Sound Velocity Measurement of Shock-Compressed Quartz at Extreme Conditions
Abstract
:1. Introduction
2. Methods
2.1. Sound Velocity Method by Edge Rarefaction
2.2. Experimental Configuration and Targets
2.3. Experimental Diagnostic and Analysis
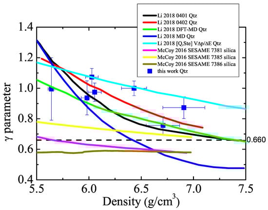
3. Results
4. Conclusions
Author Contributions
Funding
Data Availability Statement
Acknowledgments
Conflicts of Interest
References
- Duffy, T.; Madhusudhan, N.; Lee, K.K.M. Mineralogy of Super-Earth Planets. In Treatise on Geophysics; Schubert, G., Ed.; Elsevier: Amsterdam, The Netherlands, 2015; pp. 393–416. [Google Scholar]
- Rauer, H.; Catala, C.; Aerts, C.; Appourchaux, T.; Benz, W.; Brandeker, A.; Christensen-Dalsgaard, J.; Deleuil, M.; Gizon, L.; Goupil, J.; et al. The PLATO 2.0 mission. Exp. Astron. 2014, 38, 249–330. [Google Scholar] [CrossRef] [Green Version]
- Lissauer, J.; Dawson, R.I.; Tremaine, S. Advances in exoplanet science from Kepler. Nature 2014, 513, 336–344. [Google Scholar] [CrossRef]
- Valencia, D.; Connel, R.J.O.; Sasselov, D. Internal structure of massive terrestrial planets. Icarus 2006, 181, 545–554. [Google Scholar] [CrossRef] [Green Version]
- Swift, D.C.; Eggert, J.H.; Hicks, D.C.; Hamel, S.; Caspersen, K.; Schwegler, E.; Collins, G.W.; Nettelmann, N.; Ackland, G.J. Mass-radius relationships for exoplanets. Astrophys. J. 2012, 744, 59. [Google Scholar] [CrossRef]
- Zeng, L.; Sasselov, D.D.; Jacobsen, S.B. Mass-radius relation for rocky planets based on Prem. Astrophys. J. 2016, 819, 127. [Google Scholar] [CrossRef]
- Unterbornal, C.T.; Dismukes, E.E.; Panero, W.R. Scaling the Earth: A sensitivity analysis of terrestrial exoplanetary interior models. Astrophys. J. 2016, 819, 32. [Google Scholar] [CrossRef]
- Olson, P. Mantle control of the geodynamo: Consequences of top-down regulation. Geochem. Geophys. Geosyst. 2006, 17, 1935–1956. [Google Scholar] [CrossRef] [Green Version]
- Lammer, H. What makes a planet habitable? Astron. Astrophys. Rev. 2009, 17, 181–249. [Google Scholar] [CrossRef]
- Soubiran, F.; Militzer, B. Electrical conductivity and magnetic dynamos in magma oceans of Super-Earths. Nat. Comm. 2018, 9, 3883. [Google Scholar] [CrossRef] [Green Version]
- Stixrude, L. Melting in Super-Earths. Philos. Trans. R. Soc. A 2014, 372, 20130076. [Google Scholar] [CrossRef] [PubMed]
- Hemley, R.; Prewitt, C.T.; Kingma, K.J. High-pressure behavior of silica. In Silica: Physical Behavior, Geochemistry and Materials Applications; Manghnani, P.J., Prewitt, C.T., Gibbs, G.V., Eds.; Mineralogical Society of America: Blacksburg, Virginia, 1994; Volume 29, pp. 41–81. [Google Scholar]
- Wentzcovitch, R.M.; Silva, C.D.; Chelikowsky, J.R.; Binggeli, N. A new phase and pressure induced amorphization in silica. Phys. Rev. Lett. 1998, 80, 2149–2152. [Google Scholar] [CrossRef]
