Optimization Analysis of Parameters for Carbon Fiber Composite Sucker Rod Pumping Systems Based on Finite Element Method
Abstract
1. Introduction
2. Analysis of Oil Well Lifting Motion and Establishment of Mechanical Model
2.1. Analysis of Lifting Motion of Carbon Fiber Combined Rod Oil Well
2.2. Mechanical Model of Rod Lifting Motion
2.2.1. Basic Assumption
2.2.2. Mechanical Model
2.2.3. Boundary Condition
- Wellhead boundary
- Bottomhole boundary
2.2.4. External Load
3. Calculation Method and Validation
3.1. Calculation Method
3.1.1. Transient Dynamics Equation
3.1.2. Damping
3.2. Finite Element Model
3.3. Transient Analysis Calculation Process
3.4. Example Verification
4. Analysis of the Influencing Factors
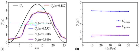
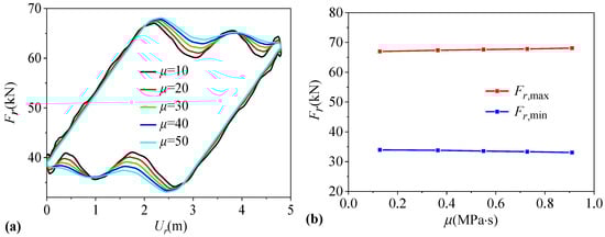
4.1. Influence of Dynamic Viscosity of Crude Oil on Lifting Motion
4.1.1. Effect on Polished Rod Load
4.1.2. Effect on Pump Plunger Stroke Length
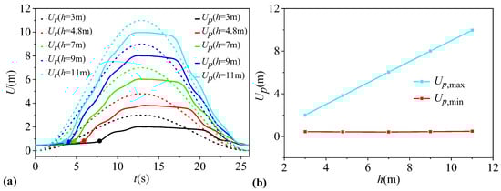
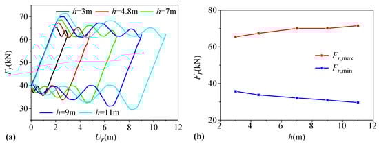
4.2. Influence of Stroke Length on Lifting Motion
4.2.1. Effect on Polished Rod Load
4.2.2. Effect on Pump Plunger Stroke Length
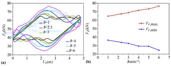
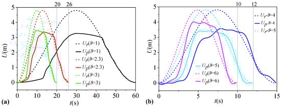
4.3. Influence of Number of Strokes on Lifting Motion
4.3.1. Effect on Polished Rod Load
4.3.2. Effect on Pump Plunger Stroke Length
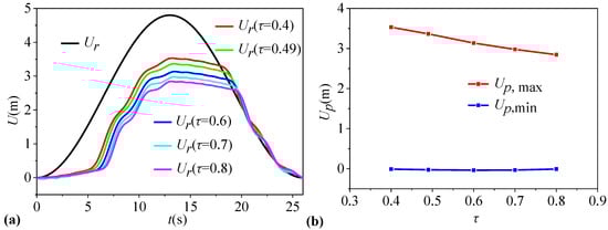
4.4. Influence of Carbon Fiber Sucker Rod Ratio on the Lifting Motion
4.4.1. Effect on Polished Rod Load
4.4.2. Effect on Pump Plunger Stroke Length
5. Further Analysis
6. Conclusions
- 1.
- In this paper, through the case study, the curve of the polished rod load versus the sucker rod displacement for the carbon fiber composite sucker rod shows that the maximum polished rod load error is 1.7%, and the minimum polished rod load error is 5.95%. In general, the finite element model analysis results of carbon fiber composite symmetrical sucker rods are in good agreement with the measured data, with small errors. The reasonableness of the mechanical model of the carbon fiber composite rod pumping system is verified, and the feasibility of the new finite element method in this paper is proved.
- 2.
