Abstract
The analysis of natural and artificial chiral compounds is vital wherever the nuances in the three-dimensional structure are decisive for the possibility of their further use, e.g., as pharmaceuticals or catalysts. The qualitative determination of the structure of a chiral entity requires either an anomalous scattering of X-ray radiation or chiroptical techniques, of which electronic circular dichroism (ECD) is one of the most useful. Chiroptical sensing that uses stereodynamic probes remains one of the remedies for the problem of the lack of a suitable chromophore in the molecules of the chiral compound. A covalent or non-covalent binding of an ECD-silent chiral molecule (the inducer) to the UV-active chromophoric system (chiroptical probe) led to obtaining complex ECD active at a given spectral region. The transfer of structural information from a permanently chiral inducer molecule to the structurally labile chromophoric system of the probe results in adjusting the latter’s structure to the chiral environment. This contribution focuses on some fundamental aspects of chirality sensing using conformationally labile probes. It discusses the mechanism of action of arbitrarily chosen stereodynamic chirality sensors, with particular emphasis on probes based on di- and triarylmethyl derivatives and biphenyl and its congeners.
1. Introduction
By far, chirality is one of the most fascinating phenomena in nature. A handshake, or unscrewing, and screwing the tap, usually completely unnoticed—are typical examples of interactions between chiral macroscopic objects. The micro-world chirality is considered one factor determining life on Earth. Biosynthesis, metabolism, molecular recognition, the transmission of impulses, senses, and biology are only a few examples of the importance of chirality for living organisms [1,2,3,4,5,6,7,8,9,10]. The tangible evidence of chirality is the so-called ‘asymmetry of life’ manifested, for instance, by the exact configuration of amino acids that are building blocks of living organisms. One of the most essential effects of chirality is the varied biological activity of enantiomers (see examples shown in Figure 1). Any incomprehension of the principles that govern the world of chiral compounds can lead to tragic consequences, of which thalidomide is a prominent and infamous example [11,12].
Figure 1.
Selected examples of enantiomers of different biological activity.
Knowledge of the structure of chiral compounds is a prerequisite for their subsequent applications. On the other hand, defining the requirements (structural) concerning the synthetic target allows for rational synthesis planning, and choosing the stage at which introducing the element of chirality into the molecule skeleton will be the most convenient [13,14,15,16].
It is a truism to say that chemical laboratories commonly perform qualitative (structural) and quantitative (regarding the amount of a given species) analyses of compounds or their mixtures. In the case of chiral microscopic objects (molecules), which are optically active by definition, the analytical methods that employ this phenomenon seem to be the best option [17,18]. Now, chiroptical sensing constitutes a well-developed field of chemistry, combining analytical methods, the rational planning of synthesis, machine learning, and processing a large amount of data [19,20,21,22].
Regardless of the complexity of the optical method used for chirality sensing, most of them are based on the transfer of structural information from a chiral compound (inducer) to a molecular fragment that can read this information, process it, and transmit it in an unambiguous form. This particular molecular entity is the so-called chirality probe (chirality sensor), and its mode of action is based on the change of structure and/or electron distribution under the influence of chiral stimuli.
In this manuscript, we will focus on the chemical entities that adapt their structure to the chiral neighborhood, emphasizing the mechanism of chirality transmission. Therefore, we have excluded chirally disturbed chromophore class sensors. Similarly, the methods, whose mode of action requires introducing two or more individual chromophore systems to the same molecule, resulting in exciton-type interactions, and supramolecular chirality sensors, which form non-covalent host–guest complexes, are beyond the scope of this review and are only mentioned very briefly. As the detailed mechanism of action of the well-recognized probes and their application capabilities were discussed in recent reviews [20], we will focus here on the less popular examples, but in our opinion, engaging from the point of view of the processes. To keep the discussion as straightforward as possible, we will start with some basics, an understanding of which makes the text more accessible to the reader.
2. Chirality and Isomerism
Insofar as the type and number of atoms forming the given chemical species allow for the unambiguous determination of specific properties, such as molar mass, the structure of chemical compounds, especially chiral ones, can be considered at three levels—constitutional, configuration, and conformational, as illustrated in Figure 2.
Figure 2.
The relationship between structure, constitution, configuration, and conformation of chiral compounds.
The discovery of constitutional isomerism is one of the fundamental achievements of nineteenth-century (and earlier generation) chemists. Two-dimensional formulas are usually sufficient to exhibit differences in the constitution of isomers and to predict most of the molecule’s chemical properties. However, when the structure is understood primarily as a way of arranging atoms in three-dimensional space, the parameters and symbols, depending on the direction, that is, front–back, right–left, and up-down, are decisive in the description of the structure. The most important parameter describing the structure of chiral compounds is their absolute configuration, defining the relative spatial distribution of atoms in the molecule [23,24,25,26]. Although studies have attempted to quantify absolute configuration, or chirality in general [27,28,29,30,31,32], the concept of absolute configuration remains purely qualitative. Only one of the two butanols shown in Figure 2 may be present as an enantiomeric pair, R and S, according to the currently accepted Cahn-Ingold-Prelog (CIP) convention [33].
Different conformations of molecules of the same constitution and configuration differ in the value of torsion angles around single bonds. Sometimes, this term is extended to trigonal pyramidal center inversions and related transformations. Still, in any case, the word conformation is used to describe various strain-free arrangements in the space of a set of interrelated atoms, where such arrangements represent only one individual, to cite Nobel Prize winner Sir Derek Barton. Specific conformations corresponding to local minima on the potential energy surface are called conformational isomers or conformers [34].
Although the concept of “permanent structure” (in terms of chiral compounds, understood as permanent configuration) is expected in the scientific world, it should be remembered that changing conditions (temperature, pressure, radiation, covalent or non-covalent interaction with other chemicals, etc.) can transform a stable individuum into an unstable one (under given conditions) or into a set of mutually transforming species whose population will depend, for example, on their relative Gibbs energy.
Configuration and conformation are complementary, and their strict distinction is not always possible—one of the criteria relies on the energy barrier, which needs to be overcome to convert one of the isomers into another. Configuration is a broader concept that applies not only to chiral molecules but also, for example, to geometric isomers. A full description of the structure of the chiral molecule requires the definition of the constitution, absolute configuration, and, above all, the preferred conformation(s).
At the first attempt to describe the structure, compounds can be characterized by determining their relative configuration (e.g., cis/trans and syn/anti). However, for molecular systems containing chirality elements (e.g., stereogenic centers), it is essential to determine their absolute configuration unambiguously. In 1951, Bijvoet, for the first time, determined experimentally the absolute configuration of a chiral molecule [35]. Using anomalous X-ray scattering allowed Bijvoet to define the absolute configuration of sodium-rubidium tartrate as R,R.
The crucial condition for the X-ray-based methods (anomalous X-ray diffraction) is to obtain a crystal suitable for measurements. Moreover, structural information obtained by X-ray studies pertains to the structure in the solid state, where usually, one can find only one of the possible conformers of the molecule, not always that of the lowest energy [36,37,38,39]. Additionally, these methods do not provide information about the dynamics of structural changes, which are essential to understanding the mechanism of action and kinetics of conformational changes in highly dynamic systems.
The second group of experimental methods is based on the non-destructive interaction of randomly oriented molecules with linearly or circularly polarized light. Measurements of specific rotation (OR), electronic, or vibrational circular dichroism (respectively, ECD and VCD), Raman optical activity (ROA), and the emission of circularly polarized light (CPL), supported by theoretical calculations, make it possible to unambiguously determine the absolute configuration of the molecule and/or composition of the sample, regardless of it the state [17,40,41,42,43,44,45,46,47,48]. Because most optically active compounds are conformationally labile, measured ECD and VCD spectra or optical rotation values are a superposition of configurational and conformational effects, significantly hindering the interpretation of the results [49]. The complexity of CD spectra is also an advantage of chiroptical methods. The absolute configuration of the molecule and its preferred conformation (and thereby the determination of the absolute conformation) provide the information needed to design molecules such as drugs or in the modeling of stereoselective reactions (e.g., enzymatic reactions) [11]. These spectroscopic methods, generally called “chiroptical”, are experiencing their renaissance [50]. The development of theoretical approaches, especially those based on the density functional theory (DFT) and the increase in computing power of modern computers, allow to determine and anticipate properties of molecules, including those that are difficult or impossible to estimate experimentally [51,52,53,54,55,56,57,58,59,60,61]. On the other hand, the concept of high-throughput screening (HTS), intensively developed by Wolf, allowed for the high-speed analysis of dozens of chiral and optically active compounds in terms of their concentration, absolute configuration, and optical purity [62,63].
This group of methods allows measurements to be performed in the condensed phase (solution and solid state) and the gas state, although the measurements for solutions are most commonly used.
3. “Permanent” and “Dynamic” Optical Activity
While the word “chirality” (strictly speaking, the adjective “chiral”) reflects the microscopic structure of a given molecule non-superimposable on its mirror image, the observed macroscopic effect of the microworld’s chirality is an optical activity (OA) of the substance, understood as the collection of molecules, where the population of entities characterized by the same permanent chirality sense exceeds the population of entities of the opposite sense of chirality [26].
The optical activity of a substance may be related to the distribution of atoms in the crystal lattice and disappear after melting, or it may constitute a permanent feature of the compound, resulting from its structure, independent of the state. In a much-simplified form, the origin of the optical activity can be associated with the chiral molecule’s uneven absorption of the left and right circularly polarized radiation. Feynmann gave a phenomenological approach to the problem of optical activity [64]. Critical reviews of historical and contemporary theories of the optical activity of molecules have been done by Caldwell and other authors [65,66,67,68,69].
As mentioned above, most often, the OA of the substances is revealed by their optical rotation, electronic or vibrational circular dichroism, Raman optical activity, and circularly polarized luminescence. Of the previously mentioned techniques, OR and ECD measurements are the most popular due to the widespread availability of the equipment. It is worth noting that there is no simple correlation between the sign of the optical rotation and the structure of a given compound. In many cases, the sign and/or the value of OR are affected by the molecule’s parts, which are far from the chirality element [70,71,72,73]. On the contrary, despite the molecular complexity, the chiral compounds lacking moieties which absorb light in a specific region of the UV spectrum, remain ECD-silent. In this contribution, we will focus on the ECD technique as the method of choice to study the process of the dynamic induction of optical activity.
During past decades, attempts have been made to correlate observed ECD and its most important factor, the Cotton effect(s) (C.e.(s)), with a given compound’s structure. Even a cursory analysis of the constitution of the chiral entity allows for a priori prediction of its usefulness in the study using electronic circular dichroism measurements. In the molecule skeleton, the presence of a chromophore (or chromophores), preferably close to the chirality element, is essential for an ECD study. The traditional method of structural research is the empirical rules-based correlation between the sign and value of the Cotton effect observed at a given wavelength and with the selected structure element. The octant rule, used for optically active ketones, seems to be the most known one [17,44]. However, this method fails for molecules of high conformational dynamics.
Generally, this traditional approach is based on classifying chromophores related to their symmetry, and Moscowitz proposed it for the first time [74,75,76]. Achiral chromophores (e.g., the carbonyl group and the carbon–carbon double bond) require a chiral disturber (i.e., substituent at stereogenic center) in the vicinity and lead to the appearance of C.e.s of relatively low intensity. On the opposite pole are the chromophores, chiral by nature (inherently), like helicenes, cyclic 1,3-dienes, and biaryls, usually exhibiting strong Cotton effects. Some representative examples are shown in Figure 3.
Figure 3.
Standard chromophore systems appropriate for electronic circular dichroism spectroscopy. Blue arrows indicate the polarization of an electronic transition of the highest oscillator strength. Red arrows indicate the magnetic dipole allowed transitions. The number below a given structure is related to the typical wavelength value where the absorption maximum (λmax) appears in the UV spectrum.
Although most empirical rules applied for structural analysis are now of historical value, the exciton chirality method is still widely used. The technique allows insight into the molecule’s structure if at least two chromophores characterized by the allowed π − π* electronic transitions are already present in the skeleton or if they are intentionally attached. A prerequisite is the knowledge of the polarization of electron transitions within chromophores, which are responsible for forming the exciton Cotton effect(s) in the tested molecule. Then, the simple geometrical relationship between exciton-forming electronic dipole transition moments (edtms) can be related to the structure of a given entity [77,78,79,80,81,82,83,84,85]. Determining the structure of brevetoxin and gymnocin (Figure 4), where exciton interactions between two porphyrin (TPP) chromophores have been observed, despite their significant distance, is a spectacular proof of the method’s usability [86,87].
Figure 4.
Structures of brevetoxin and gymnocin, whose stereochemistry was determined using the exciton chirality method. In blue, the structure of the chromophore, tetraphenyl porphyrin (TPP), is shown.
If the chromophore(s) needs to be attached, a suitable number of functional groups prone to derivatization has to be present in the molecule skeleton. However, attaching two chromophoric systems to the molecule’s skeleton makes non-functionalized or single-functionalized compounds inappropriate for such an analysis using the exciton chirality rule.
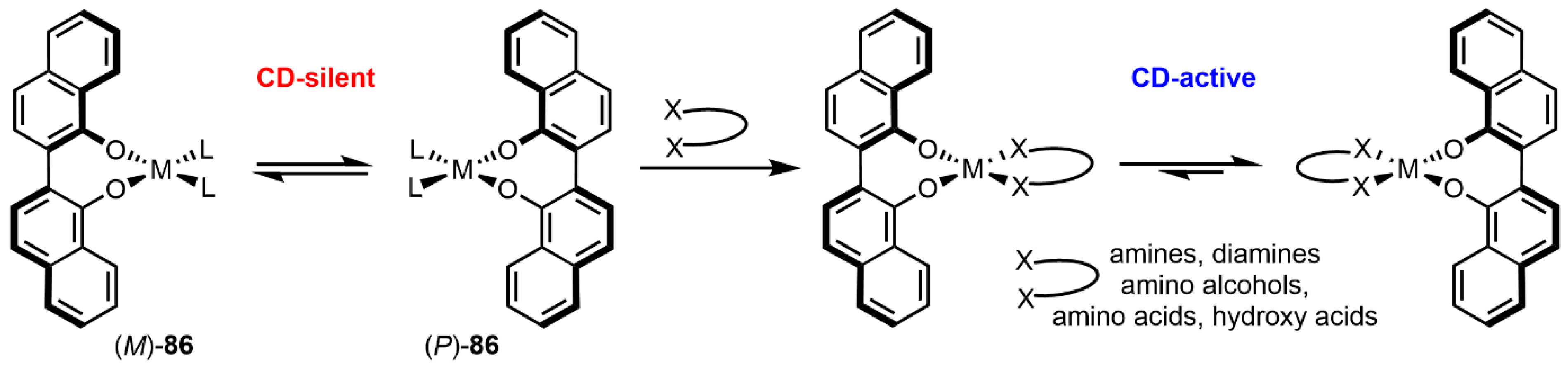
In the cases of the compounds that either lack a suitable chromophoric system or, despite chromophore(s), are characterized by near zero C.e.s, different approaches to stereochemical analysis need to be applied. One of them, discussed in the following parts of the text and generally outlined in Scheme 1, is based on the dynamic induction of optical activity in a chromophoric system (the stereodynamic probe), which is covalently or non-covalently bound to the test molecule (the inducer) [88]. As a rule, the chromophoric system itself is either achiral or, if not, forms a dynamically racemic mixture of quickly interconverting enantiomeric forms; in both cases, the probe is optically inactive. After binding to the inducer, two extreme case scenarios can be imagined: the probe adapts its structure to the chiral neighborhood, changing the conformation, or one of the enantiomeric forms is preferably “captured”. As a result, an optically active conformational diastereoisomer is formed in the latter. However, adapting the chromophore structure to the inducer is more common in natural systems [19].
Scheme 1.
A simplified idea of the induction of the optical activity in a stereodynamic probe. Asterisk indicates chiral molecule or complex.
4. Induction, Transfer, Interconversion of Chirality, and Induction of the Optical Activity
The adaptation of the conformationally labile fragment of the probe to the chiral environment created by the inducer is usually described analogously to the synthesis of chiral molecules. In the context of asymmetric synthesis, the preferential formation of one of the chiral entities (i.e., enantiomer or diastereoisomer) over the other is inherently connected with the structural feature(s) present in the substrate, reagent, or surrounding [15,16]. This process of asymmetric induction is traditionally called the induction of chirality as it relies, in fact, on the transmission of structural “chiral” information from one entity to the other and takes place even if the concentration of the “chirality inducer” (a catalyst in this context) is minimal. This transfer proceeds more efficiently the more orderly the transition states are, and, as one can expect, the favored pathway is chosen based on molecular interactions between chiral and achiral entities [89,90]. Strictly, the transfer of chirality is related to the reactions in which the chirality element is shifted from one side of a molecule to another. [19]. However, it may proceed intermolecularly as well. In principle, the original chirality element is destructed and rebuilt during the transfer, not necessarily about the same sense of chirality. It is worth adding that the overall stereochemical purity should not be affected. Examples of this kind of transformation are rearrangements. In cases where a chirality element of a specific type disappears at the cost of forming one of a different type, this process is called the interconversion of chirality. As one can see, all of the above terms, in a strict meaning, are related to the reactions in which some bonds are broken and some are formed.
On the other hand, the same principles govern the mutual interactions between inducer and reporter observed during chiroptical-detected chirality sensing by stereodynamic probes. In each case, the reporter moiety needs to gain a chiral structure with a macroscopic effect, which is the appearance of non-zero Cotton effects in the region of probe absorption. The essential difference lies in preserving the chirality element in the inducer and the reversibility of the phenomenon—the probe is optically active as long as the inducer interacts with it. In principle, breaking the interaction chain will result in a return to the initial state, an optically inactive probe. However, when one looks at the broader picture, it can be seen that asymmetric synthesis and optical activity induction are mutually complementary processes. Although some thermodynamically controlled asymmetric reactions are known, most transformations based on the induction or interconversion of chirality occur under kinetic control, leading to the irreversible formation of stable products. The stereochemical outcome of such reactions depends on the activation energies, strictly speaking, on the difference in the free energy of respective transition states.
Especially in the case of asymmetric reactions and according to the Curtin–Hammet principle [91,92,93], the structure of the substrates in their ground state is of secondary importance or irrelevant at all. The induction of optical activity that is based on the adjustment of the structure of the more flexible fragment (the stereodynamic probe) to the rigid one (i.e., of permanent chirality) results in the formation of one or conformational diastereoisomers, whose shares in equilibrium depend on their differences in Gibbs energy. In an elementary form, the relationship between the asymmetric synthesis and induction of optical activity in stereodynamic probes is shown in Figure 5. The estimated differences in energy, either the free energies of the activation of the competitive reactions or the Gibbs energies of conformational diastereoisomers, are related to the stereochemical outcome of the processes—enantiomer ratio or conformer distribution, respectively.
Figure 5.
A simplified diagram shows the relationship between permanent and dynamic chirality induction. Asterisks indicate chiral entities, number sign–activation energy.
Changes in conditions might somewhat change the amount of a given conformer. This implies that the final observations, the CD spectrum, will reflect structural differences on the first attempt. Note that structure here is understood as the relation between parts of the inducer molecule in terms of size and/or electronic properties, not necessarily in absolute stereochemistry. For the inducer of the same absolute stereochemistry, the overall picture should maintain the same trend, which is uniformly the same sequence of C.e.s and ultimately differs in magnitude. Although this correlation is confirmed for homologs, attention must be drawn to a cursory interpretation of the results obtained for compounds that significantly differ in the character of substituents surrounding the chirality element.
5. A Suitable Stereodynamic Chirality Probe
Almost thirty years ago, Berova, Nakanishi, and colleagues proved that porphyrin chromophores, exhibiting induced circular dichroism, can successfully determine the absolute configuration of chiral compounds [94]. Since then, several dozen stereodynamic chirality probes, varied in structure, have been developed, among others by the groups of Berova, Bornhan, Rosini, Anslyn, Gawronski, Canary, Wolf, and others [95,96,97,98,99,100,101,102,103,104,105,106,107,108,109,110,111,112,113,114,115,116,117,118,119,120,121,122,123,124,125,126]. As one can see, the probes differ significantly in structure (see Figure 6 for representative examples). However, the general mode of action is based on the differences in stereoelectronic properties of substituents surrounding the chirality element. The detailed mechanism of how the probe interacts with these substituents and how “observed” differences are revealed depends on the structure of the reporter.
Figure 6.
The selected examples of compounds that may serve as stereodynamic chirality probes.
While the mode of action can differentiate the probes, one more critical factor allows for distinguishing various types of compounds. Namely, the probes can be split by binding the inducer into covalent and non-covalent ones. The first group requires “wet chemistry”, which is associated with some extra operations but leads to the formation of strictly defined compounds easily characterized by typical analytical methods. The second group is seemingly more convenient to apply on a “mix and measure” basis, but the formed species are usually not characterized in detail. The main advantage of the non-covalent chromophoric probes over those that have to be covalently bound to the inducer, relies on the ability to analyze plenty of samples relatively quickly. Anslyn and Wolf particularly emphasize the aspect of applications in high-throughput screening [104,127,128,129,130,131].
Several prerequisites make the chromophoric system a suitable stereodynamic probe [20]. The most important are mentioned below. Firstly, the chromophoric system should efficiently absorb UV light (high extinction coefficient values), preferably outside the spectrum region where other functional groups (in the inducer skeleton) may absorb, or the spectrum may be disturbed by the solvent used. Secondly, the chiroptical response of the probe should indicate the origin of the observed Cotton effects. In other words, the inducer’s possible impurities and the intrinsic optical activity cannot interfere with the induced effects. Thirdly, the probe should be achiral, or the interconversion between its enantiomeric forms must be rapid. The latter seems to be significant at the stage of binding the inducer to avoid possible kinetic resolution. Fourthly, the mode of action of the probe should be based on well-defined molecular interactions, preferably directional, which, optimally, can be quantified at the stage of in-depth analysis. Fifthly, the probe needs to be sensitive to even minor differences in the structure of the inducer. This is of special importance for the cases where structural investigations, understood as the determination of an absolute configuration of the inducer, constitute the central premises of the studies. Sixthly, the design and, above all, the probe synthesis should not be very complicated, certainly no more complex than inductor synthesis. Last but not least, the possibility of both qualitative (i.e., structural) and quantitative (the composition of the investigated mixture, enantiomeric excess) analyses would be beneficial. One has to consider that it is usually impossible to meet all of these requirements at the same time. However, the common denominator is the need to adapt the probe structure (conformation) to the chiral environment of the inducer. As a result, the inducer–probe system becomes chiral and optically active. In the inducer–probe system, the optical activity (chirality) of the chromophoric moiety is visible as long as the physical contact(s) (either covalent or non-covalent) between permanently chiral and adaptive parts of a given species exist(s).
From a practical point of view, the choice of the probe most suitable for particular requirements is governed by specific needs. As mentioned, this manuscript focused mainly on applying stereodynamic probes in structural analysis. Thus, from this point of view, the availability of the probe is less critical than sensitivity to the structural differences between analytes.
6. Classics in Action—The Most Recognized Porphyrin Probes
Although compounds discussed in the following section remain out of the main scope of this contribution, their significance in developing the concept of “chirality probes” forces us to mention them, albeit in a very concise form. The recent excellent reviews provide a more detailed description with exhaustive justification.
