Critical Synergistic Concentration of Binary Surfactant Mixtures
Abstract
1. Introduction
2. Materials and Methods
2.1. Materials
2.2. Surface Tension Measurements
2.3. Foamability Tests
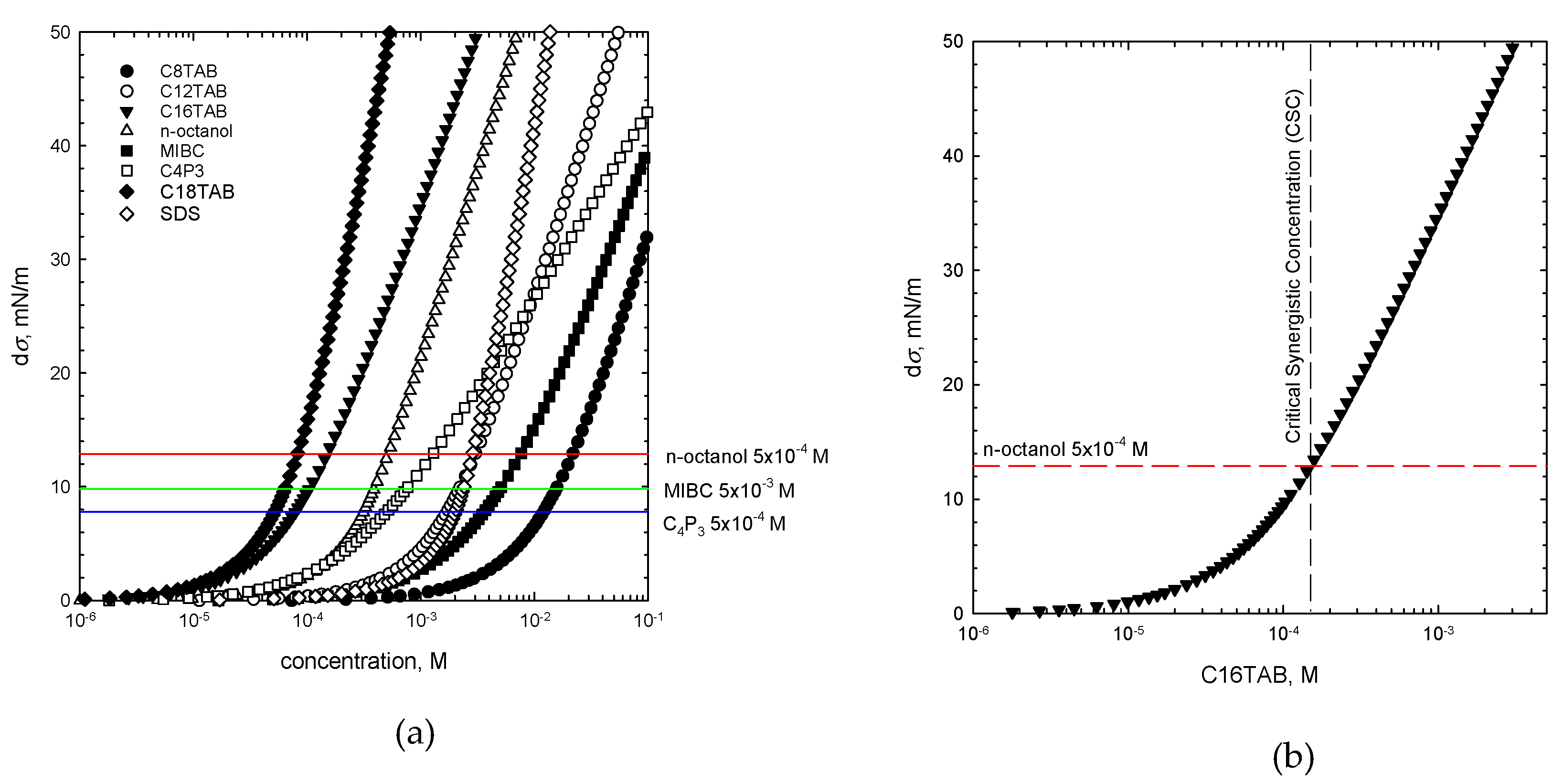
3. Results and Discussion
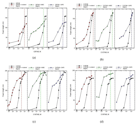
3.1. Foamability Tests
3.2. Analysis of Synergistic Effect Origin
4. Conclusions
Author Contributions
Funding
Acknowledgments
Conflicts of Interest
References
- Rosen, M.J. Surfactants and Interfacial Phenomena; Wiley: New York, NY, USA, 1989. [Google Scholar]
- Chen, Z.; Deng, S.; Li, X. Micellization and synergistic interaction of binary surfactant mixtures based on sodium nonylphenol polyoxyethylene ether sulfate. J. Colloid Interface Sci. 2008, 318, 389–396. [Google Scholar] [CrossRef] [PubMed]
- Le, T.N.; Phan, C.M.; Nguyen, A.V.; Ang, H.M. An unusual synergistic adsorption of MIBC and CTAB mixture at the air-water interface. Miner. Eng. 2012, 39, 255–261. [Google Scholar] [CrossRef]
- Dey, S.; Pani, S.; Singh, R. Study on interactions of frother blends and its effect on coal flotation. Powder Technol. 2014, 260, 78–83. [Google Scholar] [CrossRef]
- Rosen, M.J. Predicting synergism in binary mixtures of surfactants. Prog. Colloid Polym. Sci. 1994, 95, 39–47. [Google Scholar]
- Jost, F.; Leiter, H.; Schwuger, M.J. Synergisms in binary surfactant mixtures. Colloid Polym. Sci. 1998, 266, 554–561. [Google Scholar] [CrossRef]
- Zawala, J.; Wiertel-Pochopien, A.; Larsen, E.; Kowalczuk, P.B. Synergism between cationic alkyltrimethylammonium bromides (CnTAB) and nonionic n-octanol in foamability of their mixed solutions. Ind. Eng. Chem. Res. 2020, 59, 1159–1167. [Google Scholar] [CrossRef]
- Zielinski, R. Effect of Temperature on micelle formation in aqueous NaBr solutions of octyltrimethylammonium bromide. J. Colloid Interface Sci. 2001, 235, 201–209. [Google Scholar] [CrossRef] [PubMed]
- Stubenrauch, C.; Fainerman, V.B.; Aksenenko, E.V.; Miller, R. Adsorption behavior and dilational rheology of the cationic alkyl trimethylammonium bromides at the water/air interface. J. Phys. Chem. B 2005, 109, 1505–1509. [Google Scholar] [CrossRef] [PubMed]
- Lu, J.R.; Simister, E.A.; Thomas, R.K.; Penfold, J. Structure of an octadecyltrimethylammonium bromide layer at the air/water interface determined by neutral reflection: Systematic errors in reflectivity measurements. J. Phys. Chem. 1993, 97, 6024–6033. [Google Scholar] [CrossRef]
