(Bio)dissolution of Glassy and Diopside-Bearing Metallurgical Slags: Experimental and Economic Aspects
Abstract
1. Introduction
2. Materials and Methods
2.1. Metallurgical Slags
2.2. Experimental Leaching
3. Results
3.1. Characterization of Metallurgical Slags
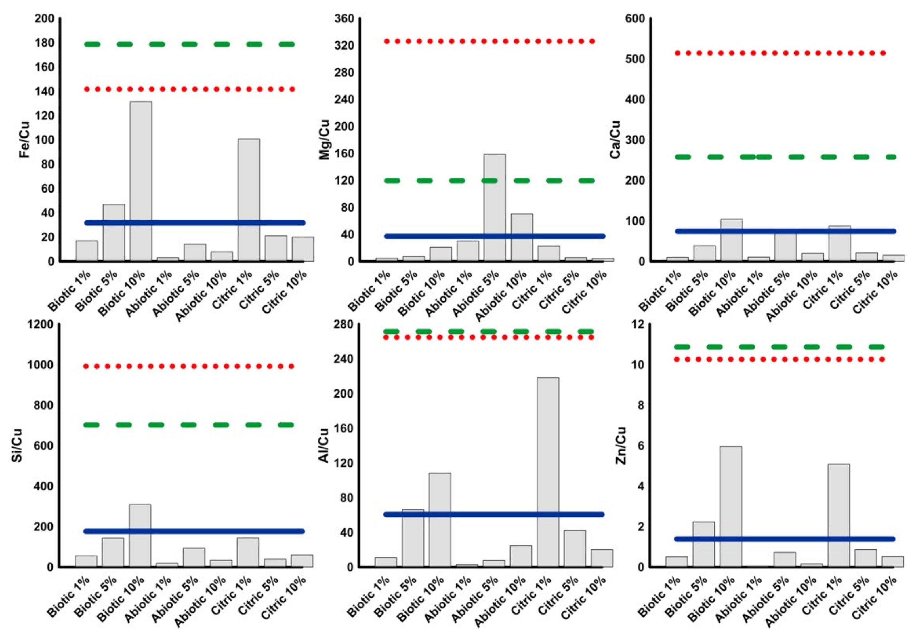
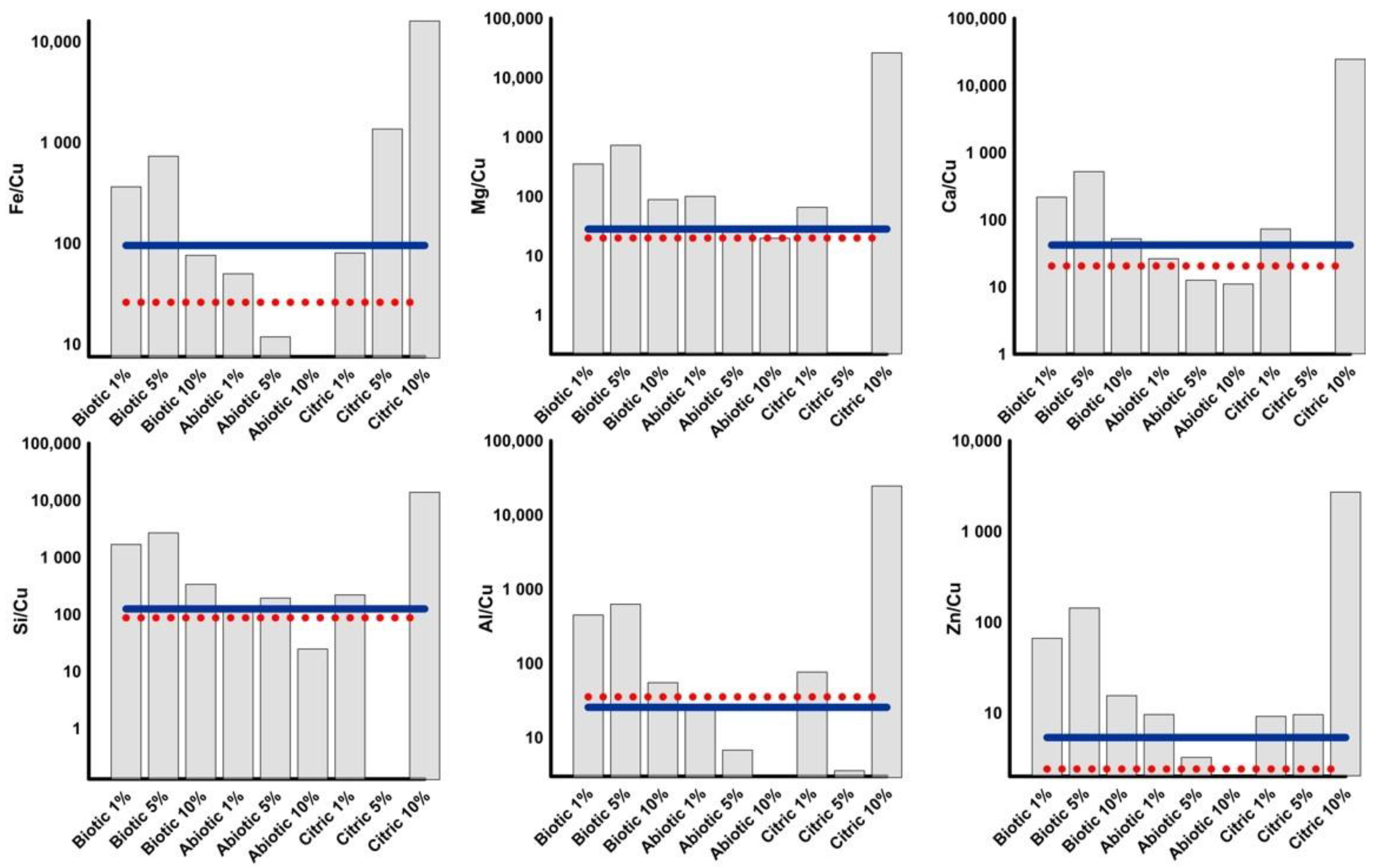
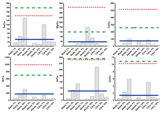
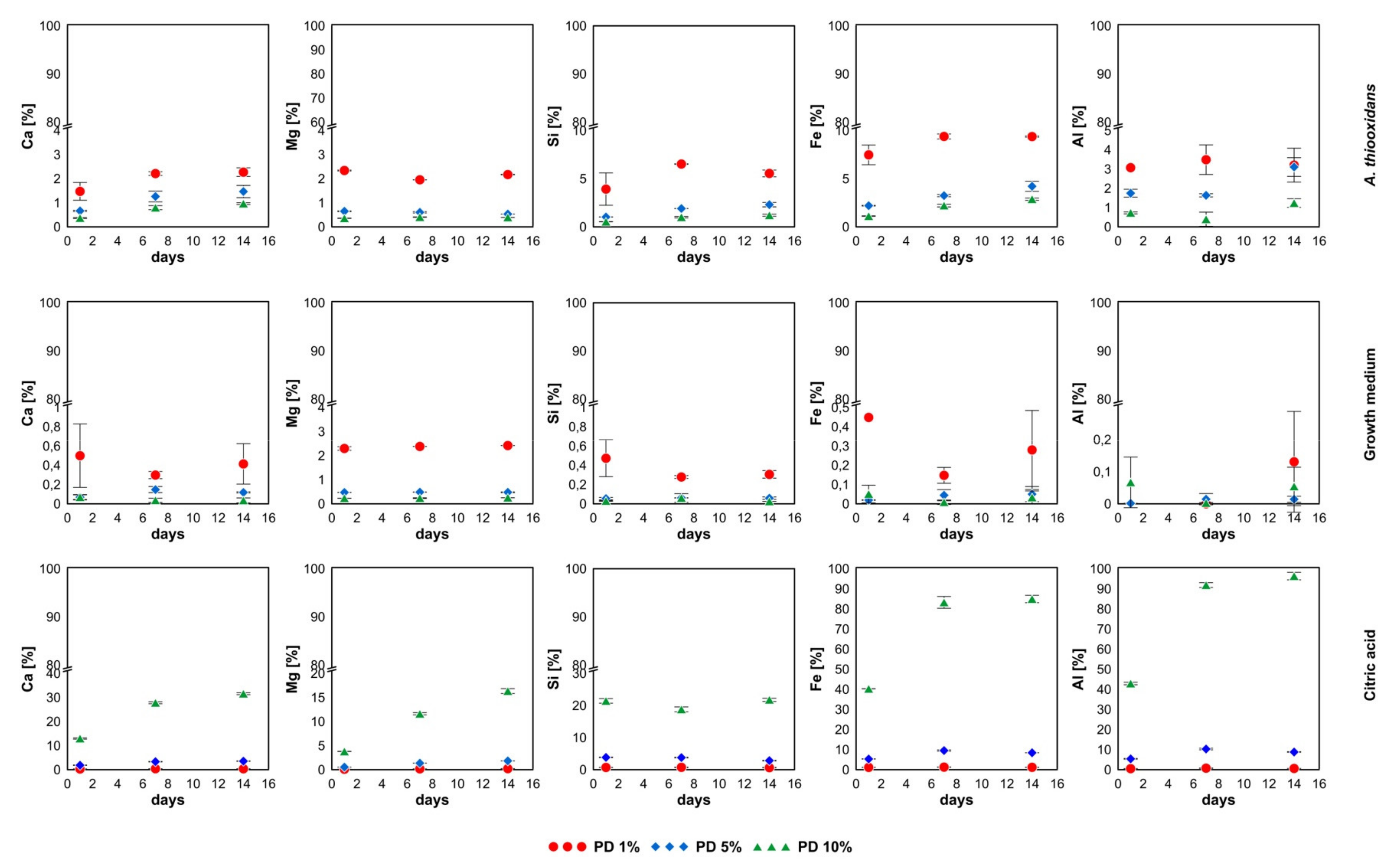
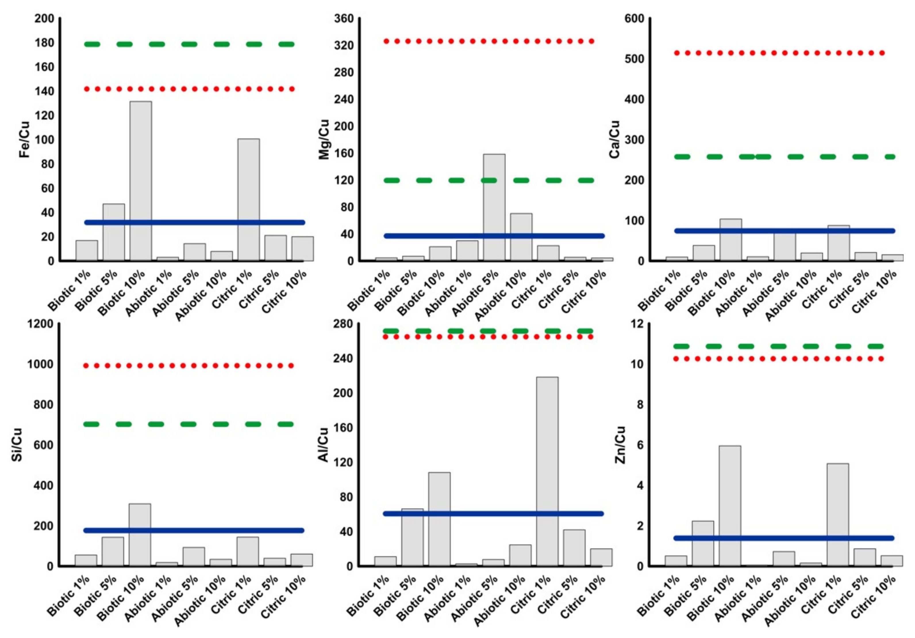
3.2. Elements Extraction from Studied Slags
4. Discussion
4.1. Effect of Leaching Agent
4.2. Effect of Pulp Density
4.3. Effect of Phase Composition
4.4. Future Considerations in Economic and Environmental Context
5. Conclusions
Supplementary Materials
Author Contributions
Funding
Acknowledgments
Conflicts of Interest
References
- Radetzki, M. Seven thousand years in the service of humanity-the history of copper, the red metal. Resour. Policy 2009, 34, 176–184. [Google Scholar] [CrossRef]
- Bellemans, I.; De Wilde, E.; Moelans, N.; Verbeken, K. Metal losses in pyrometallurgical operations—A review. Adv. Colloid Interface Sci. 2018, 255, 47–63. [Google Scholar] [CrossRef] [PubMed]
- Ettler, V. Soil contamination near non-ferrous metal smelters: A review. Appl. Geochem. 2016, 64, 56–74. [Google Scholar] [CrossRef]
- Tyszka, R.; Pietranik, A.; Kierczak, J.; Ettler, V.; Mihaljevic, M.; Weber, J. Anthropogenic and lithogenic sources of lead in Lower Silesia (Southwest Poland): An isotope study of soils, basement rocks and anthropogenic materials. Appl. Geochem. 2012, 27, 1089–1100. [Google Scholar] [CrossRef]
- Tyszka, R.; Pietranik, A.; Kierczak, J.; Zieliński, G.; Darling, J. Cadmium distribution in Pb-Zn slags from Upper Silesia, Poland: Implications for cadmium mobility from slag phases to the environment. J. Geochem. Explor. 2018, 186, 215–224. [Google Scholar] [CrossRef]
- Piatak, N.M.; Seal, R.R. Mineralogy and environmental geochemistry of historical iron slag, Hopewell Furnace National Historic Site, Pennsylvania, USA. Appl. Geochem. 2012, 27, 623–643. [Google Scholar] [CrossRef]
- Ettler, V.; Legendre, O.; Bodenan, F.; Touray, J.-C. Primary Phases and Natural Weathering of Old Lead Zinc Pyrometallurgical Slag from Pribram, Czech Republic. Can. Mineral. 2001, 39, 873–888. [Google Scholar] [CrossRef]
- Parsons, M.B.; Bird, D.K.; Einaudi, M.T.; Alpers, C.N. Geochemical and mineralogical controls on trace element release from the Penn Mine base-metal slag dump, California. Appl. Geochem. 2001, 16, 1567–1593. [Google Scholar] [CrossRef]