- Haines, J.; Leger, J.M.; Gorelli, F.; Hanfland, M. Crystalline post-quartz phase in silica at high pressure. Phys. Rev. Lett. 2001, 87, 155503. [Google Scholar] [CrossRef] [PubMed]
- Akins, J.A.; Ahrens, T.J. Dynamic compression of SiO2: A new interpretation. Geophys. Res. Lett. 2002, 29, 31-1–31-4. [Google Scholar] [CrossRef] [Green Version]
- Luo, S.-N.; Akins, J.A.; Ahrens, T.J.; Asimov, P.D. Shock-compressed MgSiO3 glass, enstatite, olivine, and quartz: Optical emission, temperatures, and melting. J. Geophys. Rev. 2004, 109, B05205. [Google Scholar] [CrossRef] [Green Version]
- Dubrovinsky, L.S.; Dubrovinskaia, N.A.; Prakapenka, V.; Seifert, F.; Langenhorst, F.; Dmitriev, V.; Weber, H.-P.; Bihan, T.L. A class of new high-pressure silica polymorphs. Phys. Earth Planet. Int. 2004, 143–144, 231–240. [Google Scholar] [CrossRef]
- Hu, Q.Y.; Shu, J.-F.; Yang, W.G.; Park, C.; Chen, M.W.; Fujita, T.; Mao, H.-K.; Sheng, H.W. Stability limits and transformation pathways of α-quartz under high pressure. Phys. Rev. B 2017, 95, 104112. [Google Scholar] [CrossRef] [Green Version]
- Tracy, S.J.; Turneaure, S.J.; Duffy, T.S. In situ X-Ray Diffraction of Shock-Compressed Fused Silica. Phys. Rev. Lett. 2018, 120, 137702. [Google Scholar] [CrossRef] [Green Version]
- Prescher, C.J.; Prakapenka, V.B.; Stefanski, J.; Jahn, S.; Skinner, L.B.; Wang, Y.-B. Beyond sixfold coordinated Si in SiO2 glass at ultrahigh pressures. Proc. Natl. Acad. Sci. USA 2017, 114, 10041–10046. [Google Scholar] [CrossRef] [PubMed] [Green Version]
- Asimov, P.D. Dynamic compression. In Treatise on Geophysics; Schubert, G., Ed.; Elsevier: Amsterdam, The Netherlands, 2015; pp. 393–416. [Google Scholar]
- Hicks, D.G.; Boehly, T.R.; Celliers, P.M.; Eggert, J.H.; Vianello, E.; Meyerhofer, D.D.; Collins, G.W. Shock compression of quartz in the high-pressure fluid regime. Phys. Plasmas 2005, 12, 082702. [Google Scholar] [CrossRef] [Green Version]
- Knudson, M.D.; Desjarlais, M.P. Shock Compression of Quartz to 1.6 TPa: Redefining a Pressure Standard. Phys. Rev. Lett. 2009, 103, 225501. [Google Scholar] [CrossRef]
- Hicks, D.G.; Beohly, T.R.; Eggert, J.H.; Miller, J.E.; Celliers, P.M.; Collins, G.W. Dissociation of Liquid Silica at High Pressures and Temperatures. Phys. Rev. Lett. 2006, 97, 025502. [Google Scholar] [CrossRef] [PubMed] [Green Version]
- Qi, T.; Millot, M.; Kraus, R.G.; Root, S.; Hamel, S. Optical and transport properties of dense liquid silica. Phys. Plasmas 2015, 22, 062706. [Google Scholar] [CrossRef]
- Boehly, T.R.; Miller, J.E.; Meyerhofer, D.D.; Eggert, J.H.; Celliers, P.M.; Hicks, D.G.; Collins, G.W. Shock Compression of Conducted Matter-2007; Elert, M., Furnish, M.D., Chau, R., Holmes, N., Nguyen, J., Eds.; American Institute of Physics: Melville, NY, USA, 2007; Volume 955, p. 19. [Google Scholar]
