Part–Whole Relations: New Insights about the Dynamics of Complex Geochemical Riverine Systems
Abstract
1. Introduction
2. Materials and Methods
2.1. Monitoring the Compositional Change
2.2. The Data Set
2.3. Ranking Data and Perturbation Calculus
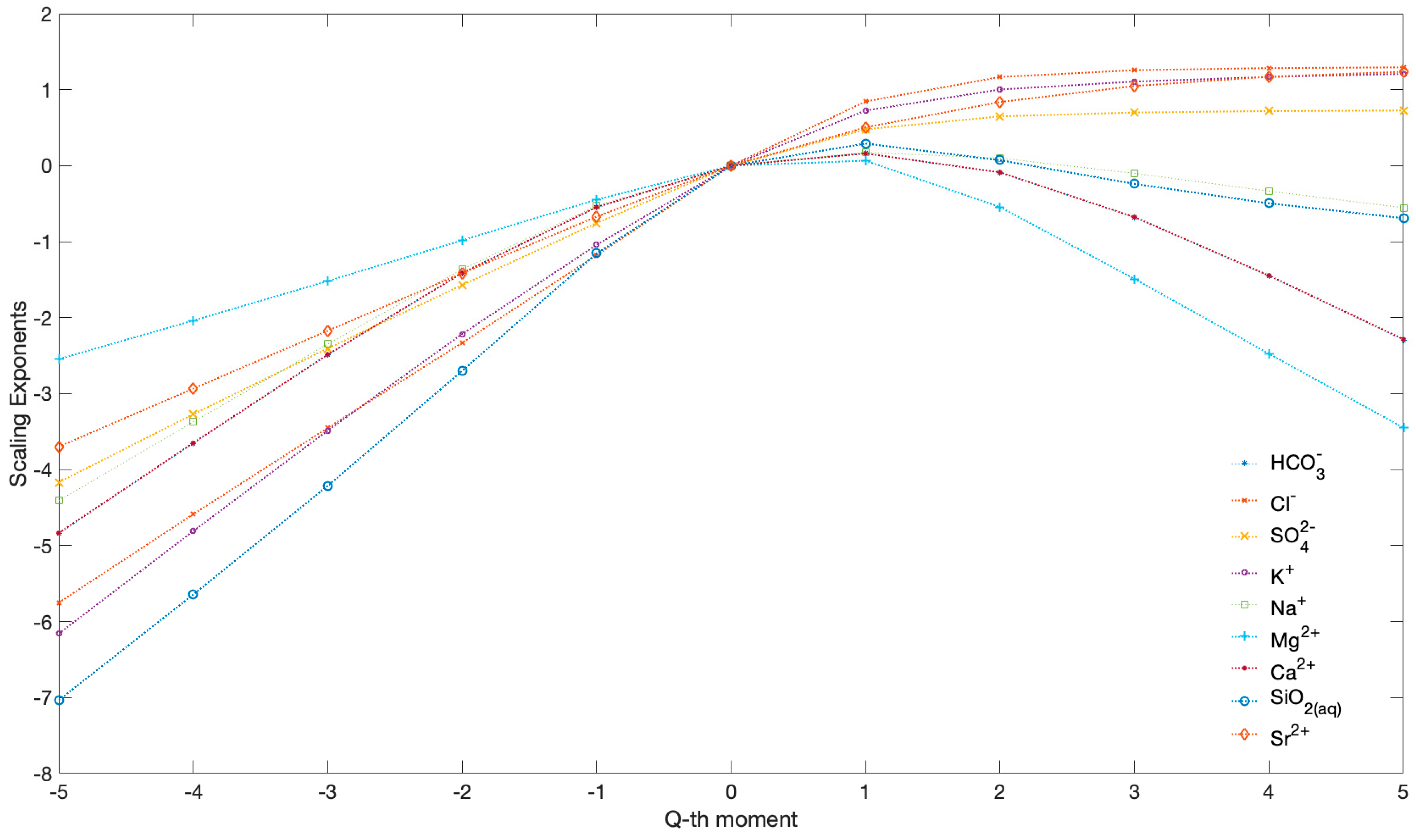
3. Results and Discussion
4. Final Thoughts and Conclusions
Author Contributions
Funding
Conflicts of Interest
References
- Penrose, R. The Road to Reality. A Complete Guide to the Laws of the Universe; Alfred, A., Ed.; Knopf Inc.: New York, NY, USA, 2005; ISBN 0.679-45443-8. [Google Scholar]
- Scheffer, M.; Carpenter, S.R.; Dakos, V.; van Nes, E. Generic Indicators of Ecological Resilience: Inferring the Chance of a critical transition. Annu. Rev. Ecol. Ecol. Syst. 2015, 46, 145–167. [Google Scholar] [CrossRef]
- Fuchs, A. Nonlinear Dynamics in Complex Systems. Theory and Applications for the Life, Neuro- and Natural Sciences; Springer-Verlag: Berlin/Heidelberg, Germany, 2003; ISBN 9768-3-642-33551-8. [Google Scholar]
- Aitchison, J. The Statistical Analysis of Compositional Data. In Monographs on Statistics and Applied Probability; Chapman and Hall Ltd.: London, UK, 1986. [Google Scholar]
- Buccianti, A.; Pawlowsky-Glahn, V. New perspectives on water chemistry and compositional data analysis. Mat. Geol. 2005, 37, 703–727. [Google Scholar] [CrossRef]
- Aitchison, J. The statistical analysis of compositional data (with discussion). J. R. Stat. Soc. B 1982, 44, 139–177. [Google Scholar]
- Pawlowsky-Glahn, V.; Egozcue, J.J.; Tolosana-Delgado, R. Modeling and Analysis of Compositional Data; John Wiley & Sons, Ltd.: Chichester, West Sussex, UK, 2015. [Google Scholar]
- Billheimer, D.; Guttorp, P.; Fagan, W. Statistical interpretation of species composition. J. Am. Stat. Assoc. 2001, 96, 1205–1214. [Google Scholar] [CrossRef]
- Pawlowsky-Glahn, V.; Egozcue, J.J. Geometric approach to statistical analysis on the simplex. Stoch. Environ. Res. Risk Assess. 2001, 15, 384–398. [Google Scholar] [CrossRef]
- Aitchison, J.; Ng, K.W. The role of perturbation in compositional data analysis. Stat. Model. 2005, 5, 173–185. [Google Scholar] [CrossRef]
- Gozzi, C.; Sauro Graziano, R.; Frondini, F.; Buccianti, A. Innovative monitoring tools for the complex spatial dynamic of river chemistry: Case study for the Alpine Region. Environ. Earth Sci. 2018, 77, 579. [Google Scholar] [CrossRef]
