An Efficient Traceable and Revocable Access Control Scheme for Smart Grids
Abstract
1. Introduction
- Since household electricity usage information is closely linked to users’ personal activities, any leakage of attribute private keys poses significant security risks. For instance, analyzing electricity consumption patterns—such as peaks and troughs—can reveal when users are at home or away. Consequently, an urgent need exists for a mechanism to trace users who maliciously leak attribute private keys. This paper introduces a white-box tracing technique that effectively tracks malicious users by binding user identities to well-formatted decryption keys.
- Using a binary tree for user revocation is efficient; however, once a node is revoked, it cannot be reused. In a smart grid scenario, where user numbers change dynamically, traditional binary trees become unsuitable for user revocation. To address the limitations related to the maximum number of system users, we propose an elastic binary tree. Additionally, our solution includes partial policy hiding and encrypted search, which enhance system security and expand its functionality.
- A blockchain-based access control framework was developed to ensure data immutability and establish a secure, reliable data-sharing platform, thereby enhancing the system’s overall security and credibility.
2. Related Works
2.1. Revocable Access Control Scheme
2.2. Traceable Access Control Scheme
2.3. A Blockchain-Based Access Control Scheme
3. Background
3.1. Bilinear Maps
- Bilinearity: For any and ;
- Non-degeneracy: There exist elements such that ;
- Computability: For any , can be computed efficiently.
3.2. Access Structure
3.3. Linear Secret Sharing Scheme
- : This algorithm shares the secret value s using D. Consider the , where is the secret and are random values. Then is the share of s related to the attribute , where is the i-th row of .
- : This algorithm retrieves from its secret shares. Assume is an authorized set, and . There exist coefficients such that , allowing us to compute the secret = .
3.4. Binary Tree
- Each leaf node of the binary tree T corresponds to a user within the system. Let |U| denote the total number of users, and |Y| represent the number of leaf nodes. The overall count of nodes in the user’s binary tree is given by 2|Y| − 1. The nodes in the tree are assigned numbers following a breadth-first search order: the root node is labeled as 0, while the last node is numbered 2|Y| − 2;
- represents a route from node 0 to node ;
- The minimum cover set, denoted as , refers to the smallest subset of nodes capable of covering all users who are not listed in the revocation set R.
- For any user u not included in the revocation set R, there exists a unique node satisfying .
3.5. Complexity Assumptions
4. System Model
4.1. Overview
4.2. Security Model
- IND-CPA Security Model
- Initialization Phase: The attacker chooses an access policy denoted as and a revocation list . In this context, is an matrix, where assigns each row in to unique attribute names within the set A. The set comprises attribute values linked to ;
- System Setup Phase: The challenger C executes the Setup algorithm and provides the public parameters (PP) to the adversary D;
- Phase 1: The attacker (A) chooses a group of target users () and their corresponding attribute sets (), denoted as . A then requests the decryption keys for these attribute sets from the challenger.
- Phase 2: This phase is similar to Phase 1.
- 2
- Traceability Security Model
- Key Query: Attacker D selects a set of target users, denoted as , along with their corresponding attribute sets, denoted as . This is represented as follows: . Attacker D requests the decryption keys for these attribute sets. For each user , if is on the revocation list or its attribute set does not meet the access policy AP, the key is not provided. Otherwise, the challenger C runs the KeyGen algorithm and sends the decryption key to attacker D, where .
- Key Forgery: The attacker creates a key . If is not equal to ⊥ and is not in the set , then the attacker D wins the game.