- Benito, I.; Garcia, M.A.; Monge, C.; Saz, J.M.; Marina, M.L. Spectrophotometric and conductimetric determination of the critical micellar concentration of sodium dodecyl sulfate and cetyltrimethylammonium bromide micellar systems modified by alcohols and salts. Colloids Surf. A 1997, 125, 221–224. [Google Scholar] [CrossRef]
- Wang, J.; Li, G.; Li, S.; Wang, Y.; Xing, Y.; Ma, Z.; Cao, Y. Investigation on properties of aqueous foams stabilized by aliphatic alcohols and polypropylene glycol. J. Dispers. Sci. Technol. 2019, 40, 728–736. [Google Scholar] [CrossRef]
- Kairaliyeva, T.; Mucic, N.; Spasojevic, L.; Bucko, S.; Katona, J.; Aksenenko, E.; Aidarova, S.; Fainerman, V.; Makievski, A.; Tarasevich, Y.; et al. Surface tension measurements with the drop profile analysis tensiometry—Consideration of the surfactant mass balance in a single drop. Colloids Interfaces 2017, 1, 1. [Google Scholar] [CrossRef]
- Szczerkowska, S.; Wiertel-Pochopien, A.; Zawala, J.; Larsen, E.; Kowalczuk, P.B. Kinetics of froth flotation of naturally hydrophobic solids with different shapes. Miner. Eng. 2018, 121, 90–99. [Google Scholar] [CrossRef]
- Phan, C.M.; Nakahara, H.; Shibata, O.; Moroi, Y.; Le, T.N.; Ang, H.M. Surface potential of methyl isobuthyl carbinol adsorption layer at the air/water interface. J. Phys. Chem. B 2012, 116, 980–986. [Google Scholar] [CrossRef] [PubMed]
- Fainerman, V.B.; Aksenenko, E.V.; Miller, R.; Makievski, A.V. Surfactants Chemistry, Interfacial Properties, Applications; Fainerman, V.B., Mobius, D., Miller, R., Eds.; Elsevier: Amsterdam, The Netherlands, 2001; pp. 189–286. [Google Scholar]
- Khakalo, K.; Baumgarten, K.; Tighe, B.P.; Puisto, A. Coarsening and mechanics in the bubble model for wet foams. Phys. Rev. 2018, 98, 012607. [Google Scholar] [CrossRef] [PubMed]
- Drenckhan, W.; Hutzler, S. Structure and energy of liquid foams. Adv. Colloid Interface Sci. 2015, 224, 1–16. [Google Scholar] [CrossRef] [PubMed]
- Furuta, Y.; Oikawa, N.; Kurita, R. Close Relationship between a dry-wet transition and a bubble rearrangement in two-dimensional foam. Sci. Rep. 2016, 6, 37506. [Google Scholar] [CrossRef] [PubMed]
- Langevin, D. Aqueous foams and foam films stabilised by surfactants. gravity-free studies. C. R. Méc. 2017, 345, 47–55. [Google Scholar] [CrossRef]
- Malysa, K. Wet foams: Formation, properties and mechanism of stability. Adv. Colloid Interface Sci. 1992, 40, 37–83. [Google Scholar] [CrossRef]
- Exerowa, D.; Kruglyakov, P.M. Foam and Foam Films: Theory, Experiment, Application; Elsevier: Amsterdam, The Netherlands, 1997. [Google Scholar]