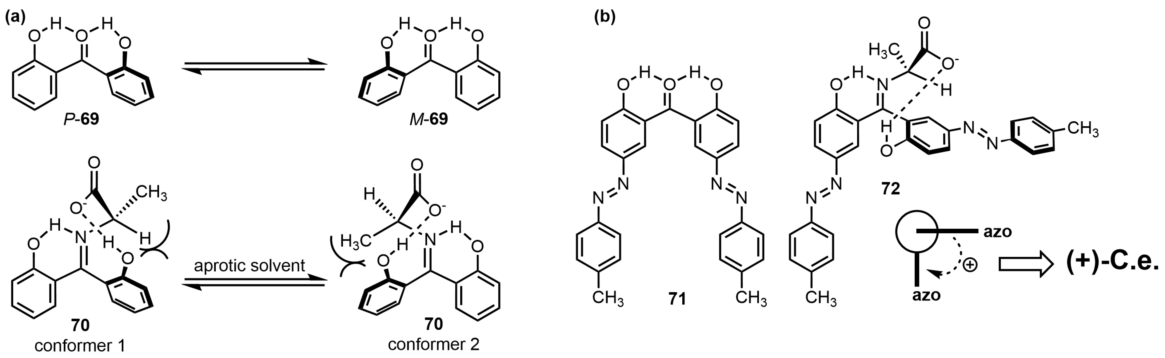
The use of sensitive dimeric porphyrin–zinc complexes, known as zinc tweezers or Zn-tweezers, in CD spectroscopy has been described by Berova, Borhan, Nakanishi, and colleagues [94,95]. Such tweezers are, in fact, supramolecular reporter molecules capable of binding chiral species having two electron–donor centers (i.e., diamines) through coordination bonds between them and zinc atoms of metalloporphyrins. The resulting helical host–guest complex reports and enhances the chirality of guest molecules such as chiral diamines (Figure 7a) [132,133]. These probes are considered highly efficient due to the intense exciton Cotton effects generated by interacting porphyrin units. The measurement requires only a few milligrams of diamine and 1–2 mg of the tweezers. The supramolecular nature of the complex allows the potential recovery of the compounds used.
Figure 7.
(a) The formation of a host–guest complex 3 between chiral diamine 2 and tweezers 1a. (b) The relationship between conformation and Cotton effects as observed in the CD spectrum of zinc tweezers. (c) Structures of some chiral diamines tested using 1a. Figure based on reference [132].
The formation of a stable complex between tweezer 1a and chiral diamines 2a–2h is associated with adopting a specific spatial arrangement of porphyrin groups (Figure 7b). The helicity of interacting porphyrin units determined the signs of C.e.s observed on the ECD spectrum (negative or positive exciton couplet).
The key to determining the stereochemistry of the studied chiral molecules is the correlation of their absolute configuration with the adopted helicity of tweezers during the experiment (conformers I and II, respectively, Figure 7b). The helicity of the probe is usually a response of the dynamically racemic chromophoric system to the steric interactions.
The porphyrin moiety closest to the stereogenic center adjusts its spatial position to minimize steric interactions with the larger group among those attached to the chirality element (the blue ball in Figure 7b). These effects increase the conformer population characterized by either P or M helicity, resulting in the appearance of exciton Cotton effects in the porphyrin Soret region (positive or negative couplet, respectively) [132]. This method was used to determine the absolute configuration of the chiral diamines 2a–2h shown in Figure 7c.
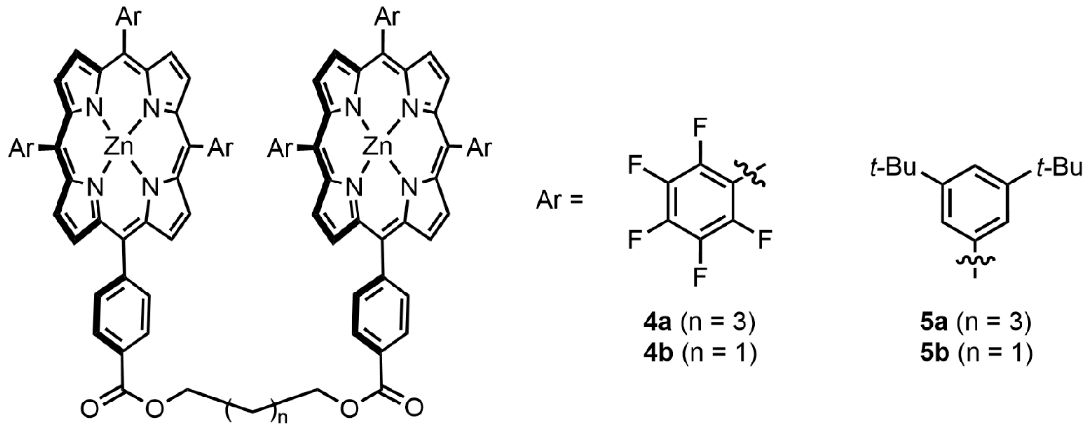
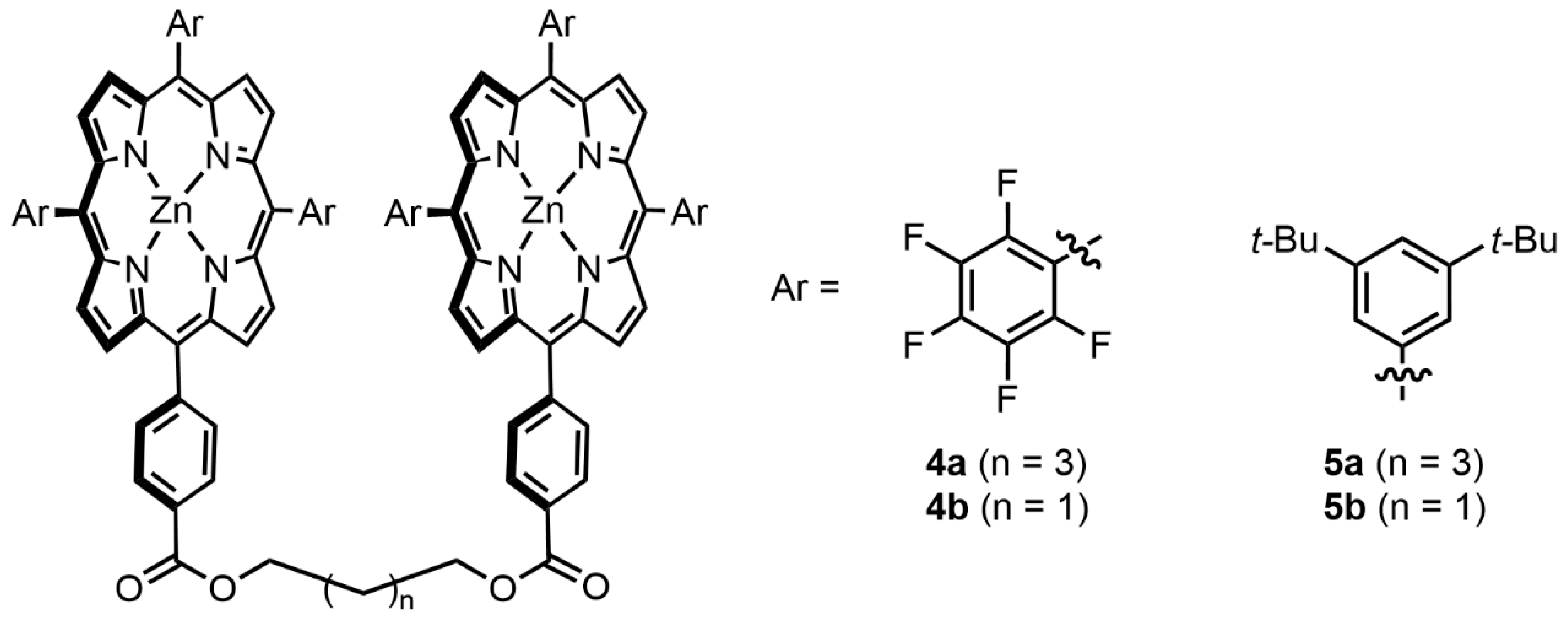
Diols and amino alcohols demonstrated the impact of the environment on the probe’s efficiency. The tweezers 4a (Figure 8), when operating in non-interfering complexation processes, non-polar hexane, and methylcyclohexane, form stable host–guest adducts with 1,2-diols and amino alcohols [133,134,135].
Figure 8.
Structures of tweezers 4 and 5.
The chiroptical outcome allows easy distinguishing between erythro and threo guest molecules.
For erythro compound 6g, porphyrin coordinates with the Lewis base anti to the bulkiest group at the stereogenic center and then twists towards the smallest one, usually the hydrogen atom. In such a case, the mutual orientation of porphyrin rings results in a clockwise orientation of interacting dipole transition moments, which is responsible for generating a positive exciton couplet (see Figure 9a), of amplitudes A (defined as A = Δεlong − Δεshort), reaching values of 500.
Figure 9.
Stereochemical model for (a) erythro-1,2-diols and amino alcohols and (b) threo-1,2-diols and amino alcohols. Structures of selected (c) erythro- and (d) threo-1,2-diols and amino alcohols, which were analyzed using tweezers 4a, including simplified stereochemical models (in dashed boxes). “A” denotes the sign and magnitude of the exciton couplet found for complexes of 4a with a given guest molecule.
The threo diol 7a adopts a gauche conformation of coordinating hydroxy groups, translating into a clockwise arrangement of interacting electronic transition dipole moments and a positive exciton couplet (Figure 9b).
The increased flexibility of the guest molecules, as in the case of 1,n-diols, requires change using more rigid tweezers 4b [134].
The requirement to use inducers containing two strongly coordinating functional groups is one of the limitations of porphyrin tweezers. However, it turns out that probe 1a is much more versatile, and apart from the use of relatively simple acyclic diamines in stereochemical studies, it can also be used for determining the absolute configuration of amino alcohols and amino acids. These compounds can be analyzed after derivatization with glycine and ethylene diamine. As a result, an additional amino group is introduced into the molecule skeleton to ensure the compatibility of the chiral guest with the reporter. The use of other auxiliary compounds, such as 4-(Boc-aminomethyl)-2-carboxypyridine (8) and others 9–11, extends the applicability of the probe towards chiral monoamines (Scheme 2a).
Scheme 2.
(a) Example of the functionalization of chiral monoamine 12 with 4-(Boc-aminomethyl)-2-pyridine carboxylic acid (8) and other auxiliary compounds (9–11) used for the synthesis of derivatives of type 13, compatible with the porphyrin probe. (b) The formation of host–guest complex 15 between adduct 14, prepared from (+)-isomentol, and tweezers 1a.
Diamino carrier molecules extend the capabilities of porphyrin probes. The covalent binding of the inductor by a carrier mimicking the initially tested diamines results in a chiral adduct 14 capable of forming complex bonds with zinc tweezers 1a (Scheme 2b).
The use of these carriers allows for the study of chiral monoamines and monoalcohols. Subsequent methods of transforming inductors developed in the Berova and Borhan groups allowed for a further expansion of the possibilities of the tweezers method for the analysis of carboxylic acids and their congeners (Scheme 3) [136,137,138,139,140,141].
Scheme 3.
Chirality sensing in carboxylic acids having a stereogenic center in the α-position. (a) Functionalization of an acid by the carrier. R* denotes the functional group containing a stereogenic center. (b) Interaction model between tweezers 1a and modified carboxylic acid. (c) Some examples of tested α-chiral carboxylic acids. The value “A” refers to the experimentally determined sign and magnitude of the exciton couplet. (d) The proposed stereochemical model for α-chiral carboxylic acids. Figure drawn on the basis of reference [132].
The latter group of compounds was initially derivatized by flexible aminopyridine, which led to inconsistent analysis results. Replacing the flexible carrier 16 with 1,4-diaminobenzene (17) allowed for the formulation of some generalities consistent with the stereochemistry of the analyzed molecules. The porphyrin binding depends on the conformation of the amide, which is driven by the differences in the size of the substituent. The one that exerts the most crucial impact on the conformation is placed perpendicularly to the amide plane. The porphyrin binding to the amide nitrogen atom, nearest to the chirality element, occurs so that the porphyrin adopts a conformation deprived of steric interaction with the larger substituent at the stereogenic center. Due to the possible halogen∙∙∙π interactions’ conformational preferences, the sign of the exciton couplet is reversed for α-halogenated carboxylic acid. However, the unified stereochemical model formulation requires a more rigid host molecule 1b.
Tuning tweezers’ structural and electronic properties by introducing 3,5-di-tert-butyl phenyl groups (5) allowed for the chirality sensing of carboxylic acids with distant stereogenic centers (Figure 10). In contrast to the previously mentioned α-halogenated carboxylic acids, the heteroatom at the distant stereocenter did not interfere with the binding mode [142,143,144].
Figure 10.
Chiral carboxylic acids with a remote stereogenic center, studied using tweezers 5b. The respective simplified stereochemical models are shown in the dashed boxes. The value “A” refers to the experimentally determined sign and magnitude of the exciton couplet.
Borovkov, Dong, and co-workers proposed a modification of the porphyrin probe. Shortening the rigid linker between porphyrin units reveals more intense exciton Cotton effects, even for complexes with monodentate inductor molecules.
To date, many modifications of porphyrin probes have been described in the literature. These include changes of the connector between chromophore units, the exchange of metal cations, or the modification of chromophore structure, which in turn enable the study of various types of chiral molecules [133].
7. Point-to-Helix vs. Point-to-Helical Chirality Transmission
Commonly, compounds that can be described by defining their helicity are considered helix fragments. This is a significant simplification because even in compounds with a structure far from the helix, particular fragments of the structure can be found, which can be described by defining helicity [145].
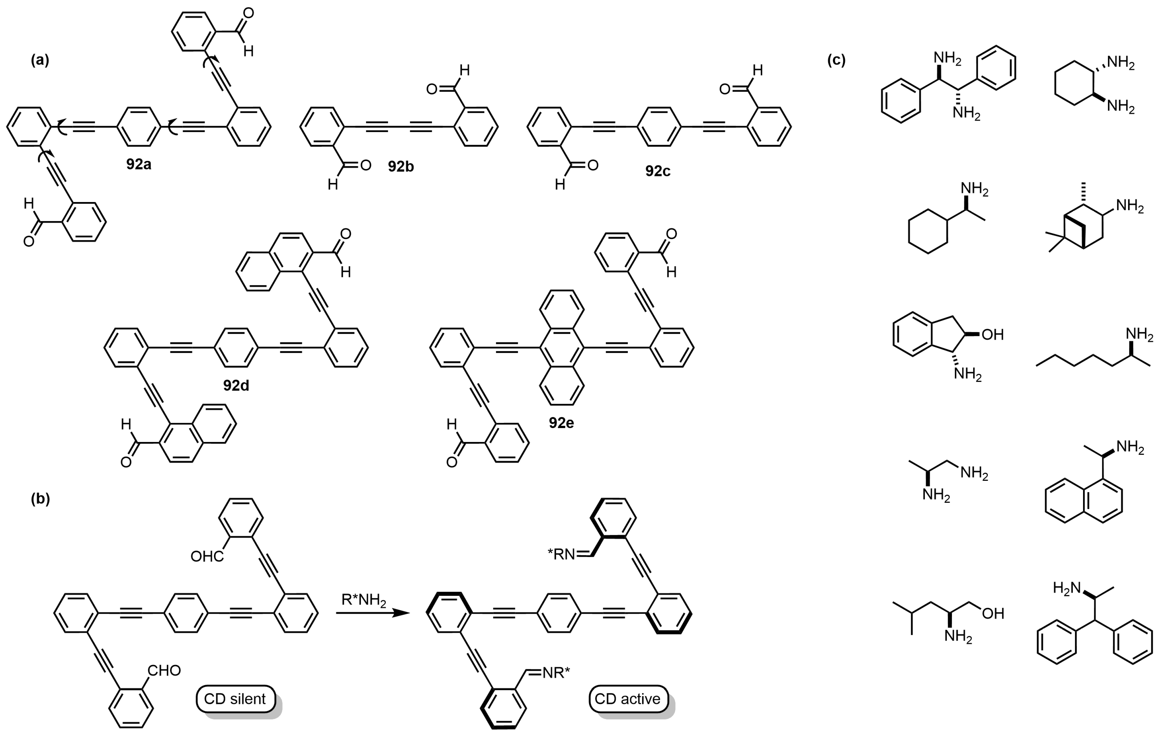
In the context of the phenomena discussed here, the transfer of structural information of the point-to-helix type, that is, from the point element of chirality to the chromophore probe that is a fragment of the helix, is rare [146]. Moreover, the structural fragment whose structure can be attributed to the helix is challenging to observe. Therefore, using (maybe) the less elegant term, namely the “point-to-helical chirality transmission,” is more correct. One should remember that this term is very general and describes the induction of optical activity in compounds with a very diverse structure.
An example of a compound that can take a structure that is a fragment of the helix is a stereodynamic probe 22 proposed by Jeong [147,148,149], which contains two aldehyde-modified indolocarbazole units connected by a rod-like 1,4-butadiynyl spacer (Scheme 4).
Scheme 4.
(a) The preferred conformation of the diamine formed from the probe and vicinal diamine. (b) The proposed stereochemical model that correlates the helicity of diamine with the observed chiroptical outcome.
When mixed with optically pure diamine and in the presence of tetrabutylammonium acetate, the probe is prone to form diimine 23 of right- or left-handed helix structure. The preferred helicity of the diamine is determined by the absolute configuration of the amine and reflected by the signs of C.e.s in ECD spectra. The correlation between the structure of the inducer, the helicity of the formed diamine, and the sign of C.e.s is straightforward. For amines of R,R absolute configuration at stereogenic centers, the forming helix has right-handed (positive) helicity, which is revealed in observed positive long-wavelength C.e. The preference to form the P-helical structure by (R,R)-diimines is attributed to an allylic type 1,3-strain in the imine bond neighborhood. In the case of the less stable M-helical diastereoisomer, these interactions interrupted π-conjugation due to the lack of co-planarity of imine and aromatic moieties [148].
Srivastava and co-workers have recently proposed a helically twisted aerodynamic probe 24 based on a pyridine-2,6-dicarboxamide core to which two benzaldehyde fragments are attached. Without a permanent chiral inducer, the probe undergoes rapid interconversion between the achiral meso and chiral P- and M-helical forms. However, when the chiral amine or diamine is attached to the probe skeleton, one of the conformational diastereoisomers dominates, either P-helical for (S)-imine or M-helical, when (R)-amine is bound to the probe. The structure of the formed diimines 25 is stabilized by a set of bifurcated hydrogen bonds involving secondary amide fragments as donors and imine and pyridine nitrogen atoms as acceptors (Scheme 5).
Scheme 5.
The conformational equilibrium in probe 24 and formation of conformational diastereoisomers 25 upon binding the vicinal diamine. Asterisk indicates the stereogenic center.
Similarly to the above-mentioned indolocarbazole-based probe 22, the correlation between the preferred helicity of the diimine 25, absolute configuration, and ECD outcome is straightforward. The negative sign of the Cotton effect observed at around 340 nm in the ECD spectrum corresponds to a negative helicity of the imine. It is worth noting that the spectral range where the C.e.s appeared is not interrupted by the intrinsic C.e.s of inductor molecules [150].
7.1. Chirality Transfer in Molecular Propellers of Induced Helicity
The molecules or supermolecules resemble the shape and/or the mechanism of action of the macroscopic objects bearing the name of molecular machines. Such molecular devices can perform mechanical work, and collect or process information at the single molecule level [151]. Depending on their role, these molecules can be further divided into molecular motors (capable of performing one-way motion under the influence of an external stimulus) [152], switches (able to switch from one stationary state to another under the influence of external stimuli) [153,154], sensors, receptors or reporters (explicitly responding to stimuli) [149], gears (where there is a correlated motion between parts of the molecule) [155], and propellers (representing one-way synchronized movement) [156,157,158,159]. The same molecule (or molecular fragment) may be classified into different sub-classes depending on the function in a given system.
Mislow and co-workers’ pioneering studies on the static and dynamic stereochemistry of molecular propellers of the general formula Ar3X have drawn the scientific community’s attention to these fascinating molecular systems [160,161]. The triphenylmethyl (trityl) group (Tr, Ph3C-) represents the simplest example of such a system.
Due to steric repulsion between the hydrogen atoms, the triphenylmethane (TrH) molecule adapts the propeller shape, in which the phenyl rings are chirally arranged. The isolated triphenylmethyl group exists as an equimolar mixture of two conformers of opposite helicity (P and M), where all torsion angles ω = H-C-Cipso-Cortho are twisted in the same direction and of the same value (Scheme 6). Such a structure exists for the C3-symmetrical substituted triphenylmethyl groups Ph3C-X (X = e.g., H, Cl). The twist of the phenyl rings is also preserved in the triphenylmethyl cation. In the crystals of the C3-symmetrical tritylium, formed from triphenylmethyl perchlorate, the absolute value of the angle of the twist of phenyl groups is 35° [162,163].
Scheme 6.
Enantiomerization of the C3-symmetrical trityl derivatives (‡ denotes transition state).
On the contrary, an X-ray analysis of the crystals of the O-trityl derivative of 2-phenyl-2-ethanol indicates the break in the symmetry of triphenylmethane (ω torsion angles are 90°, −20°, and −160°, respectively). Triphenylmethane and its simple derivatives form dynamic racemates, with the enantiomerization barrier barely exceeding 5 kcal mol−1 [162,163]. The enantiomerization activation energy increases slightly for trityliums, and for the 3,3′,3″-trifluoro triphenylmethane cation, it was estimated as 9.1 kcal mol−1 [164]. For the neutral molecules, the accepted mechanism of the inversion assumes a two-ring flip, as shown in Scheme 6, and proceeds via the Cs-symmetrical transition state.
Recently, Gawronski and coworkers have demonstrated that the trityl group, attached by an ether bond to an optically active alcohol, may adapt the structure to a chiral environment and become optically active. This application of the trityl group as a chirality indicator of secondary alcohols is based on the assumption that the formed diastereoisomeric pairs of chiral trityl derivatives, due to the low conformational barrier, are retained in equilibrium, but one of them is dominant by energy reasons. The transfer of chirality from the stereogenic center to the labile triphenylmethyl group is manifested in the generation of non-zero Cotton effects in the UV-absorption range of the trityl group [165,166].
In the studied systems 26, the loss of trityl symmetry from C3 to C1 is associated with the disturbance of the regular propeller conformation. Two of three torsion angles characterized the trityl group’s conformation to adapt the opposite sign’s helicity to the third angle. As the alcohol moiety and the probe are at an angle, the system behaves like a conical gear (bevel gear). The sign and magnitude of the C.e.s generated in the trityl chromophore can be correlated with the size of the substituent and the absolute configuration of the stereogenic center of the inducer. Except for (-)-borneol, the alcohol with the R absolute configuration corresponds to the chromophore’s PMP conformation, whereas the MPM conformation prevails for (S)-alcohols. This translates into a sequence of Cotton effects of signs +/+/− and −/−/+ observed for (R)- and (S)-alcohols, respectively (see Figure 11).
Figure 11.
Optical activity model proposed for (a) O-trityl ethers and (b) N-trityl amines and the correlation of the ECD spectra with the most abundant conformer of O-trityl ethers and N-trityl amines. Projections are drawn from the O–CPh3 or N–CPh3 bond. Structures of some studied inducers: (c) alcohols and (d) amines.