5. Proposed Scheme and Security Analysis
5.1. Construction
5.1.1. Initialization Process
| Algorithm 1: Setup (SP, A, EBT) |
| Input: Security parameter SP, system attribute set A, and elastic binary tree (EBT) Output: Public parameters PP and master key MSK Step1: Generate a bilinear map group Step2: Randomly pick , Step3: For each node n in the binary tree EBT, randomly select ∈, compute and store in node n. Step4: Define the hash function as hash: . Step5: Implement a probabilistic encryption scheme (Enc, Dnc) [29] using a symmetric key k to encrypt messages from {0,1}* to , ensuring different ciphertexts for the same message with each encryption. Step6: Publish the public parameters as ,, , , hash}, and save the master key as |
5.1.2. Electricity Data Upload Process
| Algorithm 2: Encryption (PP, ck, AP, R, KW) |
| Input: The public parameters are PP, the symmetric key is ck, and the access policy AP is defined as . Here, is an matrix, and associates each row of with a unique attribute name in A. The attribute names appear only once. represents attribute values related to , with the revocation list R being empty, and the keyword is KW. Output: Ciphertext CT Step1: Randomly choose a vector , where each element belongs to . For every in the range , calculate and randomly pick from . Step2: Calculate the ciphertext associated with the access policy: Step4: Calculate the ciphertext keyword index: Step5: is an incomplete access policy after removing the attribute values set T. Step6: Finally, the data owner uploads the following ciphertext to the blockchain: CT = {C,,,, , , } |
5.1.3. Obtaining Electricity Data
| Algorithm 3: KeyGen (PP, MSK, , ) | |
| Input: System public parameters PP, system master key MSK, user , and its attribute set , where represents the attribute names of the data user, and . Output: The key for the data user, SK. Step1: Compute the section related to the data user’s attributes: , where ID is the value of the leaf node in the elastic binary tree EBT linked to user . The algorithm selects a random value , and computes : | |
| (1) | |
| Step2: Compute the section related to the revocation list. Let denote the path from the root node to the node linked to user . The algorithm computes . Step3: The trusted center secretly transmits the following keys to user : SK | |
| Algorithm 4: Decryption(PP, EBT, CT, SK) | |
| Input: Public parameters PP, Elastic Binary Tree EBT, ciphertext CT, and user key SK. Output: Symmetric key (ck). Case1: If user is in R or the attribute set of user does not satisfy the access policy , the algorithm terminates. Case2: If user is not in R and the attribute set of user satisfies the access policy , the algorithm proceeds with the following steps: Step1: Let , compute , and . Step2: Let , representing the set of row indices in the matrix that correspond to user attribute names satisfying the access policy . The weights and constants satisfy the equation . Thus, it follows that . Next, the algorithm computes: | |
| (2) | |
| (3) | |
| Step3: Next, the algorithm computes: | |
| (4) | |
| Step4: Algorithm for Calculating Symmetric: | |
| (5) | |
| Algorithm 5: Trapdoor (PP, SKW) |
| Input: Public parameters PP and search keyword SKW. Output: Keyword Trapdoor Step1: Randomly select . Calculate and . Step2: Generate the keyword Trapdoor as {, for each i in Step3: The data user sends the search Trapdoor to the blockchain, which triggers the deployed smart contract to perform ciphertext retrieval. |
| Algorithm 6: Search (CT, Trapdoor) |
| Input: Ciphertext CT and search trapdoor Output: 1 (successful retrieval) or 0 (retrieval failure) Step1: Based on the user’s search request, trigger the smart contract and verify if there exists a in the ciphertext CT such that the equation holds true. Case1: If a match is found, output 1, and the smart contract sends the ciphertext CT to the data user for further decryption. Case2: If no match is found, the algorithm outputs 0, indicating a search failure. This paper utilizes the trapdoor verification mechanism from [14] to ensure that revoked users cannot complete the search operation. |
5.1.4. Tracking and Revocation Phase of Malicious Users
| Algorithm 7: Revocation (R′, ID, MSK, EBT′) |
