Cyanide Release Characteristics of Solid Waste in Gold Smelting Process
Abstract
1. Introduction
2. Materials and Methods
2.1. Materials
2.2. Leaching Experiment
2.3. Analysis Methods
3. Results and Discussion
3.1. Effect of Leaching Intensity on Leaching
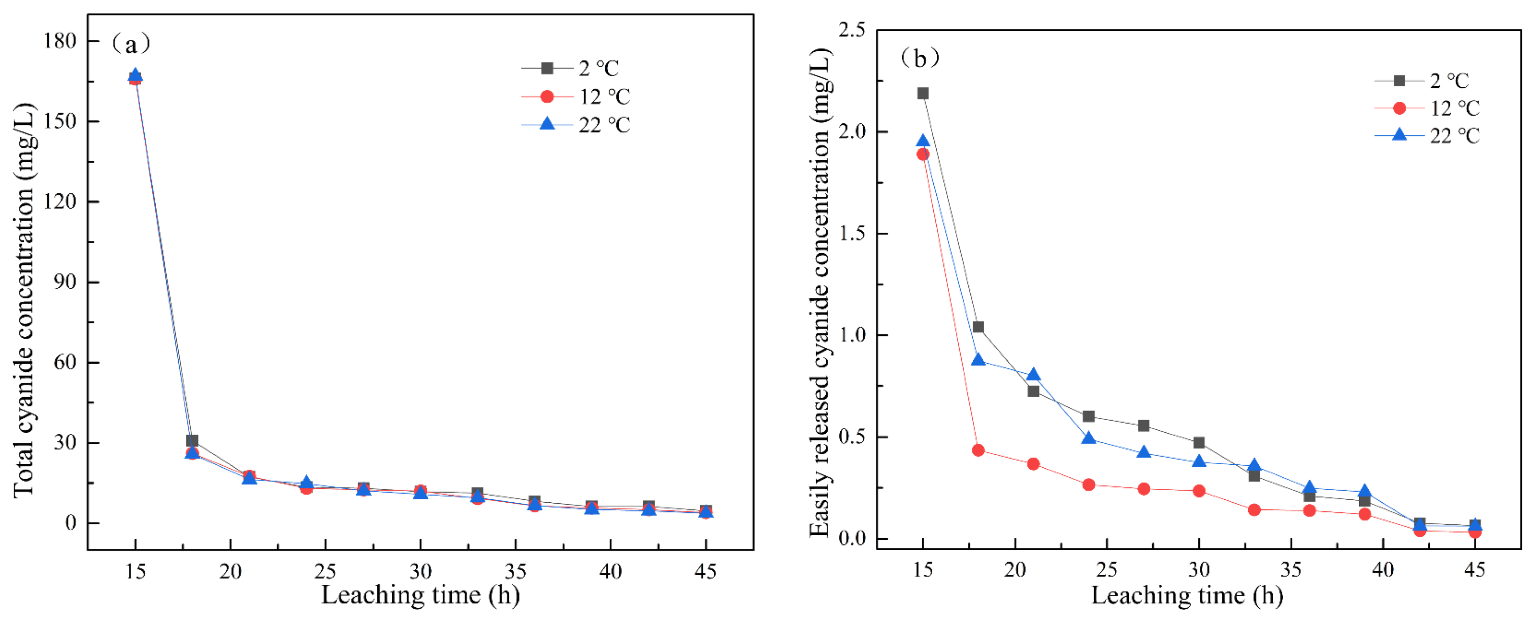
3.2. Effect of Leaching Temperature on Cyanide Leaching
3.3. Kinetic Study on the Cumulative Release of Cyanide
3.3.1. Effect of Different Leaching Intensity on Cumulative Release of Cyanide
3.3.2. Establishment of Dynamic Model
3.3.3. Reaction Rate Constant
3.3.4. Diffusion Rate Constant
3.4. Leaching Residue Analysis
4. Conclusions
Author Contributions
Funding
Data Availability Statement
Conflicts of Interest
References
- Li, Z.; Zheng, Z.; Zhao, L.; Li, M. Leaching Release Rule of Metal Elements in Tailings and Pollution Evaluation. Ind. Water Wastewater 2022, 53, 45–50. [Google Scholar]
- Song, S.; Chu, J.; Zhang, H. Study on Environmental Risk Assessment and Control Countermeasures of Tailings pond in a Mountainous Area of North China. IOP Conf. Ser. Earth Environ. Sci. 2020, 585, 012095. [Google Scholar] [CrossRef]
- Ren, B.; Zhou, Y.; Ma, H.; Deng, R.; Zhang, P.; Hou, B. Sb release characteristics of the solid waste produced in antimony mining smelting process. J. Mater. Cycles Waste Manag. 2016, 20, 193–200. [Google Scholar] [CrossRef]
- Patra, A.C.; Sumesh, C.; Mohapatra, S.; Sahoo, S.; Tripathi, R.; Puranik, V. Long-term leaching of uranium from different waste matrices. J. Environ. Manag. 2010, 92, 919–925. [Google Scholar] [CrossRef]
- Guo, X.; Shi, H.; Xu, M. Static and dynamic leaching experiments of heavy metals from fly ash-based geopolymers. J. Wuhan Univ. Technol. Sci. Ed. 2013, 28, 938–943. [Google Scholar] [CrossRef]
- Liu, Z.-R.; Zeng, K.; Zhao, W.; Li, Y. Effect of Temperature on Iron Leaching from Bauxite Residue by Sulfuric Acid. Bull. Environ. Contam. Toxicol. 2008, 82, 55–58. [Google Scholar] [CrossRef]
- Dai, X.; Breuer, P.; Jeffrey, M. Comparison of activated carbon and ion-exchange resins in recovering copper from cyanide leach solutions. Hydrometallurgy 2010, 101, 48–57. [Google Scholar] [CrossRef]
- Dai, X.; Jeffrey, M.; Breuer, P. A mechanistic model of the equilibrium adsorption of copper cyanide species onto activated carbon. Hydrometallurgy 2010, 101, 99–107. [Google Scholar] [CrossRef]
- Lv, C.; Ding, J.; Qian, P.; Li, Q.; Ye, S.; Chen, Y. Comprehensive recovery of metals from cyanidation tailing. Miner. Eng. 2014, 70, 141–147. [Google Scholar] [CrossRef]