- Piatak, N.M.; Seal, R.R. Mineralogy and the release of trace elements from slag from the Hegeler Zinc smelter, Illinois (USA). Appl. Geochemistry 2010, 25, 302–320. [Google Scholar] [CrossRef]
- Kierczak, J.; Pietranik, A. Mineralogy and composition of historical Cu slags from the rudawy janowickie mountains, Southwestern Poland. Can. Mineral. 2011, 49, 1281–1296. [Google Scholar] [CrossRef]
- Tyszka, R.; Kierczak, J.; Pietranik, A.; Ettler, V.; Mihaljevič, M. Extensive weathering of zinc smelting slag in a heap in Upper Silesia (Poland): Potential environmental risks posed by mechanical disturbance of slag deposits. Appl. Geochem. 2014, 40, 70–81. [Google Scholar] [CrossRef]
- Lottermoser, B.G. Mobilization of heavy metals from historical smelting slag dumps, north Queensland, Australia. Mineral. Mag. 2002, 66, 475–490. [Google Scholar] [CrossRef]
- Ettler, V.; Johan, Z.; Kříbek, B.; Šebek, O.; Mihaljevič, M. Mineralogy and environmental stability of slags from the Tsumeb smelter, Namibia. Appl. Geochem. 2009, 24, 1–15. [Google Scholar] [CrossRef]
- Fomchenko, N.; Uvarova, T.; Muravyov, M. Effect of mineral composition of sulfidic polymetallic concentrates on non-ferrous metals bioleaching. Miner. Eng. 2019, 138, 1–6. [Google Scholar] [CrossRef]
- Kaksonen, A.H.; Lavonen, L.; Kuusenaho, M.; Kolli, A.; Närhi, H.; Vestola, E.; Puhakka, J.A.; Tuovinen, O.H. Bioleaching and recovery of metals from final slag waste of the copper smelting industry. Miner. Eng. 2011, 24, 1113–1121. [Google Scholar] [CrossRef]
- Liu, R.; Mao, Z.; Liu, W.; Wang, Y.; Cheng, H.; Zhou, H.; Zhao, K. Selective removal of cobalt and copper from Fe (III)-enriched high-pressure acid leach residue using the hybrid bioleaching technique. J. Hazard. Mater. 2020, 121462. [Google Scholar] [CrossRef] [PubMed]
- Muravyov, M.I.; Fomchenko, N.V.; Usoltsev, A.V.; Vasilyev, E.A.; Kondrat’Eva, T.F. Leaching of copper and zinc from copper converter slag flotation tailings using H2SO4 and biologically generated Fe2(SO4)3. Hydrometallurgy 2012, 119, 40–46. [Google Scholar] [CrossRef]
- Warchulski, R.; Gawęda, A.; Kądziołka-Gaweł, M.; Szopa, K. Composition and element mobilization in pyrometallurgical slags from the Orzeł Biały smelting plant in the Bytom–Piekary Śląskie area, Poland. Mineral. Mag. 2015, 79, 459–483. [Google Scholar] [CrossRef]