| Input: The current revocation list R′, the ID of the user to be revoked , the system master key MSK, and the old elastic binary tree EBT′. Output: A new revocation list R and a new elastic binary tree EBT. Step1: Randomly select and replace the corresponding in the master key MSK. Step2: Calculate and replace the corresponding in the elastic binary tree EBT. Step3: The trusted center adds to the revocation list R′ to create a new revocation list R. |
| Algorithm 8: CTUpdate (PP, ,R) | |
| Input: System public parameters PP, the ciphertext to be updated CT’, and the revocation list R. Output: New ciphertext CT. Step1: Define as the minimal covering set related to the latest revocation list, and as the minimal covering set for the list before the update. For node j in , there are two scenarios: Case1: If there is a node where , then . Case2: If there is a node , and is an ancestor of j, then define as , where and . Set , and compute , sequentially. Finally, set . Step2: The portion of the ciphertext related to the access policy remains unchanged. The updated ciphertext is as follows: | |
| (6) | |
| Algorithm 9: KeySanityCheck(SK) | |
| Input: Decryption key SK. Output: 1 if SK passes the key sanity check; otherwise, ⊥ if it does not. Step1: | |
| (7) | |
| (8) | |
| (9) | |
| (10) | |
| Case1: When the decryption key SK satisfies the conditions outlined in Equations (7)–(10), it successfully passes the key sanity verification, and the algorithm returns the output as 1. Case2: Conversely, fails to meet the requirements specified in Equations (7)–(10) the key sanity verification fails, and the algorithm outputs ⊥. | |
| Algorithm 10: Trace(SK) |
| Input: Decryption key SK. Output: ⊥ (tracking failed) Case1: If KeySanityCheck(SK) returns ⊥, then output ⊥. Case2: If KeySanityCheck(SK) returns 1, proceed with the following steps: Step1: Calculate to get the leaf node value ID associated with user . Step2: Search for the leaf node with the value ID in the binary tree and identify the associated user . If no such node exists, the algorithm terminates and outputs ⊥. Step3: If is not already present in R, include in the revocation list, updating it to . |
5.2. Security Analysis
- IND-CPA security analysis
- Initialization: The attacker chooses an access policy to challenge, denoted as , along with a revocation list . In this context, is an matrix with , and is a function that uniquely assigns each row of to an attribute name. represents the attribute values associated with .
- Setup: The challenger C randomly selects , ensuring that , with . Calculate , and . Next, establish the revocation list where . For every , if and , then define and ; otherwise, define and . The public parameters are announced as follows: .
- Phase 1: Attacker D submits a request to obtain the key for the attribute set . Here, stands for the attribute names, and denotes the attribute values. For each attribute value where , if , then set ; otherwise, set . There are four possible scenarios: if , it means matches the access policy ; if , it means US does not match the access policy .
- Case 1: If and U is not an element of , then abort the process.
- Case 2: If and U is an element of , the challenger C executes the following steps:
- Case 3: If and , then the challenger C computes , and . The subsequent process follows that of case 4. Define , where is the root, and is the leaf node associated with user U in the elastic binary tree (EBT). Since , it follows that . We know that . Finally, the challenger C computes as .
- Case 4: If and , then the challenger C executes the following steps:
- Challenge: Attacker D submits two messages of equal length, m0, and m1, to challenger C. C then executes the following steps:
- Phase 2: Same as Phase 1.
- Guess: The attacker D makes a guess, denoted as .
- 2
- Traceability
- Initialization: Follow the steps below to execute C’s Setup algorithm:
- Key Query: Attacker D requests the key corresponding to the attribute set . Here, indicates the attribute names, and denotes the attribute values. The process proceeds as follows:
- Key Forgery: The adversary D presents a forged key to the challenger C, and represents the event in which D successfully wins this game. This indicates that successfully passes the key verification process, while K1 is not included in the set . The subsequent discussion outlines two distinct scenarios:
- Case 1: If does not occur, C randomly selects from as the solution to the l-SDH problem.