- In the carbon fiber composite sucker rod pumping system, as the dynamic viscosity of the crude oil increases, the maximum polished rod load during the upstroke gradually increases, while the minimum polished rod load during the downstroke gradually decreases. The fluctuation amplitude of the polished rod load during both the upstroke and downstroke processes gradually decreases. With the increase in dynamic viscosity of the crude oil, the polished rod load becomes relatively stable during the lifting process, which is beneficial for the stable operation of the oil well pumping equipment. As the dynamic viscosity increases, the pump plunger stroke at the well bottom gradually decreases, resulting in a reduction in pumping efficiency and a decrease in oil well extraction efficiency. However, during the oil field production process, as the production years increase, the water cut of the crude oil rises annually, leading to a reduction in the dynamic viscosity of the crude oil. This obviously increases pumping efficiency, but the fluctuation amplitude of the carbon fiber composite sucker rod during the lifting process also increases, which affects the stability of the pumping system.
- 3.
- As the stroke length increases, the maximum polished rod load increases and the fluctuation amplitude of the polished rod load in the power diagram also increases. The longitudinal vibration of the carbon fiber composite sucker rod during the lifting motion becomes larger, leading to more unstable operation. However, based on the ratio of the pump plunger stroke to the suspension center stroke, it can be seen that appropriately increasing the stroke can improve the pumping efficiency. Under the well conditions, to ensure the stable operation of the carbon fiber composite sucker rod pumping system while maintaining pumping efficiency, the cycle frequency should be less than 7 m.
- 4.
- As the number of strokes increases, the maximum polished rod load gradually increases, and the fluctuation amplitude also increases, significantly raising the load on the pump jack. However, as the number of strokes increases, the pump plunger stroke gradually increases, which in turn improves the pumping efficiency. Under the well conditions, the number of strokes should be in the range of 3 min−1 ≤ ϑ ≤ 4 min−1.
- 5.
- When the carbon fiber sucker rod ratio exceeds 0.5, the difference between the self-weight and the polished rod load decreases initially and then increases. Therefore, an excessively large carbon fiber sucker rod ratio does not reduce the polished rod load of the composite sucker rod, which is unfavorable for pump jack selection, energy-saving in the pumping system, and increases the cost of oil extraction. Under the well conditions, the carbon fiber sucker rod ratio should be in the range of 0.6 < τ ≤ 0.7.
Author Contributions
Funding
Data Availability Statement
Conflicts of Interest
Abbreviations
| Db | Pump plunger diameter, m |
| Dr | Carbon fiber sucker rod diameter, mm |
| Dt | Tubing inner diameter, mm |
| Dp | Sinker bar diameter, mm |
| Er | Elastic modulus of carbon fiber sucker rod, GPa |
| ρr | Density of carbon fiber sucker rod, kg/m3 |
| Ep | Elastic modulus of sinker bar, GPa |
| ρp | Sinker bar density, kg/m3 |
| G | Carbon fiber composite sucker rod weight, kN |
| H | Pump hanging depth, m |
References
- Reddy, K.S. Importance of Sucker Rod Pump [SRP] in Artificial Lift. Int. J. Res. Appl. Sci. Eng. Technol. 2018, 6, 845–855. [Google Scholar] [CrossRef]
