Laboratory Determination of Coal Dust Cleaning Efficacy of a Fibrous Filter for Flooded-Bed Dust Scrubber
Abstract
1. Introduction
2. Materials and Methods
2.1. Construction of Duct and Filter Housing
2.2. Iso-Kinetic Sampling and Cleaning Efficiency
3. Results
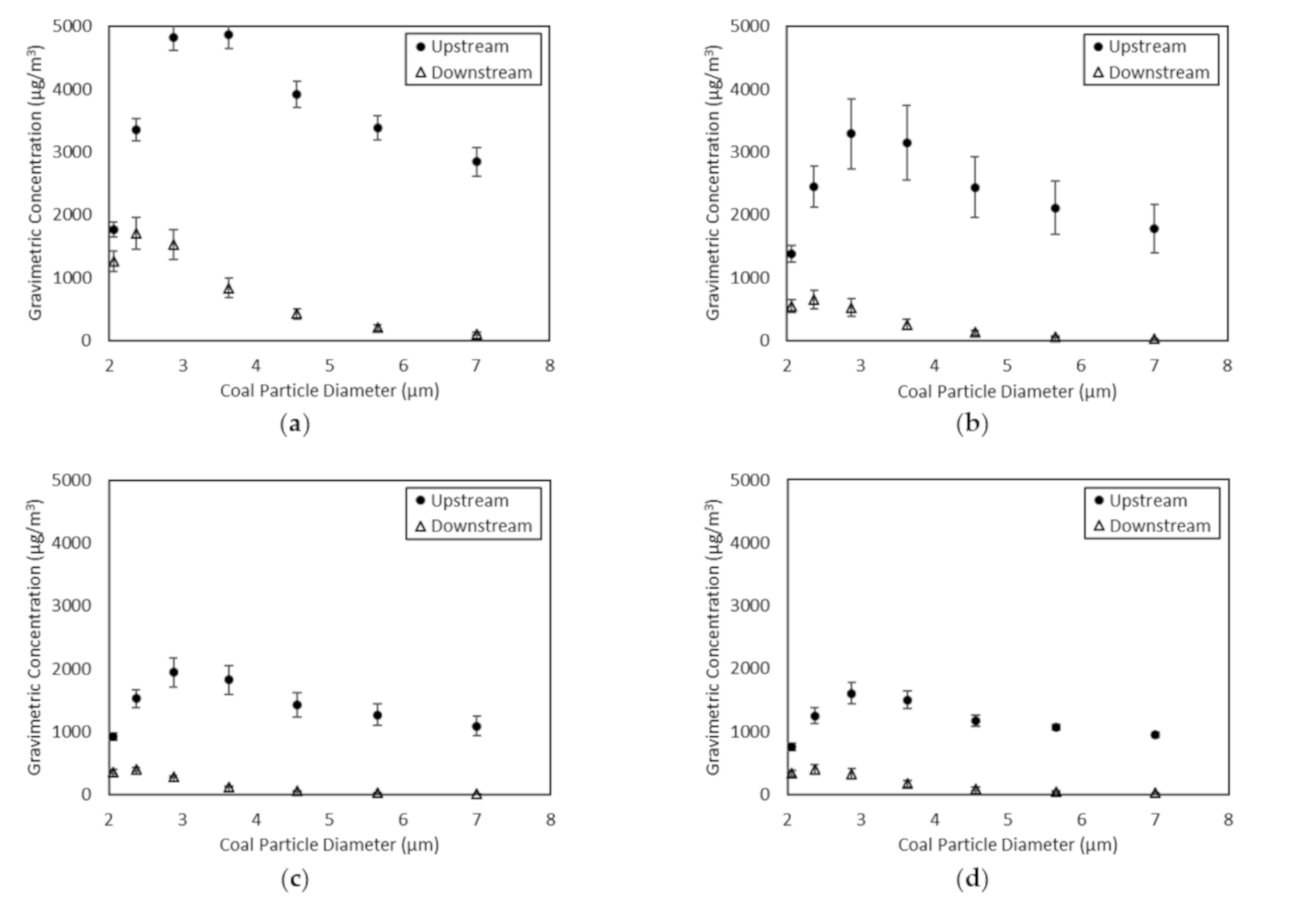
3.1. Dilution of Dust Concentrations at Higher Airflows
3.2. The Capture of Dust Particles by the Water Spray
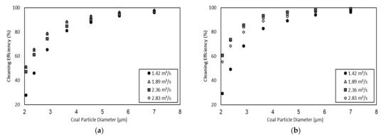
3.3. Cleaning Efficiency and Airflow Rate
3.4. Determination of Particle Cut-Off Sizes
4. Conclusions
Author Contributions
Funding
Institutional Review Board Statement
Informed Consent Statement
Data Availability Statement
Conflicts of Interest
References
- Arnold, C. A scourge returns: Black lung in Appalachia. Environ. Health Perspect. 2016, 124, A13–A18. [Google Scholar] [CrossRef] [PubMed]
- Blackeley, D.; Halldin, C. Continued increase in lung transplantation for coal workers’ pneumoconiosis in the United States. Am. J. Ind. Med. 2018, 61, 621–624. [Google Scholar] [CrossRef]
- Blackley, D.; Reynolds, L.; Short, C. Progressive Massive Fibrosis in Coal Miners from 3 Clinics in Virginia. JAMA 2018, 319, 500–501. [Google Scholar] [CrossRef]
- Colinet, J. The Impact of Black Lung and a Methodology for Controlling Respirable Dust. Min. Metall. Explor. 2020, 37, 1847–1856. [Google Scholar] [CrossRef]
- Doll, N.; Stankus, R.; Barkman, H. Immunopathogenesis of asbestosis, silicosis, and coal workers’ pneumoconiosis. Clin. Chest Med. 1983, 4, 3–14. [Google Scholar]
- Leso, V.; Fontana, L.; Romano, R.; Gervetti, P.; Iavicolli, I. Artificial Stone Associated Silicosis: A Systematic Review. Int. J. Environ. Res. Public Health 2019, 16, 568. [Google Scholar] [CrossRef] [PubMed]
- Potts, J.; McCawley, M.; Jankowski, R. Thoracic Dust Exposures on Longwall and Continuous Mining Sections. Appl. Occup. Environ. Hyg. 1990, 5, 440–447. [Google Scholar] [CrossRef]
- Shahan, M.; Seaman, C.; Beck, T.; Colinet, J.; Mishler, S. Characterization of airborne float coal dust emitted during continuous mining, longwall mining and belt transport. Min. Eng. 2017, 69, 61–66. [Google Scholar] [CrossRef]
- Burkhart, J.; McCawley, M.A.; Wheeler, R. Particle Size Distributions in Underground Coal Mines. Am. Ind. Hyg. Assoc. J. 1987, 48, 122–126. [Google Scholar] [CrossRef] [PubMed]
- Mine Safety and Health Administration. Report of Investigation, Fatal Underground Coal Mine Explosions; United States Department of Labor: Washington, DC, USA, 2001.
- MSHA, US Department of Labor. Fatal Accident Report—Performance Coal Company, Upper Big Branch Mine; US Department of Labor: Washington, DC, USA, 2010.
- Mine Safety and Health Administration. Upper Big Branch Mine-South, Performance Coal Company; United States Department of Labor: Washington, DC, USA, 2014.