Wiskur’s group proved that the transmission of structural information from a permanently chiral inducer to a conformationally labile probe is not limited to trityl derivatives but also occurs in triarylsilyl ethers 28–32 (Figure 12).
Figure 12.
(a) Structures of O-, S, and Se-XAr3 derivatives studied by Wiskur and Skowronek. (b) Wiskur’s model correlating the structure of the inductor, the preferred helicity of the chromophore, and the observed Cotton effect.
The transmitted chirality to the aryl groups has established a conformational equilibrium where a population of one helical conformation dominates over another. Similarly to the abovementioned O-trityl ethers, the R absolute configuration corresponds to the PMP helicity of O-triphenylsilyl ethers, and the +/− sequence of C.e.s appeared at around 205 and 192 nm, respectively. Consequently, the S absolute configuration of alcohol is associated with the MPM helicity of the chromophore of the reverse sequence of respective Cotton effects. Although silyl ethers seem more convenient for synthesis than O-trityl congeners, the ease of synthesis is at the expense of probe sensitivity. Considering the amplitude of respective Cotton effects as a measure of sensitivity and choosing l-menthol as a reference system, it can be concluded that the trityl probe is almost four times as sensitive as the triphenylsilyl one. In addition to the observed bathochromic shift, the conversion of phenyl groups to naphthyl did not increase the probe’s sensitivity [167].
Interestingly, elongating the distance between the chiral inducer and the chromophore by the formal replacement of oxygen by sulfur or selenium did not inhibit the transmission but, on the contrary, the observed C.e.s are characterized by a much greater magnitude than in the case of trityl ethers. Among the derivatives studied, the largest C.e.s were measured for neomenthyl sulfur and selenium derivatives 33, even though the substituent occupies an axial position. A similar situation is visible for pinane derivatives—an additional separation of the inducer and the trityl group by the methylene group did not preclude the induction of optical activity. Although there was no apparent correlation between the observed chiroptical phenomena and the structure of the trityl derivatives, the computational study performed for 33a and 33b revealed that the chromophore conformation in the lowest energy conformers is similar to C3. In contrast, the chromophore adapts a conformation close to Cs symmetry for the higher energy conformer. The increase in amplitude of C.e.s, in comparison to O-trityl ethers, is ascribed to an effect of sulfur and selenium on the trityl chromophore. The electronic transitions, active in ECD, involve molecular orbitals at the phenyl rings and the chalcogen atom [168].
N-Tritylamines 27, characterized by more complex conformational dynamics than respective O-trityl ethers, were subject to analogous studies [169]. The compounds prepared for this study exhibited C.e.s in the spectral region characteristic for trityl chromophores, albeit of diverse magnitudes, depending on the substitution pattern around the stereogenic center. The intensity of observed ECD bands, while similar at longer wavelengths as those found for O-trityl ethers, is less intense at the region of 1B transition around 192 nm than the C.e.s measured for the alcohol derivatives. The supported computational study indicated some controversy about quantitatively assessing the steric effect exerted by substituents flanking the stereogenic center. In the extremal case of the 27b derivative, the tert-butyl group has been found formally to be less sterically demanding than the methyl group. Although the bevel gear mechanism was considered valid for those derivatives, the possibility of the configuration inversion at the nitrogen atom, which in these compounds is dynamically chiral, must be considered during analysis. Therefore, the double chirality transmission is postulated from the stereogenic center to the trityl group and (probably) from the trityl to the nitrogen atom. In the proposed optical activity model (shown in Figure 12), the R absolute configuration corresponds to the MPM and MPP trityl helicity and S configuration of the nitrogen atom.
The study on the intramolecular interactions between propellers in trityl derivatives of chiral cyclic 1,2-diols and 1,2-diamines (Scheme 7a) was an extension of the subject. Unlike compounds containing one bulky trityl-type substituent, the ring’s vicinal double substitution caused significant changes in the structure of the inducer. This is especially visible for cyclohexane derivatives, where the presence of two trityl groups caused complete ring inversion or established conformational equilibrium between diequatorial and diaxial conformations (Scheme 7b). The diaxial conformations of cyclohexane derivatives are preserved even in the solid state; however, the packing method is determined by the presence of the solvent molecule (Scheme 7c,d).
Scheme 7.
(a) Model cyclic ditrityl compounds. (b) The conformational equilibrium established for the trans-1,2-disubstituted cyclohexane derivatives 36. X-ray-determined structures of (c) the diaxial conformer of 36a and (d) the diequatorial conformer of 36b solvate with CHCl3.
An essential feature of the ECD spectra of 36–39 is uniformly the same sequence of Cotton effects. The positive, lower-energy Cotton effect at around 215 nm precedes the negative, higher-energy effect at around 200 nm. In most cases, the magnitudes of the respective C.e.s are about twice as large as for mono-substituted derivatives, indicating their relatively negligible mutual interactions and dependence on the absolute R configuration of stereogenic centers [170].
Despite the spectacular results obtained for N-trityl amines, the order of events in which the structural information is transferred from the stereogenic center to the labile trityl moiety and the nitrogen atom might constitute a point of controversy. On the other hand, the modification of the structure in such a way as to deprive the nitrogen of the stereogenic center and to elongate the distance between the inducer and the trityl chromophore should result in the total hampering of optical activity induction. Surprisingly, the model secondary 39 and tertiary 40 triphenylacetic acid amides of S absolute configuration (Figure 13) exhibited positive C.e.s at the 1Lb transition (around 225 nm) and a negative couplet in the 205–185 nm spectral range. Even for compounds characterized by slight differences between substituents flanking the stereogenic center, the signs of the observed C.e.s correctly reproduce the configurational scheme. The magnitudes of both long- and short-wavelength Cotton effects increase simultaneously to increase the substituent size at the stereogenic center. The formal replacement of the hydrogen amide atom by the methyl group enhanced the amplitudes of the respective C.e.s but kept the sequence unamended [171].
Figure 13.
(a) Structures of secondary and tertiary triphenylacetamides 39–40. The calculated structures of the lowest-energy conformers of amides (b) (S)-39a and (c) (S)-39e of opposite helicities of the trityl chromophores.
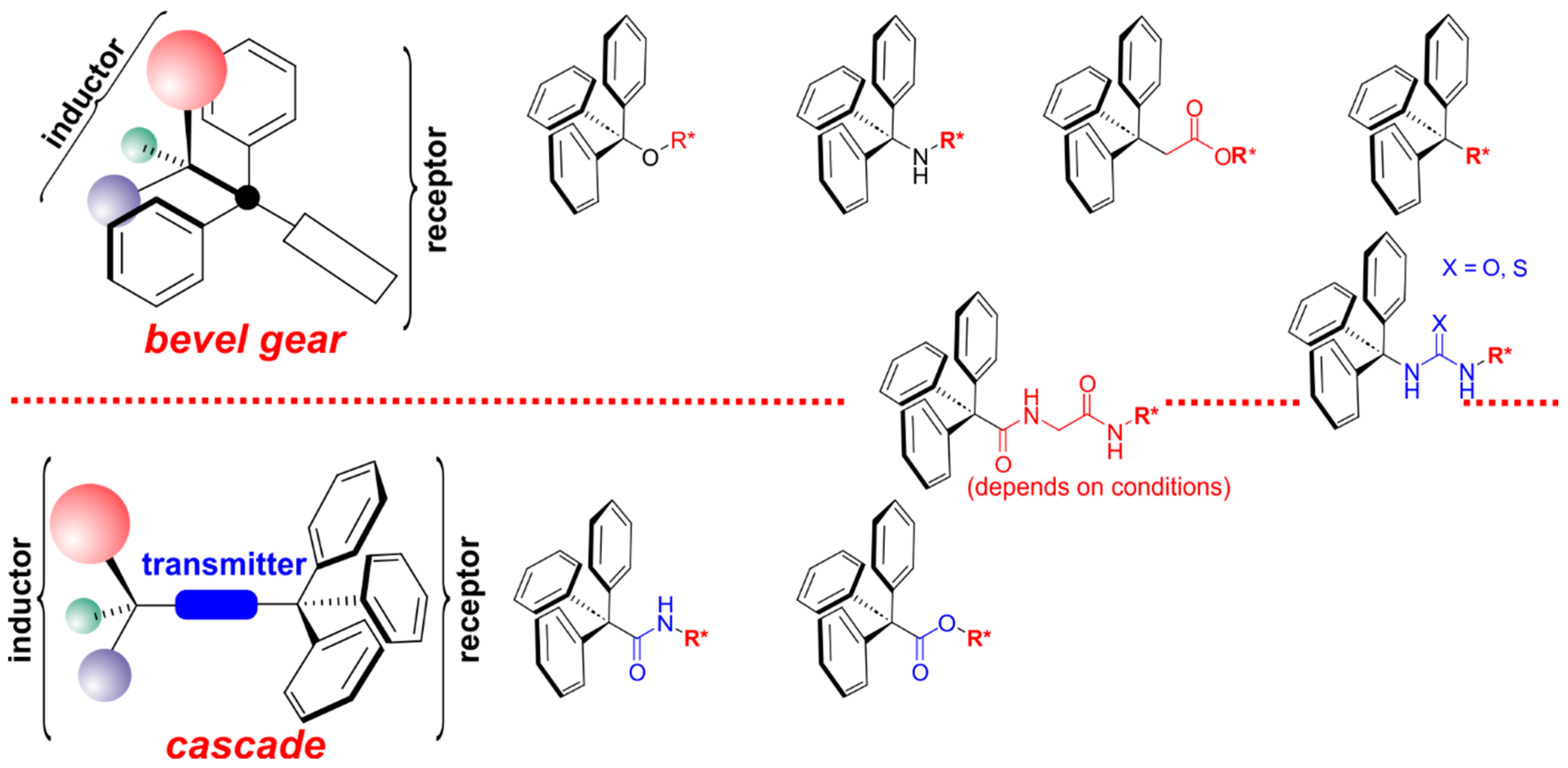
A derivative of (S)-1-phenylethylamine, for which the C.e.s sequence was reversed, was an exception. Extensive computational study allowed for explaining this discrepancy. The calculated structures of the lowest energy conformers of (S)-39a and (S)-39b, shown in Figure 13b,c, are characterized by the opposite helicity (MMM vs. PPP) of the trityl chromophores, which suggests that the probe sees the phenyl group as smaller than the methyl group. Despite the longer inductor–effector distance (about 4 Å), the magnitude of the observed C.e.s was comparable to those observed for N-trityl amines, suggesting that the “bevel gear” mechanism of optical activity induction is not the only possibility.
Indeed, the transfer of the structural information to the trityl group can be called a “cascade”, and the amide group plays the role of a rigid, configurationally stable transmitter. The conformation of the chromophore is controlled by a set of relatively weak but synergistic interactions, including C=O···H-Cortho, CH···π, and intrachromophoric electrostatic interactions between the Cortho-H hydrogen atom and the Cipso carbon atom from the neighboring phenyl group. However, the decisive role in controlling the chirality transfer was ascribed to the stabilizing interactions between the opposite-oriented dipoles formed by the C=O group and the H-C* bond.
The proposed model of the optical activity of chiral secondary and tertiary triphenylacetic acid amides is shown in Figure 14a,b. The model correlates the observed chiroptical outcome with the relative size of substituents. The ability of substituents to dynamically induce optical activity rises as follows: Me < Et < i-Pr < t-Bu ≤ Cyclohexyl < Phenyl < Naphthyl. Thus, the bent molecular structure is not mandatory for effective optical activity induction in trityl and related chromophores.
Figure 14.
Correlation model of ECD spectrum with the structure of the dominant conformer established for chiral (a) secondary and (b) tertiary (S)-triphenylacetamides (projection down the N-C(=O) bond). The calculated ECD spectra (upper panels) for stable conformers of (c) (S)-O-trityl-2-butanol (26a) and (d) (R)-triphenylacetyl-2-aminobutane (39a) and comparison between experimental (black lines) and Boltzmann averaged ECD spectra (red lines, lower panels).
In the case of the structurally simplest trityl ether 26a, the conformers participating in the equilibrium are characterized by a diverse helicity of the chromophore (Figure 14c). This translates into a worse reproduction of the experimental ECD spectrum using theoretical methods. A similar situation also occurs with N-trilyl amines. However, all amide 39a conformers found by DFT methods have the same chromophore helicity, translating into an almost perfect reproduction of the experimental ECD spectrum (Figure 14d).
The exception to the rule established for chiral amides of triphenylacetic acid has been found for the cases where the inductor constitutes an amino acid derivative. The ECD spectra of amides 41a–41n measured in solvents of different polarity exhibited the reversed −/+/− to the previously studied amides’ order of C.e.s signs (Figure 15).
Figure 15.
(a) Structures of amide derivatives of triphenylacetic acid 41a–41n. ECD spectra of amides (b) 41a and (c) 41b, measured in cyclohexane (solid black lines) and acetonitrile (solid blue line) and calculated at the TD-DFT level (dashed red lines).
The effect of the substituent at the stereogenic center on chirogenesis rises as follows: HOOC < CH3 < H3COOC < CH2CH2SCH3 < C(CH3)3 < CH2CH(CH3)2 < CH(CH3)2. The minor impact of the carboxyl group on chirality induction is the main reason for the deviation from the previously proposed model of optical activity established for the secondary N-triphenylacetylamides [172].
The application of triphenylacetic acid for structural studies of amines was further extended to diamines. It has been shown that the transfer of structural information to a stereodynamic probe is not limited to inducers containing a stereogenic center but also takes place for inducers having other chirality elements, such as the axis of chirality. Despite the kind of chirality element present in the inducer skeleton, the general correlation between its absolute configuration and observed chiroptical response is visible. The identical +/− sequence of C.e.s was found for all inducers of R absolute configuration, regardless of the differences in conformer structures and populations. This observation aligns with the model of optical activity proposed for chiral amides of triphenylacetic acid and led to the conclusion that neither the intrinsic chirality nor the trityl–trityl interactions affect the ECD spectra. The lack of mutual steric interactions between the two reporter units manifests in the chromophores’ structure, which adapts a conformation close to the C3-symmetrical and justifies the comparison of these molecules to their macroscopic equivalent—a double-rotor helicopter [173].
A similar cascade process of structural information transfer is seen for chiral esters of triphenylacetic acid (42–44, Figure 16a) [174]. The measured ECD spectra for a set of esters show uniformly the same pattern—the higher-energy C.e.s reach their maxima usually below 185 nm and are followed by the low-energy ECD band originated from 1Lb electron transition appearing at around 225 nm. More intense C.e. of the opposite sign and 1B type appear around 200 nm. The presence of an additional carbonyl group-containing chromophore does not affect this pattern.
Figure 16.
(a) Structures of chiral esters of triphenylacetic acid 42–44. (b) Model of optical activity established for chiral esters of triphenylacetic acid (projection down the O–C(=O) bond). (c) Direct transfer of structural information from the stereogenic center to the trityl chromophore vs. trityl–trityl matching.
For acyclic esters, the differences in the size of substituents attached to the stereogenic center reveal the gradual increase in the amplitudes of respective C.e.s. The steric power in the dynamic optical activity induction for aliphatic substituents was established as follows: Me < Et < n-C5H11 < n-Pr < i-Pr < Cy. On the contrary, for cyclic ester, there is no trivial correlation between the efficiency of the transfer of structural information and the magnitude of C.e.s.
Derivatives 42l and 42o represent exceptional cases where the efficiency of the dynamic induction of optical activity is mainly seen. The differences between the substituents at the stereogenic center are negligible in both cases. Despite slight structural differences, the induction of optical activity is observed, and higher chirogenesis efficiency, as observed for 42o, is due to the stabilizing electrostatic interactions exerted by the oxygen atom in the tetrahydrofurane ring.
The attractive CH···O and CH···π interactions and C=O···H-Cortho interactions with substituent’s carbonyl group (if it is present in the inducer skeleton) are recognized as the main factor for having control over chromophore helicity. However, the structure of the inducer plays a vital role—the systems where the probe is spaced from the stereogenic center exhibited the weakest amplitudes within all of the esters studied so far.
Despite some structural similarities, the mechanisms of generating optical activity in triphenylacetic acid esters and previously mentioned triphenylacetamides differ (slightly). Although the C=O···H-Cortho interactions affect structure the most, the secondary amide group acts as a hydrogen bond donor, additionally stabilizing the conformation, whereas, in the case of esters, the oxygen atom is a hydrogen bond acceptor. The proposed model of the optical activity of chiral triphenylacetic acid esters, shown in Figure 16b, correlates the sequence of observed C.e.s with the substitution pattern at the chirality element.
Unlike bisamides, the presence of the second trityl group nearby interrupts the process of optical activity induction. The trityl–trityl interactions that led to the mutual fitting of their structure are more critical for chirogenesis than the direct transfer of structural information from the stereogenic center to the chromophore (Figure 16c).
Interestingly, the elongation of the distance between the inductor moiety and the chromophoric unit did not hamper the transfer of structural information. Skowronek and coworkers have studied the dynamic optical activity induction in 3,3,3-triphenylpropionic acid derivatives 45–47 (Figure 17). The investigated set of molecules contained chiral amides and esters of 3,3,3-triphenylpropionic acid. Considering the distance between the chiral inductor and the chromophore (4 bonds), the observed C.e.s, although of lower intensity than those found for other trityl-containing derivatives, might be treated as of relatively high magnitudes. The other expectation—the easy correlation between the shape of the ECD spectrum and the structure of the inducer—is also met for these derivatives. The negative lower-energy C.e.s appeared at around 204 nm, and the higher-energy C.e.s of the opposite sign correlated with the S absolute configuration of the inducer, stipulating that the inducer did not contain an aromatic fragment or additional chirality element.
Figure 17.
(a) Chiral derivatives of 3,3,3-triphenylpropionic acid 45–47. Exemplary structure of the calculated lowest-energy conformer of the derivatives (b) 45a and (c) 45c (dashed lines indicate possible attractive interactions). (d) ECD spectra of (d) 45a and (e) 47c, experimental, measured in cyclohexane (solid black lines), and calculated at the TD-DFT level (dashed blue lines).
Data analysis led to the conclusion that the steric power of the substituent to increase the optical activity dynamically is similar to that of the abovementioned trityl derivatives and rises as follows: Me < Et ≈ Cy < i-Pr < bornyl < tert-Bu. However, a counterintuitive relationship between the structure and ECD spectra has been found for 3,3,3-triphenylpropionic acid derivatives of methyl esters of amino acids. A gradual increase in the steric bulk of the aliphatic substituent in the inducer skeleton is associated with a stepwise decrease in the intensity of respective Cotton effects. This was ascribed to the aliphatic substituent’s specific balancing of the influence of the COOMe group.
The theoretical study sheds light on the possible mechanism of the induction of optical activity. In the case of the derivatives of 3,3,3-triphenylpropionic acid, the ordering effect exerted by the carbonyl group is the main factor controlling the molecule’s conformation. The formal distance of four bonds between the inductor and effector is, in turn, shorter when the position of the central sp3-hybridized carbon atom in the trityl group and stereogenic center is considered. In other words, the tendency to maximize electrostatic interaction makes the main chain of the molecule bent, as shown in Figure 17b. In the cases of 45a and 47c, the calculated structure of the lowest energy conformers is bent, and the chromophore adopts a homohelical conformation. Despite their populations oscillating at the value of 30%, these conformers have a dominant impact on the ECD spectra (Figure 17c) [175].
As long as the molecule can adopt a bent conformation, further elongating the inductor–effector distance does not preclude the transfer of structural information. For the exceptional cases of 48–49 (Figure 18a) of S absolute configuration of the stereogenic centers, the inductor and the chromophore are separated by six bonds, including two rigid amide bonds [172].
Figure 18.
(a) Structures of extended amides of triphenylacetic acid 48–49. (b) ECD spectra of amide 48b, measured in cyclohexane (solid black line) and acetonitrile (solid blue line), and calculated at the TD-DFT level (dashed red line). (c) Structure of the lowest energy conformer of 48b calculated at the B3LYP/6-311++G(d,p) level. Dashed lines indicate some attractive interactions. (d) Found in the crystal, an extended-chain conformation of one of the two independent molecules of 48b.
The ECD spectra of the studied glycine derivatives show measurable C.e.s in the UV absorption region typical of the triphenylmethane chromophore, as long as the measurements are performed in a non-polar environment. When the environment was changed to the more polar acetonitrile, the ECD spectra flattened, and an almost complete vanishing of C.e.s was observed (Figure 18b).
The presence of two supramolecular synthon-forming groups enforces the formation of a left-handed helix by the O=C-C-N-C=O bonds. In the lowest energy conformer of the model compound 48b (shown in Figure 18c), all bulky substituents occupy the same side of the entity, which indicates a more pronounced effect on the induction of optical activity exerted by the methyl group than the much larger tert-butyl substituent. The agreement between experimental and calculated ECD spectra of 48b (Figure 18b) confirms these structural elucidations. However, two independent molecules of 48b form a pseudo-centrosymmetric dimer in the crystal. Intermolecular N-H∙∙∙O=C hydrogen bonds stabilize the extended conformation of the molecules.
Intense studies have been conducted on the possibility of chirality transfer in derivatives 50–52 (Figure 19a), in which a urea and thiourea linker connect the inductor and the chromophore parts. Although considered rigid, both linkers can make structural changes, including complete E—Z isomerism and deformation from planarity [176].
Figure 19.
(a) Representation of the chiral urea and thiourea trityl-containing derivatives. Structures of the lowest energy conformers of (b) 52a; (c) 52a optimized using the solvent model of acetonitrile; and (d) 52b. Dashed lines indicate some attractive interactions. ECD spectra of chiral bis-urea and thiourea derivatives (e) 52a and (f) 52b, experimental, measured in cyclohexane (solid black lines) and acetonitrile (red line), and calculated at the TD-DFT level (dashed blue lines).
The ECD spectra measured for mono- and bis-ureas and thioures show C.e.s of moderate to high magnitudes. These results seem unexpected because long and rigid linkers connect both system parts. The relationship between the shape of the spectrum and the structure of the inducer is straightforward for acyclic ureas and thioureas, and the +/−/+ sequence of C.e.s, at around 229, 200, and 186 nm, respectively, reflects the R absolute configuration and vice versa. The magnitudes of the C.e.s are sensitive to the relative size of substituents at the stereogenic center, and this effect follows an expectable pattern: Me < Et < Cy < i-Pr < t-Bu. Although the urea and thiourea chromophores represent complex systems, the chiroptical effect originating from linkers did not interfere with the impact of the trityl chromophore. This is particularly important for thioureas, which exhibit more complex and intense UV and CD spectra than their urea counterparts. The effect of the thiourea linker is visible in the lower energy region, where the trityl chromophore does not absorb UV light.
Contrary to most of the trityl derivatives of diamines, the presence of two ureas or thioureas capped with a trityl group does not decrease observed C.e.s due to the mutual structural fitting of the trityl chromophores. Instead, the observed C.e.s are much higher than they would result from a simple summation of the contribution of individual chromophores. The polarity of the solvent has a significant influence on the ECD spectra of ureas and can be neglected for thioureas. In the previous case, measurements done in acetonitrile led to the flattening of the ECD spectra of acyclic derivatives and the reversing of the C.e.s sequence in disubstituted cyclic derivatives. Thus, one can suppose that the mechanism of optical activity induction is different for both types of derivatives.