- Kopei, B.V.; Krechkovska, H.V.; Nisonskyi, V.P.; Bakun, B.M. Regularities of growth of fatigue cracks in hybrid pumping rods. Mater. Sci. 2022, 57, 549–556. [Google Scholar] [CrossRef]
- Krechkovska, H.; Bakun, B.; Kopey, I.; Student, O. Feature of fatigue fracture of the composite sucker rod. Procedia Struct. Integr. 2024, 59, 292–298. [Google Scholar] [CrossRef]
- Jiang, J.; Wan, X.; Li, K.; Du, J.; Liu, Y.; Jing, J.; Li, J. Research progress of sucker rod fracture detection and prediction model. Eng. Fail. Anal. 2024, 159, 108119. [Google Scholar] [CrossRef]
- Li, Y.; Xiao, Y.; Yu, L.; Ji, K.; Li, D. A review on the tooling technologies for composites manufacturing of aerospace structures: Materials, structures, and processes. Compos. Appl. Sci. Manuf. 2022, 154, 106762. [Google Scholar] [CrossRef]
- Li, Y. The development of carbon fiber epoxy resin composite material and its applications in aerospace. Appl. Comput. Eng. 2023, 23, 75–80. [Google Scholar] [CrossRef]
- Hensley, H.N.; Tanner, C.J. Graphite composite tape in beam-pumped oil wells. In Proceedings of the SPE Annual Technical Conference and Exhibtion, Houston, TX, USA, 16–19 September 1984; p. SPE-13200-MS. [Google Scholar] [CrossRef]
- Lee, J.F.; Hensley, H.N.; Christian, J.; Hettinger, D.; Meisner, W.; Anderson, H. Space age material technology extends beam lift capacity. In Proceedings of the SPE Annual Technical Conference and Exhibition, New Orleans, LA, USA, 25–28 September 1994; p. SPE-28523-MS. [Google Scholar] [CrossRef]
- Saul, H.E., III; Detterick, J.A. Utilization of fiberglass sucker rods. J. Pet. Technol. 1980, 32, 1339–1344. [Google Scholar] [CrossRef]
- Gibbs, S.G. A general method for predicting rod pumping system performance. In Proceedings of the SPE Annual Fall Technical Conference and Exhibition, Denver, CO, USA, 9–12 October 1977. [Google Scholar] [CrossRef]
- Delmonte, J. Propertise of Carbon/Graphite Composites; Krieger Publishing Co.: Huntington, NY, USA, 1987. [Google Scholar]
- Li, C.; Yin, X.; Wang, Y.; Zhang, L.; Zhang, Z.; Liu, Y.; Xian, G. Mechanical property evolution and service life prediction of pultruded carbon/glass hybrid rod exposed in harsh oil-well condition. Compos. Struct. 2020, 246, 112418. [Google Scholar] [CrossRef]
- Guan, W.; Han, Z.; Su, W.; Guo, S.; Guo, Y. Comprehensive study of thermal degradation behavior of carbon fiber flexible sucker rods: Product characteristics, kinetics and thermodynamics. Fuel 2023, 333, 126306. [Google Scholar] [CrossRef]
- Hu, M.; Liu, X.; Zhou, C.; Wang, D.; Xiao, Q.; Guan, X.; Zhang, S.; Xu, Z. Comparative study of the current-carrying tribological properties of carbon graphite composites with different hardnesses. Int. J. Mech. Sci. 2023, 245, 108133. [Google Scholar] [CrossRef]
- Kopei, B.; Kopei, I.; Kopei, V.; Onysko, O.; Mykhailiuk, V. Comparison of the main parameters of the steel and carbon-fiber-reinforced plastic band traction units for long-stroke oil well pumps. In New Technologies, Development and Application VI; Lecture Notes in Networks and Systems; Springer: Cham, Switzerland, 2023; Volume 687, pp. 86–97. [Google Scholar] [CrossRef]
- Zhang, Y.W.; Che, J.Q.; Wang, H.X.; Zhang, J.; Li, F.; Du, M.C.; Wang, Y.T. Mechanical characteristic and failure mechanism of joint with composite sucker rod. Pet. Sci. 2023, 20, 3172–3183. [Google Scholar] [CrossRef]
- Gibbs, S.G. Predicting the behavior of sucker-rod pumping systems. J. Pet. Technol. 1963, 15, 769–778. [Google Scholar] [CrossRef]