- Knudson, M.D.; Desjarlais, M.P. Adiabatic release measurements in α-quartz between 300 and 1200 GPa: Characterization of α-quartz as a shock standard in the multimegabar regime. Phys. Rev. B 2013, 88, 184107. [Google Scholar] [CrossRef]
- Kraus, R.G.; Stewart, S.T.; Swift, D.C.; Bolme, C.A.; Smith, R.F.; Hamel, S.; Hammel, B.D.; Spaulding, D.K.; Hicks, D.G.; Eggert, J.H.; et al. Shock vaporization of silica and the thermodynamics of planetary impact events: Shock vaporization of silica. J. Geophys. Res. 2012, 117, E09009. [Google Scholar] [CrossRef] [Green Version]
- Millot, M.; Dubrovinskaia, N.; Cernok, A.; Blaha, S.; Dubrovinsky, L.; Braun, D.G.; Celliers, P.M.; Collins, G.W.; Eggert, J.H.; Jeanloz, R. Shock compression of stishovite and melting of silica at planetary interior conditions. Science 2015, 347, 418. [Google Scholar] [CrossRef] [PubMed] [Green Version]
- Denoeudn, A.; Benuzzi-Mounaix, A.; Ravasio, A.; Dorchies, F.; Leguay, P.M.; Gaudin, J.; Guyot, F.; Brambrink, E.; Koenig, M.; Le Pape, S.; et al. Metallization of Warm Dense SiO2 Studied by XANES Spectroscopy. Phys. Rev. Lett. 2014, 113, 116404. [Google Scholar] [CrossRef] [PubMed]
- Pavlovskii, M.N. Measurements of the velocity of sound in shock-compressed quartzite, dolomite, anhydrite, sodium chloride, paraffin, plexiglas, polyethylene, and fluoroplast-4. J. Appl. Mech. Tech. Phys. 1976, 17, 709. [Google Scholar] [CrossRef]
- Duffy, T.S.; Ahrens, T.J. Sound velocities at High pressure and Temperature and Their Geophysical Implications. J. Geophys. Res. 1992, 97, 4503–4520. [Google Scholar] [CrossRef] [Green Version]
- Tan, Y.; Yu, Y.Y.; Dai, C.-D.; Jin, K.; Wang, Q.S.; Hu, J.-B.; Tan, H. Hugoniot and sound velocity measurements of bismuth in the range of 11–70 GPa. J. Appl. Phys. 2013, 113, 093509. [Google Scholar] [CrossRef]
- McQueen, R.G. The Velocity of Sound behind Strong Shocks in SiO2. In Shock Compression of Condensed Matter-1991; Dick, R.D., Forbes, J.W., Tasker, D.G., Eds.; Elsevier: Amsterdam, The Netherlands, 1992; p. 75. [Google Scholar]
- Li, M.; Zhang, S.; Zhang, H.P.; Zhang, G.M.; Wang, F.; Zhao, J.H.; Sun, C.W.; Jeanloz, R. Continuous Sound Velocity Measurements along the Shock Hugoniot Curve of Quartz. Phys. Rev. Lett. 2018, 120, 215703. [Google Scholar] [CrossRef]
- Altshuler, V.L.; Kormer, S.B.; Brazhnik, M.I.; Vladimirov, L.A.; Speranskaya, M.P.; Funtikov, A.I. The isentropic compression of aluminum, copper, lead and iron at high pressures. Sov. Phys. JETP 1960, 11, 766. [Google Scholar]
- Zeldovich, Y.B.; Raizer, Y.P. Physics of Shock Waves and High Temperature Hydrodynamic Phenomena; Hayes, W.D., Probstein, R.F., Eds.; Dover Publications, Inc.: Mineola, NY, USA, 2002. [Google Scholar]
- Barker, L.M.; Hollenbach, R.E. Laser interferometer for measuring high velocities of any reflecting surface. J. Appl. Phys. 1972, 43, 4669. [Google Scholar] [CrossRef]