- Kupczak, K.; Warchulski, R.; Dulski, M.; Środek, D. Chemical and phase reactions on the contact between refractory materials and slags, a case from the 19th century zn-pb smelter in ruda Ślaska, Poland. Minerals 2020, 10, 1006. [Google Scholar] [CrossRef]
- Warchulski, R.; Mendecki, M.; Gawęda, A.; Sołtysiak, M.; Gadowski, M. Rainwater-induced migration of potentially toxic elements from a Zn–Pb slag dump in Ruda Śląska in light of mineralogical, geochemical and geophysical investigations. Appl. Geochem. 2019, 109, 104369. [Google Scholar] [CrossRef]
- Crundwell, F. The mechanism of dissolution of minerals in acidic and alkaline solutions: Part III. Application to oxide, hydroxide and sulfide minerals. Hydrometallurgy 2014, 149, 71–81. [Google Scholar] [CrossRef]
- Kouassi, S.S.; Andji, J.; Bonnet, J.P.; Rossignol, S. Dissolution of waste glasses in high alkaline solutions. Ceram. Silikaty 2010, 54, 235–240. [Google Scholar]
- Oelkers, E.H.; Declercq, J.; Saldi, G.D.; Gislason, S.R.; Schott, J. Olivine dissolution rates: A critical review. Chem. Geol. 2018, 500, 1–19. [Google Scholar] [CrossRef]
- Potysz, A.; Kierczak, J.; Fuchs, Y.; Grybos, M.; Guibaud, G.; Lens, P.N.L.; van Hullebusch, E.D. Characterization and pH-dependent leaching behaviour of historical and modern copper slags. J. Geochem. Explor. 2016, 160, 1–15. [Google Scholar] [CrossRef]
- Mikoda, B.; Kucha, H.; Potysz, A.; Kmiecik, E. Metallurgical slags from Cu production and Pb recovery in Poland-Their environmental stability and resource potential. Appl. Geochem. 2019, 101, 67–74. [Google Scholar] [CrossRef]
- Napieraj, M. Recovery of Metals from Metallurgical Slags by Using Chemical and Biological Techniques (Odzysk Metali z Żużli Hutniczych Przy Zastosowaniu Technik Chemicznych Oraz Biologicznych); University of Wroclaw: Wroclaw, Poland, 2018. [Google Scholar]
- Seo, S.K.; Kwon, C.M.; Kim, F.S.; Lee, C.J. Experiment and kinetic modeling for leaching of blast furnace slag using ligand. J. CO2 Util. 2018, 27, 188–195. [Google Scholar] [CrossRef]
- Jarošíková, A.; Ettler, V.; Mihaljevič, M.; Drahota, P.; Culka, A.; Racek, M. Characterization and pH-dependent environmental stability of arsenic trioxide-containing copper smelter flue dust. J. Environ. Manag. 2018, 209, 71–80. [Google Scholar] [CrossRef] [PubMed]
- Jarošíková, A.; Ettler, V.; Mihaljevič, M.; Kříbek, B.; Mapani, B. The pH-dependent leaching behavior of slags from various stages of a copper smelting process: Environmental implications. J. Environ. Manag. 2017, 187, 178–186. [Google Scholar] [CrossRef]
