Recovery and Enhanced Upgrading of Rare Earth Elements from Coal-Based Resources: Bioleaching and Precipitation
Abstract
1. Introduction
2. Experimental
2.1. Bioleaching Test
2.2. Visual Minteq Calculation for Speciation and Concentrations
2.3. Precipitation Modeling
2.4. Precipitation Test Procedures
3. Results and Discussion
3.1. Leaching Kinetics and REE Concentrations
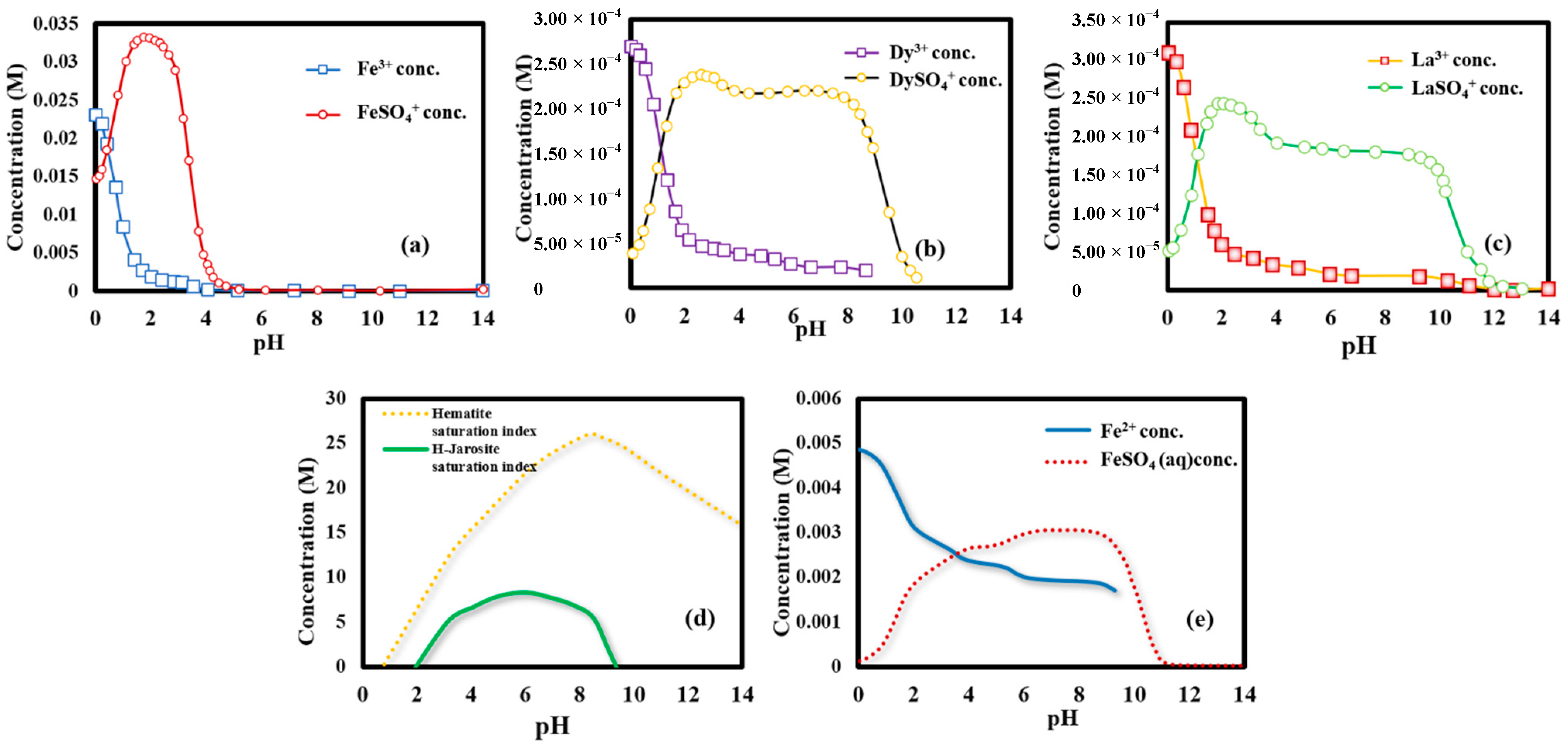
3.2. Visual Minteq Calculation for Speciation and Concentrations
3.3. Precipitation Modeling Results
3.4. REE Precipitation Experimental Results
3.4.1. REE Concentration Analysis with ICP-MS
3.4.2. SEM and EDS Analysis
3.4.3. REE Percentage in the Precipitate
3.4.4. Precipitate Composition Analysis
4. Conclusions
Supplementary Materials
Author Contributions
Funding
Data Availability Statement
Acknowledgments
Conflicts of Interest
References
- Sarswat, P.K.; Free, M.L. Frequency and atomic mass based selective electrochemical recovery of rare earth metals and isotopes. Electrochim. Acta 2016, 219, 435–446. [Google Scholar] [CrossRef]
- Sarswat, P.K.; Leake, M.; Allen, L.; Free, M.L.; Hu, X.; Kim, D.; Noble, A.; Luttrell, G.H. Efficient recovery of rare earth elements from coal based resources: A bioleaching approach. Mater. Today Chem. 2020, 16, 100246. [Google Scholar] [CrossRef]
- Kołodyńska, D.; Fila, D.; Gajda, B.; Gęga, J.; Hubicki, Z. Rare Earth Elements—Separation Methods Yesterday and Today. In Applications of Ion Exchange Materials in the Environment; Inamuddin, M., Ahamed, I., Asiri, M., Eds.; Springer International Publishing: Berlin, Germany, 2019; pp. 161–185. [Google Scholar]
- Park, S.; Liang, Y. Bioleaching of trace elements and rare earth elements from coal fly ash. Int. J. Coal Sci. Technol. 2019, 6, 74–83. [Google Scholar] [CrossRef]
- Panyushkina, A.; Matyushkina, D.; Pobeguts, O. Understanding Stress Response to High-Arsenic Gold-Bearing Sulfide Concentrate in Extremely Metal-Resistant Acidophile Sulfobacillus thermotolerans. Microorganisms 2020, 8, 1076. [Google Scholar] [CrossRef] [PubMed]
- Cárdenas, J.P.; Quatrini, R.; Holmes, D.S. Genomic and metagenomic challenges and opportunities for bioleaching: A mini-review. Res. Microbiol. 2016, 167, 529–538. [Google Scholar] [CrossRef] [PubMed]
- Quatrini, R.; Johnson, D. Acidophiles: Life in Extremely Acidic; Caister Academic Press: Haverhill, UK, 2016. [Google Scholar]
- Blight, K.; Ralph, D.; Thurgate, S. Pyrite surfaces after bio-leaching: A mechanism for bio-oxidation. Hydrometallurgy 2000, 58, 227–237. [Google Scholar] [CrossRef]