- Seaman, C.; Shahan, M.; Mischler, S.E.; Beck, T.W. Design of a water curtain to reduce accumulations of float coal dust in longwall returns. Int. J. Min. Sci. Technol. 2020, 30, 443–447. [Google Scholar] [CrossRef] [PubMed]
- Mendoza, L.R.; Sarver, E.; Saylor, J. Removal of DPM from an airstream using micro-scale droplets. Aerosol Air Qual. Res. 2017, 17, 1865–1874. [Google Scholar] [CrossRef]
- Tanigawa, Y.; Alloo, R.; Tanaka, N.; Yamazaki, M.; Ohmori, T.; Yano, H.; Salazar, A.; Saito, K. Development of a New Paint Over-Spray Eliminator. In Progress in Scale Modeling; Springer: Dordrecht, The Netherlands, 2008. [Google Scholar]
- Toda, K.; Salazar, A.; Saito, K. Automotive Painting Technology; Springer: Dordrecht, The Netherlands, 2013. [Google Scholar]
- Kumar, A.; Levy, A.; Schafrik, S.; Novak, T. Computational fluid dynamics modeling and laboratory analysis of aerosol particles’ capture on thin swirling water film in a Vortecone. Powder Technol. 2019, 361C, 499–506. [Google Scholar] [CrossRef]
- Kumar, A.; Schafrik, S.; Novak, T. Multi-phase computer modeling and laboratory study of dust capture by an inertial Vortecone scrubber. Int. J. Min. Sci. Technol. 2020, 30, 287–291. [Google Scholar] [CrossRef]
- Kumar, A.R.; Schafrik, S. Multiphase CFD modeling and laboratory testing of a Vortecone for mining and industrial dust scrubbing applications. Process. Safety Environ. Prot. 2020, 144, 330–336. [Google Scholar] [CrossRef]
- Taylor, A. The Redesigned Vortecone: A Maintenance Free Wet Scrubber Device; University of Kentucky: Lexington, KY, USA, 2019. [Google Scholar]
- Campbell, J.; Moynihan, D.; Roper, W.; Wilis, E. Dust Control System and Method of Operation. U.S. Patent US4380353A, 19 April 1983. [Google Scholar]
- Colinet, J.; Reed, W.; Potts, J. Report of Investigations 9693; Impact on Respirable Dust Levels When Operating a Flooded-Bed Scrubber in 20-ft Cuts; National Institute for Occupational Safety and Health (NIOSH): Pittsburgh, PA, USA, 2013. [Google Scholar]
- NIOSH. Exposure to Silica Dust on Continuous Mining Operations Using Flooded-Bed Scrubbers; Centers for Disease Control and Prevention: Atlanta, GA, USA, 1997. [Google Scholar]
- Wedding, W.C.; Novak, T.; Arya, S.; Kumar, A. CFD Modeling of a Flooded-bed Scrubber Concept for a Longwall Shearer Operating in a U.S. Coal Seam. In Proceedings of the 15th North American Mine Ventilation Symposium, Blacksburg, VA, USA, 20–25 June 2015. [Google Scholar]
- Agranovski, I.E.; Shapiro, M. Clogging of wet filters by dust particles. J. Aerosol Sci. 2001, 32, 1009–1020. [Google Scholar] [CrossRef]