- Egozcue, J.J.; Pawlowsky-Glahn, V. Basic concepts and procedures. In Compositional Data Analysis. Theory and Applications; Pawlowsky-Glahn, V., Buccianti, A., Eds.; Wiley: Chichester, West Sussex, UK, 2011; pp. 12–28. [Google Scholar]
- Sauro Graziano, R.; Gozzi, C.; Buccianti, A. Is Compositional Data Analysis a theory able to discover complex dynamics in aqueous geochemical systems? J. Geochem. Explor. 2020, 211, 106465. [Google Scholar] [CrossRef]
- Gaillardet, J.; Duprè, B.; Louvat, P.; Allègre, C.J. Global silicate weathering and CO2 consumption rates deduced from the chemistry of large rivers. Chem. Geol. 1999, 159, 3–30. [Google Scholar] [CrossRef]
- Raymond, P.A.; Cole, J.J. Increase in the Export of alkalinity from North America’s Largest Rivers. Science 2003, 301, 88–91. [Google Scholar] [CrossRef]
- Raymond, P.A.; Oh, N.H.; Turner, R.E.; Broussard, W. Anthropogenically enhanced fluxes of water and carbon from the Mississippi River. Nature 2008, 451, 449–452. [Google Scholar] [CrossRef] [PubMed]
- Regnier, P.; Friedlingstein, P.; Ciais, P.; Mackenzie, F.T.; Gruber, N.; Janssens, I.A.; Laruelle, G.G.; Lauerwald, R.; Luyssaert, S.; Andersson, A.J.; et al. Anthropogenic perturbation of the carbon fluxes from land to ocean. Nat. Geosci. 2013, 6, 597–607. [Google Scholar] [CrossRef]
- Li, S.; Bush, R.T. Changing fluxes of carbon and other solutes from the Mekong River. Sci. Rep. 2015, 5, 16005. [Google Scholar] [CrossRef] [PubMed]
- Berner, E.K.; Berner, R.A. Global Environment. Water, Air, and Geochemical Cycles; Prentice-Hall, Inc.: Upper Saddle River, NJ, USA, 1996; p. 07458. [Google Scholar]
- Blaen, P.J.; Khamis, K.; Lloyd, C.E.M.; Bradley, C.; Hannah, D.; Krause, S. Real-time monitoring of nutrients and dissolved organic matter in rivers: Capturing event dynamics, technological opportunities and future directions. Sci. Total Environ. 2016, 569–570, 647–660. [Google Scholar] [CrossRef]
- Guillet, G.; Knapp, G.L.A.; Merel, S.; Cirpka, O.A.; Grathwohl, P.; Zwiener, C.; Schwientek, M. Fate of wastewater contaminants in rivers: Using conservative-trace based transfer functions to assess reactive transport. Sci. Total Environ. 2018, 656, 1250–1260. [Google Scholar] [CrossRef] [PubMed]