- Król, A.; Mizerna, K.; Bożym, M. An assessment of pH-dependent release and mobility of heavy metals from metallurgical slag. J. Hazard. Mater. 2020, 384, 121502. [Google Scholar] [CrossRef] [PubMed]
- Ettler, V.; Piantone, P.; Touray, J.-C. Mineralogical control on inorganic contaminant mobility in leachate from lead-zinc metallurgical slag: Experimental approach and long-term assessment. Miner. Mag. 2003, 67, 1269–1283. [Google Scholar] [CrossRef]
- Castro, I.M.; Fietto, J.L.R.; Vieira, R.X.; Trópia, M.J.M.; Campos, L.M.M.; Paniago, E.B.; Brandão, R.L. Bioleaching of zinc and nickel from silicates using Aspergillus niger cultures. Hydrometallurgy 2000, 57, 39–49. [Google Scholar] [CrossRef]
- Strigáč, J.; Števulová, N.; Mikušinec, J.; Varečka, L.; Hudecová, D. Antimicrobial efficiency of metallurgical slags for application in building materials and products. Buildings 2018, 8, 33. [Google Scholar] [CrossRef]
- Mehta, K.D.; Das, C.; Pandey, B.D. Leaching of copper, nickel and cobalt from Indian Ocean manganese nodules by Aspergillus niger. Hydrometallurgy 2010, 105, 89–95. [Google Scholar] [CrossRef]
- Sukla, L.B.; Kar, R.N.; Panchanadikar, V. Leaching of copper converter slag with Aspergillus niger culture filtrate. BioMetals 1992, 5, 169–172. [Google Scholar] [CrossRef]
- Mulligan, C.N.; Kamali, M. Bioleaching of copper and other metals from low-grade oxidized mining ores by Aspergillus niger. J. Chem. Technol. Biotechnol. 2003, 78, 497–503. [Google Scholar] [CrossRef]
- Anjum, F.; Bhatti, H.N.; Asgher, M.; Shahid, M. Leaching of metal ions from black shale by organic acids produced by Aspergillus niger. Appl. Clay Sci. 2010, 47, 356–361. [Google Scholar] [CrossRef]
- Potysz, A.; Kierczak, J. Prospective (Bio)leaching of Historical Copper Slags as an Alternative to Their Disposal. Minerals 2019, 9, 542. [Google Scholar] [CrossRef]
- Hausrath, E.M.; Navarre-Sitchler, A.K.; Sak, P.B.; Steefel, C.I.; Brantley, S.L. Basalt weathering rates on Earth and the duration of liquid water on the plains of Gusev Crater, Mars. Geology 2008, 36, 67. [Google Scholar] [CrossRef]
- Sahni, A.; Kumar, A.; Kumar, S. Chemo-biohydrometallurgy—A hybrid technology to recover metals from obsolete mobile SIM cards. Environ. Nanotechnol. Monit. Manag. 2016, 6, 130–133. [Google Scholar] [CrossRef]