- Case 2: If occurs, it is described specifically as follows:
6. Performance Analysis
6.1. Functional Comparison
6.2. Complexity Comparison
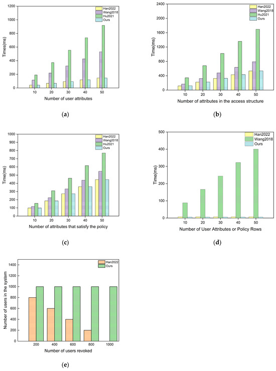
6.3. Simulation Results and Analysis
7. Conclusions
Author Contributions
Funding
Data Availability Statement
Acknowledgments
Conflicts of Interest
References
- Dileep, G. A survey on smart grid technologies and applications. Renew. Energy 2020, 146, 2589–2625. [Google Scholar] [CrossRef]
- Zhou, K.; Fu, C.; Yang, S. Big data driven smart energy management: From big data to big insights. Renew. Sustain. Energy Rev. 2016, 56, 215–225. [Google Scholar] [CrossRef]
- Alharbi, K.N.; Lin, X.; Shao, J. A Privacy-Preserving Data-Sharing Framework for Smart Grid. IEEE Internet Things J. 2017, 4, 555–562. [Google Scholar] [CrossRef]
- Yang, W.; Guan, Z.; Wu, L.; Du, X.; Guizani, M. Secure Data Access Control With Fair Accountability in Smart Grid Data Sharing: An Edge Blockchain Approach. IEEE Internet Things J. 2021, 8, 8632–8643. [Google Scholar] [CrossRef]
- Bera, B.; Saha, S.; Das, A.K.; Vasilakos, A.V. Designing Blockchain-Based Access Control Protocol in IoT-Enabled Smart-Grid System. IEEE Internet Things J. 2021, 8, 5744–5761. [Google Scholar] [CrossRef]
- Ruj, S.; Nayak, A. A Decentralized Security Framework for Data Aggregation and Access Control in Smart Grids. IEEE Trans. Smart Grid 2013, 4, 196–205. [Google Scholar] [CrossRef]
- Han, D.; Pan, N.; Li, K.-C. A Traceable and Revocable Ciphertext-Policy Attribute-based Encryption Scheme Based on Privacy Protection. IEEE Trans. Dependable Secur. Comput. 2022, 19, 316–327. [Google Scholar] [CrossRef]
- Liu, D.; Li, H.; Yang, Y.; Yang, H. Achieving Multi-Authority Access Control with Efficient Attribute Revocation in Smart Grid. In Proceedings of the 2014 IEEE International Conference on Communications (ICC), Sydney, NSW, Australia, 10–14 June 2014; Jamalipour, A., Deng, D.J., Eds.; IEEE: New York, NY, USA, 2014; pp. 634–639. [Google Scholar]
- Feng, Y.; Zeng, S. Secure and flexible authorized data sharing for smart grid. Peer-to-Peer Netw. Appl. 2024, 17, 1208–1224. [Google Scholar] [CrossRef]
- Ghopur, D.; Ma, J.; Ma, X.; Hao, J.; Jiang, T.; Wang, X. Puncturable key-policy attribute-based encryption scheme for efficient user revocation. IEEE Trans. Serv. Comput. 2023, 16, 3999–4011. [Google Scholar] [CrossRef]
- Yang, X.-D.; Liao, Z.-F.; Shu, B.; Chen, A.-J. Blockchain-based multi-authority revocable data sharing scheme in smart grid. MBE 2023, 20, 11957–11977. [Google Scholar] [CrossRef]
- Wang, S.; Guo, K.; Zhang, Y. Traceable ciphertext-policy attribute-based encryption scheme with attribute level user revocation for cloud storage. PLoS ONE 2018, 13, e0203225. [Google Scholar] [CrossRef] [PubMed]
- Zong, J.; Wang, C.; Shen, J.; Su, C.; Wang, W. ReLAC: Revocable and Lightweight Access Control With Blockchain for Smart Consumer Electronics. IEEE Trans. Consum. Electron. 2024, 70, 3994–4004. [Google Scholar] [CrossRef]
- Searchable Attribute-Based Encryption Scheme for Dynamic User Groups-All Databases. Available online: https://webofscience.clarivate.cn/wos/alldb/full-record/CSCD:7457152 (accessed on 20 December 2024).