- Xia, X.; Zhang, S.; Li, S.; Zhang, L.; Wang, G.; Zhang, L.; Wang, J.; Li, Z. The cycle of nitrogen in river systems: Sources, transformation, and flux. Environ. Sci. Process. Impacts 2018, 20, 863–891. [Google Scholar] [CrossRef]
- Gozzi, C.; Filzmoser, P.; Buccianti, A.; Vaselli, O.; Nisi, B. Statistical methods for the geochemical characterization of surface waters: The case study of the Tiber River Basin (Central Italy). Comput. Geosci. 2019, 131, 80–88. [Google Scholar] [CrossRef]
- Rockström, J.; Steffen, W.; Noone, K.; Persson, A.; Chapin, F.S.; Lambin, E.F.; Lenton, T.M.; Scheffer, M.; Folke, C.; Schellnhuber, H.J.; et al. A safe operating space for humanity. Nature 2009, 461, 472–475. [Google Scholar] [CrossRef]
- Godsey, S.E.; Kirchner, J.W.; Clow, D.W. Concentration-discharge relationships reflect chemostatic characteristic of US catchments. Hydrol. Process. 2009, 23, 1844–1864. [Google Scholar] [CrossRef]
- Clow, D.W.; Mast, M.A. Mechanisms for chemostatic behaviour in catchments: Implications for CO2 consumption by mineral weathering. Chem. Geol. 2010, 269, 40–51. [Google Scholar] [CrossRef]
- Li, L.; Bao, C.; Sullivan, P.L.; Brantley, S.; Shi, Y.; Duffy, C. Understanding watershed hydrogeochemsitry: 2. Synchronized hydrological and geochemical processes drive stream chemostatic behaviour. Water Resour. Res. 2017, 53, 2346–2367. [Google Scholar] [CrossRef]
- Li, I. Watershed Reactive Transport. Rev. Miner. Geochem. 2019, 85, 381–418. [Google Scholar] [CrossRef]
- Koger, J.M.; Newman, B.D.; Goering, T.J. Chemostatic behaviour of major ions and contaminants in a semiarid spring and stream system near Los Alamos, NM, USA. Hydrol. Process. 2018, 32, 1709–1716. [Google Scholar] [CrossRef]
- Godsey, S.; Kirchner, J. Catchment chemostasis revised: Water quality responds differently to variations in weather and climate. In EGU General Assembly Conference Abstracts; EGU2017-3393-3; EGU General Assembly: Vienna, Austria, 2017; Volume 19. [Google Scholar]
- Filzmoser, P.; Hron, K.; Reimann, C. Principal component analysis for compositional data with outliers. Environmetrics 2009, 20, 621–632. [Google Scholar] [CrossRef]
- R Development Core Team. R: A Language and Environment for Statistical Computing; R Foundation for Statistical Computing: Vienna, Austria, 2018; Available online: https://www.R-project.org/ (accessed on 30 May 2020).