- Luque-Almagro, V.M.; Moreno-Vivián, C.; Roldán, M.D. Biodegradation of cyanide wastes from mining and jewellery industries. Curr. Opin. Biotechnol. 2016, 38, 9–13. [Google Scholar] [CrossRef]
- Zhao, Q.; Yang, H.; Tong, L. Adsorption characteristics of CN− species on the chalcopyrite surface and its response to flotation. Sep. Purif. Technol. 2021, 276, 119322. [Google Scholar] [CrossRef]
- Yu, X.J.; Zhang, Y.L.; Li, H.M. Recovery of Iron from Cyanide Tailings with Reduction Roasting–Water Leaching- Magnetic Separation. Adv. Mater. Res. 2011, 396–398, 486–489. [Google Scholar]
- Laitos, J.G. Cyanide, Mining, and the Environment. Pace Environ. Law Rev. 2013, 30, 869. [Google Scholar]
- Brüger, A.; Fafilek, G.; Restrepo-Baena, O.J.; Rojas-Mendoza, L. On the volatilisation and decomposition of cyanide contaminations from gold mining. Sci. Total Environ. 2018, 627, 1167–1173. [Google Scholar] [CrossRef]
- Qian, L.; Li, B.; Chen, X.; Li, X.; Lin, H. Leaching Characteristics and Release Rule of Heavy Metals from Gold Tailings. J. Southeast Univ. (Nat. Sci. Ed.) 2020, 50, 1084–1089. [Google Scholar] [CrossRef]
- Qiu, L.; Liu, Y.; Guo, X.; Wang, Y.; Dai, G. Experimental Study on Synergistic Treatment of Cyanide and Arsenic in Leaching Water of Gold Heap Leaching. Gold 2021, 42, 87–90. [Google Scholar]
- Griffiths, S.R.; Smith, G.B.; Donato, D.B.; Gillespie, C.G. Factors influencing the risk of wildlife cyanide poisoning on a tailings storage facility in the Eastern Goldfields of Western Australia. Ecotoxicol. Environ. Saf. 2009, 72, 1579–1586. [Google Scholar] [CrossRef]
- Donato, D.; Nichols, O.; Possingham, H.; Moore, M.; Ricci, P.; Noller, B. A critical review of the effects of gold cyanide-bearing tailings solutions on wildlife. Environ. Int. 2007, 33, 974–984. [Google Scholar] [CrossRef]
- Zhang, Y.; Ren, B.; Hursthouse, A.; Deng, R.; Hou, B. Leaching and Releasing Characteristics and Regularities of Sb and As from Antimony Mining Waste Rocks. Pol. J. Environ. Stud. 2019, 28, 4017–4025. [Google Scholar] [CrossRef]
- Adams, M.D. Impact of recycling cyanide and its reaction products on upstream unit operations. Miner. Eng. 2013, 53, 241–255. [Google Scholar] [CrossRef]
- Kuyucak, N.; Akcil, A. Cyanide and removal options from effluents in gold mining and metallurgical processes. Miner. Eng. 2013, 50–51, 13–29. [Google Scholar] [CrossRef]
- Gong, X.; Qi, S.; Lv, C.; Su, Q. Simulation of Organochlorine Pesticides Release Kinetics from Sediments of Honghu Lake. Res. Environ. Sci. Vol. 2010, 23, 1351–1354. [Google Scholar] [CrossRef]