- Ning, J.; Cao, Z.; Dong, X.; Wei, L. White-Box Traceable CP-ABE for Cloud Storage Service: How to Catch People Leaking Their Access Credentials Effectively. IEEE Trans. Dependable Secur. Comput. 2018, 15, 883–897. [Google Scholar] [CrossRef]
- Ren, Y.; Chen, C.; Hu, M.; Feng, G.; Zhang, X. BFDAC: A Blockchain-Based and Fog-Computing-Assisted Data Access Control Scheme in Vehicular Social Networks. IEEE Internet Things J. 2024, 11, 3510–3523. [Google Scholar] [CrossRef]
- Ning, J.; Dong, X.; Cao, Z.; Wei, L.; Lin, X. White-Box Traceable Ciphertext-Policy Attribute-Based Encryption Supporting Flexible Attributes. IEEE Trans. Inf. Forensics Secur. 2015, 10, 1274–1288. [Google Scholar] [CrossRef]
- Tan, L.; Yu, K.; Shi, N.; Yang, C.; Wei, W.; Lu, H. Towards secure and privacy-preserving data sharing for COVID-19 medical records: A blockchain-empowered approach. IEEE Trans. Netw. Sci. Eng. 2022, 9, 271–281. [Google Scholar] [CrossRef]
- Shen, G.; Xia, C.; Li, Y.; Shen, H.; Meng, W.; Zhang, M. Traceable and Privacy-Preserving Authentication Scheme for Energy Trading in V2G Networks. IEEE Internet Things J. 2024, 11, 6664–6676. [Google Scholar] [CrossRef]
- Li, J.; Zhang, Y.; Ning, J.; Huang, X.; Poh, G.S.; Wang, D. Attribute Based Encryption with Privacy Protection and Accountability for CloudIoT. IEEE Trans. Cloud Comput. 2022, 10, 762–773. [Google Scholar] [CrossRef]
- Ding, S.; Cao, J.; Li, C.; Fan, K.; Li, H. A Novel Attribute-Based Access Control Scheme Using Blockchain for IoT. IEEE Access 2019, 7, 38431–38441. [Google Scholar] [CrossRef]
- Yu, K.; Tan, L.; Aloqaily, M.; Yang, H.; Jararweh, Y. Blockchain-Enhanced Data Sharing With Traceable and Direct Revocation in IIoT. IEEE Trans. Ind. Inform. 2021, 17, 7669–7678. [Google Scholar] [CrossRef]
- Gao, S.; Piao, G.; Zhu, J.; Ma, X.; Ma, J. TrustAccess: A Trustworthy Secure Ciphertext-Policy and Attribute Hiding Access Control Scheme Based on Blockchain. IEEE Trans. Veh. Technol. 2020, 69, 5784–5798. [Google Scholar] [CrossRef]
- Wang, L.; Liu, X.; Shao, W.; Guan, C.; Huang, Q.; Xu, S.; Zhang, S.; Chen, C.-L. A blockchain-based privacy-preserving healthcare data sharing scheme for incremental updates. Symmetry 2024, 16, 89. [Google Scholar] [CrossRef]
- Li, F.; Liu, K.; Zhang, L.; Huang, S.; Wu, Q. EHRChain: A blockchain-based EHR system using attribute-based and homomorphic cryptosystem. IEEE Trans. Serv. Comput. 2022, 15, 2755–2765. [Google Scholar] [CrossRef]
- Boneh, D.; Franklin, M. Identity-Based Encryption from the Weil Pairing. SIAM J. Comput. 2003, 32, 586–615. [Google Scholar] [CrossRef]
- Zhang, Y.; Zheng, D.; Deng, R.H. Security and Privacy in Smart Health: Efficient Policy-Hiding Attribute-Based Access Control. IEEE Internet Things J. 2018, 5, 2130–2145. [Google Scholar] [CrossRef]
- Liu, Z.; Duan, S.; Zhou, P.; Wang, B. Traceable-then-revocable ciphertext-policy attribute-based encryption scheme. Future Gener. Comput. Syst. 2019, 93, 903–913. [Google Scholar] [CrossRef]