- Carranza, F.; Romero, R.; Mazuelos, A.; Iglesias, N.; Forcat, O. Biorecovery of copper from converter slags: Slags characterization and exploratory ferric leaching tests. Hydrometallurgy 2009, 97, 39–45. [Google Scholar] [CrossRef]
- Anand, S.; Sarveswara Rao, K.; Jena, P.K. Pressure leaching of copper converter slag using dilute sulphuric acid for the extraction of cobalt, nickel and copper values. Hydrometallurgy 1983, 10, 305–312. [Google Scholar] [CrossRef]
- Sukla, L.B.; Panda, S.C.; Jena, P.K. Recovery of cobalt, nickel and copper from converter slag through roasting with ammonium sulphate and sulphuric acid. Hydrometallurgy 1986, 16, 153–165. [Google Scholar] [CrossRef]
- Herreros, O.; Quiroz, R.; Manzano, E.; Bou, C.; Viñals, J. Copper extraction from reverberatory and flash furnace slags by chlorine leaching. Hydrometallurgy 1998, 49, 87–101. [Google Scholar] [CrossRef]
- Drever, J.I.; Stillings, L.L. The role of organic acids in mineral weathering. Colloids Surf. Physicochem. Eng. Asp. 1997, 120, 167–181. [Google Scholar] [CrossRef]
- Lazo, D.E.; Dyer, L.G.; Alorro, R.D. Silicate, phosphate and carbonate mineral dissolution behaviour in the presence of organic acids: A review. Miner. Eng. 2017, 100, 115–123. [Google Scholar] [CrossRef]
- Terry, B. The acid decomposition of silicate minerals part I. Reactivities and modes of dissolution of silicates. Hydrometallurgy 1983, 10, 135–150. [Google Scholar] [CrossRef]
- Meshram, P.; Prakash, U.; Bhagat, L.; Abhilash, D.; Zhao, H.; van Hullebusch, E.D. Processing of waste copper converter slag using organic acids for extraction of copper, nickel, and cobalt. Minerals 2020, 10, 290. [Google Scholar] [CrossRef]
- Astuti, W.; Hirajima, T.; Sasaki, K.; Okibe, N. Comparison of atmospheric citric acid leaching kinetics of nickel from different Indonesian saprolitic ores. Hydrometallurgy 2016, 161, 138–151. [Google Scholar] [CrossRef]
- Tang, J.A.; Valix, M. Leaching of low grade limonite and nontronite ores by fungi metabolic acids. Miner. Eng. 2006, 19, 1274–1279. [Google Scholar] [CrossRef]
- Gargul, K.; Boryczko, B.; Bukowska, A.; Jarosz, P.; Małecki, S. Leaching of lead and copper from flash smelting slag by citric acid. Arch. Civ. Mech. Eng. 2019, 19, 648–656. [Google Scholar] [CrossRef]
- Golubev, S.V.; Pokrovsky, O.S. Experimental study of the effect of organic ligands on diopside dissolution kinetics. Chem. Geol. 2006, 235, 377–389. [Google Scholar] [CrossRef]