- Tang, Y.; Shen, T.; Meng, Z. A kinetic study on the mechanisms of metal leaching from the top surface layer of copper aluminates and copper ferrites. Environ. Geochem. Health 2019, 41, 2491–2503. [Google Scholar] [CrossRef] [PubMed]
- Zhou, W.; Zhang, Y.; Li, W.; Jia, H.; Huang, H.; Li, B. Adsorption isotherms, degradation kinetics, and leaching behaviors of cyanogen and hydrogen cyanide in eight texturally different agricultural soils from China. Ecotoxicol. Environ. Saf. 2019, 185, 109704. [Google Scholar] [CrossRef] [PubMed]
- Boukobza, E.; Bar-Nes, G.; Ben-David, O.K.; Carmeli, B. Modeling of strontium leaching from carbonated Portland cement pastes using a simplified diffusion-kinetic analytical model. Appl. Geochem. 2018, 100, 258–267. [Google Scholar] [CrossRef]
- Özer, A.; Özer, D.; Ekiz, H.I. The Equilibrium and Kinetic Modelling of the Biosorption of Copper(II) Ions on Cladophora crispata. Adsorption 2005, 10, 317–326. [Google Scholar] [CrossRef]
- McLaughlan, R.G.; Al-Mashaqbeh, O. Simple models for the release kinetics of dissolved organic carbon from woody filtration media. Bioresour. Technol. 2009, 100, 2588–2593. [Google Scholar] [CrossRef]









| Component | SiO2 | Al2O3 | Fe2O3 | K2O | CaO | MgO | TiO2 | P2O5 | MnO | CuO | ZnO | As2O3 | Others |
|---|---|---|---|---|---|---|---|---|---|---|---|---|---|
| Content | 60.56 | 20.42 | 6.42 | 5.96 | 2.86 | 2.47 | 0.69 | 0.20 | 0.12 | 0.02 | 0.02 | 0.01 | 0.25 |
| Dynamic Model | Equation | Application |
|---|---|---|
| First-order kinetic Second-order kinetic | Mainly used to describe the decay process of reactive substances during chemical reaction. | |
| Elovich equation | Mainly used to study the kinetics of adsorption, desorption, leaching, and release of soil pollutants. | |
| Double constant | Mainly used to describe the heterogeneity of energy distribution on the surface of soil, reflecting the different affinity of adsorption sites on the surface of soil and mineral for heavy metals; it is suitable for the complex dynamic process of a reaction. | |
| Parabolic diffusion | Mainly used for the kinetics of material diffusion in particles. |
| Conditions | Elovich Equation | Double Constant | Parabolic Diffusion | |||||||
|---|---|---|---|---|---|---|---|---|---|---|
| a | b | R2 | a | b | R2 | a | b | R2 | ||
| Total cyanide | 0.5 mm/min | 595.911 | 306.54 | 0.9792 | 734.34 | 0.22 | 0.9242 | 602.79 | 151.39 | 0.7950 |