Experimental and theoretical studies revealed different structural preferences of ureas and thioureas. The most important one is the configuration of the linker. Whereas the urea derivatives adopt the Z,Z configuration of the linker, which is associated with the extended structure of a given molecule, the E,Z configuration of the thiourea linker is unexpected. Although the Z,E- and E,E-thioureas have been reported, these constitute only a fraction of the structures in which thiourea takes the Z,Z configuration. Additionally, there is no direct correlation between the amide configuration and the size of the nitrogen atom substituent. In the case of N-trityl thioureas, the unusual E configuration appeared at the side where the trityl group was attached to the nitrogen atom. The extended conformation of ureas, where the transfer of structural information was purely a cascade, is controlled by synergistic effects exerted by a set of attractive NH···π and CorthoH···π interactions. The C=O···H-Cortho interactions involving the carbonyl oxygen atom and one of the aromatic protons were found as the main factor controlling the helicity of the trityl chromophore. When the surroundings become more polar, these weak electrostatic interactions lose relevance. The specific coiling of the structure of chiral N-trityl thioureas, caused by the E,Z configuration of the linker, allowed the inductor and the chromophore to be closer. Thus, the mechanism of optical activity induction in thioureas resembles that typical of O-trityl ethers. Figure 19 shows the structures of the calculated lowest energy conformers of N-trityl urea and thiourea derivatives of trans-1,2-diaminecyclohexane 52a and 52b, respectively, and corresponding ECD spectra, both experimental and calculated.
In summary, we can draw some conclusions from this paragraph. There are two extreme models of optical activity induction in trityl-containing stereodynamic probes (Figure 20). The first requires direct sterical interactions between the inductor and the trityl chromophore, and the mechanism of optical activity induction resembles the mode of action of macroscopic bevel gears. The molecule’s bent structure is the critical structural feature that enables this action. Therefore, the inductor–receptor systems in which both fragments are bound by heteroatoms are privileged. The conformation of the trityl fragment is very distorted from symmetry. The process of optical activity induction in these systems is relatively insensitive to the polarity of the environment. The exceptions are the systems where a long spacer connects the inducer and chromophore. The preferred conformation of these systems is bent. However, due to the mode of interactions stabilizing the preferred structure, which is based on long-range electrostatic interactions, increases in the polarity of an environment result in a partial or complete vanishing of the induced optical activity.
Figure 20.
Models of optical activity induction in stereodynamic trityl-containing chirality probes. R* denotes functional group containing stereogenic centre.
The opposite pole represents molecules in which the chromophore unit is indirectly connected to the inducer, and the transfer of structural information requires a particular “transmitter” moiety of limited conformational freedom. The optical activity induction is based on the cascade process, driven by relatively weak but complementary and synergistic interactions. Mainly, these interactions involve electrostatic or dipole–dipole interactions, which are sometimes supported by hydrogen bonding. The conformation of the chromophore is close to C3, resulting from the optimal conformation adjustment by the third phenyl ring to the remaining two.
Even in systems where the long and rigid transmitter connects the inductor and effector, the effective chirality transfer occurs, as revealed in the amplitude of C.e.s. Figure 21 shows ECD spectra measured for various inductor–effector systems. The common denominator is the structure of the inducer, characterized by a very low difference in the size of substituents attached to the stereogenic center. The difference between methyl and ethyl groups is significant enough to trigger a strong chiroptical response.
Figure 21.
ECD spectra of various trityl-containing systems where the inducer moiety constitutes a 2-butyl group (a) O-trityl eter 26a, (b) N-trityl amine 27a, (c) triphenylacetic acid ester 42a, (d) triphenylacetamide 39a, (e) urea 50a, and (f) thiourea 51a. All spectra were unified for comparison purposes to show effects for inductors with R configuration.
Wolf recently proposed a specific modification of the Ar3X chromophoric system. The probe is based on the triphenylamine skeleton, where the binding unit is placed at one of the phenyl substituents in the ortho position to the nitrogen atom. Boronic acid, which serves as the binding unit, forms stable compounds with inducers of alcohol, diol, and amino alcohol types (Figure 22) [177].
Figure 22.
Design of triphenylamine-based chirality probes 53 for determining the chirality of alcohols, diols, and aminoalcohols.
The binding inducer’s steric congestion forces the diphenylamine unit to twist, resulting in the appearance of a strong C.e.s in the long-wavelength part of the spectrum, between 350 and 300 nm. The in-depth study revealed that several species were formed, but monoester is the reaction’s main product. The binding of alcohol is reversible and takes place under thermodynamic control. Despite that, the probe can simultaneously determine the sample’s concentration and enantiomeric excess.
The ultimate confirmation of the probe’s usefulness was determining the enantiomer composition of the crude product of the asymmetric dihydroxylation of styrene. The results obtained with the probe aligned with the traditional way of analyzing chiral products by gravimetric and HPLC analyses.
7.2. Three Blades Are Good—Two Blades Are Better!
The trityl chromophore is an interesting compound with complex conformational dynamics that can be used in stereochemical assignments. However, it is not devoid of certain drawbacks. One of them, associated with the compound’s structure, is its molecular volume. The trityl group is challenging to introduce into more crowded molecules. Secondly, there is no simple and direct correlation between a given conformation of the chromophore and the sign of induced Cotton effect. Chromophores of different helicity may provide the same sequence of Cotton effects. Therefore, the stereochemical analysis is qualitatively simple at the stage of determining whether the compound induces optical activity or not. However, the association of this activity with the chromophore structure and further with the absolute configuration of the inductor requires support from theoretical methods.
The most straightforward remedy for the trityl group’s deficiencies seemed to be to formally deprive the Tr group of one of the trityl fragments. The benzhydryl (Bhn, -CHPh2) group is smaller than trityl, and due to the electronic interactions between two chromophores, the ECD results should be easier to interpret. Mislow investigated the conformational behavior of the parent diphenylmethane [178]. Of the total number of five low-energy conformers, one is chiral. Gawronski and Ściebura, in their initial study, confirmed the conformational flexibility of the chromophore, correlating the relative energies of diphenylmethane with the values of the twist angles determining the helicity of the phenyls and with the rotational strengths of the long wavelength 1B electronic transition [179]. In further theoretical studies, the origin of the optical activity of the diphenylmethyl chromophore was established [180]. In contrast to the trityl chromophore, there is a direct relationship between the helicity of the phenyl groups and the sign of the rotational strength, i.e., the positive sign of the long-wavelength C.e. is related to the P-helicity of the chromophore and vice versa (Figure 23).
Figure 23.
(a) Relative energies (in kcal mol−1), and (b) long-wavelength and (c) short-wavelength rotatory strengths calculated for model benzhydryl ether 54 as a function of torsion angles ζ1 and ζ2.
The ECD spectra measured for a series of diphenylmethyl derivatives 55–58 (Figure 24a) of chiral alcohols and amines exhibit C.e.s in the higher-energy part of the spectrum, namely between 205 and 185 nm (see Table 1).
Figure 24.
(a) Structures of mono- and dibenzhydryl derivatives 55–58. (b) ECD spectra of 57e, measured in cyclohexane (black solid lines) and acetonitrile (blue solid lines), and calculated at the TD-CAM-B3LYP/6-311++G(d,p) level (black or blue dashed lines, respectively). Structures of the amide 57e lowest-energy conformers calculated (c) in vacuo and (d) employing the IEPCM solvent model. Dashed lines show possible attractive interactions. (e) Newman projections of trans and gauche conformers of tartaric acid derivatives.
Table 1.
ECD data measured in acetonitrile solutions for benzhydryl ethers 55–58.
The measured values range from small to moderate. Derivatives in which the chromophore moiety constitutes one of the substituents of the stereogenic center are an exception. In these cases, the amplitudes of bisignate C.e.s oscillates around 100–120 Δε. The most interesting example is the O,O′-isopropylidene TADDOL derivative. The proximity of the Bhn groups forces them to adopt a heterohelical MP conformation stabilized by the intramolecular O–H···OH hydrogen bond.
The lesser sterical demands exerted by the benzhydryl group were further employed in the stereochemical analysis of some tartaric acid (TA) derivatives. As mentioned earlier, attempts to introduce two trityl groups at oxygen atoms of hydroxyl groups have been unsuccessful to date. However, the use of diazodiphenylomethane as an alkylating agent led to the formation of di- and mono-benzhydryl ethers of tartaric acid derivatives. The structure (in the solution) of the obtained derivatives was examined using NMR and ECD spectroscopy, supported by theoretical calculations. While the absolute configuration of stereogenic centers was known (and did not change during the reaction), the challenge was determining the preferred conformations of the tested compounds, especially those with non-trivial symmetry. An undeniable advantage of benzhydryl derivatives is their lipophilicity, allowing measurements in a non-polar environment, which is impossible for other ECD-active tartaric acid derivatives.
The analysis of the values of 2JC,H coupling constants found for individual derivatives led to the conclusion that for dibenzhydryl esters derivatives 57a–c, the conformer G (gauche) population was increased in the solution. This is due to the inability to stabilize the extended conformer T (trans) by intramolecular hydrogen bonds. In the case of 57d amide derivatives, The T conformation dominated for amide 57d, except 57f, occurring almost exclusively in the G− conformation. The structure is stabilized, on the one hand, by 1,3-dipole–dipole interactions between C=O∙∙∙C*H fragments and, on the other hand, by π∙∙∙π interactions of parallelly oriented phenyl rings from neighboring benzhydryl groups. The amide derivatives’ T conformation is also stabilized by CHPh2O∙∙∙HN hydrogen bonding. The preferred T conformation characterizes both ester and amide mono benzhydryl derivatives 58a–f.
The ECD spectra of O-benzhydryl ethers of TA derivatives consist of three main absorption bands. Typically, chiral acids and their derivatives’ n–π* transition C.e.s appear between 220 and 230 nm. However, in the ECD spectra of the compounds under study, the neighboring shorter-wavelength C.e.s, originating from electronic transition within an aromatic chromophore, obscure these n–π* C.e.s unless the mutual cancelation of effects originating from different conformers caused the vanishing of the lowest energy C.e.s. The C.e.s arising at the higher-energy region and corresponding to the UV absorption band at 192 nm are more significant regarding ECD spectrum analysis. Except for amide 3 (see Figure 24b), the ECD spectra are not dependent on the polarity of the solvent and show uniformly the same −/+ sequence as the C.e.s in the region of the strong UV absorption. In the particular case of 3, the change in the C.e.s sequence is caused by the helicity interconversion of the benzhydryl chromophore caused by the different conformational preferences of the molecule in non-polar and polar environments (Figure 24c,d).
Although tartaric acid and its derivatives exhibit some residual optical activity in the spectral range of 240–185 nm, the deconvolution of ECD spectra indicates benzhydryl as the primary source of the observed C.e.s. Unlike TADDOL and its congeners, the C.e.s observed for O-benzhydryl ethers of TA derivatives are additive and constitute a linear combination of effects originating from individual chromophore fragments. This means that these chromophores do not interact with each other (or only to a negligible extent), and the observed spectra result from intrachromophoric rather than interchromophoric interactions.
The benzhydryl chromophore is a relatively simple system to analyze. Its main advantage is the limited number of thermally allowed conformations. However, considering the analytical method—ECD spectroscopy—the spectral phenyl group characteristic is the most significant limitation. The spectral range where short-wave electron transitions of type 1B generate the induced Cotton effect is susceptible to disturbances resulting from other chromophores in the inductor molecule.
Developing an improved version of the diaryl methyl probe, devoid of the most significant limitation of the benzhydryl system, which is a very narrow spectral range, led to the introduction of the di(1-naphthyl)methyl-type stereodynamic probes.
For the first time, Rossini and co-workers used a probe of this structure (59) to determine the stereochemistry of chiral diols 60 (Figure 25) [181].
Figure 25.
(a) Synthesis of ketals 61a–h from respective diols. Asterisk indicates the stereogenic center. (b) Conformational preferences of diastereoisomers of (R,R)-61b, proposed by Rosini [181].
The assumed mode of action relies on the transfer of chirality from the bound inductor (the diol) to the naphthyl rings linked to the same carbon atom and preferentially twisted in specific direction. The helical arrangement of the naphthyl groups gives rise to the appearance of an exciton couplet in the 1Bb electronic transition region (around 220 nm). By simple geometrical analysis, it is possible to deduce the cyclic ketal’s dominant conformation and, therefore, absolute configuration at stereogenic centers. The ECD spectra measured for a series of ketals show exciton Cotton effects of varied amplitudes, however, consistent in the configuration-sign dependence. The aliphatic inductors of R absolute configuration at stereogenic center(s) caused a positive twist of naphthalene chromophores, and therefore, a positive exciton couplet is generated. Due to the favorable edge-to-face interactions, the (R)-alcohols with aromatic fragments give opposite conformational preference. Thus, the sign of the exciton couplet is negative. The conformation of the diol part is such that the protons at stereogenic centers are located in axial positions, bulky substituents are equatorial, and the torsion angle between them is ±60°. For diols of R configuration, among the two possible helicities adapted by naphthalene rings, the one of M-helicity is higher in energy due to the repulsive interactions between axial aromatic protons and aromatic rings of the probe. Although the probe proved its utility in stereochemical analysis, it has some limitations—to date only diols forming cyclic ketals have been subject to stereochemical analyses.
Mądry used a di(1-naphthyl)methyl probe and similar chromophoric systems for stereochemical studies on chiral mono-alcohols (Figure 26). ECD studies on this group of compounds are often challenging, for example, due to the lack of appropriate chromophore groups and the slight variation in the size of substituents at the stereogenic center [182].
Figure 26.
Structures of chiral O-di(1-naphthyl)methyl ethers 61a–j. Colors distinguish stereo-differentiating groups. The structure of model O-di(1-naphthyl)methyl ether 62, and the definition of torsion angles that describe the chromophore conformation. Arrows indicate the polarization of the 1Bb electronic transition.
The efficiency of the tested probes on the model inducer molecule, (R)-2-butanol, was compared, and the di(1-naphthyl)methyl probe was identified as the most promising stereodynamic chromophoric system. Neither the modification of the benzhydryl by introducing an autochrome group nor using a constitutional isomer of the di(1-naphthyl)methane yielded satisfactory results. The C.e.s observed for the simplest inducer molecule were of moderate intensity, and the amplitudes did not exceed the value of 22 Δε. However, one should remember that the structural difference between substituents attached to the stereogenic center is negligible.
The probe’s range of applicability was demonstrated for ethers (61a–j, Figure 26) derived from chiral secondary alcohols with different constitutions and variable differences in the size of the groups at the stereogenic center.
Measured at room temperature, the 1H NMR spectra of obtained ethers 61a–j did not indicate a hindered rotation of the naphthyl rings of the chromophore system. Intense absorption bands near 230 nm are visible on the UV spectra, characteristic of π–π* electron transitions polarized along the long axis of naphthalene. Interacting within the probe, electric dipole transition moments (edtms) of chromophores generated non-zero exciton Cotton effects appearing in the 240–220 spectral range. The amplitude of the measured C.e.s depended on the structure of the inductor. For example, the elongation of the carbon chain in 61b translated into more than double the increase in the amplitude of Cotton’s effects compared to 61a. The highest amplitude value of Cotton’s effects (A = −344.7) was observed for the menthol derivative, 61d, caused by high sterical crowding at the C2 carbon atom. The exceptional cases represent inductor fragments in ethers 61c, 61e, and 61f, characterized by minimal variation in the substituent’s sterical requirements (especially 61e).
The presence of an oxygen atom (or atoms) has a decisive effect on the structure of respective compounds, mainly through interactions with the neighboring functional groups and, as a result, a specific “organization” of the surrounding space. Consequently, weak steric interactions between the inducer and the unbound by strong CArH∙∙∙O non-covalently bond the naphthyl group ultimately determine the shift of the conformational equilibrium towards the P- or M-helical conformer, respectively.
The helicity of the dominant conformer could be associated with the relative size of the substituents. This allowed for the formulation of a simple model of optical activity in these derivatives (see Figure 27).
Figure 27.
(a) Examples of ECD spectra of ethers 61a (upper panel) and 61d (lower panel), measured in cyclohexane (black lines) and calculated at the TD-DFT level (red dashed lines). Calculated structures of low-energy conformers of (b) 61a, (c) 61d, and (d) 61e. Dashed lines indicate possible attractive interactions that stabilize the structure. (e) Correlation between the size of substituents at the stereogenic center, the probe’s dominant helicity, and the sign of the exciton couplet.
DFT calculations conducted for the model compound 62 and some representative examples allowed for a correlation between the chromophore structure and the optical activity understood here as the amplitude of the exciton couplet. Conformers with an angle α1 ranging from −100° to 0° have the lowest energy (Figure 28). The second naphthyl group adjusts the position to the first so that for low-energy conformers, these chromophores are almost perpendicular to each other (angle α2 is in the range from −30° to 30°). The analysis of the calculated rotational strengths confirms the exciton nature of the Cotton effects observed in the long- (Rlong) and short-wavelength (Rshort) spectral ranges. These effects represent their mirror reflections so that when Rlong reaches a minimum, Rshort reaches a maximum, and vice versa. High values of the calculated rotatory strengths characterize conformers with low relative energy values.
Figure 28.
(a) Molecular energy of 62 as a function of angles α1 and α2. Computed at the TD-CAM-B3LYP/6-311++G(d,p) level, (b) long-wavelength (Rlong) and (c) short-wavelength (Rshort) rotatory strengths corresponding to experimental exciton couplets of the 1Bb electronic transition as a function of angles α1 and α2.
The results of theoretical calculations indicate that in the case of systems with subtle differences in the size of substituents at the stereogenic center (e.g., 61e, 61h, and 61j), a decisive role in the dynamic induction of optical activity can be ascribed to the weak interactions of CH∙∙∙O and CH∙∙∙π, stabilizing the conformations of the compounds under study.
Borhan and coworkers proposed an efficient chiroptical method for sensing the absolute stereochemistry of chiral monoimines. A single-step reaction between 1,1′-(bromomethylene) naphthalene (BDN, 63) and chiral primary amines yields secondary N-di(1-naphthyl)methyl amines (BDN-amines, 64). The analysis of the exhibited exciton C.e.s supported by theoretical calculations of the structure of a given compound allowed for the determination of the stereochemistry of amines 64a–h (Figure 29).
Figure 29.
(a) The derivatization of chiral monoamines led to the formation of ECD active BDN-amines 64a–h. Asterisk indicates the stereogenic center. (b) P and M helicity of naphthyl groups due to steric interactions with an amine inductor. The value “A” refers to the experimentally determined sign and magnitude of the exciton couplet.
As the chiroptical outcome is linearly dependent on the enantiomeric purity of the sample, the enantiomeric excess of the sample could be determined alongside the stereochemistry in one measurement. Generally, the coherence between the results obtained for alcohols and amines can be postulated. However, the amplitudes of C.e.s measured for amines are higher than those found for their alcohol analogs. The introduction of an additional substituent at the nitrogen atom did not preserve the induction of optical activity, but the observed C.e.s are of smaller amplitude than those of secondary amines. Despite the substitution pattern in the amine group, the observed optical activity is due to the dominance of one of the conformers, P or M helical, respectively. The shift towards one of the preferred helicities is a function of stereoelectronic interactions of substituents at the stereogenic center with the naphthyl rings, as it can be seen for the cases of amines 64a and 64e having the same absolute configurations. In the former case, the edge-to-face aryl–aryl interactions are the most probable cause of the observed differences [183].
Using di(1-naphthyl)methanol 65 as the substrate for further acylation by chiral non-racemic carboxylic acid will lead to a series of chiral esters 66 containing chirality reporting groups at the periphery. The possible transfer of chirality should be revealed in the appearance of non-zero C.e.s in the region of naphthalene absorption. Bornhan and coworkers tested this hypothesis for a series of chiral aliphatic and aromatic carboxylic acids (Figure 30a).
Figure 30.
(a) Synthesis of chiral di(1-naphthyl)methanol esters 66a–h and ECD data found for each compound. R* denotes functional group containing stereogenic centre. (b) P- and M-helical conformations of chiral di(1-naphthyl)methanol esters 66. (c) The ECD spectrum of ester 66g. Insert shows the X-ray determined the structure of 66g with P-helicity of the chromophore. Double-headed arrows indicate the polarization of an electronic transition of the highest oscillator strength(figure based on reference [184]).
Indeed, the measured ECD spectra show C.e.s in the diagnostic region of the 1Bb transition in the naphthalene chromophore; however, the measured amplitudes are relatively low due to the longer distance between the chirality element and the effector. It is worth adding that the system is sensitive to even small changes in the structure of an inductor.
Unless the aromatic part of the inducer is far from the naphthyl units, derivatives of aryl carboxylic acids generate more intense C.e.s. This is attributed to the stronger interactions between aromatic parts of the molecule. Low-cost theoretical calculations, mainly at the molecular mechanics level, allowed for the estimation of the conformational preferences of these molecules. As expected, the signs and magnitudes of the C.e.s are determined by the relative proportion of conformational diastereoisomers that differ in the helicity of the chromophore (Figure 30b).
Even at such a low level of theory, the structure and proportion of species in conformational equilibrium are reproduced correctly and allow for the prediction of the absolute configuration of the species. The dominant conformers are stabilized mainly by the C=O∙∙∙H-C dipole interactions and by C=O∙∙∙HCAr hydrogen bonds between the carbonyl group and one of the naphthyl group. The smaller substituent at the stereogenic center faces this aromatic fragment, whereas the bulkier one is in a specific gap between the naphthyl groups. The second naphthyl group adjusts its position to the first one in such a way as to maximize C-O∙∙∙HCAr and CArH∙∙∙π interactions. Assuming that both P- and M-helical diastereoisomers give rotational strengths similar to absolute values but with the opposite sign, a correlation is observed between the magnitude of diagnostic C.e. and the difference in a population estimated for the diastereoisomers [184].
The dinaphthyl borinic acid (DBA, 67) undergoes rapid derivatization with an excess of a chiral diol yielding DBA-dioxaborolane 68 (Scheme 8). Steric interactions exerted by substituents at stereogenic centers induced the helicity of the naphthyl chromophores, and thus, strong induced exciton effects are visible in the region of 1Bb electronic transitions. Taking into account the sign of exciton couplet and the results of molecular modeling, it was possible to determine the absolute configuration of inductors. [185].
Scheme 8.
Synthesis of chiral DBA-dioxaboorolanes 68 and the correlation between the general structure of the inducer and helicity of the probe moiety. Double-headed arrows indicate the polarization of an electronic transition of the highest oscillator strength.
Hong, Kim, Chin, and coworkers used readily available 2,2′-dihydroxybenzophenone (69) as a stereodynamic probe for amino acid chirality and enantiopurity. The presence of phenolic groups facilitates the formation of imine bonds with primary amines and strongly stabilizes the product’s structure. For the model compound 70 and aprotic solvents, the conformational equilibrium is shifted towards conformer 1, characterized by less sterical strains exerted by the hydrogen atom at the stereogenic center and one of the oxygen atoms (Scheme 9a) [119].
Scheme 9.
(a) Conformational equilibria in 2,2′-dihydroxybenzophenone (69) and its alanine derivative 70. (b) Structure of modified probe 71 and correlation between the model imine 72 structure and the sign of the long-wavelength Cotton effect.