- Potysz, A.; Kierczak, J.; Pietranik, A.; Kądziołka, K. Mineralogical, geochemical, and leaching study of historical Cu-slags issued from processing of the Zechstein formation (Old Copper Basin, southwestern Poland). Appl. Geochem. 2018, 98, 22–35. [Google Scholar] [CrossRef]
- Santhiya, D.; Ting, Y.P. Bioleaching of spent refinery processing catalyst using Aspergillus niger with high-yield oxalic acid. J. Biotechnol. 2005, 116, 171–184. [Google Scholar] [CrossRef]
- Tipre, D.R.; Dave, S.R. Bioleaching process for Cu-Pb-Zn bulk concentrate at high pulp density. Hydrometallurgy 2004, 75, 37–43. [Google Scholar] [CrossRef]
- Piatak, N.M.; Parsons, M.B.; Seal, R.R. Characteristics and environmental aspects of slag: A review. Appl. Geochem. 2015, 57, 236–266. [Google Scholar] [CrossRef]
- Vítková, M.; Ettler, V.; Johan, Z.; Kříbek, B.; Šebek, O.; Mihaljevič, M. Primary and secondary phases in copper-cobalt smelting slags from the Copperbelt Province, Zambia. Mineral. Mag. 2010, 74, 581–600. [Google Scholar] [CrossRef]
- Ettler, V.; Mihaljevič, M.; Touray, J.-C.; Piantone, P. Leaching of polished sections: An integrated approach for studying the liberation of heavy metals from lead-zinc metallurgical slags. Bull. Soc. Geol. Fr. 2002, 173, 161–169. [Google Scholar] [CrossRef]
- Schott, J.; Berner, R.A.; Sjöberg, E.L. Mechanism of pyroxene and amphibole weathering-I. Experimental studies of iron-free minerals. Geochim. Cosmochim. Acta 1981, 45, 2123–2135. [Google Scholar] [CrossRef]
- Fowler, T.A.; Crundwell, F.K. Leaching of zinc sulfide by Thiobacillus ferrooxidans: Bacterial oxidation of the sulfur product layer increases the rate of zinc sulfide dissolution at high concentrations of ferrous ions. Appl. Environ. Microbiol. 1999, 65, 5285–5292. [Google Scholar] [CrossRef]
- Lewis, A.E. Review of metal sulphide precipitation. Hydrometallurgy 2010, 104, 222–234. [Google Scholar] [CrossRef]
- Queneau, P.B.; Berthole, C.E. Silica in hydrometallurgy: An overview. Can. Metall. Q. 1986, 25, 201–209. [Google Scholar] [CrossRef]
- Kaksonen, A.H.; Särkijärvi, S.; Puhakka, J.A.; Peuraniemi, E.; Junnikkala, S.; Tuovinen, O.H. Chemical and bacterial leaching of metals from a smelter slag in acid solutions. Hydrometallurgy 2016, 159, 46–53. [Google Scholar] [CrossRef]
- Mathieux, F.; Ardente, F.; Bobba, S.; Nuss, P.; Blengini, G.A.; Dias, P.A.; Blagoeva, D.; Torres De Matos, C.; Wittmer, D.; Pavel, C.; et al. Critical Raw Materials and the Circular Economy. Background Report; Report EUR 28832 EN; European Union: Brussels, Belgium, 2017. [Google Scholar]