| Type | Surfactant | n | Formula | MW [g/mol] | CMC [M] |
|---|---|---|---|---|---|
| Cationic | Octyltrimethylammonium bromide, C8TAB | 8 | CH3(CH2)7N(CH3)3(Br) | 252.23 | 3.0 × 10−1 [8] |
| Dodecyltrimethylammonium bromide, C12TAB | 12 | CH3(CH2)11N(CH3)3(Br) | 308.34 | 1.5 × 10−2 [9] | |
| Hexadecyltrimethylammonium bromide, C16TAB | 16 | CH3(CH2)15N(CH3)3(Br) | 364.45 | 9.0 × 10−4 [9] | |
| Octadecyltrimethylammonium bromide, C18TAB | 18 | CH3(CH2)17N(CH3)3(Br) | 392.50 | 2.5 × 10−4 [10] | |
| Anionic | Sodium dodecyl sulphate, SDS | 12 | CH3(CH2)11OSO3Na | 288.38 | 8.0 × 10−3 [11] |
| Nonionic | 4-methyl-2-pentanol, MIBC | 6 | (CH3)2CHCH2CH(OH)CH3 | 102.17 | 2.7 × 10−3 [12] |
| n-octanol | 8 | C8H17OH | 130.23 | - | |
| Tri(propylene glycol) butyl ether, C4P3 | 4 | C4H9(OC3H6)3OH | 248.36 | Not found |
| Surface-Active Substance | b [m3/mol] | ω × 105 [m2/mol] | a | Es [kJ/mol] |
|---|---|---|---|---|
| C8TAB | 0.02 | 2.30 | 2 | 4.9 |
| C12TAB | 0.32 | 1.75 | 0.7 | 1.7 |
| C16TAB | 8.23 | 1.80 | 0.4 | 1.0 |
| C18TAB | 5.55 | 1.00 | 0.9 | 2.2 |
| SDS | 0.136 | 1.20 | 1.5 | 3.7 |
| MIBC | 0.248 | 2.00 | 0 | 0.0 |
| n-octanol | 1.34 | 1.60 | 1 | 2.5 |
| C4P3 | 3.93 | 3.40 | 0 | 0.0 |
| SAS | CSC from dσ [M] | ||
|---|---|---|---|
| 5 × 10−4 M n-octanol | 5 × 10−3 M MIBC | 5 × 10−4 M C4P3 | |
| C8TAB | 2 × 10−2 | 1.5 × 10−2 | 1.2 × 10−2 |
| C12TAB | 3 × 10−3 | 2.2 × 10−3 | 1.7 × 10−3 |
| C16TAB | 1.5 × 10−4 | 1.1 × 10−4 | 1 × 10−4 |
| C18TAB | 8 × 10−5 | 6.3 × 10−5 | 5 × 10−5 |
| SDS | - | - | 2 × 10−3 |
© 2020 by the authors. Licensee MDPI, Basel, Switzerland. This article is an open access article distributed under the terms and conditions of the Creative Commons Attribution (CC BY) license (http://creativecommons.org/licenses/by/4.0/).
Share and Cite
Zawala, J.; Wiertel-Pochopien, A.; Kowalczuk, P.B. Critical Synergistic Concentration of Binary Surfactant Mixtures. Minerals 2020, 10, 192. https://doi.org/10.3390/min10020192
Zawala J, Wiertel-Pochopien A, Kowalczuk PB. Critical Synergistic Concentration of Binary Surfactant Mixtures. Minerals. 2020; 10(2):192. https://doi.org/10.3390/min10020192
Chicago/Turabian StyleZawala, Jan, Agata Wiertel-Pochopien, and Przemyslaw B. Kowalczuk. 2020. "Critical Synergistic Concentration of Binary Surfactant Mixtures" Minerals 10, no. 2: 192. https://doi.org/10.3390/min10020192
APA StyleZawala, J., Wiertel-Pochopien, A., & Kowalczuk, P. B. (2020). Critical Synergistic Concentration of Binary Surfactant Mixtures. Minerals, 10(2), 192. https://doi.org/10.3390/min10020192