In the second conformer, the steric interactions between the methyl group from the alanine moiety and the oxygen atom strongly destabilize the structure. Although NMR measurements supported by DFT calculations have proven the formation of such helical conformations, the measured ECD spectra exhibited weak C.e.s. A simple modification of the 2,2′-dihydroxybenzophenone structure by attaching azobenzene moieties enhanced the applicability of probe 71—the most intense diagnostic C.e.s now appear at the low-energy spectral region at around 360 nm. The positive sign of the long-wavelength C.e. is associated with the positive helicity of the chromophoric system and the L-configuration of the amino acid.
Interestingly, despite the different sterical requirements of the inductor molecules, the intensity of observed exciton couplets did not vary significantly. Thus, the probe is sensitive to the chirality of the inducer but relatively indifferent to its structure. This suggests that the probe can only operate in 0-1 mode, where the presence of the stereogenic center in the inductor triggers a shift toward one of the conformational diastereoisomers.
8. “Single Twisted” Aryl Probes—The Case of Biphenyl and Its Congeners
The possibility of occurring in a mixture of conformational isomers, called atropoisomers, characterized by P or M helicity is a characteristic feature of biphenyl (or more generally biaryl) derivatives. The energy barrier of rotation around the CAr–CAr bond connecting the parts of a molecule is mainly dependent on steric effects. In contrast, the electron effects are, in most cases, insignificant. Stability at room temperature, and thus the possibility of isolation of individual enantiomers of biphenyl derivatives, depends on their structure. Derivatives with less than three substituents at ortho positions are considered easily prone to racemization [23]. Bulky substituents, e.g., phenyl or tert-butyl groups, are exceptions.
The spectroscopic properties of biphenyl have been the subject of intense studies. In principle, biphenyl might be considered the most straightforward degenerate coupled-oscillator system. The polarization of the low-energy electronic transition of 1Ba type is along the long axis of the chromophore [186,187,188,189,190]. This transition is revealed in the experimental spectrum as a UV band of moderate intensity that appears at ca. 250 nm. The 1Bb electronic excitations that are higher in energy are polarized perpendicularly to the long axis of the chromophore. As long as the exchange of electrons between phenyl fragments does not occur, these transitions constitute a good model example of exciton interactions [42].
Recent studies have shed light on the chiroptical properties of the biphenyl and their dependence on the structure of the chromophore [191]. The periodically changed magnitudes of low-energy UV and ECD bands depend significantly on the twist angle ω, defined as ω = Cortho-Cipso-C’ipso-C’ortho. For the planar molecule, the highest intensity of this UV transition is achieved, whereas rotational strengths remain zero. Twisting the molecule leads to the appearance of ECD at the cost of the gradually decreasing intensity of the UV band. The performed theoretical estimations indicated structures twisted by ±120° as those of the highest values of rotational strengths. Periodical change in the sign and value of short-wavelength rotational strength is also evident. The highest values of rotational strengths are estimated for structures characterized by the value of a twist angle, such as ±150°, ±110°, ±80, and ±30°. Biphenyl follows such a simple coupled-exciton model only in a narrow range of values of ω. One of the approaches to restrict the conformational flexibility of biphenyl relies on the introduction of an additional bridge that connects both parts of the aromatic system.
The conformational stability of bridged biaryls varies significantly depending on the size of the ring. Biphenyls with one bridging atom are easily isomerized at room temperature, even if large functional groups are in other ortho positions. The elongation of the bridge increases the torsion angle between the two aryl rings and the racemization energy barrier. Bridged biphenyl derivatives, for which the ring is five-or six-membered, are thought to be more prone to racemization than their acyclic counterparts. This relationship disappears for seven-membered and larger rings, whose stability is at least the same as their acyclic analogues [23].
The efficient transfer of the inductor’s point (center) chirality to the axial chirality of the biphenyl probe, translating into pronounced Cotton effects on the CD spectrum, will enable the effective use of biphenyl-based probes to determine the absolute configurations of chiral-non-racemic compounds that are nonabsorbent in UV.
Rosini and colleagues used biphenyl derivatives’ ability to dynamically isomerize and form optically active atropoisomers in stereochemical studies of enantiomerically enriched aliphatic 1,2- and 1,3-diols [192]. It has been proven that ketal 74 forms spiro dioxolanes 75a–h after a reaction with chiral diols 73a–h (Figure 31a). The measured ECD spectra of the ketals were further correlated with the absolute stereochemistry of the chiral inducers. When using spectroscopic methods (UV, CD, and NMR), it was shown that the obtained dioxolates 75a–h form a dynamic mixture of mutually transforming conformational diastereoisomers. The temperature-dependent 1H NMR measurements conducted for a model dioxolane (R,R)-75a allowed for the estimation of the conformers ratio. At a lowered temperature of 5 °C, the (R,R,M)-75a and (R,R,P)-75a isomers exist in 92:8 ratio, and the helicity inversion barrier is as high as 14.8 kcal mol−1. The UV spectrum measured for 75a is typical of biphenyl derivatives and shows two distinct bands at around 250 nm and higher intensity at around 215 nm (Figure 31b). The attention has been drawn to the long-wavelength positive C.e., which is associated with the negative M-helicity of the biphenyl system.
Figure 31.
(a) Synthesis of biphenyl dioxolates 75a–h from respective diols 73. (b) The ECD spectrum of dioxolate 75a measured in THF (figure based on reference [192]). (c) Conformational equilibrium in dioxolanes 75a–h. In the isomer (R,R,P)-75a–h, benzyl protons interact with the substituent R, as opposed to (R,R,M)-75a–h, where they interact with a hydrogen atom.
The experimental observations were consistent with the molecular mechanics calculations carried out for 75a–h. Regardless of the structure of the tested inducers, the diastereoisomers (R,R,M)-75a–h are the most stable. This is due to smaller sterical interactions between the benzyl -CH2-, a group of the probe, and the adjacent inductor fragment that occur in a more congested P-helical diastereoisomer (Figure 31c).
Superchi used biphenyl chiroptical probe 74 to determine the absolute configuration of phytotoxins colletochlorin A (73i) and agropyrenol (73j). Despite aromatic chromophores in the structure of both compounds, the measured ECD spectra are flat and do not show any intense band, allowing for unambiguous interpretation. Derivatization with 74 yielded respective dioxolates 75i and 75j, characterized by distinct C.e.s (Scheme 10).
Scheme 10.
(a) Synthesis of biphenyl dioxolane’s 75i and 75j from colletochlorin A (73i) and agropyrenol (73j). (b) ECD spectra of agropyrenol (blue line) and dioxolate 75j (red line). Asterisk indicates the stereogenic center [193].
A positive C.e. of the A-band appearing at ca. 250 nm corresponds to the negative helicity of the biphenyl system, and thus, a 6′R absolute configuration of 73i. The opposite situation has been found for agropyrenol derivative 75j. The sequence of C.e.s found in the ECD spectrum of 75j is −/−/−/+. The negative sign of the diagnostic A-band (appearing at ca. 250 nm, see Scheme 10b) originates from the positive helicity of the biphenyl system. Therefore, the determined AC for 73j is 3′S,4′S. It is worth emphasizing that in the case of 75j, the routine method used to determine absolute configuration, employing Mosher’s esters, failed [193].
Due to less conformational freedom, smaller-ring dioxolanes 78, derived from fluorenone (76, Scheme 11), exhibited an induced circular dichroism of lower intensity than that measured for compounds 75 [100].
Scheme 11.
Representative dioxolane derivatives of fluorenone 76. Asterisk indicates the stereogenic center.
A similar methodology was employed to determine the absolute configuration of chiral carboxylic acids [99]. By mixing the test carboxylic acids with the azepine 79, in the presence of EDC and at room temperature overnight, the diastereoisomeric mixtures of amides 80a–m, respectively, were obtained with yields varying from 50 to 80% (Scheme 12).
Scheme 12.
Synthesis of conformationally labile amides 80a–m from chiral carboxylic acids and azepine 79.
C.e.s observed for amides 80a–m were then correlated with the absolute configuration of the inducers. The proximity of the stereogenic center of the inductor fragment and the restricted conformational freedom of the 80a–m systems resulting from the rigidity of tertiary amides, are the causes of chirality induction in the biphenyl fragment. The two substituents at the nitrogen atom with the nitrogen atom itself, the carbonyl group and the stereogenic carbon atom, are placed in the same plane. Hence, the only significant degrees of freedom of the amide systems are the twisting of the plane of the phenyl groups and the rotation around the bond connecting the stereogenic center and the carbonyl carbon atom. As expected, the thermodynamic stability of P- and M-helical isomers depends on the intramolecular interactions between the probe fragment and the substituents at the stereogenic center. The stereochemical information related to the configuration of the stereogenic center is thus effectively transferred to the biphenyl system, which is revealed in the form of intense Cotton effects that appeared at 250 nm in the ECD spectra of the respective derivatives.
The results of theoretical calculations, X-ray analyses, and NMR measurements lead to the conclusion that in the studied amides 80a–m, having three different size substituents at the carbonyl atom (L—large, M—medium, and S—small; Figure 32), the smallest of these (usually a hydrogen atom) is in the anti-position to the carbonyl group and between the benzyl protons. The other two groups are located on both sides of the amide plane, except the smaller one (M) remains closer to the carbonyl group.
Figure 32.
Proposed model of optical activity induction in 2-alkyl substituted carboxylic acids. The substituents at the stereogenic center are marked large (L), medium (M), and small (S).
In the case of 2-alkyl carboxylic acid derivatives (80a–g and 80m), the conformational equilibria are determined considering the sterical interactions between the largest substituent L and the phenyl ring of the probe. When the P-helical conformer dominated the mixture, a negative long-wavelength Cotton effect was observed in the ECD spectrum. In contrast, in the case of diastereoisomer M, the Cotton effect with the opposite sign appeared. The chirality induction model confirms the negative Cotton effect observed for compound 80a (Figure 33a). The steric congestion generated by the methyl group is more significant than that of the bromine atom. When viewed from the stereogenic center towards the carbonyl group, the substituents L (CH3), M (Br), and S (H) are arranged clockwise; hence, the P conformer is favored. The effectiveness of the proposed model has been confirmed on other inductor molecules, including amino and hydroxy acids.
Figure 33.
(a) CD spectra measured for 80a and 80h in tetrahydrofurane (figure based on reference [99]). (b) Proposed for 2-aryl substituted carboxylic acids optical activity induction model. The substituents at the stereogenic center—aryl group, medium, and small—were marked, respectively, as Ar, M, and S.
The observed induction of optical activity for 2-aryl derivatives 80h–l was controlled by stabilizing face-to-edge interactions between the aryl group and the adjacent phenyl ring of the biphenyl unit (Figure 33). In the ECD spectrum of 80h, a negative Cotton effect is observed in the diagnostic range of 240–250 nm, corresponding to the favored P-helical conformer.
Diphenimide (81) represents a molecular helical propeller with a switchable helicity, which is complementary to that mentioned above. The presence of a twisted dibenzoyl chromophore, in turn, should reflect in the red-shift of respective absorption maxima. A twist-boat imide ring can be attached to the inductor molecule through an N-C(R) bond. A helicity inversion of the biphenyl moiety requires an activation energy of 3.82 kcal mol−1 and passes through a nearly planar transition state with a slight pyramidalization of an imide nitrogen atom (Scheme 13).
Scheme 13.
Conformational equilibrium between P- and M-helical diphenimides. ‡ denotes transition state.
When attached, a chiral substituent caused a biphenyl twist towards one of the diastereomeric forms, revealing the appearance of non-zero C.e.s. Despite the same absolute configuration at the stereogenic center, the ECD spectra measured for compounds 81a and 81b are almost mirrored. In this particular case, this is due to the more minor sterical demands exerted by the phenyl group (Figure 34).
Figure 34.
(a) ECD spectra of 81a (black line) and 81b (red line), measured in acetonitrile at room temperature, and the ECD spectrum of 81b (blue line), measured at 153K in an ethanol–methanol (4:1) solution. (b) Conformational equilibria between P- and M-helical conformers of diphenimides 81a and 81b, and calculated at DFT level relative energies of respective conformers. Figure based on reference [194].
A more detailed study using dynamic ECD measurements allowed for estimating the energetic difference between P- and M-helical diastereoisomers of 81a. The value of 0.9 kcal mol−1 favoring the P-helical diastereoisomer remains in fair agreement with the calculated value of 0.29 kcal mol−1.
The two vicinal diphenimides can adapt either homo- (P,P or M,M) or heterohelical (P,M) conformation. The former ones are stabilized by π∙∙∙π stacking interactions between parallelly oriented phenyl rings in neighboring chromophores. An unusual effect is associated with the derivative 81c. Although higher in energy, the P,P-homohelical conformer of 81c dominates the ECD spectrum measured at room temperature. Lowering the temperature caused a change in the ECD spectrum, which became an almost mirror image of that measured at room temperature. It indicated the profound impact of the M,M conformer on the chiroptical outcome (Figure 35) [194].
Figure 35.
(a) ECD spectra of 81c in ethanol–methanol (4:1) solution, measured at 293K (black line), 193K (blue line), and 113K (red line). (b) Possible conformational equilibrium in 81c. Two independent diastereomeric structures were found in the crystal of (R,R)-81c, (c) M,M-homohelical and (d) P,P-homohelical. Hydrogen atoms were omitted for clarity. Figure based on reference [194].
Diphenimides represent an interesting example of compounds where the transfer of chiral information takes place. However, difficulties with synthesis have limited their applicability. The opposite pole represents chiral azepines 83 conveniently obtained by double substituting bromine atoms in 2,2′-bis(bromomethyl)-1,1′-biphenyl (82) by primary amines. The reaction proceeds smoothly even for diluted samples of amines, and ECD spectra measured for crude products are identical to those measured for chemically homogenous samples [195].
The ECD spectra measured for 83a–h show a typical biphenyl line shape. From the experimentalist’s point of view, the ECD band that appeared at 250 nm is the most convenient for structure–spectra correlations. The negative helicity of the biphenyl resulted in a positive sign of the ECD A-band, which may be correlated with the structure of the inducer (Scheme 14). As it has been mentioned earlier, the sign of C.e. mirrors not the CIP-based rules but the differences in the stereoelectronic effects exerted by substituents. The amides 83a and 83d differ in absolute configuration, but the shapes of ECD spectra are similar, and for both cases, the sign of the A-band is positive. This is apparently due to the conformational preferences of both compounds, where the M-helical conformer is energetically favored. For aryl-substituted amines, the n∙∙∙π interactions involving the nitrogen lone pair and π-cloud from the aryl moiety affected the conformation even more than the steric repulsions.
Scheme 14.
(a) Synthesis of tertiary amines 83. (b) Correlating model proposed for alkyl amines. (c) Structures of conformational diastereoisomers of 83a. (d) Correlating model proposed for aryl amines. (e) Structures of conformational diastereoisomers of 83d.
The Toniolo and Anslyn groups have tested bridged biaryl derivatives against various optically active amino acids and peptides [103,107,108].
Despite the popularity of biphenyl as the chromophoric part of the probes, the system has some flaws. The most serious of these is the spectral range and the interpretation of results, which is not always straightforward for certain cases where the diagnostic bands are barely visible or obscured by C.e.s originating from interchromophoric interactions.
Modifying the chromophore system transversely to the C-C bond connecting aryl fragments would result in a red shift in the measurement range and a more precise assignment of the polarization of electron transitions [196,197].
Bornhan and co-workers proposed an extreme modification of such a type. In the probe, called MAPOL (84), the biphenyl (biphenol, in fact), dynamic fragment is combined with porphyrin units. These play a dual role—firstly, due to the intense absorption in a low-energy region, they constitute real chromophores and, secondly, they may form a binding pocket complementary to the biphenol unit. The guest’s binding may occur by hydrogen bonding between the guest and the probe’s phenol fragment(s). This mode of action is typical of non-metallated porphyrin. The second extreme mode of binding guest molecules relies on Lewis acid–Lewis base interactions between metalloporphyrin and the functional group of the inductor. The bidentate binding model occurs when the guest molecule consists of a hydrogen bond donor/acceptor and a functional group plays the role of the Lewis base.
Borhan has perfectly summarized the recent achievements in applications of these probes; here, we will show only a few examples of guest molecules in which chirality has been detected (Figure 36) [132].
Figure 36.
(a) Structural features that characterize the MAPOL probe. (b) Three different modes of binding to MAPOL and some representative analytes.
The common feature of the MAPOLs family is their significant chiroptical response to the structure of the guest molecule. Undoubtedly, the spectral range, when the induced C.e.s appear, is one of the advantages of these probes over others—the induced circular dichroism (ICD) in such a low-energy region (600–400 nm) is very rarely interfered with by intrinsic ECD originated from the guest molecule.
Despite two hydroxy groups, biphenol (1,1′-biphenyl-2,2′-diol, 85) is a molecule characterized by a low enantiomerization barrier. The experimentally determined barrier of rotation for the biphenol derivative is of the order of 12 kcal mol−1 and remains in good agreement with the value of 11 kcal mol−1 estimated on the basis on DFT calculations [198]. The ability of biphenol molecules to form a salt with a metal cation was utilized in asymmetric synthesis, i.e., in the zinc-catalyzed asymmetric hydrosilylation of ketones [199]. The process of asymmetric induction requires a chiral ligand, a secondary diamine, which forms a tetrahedral complex with a zinc cation. Trans-(R,R)-diaminecyclohexane, used as a chirality source, caused a negative twist of the biphenyl moiety, revealing the appearance of induced C.e.s of moderate intensity in the complex formed in situ (Figure 37).
Figure 37.
(a) ECD spectra of the complex formed in situ between biphenol, diethyl zinc, and trans-N,N′-dibenzylo-(1R,2R)-diaminecyclohexane, measured (black lines) and calculated at the TD-DFT level of theory (blue dotted line). (b) Possible structures of the complexes. (c) Structure of the lowest energy conformer of the complex calculated at the DFT level. Some hydrogen atoms were omitted for clarity. Figure based on reference [199].
Wolf and co-workers carried out much more advanced and systematic studies. Using different biphenol-type chromophores as the precursor of complexes allowed for the chirality sensing of various types of amines, alcohols, amino alcohols, and amino and α-hydroxy acids [200].
The constitutional analog of BINOL, namely 2,2′-binaphthyl-1,1′-diol (86), has a racemization barrier only slightly higher than biphenol. In contrast to enantiomerically stable 2,2′-dihydroxy-1,1′-binaphthalene (BINOL) [201], 86 cannot be separated into enantiomers. In the form of a complex with zinc or boron, 80 constitutes a universal chirality probe that allows determining chirality based on the asymmetric transformation of the first kind (Scheme 15) [200].
Scheme 15.
Chirality sensing with Wolf’s binaphtholate probe 86.
The C.e.s, which appeared at around 400–350 nm, are easily associated with the absolute stereochemistry of the sample. Positive C.e.s are observed for (S)-amines, (R)-amino alcohols with a single chirality element, (1R,2S)-amino alcohols, (S)-hydroxy acids, and amino acids with an R configuration of the stereogenic center (Figure 38). These effects are apparently due to the chromophore twist. Although the detailed mechanism of the chirality transfer remains unknown, 86 and related molecules can be used to determine the enantiomeric excess of the samples. However, it should be remembered that the dimeric structure of the zinc complex (see example in Figure 38b) caused some deviation from the linear relationship between the enantiomeric purity and the magnitude of diagnostic C.e.s.
Figure 38.
(a) Some representative examples of compounds whose chirality was detected with a binaphtholate probe 86. (b) X-ray determined structure of the zinc complex of 86 and (1S,2S)-1,2-diphenylethane-1,2-diamine. Asterisk indicates the stereogenic center.
The stereodynamic aluminum antenna–biphenolate complex 90 was used for stereochemical analyses of amino alcohols and α-hydroxy acids. The presence of phenylacetylene fragments in the biphenol core (89) caused a red shift in the absorption maxima and the appearance of strong C.e.s, allowing quantitative chiroptical sensing with reasonable accuracy (Figure 39) [202,203,204].
Figure 39.
Chiroptical sensing with the use of antenna biphenol 89. Asterisk indicates the stereogenic center.
9. Chromophore Probes with “Multiple Twist”
Chiral amines play a key role in basic biochemical processes and modern organic synthesis, particularly drugs and materials. The widespread use of chiral amines has led to the development of numerous systems to study their structure. However, despite many literary precedents, there is still an unabated interest in new stereodynamic chromophore systems for structural studies of amines, especially unmodified ones.
9.1. Imine Folders
Covalent chromophore probes for stereochemical determinations of chiral, non-racemic amines, amino acids, and amino alcohols have been the subject of research conducted in the Wolf group over the years. Great emphasis is placed on their potential use in HTS and the associated inductor binding rate during the design of new probes in this research group, as well as the possibility of the simultaneous testing of many parameters of the mixture: absolute configuration, enantiomeric excess, or total analyte concentration.
A sensor based on triaryl naphthyl derivatives was one of the developed types of probes (Figure 40) [205,206,207].
Figure 40.
The design of probe 91a operating on the principle of “dual chirality sensing”.
The recently developed triaryl probe 91a is characterized by a modular structure in which each reporter fragment plays a specific role [208]. The basis is a naphthyl group that is a rigid scaffold for adjacent stereolabile units: the chromophore and those that bind the chiral inducer (Figure 40 and Figure 41). The close spatial arrangement of these units enables their mutual communication through steric, dipole–dipole, and stacking interactions.
Figure 41.
Selected triaryl chromophore probes developed by the Wolf group, with a mode of action based on the mechanism of the transfer of point chirality to axial chirality, and the structure of some analyzed compounds.
Before binding the inductor, the probe acts as a dynamic mixture of mutually transforming stereoisomers, evenly absorbing circularly polarized light (Scheme 16).
Scheme 16.
Transfer of amine chirality to the stereodynamic chromophore system of probe 91d.
The binding of the chiral inducer by the receptor unit results in the transfer of its chirality to the axial chirality of the probe, thereby disrupting the conformational equilibrium of the system and favoring one of the possible conformers. Changes in conformational equilibrium are demonstrated by the appearance of C.e.s in the spectral range 300–250 nm. The sign and magnitude of C.e.s allow the simultaneous determination of the absolute configuration and enantiomeric excess of the chiral inductor. The acid phenol group in the binding unit accelerates the formation of a covalent C=N bond between the inducer and probe molecules. Therefore, the time needed for analysis is reduced.
The mutual communication of the inductor-binding unit with the adjacent chromophore unit makes the substrate binding affect its optical properties (UV or fluorescent spectrum). The observed changes are independent of the inducer’s chirality and allow a non-stereoselective determination of its total concentration.
The probes 91a,d–e were tested against chiral amines, amino acids, and amino alcohols with different constitutions (Figure 41). All of the probes turned out to be effective in chiroptical studies. However, in the case of probe 91d, minor changes in the optical properties of the anthracene group after substrate binding prevented practical quantitative analysis. This problem was solved using the isoquinoline N-oxide (probe 91e), which sensitively reports the substrate attachment by the receptor unit on the fluorescence spectrum (intensity increase at 515 nm), enabling the rapid measurement of the inductor concentration in the sample. In addition, this group’s minor sterical requirements facilitate the probe’s synthesis. The subsequent condensation reaction with chiral inducers is shortened from 2 h (for 91d) to 20 min (for 91e). The heteroaryl character of the chromophore unit also allows for the formation of additional hydrogen bonds between the N-oxide group and the bound inducer. Despite a rather complex conformational equilibrium, this translates into a more intense C.e.s on circular dichroism spectra (Scheme 17).