- Mehta, K.D.; Pandey, B.D. Premchand Bio-assisted leaching of copper, nickel and cobalt from copper converter slag. Mater. Trans. JIM 1999, 40, 214–221. [Google Scholar] [CrossRef]
- Potysz, A.; Lens, P.N.L.; van de Vossenberg, J.; Rene, E.R.; Grybos, M.; Guibaud, G.; Kierczak, J.; van Hullebusch, E.D. Comparison of Cu, Zn and Fe bioleaching from Cu-metallurgical slags in the presence of Pseudomonas fluorescens and Acidithiobacillus thiooxidans. Appl. Geochem. 2016, 68, 39–52. [Google Scholar] [CrossRef]
- Ettler, V.; Jarošíková, A.; Mihaljevič, M.; Kříbek, B.; Nyambe, I.; Kamona, F.; Mapani, B. Vanadium in slags from smelting of African Pb-Zn vanadate ores: Mineralogy, extractability and potential recovery. J. Geochem. Explor. 2020, 218, 106631. [Google Scholar] [CrossRef]
- Mikoda, B.; Potysz, A.; Kmiecik, E. Bacterial leaching of critical metal values from Polish copper metallurgical slags using Acidithiobacillus thiooxidans. J. Environ. Manag. 2019, 236, 436–445. [Google Scholar] [CrossRef]
- Abdel Basir, S.M.; Rabah, M.A. Hydrometallurgical recovery of metal values from brass melting slag. Hydrometallurgy 1999, 53, 31–44. [Google Scholar] [CrossRef]
- Banza, A.N.; Gock, E.; Kongolo, K. Base metals recovery from copper smelter slag by oxidising leaching and solvent extraction. Hydrometallurgy 2002, 67, 63–69. [Google Scholar] [CrossRef]
- Tong, D.; Yunhan, L. Processing of copper converter slag for metal reclamation. Part I: Extraction and recovery of copper and cobalt. Waste Manag. Res. 2007, 25, 440–448. [Google Scholar] [CrossRef]







| Glassy Slag (Gl-Slag) | Crystalline Slag (Di-Slag) | |
|---|---|---|
| Primary slag from shaft furnace | ||
| Surface glassy part of slag | Bulk slag with a crystalline part | |
| Bulk Chemical Composition * | Major Oxides [wt. %] vs. (Major Element [wt. %]) | |
| Fe2O3 (Fe) | 33.4 (23.4) | 10.7 (7.5) |
| SiO2 (Si) | 33.0 (15.4) | 44.9 (21.0) |
| CaO (Ca) | 10.4 (7.4) | 17.6 (12.6) |
| Al2O3 (Al) | 5.73 (3.0) | 13.1 (6.9) |
| MgO (Mg) | 4.99 (3.0) | 6.31 (3.8) |
| K2O (K) | 3.45 (2.9) | 3.57 (3.0) |
| Na2O (Na) | 0.80 (0.6) | 1.54 (1.1) |
| Metals (mg kg−1) | ||
| Cu | 2795 | 2687 |
| Zn | 15,407 | 3832 |
| Pb | 2950 | 1559 |
| Slag Treated and Agent/Conditions Tested | Results | Economic Potential Estimated [$ tonne−1] | Reference |
|---|---|---|---|
| Shaft furnace slag (Di-Slag) CA, A. thiooxidans | Cu: 27% (719 mg kg−1) Zn: 98% (3751 mg kg−1) | Cu: 4.7 | This study |