- Everitt, T.A.; Jennings, J.W. An improved finite-difference calculation of downhole dynamometer cards for sucker-rod pumps. SPE Prod. Eng. 1992, 7, 121–127. [Google Scholar] [CrossRef]
- Moreno, G.A.; Garriz, A.E. Sucker rod string dynamics in deviated wells. J. Pet. Sci. Eng. 2020, 184, 106534. [Google Scholar] [CrossRef]
- Lv, X.; Wang, H.; Zhang, X.; Liu, Y.; Chen, S. An equivalent vibration model for optimization design of carbon/glass hybrid fiber sucker rod pumping system. J. Pet. Sci. Eng. 2021, 207, 109148. [Google Scholar] [CrossRef]
- Hansen, B.; Tolbert, B.; Vernon, C.; Hedengren, J. Model predictive automatic control of sucker rod pump system with simulation case study. Comput. Chem. Eng. 2019, 121, 265–284. [Google Scholar] [CrossRef]
- Firu, L.S.; Chelu, T.; Militaru-Petre, C. A modern approach to the optimum design of sucker-rod pumping system. In Proceedings of the SPE Annual Technical Conference and Exhibition, Denver, CO, USA, 5–8 October 2003; p. SPE-84139-MS. [Google Scholar] [CrossRef]
- Ludwig, G.; Meschkat, S.; Stoffel, B. Design factors affecting pump efficiency. In Energy Efficiency in Motor Driven Systems; Springer: Berlin/Heidelberg, Germany, 2003; pp. 532–538. [Google Scholar] [CrossRef]
- Liu, X.; Qi, Y.; Wu, J.; Yang, L.; Chen, F. An approach to the optimum design of sucker-rod pumping system. In Proceedings of the 2010 WASE International Conference on Information Engineering, Beidai, China, 14–15 August 2010; Volume 3, pp. 140–143. [Google Scholar] [CrossRef]
- Yang, X.D.; Zhu, D.Y.; Wei, Y.M. Analysis of factors of affecting pump efficiency in low permeability oil field. Appl. Mech. Mater. 2014, 543, 420–424. [Google Scholar] [CrossRef]
- Langbauer, C.; Antretter, T. Finite element based optimization and improvement of the sucker rod pumping system. In Proceedings of the Abu Dhabi International Petroleum Exhibition and Conference, Abu Dhabi, United Arab Emirates, 13–16 November 2017; p. SPE-188249-MS. [Google Scholar] [CrossRef]
- Clemens, L. Sucker rod pumping system optimisation based on a novel finite elements analysis. In Proceedings of the SPE Middle East Artificial Lift Conference and Exhibition, Manama, Bahrain, 28–29 November 2018; p. SPE-192475-MS. [Google Scholar] [CrossRef]
- Li, W.; Dong, S.; Sun, X. An improved sucker rod pumping system model and swabbing parameters optimized design. Math. Probl. Eng. 2018, 2018, 4746210. [Google Scholar] [CrossRef]
- Sun, X.; Dong, S.; Liu, M.; Zhang, J. The simulation model of sucker rod string transverse vibration under the space buckling deformation excitation and rod-tubing eccentric wear in vertical wells. J. Vibroeng. 2018, 20, 283–299. [Google Scholar] [CrossRef]
- Ma, B.; Dong, S. Coupling simulation of longitudinal vibration of rod string and multi-phase pipe flow in wellbore and research on downhole energy efficiency. Energies 2023, 16, 4988. [Google Scholar] [CrossRef]
- Urazakov, K.R.; Timashev, E.O.; Tugunov, P.M.; Davletshin, F.F. Study on efficiency of rod unit with combined fiberglass rod string (Article). Oil Ind. J. 2019, 2019, 123–127. [Google Scholar] [CrossRef]
- Yu, X.; Xu, H.; Liu, Y.; Zhang, Y.; Liu, X.; Zhou, X.; Zhou, Z. An Optimization Method for Parameter Adjustment of Pumping Well. In Proceedings of the International Field Exploration and Development Conference 2023, Wuhan, China, 19–21 September 2023; Springer Nature: Singapore, 2023; pp. 44–53. [Google Scholar] [CrossRef]
- Cui, C.; Wang, G.; Lu, S. Study on the influencing factors of productivity under pressure drive development in low permeability reservoir. E3S Web Conf. 2023, 375, 01050. [Google Scholar] [CrossRef]