Scheme 17.
Conformational equilibria associated with forming the adduct of 91a with a chiral amine.
In the case of probe 91e, the observed negative C.e. at 260 nm correlates with the inducer’s S configuration and vice versa. The efficacy of probe 91a was found to be close to 91e. The more symmetrical the chromophore unit is, the easier the interpretation of the obtained data is. Additionally, due to the smaller number of possible conformers, C.e.s are significantly higher in intensity.
The stereodynamic probes of varying complexity 92a–e are based on the arylacetylene backbone and contain two terminal units of benzaldehyde, which serve as binding sites for chiral amines and amino alcohols (Figure 42a) [112,209,210].
Figure 42.
(a) Structures of selected chromophore probes 92 based on aryloacetylene. (b) Mechanism of generating optical activity in aryloacetylene probes. R* denotes functional group containing stereogenic centre. (c) Structures of selected inductors tested.
Like other chromophore probes, the 92a–e systems alone do not exhibit optical activity in the electronic circular dichroism spectroscopy. This is due to the unhindered rotation of the chromophore units around the single C-C bonds, which results in a dynamic mixture of mutually transforming chiral and achiral conformers. The condensation of the probes 92a–e with inductors led to obtaining [1+1], [2+2] macrocyclic, and acyclic [1+2] systems (depending on the structure of dialdehyde and the amino derivative), optically active in ECD spectroscopy (Figure 42b,c).
By using spectroscopic methods and simple calculations at the molecular mechanics level (MM2 force field), it has been determined that [1+1] cyclocondensation of trans-(1S,2S)-diaminocyclohexane with probe 92a is accompanied by the imprinting of the substrate chirality to the reporter’s backbone. The latter adopts an optically active CD conformation with an M-helicity of the arms and P-helicity for the central axis between them. A [1+2] condensation of monoamines and amino alcohols with probes 92a–e led to the formation of diimine acyclic systems. Despite their less rigid structure than macrocyclic systems, the pronounced Cotton effects also characterized the ECD spectra measured for those condensation products The amplitude of Cotton effects generated by acyclic systems significantly increased in protic solvents and low temperatures. This phenomenon was attributed to selective stabilization, which increased the high-optical activity conformer population.
The induction of axial chirality in probes 92a–e was a source of intense bisignate Cotton effects, observed in the spectral range 400–250 nm, even for samples with micromolar analyte concentrations. By analyzing the measured C.e.s, it was possible to determine very precisely the absolute configuration of the tested amines and amino alcohols and their enantiomeric excesses, which were directly proportional to the C.e.s amplitudes [207].
9.2. Tri- and Penta-Aryl Stereodynamic Chirality Probes
Based on the terephthalaldehyde skeleton, Mądry and co-workers developed new chromophore probes that operate on induced exciton circular dichroism principles. The modular design allows for the introduction of any aromatic chromophore at both sides of the binding unit [211,212]. In practice, the 1-naphthyl and biphenyl were the most promising. The assumed low-energy barrier of rotation would enable the effective transfer of inductor point chirality to reporter axial chirality. A solubility in non-polar solvents, also after binding the inductor, makes it possible to avoid the specific solute–solvent interactions, typical of polar solvents. Figure 43 presents a scheme of the designed chirality probes.
Figure 43.
Schematic representation of the designed stereodynamic (a) first generation probe 93 and (b) second generation probe 94.
The large diversity of substituents at the stereogenic center and the lack of chromophore groups were the prerequisites for selecting (R)-3,3-dimethyl-2-butylamine as a model compound to assess the effectiveness of the obtained chromophore systems. The ECD spectrum measured in cyclohexane showed a significant advantage of probe 93 over dichromophore systems. The long-wavelength Cotton effect is visible at 290 nm, and the negative/positive/negative couplet appeared in the 230–188 nm range. The first of these C.e.s is probably related to the electron transition within the probe core (Figure 44c). The source of other effects are exciton-type interactions between naphthyl chromophores (AC interactions) and the interaction of each of these groups with the diimine linker (AB and BC interactions).
Figure 44.
(a) X-ray determined the structure of probe 93. (b) Structures of the inductor molecules and the definition of torsion angles that describe the molecule’s conformation. ECD spectra of (c) 95a, (d) 95c, and (e) 95f, experimentally (black lines) measured in cyclohexane and calculated at the TD-DFT level (blue lines). Figure based on reference [211].
The optical activity induction in the stereodynamic chromophore system was observed for all examined imines 95a–j (see Figure 44 for representative examples of ECD spectra). What is worth emphasizing is that the probe proved effective even in the case of amines with a slight variation in the substituents at the stereogenic center. Among the tested compounds, a special case represents a derivative of (3R)-amino tetrahydrofuran 95f, in which very similar steric properties characterize stereo-differentiating groups. The chromophore probe must “sense” the difference between the methylene group and the oxygen atom in the five-membered ring to measure the ECD spectrum. The inductor’s structure determines the exciton couplet’s amplitude and sequence. Reducing the steric infarction at the stereogenic center translates into lower amplitudes of C.e.s, as exemplified by the 95a–c imines. The relationship between the magnitude of C.e.s and the size of the stereo-differentiating groups is not linear. In the case of the 95d derivative, the presence of the cyclohexyl ring increases the intensity of the observed CE. However, the effect of the more sterically crowded bornyl derivative 95e on the ECD spectrum is less significant than that of the ethyl group (imine 95c).
The sequence of C.e.s found for imines with aliphatic substituents at the stereogenic center (95a–f) is correlated with the absolute configuration. The R absolute configuration corresponds to the positive/negative/positive couplet (+/−/+) in the 230–180 nm spectral range. The mirror sequence (i.e., negative/positive/negative couplet; (−/+/−)) is characteristic of the S configuration. The observed relationship between the Cotton effects sequence and the absolute configuration is reversed for imines in which one of the aliphatic substituents at the stereogenic center is replaced by an aromatic group (95g and 95h).
Taking the virtual diimine 96 as the model compound, it has been proven that for low-energy conformers, the values of angles α1 and α2 are in the range of ±70° to ±120°. On the other hand, the highest relative energy characterizes structures in which at least one of the naphthyl groups is located in the plane of the central aromatic ring. For energy minima, the values of angles α1 and α2 oscillate between ±100° and ±110°.
The analyzed rotational strength (Figure 45) corresponded to the measured C.e.s at 230 and 215 nm, lying in the spectral range characteristic of 1Bb electron transitions in naphthalene. The dependencies between the calculated rotatory strengths for long- and short-wavelength electronic transitions and the conformation of the naphthyl chromophores (in Figure 45b,c) are their mirror reflections (Figure 45). Interactions between terminal aryl groups play a decisive role in generating exciton C.e.s observed in the ECD spectra of the real systems.
Figure 45.
(a) Molecular energy of 96 as a function of angles α1 and α2. (b) Computed at the TD-DFT level, long- (Rlong) and short-wavelength (Rshort) rotatory strengths corresponding to experimental exciton couplets as a function of angles α1 and α2. (c) Deconvolution of the ECD spectrum of 96. The ECD spectrum calculated for the whole conformer is in black, the spectrum calculated for the AB part is represented by a blue solid line, and the spectrum calculated for the AC part of the molecules is shown as a red line. (d) Molecular orbitals involved in the low-energy electronic transitions in 96. Figure based on reference [211].
The postulated origins of induced optical activity in the tested compounds are steric and electrostatic interactions. Characteristic for all systems, the anti conformation of imine fragments is stabilized by (N=C)H∙∙∙π electrostatic interactions between the naphthalene electron cloud and the positively charged methine proton. Electrostatic interactions also stabilize the syn conformation of the H-C=N-C* fragment typical of the imine group through the interaction of the lone electron pair of the nitrogen atom with the aromatic proton (CorthoH) of the probe core. The spatial orientation of naphthyl groups is conditioned by weak steric interactions with the substituents at the stereogenic center. As a result, chromophores are directed towards substituents that exhibit a more negligible stereoelectronic effect.
Probe 93 can be successfully used in the detection of amine chirality. However, despite the undoubted advantages (e.g., high sensitivity to structural nuances), the spectrum of tested inducers (amines) was limited to aliphatic amines or those that do not absorb in the 230–200 nm range. Using biphenyl as a chromophore system, for which the Cotton effects observed in ECD spectra appear outside of the spectral range of typical π-electron chromophores, is a possible solution to this problem.
The terephthalaldehyde constituted the core of the second-generation probe, while conformationally labile biphenyl fragments replaced the rigid naphthyl groups. As a result, a system of conjugated chromophores with significant conformational dynamics was designed (Figure 46). A comparison of the ECD spectra of the obtained imines 97a–k with their congeners 95a–j (Figure 46b) proves the high sensitivity of probe 94. The observed C.e.s are three to six times more intense, even for the most demanding case 97f.
Figure 46.
(a) Structures of diimine derivatives 97 of the second-generation probe 94. Asterisk indicates the stereogenic center. (b) Comparison of ECD spectra measured for respective diimines derived from the first-generation probe (blue dashed lines) and the second-generation probe (black lines). (c) HOMO and LUMO molecular orbital of the low-energy conformer of 97c. Figure based on reference [212].
X-ray studies did not answer the mechanism of chirogenesis in the analyzed inductor–reporter systems 89. Interactions between π-electron systems, stabilized by weak van der Waals interactions, were the main factor determining the distribution of molecules in the crystal. The DFT calculations indicated the exact origin of the induced optical activity. In the case of the diimine derivative of 94, the HOMO and LUMO molecular orbitals that play the most significant role in the low-energy electron transitions are delocalized to the entire chromophore system. This means that despite the mutual twisting of the phenyl rings of the chromophores A and C relative to each other and relative to the probe core B (Figure 46c), the biphenyl groups cannot be considered isolated chromophores.
10. Summary
In this contribution, we will provide a brief overview of the problem of optical activity induction. Our intention was not to provide a detailed point-by-point discussion on each class of chromophore probes. Instead, we wanted to signal some issues associated with this approach to determining the stereochemistry of organic compounds.
Two extreme approaches to the problem of chirality detection are visible. The first is qualitative research, based on understanding the phenomenon’s essence concerning the molecule structure. Although this approach seems less popular nowadays, it still provides basic knowledge of the phenomenon’s nature and offers solid foundations for further applications. It should be remembered that even when the most sophisticated chromophoric probes are employed, the answer to the questions related to the structure of the inducer molecules of interest is not as straightforward as one can expect. The relative size of the substituents forming the chirality element (mostly a stereogenic center) is only one factor that must be considered. Therefore, despite recent achievements in the field, there is room for further improvements, as recent contributions have proven [22,48,124,150,213,214,215,216,217,218,219].
The second approach to the problem of chirality detection involves using chirality probes in quantitative indications related to the sample. Both approaches often intertwine, which translates into the method’s popularity among non-specialists in stereochemical studies and ECD spectroscopy.
Author Contributions
Conceptualization, M.K.; software, T.M., J.G. and M.K.; writing—original draft preparation, M.K.; writing—review and editing, T.M., J.G. and M.K.; visualization, T.M., J.G. and M.K.; supervision, M.K. All authors have read and agreed to the published version of the manuscript.
Funding
This research received no external funding.
Data Availability Statement
No new data were created or analyzed in this study.
Conflicts of Interest
The authors declare no conflicts of interest.
References
- Berg, J.M.; Tymoczko, J.L.; Stryer, L. Biochemistry; W.H. Freeman & Co: New York, NY, USA, 2010. [Google Scholar]
- Lough, W.J.; Wainer, I.W. (Eds.) Chirality in Natural and Applied Science; CRC Press: Boca Raton, FL, USA, 2002. [Google Scholar]
- Francotte, E.; Lindner, W. (Eds.) Chirality in Drug Research, 1st ed.; Wiley: Hoboken, NJ, USA, 2006; Volume 33, ISBN 9783527310760. [Google Scholar]
- Lin, G.-Q.; You, Q.-D.; Cheng, J.-F. (Eds.) Chiral Drugs: Chemistry and Biological Action; JohnWiley & Sons, Inc.: Hoboken, NJ, USA, 2011; ISBN 9781118075647. [Google Scholar]
- Crossley, R. The relevance of chirality to the study of biological activity. Tetrahedron 1992, 48, 8155–8178. [Google Scholar] [CrossRef]
- Brooks, W.H.; Guida, W.C.; Daniel, K.G. The Significance of Chirality in Drug Design and Development. Curr. Top. Med. Chem. 2011, 11, 760–770. [Google Scholar] [CrossRef]
- Mannschreck, A.; Kiesswetter, R.; von Angerer, E. Unequal Activities of Enantiomers via Biological Receptors: Examples of Chiral Drug, Pesticide, and Fragrance Molecules. J. Chem. Educ. 2007, 84, 2012–2018. [Google Scholar] [CrossRef]
- Finefield, J.M.; Sherman, D.H.; Kreitman, M.; Williams, R.M. Enantiomeric Natural Products: Occurrence and Biogenesis. Angew. Chem. Int. Ed. 2012, 51, 4802–4836. [Google Scholar] [CrossRef] [PubMed]
- Brenna, E.; Fuganti, C.; Serra, S. Enantioselective Perception of Chiral Odorants. Tetrahedron Asymmetry 2003, 14, 1–42. [Google Scholar] [CrossRef]
- Engel, K.-H. Chirality: An Important Phenomenon Regarding Biosynthesis, Perception, and Authenticity of Flavor Compounds. J. Agric. Food Chem. 2020, 68, 10265–10274. [Google Scholar] [CrossRef]
- Testa, B.; Caldwell, J.; Kisakürek, M.V. (Eds.) Organic Stereochemistry. Guiding Principles and Biomedical Relevance; Wiley-VCH: Weinheim, Germany, 2014. [Google Scholar]
- Stephens, T.D.; Brynner, R. Dark Remedy: The Impact of Thalidomide and Its Revival as a Vital Medicine; Perseus Publishing: Cambridge, UK, 2001. [Google Scholar]
- Todd, M. (Ed.) Separation of Enantiomers; Wiley-VCH: Weinheim, Germany, 2014. [Google Scholar]
- Pellissier, H. Chirality from Dynamic Kinetic Resolution; RSC: Stratford-upon-Avon, UK, 2011. [Google Scholar]
- Helmchen, G.; Hoffmann, R.W.; Mulzer, J.; Schaumann, E. (Eds.) Stereoselective Synthesis; G. Thieme: New York, NY, USA, 1996. [Google Scholar]
- Jacobsen, E.N.; Pfaltz, A.; Yamamoto, H. (Eds.) Comprehensive Asymmetric Catalysis; Springer: Berlin/Heidelberg, Germany, 2004. [Google Scholar]
- Berova, N.; Polavarapu, P.L.; Nakanishi, K.; Woody, R.W. (Eds.) Comprehensive Chiroptical Spectroscopy (Applications in Stereochemical Analysis of Synthetic Compounds, Natural Products, and Biomolecules); Wiley: Hoboken, NJ, USA, 2012. [Google Scholar]
- Lowry, M.T. Optical Rotatory Power; Dover Publications, Inc.: New York, NY, USA, 1964. [Google Scholar]
- Wolf, C. Dynamic Stereochemistry of Chiral Compounds: Principles and Applications; RSC: Cambridge, UK, 2008. [Google Scholar]
- Wolf, C.; Bentley, K.W. Chirality sensing using stereodynamic probes with distinct electronic circular dichroism output. Chem. Soc. Rev. 2013, 42, 5408–5424. [Google Scholar] [CrossRef]
- Ozcelik, A.; Pereira-Cameselle, R.; Poklar Ulrih, N.; Petrovic, A.G.; Alonso-Gómez, J.L. Chiroptical Sensing: A Conceptual Introduction. Sensors 2020, 20, 974. [Google Scholar] [CrossRef]
- Formen, J.S.S.K.; Howard, J.R.; Anslyn, E.V.; Wolf, C. Circular Dichroism Sensing: Strategies and Applications. Angew. Chem. Int. Ed. 2024, 63, e202400767. [Google Scholar] [CrossRef]
- Eliel, E.L.; Wilen, S.H.; Mander, L.N. Stereochemistry of Organic Compounds; Wiley: Hoboken, NJ, USA, 1994. [Google Scholar]
- Zhu, H.-J. Organic Stereochemistry. Experimental and Computational Methods; Wiley-VCH: Weinheim, Germany, 2015. [Google Scholar]
- Glaser, R. Symmetry, Spectroscopy, and Crystallography. The Structural Nexus; Wiley-VCH: Weinheim, Germany, 2015. [Google Scholar]
- Poppe, L.; Nógrádi, M. (Eds.) Stereochemistry and Stereoselective Synthesis. An Introduction; Wiley-VCH: Weinheim, Germany, 2016. [Google Scholar]
- Ruch, E. Algebraic Aspects of the Chirality Phenomenon in Chemistry. Acc. Chem. Res. 1972, 5, 49–56. [Google Scholar] [CrossRef]
- Mislow, K.; Siegel, J. Stereoisomerism and local chirality. J. Am. Chem. Soc. 1984, 106, 3319–3328. [Google Scholar] [CrossRef]
- Buda, A.B.; Mislow, K. A Hausdorff chirality measure. J. Am. Chem. Soc. 1992, 114, 6006–6012. [Google Scholar] [CrossRef]
- Zabrodsky, H.; Peleg, S.; Avnir, D. Continuous symmetry measures. J. Am. Chem. Soc. 1992, 114, 7843–7851. [Google Scholar] [CrossRef]
- Zayit, A.; Pinsky, M.; Elgavi, H.; Dryzun, C.; Avnir, D. A web site for calculating the degree of chirality. Chirality 2011, 23, 17–23. [Google Scholar] [CrossRef]
- Buda, A.B.; Auf der Heyde, T.; Mislow, K. On Quantifying Chirality. Angew. Chem. Int. Ed. 1992, 31, 989–1007. [Google Scholar] [CrossRef]
- Cahn, R.S.; Ingold, C.; Prelog, V. Specification of Molecular Chirality. Angew. Chem. Int. Ed. 1966, 5, 385–415. [Google Scholar] [CrossRef]
- Moss, G.P. Basic terminology of stereochemistry (IUPAC Recommendations 1996). Pure Appl. Chem. 1996, 68, 2193–2222. [Google Scholar] [CrossRef]
- Bijvoet, J.M.; Peerdeman, A.F.; van Bommel, A.J. Determination of the Absolute Configuration of Optically Active Compounds by Means of X-Rays. Nature 1951, 168, 271–272. [Google Scholar] [CrossRef]
- Flack, H.D.; Bernardinelli, G. The use of X-ray crystallography to determine absolute configuration. Chirality 2008, 20, 681–690. [Google Scholar] [CrossRef]
- Flack, H.D. On enantiomorph-polarity estimation. Acta Cryst. 1983, A39, 876–881. [Google Scholar] [CrossRef]
- Flack, H.D. Chiral and Achiral Crystal Structures. Helv. Chim. Acta 2003, 86, 905–921. [Google Scholar] [CrossRef]
- Harada, N. Chiral molecular science: How were the absolute configurations of chiral molecules determined? Experimental results and theories. Chirality 2017, 29, 774–797. [Google Scholar] [CrossRef] [PubMed]
- Edwards, A.; Jenkinson, S. 8.3 Perspective and Concepts: Overview of Techniques for Assigning Stereochemistry. In Comprehensive Chirality; Elsevier: Amsterdam, The Netherlands, 2012; pp. 39–53. ISBN 9780080951683. [Google Scholar]