- Wala, A.; Jacob, J.; Huang, G.; Brown, J.; Rangubhotla, L. How scrubbers help ventilate the face during deep cut mining with a blowing curtain, Mine ventilation. In Proceedings of the 10th U.S./North American Mine Ventilation Symposium, Anchorage, AK, USA, 16–19 May 2004. [Google Scholar]
- Wala, A.; Vytla, S.; Huang, S.; Taylor, C. Study on the effects of scrubber operations on the face ventilation. In Proceedings of the 12th US/North American Mine Ventilation Symposium, Reno, NV, USA, 9–11 June 2008. [Google Scholar]
- Janzen, J. The refractive index of colloidal carbon. J. Colloid Interface Sci. 1979, 69, 436–447. [Google Scholar] [CrossRef]
- Wilcox, J. Isokinetic flow and sampling. J. Air Pollut. Control. Assoc. 1956, 5, 226–245. [Google Scholar] [CrossRef]
- Centner, P.; Buttner, H.; Ebert, F. Investigation of a Wet Dust Scrubber with a Pneumatic Nozzle: Dust Collection Based on Turbulent Diffusion. Chem. Eng. J. 1989, 12, 439–444. [Google Scholar] [CrossRef]








| Airflow (m3/s) | Water Flow (L/min) | Parameter, a | Parameter, b | Particle Size d75(μm) | Particle Size d90(μm) | Adj. R2 |
|---|---|---|---|---|---|---|
| 1.42 | 18.9 | 107.06 | 4.07 | 4.07 | 6.20 | 0.84 |
| 1.42 | 22.7 | 106.46 | 3.88 | 3.88 | 5.95 | 0.83 |
| 1.89 | 18.9 | 101.90 | 2.95 | 2.95 | 4.76 | 0.91 |
| 1.89 | 22.7 | 101.07 | 2.46 | 2.46 | 4.02 | 0.92 |
| 2.36 | 18.9 | 102.17 | 3.25 | 3.25 | 5.22 | 0.93 |
| 2.36 | 22.7 | 101.74 | 2.41 | 2.41 | 3.90 | 0.91 |
| 2.83 | 18.9 | 102.10 | 2.92 | 2.92 | 4.70 | 0.91 |
| 2.83 | 22.7 | 101.44 | 2.78 | 2.78 | 4.52 | 0.93 |
Publisher’s Note: MDPI stays neutral with regard to jurisdictional claims in published maps and institutional affiliations. |
© 2021 by the authors. Licensee MDPI, Basel, Switzerland. This article is an open access article distributed under the terms and conditions of the Creative Commons Attribution (CC BY) license (http://creativecommons.org/licenses/by/4.0/).
Share and Cite
Gupta, N.; Kumar, A.R.; Schafrik, S. Laboratory Determination of Coal Dust Cleaning Efficacy of a Fibrous Filter for Flooded-Bed Dust Scrubber. Minerals 2021, 11, 295. https://doi.org/10.3390/min11030295
Gupta N, Kumar AR, Schafrik S. Laboratory Determination of Coal Dust Cleaning Efficacy of a Fibrous Filter for Flooded-Bed Dust Scrubber. Minerals. 2021; 11(3):295. https://doi.org/10.3390/min11030295
Chicago/Turabian StyleGupta, Neeraj, Ashish Ranjan Kumar, and Steven Schafrik. 2021. "Laboratory Determination of Coal Dust Cleaning Efficacy of a Fibrous Filter for Flooded-Bed Dust Scrubber" Minerals 11, no. 3: 295. https://doi.org/10.3390/min11030295
APA StyleGupta, N., Kumar, A. R., & Schafrik, S. (2021). Laboratory Determination of Coal Dust Cleaning Efficacy of a Fibrous Filter for Flooded-Bed Dust Scrubber. Minerals, 11(3), 295. https://doi.org/10.3390/min11030295