| 1.5 mm/min | 729.69 | 284.72 | 0.9749 | 817.20 | 0.20 | 0.9148 | 683.64 | 146.91 | 0.7603 | |
| 2.0 mm/min | 396.12 | 117.15 | 0.9580 | 422.49 | 0.18 | 0.9009 | 359.39 | 62.61 | 0.7081 | |
| Easily liberatable cyanide | 0.5 mm/min | −189.71 | 126.77 | 0.9930 | 62.35 | 0.41 | 0.9796 | 25.81 | 38.42 | 0.9698 |
| 1.5 mm/min | 125.74 | 104.25 | 0.9832 | 63.83 | 0.38 | 0.9653 | 33.73 | 33.46 | 0.9499 | |
| 2.0 mm/min | −22.35 | 60.73 | 0.9966 | 56.57 | 0.33 | 0.9656 | 35.83 | 23.36 | 0.9263 | |
| Conditions | Elovich Equation | Double Constant | Parabolic Diffusion | |||||||
|---|---|---|---|---|---|---|---|---|---|---|
| R2 | Sea | Seb | R2 | Sea | Seb | R2 | Sea | Seb | ||
| Total cyanide | 0.5 mm/min | 0.9821 | 77.72 | 20.71 | 0.9296 | 58.15 | 0.0202 | 0.8087 | 124.47 | 19.69 |
| 1.5 mm/min | 0.9785 | 75.18 | 20.34 | 0.9209 | 61.31 | 0.0193 | 0.7763 | 133.30 | 21.08 | |
| 2.0 mm/min | 0.9640 | 40.06 | 10.86 | 0.908 | 28.73 | 0.0178 | 0.7275 | 64.77 | 10.24 | |
| Easily liberatable cyanide | 0.5 mm/min | 0.9939 | 32.46 | 7.41 | 0.9811 | 5.43 | 0.0207 | 0.9718 | 11.07 | 1.75 |
| 1.5 mm/min | 0.9855 | 38.21 | 8.91 | 0.9678 | 6.60 | 0.0248 | 0.9532 | 12.53 | 1.98 | |
| 2.0 mm/min | 0.9971 | 7.17 | 1.82 | 0.9681 | 5.01 | 0.0215 | 0.9312 | 10.73 | 1.69 | |
Publisher’s Note: MDPI stays neutral with regard to jurisdictional claims in published maps and institutional affiliations. |
© 2022 by the authors. Licensee MDPI, Basel, Switzerland. This article is an open access article distributed under the terms and conditions of the Creative Commons Attribution (CC BY) license (https://creativecommons.org/licenses/by/4.0/).
Share and Cite
Tong, L.; Zhao, Q.; Liu, Q.; Li, Z.; Chi, C.; Zhang, Y.; Yang, H. Cyanide Release Characteristics of Solid Waste in Gold Smelting Process. Minerals 2022, 12, 1269. https://doi.org/10.3390/min12101269
Tong L, Zhao Q, Liu Q, Li Z, Chi C, Zhang Y, Yang H. Cyanide Release Characteristics of Solid Waste in Gold Smelting Process. Minerals. 2022; 12(10):1269. https://doi.org/10.3390/min12101269
Chicago/Turabian StyleTong, Linlin, Qianfei Zhao, Qiang Liu, Zhehao Li, Chongzhe Chi, Yu Zhang, and Hongying Yang. 2022. "Cyanide Release Characteristics of Solid Waste in Gold Smelting Process" Minerals 12, no. 10: 1269. https://doi.org/10.3390/min12101269
APA StyleTong, L., Zhao, Q., Liu, Q., Li, Z., Chi, C., Zhang, Y., & Yang, H. (2022). Cyanide Release Characteristics of Solid Waste in Gold Smelting Process. Minerals, 12(10), 1269. https://doi.org/10.3390/min12101269