- Celliers, P.M.; Collins, G.W.; Da Silva, L.B.; Gold, D.M.; Cauble, R. Accurate measurement of laser-driven shock trajectories with velocity interferometry. Appl. Phys. Lett. 1998, 73, 1320. [Google Scholar] [CrossRef]
- Celliers, P.M.; Bradley, D.K.; Collins, G.W.; Hicks, D.G.; Boehly, T.R.; Armstrong, W.J. Line-imaging velocimeter for shock diagnostics at the OMEGA laser facility. Rev. Sci. Instrum. 2004, 75, 4916. [Google Scholar] [CrossRef] [Green Version]
- Fratanduono, D.E.; Munro, D.H.; Celliers, P.M.; Collins, G.W. Hugoniot experiments with unsteady waves. J. Appl. Phys. 2014, 116, 033517. [Google Scholar] [CrossRef]
- McCoy, C.A.; Gregor, M.C.; Polsin, M.C.; Fratanduono, D.E.; Celliers, P.M.; Boehly, T.R.; Meyerhofer, D.D. Measures of the sound velocity of shock-compressed liquid silica to 1100 GPa. J. Appl. Phys. 2016, 120, 235901. [Google Scholar] [CrossRef] [Green Version]
- McCoy, C.A.; Hu, S.X.; Marshall, M.C.; Polsin, M.C.; Fratanduono, D.E.; Ding, Y.H.; Celliers, P.M.; Boehly, T.R.; Meyerhofer, D.D. Measurement of the sound velocity and Grüneisen parameter of polystyrene at inertial confinement fusion conditions. Phys. Rev. B 2020, 102, 184102. [Google Scholar] [CrossRef]
- Zheng, W.-G.; Wei, X.-F.; Zhu, Q.-H.; Jing, F.; Hu, D.-X.; Su, J.-Q.; Zheng, K.-X.; Yuan, X.-D.; Zhou, H.; Dai, W.-J.; et al. Laser performance of the SG-III laser facility. High Power Laser Sci. Eng. 2016, 4, e21. [Google Scholar] [CrossRef] [Green Version]
- Gong, T.; Hao, L.; Li, Z.-C.; Yang, D.; Li, S.-W.; Guo, L.; Zou, S.-Y.; Liu, Y.-Y.; Jiang, X.-H.; Peng, X.-S.; et al. Recent research progress of laser plasma interactions in Shenguang laser facilities. Matter Radiat. Extremes. 2019, 4, 055202. [Google Scholar] [CrossRef] [Green Version]
- Li, Z.-C.; Jiang, X.-H.; Liu, S.-Y.; Huang, T.-X.; Zheng, J.; Yang, J.-M.; Li, S.-W.; Guo, L.; Zhao, X.-F.; Du, H.-B.; et al. A novel flat-response X-ray detector in the photon energy range of 0.1–4 keV. Rev. Sci. Instrum. 2010, 81, 073504. [Google Scholar] [CrossRef]
- Ramis, R.; Meyer-ter-Vehn, J. MULTI-IFE–A one-dimensional computer code for Inertial Fusion Energy (IFE) target simulations. Comput. Phys. Commun. 2016, 203, 226–237. [Google Scholar] [CrossRef]
- Liu, W.; Duan, X.-X.; Jiang, S.-E.; Wang, Z.-B.; Sun, L.; Liu, H.; Yang, W.-M.; Zhang, H.; Ye, Q.; Li, Y.-Y.; et al. Laser-driven shock compression of gold foam in the terapascal pressure range. Phys. Plasmas. 2018, 25, 062707. [Google Scholar] [CrossRef]
- Hartley, N.J.; Zhang, C.; Duan, X.-X.; Huang, L.-G.; Jiang, S.-E.; Li, Y.; Yang, L.; Pelka, A.; Wang, Z.-B.; Yang, J.-M.; et al. Dynamically pre-compressed hydrocarbons studied by self-impedance mismatch. Matter Radiat. Extrem. 2020, 5, 028401. [Google Scholar] [CrossRef] [Green Version]