- Rawlings, D.; Tributsch, H.; Hansford, G.S. Reasons why ‘Leptospirillum’-like species rather than Thiobacillus ferrooxidans are the dominant iron-oxidizing bacteria in many commercial processes for the biooxidation of pyrite and related ores. Microbiology 1999, 145, 5–13. [Google Scholar] [CrossRef] [PubMed]
- Sapsford, D.J.; Bowell, R.; Geroni, J.N.; Penman, K.M.; Dey, M. Factors influencing the release rate of uranium, thorium, yttrium and rare earth elements from a low grade ore. Miner. Eng. 2012, 39, 165–172. [Google Scholar] [CrossRef]
- Rozelle, P.L.; Khadilkar, A.B.; Pulati, N.; Soundarrajan, N.; Klima, M.S.; Mosser, M.M.; Miller, C.E.; Pisupati, S.V. A study on removal of rare earth elements from US coal byproducts by ion exchange. Metall. Mater. Trans. 2016, 3, 6–17. [Google Scholar]
- Fathollahzadeh, H.; Eksteen, J.J.; Kaksonen, A.H.; Watkin, E.L.J. Role of microorganisms in bioleaching of rare earth elements from primary and secondary resources. Appl. Microbiol. Biotechnol. 2019, 103, 1043–1057. [Google Scholar] [CrossRef] [PubMed]
- Free, M.L. Hydrometallurgy: Fundamentals and Applications; Wiley: Hoboken, NJ, USA, 2013. [Google Scholar]
- Kim, E.; Osseo-Asare, K. Aqueous stability of thorium and rare earth metals in monazite hydrometallurgy: Eh–pH diagrams for the systems Th–, Ce–, La–, Nd–(PO4)–(SO4)–H2O at 25 C. Hydrometallurgy 2012, 113, 67–78. [Google Scholar] [CrossRef]
- Chi, R.; Xu, Z. A solution chemistry approach to the study of rare earth element precipitation by oxalic acid. Metall. Mater. Trans. B 1999, 30, 189–195. [Google Scholar] [CrossRef]
- Abreu, R.D.; Morais, C.A. Purification of rare earth elements from monazite sulphuric acid leach liquor and the production of high-purity ceric oxide. Miner. Eng. 2010, 23, 536–540. [Google Scholar] [CrossRef]
- Wang, J.; Huang, X.; Wang, L.; Wang, Q.; Yan, Y.; Zhao, N.; Cui, D.; Feng, Z. Kinetics study on the leaching of rare earth and aluminum from FCC catalyst waste slag using hydrochloric acid. Hydrometallurgy 2017, 171, 312–319. [Google Scholar] [CrossRef]
- Wang, K.; Adidharma, H.; Radosz, M.; Wan, P.; Xu, X.; Russell, C.K.; Tian, H.; Fan, M.; Yu, J. Recovery of rare earth elements with ionic liquids. Green Chem. 2017, 19, 4469–4493. [Google Scholar] [CrossRef]
- Liu, F.; Shi, J.; Duan, J.; Zhou, L.; Xu, J.; Hao, X.; Fan, W. Significance of jarosite dissolution from the biooxidized pyrite surface on further biooxidation of pyrite. Hydrometallurgy 2018, 176, 33–41. [Google Scholar] [CrossRef]
- Liu, J.; Xiu, X.; Cai, P. Study of formation of jarosite mediated by Thiobacillus ferrooxidans in 9K medium. Procedia Earth Planet. Sci. 2009, 1, 706–712. [Google Scholar] [CrossRef]