- Polavarapu, P.L. Chiroptical Spectroscopy: Fundamentals and Applications; CRC Press: Boca Raton, FL, USA; Taylor & Francis: Boca Raton, FL, USA, 2017; ISBN 9781315374888. [Google Scholar]
- Rodger, A.; Nordén, B. Circular Dichroism & Linear Dichroism; Oxford University Press Inc.: New York, NY, USA, 1997. [Google Scholar]
- Nakanishi, K.; Berova, N.; Woody, R.W. Circular Dichroism–Principles and Applications; VCD Publishers, Inc.: New York, NY, USA, 1994. [Google Scholar]
- Lightner, D.A.; Gurst, J.E. Organic Conformational Analysis and Stereochemistry from Circular Dichroism Spectroscopy; Wiley-VCH: New York, NY, USA, 2000. [Google Scholar]
- Mándi, A.; Kurtán, T. Applications of OR/ECD/VCD to the Structure Elucidation of Natural Products. Nat. Prod. Rep. 2019, 36, 889–918. [Google Scholar] [CrossRef] [PubMed]
- Vazquez, J.T. Features of electronic circular dichroism and tips for its use in determining absolute configuration. Tetrahedron Asymmetry 2017, 28, 1199–1211. [Google Scholar] [CrossRef]
- Polavarapu, P.L. Why is it important to simultaneously use more than one chiroptical spectroscopic method for determining the structures of chiral molecules? Chirality 2008, 20, 664–672. [Google Scholar] [CrossRef]
- Takaishi, K.; Maeda, C.; Ema, T. Circularly polarized luminescence in molecular recognition systems: Recent achievements. Chirality 2023, 35, 92–103. [Google Scholar] [CrossRef]
- Gennaro Pescitelli, G.; Di Bari, L.; Berova, N. Conformational aspects in the studies of organic compounds by electronic circular dichroism. Chem. Soc. Rev. 2011, 40, 4603–4625. [Google Scholar] [CrossRef]
- Polavarapu, P.L. Renaissance in chiroptical spectroscopic methods for molecular structure determination. Chem. Rec. 2007, 7, 125–136. [Google Scholar] [CrossRef]
- Koch, W.; Holthausen, M.C. A Chemist’s Guide to Density Functional Theory; Wiley-VCH: Weinheim, Germany, 2001. [Google Scholar]
- Polavarapu, P.L.; Covington, C.L. Comparison of Experimental and Calculated Chiroptical Spectra for Chiral Molecular Structure Determination. Chirality 2014, 26, 539–552. [Google Scholar] [CrossRef]
- Pescitelli, G.; Bruhn, T. Good Computational Practice in the Assignment of Absolute Configurations by TDDFT Calculations of ECD Spectra. Chirality 2016, 28, 466–474. [Google Scholar] [CrossRef]
- Sepali, C.; Lafiosca, P.; Gómez, S.; Giovannini, T.; Cappelli, C. Effective fully polarizable QM/MM approaches to compute Raman and Raman Optical Activity spectra in aqueous solution. Spectrochim. Acta A 2024, 305, 123485. [Google Scholar] [CrossRef] [PubMed]
- Groß, J.; Kühlborn, J.; Pusch, S.; Weber, C.; Andernach, L.; Renzer, G.; Eckhardt, P.; Brauer, J.; Opatz, T. Comparison of different density functional theory methods for the calculation of vibrational circular dichroism spectra. Chirality 2023, 35, 753–765. [Google Scholar] [CrossRef] [PubMed]
- Mattiat, J.; Luber, S. Comparison of Length, Velocity, and Symmetric Gauges for the Calculation of Absorption and Electric Circular Dichroism Spectra with Real-Time Time-Dependent Density Functional Theory. J. Chem. Theory Comput. 2022, 18, 5513–5526. [Google Scholar] [CrossRef] [PubMed]
- Crawford, D.T. Ab initio calculation of molecular chiroptical properties. Theor. Chem. Acc. 2006, 115, 227–245. [Google Scholar] [CrossRef]
- Neese, F. Prediction of molecular properties and molecular spectroscopy with density functional theory: From fundamental theory to exchange-coupling. Coord. Chem. Rev. 2009, 253, 526–563. [Google Scholar] [CrossRef]
- Superchi, S.; Scafato, P.; Gorecki, M.; Pescitelli, G. Absolute Configuration Determination by Quantum Mechanical Calculation of Chiroptical Spectra: Basics and Applications to Fungal Metabolites. CMC 2018, 25, 287–320. [Google Scholar] [CrossRef]
- Autschbach, J. Computing chiroptical properties with first-principles theoretical methods: Background and illustrative examples. Chirality 2009, 21, E116–E152. [Google Scholar] [CrossRef]
- Mukhopadhyay, P.; Wipf, P.; Beratan, D.N. Optical Signatures of Molecular Dissymmetry: Combining Theory with Experiments To Address Stereochemical Puzzles. Acc. Chem. Res. 2009, 42, 809–819. [Google Scholar] [CrossRef]
- Hassan, D.S.; Wolf, C. Optical deciphering of multinary chiral compound mixtures through organic reaction based chemometric chirality sensing. Nat. Commun. 2021, 12, 6451. [Google Scholar] [CrossRef]
- De los Santos, Z.A.; MacAvaney, S.; Russell, K.; Wolf, C. Tandem Use of Optical Sensing and Machine Learning for the Determination of Absolute Configuration, Enantiomeric and Diastereomeric Ratios, and Concentration of Chiral Samples. Angew. Chem. Int. Ed. 2020, 59, 2440–2448. [Google Scholar] [CrossRef]
- Feynman, R.P.; Leighton, R.B.; Sands, M. The Feynman Lectures on Physics; Addison-Wesley Publishing Company, Inc.: Reading, MA, USA, 1964. [Google Scholar]
- Caldwell, D.J.; Eyring, H. The Theory of Optical Activity; Wiley-Interscience: New York, NY, USA, 1972. [Google Scholar]
- Djerassi, C. Optical Rotatory Dispersion, Applications to Organic Chemistry; McGraw-Hill: New York, NY, USA, 1960. [Google Scholar]
- Kirkwood, J.G. On the theory of optical rotatory power. J Chem. Phys. 1937, 5, 479–491. [Google Scholar] [CrossRef]
- Kuhn, W. The physical significance of optical rotatory power. Trans Faraday Soc. 1930, 26, 293–308. [Google Scholar] [CrossRef]
- Stephens, P.J.; Devlin, F.J.; Cheeseman, J.R.; Frisch, M.J. Calculation of Optical Rotation Using Density Functional Theory. J. Phys. Chem. A 2001, 105, 5356–5371. [Google Scholar] [CrossRef]
- Stephens, P.J.; Devlin, F.J.; Cheeseman, J.R.; Frisch, M.J.; Bortolini, O.; Besse, P. Determination of absolute configuration using ab initio calculation of optical rotation. Chirality 2003, 15, S57–S64. [Google Scholar] [CrossRef] [PubMed]
- McCann, D.M.; Stephens, P.J.; Cheeseman, J.R. Determination of Absolute Configuration Using Density Functional Theory Calculation of Optical Rotation: Chiral Alkanes. J. Org. Chem. 2004, 69, 8709–8717. [Google Scholar] [CrossRef]
- Wiberg, K.B.; Wang, Y.; Vaccaro, P.H.; Cheeseman, J.R.; Luderer, M.R. Conformational Effects on Optical Rotation. 2-Substituted Butanes. J. Phys. Chem. A 2005, 109, 3405–3410. [Google Scholar] [CrossRef]
- Wiberg, K.B.; Vaccaro, P.H.; Cheeseman, J.R. Conformational Effects on Optical Rotation. 3-Substituted 1-Butenes. J. Am. Chem. Soc. 2003, 125, 1888–1896. [Google Scholar] [CrossRef]
- Bunnenberg, E.; Djerassi, C.; Mislow, K.; Moscowitz, A. Inherently Dissymmetric Chromophores and Circular Dichroism. J. Am. Chem. Soc. 1962, 84, 2823–2826. [Google Scholar] [CrossRef]
- Mislow, K.; Bunnenberg, E.; Records, R.; Wellman, K.; Djerassi, C. Inherently Dissymmetric Chromophores and Circular Dichroism. II. J. Am. Chem. Soc. 1963, 85, 1342–1349. [Google Scholar] [CrossRef]
- Moscowitz, A. Theoretical aspects of optical activity part one: Small molecules. Adv. Chem. Phys. 1962, 4, 67–112. [Google Scholar] [CrossRef]
- Kasha, M.; Rawls, H.F.; El-Bayoumi, S.A. The Exciton Model in Molecular Spectroscopy. Pure Appl. Chem. 1965, 11, 371–392. [Google Scholar] [CrossRef]
- Harada, N.; Nakanishi, K. Circular Dichroism Spectroscopy: Exciton Coupling in Organic Stereochemistry; University Science Books: Mill Valley, CA, USA, 1983. [Google Scholar]
- Harada, N.; Nakanishi, K. Exciton Chirality Method and Its Application to Configurational and Conformational Studies of Natural Products. Acc. Chem. Res. 1972, 5, 257–263. [Google Scholar] [CrossRef]
- Pescitelli, G. ECD exciton chirality method today: A modern tool for determining absolute configurations. Chirality 2022, 34, 333–363. [Google Scholar] [CrossRef] [PubMed]
- Pescitelli, G.; Di Bari, L.; Berova, N. Application of electronic circular dichroism in the study of supramolecular systems. Chem. Soc. Rev. 2014, 43, 5211–5233. [Google Scholar] [CrossRef] [PubMed]
- Ziegler, M.; von Zelewsky, A. Charge-transfer excited state properties of chiral transition metal coordination compounds studied by chiroptical spectroscopy. Coord. Chem. Rev. 1998, 177, 257–300. [Google Scholar] [CrossRef]
- Telfer, S.G.; McLean, T.M.; Waterland, M.R. Exciton coupling in coordination compounds. Dalton Trans. 2011, 40, 3097–3108. [Google Scholar] [CrossRef]
- Nehira, T.; Parish, C.A.; Jockusch, S.; Turro, N.J.; Nakanishi, K.; Berova, N. Fluorescence-detected exciton-coupled circular dichroism: Scope and limitation in structural studies of organic molecules. J. Am. Chem. Soc. 1999, 121, 8681–8691. [Google Scholar] [CrossRef]
- Tanaka, K.; Pescitelli, G.; Nakanishi, K.; Berova, N. Fluorescence detected exciton coupled circular dichroism: Development of new fluorescent reporter groups for structural studies. Monatsh Chem. 2005, 136, 367–395. [Google Scholar] [CrossRef]
- Moore, B., II; Autschbach, J. Density functional study of tetraphenylporphyrin long-range exciton coupling. ChemistryOpen 2012, 1, 184–194. [Google Scholar] [CrossRef]
- Tanaka, K.; Itagaki, Y.; Satake, M.; Naoki, H.; Yasumoto, T.; Nakanishi, K.; Berova, N. Three challenges toward the assignment of absolute configuration of gymnocin-B. J. Am. Chem Soc. 2005, 127, 9561–9570. [Google Scholar] [CrossRef]
- Gawronski, J.; Grajewski, J. The Significance of Induced Circular Dichroism. Org. Lett. 2003, 5, 3301–3303. [Google Scholar] [CrossRef] [PubMed]
- Reid, J.P. Open questions on the transfer of chirality. Commun. Chem. 2021, 4, 171. [Google Scholar] [CrossRef] [PubMed]
- Lauceri, R.; D’Urso, A.; Mammana, A.; Purrello, R. Transfer of chirality for memory and separation. Top. Curr. Chem. 2011, 298, 143–188. [Google Scholar] [CrossRef]
- Carey, F.A.; Sundberg, R.J. Advanced Organic Chemistry Part A Structure and Mechanisms, 2nd ed.; Plenum Press: New York, NY, USA, 1984; ISBN 0-306-41198-9. [Google Scholar]
- Seeman, J.I. Effect of Conformational Change on Reactivity in Organic Chemistry. Evaluations, Application, and Extensions of Cutin–Hammett/Winstein–Holness Kinetics. Chem. Rev. 1983, 83, 83–134. [Google Scholar] [CrossRef]
- Seeman, J.I. The Curtin–Hammett Principle and the Winstein–Holness Equation. J. Chem. Ed. 1986, 63, 42–48. [Google Scholar] [CrossRef]
- Matile, S.; Berova, N.; Nakanishi, K.; Novkova, S.; Philipova, I.; Blagoev, B. Porphyrins: Powerful Chromophores for Structural Studies by Exciton-Coupled Circular Dichroism. J. Am. Chem. Soc. 1995, 117, 7021–7022. [Google Scholar] [CrossRef]
- Berova, N.; Di Bari, L.; Pescitelli, G. Application of electronic circular dichroism in configurational and conformational analysis of organic compounds. Chem. Soc. Rev. 2007, 36, 914–931. [Google Scholar] [CrossRef]
- Huang, X.; Rickman, B.H.; Borhan, B.; Berova, N.; Nakanishi, K. Zinc porphyrin tweezer in host-guest complexation: Determination of absolute configurations of diamines, amino acids, and amino alcohols by circular dichroism. J. Am. Chem. Soc. 1998, 120, 6185–6186. [Google Scholar] [CrossRef]
- Berova, N.; Pescitelli, G.; Petrovic, A.G.; Proni, G. Probing molecular chirality by CD-sensitive dimeric metalloporphyrin hosts. Chem. Commun. 2009, 5958–59980. [Google Scholar] [CrossRef]
- Kurtán, T.; Nesnas, N.; Li, Y.Q.; Huang, X.; Nakanishi, K.; Berova, N. Chiral Recognition by CD-Sensitive Dimeric Zinc Porphyrin Host. 1. Chiroptical Protocol for Absolute Configurational Assignments of Monoalcohols and Primary Monoamines. J. Am. Chem. Soc. 2001, 123, 5962–5973. [Google Scholar] [CrossRef]
- Superchi, S.; Bisaccia, R.; Casarini, D.; Laurita, A.; Rosini, C. Flexible Biphenyl Chromophore as a Circular Dichroism Probe for Assignment of the Absolute Configuration of Carboxylic Acids. J. Am. Chem. Soc. 2006, 128, 6893–6902. [Google Scholar] [CrossRef] [PubMed]
- Tartaglia, S.; Padula, D.; Scafato, P.; Chiummiento, L.; Rosini, C. A Chemical/Computational Approach to the Determination of Absolute Configuration of Flexible and Transparent Molecules: Aliphatic Diols As a Case Study. J. Org. Chem. 2008, 73, 4865–4873. [Google Scholar] [CrossRef] [PubMed]
- Herrera, B.T.; Lin, C.Y.; Wright, A.M.; Moor, S.R.; Anslyn, E.V. Mathematical Relationships of Individual Stereocenter er Values to dr Values. J. Org. Chem. 2019, 84, 5922–5926. [Google Scholar] [CrossRef] [PubMed]
- Herrera, B.T.; Moor, S.R.; McVeigh, M.; Roesner, E.K.; Marini, F.; Anslyn, E.V. Rapid Optical Determination of Enantiomeric Excess, Diastereomeric Excess, and Total Concentration Using Dynamic-Covalent Assemblies: A Demonstration Using 2-Aminocyclohexanol and Chemometrics. J. Am. Chem. Soc. 2019, 141, 11151–11160. [Google Scholar] [CrossRef]
- Leung, D.; Anslyn, E.V. Rapid Determination of Enantiomeric Excess of α-Chiral Cyclohexanones Using Circular Dichroism Spectroscopy. Org. Lett. 2011, 13, 2298–2301. [Google Scholar] [CrossRef]
- Nieto, S.; Dragna, J.M.; Anslyn, E.V. A Facile Circular Dichroism Protocol for Rapid Determination of Enantiomeric Excess and Concentration of Chiral Primary Amines. Chem.-A Eur. J. 2010, 16, 227–232. [Google Scholar] [CrossRef]
- Gawroński, J.; Kwit, M.; Gawrońska, K. Helicity Induction in a Bichromophore: A Sensitive and Practical Chiroptical Method for the Absolute Configuration Determination of Aliphatic Alcohols. Org. Lett. 2002, 4, 4185–4188. [Google Scholar] [CrossRef]
- Gawroński, J.; Grajewski, J. A superior molecular bichromophore for the determination of absolute configuration of primary amines. Tetrahedron Asymmetry 2004, 15, 1527–1530. [Google Scholar] [CrossRef]
- Dutot, L.; Wright, K.; Gaucher, A.; Wakselman, M.; Mazaleyrat, J.P.; De Zotti, M.; Peggion, C.; Formaggio, F.; Toniolo, C. The Bip Method, Based on the Induced Circular Dichroism of a Flexible Biphenyl Probe in Terminally Protected-Bip-Xaa*Dipeptides, for Assignment of the Absolute Configuration of β-Amino Acids. J. Am. Chem. Soc. 2008, 130, 5986–5992. [Google Scholar] [CrossRef]
- Mazaleyrat, J.-P.; Wright, K.; Gaucher, A.; Toulemonde, N.; Wakselman, M.; Oancea, S.; Peggion, C.; Formaggio, F.; Setnička, V.; Keiderling, T.A.; et al. Induced Axial Chirality in the Biphenyl Core of the Cα-Tetrasubstituted α-Amino Acid Residue Bip and Subsequent Propagation of Chirality in (Bip)n/Val Oligopeptides. J. Am. Chem. Soc. 2004, 126, 12874–12879. [Google Scholar] [CrossRef]
- Holmes, A.E.; Das, D.; Canary, J.W. Chelation-Enhanced Circular Dichroism of Tripodal Bisporphyrin Ligands. J. Am. Chem. Soc. 2007, 129, 1506–1507. [Google Scholar] [CrossRef]
- Canary, J.W.; Mortezaei, S.; Liang, J. Redox-reconfigurable tripodal coordination complexes: Stereodynamic molecular switches. Chem. Commun. 2010, 46, 5850–5860. [Google Scholar] [CrossRef]
- Holmes, A.E.; Zahn, S.; Canary, J.W. Synthesis and circular dichroism studies of N,N-bis(2-quinolylmethyl)amino acid Cu(II) complexes: Determination of absolute configuration and enantiomeric excess by the exciton coupling method. Chirality 2002, 14, 471–477. [Google Scholar] [CrossRef]
- Ghosn, M.W.; Wolf, C. Chiral Amplification with a Stereodynamic Triaryl Probe: Assignment of the Absolute Configuration and Enantiomeric Excess of Amino Alcohols. J. Am. Chem. Soc. 2009, 131, 16360–16361. [Google Scholar] [CrossRef]
- Thanzeel, F.Y.; Wolf, C. Substrate-Specific Amino Acid Sensing Using a Molecular d/ l-Cysteine Probe for Comprehensive Stereochemical Analysis in Aqueous Solution. Angew. Chem. Int. Ed. 2017, 56, 7276–7281. [Google Scholar] [CrossRef]
- Hassan, D.S.; Thanzeel, F.Y.; Wolf, C. Stereochemical analysis of chiral amines, diamines, and amino alcohols: Practical chiroptical sensing based on dynamic covalent chemistry. Chirality 2020, 32, 457–463. [Google Scholar] [CrossRef]
- De los Santos, Z.A.; Yusin, G.; Wolf, C. Enantioselective sensing of carboxylic acids with a bis(urea)oligo(phenylene)ethynylene foldamer. Tetrahedron 2019, 75, 1504–1509. [Google Scholar] [CrossRef]
- Ghosn, M.W.; Wolf, C. Synthesis, Conformational Stability, and Asymmetric Transformation of Atropisomeric 1,8-Bisphenolnaphthalenes. J. Org. Chem. 2011, 76, 3888–3897. [Google Scholar] [CrossRef]
- Pilicer, S.L.; Bakhshi, P.R.; Bentley, K.W.; Wolf, C. Biomimetic Chirality Sensing with Pyridoxal-5′-phosphate. J. Am. Chem. Soc. 2017, 139, 1758–1761. [Google Scholar] [CrossRef]
- Iwaniuk, D.P.; Wolf, C. Chiroptical sensing of citronellal: Systematic development of a stereodynamic probe using the concept of isostericity. Chem. Commun. 2012, 48, 11226–11228. [Google Scholar] [CrossRef]
- Kim, H.; So, S.M.; Yen, C.P.-H.; Vinhato, E.; Lough, A.J.; Hong, J.-I.; Kim, H.-J.; Chin, J. Highly Stereospecific Generation of Helical Chirality by Imprinting with Amino Acids: A Universal Sensor for Amino Acid Enantiopurity. Angew. Chem. Int. Ed. 2008, 47, 8657–8660. [Google Scholar] [CrossRef]
- Scaramuzzo, F.A.; Badetti, E.; Licini, G.; Zonta, C. Second-Generation Tris(2-pyridylmethyl)amine–Zinc Complexes as Probes for Enantiomeric Excess Determination of Amino Acids. Eur. J. Org. Chem. 2017, 11, 1438–1442. [Google Scholar] [CrossRef]
- Machalska, E.; Hachlica, N.; Zajac, G.; Carraro, D.; Baranska, M.; Licini, G.; Bouř, P.; Zonta, C.; Kaczor, A. Chiral recognition via a stereodynamic vanadium probe using the electronic circular dichroism effect in differential Raman scattering. Phys. Chem. Chem. Phys. 2021, 23, 23336–23340. [Google Scholar] [CrossRef]
- Scaramuzzo, F.A.; Badetti, E.; Licini, G.; Zonta, C. Extending substrate sensing capabilities of zinc tris(2-pyridylmethyl)amine-based stereodynamic probe. Chirality 2019, 31, 375–383. [Google Scholar] [CrossRef]
- Zardi, P.; Wurst, K.; Licini, G.; Zonta, C. Concentration-Independent Stereodynamic g-Probe for Chiroptical Enantiomeric Excess Determination. J. Am. Chem. Soc. 2017, 139, 15616–15619. [Google Scholar] [CrossRef]
- Penasa, R.; Pandey, A.K.; Wurst, K.; Rancan, M.; Armelao, L.; Licini, G.; Zonta, C. Ion-Pairing Stereodynamic Probes for Circular Dichroism Chiral Sensing of Amines. Inorg. Chem. 2024, 63, 17701–17705. [Google Scholar] [CrossRef]
- Pilicer, S.L.; Mancinelli, M.; Mazzanti, A.; Wolf, C. Predictive chirality sensing via Schiff base formation. Org. Biomol. Chem. 2019, 17, 6699–6705. [Google Scholar] [CrossRef]
- Ni, C.; Zha, D.; Ye, H.; Hai, Y.; Zhou, Y.; Anslyn, E.V.; You, L. Dynamic Covalent Chemistry within Biphenyl Scaffolds: Reversible Covalent Bonding, Control of Selectivity, and Chirality Sensing with a Single System. Angew. Chem. Int. Ed. 2018, 57, 1300–1305. [Google Scholar] [CrossRef]
- Hassan, D.S.; Kariapper, F.S.; Lynch, C.C.; Wolf, C. Accelerated Asymmetric Reaction Screening with Optical Assays. Synthesis 2022, 54, 2527–2538. [Google Scholar] [CrossRef]
- Nieto, S.; Lynch, V.M.; Anslyn, E.V.; Kim, H.; Chin, J. High-Throughput Screening of Identity, Enantiomeric Excess, and Concentration Using MLCT Transitions in CD Spectroscopy. J. Am. Chem. Soc. 2008, 130, 9232–9233. [Google Scholar] [CrossRef]
- Herrera, B.T.; Pilicer, S.L.; Anslyn, E.V.; Joyce, L.A.; Wolf, C. Optical Analysis of Reaction Yield and Enantiomeric Excess: A New Paradigm Ready for Prime Time. J. Am. Chem. Soc. 2018, 140, 10385–10401. [Google Scholar] [CrossRef] [PubMed]
- Borovkov, V.V.; Hembury, G.A.; Inoue, Y. Origin, Control, and Application of Supramolecular Chirogenesis in Bisporphyrin-Based Systems. Acc. Chem. Res. 2004, 37, 449–459. [Google Scholar] [CrossRef]
- Dhamija, A.; Mondal, P.; Saha, B.; Rath, S.P. Induction, control, and rationalization of supramolecular chirogenesis using metalloporphyrin tweezers: A structure-function correlation. Dalton Trans. 2020, 49, 10679–10700. [Google Scholar] [CrossRef]
- Gholami, H.; Chakraborty, D.; Zhang, J.; Borhan, B. Absolute Stereochemical Determination of Organic Molecules through Induction of Helicity in Host−Guest Complexes. Acc. Chem. Res. 2021, 54, 654–667. [Google Scholar] [CrossRef]
- Li, X.; Tanasova, M.; Vasileiou, C.; Borhan, B. Fluorinated porphyrin tweezer: A powerful reporter of absolute configuration for erythro and threo diols, amino alcohols, and diamines. J. Am. Chem. Soc. 2008, 130, 1885–1893. [Google Scholar] [CrossRef]