| Shaft furnace slag (Gl-Slag) CA, A. thiooxidans | Cu: 56% (1561 mg kg−1) Zn: 96% (14,711 mg kg−1) | Cu: 10.2 | This study |
| Cu flash smelting slag Citric acid (1 mol dm−3) | LS = 5, T: 70 °C Pb: 85% Cu: 26% (32,360 mg kg−1) | Cu: 211 | [51] |
| Cu converter slag Citric acid (0.5 mol dm−3) | CA from Aspergillus niger filtrate, d: 4h, LS = 20, T: 30 °C Cu: 23% (9269 mg kg−1) Ni: 4%, Co: 5.7%, Fe: 1.5% | Cu: 60.3 | [35] |
| Cu converter slag Citric acid (2 mol dm−3) | LS: 6.66 (PD 15%), d: 15 h, T: 35 °C Cu: 99% (14,157 mg kg−1) Ni: 89.2%, Co: 94%, Fe: 99.2% | Cu: 92.1 | [48] |
| Cu converter slag A. ferrooxidans | LS: 20, d: 80 days, T: 35 °C Cu: 99% (16,830 mg kg−1) Ni: 22%, Co: 30% | Cu: 110 | [65] |
| Cu slags A. thiooxidans | LS: 100, d: 21 days, T: 30 °C Crystalline fayalite slag (CS) Cu: 79% (4469 mg kg−1), Zn: 76% (3011 mg kg−1) Amorphous glassy (AS) Cu: 81% (9254 mg kg−1) Zn: 79% (6170 mg kg−1) | CS Cu: 29.1 AS Cu: 60.2 | [66] |
| Cu slags A. thiooxidans | LS: 100, d: 21 days, T: 30 °C Crystalline fayalite slag Cu: 52% (1981 mg kg−1), Zn: 68% (2482 mg kg−1) Amorphous glassy Cu: 99% (19,461 mg kg−1) Zn: 73% (428 mg kg−1) | CS Cu: 12.9 AS Cu: 126.6 | [38] |
Publisher’s Note: MDPI stays neutral with regard to jurisdictional claims in published maps and institutional affiliations. |
© 2021 by the authors. Licensee MDPI, Basel, Switzerland. This article is an open access article distributed under the terms and conditions of the Creative Commons Attribution (CC BY) license (http://creativecommons.org/licenses/by/4.0/).
Share and Cite
Potysz, A.; Mikoda, B.; Napieraj, M. (Bio)dissolution of Glassy and Diopside-Bearing Metallurgical Slags: Experimental and Economic Aspects. Minerals 2021, 11, 262. https://doi.org/10.3390/min11030262
Potysz A, Mikoda B, Napieraj M. (Bio)dissolution of Glassy and Diopside-Bearing Metallurgical Slags: Experimental and Economic Aspects. Minerals. 2021; 11(3):262. https://doi.org/10.3390/min11030262
Chicago/Turabian StylePotysz, Anna, Bartosz Mikoda, and Michał Napieraj. 2021. "(Bio)dissolution of Glassy and Diopside-Bearing Metallurgical Slags: Experimental and Economic Aspects" Minerals 11, no. 3: 262. https://doi.org/10.3390/min11030262
APA StylePotysz, A., Mikoda, B., & Napieraj, M. (2021). (Bio)dissolution of Glassy and Diopside-Bearing Metallurgical Slags: Experimental and Economic Aspects. Minerals, 11(3), 262. https://doi.org/10.3390/min11030262