| TREE | Sc | Y | La | Ce | Pr | Nd | Sm | Eu | Gd | Tb | Dy | Ho | Er | Tm | Yb | Lu |
|---|---|---|---|---|---|---|---|---|---|---|---|---|---|---|---|---|
| 199.79 | 14.18 | 16.37 | 36.27 | 69.12 | 8.29 | 33.38 | 6.43 | 1.26 | 5.18 | 0.76 | 4.06 | 0.74 | 1.86 | 0.25 | 1.44 | 0.20 |
| Species | Concentration (M) |
|---|---|
| Dy(SO4)2− | 1.95 × 10−7 |
| Dy3+ | 2.70 × 10−4 |
| DyOH2+ | 1.73 × 10−12 |
| DySO4+ | 3.94 × 10−5 |
| Fe(OH)2+ | 4.43 × 10−9 |
| Fe(OH)3 (aq) | 1.55 × 10−18 |
| Fe(OH)4− | 4.79 × 10−26 |
| Fe(SO4)2− | 6.35 × 10−5 |
| Fe+3 | 2.32 × 10−2 |
| Fe2(OH)24+ | 3.81 × 10−7 |
| Fe3(OH)45+ | 3.43 × 10−12 |
| FeOH2+ | 5.52 × 10−5 |
| FeSO4+ | 1.47 × 10−2 |
| H+ | 1.32 |
| HSO4− | 4.11 × 10−2 |
| La(SO4)2− | 7.09 × 10−7 |
| La3+ | 3.11 × 10−4 |
| LaOH2+ | 1.20 × 10−13 |
| LaSO4+ | 4.85 × 10−5 |
| OH− | 1.30 × 10−14 |
| SO42− | 9.57 × 10−4 |
| Elements | B4S4/ppm | B4S5/ppm |
|---|---|---|
| Al | 1865 | 1405 |
| Si | 1365 | 1055 |
| Na | 870 | 645 |
| S | 585 | 408 |
| Zn | 198.5 | 83 |
| Mn | 60 | 46.85 |
| Co | 21.3 | 10.75 |
| Y | 13.95 | 3.555 |
| Ni | 10.2 | 4.355 |
| Ce | 6.25 | 0.915 |
| La | 3.055 | 0.675 |
| U | 1.93 | 1.465 |
| Ca | <250 | 112 |
| Fe | <25 | 14 |
| Li | <25 | <2.5 |
| Mg | <250 | 49.6 |
| K | <250 | <25 |
Publisher’s Note: MDPI stays neutral with regard to jurisdictional claims in published maps and institutional affiliations. |
© 2021 by the authors. Licensee MDPI, Basel, Switzerland. This article is an open access article distributed under the terms and conditions of the Creative Commons Attribution (CC BY) license (https://creativecommons.org/licenses/by/4.0/).
Share and Cite
Zhang, Z.; Allen, L.; Podder, P.; Free, M.L.; Sarswat, P.K. Recovery and Enhanced Upgrading of Rare Earth Elements from Coal-Based Resources: Bioleaching and Precipitation. Minerals 2021, 11, 484. https://doi.org/10.3390/min11050484
Zhang Z, Allen L, Podder P, Free ML, Sarswat PK. Recovery and Enhanced Upgrading of Rare Earth Elements from Coal-Based Resources: Bioleaching and Precipitation. Minerals. 2021; 11(5):484. https://doi.org/10.3390/min11050484
Chicago/Turabian StyleZhang, Zongliang, Landon Allen, Prasenjit Podder, Michael L. Free, and Prashant K. Sarswat. 2021. "Recovery and Enhanced Upgrading of Rare Earth Elements from Coal-Based Resources: Bioleaching and Precipitation" Minerals 11, no. 5: 484. https://doi.org/10.3390/min11050484
APA StyleZhang, Z., Allen, L., Podder, P., Free, M. L., & Sarswat, P. K. (2021). Recovery and Enhanced Upgrading of Rare Earth Elements from Coal-Based Resources: Bioleaching and Precipitation. Minerals, 11(5), 484. https://doi.org/10.3390/min11050484