- Duan, X.-X.; Zhang, C.; Guan, Z.-Y.; Sun, L.; Peng, X.-S.; Liu, H.; Yang, W.-M.; Li, Y.-L.; Zhang, H.; Ye, Q.; et al. Transparency measurement of lithium fluoride under laser-driven accelerating shock loading. J. Appl. Phys. 2020, 128, 015902. [Google Scholar] [CrossRef]
- Wang, P.; Zhang, C.; Jiang, S.-E.; Duan, X.-X.; Zhang, H.; Li, L.-L.; Yang, W.-M.; Liu, Y.-G.; Li, Y.-L.; Sun, L.; et al. Density-dependent shock Hugoniot of polycrystalline diamond at pressures relevant to ICF. Matter Radiat. Extrem. 2021, 6, 033902. [Google Scholar] [CrossRef]
- Berryman, E.J.; Winey, J.M.; Gupta, Y.M.; Duffy, T.S. Sound Velocities in Shock-Synthesized Stishovite to 72 GPa. Geophys. Res. Lett. 2019, 46, 13,697–13,703. [Google Scholar] [CrossRef]




| Shot No. | (km/s) | P (GPa) | (g/cc) | (km/s) | Parameter |
|---|---|---|---|---|---|
| 340 | 21.63 ± 0.16 | 742.68 ± 11.91 | 6.71 ± 0.16 | 16.69 ± 0.66 | 0.76 ± 0.06 |
| 341 | 23.18 ± 0.16 | 871.28 ± 18.55 | 6.91 ± 0.20 | 15.30 ± 0.97 | 0.87 ± 0.07 |
| 342 | 19.66 ± 0.23 | 605.36 ± 8.12 | 6.43 ± 0.12 | 13.88 ± 0.54 | 0.99 ± 0.05 |
| 343 | 16.86 ± 0.16 | 430.51 ± 13.94 | 6.05 ± 0.06 | 13.94 ± 0.51 | 0.97 ± 0.06 |
| 344 | 16.68 ± 0.16 | 412.42 ± 4.04 | 6.03 ± 0.06 | 13.06 ± 0.51 | 1.07 ± 0.06 |
| 345 | 16.33 ± 0.16 | 391.78 ± 3.73 | 5.98 ± 0.05 | 14.14 ± 0.90 | 0.94 ± 0.11 |
| 346 | 13.69 ± 0.16 | 268.36 ± 2.29 | 5.64 ± 0.03 | 12.95 ± 1.34 | 1.00 ± 0.20 |
Publisher’s Note: MDPI stays neutral with regard to jurisdictional claims in published maps and institutional affiliations. |
© 2021 by the authors. Licensee MDPI, Basel, Switzerland. This article is an open access article distributed under the terms and conditions of the Creative Commons Attribution (CC BY) license (https://creativecommons.org/licenses/by/4.0/).
Share and Cite
Sun, L.; Zhang, H.; Guan, Z.; Yang, W.; Zhang, Y.; Sekine, T.; Duan, X.; Wang, Z.; Yang, J. Sound Velocity Measurement of Shock-Compressed Quartz at Extreme Conditions. Minerals 2021, 11, 1334. https://doi.org/10.3390/min11121334
Sun L, Zhang H, Guan Z, Yang W, Zhang Y, Sekine T, Duan X, Wang Z, Yang J. Sound Velocity Measurement of Shock-Compressed Quartz at Extreme Conditions. Minerals. 2021; 11(12):1334. https://doi.org/10.3390/min11121334
Chicago/Turabian StyleSun, Liang, Huan Zhang, Zanyang Guan, Weiming Yang, Youjun Zhang, Toshimori Sekine, Xiaoxi Duan, Zhebin Wang, and Jiamin Yang. 2021. "Sound Velocity Measurement of Shock-Compressed Quartz at Extreme Conditions" Minerals 11, no. 12: 1334. https://doi.org/10.3390/min11121334
APA StyleSun, L., Zhang, H., Guan, Z., Yang, W., Zhang, Y., Sekine, T., Duan, X., Wang, Z., & Yang, J. (2021). Sound Velocity Measurement of Shock-Compressed Quartz at Extreme Conditions. Minerals, 11(12), 1334. https://doi.org/10.3390/min11121334