- Crandall, S.H. The role of damping in vibration theory. J. Sound Vib. 1970, 11, 3–18, IN1. [Google Scholar] [CrossRef]
- Hughes, T.J.R. The Finite Element Method: Linear Static and Dynamic Finite Element Analysis; Courier Corporation: Mineola, NY, USA, 2003; Volume 65, p. 191. [Google Scholar]
- Gibbs, S.G.; Neelya, B. Computer diagnosis of down-hole conditions in sucker rod pumping wells. J. Pet. Technol. 1966, 18, 91–98. [Google Scholar] [CrossRef]
- Doty, D.R.; Schmidt, Z. An improved model for sucker rod pumping. SPE J. 1983, 23, 33–41. [Google Scholar] [CrossRef]
- Treviso, A.; Van Genechten, B.; Mundo, D.; Tournour, M. Damping in composite materials: Properties and models. Compos. Part B Eng. 2015, 78, 144–152. [Google Scholar] [CrossRef]
- Kang, Z.; Zhou, W.; Bianba, L. Numerical simulation analysis of seismic performance for framework structure based on rayleigh damping algorithm. Highlights Sci. Eng. Technol. 2024, 86, 1–8. [Google Scholar] [CrossRef]
- Ansys, Inc. ANSYS Theory Manual. Release 2021 R2; Ansys, Inc.: Canonsburg, PA, USA, 2021. [Google Scholar]
















| Parameter | Db/mm | H/m | Dr/mm | ρr (kg/m3) | Er/Gpa | Dp/mm | ρp (kg/m3) | Ep/Gpa |
| value | 42 | 2580 | 19 | 1960 | 95 | 22 | 7950 | 211 |
| parameter | h/m | /min−1 | /m | /(mPa·s) | /mm | /mm | ||
| value | 4.8 | 2.3 | 3 | 2130 | 20 | 62 | 0.49 | 900 |
| /mPa·s | 10 | 20 | 30 | 40 | 50 |
| 2276.36 | 4552.73 | 6829.09 | 9105.45 | 11381.82 | |
| 0.182 | 0.364 | 0.550 | 0.728 | 0.910 |
| /mPa·s | 10 | 20 | 30 | 40 | 50 |
| h/m | 4.8 | ||||
| h*/m | 3.482 | 3.389 | 3.338 | 3.318 | 3.310 |
| / | 1 | 2.3 | 3 | 4 | 5 | 6 |
| h/m | 4.8 | |||||
| /m | 3.267 | 3.389 | 3.463 | 3.669 | 3.453 | 4.059 |
| 0.4 | 0.49 | 0.6 | 0.7 | 0.8 | |
| G/kN | 51.47 | 46.29 | 38.99 | 32.76 | 26.52 |
| /kN | 72.17 | 67.37 | 59.77 | 53.72 | 47.32 |
Disclaimer/Publisher’s Note: The statements, opinions and data contained in all publications are solely those of the individual author(s) and contributor(s) and not of MDPI and/or the editor(s). MDPI and/or the editor(s) disclaim responsibility for any injury to people or property resulting from any ideas, methods, instructions or products referred to in the content. |
© 2025 by the authors. Licensee MDPI, Basel, Switzerland. This article is an open access article distributed under the terms and conditions of the Creative Commons Attribution (CC BY) license (https://creativecommons.org/licenses/by/4.0/).
Share and Cite
Zhu, W.; Zhao, D.; Zhang, Q.; Zhao, S.; Wei, R.; Xu, Z. Optimization Analysis of Parameters for Carbon Fiber Composite Sucker Rod Pumping Systems Based on Finite Element Method. Symmetry 2025, 17, 343. https://doi.org/10.3390/sym17030343
Zhu W, Zhao D, Zhang Q, Zhao S, Wei R, Xu Z. Optimization Analysis of Parameters for Carbon Fiber Composite Sucker Rod Pumping Systems Based on Finite Element Method. Symmetry. 2025; 17(3):343. https://doi.org/10.3390/sym17030343
Chicago/Turabian StyleZhu, Wenming, Dong Zhao, Qiang Zhang, Shuai Zhao, Rongjiang Wei, and Zhi Xu. 2025. "Optimization Analysis of Parameters for Carbon Fiber Composite Sucker Rod Pumping Systems Based on Finite Element Method" Symmetry 17, no. 3: 343. https://doi.org/10.3390/sym17030343
APA StyleZhu, W., Zhao, D., Zhang, Q., Zhao, S., Wei, R., & Xu, Z. (2025). Optimization Analysis of Parameters for Carbon Fiber Composite Sucker Rod Pumping Systems Based on Finite Element Method. Symmetry, 17(3), 343. https://doi.org/10.3390/sym17030343