- Kynčlová, P.; Hron, K.; Filzmoser, P. Correlation between compositional parts based on symmetric balances. Math. Geosci. 2017, 49, 777–796. [Google Scholar] [CrossRef]
- Escobar, J.V.; Perez Castillo, I. Intermittent dynamics in complex systems drive to depletion. Sci. Rep. 2018, 8, 1–7. [Google Scholar] [CrossRef]
- Abramenko, V.; Yurchyshyn, V. Intermittency and multifractality spectra of the magnetic field in solar active regions. Astrophys. J. 2010, 722, 122–130. [Google Scholar] [CrossRef]
- Zuo, R.; Wang, J. Fractal/multifractal modeling of geochemical data: A review. J. Geochem. Explor. 2016, 33–41. [Google Scholar] [CrossRef]
- Mitzenmacher, M. A brief history of generative models for power law and lognormal distributions. Internet Math. 2004, 1, 226–251. [Google Scholar] [CrossRef]
- Van Rooij, M.M.J.W.; Nash, B.A.; Rajaraman, S.; Holde, J.G. A fractal approach to dynamic inference and distribution analysis. Front. Physiol. 2013, 4, 1–16. [Google Scholar] [CrossRef]
- Chen, S.-P.; He, L.-Y. Multifractal spectrum analysis of nonlinear dynamical mechanisms in China’s agricultural futures markets. Phys. A 2010, 389, 1434–1444. [Google Scholar] [CrossRef]
- Wendt, H.; Abry, P. Multifractality tests using bootstrapped wavelet leaders. IEEE Trans. Signal Process. 2007, 55, 4811–4820. [Google Scholar] [CrossRef]
- Jaffard, S.; Lasjermes, B.; Abry, P. Wavelet Leaders in Multifractal Analysis. In Wavelet Analysis and Applications; Qian, T., Vai, M.I., Xu, Y., Eds.; Birkhauser Verlag: Basel, Switzerland, 2006; pp. 219–264. [Google Scholar] [CrossRef]
- Salat, H.; Murcio, R.; Arcaute, E. Multifractal methodology. Phys. A 2017, 473, 467–487. [Google Scholar] [CrossRef]
- Goncalves, M.A. Characterization of geochemical distributions using multifractal models. Math. Geol. 2001, 33, 41–61. [Google Scholar] [CrossRef]
- Wang, J.; Zuo, R. Quantifying the distribution characteristics of geochemical elements and identifying their associations in southwestern Fujian Province, China. Minerals 2020, 10, 183. [Google Scholar] [CrossRef]
- Wu, Y.; He, Y.; Wu, M.; Lu, C.; Gao, S.; Xu, Y. Multifractality and cross-correlation analysis of streamflow and sediment fluctuation at the apex of the Pearl River Delta. Sci. Rep. 2018, 8, 16553. [Google Scholar] [CrossRef]
- Machs, J.; Mas, F.; Sagues, F. Two representations in multifractal analysis. J. Phys. A Math. Gen. 1995, 28, 5607–5622. [Google Scholar] [CrossRef]
- Shvartsev, S.L. Self-organizing abiogenic dissipative structures in the geologic history of the Earth. Earth Sci. Front. 2009, 16, 257–275. [Google Scholar] [CrossRef]






© 2020 by the authors. Licensee MDPI, Basel, Switzerland. This article is an open access article distributed under the terms and conditions of the Creative Commons Attribution (CC BY) license (http://creativecommons.org/licenses/by/4.0/).
Share and Cite
Gozzi, C.; Sauro Graziano, R.; Buccianti, A. Part–Whole Relations: New Insights about the Dynamics of Complex Geochemical Riverine Systems. Minerals 2020, 10, 501. https://doi.org/10.3390/min10060501
Gozzi C, Sauro Graziano R, Buccianti A. Part–Whole Relations: New Insights about the Dynamics of Complex Geochemical Riverine Systems. Minerals. 2020; 10(6):501. https://doi.org/10.3390/min10060501
Chicago/Turabian StyleGozzi, Caterina, Roberta Sauro Graziano, and Antonella Buccianti. 2020. "Part–Whole Relations: New Insights about the Dynamics of Complex Geochemical Riverine Systems" Minerals 10, no. 6: 501. https://doi.org/10.3390/min10060501
APA StyleGozzi, C., Sauro Graziano, R., & Buccianti, A. (2020). Part–Whole Relations: New Insights about the Dynamics of Complex Geochemical Riverine Systems. Minerals, 10(6), 501. https://doi.org/10.3390/min10060501