- Goldwasser, S.; Micali, S. Probabilistic encryption. J. Comput. Syst. Sci. 1984, 28, 270–299. [Google Scholar] [CrossRef]
- Lu, Y.; Feng, T.; Liu, C.; Zhang, W. A Blockchain and CP-ABE Based Access Control Scheme with Fine-Grained Revocation of Attributes in Cloud Health. CMC 2024, 78, 2787–2811. [Google Scholar] [CrossRef]
- He, Z.; Chen, Y.; Luo, Y.; Zhang, L.; Tang, Y. Revocable and Traceable Undeniable Attribute-Based Encryption in Cloud-Enabled E-Health Systems. Entropy 2024, 26, 45. [Google Scholar] [CrossRef]
- Hu, G.; Zhang, L.; Mu, Y.; Gao, X. An Expressive “Test-Decrypt-Verify” Attribute-Based Encryption Scheme With Hidden Policy for Smart Medical Cloud. IEEE Syst. J. 2021, 15, 365–376. [Google Scholar] [CrossRef]
- Akinyele, J.A.; Garman, C.; Miers, I.; Pagano, M.W.; Rushanan, M.; Green, M.; Rubin, A.D. Charm: A framework for rapidly prototyping cryptosystems. J. Cryptogr. Eng. 2013, 3, 111–128. [Google Scholar] [CrossRef]







| Solutions | [7] | [10] | [11] | [13] | [16] | [18] | [19] | [23] | [24] | [25] | Ours |
|---|---|---|---|---|---|---|---|---|---|---|---|
| Blockchain | |||||||||||
| Revocation | |||||||||||
| Traceability | |||||||||||
| Binary Tree Reusability | null | null | null | null | null | null | null | null | |||
| Encrypted search | |||||||||||
| Hidden Policy |
| Symbol | Description |
|---|---|
| TA | Trusted application. |
| EB | Edge blockchain. |
| EN | Edge node. |
| DO | Data owner. |
| DU | Data requester. |
| CTm | Semi-encrypted ciphertext |
| CT | Ciphertext. |
| SK | Secret key. |
| G, GT | The bilinear cyclic group of prime order. |
| EBT | Elastic binary tree. |
| e | Bilinear map. |
Disclaimer/Publisher’s Note: The statements, opinions and data contained in all publications are solely those of the individual author(s) and contributor(s) and not of MDPI and/or the editor(s). MDPI and/or the editor(s) disclaim responsibility for any injury to people or property resulting from any ideas, methods, instructions or products referred to in the content. |
© 2025 by the authors. Licensee MDPI, Basel, Switzerland. This article is an open access article distributed under the terms and conditions of the Creative Commons Attribution (CC BY) license (https://creativecommons.org/licenses/by/4.0/).
Share and Cite
Lu, Y.; Wang, H.; Jin, X. An Efficient Traceable and Revocable Access Control Scheme for Smart Grids. Symmetry 2025, 17, 294. https://doi.org/10.3390/sym17020294
Lu Y, Wang H, Jin X. An Efficient Traceable and Revocable Access Control Scheme for Smart Grids. Symmetry. 2025; 17(2):294. https://doi.org/10.3390/sym17020294
Chicago/Turabian StyleLu, Ye, Hao Wang, and Xiaomei Jin. 2025. "An Efficient Traceable and Revocable Access Control Scheme for Smart Grids" Symmetry 17, no. 2: 294. https://doi.org/10.3390/sym17020294
APA StyleLu, Y., Wang, H., & Jin, X. (2025). An Efficient Traceable and Revocable Access Control Scheme for Smart Grids. Symmetry, 17(2), 294. https://doi.org/10.3390/sym17020294

