.org/10.3390/min12111430
Stockmann GJ, Seaman P, Balic-Zunic T, Peternell M, Sturkell E, Liljebladh B, Gyllencreutz R. Mineral Changes to the Tufa Columns of Ikka Fjord, SW Greenland. Minerals. 2022; 12(11):1430. https://doi.org/10.3390/min12111430
Chicago/Turabian StyleStockmann, Gabrielle J., Paul Seaman, Tonci Balic-Zunic, Mark Peternell, Erik Sturkell, Bengt Liljebladh, and Richard Gyllencreutz. 2022. "Mineral Changes to the Tufa Columns of Ikka Fjord, SW Greenland" Minerals 12, no. 11: 1430. https://doi.org/10.3390/min12111430
APA StyleStockmann, G. J., Seaman, P., Balic-Zunic, T., Peternell, M., Sturkell, E., Liljebladh, B., & Gyllencreutz, R. (2022). Mineral Changes to the Tufa Columns of Ikka Fjord, SW Greenland. Minerals, 12(11), 1430. https://doi.org/10.3390/min12111430