- Li, X.; Burrell, C.E.; Staples, R.J.; Borhan, B. Absolute configuration for 1,n-glycols: A nonempirical approach to long-range stereochemical determination. J. Am. Chem. Soc. 2012, 134, 9026–9029. [Google Scholar] [CrossRef]
- Tanasova, M.; Anyika, M.; Borhan, B. Sensing Remote Chirality: Stereochemical Determination of β-, γ-, and δ-Chiral Carboxylic Acids. Angew. Chem. Int. Ed. 2015, 54, 4274–4278. [Google Scholar] [CrossRef]
- Huang, X.; Nakanishi, K.; Berova, N. Porphyrins and metalloporphyrins: Versatile circular dichroic reporter groups for structural studies. Chirality 2000, 12, 237–255. [Google Scholar] [CrossRef]
- Monti, D.; Nardis, S.; Stefanelli, M.; Paolesse, R.; Di Natale, C.; D’Amico, A. Porphyrin-based nanostructures for sensing applications. J. Sens. 2009, 856053. [Google Scholar] [CrossRef]
- Proni, G.; Pescitelli, G.; Huang, X.; Quraishi, N.Q.; Nakanishi, K.; Berova, N. Configurational assignment of a-chiral carboxylic acids by complexation to dimeric Zn–porphyrin: Host–guest structure, chiral recognition and circular dichroism. Chem. Commun. 2002, 2, 1590–1591. [Google Scholar] [CrossRef]
- Proni, G.; Pescitelli, G.; Huang, X.; Nakanishi, K.; Berova, N. Magnesium Tetraarylporphyrin Tweezer: a CD-Sensitive Host for Absolute Configurational Assignments of α-Chiral Carboxylic Acids. J. Am. Chem. Soc. 2003, 125, 12914–12927. [Google Scholar] [CrossRef] [PubMed]
- Tanasova, M.; Borhan, B. Conformational Preference in Bis(porphyrin) Tweezer Complexes: A Versatile Chirality Sensor for a-Chiral Carboxylic Acids. Eur. J. Org. Chem. 2012, 2012, 3261–3269. [Google Scholar] [CrossRef]
- Yoon, H.; Lee, C.-H.; Jang, W.-D. Absolute Stereochemical Determination of Chiral Carboxylates Using an Achiral Molecular Tweezer. Chem. Eur. J. 2012, 18, 12479–12486. [Google Scholar] [CrossRef]
- Yang, Q.; Olmsted, C.; Borhan, B. Absolute stereochemical determination of chiral carboxylic acids. Org. Lett. 2002, 4, 3423–3426. [Google Scholar] [CrossRef]
- Huang, X.; Fujioka, N.; Pescitelli, G.; Koehn, F.E.; Williamson, R.T.; Nakanishi, K.; Berova, N. Absolute configurational assignments of secondary amines by CD-sensitive dimeric zinc porphyrin host. J. Am. Chem. Soc. 2002, 124, 10320–10335. [Google Scholar] [CrossRef]
- Tanasova, M.; Yang, Q.F.; Olmsted, C.C.; Vasileiou, C.; Li, X.Y.; Anyika, M.; Borhan, B. An Unusual Conformation of alpha-Haloamides Due to Cooperative Binding with Zincated Porphyrins. Eur. J. Org. Chem. 2009, 2009, 4242–4253. [Google Scholar] [CrossRef]
- Xu, T.; Li, J.H.; Momen, R.; Huang, W.J.; Kirk, S.R.; Yasuteru Shigeta, Y.; Jenkins, S. Chirality–Helicity Equivalence in the S and R Stereoisomers: A Theoretical Insight. J. Am. Chem. Soc. 2019, 141, 5497–5503. [Google Scholar] [CrossRef]
- Maeda, K.; Tamaki, S.; Tamura, K.; Yashima, E. Helicity Induction and Memory of the Macromolecular Helicity in a Polyacetylene Bearinga Biphenyl Pendant. Chem. Asian J. 2008, 3, 614–624. [Google Scholar] [CrossRef]
- Kim, M.J.; Choi, Y.R.; Jeon, H.G.; Kang, P.; Choi, M.-G.; Jeong, K.-S. A helically twisted imine macrocycle that allows for determining the absolute configuration of α-amino carboxylates. Chem. Commun. 2013, 49, 11412–11414. [Google Scholar] [CrossRef]
- Jeon, H.-G.; Kim, M.J.; Jeong, K.-S. An indolocarbazole dimer as a new stereodynamic probe for chiral 1,2-diamines. Org. Biomol. Chem. 2014, 12, 5464–5468. [Google Scholar] [CrossRef]
- Suk, J.; Naidu, V.R.; Liu, X.; Lah, M.S.; Jeong, K.-S. A Foldamer-Based Chiroptical Molecular Switch That Displays Complete Inversion of the Helical Sense upon Anion Binding. J. Am. Chem. Soc. 2011, 133, 13938–13941. [Google Scholar] [CrossRef] [PubMed]
- Sharma, A.K.; Cheran, A.; Kumar, J.; Srivastava, A. A Helically-Twisted Stereodynamic Probe for Chiroptical Sensing of Chiral Amines through Point-to-Helical Chirality Transmission. Chem. Asian J. 2025, e202401376. [Google Scholar] [CrossRef] [PubMed]
- Ballardini, R.; Balzani, V.; Credi, A.; Gandolfi, M.T.; Venturi, M. Artificial Molecular-Level Machines: Which Energy To Make Them Work? Acc. Chem. Res. 2001, 34, 445–455. [Google Scholar] [CrossRef] [PubMed]
- Drexler, K.E. Nanotechnology: Molecular Machinery, Manufacturing and Computation; Wiley: New York, NY, USA, 1992. [Google Scholar]
- Koumura, N.; Zijlstra, R.W.J.; van Delden, R.A.; Harada, N.; Feringa, B.L. Light-driven monodirectional molecular rotor. Nature 1999, 401, 152–155. [Google Scholar] [CrossRef] [PubMed]
- Wang, J.; Feringa, B.L. Dynamic control of chiral space in a catalytic asymmetric reaction using a molecular motor. Science 2011, 331, 1429–1432. [Google Scholar] [CrossRef]
- Joyce, L.A.; Maynor, M.S.; Dragna, J.M.; da Cruz, G.M.; Lynch, V.M.; Canary, J.W.; Anslyn, E.V. A Simple Method for the Determination of Enantiomeric Excess and Identity of Chiral Carboxylic Acids. J. Am. Chem. Soc. 2011, 133, 13746–13752. [Google Scholar] [CrossRef]
- Setaka, W.; Nirengi, T.; Kabuto, C.; Kira, M. Introduction of Clutch Function into a Molecular Gear System by Silane−Silicate Interconversion. J. Am. Chem. Soc. 2008, 130, 15762–15763. [Google Scholar] [CrossRef]
- Pink, J.H.; Clayden, J. Concerted Rotation in a Tertiary Aromatic Amide: Towards a Simple Molecular Gear. Angew. Chem. Int. Ed. 1998, 37, 1937–1939. [Google Scholar] [CrossRef]
- Katoono, R.; Kawai, H.; Fujiwara, K.; Suzuki, T. Designed molecular propellers based on tetraarylterephthalamide and their chiroptical properties induced by biased helicity through transmission of point chirality. Chem. Comm. 2008, 4906–4908. [Google Scholar] [CrossRef]
- Katoono, R.; Kawai, H.; Fujiwara, K.; Suzuki, T. Dynamic Molecular Propeller: Supramolecular Chirality Sensing by Enhanced Chiroptical Response through the Transmission of Point Chirality to Mobile Helicity. J. Am. Chem. Soc. 2009, 131, 16896–16904. [Google Scholar] [CrossRef]
- Mislow, K. Stereochemical consequences of correlated rotation in molecular propellers. Acc. Chem. Res. 1976, 9, 26–33. [Google Scholar] [CrossRef]
- Iwamura, H.; Mislow, K. Stereochemical consequences of dynamic gearing. Acc. Chem. Res. 1988, 21, 175–182. [Google Scholar] [CrossRef]
- Jones, P.G.; Sheldrick, G.M.; Edwards, M.R.; Kirby, A.J. Bond length and reactivity: 1-arylethyl ethers and esters. 3. Structures of three trityl ethers of 1-arylethanols: 1-phenylethyl, 1-(4-chlorophenyl)ethyl and 1-(4-nitrophenyl)ethyl triphenylmethyl ethers. Acta. Cryst. 1986, C42, 1361–1364. [Google Scholar] [CrossRef]
- Kurland, R.J.; Schuster, I.I.; Colter, A.K. Fluorine Magnetic Resonance Studies of Conformational Equilibria in Triphenylcarbonium Ions. J. Am. Chem. Soc. 1965, 87, 2278–2279. [Google Scholar] [CrossRef]
- Murr, B.L.; Santiago, C.; Wang, S. Stereochemistry of trityl compounds. V. Resolution of phenylbiphenylyl-.alpha.-naphthylcarbinol. J. Am. Chem. Soc. 1969, 91, 3827–3831. [Google Scholar] [CrossRef]
- Ściebura, J.; Skowronek, P.; Gawroński, J. Trityl Ethers: Molecular Bevel Gears Reporting Chirality through Circular Dichroism Spectra. Angew. Chem. Int. Ed. 2009, 48, 7069–7072. [Google Scholar] [CrossRef]
- Mazzeo, G.; Scafato, P.; Superchi, S.; Rosini, C. The absolute configuration of simple aliphatic alcohols through a chemical/computational approach: Triarylether derivatives of (+)-endo-2-norborneol as a case study. Tetrahedron Asymmetry 2009, 20, 2435–2437. [Google Scholar] [CrossRef]
- Wang, L.; Zhang, T.; Redden, B.K.; Sheppard, C.I.; Clark, R.W.; Smith, M.D.; Wiskur, S.L. Understanding Internal Chirality Induction of Triarylsilyl Ethers Formed from Enantiopure Alcohols. J. Org. Chem. 2016, 81, 8187–8193. [Google Scholar] [CrossRef]
- Skowronek, P.; Ścianowski, J.; Pacuła, A.J.; Gawroński, J. Chirality transfer through sulfur or selenium to chiral propellers. RSC Adv. 2015, 5, 69441–69444. [Google Scholar] [CrossRef]
- Ściebura, J.; Gawroński, J. Double chirality transmission in trityl amines: Sensing molecular dynamic stereochemistry by circular dichroism and DFT calculations. Chem. Eur. J. 2011, 17, 13138–13141. [Google Scholar] [CrossRef]
- Ściebura, J.; Janiak, A.; Stasiowska, A.; Grajewski, J.; Gawrońska, K.; Rychlewska, U.; Gawroński, J. Intramolecular Interactions of Trityl Groups. ChemPhysChem 2014, 15, 1653–1659. [Google Scholar] [CrossRef] [PubMed]
- Prusinowska, N.; Bendzińska-Berus, W.; Jelecki, M.; Rychlewska, U.; Kwit, M. Triphenylacetic acid amides: Molecular propellers with induced chirality. Eur. J. Org. Chem. 2015, 4, 738–749. [Google Scholar] [CrossRef]
- Bendzińska-Berus, W.; Jelecki, M.; Kwit, M.; Rychlewska, U. Transfer of chirality in N-triphenylacetylamino acids and chiral derivatives of N-triphenylacetyl Gly–Gly dipeptide and control of their assembly with steric constraints. CrystEngComm 2019, 21, 3420. [Google Scholar] [CrossRef]
- Prusinowska, N.; Bendzińska-Berus, W.; Szymkowiak, J.; Warżajtis, B.; Gajewy, J.; Jelecki, M.; Rychlewska, U.; Kwit, M. Double helicity induction in chiral bis(triphenylacetamides). RSC Adv. 2015, 5, 83448–83458. [Google Scholar] [CrossRef]
- Prusinowska, N.; Czapik, A.; Kwit, M. Chiral triphenylacetic acid esters–residual stereoisomerism and solid-state variability of molecular architectures. J. Org. Chem. 2021, 86, 6433–6448. [Google Scholar] [CrossRef]
- Skowronek, P.; Czapik, A.; Rajska, Z.; Kwit, M. Molecular and supramolecular helicity induction in trityl group-containing compounds: The case of chiral 3,3,3-triphenylpropionic acid derivatives. Tetrahedron 2019, 75, 4497–4505. [Google Scholar] [CrossRef]
- Prusinowska, N.; Czapik, A.; Wojciechowska, M.; Kwit, M. Dynamic optical activity induction in the N-alkyl-N′-trityl ureas and thioureas. Org. Biomol. Chem. 2019, 17, 7782–7793. [Google Scholar] [CrossRef]
- De los Santos, Z.A.; Lynch, C.C.; Wolf, C. Dynamic Covalent Optical Chirality Sensing with a Sterically Encumbered Aminoborane. Chem. Eur. J. 2022, 28, e202202028. [Google Scholar] [CrossRef]
- Barnes, J.C.; Paton, J.D.; Damewood, J.R., Jr.; Mislow, K. Crystal and molecular structure of diphenylmethane. J. Org. Chem. 1981, 46, 4975–4979. [Google Scholar] [CrossRef]
- Ściebura, J.; Gawroński, J. Optical activity and helicity enhancement of diphenylmethyl molecular propellers. Tetrahedron Asymmetry 2013, 24, 683–688. [Google Scholar] [CrossRef]
- Grajewski, J.; Mądry, T.; Kwit, M.; Warżajtis, B.; Rychlewska, U.; Gawroński, J. Benzhydryl ethers of tartaric acid derivatives: Stereochemical response of dynamically chiral propeller. ChemPhysChem 2017, 18, 2197–2207. [Google Scholar] [CrossRef] [PubMed]
- Tartaglia, S.; Pace, F.; Scafato, P.; Rosini, C. A new case of induced helical chirality in a bichromophoric system: Absolute configuration of transparent and flexible diols from the analysis of the electronic circular dichroism spectra of the corresponding di(1-naphthyl)ketals. Org. Lett. 2008, 10, 3421–3424. [Google Scholar] [CrossRef]
- Mądry, T.; Czapik, A.; Kwit, M. Optical activity and helicity enhancement of highly sensitive dinaphthylmethane-based stereodynamic probes for secondary alcohols. ACS Omega 2019, 4, 3244–3256. [Google Scholar] [CrossRef]
- Zhang, J.; Gholami, H.; Ding, X.; Chun, M.; Vasileiou, C.; Nehira, T.; Borhan, B. Computationally Aided Absolute Stereochemical Determination of Enantioenriched Amines. Org. Lett. 2017, 19, 1362–1365. [Google Scholar] [CrossRef]
- Zhang, J.; Sheng, W.; Gholami, H.; Nehira, T.; Borhan, B. Di(1-naphthyl) methanol ester of carboxylic acids for absolute stereochemical determination. Chirality 2018, 30, 141–146. [Google Scholar] [CrossRef]
- Kohlbouni, T.S.; Sarkar, A.; Zhang, J.; Li, X.; Borhan, B. Absolute stereochemical determination of 1,2-diols via complexation with dinaphthyl borinic acid. Chirality 2020, 32, 817–823. [Google Scholar] [CrossRef]
- Rubio, M.; Merchán, M.; Ortí, E.; Roos, B.O. A theoretical study of the electronic spectrum of biphenyl. Chem. Phys. Lett. 1995, 234, 373–381. [Google Scholar] [CrossRef]
- Fukuda, R.; Ehara, M. Electronic excited states and electronic spectra of biphenyl: A study using many-body wavefunction methods and density functional theories. Phys. Chem. Chem. Phys. 2013, 15, 17426–17434. [Google Scholar] [CrossRef]
- Sagiv, J.; Yogev, A.; Mazur, Y. Application of Linear Dichroism to the Analysis of Electronic Absorption Spectra of Biphenyl, Fluorene, 9,9′-Spirobifluorene, and [6.6]Vespirene. Interpretation of the Circular Dichroism Spectrum of [6.6]Vespirene. J. Am. Chem. Soc. 1977, 99, 6861–6869. [Google Scholar] [CrossRef]
- Edwards, L.O.; Simpson, W.T. Polarizations of Electronic Transitions from Azimuthal Variation in Fluorescence Intensity—With Application to Biphenyl. J. Chem. Phys. 1970, 53, 4237–4244. [Google Scholar] [CrossRef]
- Rashidi-Ranjbar, P.; Sandström, J. The UV and CD Spectra of a 60° Twisted Bridged Biphenyl: An Experimental and CNDO/S Study. J. Mol. Struct. 1991, 246, 25–32. [Google Scholar] [CrossRef]
- Prusinowska, N.; Szymkowiak, J.; Kwit, M. Unravelling Structural Dynamics, Supramolecular Behavior and Chiroptical Properties of Enantiomerically Pure Macrocyclic Tertiary Ureas and Thioureas. J. Org. Chem. 2023, 88, 285–299. [Google Scholar] [CrossRef] [PubMed]
- Superchi, S.; Casarini, D.; Laurita, A.; Bavoso, A.; Rosini, C. Induction of a preferred twist in a biphenyl core by stereogenic centers: A novel approach to the absolute configuration of 1,2- and 1,3-diols. Angew. Chem. Int. Ed. 2001, 40, 451–454. [Google Scholar] [CrossRef]
- Santoro, E.; Vergura, S.; Scafato, P.; Belviso, S.; Masi, M.; Evidente, A.; Superchi, S. Absolute Configuration Assignment to Chiral Natural Products by Biphenyl Chiroptical Probes: The Case of the Phytotoxins Colletochlorin A and Agropyrenol. J. Nat. Prod. 2020, 83, 1061–1068. [Google Scholar] [CrossRef] [PubMed]
- Kwit, M.; Rychlewska, U.; Gawroński, J. Induced Homohelicity of Diphenimide Bis-propellers. New J. Chem. 2002, 26, 1714–1717. [Google Scholar] [CrossRef]
- Vergura, S.; Pisani, L.; Scafato, P.; Casarini, D.; Superchi, S. Central-to-axial chirality induction in biphenyl chiroptical probes for the stereochemical characterization of chiral primary amines. Org. Biomol. Chem. 2018, 16, 555–565. [Google Scholar] [CrossRef]
- Kuwahara, S.; Nakamura, M.; Yamaguchi, A.; Ikeda, M.; Habata, Y. Combination of a New Chiroptical Probe and Theoretical Calculations for Chirality Detection of Primary Amines. Org. Lett. 2013, 15, 5738–5741. [Google Scholar] [CrossRef]
- Kuwahara, S.; Tasaki, N.; Suzuki, Y.; Nakagawa, M.; Ikeda, M.; Habata, Y. 3-Menthoxybiphenyl-4-carboxylic acid: A versatile resolving agent and reagent for determination of the absolute configuration of benzylic alcohols. Tetrahedron Asymmetry 2017, 28, 945–953. [Google Scholar] [CrossRef]
- Sahnoun, R.; Koseki, S.; Fujimura, Y.J. Density Functional Theoretical Study on Enantiomerization of 2,2′-Biphenol. Phys. Chem. A 2006, 110, 2440–2447. [Google Scholar] [CrossRef]
- Gajewy, J.; Gawroński, J.; Kwit, M. Mechanism and Enantioselectivity of [Zinc(Diamine)(Diol)]-Catalyzed Asymmetric Hydrosilylation of Ketones: DFT, NMR and ECD Study. Eur. J. Org. Chem. 2013, 2013, 307–318. [Google Scholar] [CrossRef]
- Bentley, K.W.; Wolf, C. Chirality Sensing of Amines, Diamines, Amino Acids, Amino Alcohols, and α-Hydroxy Acids with a Single Probe. J. Am. Chem. Soc. 2013, 135, 18052–18055. [Google Scholar] [CrossRef] [PubMed]
- Pu, L. Regioselective Substitution of BINOL. Chem. Rev. 2024, 124, 6643–6689. [Google Scholar] [CrossRef]
- Iwaniuk, D.P.; Wolf, C. A Stereodynamic Probe Providing a Chiroptical Response to Substrate-Controlled Induction of an Axially Chiral Arylacetylene Framework. J. Am. Chem. Soc. 2011, 133, 2414–2417. [Google Scholar] [CrossRef]
- De Los Santos, Z.A.; Joyce, L.A.; Sherer, E.C.; Welch, C.J.; Wolf, C. Optical Chirality Sensing with a Stereodynamic Aluminum Biphenolate Probe. J. Org. Chem. 2019, 84, 4636–4645. [Google Scholar] [CrossRef]
- Bentley, K.W.; Joyce, L.A.; Sherer, E.C.; Sheng, H.; Wolf, C.; Welch, C.J. Antenna Biphenols: Development of Extended Wavelength Chiroptical Reporters. J. Org. Chem. 2016, 81, 1185–1191. [Google Scholar] [CrossRef]
- Ghosn, M.W.; Wolf, C. Enantioselective CD analysis of amino acids based on chiral amplification with a stereodynamic probe. Tetrahedron 2010, 66, 3989–3994. [Google Scholar] [CrossRef]
- Ghosn, M.W.; Wolf, C. Enantioselective recognition of amines with an atropisomeric 1,8-bisphenolnaphthalene. Tetrahedron 2011, 67, 6799–6803. [Google Scholar] [CrossRef]
- Bentley, K.W.; Wolf, C. Stereodynamic Chemosensor with Selective Circular Dichroism and Fluorescence Readout for in Situ Determination of Absolute Configuration, Enantiomeric Excess, and Concentration of Chiral Compounds. J. Am. Chem. Soc. 2013, 135, 12200–12203. [Google Scholar] [CrossRef]
- Bentley, K.W.; Wolf, C. Comprehensive Chirality Sensing: Development of Stereodynamic Probes with a Dual (Chir)optical Response. J. Org. Chem. 2014, 79, 6517–6531. [Google Scholar] [CrossRef]
- Iwaniuk, D.P.; Wolf, C. Enantioselective Sensing of Amines Based on [1 + 1]-, [2 + 2]-, and [1 + 2]-Condensation with Fluxional Arylacetylene-Derived Dialdehydes. Org. Lett. 2011, 13, 2602–2605. [Google Scholar] [CrossRef]
- Iwaniuk, D.P.; Bentley, K.W.; Wolf, C. Enantioselective sensing of chiral amino alcohols with a stereodynamic arylacetylene-based probe. Chirality 2012, 24, 584–589. [Google Scholar] [CrossRef] [PubMed]
- Mądry, T.; Czapik, A.; Kwit, M. Point-to-axial chirality transmission: A highly sensitive triaryl chirality probe for stereochemical assignments of amines. J. Org. Chem. 2020, 85, 10413–10431. [Google Scholar] [CrossRef] [PubMed]
- Mądry, T.; Czapik, A.; Kwit, M. ‘Double-twist’-based dynamic induction of optical activity in multichromophoric system. Symmetry 2021, 13, 325. [Google Scholar] [CrossRef]
- Zhang, Z.; Li, X.; Cheng, Y.; Yao, Y.; Li, R.; Liu, Q.; Yang, H.; Chen, X. Stimuli-Responsive Photoluminescent Molecular Tweezers for Highly Enantioselective Discrimination of Chiral Primary Amines. Anal. Chem. 2024, 96, 19632–19640. [Google Scholar] [CrossRef]
- Chen, H.; Xia, L.; Li, G. Recent progress of chiral metal–organic frameworks in enantioselective separation and detection. Microchim. Acta 2024, 191, 640. [Google Scholar] [CrossRef]
- Huang, L.; Hu, C.; Wang, Y. Chirality Sensing of Chiral Carboxylic Acids by a Ureido-Linked Zinc Bisporphyrinate. Chem. Asian J. 2024, 19, e202400359. [Google Scholar] [CrossRef]
- Della Sala, P.; Calice, U.; Iuliano, V.; Geremia, S.; Hickey, N.; Belviso, S.; Summa, F.F.; Monaco, G.; Gaeta, C.; Superchi, S. Chirality Sensing of Cryptochiral Guests with Prism[n]arenes. Chem. Eur. J. 2024, 30, e202401625. [Google Scholar] [CrossRef]
- Nelson, E.; Bertke, J.A.; Thanzeel, F.Y.; Wolf, C. Organometallic Chirality Sensing via “Click”-like η6-Arene Coordination with an Achiral Cp*Ru(II) Piano Stool Complex. Angew. Chem. Int. Ed. 2024, 63, e202404594. [Google Scholar] [CrossRef]
- Formen, J.S.S.K.; Wolf, C. Optical Relay Sensing of Cryptochiral Alcohols Displaying α-, β-, γ- and δ-Stereocenters or Chirality by Virtue of Isotopic Substitution. Angew. Chem. Int. Ed. 2024, 63, e202409790. [Google Scholar] [CrossRef]
- Formen, J.S.S.K.; Nelson, E.; Wolf, C. Molecular Sensing of Chiral Carboxylic Acid Enantiomers Using CD Inductions in the Visible Light Region. J. Org. Chem. 2025, 90, 994–1000. [Google Scholar] [CrossRef]
Disclaimer/Publisher’s Note: The statements, opinions and data contained in all publications are solely those of the individual author(s) and contributor(s) and not of MDPI and/or the editor(s). MDPI and/or the editor(s) disclaim responsibility for any injury to people or property resulting from any ideas, methods, instructions or products referred to in the content. |
© 2025 by the authors. Licensee MDPI, Basel, Switzerland. This article is an open access article distributed under the terms and conditions of the Creative Commons Attribution (CC BY) license (https://creativecommons.org/licenses/by/4.0/).






























































